(完整版)二次根式加减乘除运算训练题
- 格式:doc
- 大小:205.01 KB
- 文档页数:4
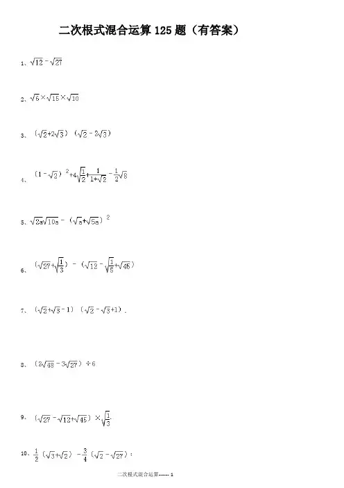
二次根式混合运算125题(有答案)1、2、3、4、5、6、7、.8、9、.11、.12、;13、;14、.15、;16、.17、.19、20、;21、22、.23、24、25、26、;.27、28、;;29、;30、31、;(5);32、33、;34、;35、36、3﹣9+337、÷(3×)38、39、40、;.41、43、44、45、;46、.47、(﹣)2﹣;48、;49、;51、;52、.53、3﹣﹣+(﹣2)(+2)54、55、56、57、59、2÷﹣(2﹣)260、﹣2+(﹣1)261、(+2)﹣.62、63、64、65、.66、68、69、70、3﹣(﹣)71、72、﹣273、74、75、76、77、÷78、×+÷﹣79、80、81、﹣.82、83、84、85、(+1)2﹣286、(+1)(1﹣)﹣(﹣1)2+(+1)287、88、89、90、;91、.92、;93、;;94、95、;96、;97、98、|﹣|+﹣;99、;;100、101、(+)2008(﹣)2009.102、;103、;104、.105、(3+)÷;106、107、;108、;109、.110、﹣1111、(﹣)(+)+2+|﹣3|﹣2﹣1(4)(﹣2)×﹣6 114、115、(2﹣);116、;117、118、.119、.120、121、122、+6a;﹣×.123、124、(2)(7+4)(7﹣4)+(2+)125、参考答案1、原式=2﹣3=﹣;2、原式=×==30;3、原式=2﹣12=﹣10.4、原式==2.5、原式===﹣6a.6、原式=;7、原式=()2﹣(﹣1)2=2﹣(3﹣2+1)=8、原式=.9、.原式=(3﹣2+3)×=(+3)×=1+10、原式=﹣+=;11、原式=(4+)÷3=12、原式=2+3﹣=;13、原式==;14、原式=(7+)(7+)=14×2=15、原式==3+6﹣10=﹣1;16、原式=2﹣=﹣2.17、原式=﹣2+=3﹣2+=18、原式=(3﹣2)(3+2)=18﹣12=6;19、原式=(2﹣+)=(+)=+120、原式=﹣3•5÷=﹣15÷=﹣15;21、原式=3+﹣2+﹣3=;22、原式=3a+﹣2b23、原式=3﹣2+1﹣(2﹣3)=5﹣2.24、原式==25、原式=2+1﹣(﹣)=3﹣1=2.26、原式=17﹣(19﹣)=﹣2+;27、原式=2﹣3﹣2=﹣3.28、原式=4+12=;29、原式=+2﹣10=;30、原式=4﹣+=;31、原式=6﹣5=1;32、原式=12+18﹣12=;33、原式=(2+)×﹣2=3﹣2=1;34、原式=+×6﹣m=2m+3m﹣m=0;35、原式=++1=﹣1++1=36、原式=12=(12﹣3﹣+6)=;37、原式=6÷(×)=6÷6=38、原式=+3﹣2=3+3﹣2=3+.39、原式=++×1=6+1+=7+.40、原式=×3+6×﹣2x•=2+3﹣2=3;41、原式=2﹣+3﹣2=2﹣2+142、原式=(6﹣+﹣2)÷2﹣3=3﹣+﹣﹣3=﹣+﹣;43、原式===444、=(4÷2)=45、原式=2+3﹣7=﹣2;46、原式===14.47、原式=10﹣7+=3+;48、原式=×(2﹣+)=+×=+1;49、原式=﹣1;50、原式=2+3+2﹣(2﹣3)=5+2+1=6+251、原式=4+﹣4=;52、原式=(4﹣2+6)÷=2+253、原式=6﹣3﹣+5﹣4=(6﹣3﹣)+1=+154、原式==;55、原式==.56、原式=[﹣(﹣)][+(﹣)]=5﹣(﹣)2=5﹣(5﹣2)=2.57、原式=4×2﹣16+12﹣16﹣8=﹣4﹣16;58、原式=+﹣+3=59、原式=2﹣(4﹣4+2)=2﹣6+4=6﹣6.60、原式=×2﹣2×3+5﹣2+1=﹣6﹣2+6=6﹣7.61、原式=a+2=2.62、原式=;63、原式=﹣+=﹣+=0.64、=2+﹣2=.65、=﹣=66、原式=9﹣14+4=﹣;67、原式=﹣43=﹣12=﹣11.68、原式=2×=12;69、原式=×3×=﹣;70、原式=12﹣2+6=16;71、原式=(4﹣2+6)×=2+272、原式=27÷(3×)×﹣8=3×﹣8=﹣8;73、原式=()2﹣()2=3﹣(2+2+5)=﹣4﹣274、原式=3+8=11;75、原式=2﹣12=﹣10;76、原式=5+﹣6=0;77、原式=÷=÷=1.78、原式=﹣==4+=4+.79、原式===;80、原式==9+6=1581、原式=(+)2﹣=3+2+2﹣=5+82、原式==;83、原式=;84、原式=5﹣6=﹣1;85、原式=4+=86、(1+)(1﹣)﹣(﹣1)2+(+1)2=1﹣()2﹣(2﹣2+1)+2+2+1=1﹣2﹣2+2﹣1+2+2+1=4﹣1.87、原式=+4×﹣+1=++1=1+.88、原式=(40)=30=15;89、原式=2+2=2+.90、原式===;91、原式===12.92、原式=2+2+4+2=;93、原式=9﹣14+24=;94、原式=(7+4)(7﹣4)+4﹣3=49﹣48+1=2;95、原式=﹣4×+9﹣12﹣()=﹣8+9﹣12﹣+1=﹣11;96、原式=﹣+=2x+=;97、原式=2a(b﹣×+)=2ab﹣+ab=98、原式=﹣+3﹣5=2﹣4;99、原式=12﹣4+1=13﹣4;100、原式=2+﹣=;101、原式=()=102、原式=3×2﹣2×3+5×4=6﹣6+20=20;103、原式=7﹣3+2=6;104、原式=•(﹣)×=﹣=﹣105、原式=3÷+÷=3+=;106、原式=3﹣1﹣=2﹣107、原式=+1﹣×2=2+1﹣2=1;108、原式=3﹣2+1﹣1=3﹣2;109、原式=+4﹣3=110、﹣1=﹣1=﹣1=0;111、()()+2=﹣+2=5﹣7+2=0;112、+|﹣3|﹣2﹣1=1+3﹣=3;113、(﹣2)×﹣6=﹣4﹣=﹣9﹣=﹣114、原式=4﹣5=﹣1;115、原式=×=1;116、原式=5﹣2﹣5+2=;117、原式=4﹣2+﹣1=3﹣118、原式==3﹣2=1.119、原式==120、原式=+1=121、原式=3+6a=2a+3a=5a;122、原式=﹣=﹣=3﹣2=1.123、原式==12;124、原式=49﹣48+2+=3+.125、原式===.二次根式混合运算---- 21。
二次根式的加减乘除混合运算练习题一、单选题1.计算*+(-1)°的结果是().A.5B.4C. 3D.2 2,若一个数的平方根与它的立方根完全相同,这个数是()A.lB.-lC.OD.±hO3.16的平方根是()A.4B.TC.±4D.V164.有下列说法:①负数没有立方根:②一个数的立方根不是正数就是负数:③一个正数或负数的立方根和这个数同号,0的立方根是0;④如果一个数的立方根是这个数本身,那么这个数必是1或0.其中错误的是()A.①@ ③B.®@@5.依的立方根是()A.±2B.±46.下歹ij各组数中互为相反数的是()A.-2与42yB.-2与舛C.@@④C.4C.2 与(-V2)2D.①③④D.27.(一6尸的平方根是x , 64的立方根是y ,则x+y的值为()A.3B.7C.3 或78.下列等式正确的是()飞W cd D.1 或7 D・^F = 49.如图,用正方形制作的“七巧板”拼成了一只小猫,若小猫头部(图中涂色部分)的而积是100cm2,则原正方形的边长为()A. 10 cmB.15cmC. 20 cmD. 25 cm10•一个正数的两个平方根分别是为-1与-“ + 2,则4的值为()A.-lB.lC.-2D.2二、计算题11.计算:⑴36+ 26-2(b-2回⑵屈一始彷-/-闾+强12.求下列各数的立方根.1.-272.0.0081252713.计算下列各式的值.].(_5)3«}一闻2爵回3.席-亚+同4.氏旧7-/7、京14.一个正数x的平方根是34-5与3-“,求”和x的值.15.已知2。
