二次根式的加减乘除混合运算练习题(附答案)
- 格式:docx
- 大小:232.98 KB
- 文档页数:5
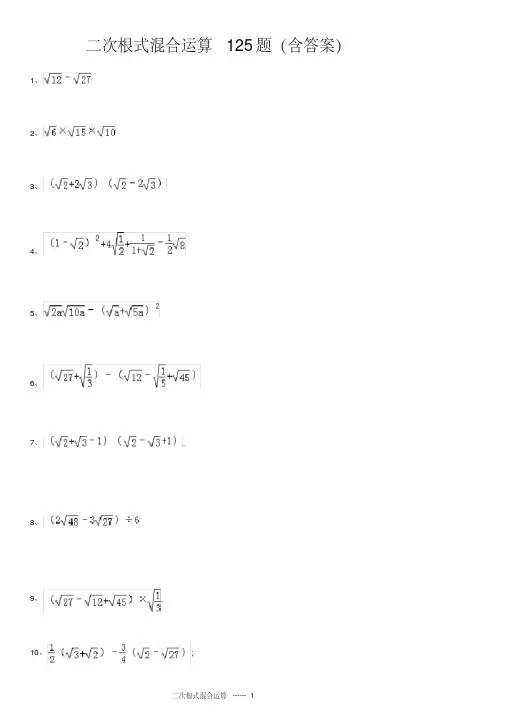
二次根式混合运算 125 题(有答案)1、2、3、4、5、6、7、.8、9、.10、;11、.12、;13、;14、.15、;16、.17、.18、19、20、;21、22、.23、24、25、26、;.27、28、;;29、;30、31、;(5);32、33、;34、;35、36、3 ﹣9+337、÷(3×)38、39、40、;.41、42、43、44、45、;46、.47、(﹣)2﹣;48、;49、;50、.51、;52、.53、3 ﹣﹣+(﹣2)(+2)54、55、56、57、58、59、2÷﹣(2﹣)260、﹣2 +(﹣1)261、(+2)﹣.62、63、64、65、.66、67、.68、69、70、3﹣(﹣)71、72、﹣273、74、75、﹣ 76、77、÷78、×+÷79、80、81、.82、83、 ﹣84、85、(+1)2﹣286、(+1)(1﹣)﹣(﹣1)2+(+1)287、88、89、90、;91、.92、;﹣ ﹣93、;;94、95、;96、 ;97、98、||+ ;99、;;100、﹣101、(+)2008()2009.102、;103、;104、.105、(3 +)÷ ;106、107、;108、;﹣﹣ 109、.110、﹣1111、( )(+)+2114、+|﹣3|﹣2﹣1(4)(﹣2)×﹣6115、 (2);116、;117、118、.119、.120、121、122、+6a ;×.﹣123、124、(2)(7+4 )(7﹣4 )+(2+ )125、参考答案1、原式=2 ﹣3 =﹣ ;2、原式= × = =30;3、原式=2﹣12=﹣10.4、原式=5、原式==﹣6a . 6、原式= ;7、原式=()2﹣(﹣1)2=2﹣(3﹣2+1)=8、原式=. 9、.原式=(3 ﹣2 +3 )×=( +3 )×=1+10、原式=﹣+=;11、原式=(4 +)÷3 =12、原式=2 +3 ﹣=;13、原式= =; 14、原式=(7+)(7+)=14×2=15、原式= =3+6﹣10=﹣1;16、原式=2﹣=﹣2.17、原式= ﹣2 +=3﹣2+=18、原式=(3﹣2)(3+2)=18﹣12=6;19、原式= (2 ﹣ +)= ( +)= +120、原式=﹣3•5÷=﹣15÷=﹣15;21、原式=3 +﹣2 +﹣3 =;22、原式=3a+﹣2b23、原式=3﹣2+1﹣(2﹣3)=5﹣2.24、原式==25、原式=2+1﹣( ﹣ )=3﹣1=2.26、原式=17﹣(19﹣)=﹣2+ ;=2.=27、原式=2 ﹣3 ﹣2 =﹣3.28、原式=4 +12 = ;29、原式=+2 ﹣10 = ;30、原式=4 ﹣+=;31、原式=6﹣5=1;32、原式=12+18﹣12= ;33、原式=(2 + )×﹣2=3﹣2=1;34、原式=+×6﹣m =2m +3m ﹣m =0;35、原式= ++1= ﹣1++1=36、原式=12 =(12﹣3﹣+6)= ;37、原式=6÷(×)=6÷6=38、原式=+3﹣2 =3 +3﹣2 =3+ .39、原式= ++ ×1=6+1+=7+ .40、原式=×3+6×﹣2x•=2 +3 ﹣2 =3 ;41、原式=2 ﹣+3﹣2=2 ﹣2 +142、原式=(6 ﹣+ ﹣2 )÷2﹣3=3﹣+﹣﹣3=﹣+﹣;43、原式== =444、=(4÷2)=45、原式=2+3﹣7=﹣2;46、原式= = =14.47、原式=10﹣7+=3+;48、原式= ×(2 ﹣+)= + ×= +1;49、原式=﹣1;50、原式=2+3+2﹣(2﹣3)=5+2+1=6+251、原式=4 +﹣4 = ;52、原式=(4 ﹣2 +6 )÷=2 +253、原式=6 ﹣3 ﹣+5﹣4=(6﹣3﹣)+1= +1=.﹣﹣54、原式= =;55、原式=56、原式=[ ﹣( ﹣ )][+( ﹣)]=5﹣(﹣)2=5﹣(5﹣2)=2.57、原式=4×2 ﹣16 +12﹣16﹣8 =﹣4﹣16; 58、原式= + ﹣+3 =59、原式=2﹣(4﹣4 +2)=2﹣6+4 =6 ﹣6.60、原式=×2 ﹣2×3+5﹣2 +1=﹣6﹣2+6=6﹣7.61、原式=a+2 =2. 62、原式= ;63、原式=﹣ +=﹣+=0. 64、=2+﹣2=.65、==66、原式=9﹣14+4=﹣;67、原式= ﹣4 3=﹣12 =﹣11 .68、原式=2 × =12;69、原式= ×3 ×=﹣;70、原式=12﹣2 +6=16;71、原式=(4﹣2 +6)×=2+272、原式=27÷(3×)×﹣8=3×﹣8 =﹣8;73、原式=()2﹣( )2=3﹣(2+2 +5)=﹣4﹣274、原式=3+8=11;75、原式=2﹣12=﹣10;76、原式=5+﹣6=0;77、原式= ÷=÷ =1.78、原式== =4+=4+ .79、原式= = =;80、原式==9+6=15;﹣﹣81、原式=(+)2﹣ =3+2+2=5+82、原式= = ;83、原式=84、原式=5﹣6=﹣1; 85、原式=4+ =86、(1+)(1﹣)﹣(﹣1)2+(+1)2=1﹣()2﹣(2﹣2+1)+2+2+1=1﹣2﹣2+2﹣1+2+2 +1=4 ﹣1.87、原式=+4× +1=++1=1+ .88、原式=(40 ) =30=15; 89、原式=2 +2=2+ . 90、原式= = =;91、原式== =12. 92、原式=2+2 +4 +2 = ; 93、原式=9﹣14 +24=;94、原式=(7+4)(7﹣4)+4﹣3=49﹣48+1=2;95、原式=﹣4× +9﹣12﹣()=﹣8 +9﹣12﹣ +1=﹣11;96、原式=﹣+ =2x + =;97、原式=2a (b98、原式=× + )=2ab+3﹣5=2﹣4;+ab=99、原式=12﹣4+1=13﹣4 ;100、原式=2+=;101、原式= ()=102、原式=3×2﹣2×3 +5×4=6﹣6 +20=20;103、原式=7﹣3+2=6;104、原式=•(﹣)× =﹣=﹣ 105、原式=3 ÷ +÷ =3+=;106、原式=3﹣1﹣=2﹣107、原式= +1﹣ ×2 =2+1﹣2=1;﹣ ﹣ ﹣﹣﹣=3﹣2=1.= +1 =﹣=﹣ =3﹣2=1.108、原式=3﹣2 +1﹣1=3﹣2 ;109、原式=+4 ﹣3=110、﹣1= ﹣1= ﹣1=0;111、()()+2=﹣+2=5﹣7+2=0;112、+|﹣3|﹣2﹣1=1+3﹣ =3 ;113、( ﹣2)×﹣6=﹣4114、原式=4﹣5=﹣1; 115、原式=×=1; 116、原式=5﹣2﹣5+2= ;117、原式=4﹣2+﹣1=3﹣=﹣9=﹣118、原式=119、原式=120、原式= 121、原式=3+6a =2a +3a=5a;122、原式=123、原式= =12;124、原式=49﹣48+2+ =3+.125、原式=== .﹣二次根式混合运算---- 21。
初中数学二次根式的混合运算专项训练题6(附答案详解)1.计算:②÷2.计算(1;(2(3)2+;(4)⨯324.计算:4(1--|3|-5.计算:6.计算:(1()(22-.7.解答下列各题(1-(2)解方程组24 4523 m nm n-=-⎧⎨-=-⎩8.计算:(1)(29.已知x =,y =,求22x xy y -+的值.1011.计算:(12)﹣2(﹣2)0+|212.计算或解方程:(1)(2)23(2)12x +=13.计算(1(24-- 14.计算:(1)⎛- ⎝;(215.计算下列各题:(1)×4÷;(2)﹣2+2×. 16.计算(1))2(2)17. 计算:-2-1+-(-1)218. )211-19.(1(22|.20. 计算:-2))21.计算:(1)2+ (2)(6-. 22.计算:(1)÷(2)2(11)+-23.计算与化简:(1(2(2)(22+24.(1)计算:﹣(2)计算: 020171|2(1)3++--25.计算:14++-(2)(⎛÷⨯ ⎝26.计算(1(2)((3)227.计算:(1)16521082+⨯- (2)127324122÷+-⨯ 28.计算(1)23318(6)--÷-.(2)2(32)(13)(13)-+-+.29.计算(1); (2)(3+)(﹣2); (3)(+﹣)÷ 30.计算题:(1)1(436312)33÷(2)211)(23)(23)3++参考答案1.①0;②2. 【解析】【分析】①直接化简二次根式进而计算得出答案;②直接利用二次根式的乘除运算法则化简得出答案.【详解】﹣=0;②÷=3÷. 【点睛】此题主要考查二次根式的混合运算,熟练掌握,即可解题.2.(1)2;(2)3;(3)34+(4)18-. 