经典因式分解练习题(附答案)
- 格式:doc
- 大小:111.00 KB
- 文档页数:7
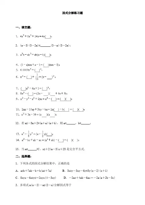
因式分解练习题一、填空题:2.(a-3)(3-2a)=_______(3-a)(3-2a);12.若m2-3m+2=(m+a)(m+b),则a=______,b=______;15.当m=______时,x2+2(m-3)x+25是完全平方式.二、选择题:1.下列各式的因式分解结果中,正确的是A.a2b+7ab-b=b(a2+7a) B.3x2y-3xy-6y=3y(x-2)(x+1) C.8xyz-6x2y2=2xyz(4-3xy) D.-2a2+4ab-6ac=-2a(a+2b-3c) 2.多项式m(n-2)-m2(2-n)分解因式等于A.(n-2)(m+m2) B.(n-2)(m-m2) C.m(n-2)(m+1) D.m(n-2)(m-1) 3.在下列等式中,属于因式分解的是A.a(x-y)+b(m+n)=ax+bm-ay+bn B.a2-2ab+b2+1=(a-b)2+1C.-4a2+9b2=(-2a+3b)(2a+3b) D.x2-7x-8=x(x-7)-84.下列各式中,能用平方差公式分解因式的是A.a2+b2 B.-a2+b2 C.-a2-b2 D.-(-a2)+b25.若9x2+mxy+16y2是一个完全平方式,那么m的值是A.-12 B.±24C.12 D.±126.把多项式a n+4-a n+1分解得A.a n(a4-a) B.a n-1(a3-1) C.a n+1(a-1)(a2-a+1) D.a n+1(a-1)(a2+a+1) 7.若a2+a=-1,则a4+2a3-3a2-4a+3的值为A.8 B.7 C.10 D.128.已知x2+y2+2x-6y+10=0,那么x,y的值分别为A.x=1,y=3 B.x=1,y=-3 C.x=-1,y=3 D.x=1,y=-39.把(m2+3m)4-8(m2+3m)2+16分解因式得A.(m+1)4(m+2)2 B.(m-1)2(m-2)2(m2+3m-2)C.(m+4)2(m-1)2 D.(m+1)2(m+2)2(m2+3m-2)210.把x2-7x-60分解因式,得A.(x-10)(x+6) B.(x+5)(x-12) C.(x+3)(x-20) D.(x-5)(x+12) 11.把3x2-2xy-8y2分解因式,得A.(3x+4)(x-2) B.(3x-4)(x+2) C.(3x+4y)(x-2y) D.(3x-4y)(x+2y) 12.把a2+8ab-33b2分解因式,得A.(a+11)(a-3) B.(a-11b)(a-3b) C.(a+11b)(a-3b) D.(a-11b)(a+3b) 13.把x4-3x2+2分解因式,得A.(x2-2)(x2-1) B.(x2-2)(x+1)(x-1)C.(x2+2)(x2+1) D.(x2+2)(x+1)(x-1)14.多项式x2-ax-bx+ab可分解因式为A.-(x+a)(x+b) B.(x-a)(x+b) C.(x-a)(x-b) D.(x+a)(x+b)15.一个关于x的二次三项式,其x2项的系数是1,常数项是-12,且能分解因式,这样的二次三项式是A.x2-11x-12或x2+11x-12 B.x2-x-12或x2+x-12C.x2-4x-12或x2+4x-12 D.以上都可以16.下列各式x3-x2-x+1,x2+y-xy-x,x2-2x-y2+1,(x2+3x)2-(2x+1)2中,不含有(x-1)因式的有A.1个 B.2个C.3个D.4个17.把9-x2+12xy-36y2分解因式为A.(x-6y+3)(x-6x-3) B.-(x-6y+3)(x-6y-3)C.-(x-6y+3)(x+6y-3) D.-(x-6y+3)(x-6y+3)18.下列因式分解错误的是A.a2-bc+ac-ab=(a-b)(a+c) B.ab-5a+3b-15=(b-5)(a+3)C.x2+3xy-2x-6y=(x+3y)(x-2) D.x2-6xy-1+9y2=(x+3y+1)(x+3y-1)19.已知a2x2±2x+b2是完全平方式,且a,b都不为零,则a与b的关系为A.互为倒数或互为负倒数 B.互为相反数C.相等的数 D.任意有理数20.对x4+4进行因式分解,所得的正确结论是A.不能分解因式B.有因式x2+2x+2 C.(xy+2)(xy-8) D.(xy-2)(xy-8)21.把a4+2a2b2+b4-a2b2分解因式为A.(a2+b2+ab)2 B.(a2+b2+ab)(a2+b2-ab)C.(a2-b2+ab)(a2-b2-ab) D.(a2+b2-ab)222.