一1的算术平方根是3,勿+8+ 4的立方根是2,求的平方根.16.化简:6#+341 rr / U 冬X /81X1 25L・化简:J ---------V 14418.计算:(一>/3 + \/8)(>/8 — >/3)2 219.计算:(>/^+—(J^7—J^)-三、填空题20.已知m , n为两个连续的整数,且〃i< JFT<〃,则/〃 + 〃 =.2L—9的立方根为________ .2722.小红做了棱长为5cm的一个正方体盒子,小明说:“我做的盒子的体积比你的大218cm'”则小明的盒子的棱长为cm .23.一个正数A-的平方根是% —3与5-〃,则工=.24.720-1的整数部分是______________参考答案1.答案:A解析:原式= 4 + 1 = 5,故选:A2.答案:C解析:任何实数的立方根都只有一个,而正数的平方根有两个,它们互为相反数,。
8 1 2501 824 15 2 232 3 30 30 330 33 12 1 35 7 ab a b a ba b二次根式加减乘除运算上次课程检测:1. 下列二次根式中与 不是同类二次根式的是( )A.B.C.D .2.( -3 +2 )× 的值是( ).20 2 2 20 A .-3 B .3 -C .2 -D .- 333.计算: (1)⎛ ⎫33(2)⎛ 1 ⎫-13 - 2 + 48 ⎪÷ 2 6 ⎪ - 2009 + -2 - ⎝ ⎭ ⎝ ⎭4. 当 x = + , y = - 7 ,求 x 2 - xy + y 2 的值.5. 如图 1,一根树在离地面 9 米处断裂,树的顶部落在离底部 12 米处.树折断之前有多少米.图 1新授一、选择题:1. 估计 8 ⨯ 的运算结果应在()A .1 到 2 之间B .2 到 3 之间C .3 到 4 之间D .4 到 5 之间2. 等式x +1 x -1 =)A .x ≥1B .x ≥-1C .-1≤x ≤1D .x ≥1 或 x ≤-1 3.设 a >0,b >0,则下列运算错误的是( )A.= • B . = + C . ( a )2 = aD . = 54303 2015 15 1 4x 2-1 a + b ab3 3 2 6 8 2 24 32 13 2 5 - a 3b 0.54 4. ①3 +3=6 ;② 1 7=1;③ + = =2 ;④ =2 ,其中错误的有( ).A .3 个B .2 个C .1 个D .0 个1 5. 下列判断⑴ 和 348不是同类二次根式;⑵ 和 不是同类二次根式;⑶ 8x 与 不是同类二次根式,其中错误的个数是( ) A 、3 B 、2 C 、1 D 、0 6. 如果 a 是任意实数,下列各式中一定有意义的是( ) A 、 a B 、 C 、3 -a D 、 -a 27. 如图 1,分别以直角△ABC 的三边 AB ,BC ,CA 为直径向外作半圆.设直线 AB 左边阴影部分的面积为 S 1,右边阴影部分的面积和为 S 2,则( ) A.S 1=S 2B.S 1<S 2C.S 1>S 2D.无法确定8. 如图 2,长方体的长为 15,宽为 10,高为 20,点B 离点C 的距离为 5,一只 蚂蚁如果要沿着长方体的表面从点 A 爬到点 B ,需要爬行的最短距离是( )A . 5B .25C .10 + 5D . 35图 1 二、填空图 2图 3 图 41.如图 3,从点 A (0,2) 发出的一束光,经 x 轴反射,过点 B (4,3) ,则这束光从点 A 到点 B所经过路径的长为 .2. 如图 4,学校有一块长方形花铺,有极少数人为了避开拐角走“捷径”,在花铺内走出了一条“路”.他们仅仅少走了 步路(假设 2 步为 1 米),却踩伤了花草. 3、二次根式外(内)的因式移到根号内(外)(1) 化简a 的结果是.(2) 已知 a<b,化简二次根式 的结果是.(3)把(a -1) 中根号外的因式移到根号内,则原式应等于4.设 = a , = b , = .(用含 a 、b 的式子表示)5.定义运算“☆”的运算法则为 x ☆y= xy + 4 ,则(2☆6)☆6=.6.若 5+ 7的小数部分是 a ,5- 7的小数部分是 b ,则 ab +5b =3m4m“路”ACB 7 21- 1 a- 1 a -12 312127x2+1- 2x2xy31xyx ⎪三、计算:(1)⎛1 ⎫4+(- 10)0+8⨯ (2)- 3 + ( - 1)0- ( 6)2⎝⎭(3 ) 2 - 4 + 3 (4)( + 2 ·)( - 2 ·) +(8 )-1四、简答1、已知x2- 3x +1 = 0 ,求的值.2.已知4x2+y2-4x-6y+10=0,求(2x3+y2 )-(x2 -5x )的值.5248 3 3 29x-1x 2 - 5x + 4 x 2-13.9 - x ,且 x 为偶数,求(1+x ) 的值. x - 64. 如图,圆柱形玻璃杯,高为 12cm ,底面周长为 18cm ,在杯内离杯底 4cm 的点 C 处有一滴蜂蜜, 一只蚂蚁正好在杯外壁,离杯上沿 4cm 与蜂蜜相对的点 A 处,则蚂蚁到达蜂蜜的最短距离多少 cm ?5. 为了丰富少年儿童的业余生活,某社区要在如图所示 AB 所在的直线建一图书室,本社区有两所学校所在的位置在点 C 和点 D 处,CA ⊥AB 于 A ,DB ⊥AB 于 B ,已知 AB = 25km ,CA = 15 km ,DB = 10km ,试问:图书室 E 应该建在距点 A 多少 km 处,才能使它到两所学校的距离相等.AE BC9 - xx - 6 D=。
二次根式的加减练习题一. 选择题:1. 化简a a a 13---得( ) A. (a -1)a -B. (1-a)a -C. -(a+1)aD. (a -1)a 2. 计算的结果是2736123+-( ) A. 33 B. 3 C. -36 D. -333. 设x =35,354-=+y ,则x 与y 的大小关系为( ) A. x>y B. x =yC. x<yD. x =-y 二. 填空: 4. 下列二次根式:①222②12-③81④98⑤118其中为非最简二次根式的有(在横线上写题号) ,与2是同类二次根式的有(写题号)5. 合并同类二次根式的结果为2927xy xy xy -- 。
6. 已知的值是则x x x x x ,151246932=-+ 。
三. 解答题:7. 已知的值求a a a a a -+-+=2212,321。
8. 计算: (1)a a a a a 1882624--+ (2)2)154154(--+(3))22(28+- (4)121|2|)2()21(01---+---π(5)814121218-+-+9. 条件求值: (1)已知:的值求11,122--++=x x x x 。
(2)已知:134,3223++-+=x x x x 求的值。
(3)已知:的值求代数式12944,212234+--++=x x x x x 。
10. 已知菱形ABCD 的对角线AC =472,472-=+BD ,求菱形的边长和面积。
参考答案1. B2. A3. A4. ②,③,④ ①,②,③,④5. 06. 257.解:32)32)(32(32321-=-+-=+=a ∴原式结果为-2-38. (1)原式=a a a a a 2323222622=--+(2)原式=628)154()154)(154(2)154(22=-=-+-+-+ (3)-2 (4)0 (5)39. (1)x+11111)1)(1(122--=----+=--x x x x x x x x 当221121,12-=-+-=+=原式时x (2)解:∵32+=x ∴32=-x 两边平方得x 2-4x+1=0 ∴5325)2(2)14(134223+=+-++-=++-x x x x x x x (3)解:∵212+=x ,212=-x ,∴4x 2-4x -1=0 1)144(2)144(1288441294422223234234+--+--=+--+--=+--+∴x x x x x x x x x x x x x x x x=1 10. 解:(菱形的边长)2=22)2472()2472(22=-++∴菱形的边长=6)472)(472(21,22=-+⨯=面积。