【解析】【分析】(1)根据二次根式的乘、除法公式和合并同类二次根式法则计算即可;(2)根据二次根式的乘、除法公式和合并同类二次根式法则计算即可;(3)根据平方差公式、完全平方公式、二次根式的乘法公式和合并同类二次根式法则计算即可;(4)根据乘法分配律、二次根式的乘法公式和合并同类二次根式法则计算即可;【详解】解:(1)原式=2=+2=(2)原式=3=-3=(3)原式()23827=-++135=-++34=+(4)原式(=-⨯+63=-⨯-18=--【点睛】此题考查的是二次根式的混合运算,掌握平方差公式、完全平方公式、二次根式的乘、除法公式和合并同类二次根式法则是解决此题的关键.3.+1.【解析】【分析】先利用平方根的性质,然后化简后合并即可.【详解】解:原式+1+1.【点睛】此题考查二次根式的混合运算,解题关键在于掌握把二次根式化为最简二次根式.4.(1;(2)6-【解析】【分析】(1)先根据二次根式的乘法法则和零指数幂的意义计算,然后化简后合并即可; (2)用分配律计算,然后化简,去绝对值符号,合并同类二次根式即可.【详解】解:(1)原式414=⨯==(2)原式(33=-3=-6-.【点睛】 本题考查二次根式的混合运算:先把二次根式化为最简二次根式,然后进行二次根式的乘除运算,再合并即可.在二次根式的混合运算中,如能结合题目特点,灵活运用二次根式的性质,选择恰当的解题途径,往往能事半功倍.5.5.【解析】【分析】利用乘法分配律可简便计算.【详解】⨯+⨯=1+4=5【点睛】本题考查了二次根式的混合运算:先把各二次根式化为最简二次根式,再进行二次根式的乘除运算,然后合并同类二次根式.6.()1 4+;()2 1+【解析】【分析】(1)根据二次根式乘除法和减法可以解答本题;(2)先利用平方差公式和完全平方公式计算,然后合并即可.【详解】()1原式=4=4=+()2原式()181232=---65=-+1=+7.(1)6;(2)125m n ⎧=⎪⎨⎪=⎩【解析】【分析】(1)原式利用立方根和二次根式的运算法则计算即可求出值;(2)方程组利用加减消元法求出解即可.【详解】解:(1)原式=﹣﹣+8=6;(2)244523m n m n -=-⎧⎨-=-⎩①②, ①×5﹣②得:6m =3,解得:m =12, 把m =12代入①得:n =5,则方程组的解为125mn⎧=⎪⎨⎪=⎩.【点睛】此题考查了解二元一次方程组以及二次根式的混合运算,熟练掌握运算法则是解本题的关键.8.(1)(2)4.【解析】【分析】(1)先化简二次根式,再计算二次根式的乘除法即可;(2)先计算二次根式的乘除法,再化简二次根式,然后计算二次根式的加减法即可.【详解】(1)原式2=8 =⨯=(2)原式==4=+【点睛】本题考查了二次根式的化简、二次根式的加减乘除法,熟记运算法则是解题关键.9.11.【解析】【分析】根据题意,先求出x y-和xy的值,然后利用完全平方变形求值,即可得到答案. 【详解】解:∵x=+y=-,∴x﹣y=xy==2﹣3=﹣1,则原式=x2﹣2xy+y2+xy=(x﹣y)2+xy=2﹣1=12﹣1=11.【点睛】本题考查了求代数式的值,二次根式的混合运算,完全平方公式变形求值,解题的关键是熟练掌握运算法则进行计算.10【解析】【分析】根据二次根式的除法法则计算即可.【详解】===11【点睛】本题考查的知识点是二次根式的混合运算,掌握二次根式混合运算的运算顺序以及运算法则是解此题的关键.11.【解析】【分析】直接利用零指数幂的性质以及负指数幂的性质、绝对值的性质、二次根式以及立方根的运算法则分别化简得出答案.【详解】解:原式=4﹣﹣2=.【点睛】本题考查实数的运算,难点也在于对原式中零指数幂、负指数幂、绝对值、二次根式以及立方根的运算化简,关键要掌握这些知识点.12.(1)﹣1.5;(2)x=0或﹣4.【解析】【分析】(1)首先计算开方,然后从左向右依次计算,求出算式的值是多少即可.(2)根据:3(x+2)2=12,可得:(x+2)2=4,所以x+2=±2,据此求出x的值是多少即可.【详解】解:(1)=﹣6+1.5+3=﹣1.5(2)∵3(x+2)2=12,∴(x+2)2=4,∴x+2=±2,解得:x=0或x=﹣4.【点睛】此题主要考查了实数的运算,要熟练掌握,解答此题的关键是要明确:在进行实数运算时,和有理数运算一样,要从高级到低级,即先算乘方、开方,再算乘除,最后算加减,有括号的要先算括号里面的,同级运算要按照从左到右的顺序进行.另外,有理数的运算律在实数范围内仍然适用.13.(1;(2)4.【解析】【分析】(1)先把二次根式化为最简二次根式,然后合并即可;(2)先进行二次根式的乘除运算,然后去绝对值后合并即可.【详解】(1)原式=-=(2)原式=4﹣+4﹣4.【点睛】本题考查了二次根式的混合运算:先把二次根式化为最简二次根式,然后进行二次根式的乘除运算,再合并即可.在二次根式的混合运算中,如能结合题目特点,灵活运用二次根式的性质,选择恰当的解题途径,往往能事半功倍..14.(1-(2)10【解析】【分析】(1)先将各二次根式化为最简二次根式,然后合并同类二次根式;(2)根据二次根式的乘除法则计算即可.【详解】解:(1)原式===.(2)原式===10【点睛】本题考查了二次根式的混合运算:先把各二次根式化为最简二次根式,再进行二次根式的乘除运算,然后合并同类二次根式.在二次根式的混合运算中,如能结合题目特点,灵活运用二次根式的性质,选择恰当的解题途径,往往能事半功倍.15.(1);(2)18﹣10【解析】【分析】(1)先把各二次根式化为最简二次根式,然后进行二次根式的乘除法运算;(2)先进行去括号和二次根式的乘法运算,然后化简后合并即可.【详解】解:(1)×4÷==3÷=10;(2)﹣2+2×=6+12﹣=18﹣.【点睛】 本题考查了二次根式的计算:先把各二次根式化为最简二次根式,再进行二次根式的乘除运算,然后合并同类二次根式.16.(1)(2) 【解析】【分析】(1)根据二次根式的运算法则计算即可.(2)根据二次根式的运算法则计算即可.【详解】(1)原式﹣(5﹣3)﹣2(2)原式﹣2﹣4.【点睛】本题考查二次根式的计算,熟练掌握二次根式的运算法则是解题关键.17.-4.【解析】【分析】根据二次根式的运算法则以及负整数指数幂的意义即可求出答案.【详解】解:原式()(.【点睛】本题考查二次根式的混合运算,解题的关键是熟练运用二次根式的运算法则,本题属于基础题型.18..3【解析】【分析】先利用平方差公式计算,然后把二次根式化为最简二次根式后合并即可.【详解】解:原式-(3-1)-23=.3【点睛】本题考查了二次根式的混合运算:先把二次根式化为最简二次根式,然后进行二次根式的乘除运算,再合并即可.在二次根式的混合运算中,如能结合题目特点,灵活运用二次根式的性质,选择恰当的解题途径,往往能事半功倍.19.(1)4.2;(2【解析】【分析】(1)直接利用二次根式以及立方根的性质分别化简得出答案;(2)直接利用二次根式以及立方根的性质分别化简得出答案.【详解】解:(1)原式0.231 4.2=++=;(2)原式(152224=-+⨯- 15222=-+-=【点睛】本题考查了二次根式、立方根、以及绝对值的化简,严格按照其性质法则进行化简即可. 20.8【解析】【分析】化简得到原式=2)),然后利用平方差公式计算.【详解】解:原式=())=2))=2(5-1)=8.【点睛】本题考查了二次根式的混合运算:先把二次根式化为最简二次根式,然后进行二次根式的乘除运算,再合并即可.在二次根式的混合运算中,如能结合题目特点,灵活运用二次根式的性质,选择恰当的解题途径,往往能事半功倍.21.(1)11;(2)【解析】【分析】(1)分别化简各项,然后进行加减计算即可;(2)先算乘法,然后进行减法运算即可.【详解】(1)原式23(1)15=---+3115=--+11=;(2)原式63=⨯==.【点睛】此题主要考查二次根式的混合运算,熟练掌握,即可解题.22.(1)10;(2)﹣9 【解析】【分析】(1)把根号外和根号内分别相乘除,然后化简即可;(2)先算乘法和完全平方,再去括号,计算加减即可.【详解】解:(1)原式1(24=⨯÷=110=⨯,10=;(2)原式(81=+-,=+9=-.9【点睛】本题主要考查了二次根式的混合运算,关键是掌握计算顺序和运算法则.23.(13;(2)-3【解析】【分析】(1)先把根式化简,再把同类二次根式合并即可.(2)根据平方差公式和分母有理化,分别计算,再把结果合并即可.【详解】=-++=;解:(1)原式(3)633+=-=--=-(2)(22464613【点睛】本题主要考查了实数的运算法则,解题的关键是熟知实数的性质.24.(1)(2)-2【解析】【分析】(1)第一项根据二次根式的除法计算,第二、三项根据二次根式的性质化简,然后合并同类二次根式即可;(2)先逐项化简,再算加减即可.【详解】(1)﹣==(2) 020171|2(1)3++--=121-=-2.【点睛】本题考查了二次根式的混合运算,熟练掌握二次根式的运算法则是解答本题的关键.25.(1(2【解析】【分析】(1)先把二次根式化为最简二次根式,然后合并即可;(2)先把二次根式化为最简二次根式,再把除法运算化为乘法运算,然后合并后进行二次根式的乘除运算.【详解】解:(1)原式==(2)原式==15-=【点睛】 本题考查了二次根式的混合运算:先把二次根式化为最简二次根式,然后进行二次根式的乘除运算,再合并即可.