因式分解练习题库100题(经典、精心整理)
- 格式:doc
- 大小:354.00 KB
- 文档页数:6
因式分解题库100题专题训练经典练习题(含答案)一、填空题(共20题)1、a ²-9b -9b²²=2、2x 2x³³-12x -12x²²+4x =2x ( )3、-27a -27a³³=( )³)³4、2xy 2xy²²-8x -8x³³ = 2x ( )()( )5、(、(x+2y x+2y x+2y)()()(y-2x y-2x y-2x))= -(x+2y x+2y)()()( )6、x (x-y x-y))+y +y((y-x y-x))=7、a-a a-a³³= a (a+1a+1)()()( )8、1600a 1600a²²-100=100-100=100(( )()( ) 9、9a 9a²²+( )+4 =( )²)²1010、(、(、(x+2x+2x+2))x-x-2= (x+2x+2)()()( )1111、、a ³-a =a ( )()( )1212、(、(、( )x ²+4x+16 =( )²)²1313、、3a 3a³³+5a +5a²²+( )=(a+ )()( +2a-4 +2a-4)1414、(、(、( )-2y -2y²² = -2( +1)²)²1515、、x ²-6x-7=-6x-7=((x )()(x x )1616、、3xy+6y 3xy+6y²²+4x +4x²²+8xy=3y( )+4x ( )=( )()( ) 1717、、a ²+3a-10=+3a-10=((a+m a+m)()()(a+n a+n a+n),则),则m= ,n= 1818、、8a 8a³³-b -b³³=(2a-b 2a-b)()()( )1919、、xy+y xy+y²²+mx+my=+mx+my=((y ²+my +my))+( )=( )()( ) 2020、(、(、(x x ²+y +y²)²²)²²)²-4x -4x -4x²²y ²=二、选择题(共32题)1、多项式2a 2a²²+3a+1因式分解等于(因式分解等于( )A 、(、(a+1a+1a+1)()()(a-1a-1a-1))B 、(、(2a+12a+12a+1)()()(2a-12a-12a-1))C 、(、(2a+12a+12a+1)()()(a+1a+1a+1))D 、(、(2a+12a+12a+1)()()(a-1a-1a-1))2、下列各式分解因式正确的是(、下列各式分解因式正确的是( )A 、3x 3x²²+6x+3= 3(x+1x+1)²)²)²B B 、2x 2x²²+5xy-2y +5xy-2y²²=(2x+y 2x+y)()()(x+2y x+2y x+2y)) C 、2x 2x²²+6xy= (2x+32x+3)()()(x+2y x+2y x+2y)) D 、a ²-6=-6=((a-3a-3)()()(a-2a-2a-2))3、下列各式中,能有平方差公式分解因式的是(、下列各式中,能有平方差公式分解因式的是( )A 、4x 4x²²+4B 、(、(2x+32x+32x+3)²)²)² -4 -4(3x 3x²²+2+2)²)²)²C 、9x 9x²²-2xD 、a ²+b +b²²4、把多项式x ²-3x-70因式分解,得(因式分解,得( ) A 、(、(x-5x-5x-5))(x+14) B 、(、(x+5x+5x+5)()()(x-14x-14x-14))C 、(、(x-7x-7x-7)()()(x+10x+10x+10))D 、(、(x+7x+7x+7)()()(x-10x-10x-10))5、已知a+b=0a+b=0,则多项式,则多项式a ³+3a +3a²²+4ab+b +4ab+b²²+b +b³的值是(³的值是(³的值是() A 、0 B 、1 C 、 -2 D 、 26、把4a 4a²²+3a-1因式分解,得(因式分解,得() A 、(、(2a+12a+12a+1)()()(2a-12a-12a-1)) B 、(、(2a-12a-12a-1)()()(a-3a-3a-3))C 、(、(4a-14a-14a-1)()()(a+1a+1a+1))D 、(、(4a+14a+14a+1)()()(a-1a-1a-1))7、下列等式中,属于因式分解的是(、下列等式中,属于因式分解的是() A 、a (1+b 1+b))+b +b((a+1a+1))= (a+1a+1)()()(b+1b+1b+1))B 、2a 2a((b+2b+2))+b +b((a-1a-1))=2ab-4a+ab-bC 、a ²-6a+10 =a (a-6a-6))+10D 、(、(x+3x+3x+3)²)²)²-2-2-2((x+3x+3))=(x+3x+3)()()(x+1x+1x+1))8、2m 2m²²+6x+2x +6x+2x²是一个完全平方公式,则²是一个完全平方公式,则m 的值是(的值是() A 、 0 B 、 ± 32 C 、 ±52 D 、949、多项式3x 3x³³-27x 因式分解正确的是()因式分解正确的是()A 、3x 3x((x ²-9-9))B 、3x 3x((x ²+9) C 、3x 3x((x+3x+3)()()(x-3x-3x-3)) D 、3x 3x((3x-13x-1)()()(3x+13x+13x+1))1010、已知、已知x >0,且多项式x ³+4x +4x²²+x-6=0+x-6=0,则,则x 的值是(的值是( ) A 、1 B 、2 C 、3 D 、41111、多项式、多项式2a 2a²²+4ab+2b +4ab+2b²²+k 分解因式后,它的一个因式是(分解因式后,它的一个因式是(a+b-2a+b-2a+b-2),则),则k 的值是(是() A 、4 B 、-4 C 、8 D 、-81212、对、对、对 a a 4 + 4进行因式分解,所得结论正确的是(进行因式分解,所得结论正确的是() A 、 (a ²+2+2)²)²)² B B 、 (a ²+2+2)) (a ²-2-2))C 、有一个因式为(、有一个因式为(a a ²+2a+2+2a+2))D 、不能因式分解、不能因式分解1313、多项式、多项式a ²(²(m-n m-n m-n))+9+9((n-m n-m)分解因式得()分解因式得()分解因式得() A 、(、(a a ²+9+9)()()(m-n m-n m-n)) B 、(、(m-n m-n m-n)()()(a+3a+3a+3)()()(a-3a-3a-3))C 、(、(a a ²+9+9)()()(m+n m+n m+n))D 、(、(m+n m+n m+n)()()(a+3a+3a+3)²)²)²1414、多项式、多项式m 4-14m -14m²²+1分解因式的结果是(分解因式的结果是() A 、(、(m m ²+4m+1+4m+1)()()(m m ²-4m+1-4m+1)) B 、(、(m m ²+3m+1+3m+1)()()(m m ²-6m+1-6m+1))C 、(、(m m ²-m+1-m+1)()()(m m ²+m+1+m+1))D 、(、(m m ²-1-1)()()(m m ²+1+1))1515、下列分解因式正确的是(、下列分解因式正确的是(、下列分解因式正确的是() A 、-x -x²²+3x = -x (x+3x+3)) B 、x ²+xy+x=x +xy+x=x((x+y x+y))C 、2m 2m((2m-n 2m-n))+n +n((n-2m n-2m))= (2m-n 2m-n)²)²)²D D 、a ²-4a+4=-4a+4=((a+2a+2)()()(a-2a-2a-2))1616、下列等式从左到右的变形,属于因式分解的是(、下列等式从左到右的变形,属于因式分解的是(、下列等式从左到右的变形,属于因式分解的是( )A 