二次根式乘除加减练习测试题附参考答案The pony was revised in January 2021二次根式的乘除,加减练习题双基演练1.23×(-25)=_________,a ×ab =________.2.(2×7)2=_______,22(2)(3)⨯=________.3.15×5=_________, 3.6 5.4⨯=_________,3bc ×13c b-=_______. 4.设长方形的长a=250,宽b=332,则面积S=________.5.已知,x>0,y>0,则2x y ·2xy =__________.6.化简462a a b +结果等于()A .a 2(a 2+b )B .a (a 2+b )C .a 222a ab +D .a 2221a b +7.已知a=2,b=10,用含a 、b 的代数式表示20,这个代数式是()A .a+bB .abC .2aD .2b8.若29x -=3x -·3x +,则x 的取值范围是()A .-3≤x ≤3B .x>-3C .x ≤3D .-3<x<3能力提升93153×(-1210 313223③3m ·3n m ·223m n n ④52xy y ×(-323x y )×35x y10.计算(23-×23+)2002=_______.11.当x<0,y<0时,下列等式成立的是()A .2x y x y =-B .2xy y x =C .393x y x xy =-D .429x y =3x 2y12.若把根号外的因式移到根号内,则a 1a-等于() A .-a -B .a -C .-a D .a13.仿照20.5=22×0.5=220.5⨯=2的做法,化简下列各式:①100.1=②515= 聚焦中考14.下列各数中,与数32-积为有理数的是( )A 32+B 32-C 32+-D 315.已知b a <,化简b a 3-的正确结果是( )A ab a --B ab a -C ab aD ab a -16.观察分析下列数据,寻找规律:0,3,6,3,32,15,……那么第10个数是_____17.(2004。
二次根式乘法加减法练习题(打印版)1. 乘法运算- 计算 \(\sqrt{2} \times \sqrt{3}\)- 计算 \(\sqrt{8} \times \sqrt{18}\)- 计算 \(2\sqrt{3} \times 3\sqrt{2}\)- 计算 \(\sqrt{50} \times \sqrt{32}\)2. 加减法运算- 简化 \(\sqrt{48} + \sqrt{12}\)- 简化 \(5\sqrt{7} - 2\sqrt{7}\)- 简化 \(\sqrt{75} - 3\sqrt{27}\)- 简化 \(4\sqrt{11} + 3\sqrt{11}\)3. 混合运算- 计算 \((\sqrt{2} + \sqrt{3})^2\)- 计算 \((\sqrt{5} - \sqrt{2}) \times (\sqrt{5} +\sqrt{2})\)- 计算 \(\frac{\sqrt{13} + \sqrt{3}}{\sqrt{13} -\sqrt{3}}\)- 计算 \(\sqrt{8} + \sqrt{18} - 2\sqrt{2}\)4. 应用题- 如果一个直角三角形的两条直角边分别为 \(\sqrt{3}\) 米和\(\sqrt{4}\) 米,求斜边的长度。
- 一个长方体的长、宽、高分别为 \(\sqrt{2}\) 米,\(\sqrt{3}\) 米和 \(\sqrt{5}\) 米,求其体积。
5. 拓展练习- 证明 \((\sqrt{a} + \sqrt{b})^2 = a + b + 2\sqrt{ab}\) 对所有正实数 \(a\) 和 \(b\) 成立。
- 如果 \(\sqrt{a} + \sqrt{b} = 7\) 且 \(\sqrt{a} - \sqrt{b} = 1\),求 \(a\) 和 \(b\) 的值。
解答提示:- 在进行二次根式的乘法运算时,可以先将根号内的数相乘,然后再开方。
一、计算题(每空?分,共?分)1、2、(+)2﹣(+)(﹣)3、计算:4、5、6、7、已知求.(精确到0.01)8、9、10、二、综合题(每空?分,共?分)11、在进行二次根式简化时,我们有时会碰上如,,一样的式子,其实我们还可将其进一步简化:=;(一)==;(二)===;(三)以上这种化简的步骤叫做分母有理化还可以用以下方法化简:===;(四)(1)化简=__________=__________(2)请用不同的方法化简.①参照(三)式得=__________②步骤(四)式得=__________(3)化简:+++…+.三、实验,探究题(每空?分,共?分)12、阅读材料1:对于两个正实数,由于,所以,即,所以得到,并且当时,.阅读材料2:若,则,因为,所以由阅读材料1可得,,即的最小值是2,只有时,即时取得最小值.根据以上阅读材料,请回答以下问题:(1)比较大小:(其中);(其中)(2)已知代数式变形为,求常数n的值;(3)当时,有最小值,最小值为 . (直接写出答案)四、简答题(每空?分,共?分)13、先化简,再求值:,其中,.14、阅读下面问题:;;.试求:(1)的值;(2)的值;(3)试计算(n为正整数)的值.15、16、先化简,再求值:÷(2﹣),其中x=+1.17、已知求(1)x2-xy+y2;(2)x3y+xy3的值.18、细心观察图形,认真分析各式,然后解答问题。
(10分)…………(1)请用含有n(n是正整数)的等式表示上述变化规律.(2)推算出的长.(3)求出的值.19、化简求值:,其中,.20、观察规律:……并求值.(1)_______;(2)_______;(3)_______.五、填空题(每空?分,共?分)21、。
22、由下列等式=2,=3,=4…所提示的规律,可得出一般性的结论是(用含n 的式子表示)23、化简,最后得_________.24、化简:的结果是_________.25、当时,代数式的值为______.26、若,则______.27、两个含有二次根式的代数式相乘,如果它们的积不含有二次根式,我们说这两个代数式互为有理化因式.如:与,与互为有理化因式.试写下列各式的有理化因式:(1)与______; (2)与______; (3)与______;(4)与______; (5)与______; (6)与______.六、选择题评卷人得分(每空?分,共?分)28、△ABC的三边长分别是1、k、3,则化简的结果为()A.﹣5 B.19﹣4k C.13 D.129、下列运算错误的是()A .=3B .3×2=6 C.(+1)2=6 D.(+2)(﹣2)=3参考答案一、计算题1、2、原式=2+2+3﹣(2﹣3)=2+2+3+1=6+2.3、=﹣6+6=;4、0.5、6、.7、约7.70.8、9、10、二、综合题11、【考点】分母有理化.【专题】阅读型.【分析】(1)根据题中所给出的例子把分母化为完全平方式的形式即可;(2)①根据步骤(三)把分母乘以﹣即可;②根据步骤(四)把分子化为(﹣)(+)的形式即可;(3)把各式的分母有理化,找出规律即可得出结论.【解答】解:(1)==,==.故答案为:,;(2)①原式==﹣.故答案为:﹣;②原式===﹣.故答案为:﹣;(3)原式=+++…+==.【点评】本题考查的是分母有理化,根据题意得出分母有理化的规律是解答此题的关键.三、实验,探究题12、(1)比较大小:≥(其中);____(其中)(2)解:∴(3)当 0 时,有最小值,最小值为 3 . (直接写出答案)四、简答题13、化简后为:,代入后求值为:.【解析】试题分析:先根据分式混合运算的法则把原式进行化简,再把a、b的值代入进行计算即可.试题解析:原式====,当,时,原式===.【难度】较易14、=﹣1+﹣+﹣+…+﹣=﹣1+.15、16、【考点】分式的化简求值.【分析】先根据分式混合运算的法则把原式进行化简,再把x的值代入进行计算即可.【解答】解:原式=÷=•=﹣.当x=+1时,原式=﹣=﹣=﹣.【点评】本题考查的是分式的化简求值,熟知分式混合运算的法则是解答此题的关键.17、10.18、(1)(2)(3)解原式19、原式代入得2.20、五、填空题21、22、=n(n为大于等于2的自然数)23、【思路分析】本题分母也是一个比较复杂的形式,不宜选择直接进行分母有理化,而观察分母后可发现可以进行“分组分解因式”,最后可实现与分子约分,大大简化运算.【简答】原式=====.24、【思路分析】粗看这个形式,显然采取分母有理化会把我们带入繁杂的运算中,仔细观察分母后,不妨对分母的形式重新变形一下,即,柳暗花明了,把与分子约去后,口算也能化简了.【简答】25、26、27、(1); (2); (3);(4); (5); (6)(答案)不唯一六、选择题28、D【考点】二次根式的性质与化简;三角形三边关系.【分析】利用三角形三边关系得出k的取值范围,再利用二次根式以及绝对值的性质化简求出答案.【解答】解:∵△ABC的三边长分别是1、k、3,∴2<k<4,∴=7﹣﹣2k+3=7+2k﹣9﹣2k+3=1.故选:D.29、C【考点】二次根式的混合运算.【专题】计算题.【分析】根据二次根式的性质对A进行判断;根据二次根式的乘法法则对B进行判断;根据完全平方公式对C进行判断;根据平方差公式对D进行判断.【解答】解:A、原式=3,所以A选项的计算正确;B、原式=6=6,所以B选项的计算正确;C、原式=5+2+1=6+2,所以C选项的计算不正确;D、原式=7﹣4=3,所以D选项的计算正确.故选C.【点评】本题考查了二次根式的混合运算:与有理数的混合运算一致,运算顺序先乘方再乘除,最后加减,有括号的先算括号里面的.二次根式的运算结果要化为最简二次根式.在二次根式的混合运算中,如能结合题目特点,灵活运用二次根式的性质,选择恰当的解题途径,往往能事半功倍.。