在二次根式的混合运算中,如能结合题目特点,灵活运用二次根式的性质,选择恰当的解题途径,往往能事半功倍.26.(1);(2)1.【解析】【分析】(1)根据二次根式的乘除法则运算;(2)利用完全平方公式和平方差公式计算.【详解】(1=4=;(2)原式=20﹣7﹣(5﹣)=13﹣=1.【点睛】本题考查了无理数的混合运算,掌握无理数混合运算法则、完全平方公式和平方差公式是解题的关键.27.(1)(2)3【解析】【分析】(1)先化简二次根式和进行二次根式的乘法,然后按照合并同类二次根式的法则进行加减运算即可;(2)先化简二次根式和进行二次根式的乘除法,然后按照合并同类二次根式的法则进行加减运算即可.【详解】解:(1)原式-(2)原式=3+=3+【点睛】本题考查了二次根式的混合运算,掌握运算法则和运算顺序是解题关键.28.(1)43-;(2)326-. 【解析】【分析】 (1)直接利用算术平方根以及立方根性质分别化简再计算即可得出答案.(2)直接利用二次根式的混合运算法则,先用完全平方公式和平方差公式计算,再化简得出答案.【详解】解:(1)23318(6)--÷-126=--÷113=-- 43=-; (2)2(32)(13)(13)-+-+322613=+-+-326=-.【点睛】此题主要考查了实数运算,正确化简各数是解题关键.29.(1)2(2) (3) 【解析】【分析】(1)根据二次根式的乘除法法则进行计算即可;(2)利用多项式乘多项式法则进行展开,然后合并同类二次根式即可;(3)先把各二次根式化简为最简二次根式,然后把括号内合并后进行二次根式的除法运算即可.【详解】(1)原式==2; (2)原式=3﹣6+5﹣2=﹣1;(3)原式=()÷=()÷=﹣3.【点睛】本题考查了二次根式的混合运算:先把各二次根式化简为最简二次根式,然后进行二次根式的乘除运算,再合并即可.在二次根式的混合运算中,如能结合题目特点,灵活运用二次根式的性质,选择恰当的解题途径,往往能事半功倍.30.(1)4;(2723 -【解析】【分析】(1)原式利用二次根式除法法则计算即可求出值;(2)原式利用完全平方公式,以及平方差公式计算即可求出值.【详解】解:(1)原式=33133123=2﹣1+3 =4;(2)原式=1233-﹣3=73 33 -=733-.【点睛】本题考查了二次根式的混合运算,解题的关键是掌握运算法则和运算律,注意乘法公式的运用.。
二次根式混合运算题含答案二次根式混合运算125题(含答案)1、2、3、4、5、6、7、.8、9、.11、.12、;13、;14、.15、;16、.17、.19、20、;21、22、.23、24、25、26、;.27、28、;;29、;30、31、;(5);32、33、;34、;35、36、3﹣9+337、÷(3×)38、39、40、;.41、43、44、45、;46、.47、(﹣)2﹣;48、;49、;51、;52、.53、3﹣﹣+(﹣2)(+2)54、55、56、57、59、2÷﹣(2﹣)260、﹣2+(﹣1)261、(+2)﹣.62、63、64、65、.66、68、69、70、3﹣(﹣)71、72、﹣273、74、75、76、77、÷78、×+÷﹣79、80、81、﹣.82、83、84、85、(+1)2﹣286、(+1)(1﹣)﹣(﹣1)2+(+1)287、88、89、90、;91、.92、;93、;;94、95、;96、;97、98、|﹣|+﹣;99、;;100、101、(+)2008(﹣)2009.102、;103、;104、.105、(3+)÷;106、107、;108、;109、.111、(﹣)(+)+2+|﹣3|﹣2﹣1(4)(﹣2)×﹣6 114、115、(2﹣);116、;117、118、.119、.120、121、122、+6a;﹣×.123、124、(2)(7+4)(7﹣4)+(2+)125、参考答案1、原式=2﹣3=﹣;2、原式=×==30;3、原式=2﹣12=﹣10.4、原式==2.5、原式===﹣6a.6、原式=;7、原式=()2﹣(﹣1)2=2﹣(3﹣2+1)=8、原式=.9、.原式=(3﹣2+3)×=(+3)×=1+10、原式=﹣+=;11、原式=(4+)÷3=12、原式=2+3﹣=;13、原式==;14、原式=(7+)(7+)=14×2=15、原式==3+6﹣10=﹣1;16、原式=2﹣=﹣2.17、原式=﹣2+=3﹣2+=18、原式=(3﹣2)(3+2)=18﹣12=6;19、原式=(2﹣+)=(+)=+120、原式=﹣35÷=﹣15÷=﹣15;21、原式=3+﹣2+﹣3=;22、原式=3a+﹣2b23、原式=3﹣2+1﹣(2﹣3)=5﹣2.24、原式==25、原式=2+1﹣(﹣)=3﹣1=2.26、原式=17﹣(19﹣)=﹣2+;29、原式=+2﹣10=;30、原式=4﹣+=;31、原式=6﹣5=1;32、原式=12+18﹣12=;33、原式=(2+)×﹣2=3﹣2=1;34、原式=+×6﹣m=2m+3m﹣m=0;35、原式=++1=﹣1++1=36、原式=12=(12﹣3﹣+6)=;37、原式=6÷(×)=6÷6=38、原式=+3﹣2=3+3﹣2=3+.39、原式=++×1=6+1+=7+.40、原式=×3+6×﹣2x=2+3﹣2=3;41、原式=2﹣+3﹣2=2﹣2+142、原式=(6﹣+﹣2)÷2﹣3=3﹣+﹣﹣3=﹣+﹣;43、原式===444、=(4÷2)=45、原式=2+3﹣7=﹣2;46、原式===14.47、原式=10﹣7+=3+;48、原式=×(2﹣+)=+×=+1;49、原式=﹣1;50、原式=2+3+2﹣(2﹣3)=5+2+1=6+251、原式=4+﹣4=;52、原式=(4﹣2+6)÷=2+253、原式=6﹣3﹣+5﹣4=(6﹣3﹣)+1=+155、原式==.56、原式=[﹣(﹣)][+(﹣)]=5﹣(﹣)2=5﹣(5﹣2)=2.57、原式=4×2﹣16+12﹣16﹣8=﹣4﹣16;58、原式=+﹣+3=59、原式=2﹣(4﹣4+2)=2﹣6+4=6﹣6.60、原式=×2﹣2×3+5﹣2+1=﹣6﹣2+6=6﹣7.61、原式=a+2=2.62、原式=;63、原式=﹣+=﹣+=0.64、=2+﹣2=.65、=﹣=66、原式=9﹣14+4=﹣;67、原式=﹣43=﹣12=﹣11.68、原式=2×=12;69、原式=×3×=﹣;70、原式=12﹣2+6=16;71、原式=(4﹣2+6)×=2+272、原式=27÷(3×)×﹣8=3×﹣8=﹣8;73、原式=()2﹣()2=3﹣(2+2+5)=﹣4﹣274、原式=3+8=11;75、原式=2﹣12=﹣10;76、原式=5+﹣6=0;77、原式=÷=÷=1.78、原式=﹣==4+=4+.79、原式===;80、原式==9+6=1581、原式=(+)2﹣=3+2+2﹣=5+82、原式==;83、原式=;84、原式=5﹣6=﹣1;85、原式=4+=87、原式=+4×﹣+1=++1=1+.88、原式=(40)=30=15;89、原式=2+2=2+.90、原式===;91、原式===12.92、原式=2+2+4+2=;93、原式=9﹣14+24=;94、原式=(7+4)(7﹣4)+4﹣3=49﹣48+1=2;95、原式=﹣4×+9﹣12﹣()=﹣8+9﹣12﹣+1=﹣11;96、原式=﹣+=2x+=;97、原式=2a(b﹣×+)=2ab﹣+ab=98、原式=﹣+3﹣5=2﹣4;99、原式=12﹣4+1=13﹣4;100、原式=2+﹣=;101、原式=()=102、原式=3×2﹣2×3+5×4=6﹣6+20=20;103、原式=7﹣3+2=6;104、原式=(﹣)×=﹣=﹣105、原式=3÷+÷=3+=;106、原式=3﹣1﹣=2﹣107、原式=+1﹣×2=2+1﹣2=1;108、原式=3﹣2+1﹣1=3﹣2;109、原式=+4﹣3=110、﹣1=﹣1=﹣1=0;111、()()+2=﹣+2=5﹣7+2=0;112、+|﹣3|﹣2﹣1=1+3﹣=3;113、(﹣2)×﹣6=﹣4﹣=﹣9﹣=﹣114、原式=4﹣5=﹣1;115、原式=×=1;116、原式=5﹣2﹣5+2=;117、原式=4﹣2+﹣1=3﹣118、原式==3﹣2=1.120、原式=+1=121、原式=3+6a=2a+3a=5a;122、原式=﹣=﹣=3﹣2=1.123、原式==12;124、原式=49﹣48+2+=3+.125、原式===.。