、2x 2x((a-b a-b))=2ax-2bxB 、2a 2a²²+a-1=a +a-1=a((2a+12a+1))-1C 、(、(a+1a+1a+1)()()(a+2a+2a+2))= a ²+3a+2D 、3a+6a 3a+6a²²=3a =3a((2a+12a+1))1717、下列各式、下列各式、下列各式① 2m+n 和m+2n ② 3n (a-b )和-a+b③x ³+y ³ 和x ²+xy ④a ²+b ² 和a ²-b ²其中有公因式的是( )A 、① ②B 、 ② ③C 、① ④D 、 ③ ④ 1818、下列四个多项式中,能因式分解的是(、下列四个多项式中,能因式分解的是(、下列四个多项式中,能因式分解的是( )A 、x ²+1B 、 x ²-1C 、 x ²+5yD 、x ²-5y1919、将以下多项式分解因式,结果中不含因式、将以下多项式分解因式,结果中不含因式x-1的是(的是( )A 、1 -x ³B 、x ²-2x+1C 、x (2a+32a+3))-(3-2a 3-2a))D 、2x 2x((m+n m+n))-2-2((m+n m+n))2020、若多项式、若多项式2x 2x²²+ax 可以进行因式分解,则a 不能为(不能为( )A 、0B 、-1C 、1D 、22121、已知、已知x+y= -3,xy=2 ,则x ³y+xy y+xy³的值是(³的值是(³的值是( ) A 、 2 B 、 4 C 、10 D 、202222、、多项式x a -y a 因式分解的结果是(x ²+y +y²)²)(x+y x+y))(x-y x-y)),则a 的值是() A 、2 B 、4 C 、-2 D-42323、对、对8(a ²-2b -2b²)²)²)-a -a -a((7a+b 7a+b))+ab 进行因式分解,其结果为(进行因式分解,其结果为( )A 、(、(8a-b 8a-b 8a-b)()()(a-7b a-7b a-7b))B 、(、(2a+3b 2a+3b 2a+3b)()()(2a-3b 2a-3b 2a-3b))C 、(、(a+2b a+2b a+2b)()()(a-2b a-2b a-2b))D 、(、(a+4b a+4b a+4b)()()(a-4b a-4b a-4b))2424、下列分解因式正确的是(、下列分解因式正确的是(、下列分解因式正确的是( )A 、x ²-x-4=-x-4=((x+2x+2)()()(x-2x-2x-2))B 、2x 2x²²-3xy+y -3xy+y²² =(2x-y 2x-y)()()(x-y x-y x-y))C 、x(x-y)- y(y-x)=(x-y x-y)²)²)²D D 、4x-5x 4x-5x²²+6=+6=((2x+32x+3)()()(2x+22x+22x+2))2525、多项式、多项式a=2x a=2x²²+3x+1+3x+1,,b=4x b=4x²²-4x-3-4x-3,则,则M 和N 的公因式是(的公因式是( )A 、2x+1B 、2x-3C 、x+1D 、x+32626、多项式(、多项式(、多项式(x-2y x-2y x-2y)²)²)²+8xy +8xy 因式分解,结果为(因式分解,结果为( )A 、(、(x-2y+2x-2y+2x-2y+2)()()(x-2y+4x-2y+4x-2y+4))B 、(、(x-2y-2x-2y-2x-2y-2)()()(x-2y-4x-2y-4x-2y-4))C 、(、(x+2y x+2y x+2y)²)²)²D D 、(、(x-2y x-2y x-2y)²)²)²2727、下面多项式、下面多项式、下面多项式 ① x ²+5x-50 ②x ³-1③ x ³-4x ④3x ²-12他们因式分解后,含有三个因式的是(他们因式分解后,含有三个因式的是() A 、① ② 、 B 、③ ④ C 、 ③ D 、④28、已知、已知x= 12+1,则代数式(,则代数式(x+2x+2x+2)()()(x+4x+4x+4))+x +x²²-4的值是(的值是( ) A 、4+2 2 B 、4-2 2 C 、2 2 D 、4 22929、下列各多项式中,因式分解正确的(、下列各多项式中,因式分解正确的(、下列各多项式中,因式分解正确的( ) A 、4x 4x²² -2 =(4x-24x-2))x ² B 、1-x 1-x²²=(1-x 1-x)²)²)² C 、x ²+2 = (x+2x+2)()()(x+1x+1x+1)) D 、x ²-1=-1=((x+1x+1)()()(x-1x-1x-1))3030、若、若x ²+7x-30与x ²-17x+42有共同的因式x+m x+m,则,则m 的值为(的值为() A 、-14 B 、-3 C 、3 D 、103131、下列因式分解中正确的个数为(、下列因式分解中正确的个数为(、下列因式分解中正确的个数为() ① x ²+y ²=(x+y )(x-y ) ② x ²-12x+32=(x-4)(x-8) ③ x ³+2xy+x=x (x ²+2y ) ④x 4-1=(x ²+1)(x ²-1)A 、1B 、2C 、3D 、43232、下列各式中,满足完全平方公式进行因式分解的是(、下列各式中,满足完全平方公式进行因式分解的是(、下列各式中,满足完全平方公式进行因式分解的是() A 、0.0 9- x ² B 、x ²+20x+100C 、 4x ²+4x+4D 、x ²-y -y²²-2xy三、因式分解(共42题)1、x ²(²(a-b a-b a-b))+(b-a b-a))2、x ³-xy -xy²²3、(、(a+1a+1a+1)²)²)²-9-9-9((a-1a-1)²)²)²4、x (xy+yz+xz xy+yz+xz))-xyz5、(、(x-1x-1x-1)()()(x-3x-3x-3))+16、a ²-4a+4-b -4a+4-b²²7、(、(x x ²-2x -2x)²)²)²+2x +2x +2x((x-2x-2))+18、(、(x+y+z x+y+z x+y+z)³)³)³-x -x -x³³-y -y³³-z -z³³9、x 4-5x -5x²²+41010、、5+75+7((x+1x+1))+2+2((x+1x+1)²)²)²1111、、a ²+b +b²²-a -a²²b ²-4ab-11212、、x 4+x +x²²+11313、、a 5-2a -2a³³-8a1414、、a ²(²(b-2b-2b-2))-a -a((2-b 2-b)) 1515、、a ²(²(x-y x-y x-y))+16+16((y-x y-x))1616、、x ²+6xy+9y +6xy+9y²²-x-3y-301717、(、(、(x x ²+y +y²²-z -z²)²²)²²)²-4x -4x -4x²²y ²1818、、xy xy²²-xz -xz²²+4xz-4x1919、、x ²(²(y-z y-z y-z))+y +y²(²(²(z-x z-x z-x))+z +z²(²(²(x-y x-y x-y))2020、、3x 3x²²-5x-1122121、、3m 3m²²x-4n x-4n²²y-3n y-3n²²x+4m x+4m²²y2222、、x ²(²(2-y 2-y 2-y))+(y-2y-2))2323、、x 4+x +x²²y ²+y 42424、、x 4-162525、(、(、(x-1x-1x-1)²)²)²--(y+1y+1)²)²)²2626、(、(、(x-2x-2x-2)()()(x-3x-3x-3))-202727、、2(x+y x+y)²)²)²-4-4-4((x+y x+y))-302828、、x ²+1-2x+4+1-2x+4((x-1x-1))2929、(、(、(a a ²+a +a)()()(a a ²+a+1+a+1))-123030、、5x+5y+x 5x+5y+x²²+2xy+y +2xy+y²²3131、、x ³+x +x²²-x-13232、、x (a+b a+b)²)²)²+x +x +x²(²(²(a+b a+b a+b))3333、(、(、(x+2x+2x+2)²)²)²-y -y -y²²-2x-33434、(、(、(x x ²-6-6)()()(x x ²-4-4))-15 3535、(、(、(x+1x+1x+1)²)²)²-2-2-2((x ²-1-1))3636、(、(、(ax+by ax+by ax+by)²)²)²++(ax-by ax-by)²)²)²-2-2-2((ax+by ax+by)()()(ax-by ax-by ax-by))3737、(、(、(a+1a+1a+1)()()(a+2a+2a+2))(a+3)(a+4)-33838、(、(、(a+1a+1a+1))4+(a+1a+1)²)²)²+1 +13939、、x 4+2x +2x³³+3x +3x²²+2x+14040、、4a 4a³³-31a+154141、、a 5+a+14242、、a ³+5a +5a²²+3a-9 四、求值(共10题)1、x+y=1x+y=1,,xy=2求x ²+y +y²²-4xy 的值的值2、x ²+x-1=0+x-1=0,求,求x 4+x +x³³+x 的值的值3、已知a (a-1a-1))-(a ²-b -b))+1=0+1=0,求,求a ²+b +b²²2-ab 的值的值 4、若(、若(x+m x+m x+m)()()(x+n x+n x+n))=x =x²²-6x+5-6x+5,求,求2mn 的值的值5、xy=1xy=1,求,求x ²+x x ²+2x+1 + y ²y ²+y 的值的值6、已知x >y >0,x-y=1x-y=1,,xy=2xy=2,求,求x ²-y -y²的值²的值²的值7、已知a= 2+1,b= 3-1,求,求ab+a-b-1的值的值8、已知x=m+1,y= -2m+1,z=m-2z=m-2,求,求x ²+y +y²²-z -z²²+2xy 的值。
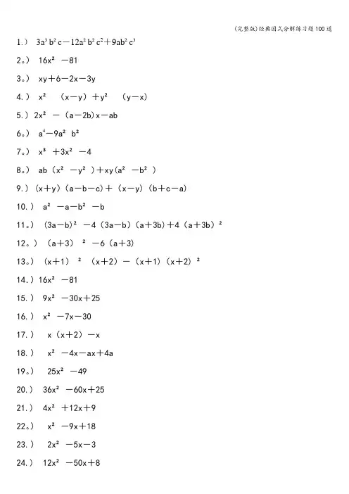
(完整版)经典因式分解练习题100道1.)3a³b²c-12a²b²c2+9ab²c³2。
) 16x²-813。
) xy+6-2x-3y4.) x²(x-y)+y²(y-x)5.) 2x²-(a-2b)x-ab6。
) a4-9a²b²7。
) x³+3x²-48。
) ab(x²-y²)+xy(a²-b²)9.) (x+y)(a-b-c)+(x-y)(b+c-a)10.) a²-a-b²-b11。
) (3a-b)²-4(3a-b)(a+3b)+4(a+3b)²12。
) (a+3)²-6(a+3)13。
) (x+1)²(x+2)-(x+1)(x+2) ²14.)16x²-8115.) 9x²-30x+2516.) x²-7x-3017.) x(x+2)-x18.) x²-4x-ax+4a19。
) 25x²-4920.) 36x²-60x+2521.) 4x²+12x+922。
) x²-9x+1823.) 2x²-5x-3(完整版)经典因式分解练习题100道25.) 3x²-6x26。
) 49x²-2527。
) 6x²-13x+528.) x²+2-3x29。
) 12x²-23x-2430.) (x+6)(x-6)-(x-6)31。
) 3(x+2)(x-5)-(x+2)(x-3)32.) 9x²+42x+4933.) x4-2x³-35x34.) 3x6-3x²35。
) x²-2536.) x²-20x+10037。
1.)3a³b²c-12a²b²c2+9ab²c³2.)16x²-813.)xy+6-2x-3y4.)x²(x-y)+y²(y-x)5.)2x²-(a-2b)x-ab6.)a4-9a²b²7.)x³+3x²-48.)ab(x²-y²)+xy(a²-b²)9.)(x+y)(a-b-c)+(x-y)(b+c-a)10.)a²-a-b²-b11.)(3a-b)²-4(3a-b)(a+3b)+4(a+3b)²12.)(a+3) ²-6(a+3)13.)(x+1) ²(x+2)-(x+1)(x+2) ²14.)16x²-8115.)9x²-30x+2516.)x²-7x-3017.) x(x+2)-x18.) x²-4x-ax+4a19.) 25x²-4920.) 36x²-60x+2521.) 4x²+12x+922.) x²-9x+1823.) 2x²-5x-324.) 12x²-50x+825.) 3x²-6x26.) 49x²-2527.) 6x²-13x+528.) x²+2-3x29.) 12x²-23x-2430.) (x+6)(x-6)-(x-6)31.) 3(x+2)(x-5)-(x+2)(x-3)32.) 9x²+42x+4933.) x4-2x³-35x34.) 3x6-3x²35.)x²-2536.)x²-20x+10037.)x²+4x+338.)4x²-12x+539.)3ax²-6ax40.)(x+2)(x-3)+(x+2)(x+4)41.)2ax²-3x+2ax-342.)9x²-66x+12143.)8-2x²44.)x²-x+1445.)9x²-30x+2546.)-20x²+9x+2047.)12x²-29x+1548.)36x²+39x+949.)21x²-31x-2250.)9x4-35x²-451.)(2x+1)(x+1)+(2x+1)(x-3)52.)2ax²-3x+2ax-353.)x(y+2)-x-y-154.) (x²-3x)+(x-3) ²55.) 9x²-66x+12156.) 8-2x²57.) x4-158.) x²+4x-xy-2y+459.) 4x²-12x+560.) 21x²-31x-2261.) 4x²+4xy+y²-4x-2y-362.) 9x5-35x3-4x63.)若(2x)n−81 = (4x2+9)(2x+3)(2x−3),那么n的值是( )64.) 若9x²−12xy+m是两数和的平方式,那么m的值是( )65) 把多项式a4− 2a²b²+b4因式分解的结果为( )66.) 把(a+b) ²−4(a²−b²)+4(a−b)²分解因式为( )67.) 200020012121⎪⎭⎫ ⎝⎛+⎪⎭⎫ ⎝⎛-68) 已知x ,y 为任意有理数,记M = x ²+y ²,N = 2xy ,则M 与N 的大小关系为( )69) 对于任何整数m ,多项式( 4m+5) ²−9都能( )A .被8整除B .被m 整除C .被(m−1)整除D .被(2m −1)整除70.) 将−3x ²n −6x n 分解因式,结果是( )71.) 多项式(x+y−z)(x−y+z)−(y+z−x)(z−x−y)的公因式是( )72.) 若16)3(22+-+x m x 是完全平方式,则m 的值等于_____。
因式分解100题及答案1. $2x^2 + 5x$解:首先找到两个数的乘积等于2乘以5,并且它们的和等于5。
这两个数是2和1。
因此,我们可以将原式改写为$(2x + 1)(x + 0)$。
2. $3xy + 6y$解:首先找到两个数的乘积等于3乘以6,并且它们的和等于6。
这两个数是3和2。
因此,我们可以将原式改写为$(3x + 2)(y + 0)$。
3. $4x^2 - 9$解:这是一个差的平方形式。
我们可以将其改写为$(2x - 3)(2x + 3)$。