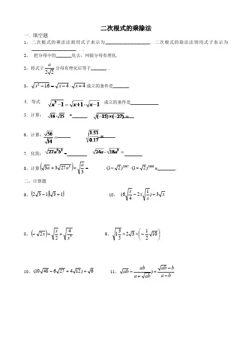
二次根式的乘除法一. 填空题1, 二次根式的乘法法则用式子表示为____________________. 二次根式的除法法则用式子表示为____________________ .2, 把分母中的_______化去,叫做分母有理化.2,将式子22a分母有理化后等于_______ .3,44162+⋅-=-x x x 成立的条件是_______.成立的条件是 4. 等式5.计算: =6.计算:7. 化简:= 8、计算()327333a a a ÷+=_______.20082007)21()21(+⋅-=________. 二、计算题 9、()()13132+- 10、 x x x x 3)1246(÷-8、()3422x x x ÷÷- 9、⎪⎭⎫ ⎝⎛-⨯⨯10213253110、6)1242764810(÷+- 11、ba b ab ab a ab ab --÷+-)二次根式的加减法的同步练习1.下列计算正确的是( )A.0(2)0-= B.239-=- 3= =2.下列计算错误..的是( )= == D.3=3. )A.B. D.4.已知:m n ,是两个连续自然数()m n <,且q mn =.设p = 则p ( )A.总是奇数 B.总是偶数 C.有时是奇数,有时是偶数 D.有时是有理数,有时是无理数5.下列各数中,与 )A.2 B.2 C.2- 6.下列运算中错误的是( )A =B =7.下列计算正确的是( ) A.632=⨯ B.532=+ C.248= D.224=-8.下列计算正确的是( )A =BC 4=D 3=-9.= .= .10.。
12.3 二次根式的加减基础题汇编(3)一.解答题(共30小题)1.(2015•嘉定区一模)计算:|1﹣sin30°|+cot30°•tan60°+. 2.(2014秋•大英县校级期末)计算:0.3.(2014秋•萝岗区期末)化简:(1)(﹣)(2)(a+2)2﹣a(a﹣4)4.(2014秋•宝兴县校级期末)(1)(﹣4)﹣(3﹣2);(2)(5+﹣6)÷.5.(2014秋•大英县校级期末)计算:(1)(2)6cos60°﹣(sin21°﹣1)0×5tan45°.6.(2014秋•青神县期末)﹣3﹣×.7.(2014秋•福田区期末)计算:(1)(2015﹣π)0+()﹣1﹣(+1)(﹣1)(2)+×.8.(2014秋•宝兴县校级期末)计算:()÷.9.(2014秋•宝兴县校级期末)+﹣4+2(﹣1)0.10.(2014•相城区一模)计算化简(1)计算:(2)化简:,然后选择一个合适的x的值代入上式求值.11.(2014•石家庄模拟)化简(1)﹣+sin45°;(2).12.(2014•高邮市模拟)计算:(1)(1﹣)0﹣tan60°+(﹣)﹣1;(2)3(1﹣)+.13.(2014•孟津县一模)计算下列各题(1)(﹣)+;(2)(﹣2)3+(2014﹣)0﹣tan60°.14.(2014•建宁县校级质检)(1)计算:(2)先化简,再求值:,其中x=﹣4.15.(2014春•淮北期中)计算(1)﹣+|1﹣|+()﹣1(2)(﹣3)2+(+3)(﹣3)16.(2013•闵行区三模)计算:.17.(2013秋•汉川市期中)计算:(1)•(+)﹣(﹣5);(2)(3+)(﹣4).18.(2012•潘集区模拟)计算:(1);(2).19.(2012•建宁县校级质检)(1)计算:(2)解不等式组:,并把解集在数轴上表示出来.20.(2011•海门市一模)计算:(1);(2). 21.(2010•巫山县模拟)计算:(1)(2).22.(2002•西藏)当a=时,求代数式﹣﹣的值.23.(1997•山东)先化简,再求值:+.其中x=,y=.24.计算:2a﹣+(a>0)25.计算:(1)+2﹣4﹣(2)(﹣2)﹣(+)(3)+6﹣2x.26.计算:(1).(2)++.(3)(﹣4)﹣(3﹣4).(4)3﹣5+7.27.计算:(1)﹣9+3(2)(a+4)﹣(﹣b).28.计算:(1)+6;(2)(a)﹣(﹣b).29.计算:.30.化简:(+2++).12.3 二次根式的加减基础题汇编(3)参考答案与试题解析一.解答题(共30小题)1.(2015•嘉定区一模)计算:|1﹣sin30°|+cot30°•tan60°+.考点:二次根式的混合运算;特殊角的三角函数值.分析:利用特殊角的三角函数值及二次根式的混合运算的顺序求解即可.解答:解:|1﹣sin30°|+cot30°•tan60°+.=|1﹣|+××+,=++,=﹣2.点评:本题主要考查了二次根式的混合运算及特殊角的三角函数值,解题的关键是熟记特殊角的三角函数值及二次根式的混合运算的顺序.2.(2014秋•大英县校级期末)计算:0.考点:二次根式的混合运算;零指数幂.分析:先根据零指数幂的意义计算,再把各二次根式化为最简二次根式,然后合并即可.解答:解:原式=3+﹣+1=3+1.点评:本题考查了二次根式的计算:先把各二次根式化为最简二次根式,再进行二次根式的乘除运算,然后合并同类二次根式.也考查了零指数幂.3.(2014秋•萝岗区期末)化简:(1)(﹣)(2)(a+2)2﹣a(a﹣4)考点:二次根式的混合运算;整式的混合运算.专题:计算题.分析:(1)根据二次根式的乘法法则运算;(2)利用乘法公式展开,然后合并同类项即可.解答:解:(1)原式=﹣=4﹣2=2;(2)原式=a2+4a+4﹣a2+4a=8a+4.点评:本题考查了二次根式的计算:先把各二次根式化为最简二次根式,再进行二次根式的乘除运算,然后合并同类二次根式.也考查了整式的混合运算.4.(2014秋•宝兴县校级期末)(1)(﹣4)﹣(3﹣2);(2)(5+﹣6)÷.考点:二次根式的混合运算.专题:计算题.分析:(1)先把各二次根式化为最简二次根式,然后去括号后合并即可;(2)先把各二次根式化为最简二次根式,然后把括号内合并后进行二次根式的除法运算.解答:解:(1)原式=4﹣﹣+=3;(2)原式=(20+2﹣6)÷=(22﹣6)=22﹣2.点评:本题考查了二次根式的计算:先把各二次根式化为最简二次根式,再进行二次根式的乘除运算,然后合并同类二次根式.5.(2014秋•大英县校级期末)计算:(1)(2)6cos60°﹣(sin21°﹣1)0×5tan45°.考点:二次根式的混合运算;零指数幂;特殊角的三角函数值.专题:计算题.分析:(1)先把各二次根式化为最简二次根式,然后合并即可;(2)根据零指数幂与特殊角的三角函数值得到原式=6×﹣1×5×1,然后进行有理数的混合运算.解答:解:(1)原式=4+﹣12﹣=﹣;(2)原式=6×﹣1×5×1=3﹣5=﹣2.点评:本题考查了二次根式的计算:先把各二次根式化为最简二次根式,再进行二次根式的乘除运算,然后合并同类二次根式.也考查了零指数幂与特殊角的三角函数值.6.(2014秋•青神县期末)﹣3﹣×.考点:二次根式的混合运算.专题:计算题.分析:先把各二次根式化为最简二次根式,再进行二次根式的乘法运算,然后合并即可.解答:解:原式=2﹣2﹣4•=﹣4a.点评:本题考查了二次根式的计算:先把各二次根式化为最简二次根式,再进行二次根式的乘除运算,然后合并同类二次根式.7.(2014秋•福田区期末)计算:(1)(2015﹣π)0+()﹣1﹣(+1)(﹣1)(2)+×.考点:二次根式的混合运算;零指数幂;负整数指数幂.专题:计算题.分析:(1)根据零指数幂、负整数指数幂和平方差公式得到原式=1+2﹣(3﹣1),然后进行有理数的加减运算;(2)根据二次根式的乘除法则运算.