二次根式混合运算125题(含答案)7、.8、9、.10、;11、.12、;13、;14、.15、;16、.17、.18、19、20、;21、22、.25、26、;.27、28、;;29、;30、31、;(5);32、33、;34、;35、36、3﹣9+337、÷(3×)38、39、40、;.41、42、43、44、45、;46、.47、(﹣)2﹣;48、;49、;50、.51、;52、.53、3﹣﹣+(﹣2)(+2)55、56、57、59、2÷﹣(2﹣)260、﹣2+(﹣1)261、(+2)﹣.62、63、64、65、.67、.68、69、70、3﹣(﹣)71、72、﹣273、74、75、76、77、÷78、×+÷﹣79、80、81、﹣.82、83、84、85、(+1)2﹣286、(+1)(1﹣)﹣(﹣1)2+(+1)287、88、89、90、;91、.92、;93、;;94、95、;96、;97、98、|﹣|+﹣;99、;;100、101、(+)2008(﹣)2009.102、;103、;104、.105、(3+)÷;106、107、;108、;109、.110、﹣1111、(﹣)(+)+2+|﹣3|﹣2﹣1(4)(﹣2)×﹣6 114、115、(2﹣);116、;117、118、.119、.120、121、122、+6a;﹣×.123、124、(2)(7+4)(7﹣4)+(2+)125、参考答案1、原式=2﹣3=﹣;2、原式=×==30;3、原式=2﹣12=﹣10.4、原式==2.5、原式===﹣6a.6、原式=;7、原式=()2﹣(﹣1)2=2﹣(3﹣2+1)=8、原式=.9、.原式=(3﹣2+3)×=(+3)×=1+10、原式=﹣+=;11、原式=(4+)÷3=12、原式=2+3﹣=;13、原式==;14、原式=(7+)(7+)=14×2=15、原式==3+6﹣10=﹣1;16、原式=2﹣=﹣2.17、原式=﹣2+=3﹣2+=18、原式=(3﹣2)(3+2)=18﹣12=6;19、原式=(2﹣+)=(+)=+120、原式=﹣3?5÷=﹣15÷=﹣15;21、原式=3+﹣2+﹣3=;22、原式=3a+﹣2b23、原式=3﹣2+1﹣(2﹣3)=5﹣2.24、原式==25、原式=2+1﹣(﹣)=3﹣1=2.26、原式=17﹣(19﹣)=﹣2+;27、原式=2﹣3﹣2=﹣3.28、原式=4+12=;29、原式=+2﹣10=;30、原式=4﹣+=;31、原式=6﹣5=1;32、原式=12+18﹣12=;33、原式=(2+)×﹣2=3﹣2=1;34、原式=+×6﹣m=2m+3m﹣m=0;35、原式=++1=﹣1++1=36、原式=12=(12﹣3﹣+6)=;37、原式=6÷(×)=6÷6=38、原式=+3﹣2=3+3﹣2=3+.39、原式=++×1=6+1+=7+.40、原式=×3+6×﹣2x?=2+3﹣2=3;41、原式=2﹣+3﹣2=2﹣2+142、原式=(6﹣+﹣2)÷2﹣3=3﹣+﹣﹣3=﹣+﹣;43、原式===444、=(4÷2)=45、原式=2+3﹣7=﹣2;46、原式===14.47、原式=10﹣7+=3+;48、原式=×(2﹣+)=+×=+1;49、原式=﹣1;50、原式=2+3+2﹣(2﹣3)=5+2+1=6+251、原式=4+﹣4=;52、原式=(4﹣2+6)÷=2+253、原式=6﹣3﹣+5﹣4=(6﹣3﹣)+1=+154、原式==;56、原式=[﹣(﹣)][+(﹣)]=5﹣(﹣)2=5﹣(5﹣2)=2.57、原式=4×2﹣16+12﹣16﹣8=﹣4﹣16;58、原式=+﹣+3=59、原式=2﹣(4﹣4+2)=2﹣6+4=6﹣6.60、原式=×2﹣2×3+5﹣2+1=﹣6﹣2+6=6﹣7.61、原式=a+2=2.62、原式=;63、原式=﹣+=﹣+=0.64、=2+﹣2=.65、=﹣=66、原式=9﹣14+4=﹣;67、原式=﹣43=﹣12=﹣11.68、原式=2×=12;69、原式=×3×=﹣;70、原式=12﹣2+6=16;71、原式=(4﹣2+6)×=2+272、原式=27÷(3×)×﹣8=3×﹣8=﹣8;73、原式=()2﹣()2=3﹣(2+2+5)=﹣4﹣274、原式=3+8=11;75、原式=2﹣12=﹣10;76、原式=5+﹣6=0;77、原式=÷=÷=1.78、原式=﹣==4+=4+.79、原式===;80、原式==9+6=1581、原式=(+)2﹣=3+2+2﹣=5+82、原式==;83、原式=;84、原式=5﹣6=﹣1;85、原式=4+=86、(1+)(1﹣)﹣(﹣1)2+(+1)2=1﹣()2﹣(2﹣2+1)+2+2+1=1﹣2﹣2+2﹣1+2+2+1=4﹣1.88、原式=(40)=30=15;89、原式=2+2=2+.90、原式===;91、原式===12.92、原式=2+2+4+2=;93、原式=9﹣14+24=;94、原式=(7+4)(7﹣4)+4﹣3=49﹣48+1=2;95、原式=﹣4×+9﹣12﹣()=﹣8+9﹣12﹣+1=﹣11;96、原式=﹣+=2x+=;97、原式=2a(b﹣×+)=2ab﹣+ab=98、原式=﹣+3﹣5=2﹣4;99、原式=12﹣4+1=13﹣4;100、原式=2+﹣=;101、原式=()=102、原式=3×2﹣2×3+5×4=6﹣6+20=20;103、原式=7﹣3+2=6;104、原式=?(﹣)×=﹣=﹣105、原式=3÷+÷=3+=;106、原式=3﹣1﹣=2﹣107、原式=+1﹣×2=2+1﹣2=1;108、原式=3﹣2+1﹣1=3﹣2;109、原式=+4﹣3=110、﹣1=﹣1=﹣1=0;111、()()+2=﹣+2=5﹣7+2=0;112、+|﹣3|﹣2﹣1=1+3﹣=3;113、(﹣2)×﹣6=﹣4﹣=﹣9﹣=﹣114、原式=4﹣5=﹣1;115、原式=×=1;116、原式=5﹣2﹣5+2=;117、原式=4﹣2+﹣1=3﹣118、原式==3﹣2=1.119、原式==120、原式=+1=121、原式=3+6a=2a+3a=5a;122、原式=﹣=﹣=3﹣2=1.123、原式==12;124、原式=49﹣48+2+=3+.125、原式===.。
二次根式乘除加减练习测试题附参考答案The pony was revised in January 2021二次根式的乘除,加减练习题双基演练1.23×(-25)=_________,a ×ab =________.2.(2×7)2=_______,22(2)(3)⨯=________.3.15×5=_________, 3.6 5.4⨯=_________,3bc ×13c b-=_______. 4.设长方形的长a=250,宽b=332,则面积S=________.5.已知,x>0,y>0,则2x y ·2xy =__________.6.化简462a a b +结果等于()A .a 2(a 2+b )B .a (a 2+b )C .a 222a ab +D .a 2221a b +7.已知a=2,b=10,用含a 、b 的代数式表示20,这个代数式是()A .a+bB .abC .2aD .2b8.若29x -=3x -·3x +,则x 的取值范围是()A .-3≤x ≤3B .x>-3C .x ≤3D .-3<x<3能力提升93153×(-1210 313223③3m ·3n m ·223m n n ④52xy y ×(-323x y )×35x y10.计算(23-×23+)2002=_______.11.当x<0,y<0时,下列等式成立的是()A .2x y x y =-B .2xy y x =C .393x y x xy =-D .429x y =3x 2y12.若把根号外的因式移到根号内,则a 1a-等于() A .-a -B .a -C .-a D .a13.仿照20.5=22×0.5=220.5⨯=2的做法,化简下列各式:①100.1=②515= 聚焦中考14.下列各数中,与数32-积为有理数的是( )A 32+B 32-C 32+-D 315.已知b a <,化简b a 3-的正确结果是( )A ab a --B ab a -C ab aD ab a -16.观察分析下列数据,寻找规律:0,3,6,3,32,15,……那么第10个数是_____17.(2004。
二次根式混合运算125题(含答案)1、、2、3、45、6、7、.、8.9、;、10.、.1112、;13;、、.14;15、、.16、.17、18.、1920;、、2122.、、23、 2425、26、;.、27;、28;、29;、3031;、;)5(、3233、;、34;、 35+39﹣36、3)×337、÷(38、、3940、;.、41、42.、43、44;、45.、462);﹣47、(﹣、48;49、;.、50.、;5152.、()+2)53、3﹣+﹣2(﹣、54、5556、、 57、58.2﹣2﹣(2)、59÷2)+21(60﹣、﹣)﹣.(61+2、、62、6364、65.、、66.、67.、68、69﹣﹣(70、3)71、2、72﹣、7374、75、76、÷77 、﹣+÷×、78、79、80﹣81、.、8283、84、22 ﹣85、+1()22 +1+)(1﹣86、(()﹣(﹣1)+1)、8788、、89、90;.、91;92、93、;;、94、95;;、96、97、;|﹣|+﹣9899;、;、10020092008.)﹣、101(()+、;102;103 、.、104;+)105、(3÷106、;107、;108、、109.1 ﹣、110.+)、((+2﹣)1111﹣6 ×(4)(﹣﹣2)﹣﹣+|3|2、114﹣)(;2 115、116、;、117.118、.119 、、120、121+6a、;122﹣×.