4. $5a^2 - 20a$解:首先进行因式分解,我们可以将原式写为$a(5a - 20)$。
然后,再将括号中的表达式进行简化,得到$a(5(a - 4))$。
最终结果为$a^2(5 -4)$,即$a^2$。
5. $6xy^2 - 3xy$解:首先进行因式分解,我们可以将原式写为$3xy(2y - 1)$。
在括号中的表达式无法再简化,因此最终结果为$3xy(2y - 1)$。
6. $7x^3 - 7x$解:首先进行因式分解,我们可以将原式写为$7x(x^2 - 1)$。
然后,再将括号中的表达式进行简化,得到$7x(x - 1)(x + 1)$。
最终结果为$7x(x - 1)(x + 1)$。
7. $8a^2b - 4ab^2$解:首先进行因式分解,我们可以将原式写为$4ab(2a - b)$。
在括号中的表达式无法再简化,因此最终结果为$4ab(2a - b)$。
8. $9x^2 + 12xy + 4y^2$解:这是一个完全平方形式。
我们可以将其改写为$(3x + 2y)^2$。
9. $10a^2 - 5ab + 15a$解:首先进行因式分解,我们可以将原式写为$5a(2a - b + 3)$。
在括号中的表达式无法再简化,因此最终结果为$5a(2a - b + 3)$。
10. $11xy^3 - 22xy^2 + 11xy$解:首先进行因式分解,我们可以将原式写为$11xy(y^2 - 2y + 1)$。
100题搞定因式分解计算因式分解100题(试题版)日期:________时间:________姓名:________成绩:________一、解答题(共100小题)1.因式分解:4a2b﹣b.2.因式分解:a2(a﹣b)+25(b﹣a).3.因式分解:x3+3x2y﹣4x﹣12y.4.因式分解:9(x+y)2﹣(x﹣y)2.5.因式分解:2a2b﹣12ab+18b.6.因式分解:﹣x3y+4x2y2﹣4xy3.7.因式分解:a2(x﹣y)+4b2(y﹣x).8.因式分解:4a3b+4a2b2+ab3.9.因式分解:(a+b)2﹣4a2.10.因式分解:3ax2﹣6axy+3ay2.11.因式分解:6x4﹣5x3﹣4x2.12.因式分解:(x﹣3y)(x﹣y)﹣(﹣x﹣y)213.因式分解:2m(a﹣b)﹣3n(b﹣a)14.因式分解:m2﹣(2m+3)2.16.因式分解:x2﹣4xy+4y2﹣117.因式分解:(9x+y)(2y﹣x)﹣(3x+2y)(x﹣2y)18.因式分解:a2﹣4﹣3(a+2)19.因式分解:(x﹣1)2+2(x﹣5).20.因式分解:4x3﹣8x2+4x.21.因式分解:x3﹣2x2﹣3x22.因式分解:2x2﹣4xy+3x﹣6y24.因式分解:9x2﹣6x+1.25.因式分解:4ma2﹣mb2.26.因式分解:x2﹣2xy﹣8y2.27.因式分解:a2+4a(b+c)+4(b+c)2.28.因式分解:x2﹣4y2+4﹣4x29.因式分解:xy2﹣4xy+4x.30.因式分解:x4﹣5x2﹣36.31.因式分解:x3﹣2x2y+xy2.32.在实数范围内因式分解:x2﹣4xy﹣3y2.33.因式分解:9a2(x﹣y)+4b2(y﹣x)34.因式分解:x4﹣10x2+9.35.因式分解:x2﹣y2﹣2x+1.36.因式分解:(2x﹣y)(x+3y)﹣(x+y)(y﹣2x).37.因式分解:6(x+y)2﹣2(x﹣y)(x+y).38.因式分解:2m4n﹣12m3n2+18m2n3.39.因式分解:a2(x﹣y)+4(y﹣x).40.在实数范围内因式分解:﹣2a2b2+ab+2.41.因式分解:x2﹣9+3x(x﹣3)42.因式分解:4xy2+4x2y+y3.43.因式分解:(x2+4x)2﹣2(x2+4x)﹣15.44.因式分解:6xy2+9x2y+y3.45.因式分解:x3﹣3x2+2x.46.因式分解:x(a﹣b)+y(b﹣a)﹣3(b﹣a).47.因式分解:3ax﹣18by+6bx﹣9ay48.因式分解:(2a﹣b)(3a﹣2)+b(2﹣3a)49.因式分解:(a﹣3)2+(3﹣a)50.因式分解:(a+b)﹣2a(a+b)+a2(a+b)51.因式分解:12x4﹣6x3﹣168x252.因式分解:(2m+3n)(2m﹣n)﹣n(2m﹣n)53.因式分解:3x2(x﹣2y)﹣18x(x﹣2y)﹣27(2y﹣x)54.因式分解:(x﹣1)(x+1)(x﹣2)﹣(x﹣2)(x2+2x+4)55.因式分解:8x2y2﹣10xy﹣1256.因式分解:6(x+y)2﹣2(x+y)(x﹣y)57.因式分解:9(a﹣b)(a+b)﹣3(a﹣b)258.因式分解:4xy(x+y)2﹣6x2y(x+y)59.因式分解:﹣24m2x﹣16n2x.60.因式分解:4a(x﹣y)﹣2b(y﹣x)61.因式分解:ax4﹣14ax2﹣32a.62.因式分解:x3+5x2y﹣24xy2.63.因式分解:(1﹣3a)2﹣3(1﹣3a)64.因式分解:x(x﹣y)3+2x2(y﹣x)2﹣2xy(x﹣y)2.65.因式分解:x5﹣2x3﹣8x.366.因式分解:x2-y2+2x+y+467.因式分解:2(x+y)2﹣20(x+y)+50.68.因式分解:1+a+a(1+a)+a(1+a)2+a(1+a)3.69.因式分解:x2y﹣x2z+xy﹣xz.70.因式分解:(x2﹣x)2﹣8x2+8x+12.71.因式分解:x4﹣(3x﹣2)2.72.因式分解:(3m﹣1)2﹣(2m﹣3)2.73.因式分解:(2x+5)2﹣(2x﹣5)2.74.因式分解:(﹣2x﹣1)2(2x﹣1)2﹣(4x2﹣2x﹣1)275.因式分解:(m+1)(m﹣9)+8m.76.因式分解:9(a﹣b)2+36(b2﹣ab)+36b277.因式分解:(a2+4)2﹣16a2.78.因式分解:9(m+n)2﹣(m﹣n)279.因式分解:x4﹣8x2y2+16y4.80.因式分解:25x2﹣9(x﹣2y)281.因式分解:4x2y2﹣(x2+y2)2.82.因式分解:x(x﹣12)+4(3x﹣1).83.因式分解:(x2﹣3)2+2(3﹣x2)+1.84.因式分解:(x+2)(x﹣6)+16.85.因式分解:2m(2m﹣3)+6m﹣1.86.因式分解:x4﹣16y4.87.因式分解:(a2+1)2﹣4a2.88.因式分解:(2x+y)2﹣(x+2y)2.89.因式分解:(x2﹣6)2﹣6(x2﹣6)+990.因式分解:(x2+x)2﹣(x+1)2.91.因式分解:8(x2﹣2y2)﹣x(7x+y)+xy.92.因式分解:x4﹣10x2y2+9y4.93.因式分解:(x2+x﹣5)(x2+x﹣3)﹣394.因式分解:(m2+2m)2﹣7(m2+2m)﹣895.因式分解:(x2+2x)2﹣2(x2+2x)﹣396.因式分解:2x2+6x﹣3.5.97.因式分解:3x2﹣12x+998.因式分解:(x﹣4)(x+7)+18.99.因式分解:5a2b2+23ab﹣10.100.因式分解:(x+y)2﹣(4x+4y)﹣32.因式分解100题参考答案部分可能有误仅供参考一、解答题(共100小题)1.【解答】解:4a2b﹣b=b(4a2﹣1)=b(2a+1)(2a﹣1).2.【解答】解:a2(a﹣b)+25(b﹣a)=a2(a﹣b)﹣25(a﹣b)=(a﹣b)(a2﹣52)=(a﹣b)(a+5)(a﹣5).3.【解答】解:x3+3x2y﹣4x﹣12y=(x3+3x2y)﹣(4x+12y)=x2(x+3y)﹣4(x+3y)=(x+3y)(x2﹣4)=(x+3y)(x+2)(x﹣2).4.【解答】解:9(x+y)2﹣(x﹣y)2=[3(x+y)﹣(x﹣y)][3(x+y)+(x﹣y)]=(2x+4y)(4x+2y)=4(x+2y)(2x+y).5.