解答:解:(1)原式=1+2﹣(3﹣1)=3﹣2=1;(2)原式=+=3+6=9.点评:本题考查了二次根式的计算:先把各二次根式化为最简二次根式,再进行二次根式的乘除运算,然后合并同类二次根式.也考查了零指数幂和负整数指数幂.8.(2014秋•宝兴县校级期末)计算:()÷.考点:二次根式的混合运算.专题:计算题.分析:根据二次根式的除法法则运算.解答:解:原式=﹣+2+=a2﹣+2+a.点评:本题考查了二次根式的计算:先把各二次根式化为最简二次根式,再进行二次根式的乘除运算,然后合并同类二次根式.9.(2014秋•宝兴县校级期末)+﹣4+2(﹣1)0.考点:二次根式的混合运算;零指数幂.专题:计算题.分析:根据零指数幂的意义和分母有理化得到原式=5+2(﹣1)﹣2+2×1,然后去括号后合并即可.解答:解:原式=5+2(﹣1)﹣2+2×1=5+2﹣2﹣2+2=5.点评:本题考查了二次根式的计算:先把各二次根式化为最简二次根式,再进行二次根式的乘除运算,然后合并同类二次根式.也考查了零指数幂.10.(2014•相城区一模)计算化简(1)计算:(2)化简:,然后选择一个合适的x的值代入上式求值.考点:二次根式的混合运算;分式的化简求值;负整数指数幂;特殊角的三角函数值.分析:(1)首先化简二次根式,代入角的三角函数值,分母有理化,最后合并同类二次根式即可;(2)首先对括号内的两个分式通分相加,然后把除法转化成乘法运算,即可把分式进行化简,然后代入x的值求解即可.解答:解:(1)原式=2+2﹣=2+2﹣(2﹣)=;(2)原式=[﹣]÷=•=当x=1时,原式=1.点评:本题考查的是二次根式的混合运算,在进行此类运算时,一般先把二次根式化为最简二次根式的形式后再运算.第二个题目的计算中要注意分式有意义的条件,x的值不能取0和±3.11.(2014•石家庄模拟)化简(1)﹣+sin45°;(2).考点:二次根式的混合运算;特殊角的三角函数值.专题:计算题.分析:(1)根据分母有理化和特殊角的三角函数值得到原式=﹣3+,然后合并即可;(2)根据特殊角的三角函数值得到原式=,然后进行乘除运算即可.解答:解:(1)原式=﹣3+=﹣2;(2)原式==1.点评:本题考查了二次根式的计算:先把各二次根式化为最简二次根式,再进行二次根式的乘除运算,然后合并同类二次根式.也考查了特殊角的三角函数值.12.(2014•高邮市模拟)计算:(1)(1﹣)0﹣tan60°+(﹣)﹣1;(2)3(1﹣)+.考点:二次根式的混合运算;零指数幂;负整数指数幂;特殊角的三角函数值.专题:计算题.分析:(1)根据零指数幂、负整数指数幂和特殊角的三角函数值得到原式=1﹣﹣2,然后合并即可;(2)先进行二次根式的乘法运算和分母有理化得到﹣6+2(﹣1),然后合并即可.解答:解:(1)原式=1﹣﹣2=﹣1﹣;(2)原式=3﹣6﹣=3﹣6﹣2(+1)=3﹣6﹣2﹣2=﹣8.点评:本题考查了二次根式的计算:先把各二次根式化为最简二次根式,再进行二次根式的乘除运算,然后合并同类二次根式.也考查了零指数幂、负整数指数幂和特殊角的三角函数值.13.(2014•孟津县一模)计算下列各题(1)(﹣)+;(2)(﹣2)3+(2014﹣)0﹣tan60°.考点:二次根式的混合运算;零指数幂;特殊角的三角函数值.分析:(1)先进行二次根式的乘法运算,然后再进行加法运算即可求解;(2)分别进行零指数幂、特殊角的三角函数值等运算,然后合并.解答:解:(1)原式=2﹣+=2;(2)原式=﹣8+﹣×=﹣8+﹣=﹣9.点评:本题考查了二次根式的混合运算,掌握运算法则解答本题的关键.14.(2014•建宁县校级质检)(1)计算:(2)先化简,再求值:,其中x=﹣4.考点:二次根式的混合运算;分式的化简求值;零指数幂;负整数指数幂.专题:计算题.分析:(1)根据零指数幂、负整数指数幂得到原式=3﹣+1﹣3,然后合并即可;(2)先把括号内通分,再把除法运算化为乘法运算,然后把分式分母因式分解后约分得到原式=,再把x的值代入计算.解答:解:(1)原式=3﹣+1﹣3=1﹣;(2)原式=•=,当x=﹣4时,原式=.点评:本题考查了二次根式的混合运算:先把各二次根式化为最简二次根式,再进行二次根式的乘除运算,然后合并同类二次根式.也考查了零指数幂、负整数指数幂和分式的化简求值.15.(2014春•淮北期中)计算(1)﹣+|1﹣|+()﹣1(2)(﹣3)2+(+3)(﹣3)考点:二次根式的混合运算;负整数指数幂.专题:计算题.分析:(1)分别进行二次根式的化简,分母有理化及负整数指数幂的运算,然后合并即可;(2)根据完全平方公式及平方差公式,进行计算即可.解答:解:(1)原式=3﹣+﹣1+2=3+1;(2)原式=5﹣6+9+11﹣9=16﹣6.点评:本题考查的是二次根式的混合运算,在进行此类运算时,一般先把二次根式化为最简二次根式的形式后再运算.16.(2013•闵行区三模)计算:.考点:二次根式的混合运算;分数指数幂;零指数幂.专题:计算题.分析:根据零指数幂、分数指数幂和分母有理化得原式=1﹣(2﹣)++2(2﹣),然后去括号后合并即可.解答:解:原式=1﹣(2﹣)++2(2﹣)=1﹣2+++4﹣2=3.点评:本题考查了二次根式的混合运算:先把各二次根式化为最简二次根式,在进行二次根式的乘除运算,然后合并同类二次根式.也考查了零指数幂、分数指数幂.17.(2013秋•汉川市期中)计算:(1)•(+)﹣(﹣5);(2)(3+)(﹣4).考点:二次根式的混合运算.分析:(1)先进行二次根式的乘法运算,二次根式的化简,最后合并同类二次根式即可;(2)先将二次根式化为最简,然后运用平方差公式进行计算即可.解答:解:(1)原式=2+3﹣2+=3+;(2)原式=(3+4)(3﹣4)=18﹣48=﹣30.点评:本题考查了二次根式的混合运算,在运算之前先观察,有简便算法时,尽量用简便算法.18.(2012•潘集区模拟)计算:(1);(2).考点:二次根式的混合运算;零指数幂;负整数指数幂.专题:计算题.分析:(1)根据平方差公式和完全平方公式得到原式=2﹣1+7﹣,然后进行加减运算;(2)根据零指数幂与负整数指数幂的意义得到原式=1++3+﹣+1,然后合并同类二次根式即可.解答:解:(1)原式=2﹣1+7﹣=8﹣;(2)原式=1++3+﹣+1=5.点评:本题考查了二次根式的混合运算:先把各二次根式化为最简二次根式,在进行二次根式的乘除运算,然后合并同类二次根式.也考查了零指数幂与负整数指数幂.19.(2012•建宁县校级质检)(1)计算:(2)解不等式组:,并把解集在数轴上表示出来.考点:二次根式的混合运算;在数轴上表示不等式的解集;解一元一次不等式组.分析:(1)首先分母有理化,利用公式计算二次根式的乘法、乘方,然后合并同类二次根式即可;(2)首先解每个不等式,在数轴上表示出不等式的解集,两个解集的公共部分就是不等式组的解集.解答:解:(1)原式==2+4﹣﹣1=5﹣(2)由①得:x≤3由②得:x>﹣3∴原不等式组的解集是:﹣3<x≤3.点评:本题考查的是二次根式的混合运算,在进行此类运算时一般先把二次根式化为最简二次根式的形式后再运算.20.(2011•海门市一模)计算:(1);(2).考点:二次根式的混合运算;零指数幂.专题:计算题.分析:(1)根据绝对值、二次根式的化简、零指数幂进行计算即可;(2)先化简二次根式,再合并即可.解答:解:(1)原式==;(2)原式==.点评:本题考查了二次根式的混合运算以及零指数幂,是基础知识要熟练掌握.21.(2010•巫山县模拟)计算:(1)(2).考点:二次根式的混合运算;零指数幂.专题:计算题.分析:(1)先化简二次根式,再合并同类二次根式即可.(2)根据同底数幂乘法的逆运算和零指数幂、绝对值进行计算即可.解答:解:(1)原式=(3分)=(5分)(2)原式=(2分)=(3分)=(4分)=(5分)点评:本题考查了二次根式的混合运算,熟练化简二次根式后,在加减的过程中,有同类二次根式的要合并;相乘的时候,被开方数简单的直接让被开方数相乘,再化简;较大的也可先化简,再相乘,灵活对待.22.(2002•西藏)当a=时,求代数式﹣﹣的值.考点:二次根式的化简求值.分析:原式第一项分子利用完全平方公式化简,第二项分子利用二次根式的化简公式计算,分母提取公因式化简,约分后合并得到最简结果,将a分母有理化后代入计算即可求出值.