、1232+)﹣)4+(7))(2124、(7+4(125、参考答案﹣; 31、原式==2﹣=30、原式==;× 2 =2﹣12=﹣10.3、原式=2=.、原式 4=5、原式==﹣6a.;= 6、原式22= )﹣(+1﹣(3﹣)、原式7=2(﹣1)=2=.8、原式2+3)×=)×9、.原式=(=1+3(﹣+3+;、原式10﹣==+3)÷=11、原式=(4=12、原式+3=2﹣;13、原式==;2×(14、原式=)7+)(7+=14==3+6﹣10=15、原式﹣=1;=﹣2=216、原式﹣.=﹣ 2=3﹣++217、原式=)=18﹣2、原式18=(3)(3+2﹣12=6;2、原式19=)﹣(=+1(++)=3=﹣15÷;÷? 5、原式﹣=1520=﹣2 =3﹣=;﹣+321、原式+﹣22、原式2b=3a+2. =5﹣3)﹣+123、原式=3﹣2﹣(2== 24、原式﹣)=3﹣1=225、原式=2+1.﹣(2+;)﹣=﹣﹣(26、原式=17193. 3﹣2=﹣、原式27=2﹣;=+12=4、原式28.=;﹣29、原式 =10+2;30、原式 =4=+﹣31、原式=6﹣5=1;=;12 32、原式=12+18﹣﹣2=3+﹣2=1)×33、原式=(;26×; 34、原式+3m=﹣﹣+mm=2m=0+1=1+=+1=﹣ 35、原式+)+6﹣3﹣=;36、原式 ==12(126==637、原式×=6)÷(÷2238、原式+3==3++3.﹣=3﹣.=7+× 1=6+1+++39、原式=? +3×﹣2x=3+6=2﹣、原式402=×3;2=2﹣+1﹣41、原式=2+3﹣2﹣;﹣ 2﹣3=3﹣++3=(、原式42=6﹣+﹣﹣2)÷﹣=4 43=、原式==44÷、=(42)2; 7=﹣45、原式=2+3﹣=14=.、原式46=;=3+﹣=1047、原式7+=+1×+)×(、原式48=2﹣=;+=﹣1; 49、原式+1=6+2) =5+2﹣(2﹣50、原式3=2+3+2=+;4、原式51﹣=4=2)÷52、原式=(4+2+6﹣2+1=+1﹣(﹣﹣3﹣=6、原式53+54=63﹣);==、原式54.=.=55、原式2=2.2 ﹣()=[﹣﹣()﹣)=5][+﹣((5﹣)]=556、原式﹣16;=﹣416+12﹣16﹣﹣857、原式=4×﹣2﹣+358、原式==+﹣+259、原式)=24﹣=24﹣66+4.=6 ﹣(2﹣﹣67﹣2﹣×60、原式×=+1=23.2 +6=6﹣+5.=a+2=2 、原式6162、原式;=.=、原式=﹣++﹣=063+2=2﹣64、=.==65、﹣=9﹣14+4=;、原式66﹣=﹣12﹣3=67、原式=.11﹣4×=2=12;68、原式×﹣369、原式=×;==16;﹣270、原式=12+6+2 71+6=2)﹣(、原式=×428;×﹣)×、原式72=278==3×﹣﹣8(÷32224﹣+52+2))73、原式==()=3﹣(﹣(﹣+874、原式=11=3;;、原式=2﹣12=﹣1075=0+﹣76、原式;=56=÷.=÷、原式77=1=4+.= ﹣=4+=78、原式=;= 79、原式==9+6=15 =80、原式2﹣=5+ ﹣=81、原式+()=3+2+2==82 ;、原式=;、原式8384、原式=5﹣6=﹣1;=、原式85=4+222+1+2+2)+12﹣2﹣(+11)﹣(﹣)+(1)、86(1+(﹣)=1﹣().1﹣+1=41+2+2﹣2+2﹣2﹣=1+1=1++1==+4.×﹣+87、原式=15;)88、原式=(=3040+2=2+.89、原式=2=;= =90、原式==12.= 91、原式=;+492、原式=2+2+2=;1493、原式=9﹣+244)+4﹣3=49﹣(7﹣48+1=2;94、原式=(7+4)﹣+1=﹣11﹣;84 ×+9﹣12﹣12+9=﹣()95、原式=﹣=+=;﹣=2x 96、原式+)﹣+ab+=2a97、原式(=2abb×=﹣5﹣﹣98、原式=4﹣=2 +3;4﹣4+1=13;99、原式=12﹣=﹣100、原式;=2 +)==、原式101(102、原式=32﹣34=6﹣;+5××6+202×=20103、原式=7﹣3;+2=6﹣、原式104==?(﹣)=×﹣÷=3=+、原式=3÷+;105﹣1 、原式=3=2﹣﹣106﹣=2+1﹣2=1×2、原式;=+1 10721=3﹣=3﹣+12﹣108;、原式=3+4﹣109 、原式=1=﹣1=0﹣110﹣1=;、﹣+2=5))+2=﹣(111、(7+2=0;1﹣=3;112﹣、﹣+|3|﹣2 =1+3﹣﹣﹣×﹣69=﹣=4﹣)﹣113、(2=114、原式=4﹣5=﹣1;×=1;= 115、原式=;5+2﹣、原式=52﹣116﹣1=3、原式117=4﹣2﹣+=3﹣=2=1.、原式118==、原式119.=+1120、原式==5a;+6a+3a121、原式3==2a=3﹣=﹣﹣2=1=.、原式122=123、原式=12;=3+.48+2+=49124、原式﹣、原式125=.==。
二次根式混合运算125题(有答案)1、2、3、4、5、6、7、.8、9、.10、;12、;13、;14、.15、;16、.17、.18、19、21、22、.23、24、25、26、;.27、28、;;29、;30、31、;(5);32、33、;34、;35、36、3﹣9+337、÷(3×)38、39、40、;.41、42、43、44、45、;46、.47、(﹣)2﹣;48、;49、;50、.51、;52、.53、3﹣﹣+(﹣2)(+2)54、55、56、57、58、59、2÷﹣(2﹣)260、﹣2+(﹣1)261、(+2)﹣.62、63、64、65、.66、67、.68、69、70、3﹣(﹣)71、72、﹣273、74、75、76、77、÷78、×+÷﹣79、80、81、﹣.82、83、84、85、(+1)2﹣286、(+1)(1﹣)﹣(﹣1)2+(+1)287、88、89、90、;91、.92、;93、;;94、95、;96、;97、98、|﹣|+﹣;99、;;100、101、(+)2008(﹣)2009.102、;103、;104、.105、(3+)÷;106、107、;108、;109、.110、﹣1111、(﹣)(+)+2+|﹣3|﹣2﹣1(4)(﹣2)×﹣6 114、115、(2﹣);116、;117、118、.119、.120、121、122、+6a;﹣×.123、124、(2)(7+4)(7﹣4)+(2+)125、参考答案1、原式=2﹣3=﹣;2、原式=×==30;5、原式===﹣6a.6、原式=;7、原式=()2﹣(﹣1)2=2﹣(3﹣2+1)=8、原式=.9、.原式=(3﹣2+3)×=(+3)×=1+10、原式=﹣+=;11、原式=(4+)÷3=12、原式=2+3﹣=;13、原式==;14、原式=(7+)(7+)=14×2=15、原式==3+6﹣10=﹣1;16、原式=2﹣=﹣2.17、原式=﹣2+=3﹣2+=18、原式=(3﹣2)(3+2)=18﹣12=6;19、原式=(2﹣+)=(+)=+120、原式=﹣3•5÷=﹣15÷=﹣15;21、原式=3+﹣2+﹣3=;22、原式=3a+﹣2b23、原式=3﹣2+1﹣(2﹣3)=5﹣2.24、原式==25、原式=2+1﹣(﹣)=3﹣1=2.26、原式=17﹣(19﹣)=﹣2+;27、原式=2﹣3﹣2=﹣3.28、原式=4+12=;29、原式=+2﹣10=;30、原式=4﹣+=;33、原式=(2+)×﹣2=3﹣2=1;34、原式=+×6﹣m=2m+3m﹣m=0;35、原式=++1=﹣1++1=36、原式=12=(12﹣3﹣+6)=;37、原式=6÷(×)=6÷6=38、原式=+3﹣2=3+3﹣2=3+.39、原式=++×1=6+1+=7+.40、原式=×3+6×﹣2x•=2+3﹣2=3;41、原式=2﹣+3﹣2=2﹣2+142、原式=(6﹣+﹣2)÷2﹣3=3﹣+﹣﹣3=﹣+﹣;43、原式===444、=(4÷2)=45、原式=2+3﹣7=﹣2;46、原式===14.47、原式=10﹣7+=3+;48、原式=×(2﹣+)=+×=+1;49、原式=﹣1;50、原式=2+3+2﹣(2﹣3)=5+2+1=6+251、原式=4+﹣4=;52、原式=(4﹣2+6)÷=2+253、原式=6﹣3﹣+5﹣4=(6﹣3﹣)+1=+154、原式==;55、原式==.56、原式=[﹣(﹣)][+(﹣)]=5﹣(﹣)2=5﹣(5﹣2)=2.58、原式=+﹣+3=59、原式=2﹣(4﹣4+2)=2﹣6+4=6﹣6.60、原式=×2﹣2×3+5﹣2+1=﹣6﹣2+6=6﹣7.61、原式=a+2=2.62、原式=;63、原式=﹣+=﹣+=0.64、=2+﹣2=.65、=﹣=66、原式=9﹣14+4=﹣;67、原式=﹣43=﹣12=﹣11.68、原式=2×=12;69、原式=×3×=﹣;70、原式=12﹣2+6=16;71、原式=(4﹣2+6)×=2+272、原式=27÷(3×)×﹣8=3×﹣8=﹣8;73、原式=()2﹣