【解答】解:原式=2b(a2﹣6a+9)=2b(a﹣3)2.6.【解答】解:原式=﹣xy(x2﹣4xy+4y2)=﹣xy(x﹣2y)2.7.【解答】解:原式=(x﹣y)(a2﹣4b2)=(x﹣y)(a+2b)(a﹣2b).故答案为:(x﹣y)(a+2b)(a﹣2b).8.【解答】解:原式=ab(4a2+4ab+b2)=ab(2a+b)2.9.【解答】解:原式=(a+b+2a)(a+b﹣2a)=(3a+b)(b﹣a).10.【解答】解:原式=3a(x2﹣2xy+y2)=3a(x﹣y)2.11.【解答】解:6x4﹣5x3﹣4x2=x2(6x2﹣5x﹣4)=x2(2x+1)(3x﹣4).12.【解答】解:原式=x2﹣xy﹣3xy+y2﹣(x2+xy+y2),=x2﹣xy﹣3xy+y2﹣x2﹣xy﹣y2,=﹣xy+y2,=﹣y(x﹣y).13.【解答】解:2m(a﹣b)﹣3n(b﹣a)=(a﹣b)(2m+3n).14.【解答】解:原式=(m+2m+3)(m﹣2m﹣3)=(3m+3)(﹣m﹣3)=﹣3(m+1)(m+3).15.【解答】解:原式=[3(x﹣y)+2]2=(3x﹣3y+2)2.16.【解答】解:x2﹣4xy+4y2﹣1=(x2﹣4xy+4y2)﹣1=(x﹣2y)2﹣1=(x﹣2y+1)(x﹣2y﹣1).17.【解答】解:(9x+y)(2y﹣x)﹣(3x+2y)(x﹣2y)=(2y﹣x)(9x+y+3x+2y)=3(2y﹣x)(4x+y).18.【解答】解:原式=(a+2)(a﹣2)﹣3(a+2)=(a+2)(a﹣5).19.【解答】解:原式=x2﹣2x+1+2x﹣10=x2﹣9=(x+3)(x﹣3).20.【解答】解:原式=4x(x2﹣2x+1)=4x(x﹣1)2.21.【解答】解:x3﹣2x2﹣3x=x(x2﹣2x﹣3)=x(x﹣3)(x+1).22.【解答】解:原式=2x(x﹣2y)+3(x﹣2y)=(x﹣2y)(2x+3).23.【解答】解:(x﹣2y)(x+3y)﹣(x﹣2y)2=(x﹣2y)(x+3y﹣x+2y)=5y(x﹣2y).24.【解答】解:原式=(3x﹣1)2.25.【解答】解:4ma2﹣mb2,=m(4a2﹣b2),=m(2a+b)(2a﹣b).26.【解答】解:x2﹣2xy﹣8y2=(x﹣4y)(x+2y).27.【解答】解:原式=[a+2(b+c)]2=(a+2b+2c)2.28.【解答】解:x2﹣4y2+4﹣4x=(x2﹣4x+4)﹣4y2=(x﹣2)2﹣4y2=(x+2y﹣2)(x﹣2y﹣2).29.【解答】解:xy2﹣4xy+4x=x(y2﹣4y+4)=x(y﹣2)2.30.【解答】解:原式=(x2﹣9)(x2+4)=(x+3)(x﹣3)(x2+4).31.【解答】解:x3﹣2x2y+xy2,=x(x2﹣2xy+y2),=x(x﹣y)2.32.【解答】解:x2﹣4xy﹣3y2=x2﹣4xy+4y2﹣7y2=(x﹣2y)2﹣7y2=(x﹣2y+y)(x﹣2y﹣y).33.【解答】解:9a2(x﹣y)+4b2(y﹣x)=9a2(x﹣y)﹣4b2(x﹣y)=(x﹣y)(9a2﹣4b2)=(x﹣y)(3a+2b)(3a﹣2b).34.【解答】解:原式=(x2﹣1)(x2﹣9)=(x+1)(x﹣1)(x+3)(x﹣3).35.【解答】解:原式=(x2﹣2x+1)﹣y2=(x﹣1)2﹣y236.【解答】解:原式=(2x﹣y)(x+3y)+(x+y)(2x﹣y)=(2x﹣y)(x+3y+x+y)=(2x﹣y)(2x+4y)=2(2x﹣y)(x+2y).37.【解答】解:6(x+y)2﹣2(x﹣y)(x+y)=2(x+y)[3(x+y)﹣(x﹣y)]=2(x+y)(2x+4y)=4(x+y)(x+2y)38.【解答】解:2m4n﹣12m3n2+18m2n3=2m2n(m2﹣6mn+9n2)=2m2n(m﹣3n)2.39.【解答】原式=a2(x﹣y)﹣4(x﹣y)=(x﹣y)(a2﹣4)=(x﹣y)(a+2)(a﹣2).40.【解答】解:令﹣2a2b2+ab+2=0,则ab=,所以﹣2a2b2+ab+2=﹣2(ab﹣)(ab﹣).41.【解答】解:x2﹣9+3x(x﹣3)=(x﹣3)(x+3)+3x(x﹣3)=(x﹣3)(x+3+3x)=(x﹣3)(4x+3).42.【解答】解:4xy2+4x2y+y3=y(4xy+4x2+y2)=y(y+2x)2.43.【解答】解:原式=(x2+4x﹣5)(x2+4x+3)=(x+5)(x﹣1)(x+3)(x+1).44.【解答】解:原式=y(6xy+9x2+y2)=y(3x+y)2.45.【解答】解:x3﹣3x2+2x=x(x2﹣3x+2)=x(x﹣1)(x﹣2)46.【解答】解:原式=x(a﹣b)﹣y(a﹣b)+3(a﹣b)=(a﹣b)(x﹣y+3).47.【解答】解:原式=(3ax﹣9ay)+(6bx﹣18by)=3a(x﹣y)+6b(x﹣y)=3(x﹣y)(a+2b).48.【解答】解:(2a﹣b)(3a﹣2)+b(2﹣3a)=(2a﹣b)(3a﹣2)﹣b(3a﹣2)=(3a﹣2)(2a﹣b﹣b)=2(3a﹣2)(a﹣b).49.【解答】解:原式=(3﹣a)2+(3﹣a)=(3﹣a)(3﹣a+1)=(3﹣a)(4﹣a).50.【解答】解:原式=(a+b)(1﹣2a+a2)=(a+b)(1﹣a)251.【解答】解:12x4﹣6x3﹣168x2=6x2(2x2﹣x﹣28)52.【解答】解:原式=(2m ﹣n )(2m +3n ﹣n )=(2m ﹣n )(2m +2n )=2(2m ﹣n )(m +n ).53.【解答】解:3x 2(x ﹣2y )﹣18x (x ﹣2y )﹣27(2y ﹣x )=3x 2(x ﹣2y )﹣18x (x ﹣2y )+27(x ﹣2y )=3(x ﹣2y )(x 2﹣6x +9)=3(x ﹣2y )(x ﹣3)2.54.【解答】解:原式=(x ﹣2)(x 2﹣1﹣x 2﹣2x ﹣4)=(x ﹣2)(﹣2x ﹣5)=﹣2x 2﹣x +10.55.【解答】解:原式=2(4x 2y 2﹣5xy ﹣6)=2(4xy +3)(xy ﹣2).56.【解答】解:6(x +y )2﹣2(x +y )(x ﹣y )=2(x +y )[3(x +y )﹣(x ﹣y )]=2(x +y )(2x +4y )=4(x +y )(x +2y ).57.【解答】解:原式=3(a ﹣b )[3(a +b )﹣(a ﹣b )]=6(a ﹣b )(a +2b ).58.【解答】解:原式=2xy (x +y )•2(x +y )﹣2xy (x +y )•3x =2xy (x +y )•[2(x +y )﹣3x ]=2xy (x +y )(2y ﹣x ).59.【解答】解:原式=﹣8x (3m 2+2n 2).60.【解答】解:4a (x ﹣y )﹣2b (y ﹣x )=4a (x ﹣y )+2b (x ﹣y )=2(x ﹣y )(2a +b ).61.【解答】解:ax 4﹣14ax 2﹣32a =a (x 4﹣14x 2﹣32)=a (x 2+2)(x 2﹣16)=a (x 2+2)(x +4)(x ﹣4).62.【解答】解:原式=x (x 2+5xy ﹣24y 2)=x (x +8y )(x ﹣3y ).63.【解答】解:(1﹣3a )2﹣3(1﹣3a )=(1﹣3a )(1﹣3a ﹣3)=(1﹣3a )(﹣3a ﹣2)=﹣(1﹣3a )(3a +2)=﹣3a ﹣2+9a 2+6a =9a 2+3a ﹣2.64.【解答】解:x (x ﹣y )3+2x 2(y ﹣x )2﹣2xy (x ﹣y )2=x (x ﹣y )2[(x ﹣y )+2x ﹣2y ]=3x (x ﹣y )3.65.