解答:解:∵a==2﹣,∴a﹣1=2﹣﹣1=1﹣<0,则原式=﹣﹣=a﹣1+﹣=a﹣1=2﹣﹣1=1﹣.点评:此题考查了二次根式的化简求值,熟练掌握运算法则是解本题的关键.23.(1997•山东)先化简,再求值:+.其中x=,y=.考点:二次根式的化简求值.分析:首先对每个根式进行分母有理化,然后进行同分母的分式的加减,最后进行约分即可化简,把x、y的值代入分母有理化即可求解.解答:解:原式=﹣+==∵x=,y=.∴原式==2(﹣)2.点评:本题考查了根式的化简求值,正确进行分母有理化是关键.24.计算:2a﹣+(a>0)考点:二次根式的加减法.分析:先化简二次根式,然后去括号,合并同类二次根式.解答:解:原式=2a﹣+=.点评:本题考查了二次根式的加减法,解答本题的关键是掌握二次根式的化简以及加减运算法则.25.计算:(1)+2﹣4﹣(2)(﹣2)﹣(+)(3)+6﹣2x.考点:二次根式的加减法.分析:(1)先把各根式化为最简二次根式,再合并同类项即可;(2)先去括号,再把各根式化为最简二次根式,合并同类项即可;(3)先把各根式化为最简二次根式,再合并同类项即可.解答:解:(1)原式=+2﹣﹣=2﹣;(2)原式=﹣2﹣+=2﹣1﹣+5+4=(2﹣+5+4)﹣1=﹣1;(3)原式=2+3﹣2=3.点评:本题考查的是二次根式的加减法,熟知二次根式相加减,先把各个二次根式化成最简二次根式,再把被开方数相同的二次根式进行合并,合并方法为系数相加减,根式不变是解答此题的关键.26.计算:(1).(2)++.(3)(﹣4)﹣(3﹣4).(4)3﹣5+7.考点:二次根式的加减法.分析:(1)先进行二次根式的化简,然后合并;(2)先进行二次根式的化简,然后合并;(3)先进行二次根式的化简,然后合并;(4)先进行二次根式的化简,然后合并.解答:解:(1)原式=2+2﹣=+2;(2)原式=++=;(3)原式=2﹣﹣+2=+;(4)原式=3﹣10+21=14.点评:本题考查了二次根式的加减法,掌握运算法则是解答本题的关键.27.计算:(1)﹣9+3(2)(a+4)﹣(﹣b).考点:二次根式的加减法.分析:(1)先进行二次根式的化简,然后合并;(2)先进行二次根式的化简,然后进行二次根式的加减运算.解答:解:(1)原式=4﹣3+6=7;(2)原式=+4﹣+=+5.点评:本题考查了二次根式的加减法,解答本题的关键是掌握二次根式的化简以及同类二次根式合并.28.计算:(1)+6;(2)(a)﹣(﹣b).考点:二次根式的加减法.分析:(1)先把各根式化为最简二次根式,再合并同类项即可;(2)先把各根式化为最简二次根式,再去括号,合并同类项即可.解答:解:(1)原式=2+3﹣2=3;(2)原式=(+4)﹣(﹣)=+4﹣+=3+.点评:本题考查的是二次根式的加减法,熟知二次根式相加减,先把各个二次根式化成最简二次根式,再把被开方数相同的二次根式进行合并,合并方法为系数相加减,根式不变是解答此题的关键.29.计算:.考点:二次根式的加减法.分析:首先把二次根式化简,再去括号合并同类二次根式即可.解答:解:原式=﹣﹣+2=﹣+2.点评:此题主要考查了二次根式的加减,法则:二次根式相加减,先把各个二次根式化成最简二次根式,再把被开方数相同的二次根式进行合并,合并方法为系数相加减,根式不变.30.化简:(+2++).考点:二次根式的混合运算.专题:计算题.分析:根据二次根式的乘法法则运算.解答:解:原式=•+2++=ab+2b+a+1.点评:本题考查了二次根式的混合运算:先把各二次根式化为最简二次根式,再进行二次根式的乘除运算,然后合并同类二次根式.。
初二数学下册知识点《二次根式的加减150题含解析》副标题一、选择题(本大题共45小题,共135.0分)1.化简+-的结果为()A. 0B. 2C. -2D. 2【答案】D【解析】解:+-=3+-2=2,故选:D.根据根式的开方,可化简二次根式,根据二次根式的加减,可得答案.本题考查了二次根式的加减,先化简,再加减运算.2.下列运算中错误的是()A. +=B. ×=C. ÷=2D. =3【答案】A【解析】解:A、+无法计算,故此选项正确;B、×=,正确,不合题意;C、÷=2,正确,不合题意;D、=3,正确,不合题意.故选:A.利用二次根式乘除运算法则以及加减运算法则分别判断得出即可.此题主要考查了二次根式的加减乘除运算,熟练掌握运算法则是解题关键.3.下列计算正确的是()A. B.C. D.【答案】C【解析】解:A、与不能合并,所以A选项不正确;B、×=,所以B选项不正确;C、-=2=,所以C选项正确;D、÷=2÷=2,所以D选项不正确.故选:C.根据同类二次根式才能合并可对A进行判断;根据二次根式的乘法对B进行判断;先把化为最简二次根式,然后进行合并,即可对C进行判断;根据二次根式的除法对D 进行判断.本题考查了二次根式的加减运算:先把各二次根式化为最简二次根式,然后合并同类二次根式.也考查了二次根式的乘除法.4.下列计算,正确的是()A. (-2)-2=4B.C. 46÷(-2)6=64D.【答案】C【解析】解:A、(-2)-2=,所以A错误,B、=2,所以B错误,C、46÷(-2)6=212÷26=26=64,所以C正确;D、-=2-=,所以D错误,故选C依次根据负整指数的运算,算术平方根的计算,整式的除法,二次根式的化简和合并进行判断即可.此题是二次根式的加减法,主要考查了负整指数的运算,算术平方根的计算,整式的除法,二次根式的化简和合并同类二次根式,熟练掌握这些知识点是解本题的关键.5.下列运算正确的是( )A. B.C. D.【答案】C【解析】【分析】本题主要考查二次根式加减的法则,二次根式乘除的法则.根据相关法则一一计算,即可解答.【解答】解:A.;错误,不能合并;B.;则B错误;C.;则C正确;D.;则D错误;故选C.6.下列计算正确的是( )A. B.C. D.【答案】D【解析】【分析】本题考查了二次根式的加减,按照二次根式的加减法则进行判断即可.【解答】解:A.,故本选项错误;B.3与不能合并,故本选项错误;C.与不能合并,故本选项错误;D.,故本选项正确.故选D.7.下列计算正确的是()A. 4B.C. 2=D. 3【答案】C【解析】解:A、4-3=,原式计算错误,故本选项错误;B、与不是同类二次根式,不能直接合并,故本选项错误;C、2=,计算正确,故本选项正确;D、3+2≠5,原式计算错误,故本选项错误;故选:C.根据二次根式的化简及同类二次根式的合并,分别进行各选项的判断即可.本题考查了二次根式的加减,解答本题的关键掌握二次根式的化简及同类二次根式的合并.8.下列运算正确的是()A. -=B. =-3C. a•a2=a2D. (2a3)2=4a6【答案】D【解析】解:A、-无法计算,故此选项错误;B、=3,故此选项错误;C、a•a2=a3,故此选项错误;D、(2a3)2=4a6,正确.故选:D.直接利用二次根式加减运算法则以及积的乘方运算法则和幂的乘方运算法则、同底数幂的乘法运算法则、二次根式的性质分别化简判断即可.此题主要考查了二次根式加减运算以及积的乘方运算和幂的乘方运算、同底数幂的乘法运算、二次根式的性质等知识,正确掌握相关运算法则是解题关键.9.下列式子运算正确的是()A. B.C. D.【答案】D【解析】解:A、和不是同类二次根式,不能计算,故A错误;B、=2,故B错误;C、=,故C错误;D、=2-+2+=4,故D正确.故选:D.根据二次根式的性质化简二次根式:=|a|;根据二次根式分母有理化的方法“同乘分母的有理化因式”,进行分母有理化;二次根式的加减实质是合并同类二次根式.此题考查了根据二次根式的性质进行化简以及二次根式的加减乘除运算,能够熟练进行二次根式的分母有理化.10.若的小数部分为a,的小数部分为b,则a+b的值为()A. 0B. 1C. -1D. 2【答案】B【解析】【分析】本题考查了估算无理数的大小,解题的关键是用有理数逼近无理数,求无理数的近似值.运用有理数逼近无理数,求无理数的近似值求解.【解答】解:∵2<<3,∴5<<6,0<<1∴a=3+-5=-2.b=3-,∴a+b=-2+3-=1,故选B.11.下列计算正确的是()A. B. •=C. D.【答案】B【解析】【分析】本题考查了二次根式的混合运算:先把各二次根式化简为最简二次根式,然后进行二次根式的乘除运算,再合并即可.根据二次根式的加减法对A进行判断;根据二次根式的乘法法则对B进行判断;根据二次根式的乘法法则对C进行判断;根据二次根式的性质对D进行判断.