()2=3﹣(2+2+5)=﹣4﹣274、原式=3+8=11;75、原式=2﹣12=﹣10;76、原式=5+﹣6=0;77、原式=÷=÷=1.78、原式=﹣==4+=4+.79、原式===;80、原式==9+6=1581、原式=(+)2﹣=3+2+2﹣=5+82、原式==;83、原式=;84、原式=5﹣6=﹣1;85、原式=4+=86、(1+)(1﹣)﹣(﹣1)2+(+1)2=1﹣()2﹣(2﹣2+1)+2+2+1=1﹣2﹣2+2﹣1+2+2+1=4﹣1.87、原式=+4×﹣+1=++1=1+.88、原式=(40)=30=15;92、原式=2+2+4+2=;93、原式=9﹣14+24=;94、原式=(7+4)(7﹣4)+4﹣3=49﹣48+1=2;95、原式=﹣4×+9﹣12﹣()=﹣8+9﹣12﹣+1=﹣11;96、原式=﹣+=2x+=;97、原式=2a(b﹣×+)=2ab﹣+ab=98、原式=﹣+3﹣5=2﹣4;99、原式=12﹣4+1=13﹣4;100、原式=2+﹣=;101、原式=()=102、原式=3×2﹣2×3+5×4=6﹣6+20=20;103、原式=7﹣3+2=6;104、原式=•(﹣)×=﹣=﹣105、原式=3÷+÷=3+=;106、原式=3﹣1﹣=2﹣107、原式=+1﹣×2=2+1﹣2=1;108、原式=3﹣2+1﹣1=3﹣2;109、原式=+4﹣3=110、﹣1=﹣1=﹣1=0;111、()()+2=﹣+2=5﹣7+2=0;112、+|﹣3|﹣2﹣1=1+3﹣=3;113、(﹣2)×﹣6=﹣4﹣=﹣9﹣=﹣114、原式=4﹣5=﹣1;115、原式=×=1;116、原式=5﹣2﹣5+2=;117、原式=4﹣2+﹣1=3﹣118、原式==3﹣2=1.119、原式==120、原式=+1=121、原式=3+6a=2a+3a=5a;124、原式=49﹣48+2+=3+.125、原式===.。
二次根式的加减乘除混合运算练习题一、单选题1.计算()0221+-的结果是( ).A. 5B. 4C. 3D. 2 2.若一个数的平方根与它的立方根完全相同,这个数是( )A.1B.1-C.0D.1,0±3.16的平方根是( )A.4B.4-C.4± 4.有下列说法:①负数没有立方根;②一个数的立方根不是正数就是负数;③一个正数或负数的立方根和这个数同号,0的立方根是0;④如果一个数的立方根是这个数本身,那么这个数必是1或0.其中错误的是( )A.①②③B.①②④C.②③④D.①③④( )A.2±B.4±C.4D.2 6.下列各组数中互为相反数的是( )A.2-B.2-C.2与2(D.|7.2(的平方根是x ,64的立方根是y ,则x y +的值为( )A.3B.7C.3或7D.1或78.下列等式正确的是( )712± B.32- 3=- 4=9.如图,用正方形制作的“七巧板”拼成了一只小猫,若小猫头部(图中涂色部分)的面积是2100cm ,则原正方形的边长为( )A.10cmB.15cmC.20cmD.25cm10.一个正数的两个平方根分别是21a -与2a -+,则a 的值为( )A.1-B.1C.2-D.2二、计算题11.计算:(1)12.求下列各数的立方根.1.27-2.0.0083.1252713.计算下列各式的值.1.35(5)()7-÷---14.一个正数x 的平方根是35a -与3a -,求a 和x 的值.15.已知21a -的算术平方根是3,34a b ++的立方根是2,求4a b +的平方根.16.化简:17.化简:18.计算:19.计算: 22-三、填空题20.已知m ,n 为两个连续的整数,且m n <<,则m n +=__________.21.827-的立方根为______. 22.小红做了棱长为5cm 的一个正方体盒子,小明说:“我做的盒子的体积比你的大3218cm . ”则小明的盒子的棱长为__________cm .23.一个正数x 的平方根是23a -与5a -,则x =________.1的整数部分是____________参考答案1.答案:A解析:原式415=+=,故选:A2.答案:C解析:任何实数的立方根都只有一个,而正数的平方根有两个,它们互为相反数,0的平方根是0,负数没有平方根,所以这个数是0,故选C.3.答案:C解析:16的平方根是4±.故选C.4.答案:B解析:正数的立方根是正数,负数的立方根是负数,0的立方根是0.立方根等于它本身的数有0,1和−1.所以①②④都是错误的,③正确.故选:B.5.答案:D解析:∵64的算术平方根是8,8的立方根是2,∴这个数的立方根是2.故选D.6.答案:A解析:选项A.2-2=,选项B.2-2-,选项C.2与2(2=,选项D.|=故选A.7.答案:D解析:∵2(9=,9的平方根3x =±,4y =,∴7x y +=或1.故答案为7或1.8.答案:D解析:A.原式712=,错误; B.原式3322⎛⎫=--= ⎪⎝⎭,错误; C.原式没有意义,错误;D.原式4=,正确,故选D.9.答案:C解析:()21100400cm 4÷=20(cm)=. ∴原正方形的边长为20cm .故选:C.10.答案:A解析:∵一个正数的两个平方根分别是21a -与2a -+,∴(21)(2)0a a -+-+=,解得:1a =-.故选A.11.答案:(1)原式==(2)原式63328=+-+=解析:12.答案:1.∵3(3)27-=-,∴27-的立方根是3-.2.∵3(0.2)0.008=,∴0.008的立方根是0.23.∵35125()327=, ∴12527的立方根是53解析:13.答案:1.原式5125()71687=-⨯--=. 2.原式=311722-=-. 3.原式=5712944-+=- 4.原式=115611056⨯-⨯=-=. 解析:14.答案:因为一个正数有两个平方根,它们互为相反数,所以正数x 的平方根互为相反数,即3530a a -+-=,解得1a =.当1a =时,352a -=-,()224x =-=. 解析:15.答案:21a -的算术平方根是3,34a b ++的立方根是2 219,348a a b ∴-=++=5,11,49a b a b ==-∴+=解得43a b ∴+±的平方根是 解析:16.答案:解析:17.= 解析:18.答案:174解析:19.答案:解析:20.答案:7解析:∵91116<<,即34<<,∴3m =,4n =,因此7m n +=. 21.答案:23-解析:a 827-的立方根是23-. 故答案为23-. 22.答案:7解析:小红做的正方体的盒子的体积是335125cm =.则小明的盒子的体积是3125218343cm +=.设盒子的棱长为cm x ,则3343x =,∵37343=,∴7x =,故盒子的棱长为7cm .23.答案:49解析:∵一个正数x 的平方根为23a -和5a -,∴()()2350a a -+-=,解得:2a =-.∴237a -=-,57a -=,∴()2749x =±=.故答案为:49.24.答案:3解析:162045,3R 4,1<<<∴<的整数部分是3.故答案为:3。
二次根式混合运算121题(有答案)1、2、3、4、5、6、7、8、9、10、11、12、13、14、15、16、17、18、19、20、21、22、23、24、25、26、27、28、29、30、31、32、(5)33、34、35、36、3﹣9+337、÷(3×)38、39、40、41、42、43、44、45、46、47、(﹣)2﹣48、49、50、51、52、53、3﹣﹣+(﹣2)(+2)54、55、56、57、58、59、2÷﹣(2﹣)260、﹣2+(﹣1)261、(+2)﹣62、63、64、65、66、67、68、69、70、3﹣(﹣)71、72、﹣273、74、75、76、77、÷78、×+÷﹣79、80、81、﹣82、83、84、85、(+1)2﹣286、(+1)(1﹣)﹣(﹣1)2+(+1)287、88、89、90、91、92、93、94、95、96、97、98、|﹣|+﹣99、100、101、(+)2008(﹣)2009 102、103、104、105、(3+)÷106、107、108、109、110、﹣1111、(﹣)(+)+2112、+|﹣3|﹣2﹣1 113、(﹣2)×﹣6 