【解答】解:原式=x (x 4﹣2x 2﹣8)=x (x 2﹣4)(x 2+2)=x (x +2)(x ﹣2)(x 2+2).66.【解答】解:原式=x 2+2x +1-y 2+y +43=(x +1)2-(y ﹣)2⎫⎛⎫⎛31y x y x ()()322122167.【解答】解:2(x+y)2﹣20(x+y)+50.=2[(x+y)2﹣10(x+y)+25].=2(x+y﹣5)2.68.【解答】解:1+a+a(1+a)+a(1+a)2+a(1+a)3=(1+a)[1+a+a(1+a)+a(1+a)2]=(1+a)2[1+a+a(1+a)]=(1+a)4.69.【解答】解:x2y﹣x2z+xy﹣xz.=(x2y﹣x2z)+(xy﹣xz).=x2(y﹣z)+x(y﹣z).=x(x+1)(y﹣z).70.【解答】解:原式=(x2﹣x)2﹣8(x2﹣x)+12=(x2﹣x﹣2)(x2﹣x﹣6)=(x+1)(x﹣2)(x+2)(x﹣3)71.【解答】解:原式=(x2)2﹣(3x﹣2)2=(x2+3x﹣2)(x2﹣3x+2)=(x2+3x﹣2)(x﹣1)(x﹣2).72.【解答】解:原式=[(3m﹣1)+(2m﹣3)][(3m﹣1)﹣(2m﹣3)]=(5m﹣4)(m+2).73.【解答】解:原式=[(2x+5)+(2x﹣5)][(2x+5)﹣(2x﹣5)]=4x•10=40x.74.【解答】解:原式=[(﹣2x﹣1)(2x﹣1)+4x2﹣2x﹣1][(﹣2x﹣1)(2x﹣1)﹣4x2+2x+1]=﹣4x(﹣4x2+x+1).75.【解答】解:原式=m2﹣8m﹣9+8m=m2﹣9=(m+3)(m﹣3).76.【解答】解:原式=9[(a﹣b)2+4b(a﹣b)+4b2]=9(a﹣b+2b)2=9(a+b)2.77.【解答】解:原式=(a2+4)2﹣(4a)2,=(a2+4+4a)(a2+4﹣4a),=(a+2)2(a﹣2)2.78.【解答】解:原式=[3(m+n)]2﹣(m﹣n)2=(3m+3n+m﹣n)(3m+3n﹣m+n)=4(2m+n)(m+2n).79.【解答】解:原式=(x2﹣4y2)2=(x+2y)2(x﹣2y)2.80.【解答】解:原式=[5x﹣3(x﹣2y)][5x+3(x﹣2y)]=(2x﹣6y)(8x﹣6y)=4(x+3y)(4x﹣3y).81.【解答】解:4x2y2﹣(x2+y2)2=﹣[(x2+y2)2﹣(2xy)2]=﹣(x2+y2+2xy)(x2+y2﹣2xy)=﹣(x+y)2(x﹣y)2.82.【解答】解:原式=x2﹣12x+12x﹣4=x2﹣4=(x+2)(x﹣2).83.【解答】解:(x2﹣3)2+2(3﹣x2)+1=(x2﹣3)2﹣2(x2﹣3)+1=(x2﹣4)2=(x+2)2(x﹣2)2.84.【解答】解:原式=x2﹣4x+4=(x﹣2)2.85.【解答】解:原式=4m2﹣6m+6m﹣1=4m2﹣1=(2m+1)(2m﹣1).86.【解答】解:x4﹣16y4=(x2+4y2)(x2﹣4y2)=(x2+4y2)(x+2y)(x﹣2y).87.【解答】解:原式=(a2+1+2a)(a2+1﹣2a)=(a+1)2(a﹣1)2.88.【解答】解:(2x+y)2﹣(x+2y)2=(2x+y+x+2y)(2x+y﹣x﹣2y)=3(x+y)(x﹣y).89.【解答】解:原式=(x2﹣6﹣3)2=(x2﹣9)2=(x+3)2(x﹣3)2.90.【解答】解:原式=(x2+x+x+1)(x2+x﹣x﹣1)=(x2+2x+1)(x2﹣1)=(x+1)2(x+1)(x﹣1)=(x+1)3(x﹣1).91.【解答】解:原式=8x2﹣16y2﹣7x2﹣xy+xy=x2﹣16y2=(x+4y)(x﹣4y).92.【解答】解:原式=(x2﹣9y2)(x2﹣y2)=(x﹣3y)(x+3y)(x﹣y)(x+y).93.【解答】解:原式=(x2+x)2﹣8(x2+x)+12=(x2+x﹣2)(x2+x﹣6)=(x﹣1)(x+2)(x﹣2)(x+3).94.【解答】解:(m2+2m)2﹣7(m2+2m)﹣8,=(m2+2m﹣8)(m2+2m+1),=(m+4)(m﹣2)(m+1)2.95.【解答】解:原式=(x2+2x﹣3)(x2+2x+1),=(x+3)(x﹣1)(x+1)2;96.【解答】解:原式=(2x﹣1)(x+).97.【解答】解:3x2﹣12x+9=3(x2﹣4x+3)=3(x﹣3)(x﹣1).98.【解答】解:(x﹣4)(x+7)+18=x2+3x﹣10=(x﹣2)(x+5).99.【解答】解:原式=(5ab﹣2)(ab+5).100.【解答】解:(x+y)2﹣(4x+4y)﹣32=(x+y)2﹣4(x+y)﹣32=(x+y+4)(x+y﹣8).。
因式分解经典练习100道及答案一、提取公因式(1)3332-4518ab c a b c(2)334434343++243024x y z x y z x y z(3)(94)(92)(1)(94)--+----x x x x(4)(83)(2)(83)(75)-+---m x m x(5)(51)(5)(51)(54)(51)(31)--++--++---m n m n m n(6)344c b c+630(7)(3)(52)(3)(51)(3)(93)---+--++-+x x x x x x(8)334+412ac a c(9)2443+x y ax y(10)(54)(95)(54)(21)(54)(35)x x x x x x+-+++--+++ (11)44324++142835x z x yz x yz(12)2342-a x y a xy1220(13)2423+2012a b c a bc(14)43242-+20520x y x y z xyz(15)(41)(31)(41)(84)---+-+a b a b(16)33-xz y4016(17)(41)(45)(41)(52)+++++m x m x(18)(94)(83)(55)(94)m n n m ----+-(19)2232718x y z xyz-(20)222242x z x y z+二、公式法(21)2249369849x y x -+-(22)22144600625a ab b -+(23)228114464m n m -+-(24)224001160841a ab b ++(25)22361529a b -(26)22x y-121289(27)2x-814(28)212136x-(29)22-+78428025a ab b(30)22-+m mn n48422025三、分组分解法(31)48321812--++xy x y(32)22----a c ab bc ca5435543033 (33)221+--ab a b(34)22+-+-7653043a c ab bc ca(35)22x y xy yz zx+--+3512443035 (36)35257050+--ax ay bx by (37)3287218xy x y-++-(38)20410020+--ax ay bx by (39)48564856-+-mx my nx ny (40)40408080--+xy x y(41)22x y xy yz zx-++-2430163542 (42)22---+x y xy yz zx2449144928 (43)8756-+-ax ay bx by(44)2216538216a b ab bc ca----(45)2212353541a c ab bc ca+-+-(46)81648ax ay bx by+--(47)227228271231a c ab bc ca-+-+(48)224220591221a