【解答】解:A.与不能合并,所以A选项错误;B.原式==,所以B选项正确;C.原式,所以C选项错误;D.原式=|-3|=3,所以D选项错误.故选B.12.下列计算中正确的是()A. B. C. D.【答案】D【解析】解:A.与不是同类二次根式,不能合并,故本选项错误;B.与不是同类二次根式,不能合并,故本选项错误;C.3与不是同类二次根式,不能合并,故本选项错误;D.==,故本选项正确.故选D.根据二次根式的加减法则对各选项进行逐一计算即可.本题考查的是二次根式的加减法,在进行二次根式的加减运算时要把各二次根式化为最简二次根式,再合并同类二次根式即可.13.下列计算错误的是()A. B.C. D.【答案】D【解析】解:A、==7,正确;B、==2,正确;C、+=3+5=8,正确;D、,故错误.故选D.根据二次根式的运算法则分别计算,再作判断.同类二次根式是指几个二次根式化简成最简二次根式后,被开方数相同的二次根式.二次根式的加减运算,先化为最简二次根式,再将被开方数相同的二次根式进行合并.合并同类二次根式的实质是合并同类二次根式的系数,根指数与被开方数不变.14. 下列各式计算正确的是( )A. 8-2=6B. 5+5=10C. 4÷2=2D. 4×2=8【答案】D【解析】【分析】本题考查了二次根式的加减及乘除运算,属于基础题,解答本题的关键是掌握各部分的运算法则.根据同类二次根式的合并,及二次根式的乘除法则,分别进行各选项的判断即可. 【解答】解:A 、8-2=6,原式计算错误,故A 选项错误;B 、5与5不是同类二次根式,不能直接合并,故B 选项错误;C 、4÷2=2,原式计算错误,故C 选项错误;D 、4×2=8,原式计算正确,故D 选项正确; 故选D .15. 下列计算结果正确的是( )A. +=B. =a -bC.-=-D.=+2【答案】C【解析】解:A 、被开方数不能相加减,故A 错误; B 、=|a -b |,故B 错误;C 、-=2-3=-,故C 正确;D 、分子分母除以不同的数,故D 错误; 故选:C .根据二次根式的加减,可得答案.本题考查了二次根式的加减,熟记法则并根据法则计算是解题关键.16. 下列各式中,运算正确的是( )A.B.C.D.【答案】B【解析】解:A 、3-=2≠3,故本选项错误; B 、=2,故本选项正确;C 、2与不是同类项,不能合并,故本选项错误;D 、=2≠-2,故本选项错误.故选B .分别根据合并同类项的法则、二次根式的化简法则对各选项进行逐一分析即可.本题考查的是二次根式的加减法,熟知二次根式相加减,先把各个二次根式化成最简二次根式,再把被开方数相同的二次根式进行合并,合并方法为系数相加减,根式不变是解答此题的关键.17. 下列计算正确的是( )A.2×3=6 B. +=C. 5-2=3D. ÷=【答案】D【解析】解:A、2=2×=18,故A错误;B、被开方数不能相加,故B错误;C、被开方数不能相减,故C错误;D、==,故D正确;故选:D.根据二次根式的乘除,可判断A、D,根据二次根式的加减,可判断B、C.本题考查了二次根式的加减,注意被开方数不能相加减.属于基础题。
二次根式加减计算题一、二次根式的加减法法则1. 同类二次根式- 几个二次根式化成最简二次根式后,如果被开方数相同,这几个二次根式叫做同类二次根式。
例如√(2)与3√(2)是同类二次根式,√(8)化简后为2√(2),所以√(2)与√(8)也是同类二次根式。
2. 加减法法则- 二次根式相加减,先把各个二次根式化成最简二次根式,再把同类二次根式合并。
合并同类二次根式的方法与合并同类项类似,把同类二次根式的系数相加减,根指数和被开方数不变。
二、例题解析1. 例1:计算√(12)+√(27)- 首先将二次根式化为最简二次根式:- √(12)=√(4×3)=2√(3)- √(27)=√(9×3)=3√(3)- 然后进行同类二次根式的合并:- √(12)+√(27)=2√(3)+3√(3)=(2 + 3)√(3)=5√(3)2. 例2:计算√(8)-√(frac{1){2}}- 化简二次根式:- √(8)=√(4×2)=2√(2)- √(frac{1){2}}=(√(1))/(√(2))=(1)/(√(2))=(√(2))/(2)- 进行减法运算:- √(8)-√(frac{1){2}}=2√(2)-(√(2))/(2)=(4√(2))/(2)-(√(2))/(2)=(3√(2))/(2) 3. 例3:计算√(20)+√(5)-√(frac{1){5}}- 化简各二次根式:- √(20)=√(4×5)=2√(5)- √(frac{1){5}}=(√(1))/(√(5))=(√(5))/(5)- 进行计算:- √(20)+√(5)-√(frac{1){5}}=2√(5)+√(5)-(√(5))/(5)- 先合并同类二次根式的系数:(2 + 1)√(5)-(√(5))/(5)=3√(5)-(√(5))/(5) - 再通分计算:(15√(5))/(5)-(√(5))/(5)=(14√(5))/(5)三、练习题1. 计算√(18)+√(50)- 化简二次根式:- √(18)=√(9×2)=3√(2)- √(50)=√(25×2)=5√(2)- 合并同类二次根式:- √(18)+√(50)=3√(2)+5√(2)=(3 + 5)√(2)=8√(2)2. 计算√(27)-√(12)+√(48)- 化简各二次根式:- √(27)=√(9×3)=3√(3)- √(12)=√(4×3)=2√(3)- √(48)=√(16×3)=4√(3)- 进行计算:- √(27)-√(12)+√(48)=3√(3)-2√(3)+4√(3)=(3-2 + 4)√(3)=5√(3) 3. 计算√(45)-√(frac{1){5}}-√(20)- 化简各二次根式:- √(45)=√(9×5)=3√(5)- √(frac{1){5}}=(√(5))/(5)- √(20)=√(4×5)=2√(5)- 进行计算:- √(45)-√(frac{1){5}}-√(20)=3√(5)-(√(5))/(5)-2√(5)- 先合并同类二次根式的系数:(3-(1)/(5)-2)√(5)- 通分计算:((15)/(5)-(1)/(5)-(10)/(5))√(5)=(4)/(5)√(5)。
二次根式混合运算125题(含答案)1、2、3、4、5、6、7、.8、9、.11、.12、;13、;14、.15、;16、.17、.19、20、;21、22、.23、24、25、26、;.27、28、;;29、;30、31、;(5);32、33、;34、;35、36、3﹣9+337、÷(3×)38、39、40、;.41、43、44、45、;46、.47、(﹣)2﹣;48、;49、;51、;52、.53、3﹣﹣+(﹣2)(+2)54、55、56、57、59、2÷﹣(2﹣)260、﹣2+(﹣1)261、(+2)﹣.62、63、64、65、.66、69、70、3﹣(﹣)71、72、﹣273、74、75、76、78、×+÷﹣79、80、81、﹣.82、83、84、85、(+1)2﹣286、(+1)(1﹣)﹣(﹣1)2+(+1)287、88、89、90、;91、.92、;93、;;94、95、;96、;97、98、|﹣|+﹣;99、;;100、101、(+)2008(﹣)2009.102、;103、;104、.105、(3+)÷;106、107、;108、;109、.110、﹣1111、(﹣)(+)+2+|﹣3|﹣2﹣1(4)(﹣2)×﹣6 114、115、(2﹣);116、;117、118、.119、.120、121、122、+6a;﹣×.123、124、(2)(7+4)(7﹣4)+(2+)125、参考答案1、原式=2﹣3=﹣;2、原式=×==30;3、原式=2﹣12=﹣10.4、原式==2.5、原式===﹣6a.6、原式=;7、原式=()2﹣(﹣1)2=2﹣(3﹣2+1)=8、原式=.9、.