114、(2﹣)115、116、117、118、119、120、121、+6a二次根式混合计算121题参考答案:1、原式=2﹣3=﹣2、原式=×==303、原式=2﹣12=﹣104、原式==25、原式===﹣6a6、原式=7、原式=()2﹣(﹣1)2=2﹣(3﹣2+1)=8、原式=9、原式=(3﹣2+3)×=(+3)×=1+10、原式=﹣+=11、原式=(4+)÷3=12、原式=2+3﹣=13、原式==14、原式=(7+)(7+)=14×2=15、原式==3+6﹣10=﹣116、原式=2﹣=﹣217、原式=﹣2+=3﹣2+=18、原式=(3﹣2)(3+2)=18﹣12=619、原式=(2﹣+)=(+)=+120、原式=﹣35÷=﹣15÷=﹣1521、原式=3+﹣2+﹣3=22、原式=3a+﹣2b23、原式=3﹣2+1﹣(2﹣3)=5﹣224、原式==25、原式=2+1﹣(﹣)=3﹣1=226、原式=17﹣(19﹣)=﹣2+27、原式=2﹣3﹣2=﹣328、原式=4+12=29、原式=+2﹣10=30、原式=4﹣+=31、原式=6﹣5=132、原式=12+18﹣12=33、原式=(2+)×﹣2=3﹣2=134、原式=+×6﹣m=2m+3m﹣m=035、原式=++1=﹣1++1=36、原式=12=(12﹣3﹣+6)=37、原式=6÷(×)=6÷6=38、原式=+3﹣2=3+3﹣2=3+39、原式=++×1=6+1+=7+40、原式=×3+6×﹣2x=2+3﹣2=341、原式=2﹣+3﹣2=2﹣2+142、原式=(6﹣+﹣2)÷2﹣3=3﹣+﹣﹣3=﹣+﹣43、原式===444、=(4÷2)=45、原式=2+3﹣7=﹣246、原式===1447、原式=10﹣7+=3+48、原式=×(2﹣+)=+×=+149、原式=﹣150、原式=2+3+2﹣(2﹣3)=5+2+1=6+251、原式=4+﹣4=52、原式=(4﹣2+6)÷=2+253、原式=6﹣3﹣+5﹣4=(6﹣3﹣)+1=+154、原式==55、原式==56、原式=[﹣(﹣)][+(﹣)]=5﹣(﹣)2=5﹣(5﹣2)=257、原式=4×2﹣16+12﹣16﹣8=﹣4﹣1658、原式=+﹣+3=59、原式=2﹣(4﹣4+2)=2﹣6+4=6﹣660、原式=×2﹣2×3+5﹣2+1=﹣6﹣2+6=6﹣761、原式=a+2=262、原式=63、原式=﹣+=﹣+=064、=2+﹣2=65、=﹣=66、原式=9﹣14+4=﹣67、原式=﹣43=﹣12=﹣1168、原式=2×=1269、原式=×3×=﹣70、原式=12﹣2+6=1671、原式=(4﹣2+6)×=2+272、原式=27÷(3×)×﹣8=3×﹣8=﹣873、原式=()2﹣()2=3﹣(2+2+5)=﹣4﹣274、原式=3+8=1175、原式=2﹣12=﹣1076、原式=5+﹣6=077、原式=÷=÷=178、原式=﹣==4+=4+79、原式===80、原式==9+6=1581、原式=(+)2﹣=3+2+2﹣=5+82、原式==83、原式=84、原式=5﹣6=﹣185、原式=4+=86、(1+)(1﹣)﹣(﹣1)2+(+1)2=1﹣()2﹣(2﹣2+1)+2+2+1=1﹣2﹣2+2﹣1+2+2+1=4﹣187、原式=+4×﹣+1=++1=1+88、原式=(40)=30=1589、原式=2+2=2+90、原式===91、原式===1292、原式=2+2+4+2=93、原式=9﹣14+24=94、原式=(7+4)(7﹣4)+4﹣3=49﹣48+1=295、原式=﹣4×+9﹣12﹣()=﹣8+9﹣12﹣+1=﹣1196、原式=﹣+=2x+=97、原式=2a(b﹣×+)=2ab﹣+ab=98、原式=﹣+3﹣5=2﹣499、原式=12﹣4+1=13﹣4100、原式=2+﹣=101、原式=()=102、原式=3×2﹣2×3+5×4=6﹣6+20=20103、原式=7﹣3+2=6104、原式=(﹣)×=﹣=﹣105、原式=3÷+÷=3+=106、原式=3﹣1﹣=2﹣107、原式=+1﹣×2=2+1﹣2=1108、原式=3﹣2+1﹣1=3﹣2109、原式=+4﹣3=110、﹣1=﹣1=﹣1=0111、()()+2=﹣+2=5﹣7+2=0 112、+|﹣3|﹣2﹣1=1+3﹣=3113、(﹣2)×﹣6=﹣4﹣=﹣9﹣=﹣114、原式=4﹣5=﹣1115、原式=×=1116、原式=5﹣2﹣5+2=117、原式=4﹣2+﹣1=3﹣118、原式==3﹣2=1119、原式==120、原式=+1=121、原式=3+6a=2a+3a=5a。
八年级上二次根式混合运算155题(后125道有答案)一、计算题1、3645 2、125 3、20 4、143 5、98166、3649⨯7、516⨯8、43 9、48 10、5311、51 12、28 13、90 14、58 15、2.116、644⨯ 17、325⨯ 18、71 19、5210⨯ 20、510⨯21、326⨯ 22、73 23、5092⨯ 24、4312⨯ 25、()22-2326、2218⨯⎪⎪⎭⎫ ⎝⎛+27、520-25 28、18-2229、13⨯30、315⨯二、计算题1、2、3、4、5、6、7、.8、9、.11、.12、;13、;14、.15、;16、.17、.19、20、;21、22、.23、24、25、.27、28、;;29、;30、31、;(5);32、33、;35、36、3﹣9+337、÷(3×)38、39、40、;.41、42、43、44、45、;46、.47、(﹣)2﹣;48、;49、;50、.51、;52、.53、3﹣﹣+(﹣2)(+2)54、55、56、57、59、2÷﹣(2﹣)260、﹣2+(﹣1)261、(+2)﹣.62、63、64、65、.66、68、69、70、3﹣(﹣)71、72、﹣273、74、75、76、77、÷78、×+÷﹣79、80、81、﹣.82、83、84、85、(+1)2﹣286、(+1)(1﹣)﹣(﹣1)2+(+1)287、88、89、90、;91、.92、;93、;;94、95、;96、;97、98、|﹣|+﹣;99、;;100、101、(+)2008(﹣)2009.102、;103、;104、.105、(3+)÷;106、107、;108、;109、.110、﹣1111、(﹣)(+)+2+|﹣3|﹣2﹣1(4)(﹣2)×﹣6 114、115、(2﹣);116、;117、118、.119、.120、121、122、+6a;﹣×.123、124、(2)(7+4)(7﹣4)+(2+)125、参考答案1、原式=2﹣3=﹣;2、原式=×==30;3、原式=2﹣12=﹣10.4、原式==2.5、原式===﹣6a.6、原式=;7、原式=()2﹣(﹣1)2=2﹣(3﹣2+1)=8、原式=.9、.原式=(3﹣2+3)×=(+3)×=1+10、原式=﹣+=;11、原式=(4+)÷3=12、原式=2+3﹣=;13、原式==;14、原式=(7+)(7+)=14×2=15、原式==3+6﹣10=﹣1;16、原式=2﹣=﹣2.17、原式=﹣2+=3﹣2+=18、原式=(3﹣2)(3+2)=18﹣12=6;19、原式=(2﹣+)=(+)=+120、原式=﹣3•5÷=﹣15÷=﹣15;21、原式=3+﹣2+﹣3=;22、原式=3a+﹣2b23、原式=3﹣2+1﹣(2﹣3)=5﹣2.24、原式==25、原式=2+1﹣(﹣)=3﹣1=2.26、原式=17﹣(19﹣)=﹣2+;27、原式=2﹣3﹣2=﹣3.28、原式=4+12=;29、原式=+2﹣10=;30、原式=4﹣+=;31、原式=6﹣5=1;32、原式=12+18﹣12=;33、原式=(2+)×﹣2=3﹣2=1;34、原式=+×6﹣m=2m+3m﹣m=0;35、原式=++1=﹣1++1=36、原式=12=(12﹣3﹣+6)=;37、原式=6÷(×)=6÷6=38、原式=+3﹣2=3+3﹣2=3+.39、原式=++×1=6+1+=7+.40、原式=×3+6×﹣2x•=2+3﹣2=3;41、原式=2﹣+3﹣2=2﹣2+142、原式=(6﹣+﹣2)÷2﹣3=3﹣+﹣﹣3=﹣+﹣;43、原式===444、=(4÷2)=45、原式=2+3﹣7=﹣2;46、原式===14.47、原式=10﹣7+=3+;48、原式=×(2﹣+)=+×=+1;49、原式=﹣1;50、原式=2+3+2﹣(2﹣3)=5+2+1=6+251、原式=4+﹣4=;52、原式=(4﹣2+6)÷=2+253、原式=6﹣3﹣+5﹣4=(6﹣3﹣)+1=+154、原式==;55、原式==.56、原式=[﹣(﹣)][+(﹣)]=5﹣(﹣)2=5﹣(5﹣2)=2.57、原式=4×2﹣16+12﹣16﹣8=﹣4﹣16;58、原式=+﹣+3=59、原式=2﹣(4﹣4+2)=2﹣6+4=6﹣6.60、原式=×2﹣2×3+5﹣2+1=﹣6﹣2+6=6﹣7.61、原式=a+2=2.62、原式=;63、原式=﹣+=﹣+=0.64、=2+﹣2=.65、=﹣=66、原式=9﹣14+4=﹣;67、原式=﹣43=﹣12=﹣11.68、原式=2×=12;69、原式=×3×=﹣;70、原式=12﹣2+6=16;71、原式=(4﹣2+6)×=2+272、原式=27÷(3×)×﹣8=3×﹣8=﹣8;73、原式=()2﹣()2=3﹣(2+2+5)=﹣4﹣274、原式=3+8=11;75、原式=2﹣12=﹣10;76、原式=5+﹣6=0;77、原式=÷=÷=1.78、原式=﹣==4+=4+.79、原式===;80、原式==9+6=1581、原式=(+)2﹣=3+2+2﹣=5+82、原式==;83、原式=;84、原式=5﹣6=﹣1;85、原式=4+=86、(1+)(1﹣)﹣(﹣1)2+(+1)2=1﹣()2﹣(2﹣2+1)+2+2+1=1﹣2﹣2+2﹣1+2+2+1=4﹣1.87、原式=+4×﹣+1=++1