b ab bc ca++++(49)221851249x z xy yz zx----(50)63362112mx my nx ny--+四、拆添项(51)424169x x -+(52)2216162455a b a b --++(53)22362524305x y x y --+-(54)2281161081632a b a b --++(55)222581609011m n m n ---+(56)422442125x x y y -+(57)226469627x y x y ----(58)42244910516x x y y -+(59)4225111x x -+(60)42246416149m m n n -+五、十字相乘法(61)22+-+++x xy y x y20196441824 (62)222+-+++x y z xy yz xz3621575841 (63)22---+x xy y x y251083528 (64)222x y z xy yz xz-+--+635826646 (65)22--+++x xy y x y24112847820 (66)22x xy y x y+--++4536831328 (67)22x xy y x y---++1612422127 (68)22++--+ 284715654128x xy y x y(69)22569359192m mn n m n ---+-(70)22491435145824p pq q p q --++-(71)2235692829296x xy y x y -++-+(72)2221401627206x xy y x y +++++(73)22921101576x xy y x y ++++-(74)22213723112x xy y x y --++-(75)22228216612329a b c ab bc ac+++--(76)2225421221218x y z xy yz xz+-+++(77)2225465602921a b c ab bc ac+-+--(78)222204912634932x y z xy yz xz++--+(79)2282620324930x xy y x y -++-+(80)2223018621328x y z xy yz xz-+--+六、双十字相乘法(81)2291481586x xy y x y ---++(82)2228152537512x xy y x y +-+++(83)22251418173627a b c ab bc ac+--+-(84)22104121284016x xy y x y +++++(85)2224652137x xy y x y-++-(86)22291216243224a b c ab bc ac+++++(87)22991024337a ab b a b ---++(88)222091943x xy y x y +++++(89)2236306242521x xy y x y -----(90)225272822368x xy y x y -+-++七、因式定理(91)33112x x --(92)322163a a a --+(93)321257360x x x +-+(94)3266132x x x --+(95)32331315x x x ---(96)321624196x x x --+(97)321037960x x x +--(98)324721x x x ++-(99)32472x x x ---(100)324x x -+因式分解经典练习100道答案一、提取公因式(1)2229(52)ab c bc a-(2)3336(454)x y z z xz y++ (3)(94)(103)x x---(4)(83)(67)m x---(5)(51)(98)m n--+(6)346(15)c b c+(7)(3)(2)x x--+(8)324(13)ac a c+(9)232()x y y ax+(10)(54)(89)x x+-+ (11)22337(245)x z x z xy yz++ (12)2224(35)a xy x a y-(13)2324(53)a bcb c+(14)32325(44)xy x y xy z z-+(15)(41)(53)a b-+(16)338(52)xz y-(17)(41)(97)m x++(18)(94)(138)m n--+ (19)29(32)xyz xyz-(20)222(2)x z z y+二、公式法(21)(767)(767)x y x y++-+ (22)2(1225)a b-(23)(98)(98)m n m n++-+ (24)2(2029)a b+(25)(1923)(1923)a b a b+-(26)(1117)(1117)x y x y+-(27)(92)(92)x x+-(28)(116)(116)x x+-(29)2(285)a b-(30)2(225)m n-三、分组分解法(31)2(83)(32)x y--+(32)(667)(95)a b c a c--+(33)(21)(1)a b-+(34)(6)(75)a c ab c---(35)(76)(525)x y x y z--+(36)5(2)(75)a b x y-+ (37)2(49)(41)x y---(38)4(5)(5)a b x y-+(39)8()(67)m n x y+-(40)40(2)(1)x y--(41)(467)(65)x y z x y+--(42)(677)(47)x y z x y++-(43)(7)(8)a b x y+-(44)(252)(8)a b c a b--+(45)(35)(47)a c ab c---(46)4(2)(2)a b x y-+(47)(94)(837)a c ab c-++(48)(74)(653)a b a b c+++(49)(3)(645)x z x y z+--(50)3(3)(74)m n x y--四、拆添项(51)22(223)(223)x x x x+---(52)(411)(45)a b a b+---(53)(655)(651)x y x y+--+(54)(948)(944)a b a b+---(55)(591)(5911)m n m n+---(56)2222(25)(25)x xy y x xy y+---(57)(83)(89)x y x y++--(58)2222(774)(774)x xy y x xy y+---(59)22(51)(51)x x x x+---(60)2222(877)(877)m mn n m mn n+---五、十字相乘法(61)(44)(566)x y x y-+++(62)(93)(475)x y z x y z+-++(63)(54)(527)x y x y-+-(64)(72)(954)x y z x y z++-+(65)(344)(875)x y x y-+++(66)(934)(527)x y x y--+-(67)(221)(827)x y x y--+-(68)(734)(457)x y x y+-+-(69)(752)(871)m n m n+--+(70)(776)(754)p q p q-++-(71)(743)(572)x y x y-+-+(72)(742)(343)x y x y++++(73)(356)(321)x y x y+++-(74)(24)(73)x y x y+--+(75)(473)(732)a b c a b c+-+-(76)(62)(926)x y z x y z+-++(77)(66)(95)a