原式=(3﹣2+3)×=(+3)×=1+10、原式=﹣+=;11、原式=(4+)÷3=12、原式=2+3﹣=;13、原式==;14、原式=(7+)(7+)=14×2=15、原式==3+6﹣10=﹣1;16、原式=2﹣=﹣2.17、原式=﹣2+=3﹣2+=18、原式=(3﹣2)(3+2)=18﹣12=6;19、原式=(2﹣+)=(+)=+120、原式=﹣3•5÷=﹣15÷=﹣15;21、原式=3+﹣2+﹣3=;22、原式=3a+﹣2b23、原式=3﹣2+1﹣(2﹣3)=5﹣2.24、原式==25、原式=2+1﹣(﹣)=3﹣1=2.26、原式=17﹣(19﹣)=﹣2+;27、原式=2﹣3﹣2=﹣3.28、原式=4+12=;29、原式=+2﹣10=;30、原式=4﹣+=;31、原式=6﹣5=1;32、原式=12+18﹣12=;33、原式=(2+)×﹣2=3﹣2=1;34、原式=+×6﹣m=2m+3m﹣m=0;35、原式=++1=﹣1++1=36、原式=12=(12﹣3﹣+6)=;37、原式=6÷(×)=6÷6=38、原式=+3﹣2=3+3﹣2=3+.39、原式=++×1=6+1+=7+.40、原式=×3+6×﹣2x•=2+3﹣2=3;41、原式=2﹣+3﹣2=2﹣2+142、原式=(6﹣+﹣2)÷2﹣3=3﹣+﹣﹣3=﹣+﹣;43、原式===444、=(4÷2)=45、原式=2+3﹣7=﹣2;46、原式===14.47、原式=10﹣7+=3+;48、原式=×(2﹣+)=+×=+1;49、原式=﹣1;50、原式=2+3+2﹣(2﹣3)=5+2+1=6+251、原式=4+﹣4=;52、原式=(4﹣2+6)÷=2+253、原式=6﹣3﹣+5﹣4=(6﹣3﹣)+1=+154、原式==;55、原式==.56、原式=[﹣(﹣)][+(﹣)]=5﹣(﹣)2=5﹣(5﹣2)=2.57、原式=4×2﹣16+12﹣16﹣8=﹣4﹣16;58、原式=+﹣+3=59、原式=2﹣(4﹣4+2)=2﹣6+4=6﹣6.60、原式=×2﹣2×3+5﹣2+1=﹣6﹣2+6=6﹣7.61、原式=a+2=2.62、原式=;63、原式=﹣+=﹣+=0.64、=2+﹣2=.65、=﹣=66、原式=9﹣14+4=﹣;67、原式=﹣43=﹣12=﹣11.68、原式=2×=12;69、原式=×3×=﹣;70、原式=12﹣2+6=16;71、原式=(4﹣2+6)×=2+272、原式=27÷(3×)×﹣8=3×﹣8=﹣8;73、原式=()2﹣()2=3﹣(2+2+5)=﹣4﹣274、原式=3+8=11;75、原式=2﹣12=﹣10;76、原式=5+﹣6=0;77、原式=÷=÷=1.78、原式=﹣==4+=4+.79、原式===;80、原式==9+6=1581、原式=(+)2﹣=3+2+2﹣=5+82、原式==;83、原式=;84、原式=5﹣6=﹣1;85、原式=4+=86、(1+)(1﹣)﹣(﹣1)2+(+1)2=1﹣()2﹣(2﹣2+1)+2+2+1=1﹣2﹣2+2﹣1+2+2+1=4﹣1.87、原式=+4×﹣+1=++1=1+.88、原式=(40)=30=15;89、原式=2+2=2+.90、原式===;91、原式===12.92、原式=2+2+4+2=;93、原式=9﹣14+24=;94、原式=(7+4)(7﹣4)+4﹣3=49﹣48+1=2;95、原式=﹣4×+9﹣12﹣()=﹣8+9﹣12﹣+1=﹣11;96、原式=﹣+=2x+=;97、原式=2a(b﹣×+)=2ab﹣+ab=98、原式=﹣+3﹣5=2﹣4;99、原式=12﹣4+1=13﹣4;100、原式=2+﹣=;101、原式=()=102、原式=3×2﹣2×3+5×4=6﹣6+20=20;103、原式=7﹣3+2=6;104、原式=•(﹣)×=﹣=﹣105、原式=3÷+÷=3+=;106、原式=3﹣1﹣=2﹣107、原式=+1﹣×2=2+1﹣2=1;108、原式=3﹣2+1﹣1=3﹣2;109、原式=+4﹣3=110、﹣1=﹣1=﹣1=0;111、()()+2=﹣+2=5﹣7+2=0;112、+|﹣3|﹣2﹣1=1+3﹣=3;113、(﹣2)×﹣6=﹣4﹣=﹣9﹣=﹣114、原式=4﹣5=﹣1;115、原式=×=1;116、原式=5﹣2﹣5+2=;117、原式=4﹣2+﹣1=3﹣118、原式==3﹣2=1.119、原式==120、原式=+1=121、原式=3+6a=2a+3a=5a;122、原式=﹣=﹣=3﹣2=1.123、原式==12;124、原式=49﹣48+2+=3+.125、原式===.。
二次根式加减乘除运算
上次课程检测:
1.下列二次根式中与8不是同类二次根式的是( ) A . 21 B. 50 C. 81 D . 54 2.(24-315+2223
)×2的值是( ). A .20
33-330 B .330-233 C .230-2
33 D .20
33-30
3.计算: (1)1312248233⎛⎫-+÷ ⎪ ⎪⎝ (2)101200925206-⎛⎫-+-- ⎪⎝⎭
4.当715+=x ,715-=y ,求22y xy x +-的值.
5.如图1,一根树在离地面9米处断裂,树的顶部落在离底部12米处.树折断之前有多少米.
新授
一、选择题:
1.估计4
18⨯的运算结果应在( ) A .1到2之间 B .2到3之间 C .3到4之间 D .4到5之间
2.等式2111x x x +-=-g 成立的条件是( )
A .x ≥1
B .x ≥-1
C .-1≤x ≤1
D .x ≥1或x ≤-1
3.设a >0,b >0,则下列运算错误的是( )
A .
b a ab •= B . b a b a +=+ C . a a =2)( D . b
a b a = 图1
4. ①33+3=63;②177=1;③2+6=8=22;④243
=22,其中错误的有
( ).
A .3个
B .2个
C .1个
D .0个
5.下列判断⑴12 3 和13
48 不是同类二次根式;⑵145 和125 不是同类二次根式; ⑶8x 与8x
不是同类二次根式,其中错误的个数是( ) A 、3 B 、2 C 、1 D 、0
6.如果a 是任意实数,下列各式中一定有意义的是( )
A 、 a
B 、
1a 2
C 、3-a
D 、-a 2 7.如图1,分别以直角△ABC 的三边AB ,BC ,CA 为直径向外作半圆.设直线AB 左边阴影部分的面积为S 1,右边阴影部分的面积和为S 2,则( )
A.S 1=S 2
B.S 1<S 2
C.S 1>S 2
D.无法确定 8.如图2,长方体的长为15,宽为10,高为20,点B 离点C 的距离为5,一只 蚂蚁如果要沿着长方体的表面从点A 爬到点B ,需要爬行的最短距离是( )
A .521
B .25
C .1055+
D .35
图2 图3 图4
二、填空
1.如图3,从点()02A ,
发出的一束光,经x 轴反射,过点()43B ,,则这束光从点A 到点B 所经过路径的长为 .
2.如图4,学校有一块长方形花铺,有极少数人为了避开拐角走“捷径”,在花铺内走出了一条“路”.他们仅仅少走了 步路(假设2步为1米),却踩伤了花草.
3、二次根式外(内)的因式移到根号内(外)
(1)化简a
a 1-的结果是________. (2)已知a<b,化简二次根式
b a 3-的结果是________.
(3)把1
1)1(---a a 中根号外的因式移到根号内,则原式应等于________ 4.设b a ==3,2 , 54.0=_________________.(用含a 、b 的式子表示)
5.定义运算“☆”的运算法则为x ☆y=4+xy ,则(2☆6)☆6=___________.
6.若5+7 的小数部分是a ,5-7 的小数部分是b ,则ab +5b =
A B C 图1 “路”4m 3m
三、计算:(1)()
28104101⨯+-+⎪⎭⎫ ⎝⎛-π (2)20)6()15(3--+-
(3 ) 4832714
122+- (4)1-
四、简答
1、已知2310x x -+=.
2.已知4x 2+y 2-4x -6y +10=0,求(
23+y )-(x 2
39966
x x x x --=--,且x 为偶数,求(1+x 22541x x x -+-
4.如图,圆柱形玻璃杯,高为12cm ,底面周长为18cm ,在杯内离杯底4cm 的点C 处有一滴蜂蜜, 一只蚂蚁正好在杯外壁,离杯上沿4cm 与蜂蜜相对的点A 处,则蚂蚁到达蜂蜜的最短距离多少cm ?
5. 为了丰富少年儿童的业余生活,某社区要在如图所示AB 所在的直线建一图书室,本社区有两所学校所在的位置在点C 和点D 处,CA ⊥AB 于A ,DB ⊥AB 于B ,已知AB = 25km ,CA = 15 km ,DB = 10km ,试问:图书室E 应该建在距点A 多少km 处,才能使它到两所学校的距离相等.
D A B
E C。