=1+.88、原式=(40)=30=15;89、原式=2+2=2+.90、原式===;91、原式===12.92、原式=2+2+4+2=;93、原式=9﹣14+24=;94、原式=(7+4)(7﹣4)+4﹣3=49﹣48+1=2;95、原式=﹣4×+9﹣12﹣()=﹣8+9﹣12﹣+1=﹣11;96、原式=﹣+=2x+=;97、原式=2a(b﹣×+)=2ab﹣+ab=98、原式=﹣+3﹣5=2﹣4;99、原式=12﹣4+1=13﹣4;100、原式=2+﹣=;101、原式=()=102、原式=3×2﹣2×3+5×4=6﹣6+20=20;103、原式=7﹣3+2=6;104、原式=•(﹣)×=﹣=﹣105、原式=3÷+÷=3+=;106、原式=3﹣1﹣=2﹣107、原式=+1﹣×2=2+1﹣2=1;108、原式=3﹣2+1﹣1=3﹣2;109、原式=+4﹣3=110、﹣1=﹣1=﹣1=0;111、()()+2=﹣+2=5﹣7+2=0;112、+|﹣3|﹣2﹣1=1+3﹣=3;113、(﹣2)×﹣6=﹣4﹣=﹣9﹣=﹣114、原式=4﹣5=﹣1;115、原式=×=1;116、原式=5﹣2﹣5+2=;117、原式=4﹣2+﹣1=3﹣118、原式==3﹣2=1.119、原式==120、原式=+1=121、原式=3+6a=2a+3a=5a;122、原式=﹣=﹣=3﹣2=1.123、原式==12;124、原式=49﹣48+2+=3+.125、原式===.。
初中数学二次根式的加减乘除混合运算练习题一、单选题1.下列计算或运算中, 正确的是( )A.===-= 2.下列计算正确的是( )A ==4= D =3. )A .2-B .2±C .2D .4 4.下列是最简二次根式( )A C 5.下列说法中,正确的是( )A 3=±B .64的立方根是4±C .6D .25的算术平方根是5 6.下列运算正确的是( )A 2=-B .26=C =D =7.下列二次根式中,x 的取值范围是3x ≥的是( )AB C D 8.下列计算中,正确的是( )4±B.9.3的平方根是( )A.9 C. D.10. )A.3和4之间B.4和5之间C.5和6之间D.6和7之间二、计算题11.计算下列各式的值.1.35(5)()7-÷---三、填空题12.已知,x y 10y +=,则y x += .13.计算= .14.= . 15.如果一个正方形的面积是3,那么它的边长是 .参考答案1.答案:B解析:A.22=⨯=;==C.÷=D.-=故选B. 2.答案:A解析:3.答案:C解析:2==.故选:C .4.答案:C=2=; C 5.答案:D解析:解:A 3=,此选项错误;B .64的立方根是4,此选项错误;C.6的平方根是,此选项错误;D.25的算术平方根是5,此选项正确;故选:D.6.答案:D解析:2=,故本选项错误;B:212=,故本选项错误;CD:根据二次根式乘法运算的法则知本选项正确.故选:D.7.答案:C解析:8.答案:D9.答案:D解析:3的平方根是10.答案:B解析:5==,又,4和5之间,选B.11.答案:1.原式5125()71687=-⨯--=.2.原式=311722 -=-.3.原式=57 12944 -+=-4.原式=1156110 56⨯-⨯=-=.解析:12.答案:1解析:由题意得,2010xy-=⎧⎨+=⎩,解得21xy=⎧⎨=-⎩,则121y x+=-+=13.答案:2====.解析:解:原式2故答案为:214.答案:2===解析:原式2故答案为215.解析:。
二次根式的加减乘除混合运算练习题
一、单选题
1.计算()0221+-的结果是( ).
A. 5
B. 4
C. 3
D. 2 2.若一个数的平方根与它的立方根完全相同,这个数是( )
A.1
B.1-
C.0
D.1,0±
3.16的平方根是( )
A.4
B.4-
C.4± 4.有下列说法:
①负数没有立方根;
②一个数的立方根不是正数就是负数;
③一个正数或负数的立方根和这个数同号,0的立方根是0;
④如果一个数的立方根是这个数本身,那么这个数必是1或0.
其中错误的是( )
A.①②③
B.①②④
C.②③④
D.①③④
( )
A.2±
B.4±
C.4
D.2 6.下列各组数中互为相反数的是( )
A.2-
B.2-
C.2与2(
D.|
7.2(的平方根是x ,64的立方根是y ,则x y +的值为( )
A.3
B.7
C.3或7
D.1或7
8.下列等式正确的是( )
712± B.32- 3=- 4=
9.如图,用正方形制作的“七巧板”拼成了一只小猫,若小猫头部(图中涂色部分)的面积是2100cm ,则原正方形的边长为( )
A.10cm
B.15cm
C.20cm
D.25cm
10.一个正数的两个平方根分别是21a -与2a -+,则a 的值为( )
A.1-
B.1
C.2-
D.2
二、计算题
11.计算:
(1)
12.求下列各数的立方根.
1.27-
2.0.008
3.12527
13.计算下列各式的值.
1.35(5)()7
-÷-
-
-
14.一个正数x 的平方根是35a -与3a -,求a 和x 的值.
15.已知21a -的算术平方根是3,34a b ++的立方根是2,求4a b +的平方根.
16.化简:
17.化简:
18.计算:
19.计算: 22-
三、填空题
20.已知m ,n 为两个连续的整数,且m n <<,则m n +=__________.
21.827
-的立方根为______. 22.小红做了棱长为5cm 的一个正方体盒子,小明说:“我做的盒子的体积比你的大3218cm . ”则小明的盒子的棱长为__________cm .
23.一个正数x 的平方根是23a -与5a -,则x =________.
1的整数部分是____________
参考答案
1.答案:A
解析:原式415=+=,故选:A
2.答案:C
解析:任何实数的立方根都只有一个,而正数的平方根有两个,它们互为相反数,0的平方根是0,负数没有平方根,所以这个数是0,故选C.
3.答案:C
解析:16的平方根是4±.故选C.
4.答案:B
解析:正数的立方根是正数,负数的立方根是负数,0的立方根是0.立方根等于它本身的数有0,1和−1.所以①②④都是错误的,③正确.故选:B.
5.答案:D
解析:∵64的算术平方根是8,8的立方根是2,
∴这个数的立方根是2.故选D.
6.答案:A
解析:选项A.2-2=,
选项B.2-2-,
选项C.2与2(2=,
选项D.|=
故选A.
7.答案:D
解析:∵2(9=,9的平方根3x =±,4y =,
∴7x y +=或1.故答案为7或1.
8.答案:D
解析:A.原式712
=,错误; B.原式3322
⎛⎫=--= ⎪⎝⎭,错误; C.原式没有意义,错误;
D.原式4=,正确,
故选D.
9.答案:C
解析:()21100400cm 4
÷=20(cm)=. ∴原正方形的边长为20cm .
故选:C.
10.答案:A
解析:∵一个正数的两个平方根分别是21a -与2a -+,
∴(21)(2)0a a -+-+=,解得:1a =-.
故选A.
11.答案:(1)原式==(2)原式63328=+-+=
解析:
12.答案:1.∵3(3)27-=-,
∴27-的立方根是3-.
2.∵3(0.2)0.008=,
∴0.008的立方根是0.2
3.∵35125()327
=, ∴12527的立方根是53
解析:
13.答案:1.原式5125()71687
=-⨯--=. 2.原式=
311722-=-. 3.原式=5712944
-+=- 4.原式=115611056
⨯-⨯=-=. 解析:
14.答案:因为一个正数有两个平方根,它们互为相反数,所以正数x 的平方根互为相反数,即3530a a -+-=,
解得1a =.
当1a =时,352a -=-,
()2
24x =-=. 解析:
15.答案:21a -的算术平方根是3,34a b ++的立方根是2 219,348a a b ∴-=++=5,11,49a b a b ==-∴+=解得43a b ∴+±的平方根是 解析:
16.答案:
解析:
17.= 解析:
18.答案:17
4
解析:
19.答案:解析:
20.答案:7
解析:∵91116<<,即34<<,∴3m =,4n =,因此7m n +=. 21.答案:23
-
解析:a 827-的立方根是23
-. 故答案为23
-. 22.答案:7
解析:小红做的正方体的盒子的体积是335125cm =.
则小明的盒子的体积是3125218343cm +=.
设盒子的棱长为cm x ,则3343x =,
∵37343=,∴7x =,故盒子的棱长为7cm .
23.答案:49
解析:∵一个正数x 的平方根为23a -和5a -,
∴()()2350a a -+-=,解得:2a =-.
∴237a -=-,57a -=,∴()2749x =±=.
故答案为:49.
24.答案:3
解析:162045,3R 4,1<<<∴<的整数部分是3.故答案为:3。