b c a b c+++-(78)(573)(474)x y z x y z-+-+(79)(456)(245)x y x y-+-+ (80)(563)(632)x y z x y z-+++六、双十字相乘法(81)(946)(21)x y x y+---(82)(453)(754)x y x y++-+(83)(26)(573)a b c a b c---+ (84)(534)(274)x y x y++++ (85)(831)(37)x y x y-+-(86)(364)(324)a b c a b c++++(87)(327)(351)a b a b+---(88)(51)(43)x y x y++++ (89)(667)(63)x y x y--++(90)(44)(572)x y x y----七、因式定理(91)2(2)(361)x x x-++ (92)2(3)(251)a a a-+-(93)(3)(34)(45)x x x+--(94)2(2)(661)x x x-+-(95)2(3)(365)x x x-++ (96)(2)(43)(41)x x x-+-(97)(3)(54)(25)x x x-++ (98)2(1)(41)x x+-(99)2(2)(41)x x x-++ (100)2(2)(22)x x x+-+。
经典因式分解练习题100道1.3a³b²c - 12a²b²c² + 9ab²c³ can be factored as 3ab²c(a - 2c)².2.16x² - 81 can be factored as (4x + 9)(4x - 9).3.xy + 6 - 2x - 3y can be simplified as (x - 3)(y - 2).4.x²(x - y) + y²(y - x) simplifies to -xy(x - y).5.2x² - (a - 2b)x - ab can be factored as (2x + b)(x - a).6.a⁴ - 9a²b² can be factored as (a² - 3ab)(a² + 3ab).7.x³ + 3x² - 4 can be factored as (x + 1)(x + 2)(x - 2).8.ab(x² - y²) + xy(a² - b²) simplifies to ab(x + y)(x - y) + xy(a + b)(a - b).9.(x + y)(a - b - c) + (x - y)(b + c - a) can be simplified as 2bx - 2ay - 2cy.10.a² - a - b² - b can be factored as (a - b)(a + b) - (a + b).11.(3a - b)² - 4(3a - b)(a + 3b) + 4(a + 3b)² can be simplified as (a - 5b)².12.(a + 3)² - 6(a + 3) can be factored as (a - 3)(a + 9).13.(x + 1)²(x + 2) - (x + 1)(x + 2)² simplifies to -(x + 1)(x - 2)².14.This n is a repeat of n 2.15.9x² - 30x + 25 can be factored as (3x - 5)².16.x² - 7x - 30 can be factored as (x - 10)(x + 3).17.x(x + 2) - x simplifies to x² + x.18.x² - 4x - ax + 4a can be factored as (x - 4)(x - a).19.25x² - 49 can be simplified as (5x + 7)(5x - 7).20.36x² - 60x + 25 can be simplified as (6x - 5)².21.4x² + 12x + 9 can be simplified as (2x + 3)².22.x² - 9x + 18 can be simplified as (x - 3)(x - 6).23.2x² - 5x - 3 can be simplified as (2x + 1)(x - 3).24.12x² - 50x + 8 can be simplified as 2(2x - 1)(3x - 4).25.3x² - 6x can be simplified as 3x(x - 2).27.6x² - 13x + 5 can be simplified as (2x - 5)(3x - 1).28.x² + 2 - 3x can be simplified as (x - 1)².29.12x² - 23x - 24 can be simplified as (4x + 3)(3x - 8).30.(x + 6)(x - 6) - (x - 6) can be simplified as (x + 6)(x - 2).31.3(x + 2)(x - 5) - (x + 2)(x - 3) can be simplified as 2x(x - 7).32.9x² + 42x + 49 can be simplified as (3x + 7)².33.x⁴ - 2x³ - 35x can be factored as x(x - 7)(x + 5)(x² + 5x + 7).34.3x⁶ - 3x² can be factored as 3x²(x - 1)(x + 1)(x² + 1).35.x² - 25 can be factored as (x - 5)(x + 5).36.x² - 20x + 100 can be simplified as (x - 10)².37.x² + 4x + 3 can be simplified as (x + 1)(x + 3).38.4x² - 12x + 5 cannot be ___.39.3ax² - 6ax can be simplified as 3ax(x - 2).40.) (x+2)(2x+1)2x²+5x+241.) 4ax²-3x-34ax²+2ax-5ax-32ax(2x+1)-3(2x+1)2ax-3)(2x+1)42.) (3x-11)²43.) 2x²-82(x²-4)2(x+2)(x-2)44.) ___ negative.45.) (3x-5)²46.) -(4x+5)(5x-4)47.) (3x-5)(4x-3)48.) (6x+3)(6x+3)49.) (7x+2)(3x-11)50.) (3x²-1)(3x²+4)51.) (4x+2)(2x-2)8(x-1)52.) 4ax²+2ax-3x-32ax(2x+1)-3(2x+1)2ax-3)(2x+1)53.) x(y+1)-y-1x(y+1)-1(y+1)x-1)(y+1)54.) x²-2x+955.) (3x-11)²56.) -2(x²-4)2(x+2)(x-2)57.) (x²+1)(x+1)(x-1)58.) (x+2)²-x(y+2)59.) 4x² - 12x + 5 = (2x - 1)(2x - 5)60.) 21x² - 31x - 22 = (3x + 2)(7x - 11)74.) 2xy与12xy的公因式是2xy75.) 若mn/(x+y)(x-y) = 2224,则m=56,n=39.76.) 在多项式中,可以用平方差公式分解为:(a+b)(a-b)、(x+4y)(x+4y)、(2x-3)(2x-3)。