-(3x-1)(x+2y)是下列哪个多项式的分解结果A.3x2+6xy-x-2y B.3x2-6xy+x-2yC.x+2y+3x2+6xy D.x+2y-3x2-6xy 23.64a8-b2因式分解为A.(64a4-b)(a4+b) B.(16a2-b)(4a2+b) C.(8a4-b)(8a4+b) D.(8a2-b)(8a4+b) 24.9(x-y)2+12(x2-y2)+4(x+y)2因式分解为A.(5x-y)2 B.(5x+y)2 C.(3x-2y)(3x+2y) D.(5x-2y)2 25.(2y-3x)2-2(3x-2y)+1因式分解为A.(3x-2y-1)2 B.(3x+2y+1)2C.(3x-2y+1)2 D.(2y-3x-1)226.把(a+b)2-4(a2-b2)+4(a-b)2分解因式为A.(3a-b)2 B.(3b+a)2 C.(3b-a)2 D.(3a+b)227.把a2(b+c)2-2ab(a-c)(b+c)+b2(a-c)2分解因式为A.c(a+b)2 B.c(a-b)2 C.c2(a+b)2 D.c2(a-b)28.若4xy-4x2-y2-k有一个因式为(1-2x+y),则k的值为A.0 B.1 C.-1 D.429.分解因式3a2x-4b2y-3b2x+4a2y,正确的是A.-(a2+b2)(3x+4y) B.(a-b)(a+b)(3x+4y) C.(a2+b2)(3x-4y) D.(a-b)(a+b)(3x-4y) 30.分解因式2a2+4ab+2b2-8c2,正确的是A.2(a+b-2c) B.2(a+b+c)(a+b-c) C.(2a+b+4c)(2a+b-4c) D.2(a+b+2c)(a+b-2c) 三、因式分解:1.m2(p-q)-p+q;2.a(ab+bc+ac)-abc;3.x4-2y4-2x3y+xy3;4.abc(a2+b2+c2)-a3bc+2ab2c2;5.a2(b-c)+b2(c-a)+c2(a-b);6.(x2-2x)2+2x(x-2)+1;7.(x-y)2+12(y-x)z+36z2;8.x2-4ax+8ab-4b2;9.(ax+by)2+(ay-bx)2+2(ax+by)(ay-bx);10.(1-a2)(1-b2)-(a2-1)2(b2-1)2;11.(x+1)2-9(x-1)2;12.4a2b2-(a2+b2-c2)2;13.ab2-ac2+4ac-4a;14.x3n+y3n;15.(x+y)3+125;16.(3m-2n)3+(3m+2n)3;17.x6(x2-y2)+y6(y2-x2);18.8(x+y)3+1;19.(a+b+c)3-a3-b3-c3;20.x2+4xy+3y2;21.x2+18x-144;22.x4+2x2-8;23.-m4+18m2-17;24.x5-2x3-8x;25.x8+19x5-216x2;26.(x2-7x)2+10(x2-7x)-24;27.5+7(a+1)-6(a+1)2;28.(x2+x)(x2+x-1)-2;29.x2+y2-x2y2-4xy-1;30.(x-1)(x-2)(x-3)(x-4)-48;31.x2-y2-x-y;32.ax2-bx2-bx+ax-3a+3b;33.m4+m2+1;34.a2-b2+2ac+c2;35.a3-ab2+a-b;36.625b4-(a-b)4;37.x6-y6+3x2y4-3x4y2;38.x2+4xy+4y2-2x-4y-35;39.m2-a2+4ab-4b2;40.5m-5n-m2+2mn-n2.四、证明(求值):1.已知a+b=0,求a3-2b3+a2b-2ab2的值.2.求证:四个连续自然数的积再加上1,一定是一个完全平方数.3.证明:(ac-bd)2+(bc+ad)2=(a2+b2)(c2+d2).4.已知a=k+3,b=2k+2,c=3k-1,求a2+b2+c2+2ab-2bc-2ac的值.5.若x2+mx+n=(x-3)(x+4),求(m+n)2的值.6.当a为何值时,多项式x2+7xy+ay2-5x+43y-24可以分解为两个一次因式的乘积.7.若x,y为任意有理数,比较6xy与x2+9y2的大小.8.两个连续偶数的平方差是4的倍数.参考答案:一、填空题:7.9,(3a-1)10.x-5y,x-5y,x-5y,2a-b11.+5,-212.-1,-2(或-2,-1)14.bc+ac,a+b,a-c15.8或-2二、选择题:1.B 2.C 3.C 4.B 5.B 6.D 7.A 8.C 9.D 10.B 11.C 12.C 13.B 14.C 15.D 16.B 17.B 18.D 19.A 20.B 21.B 22.D 23.C 24.A 25.A 26.C 27.C 28.C 29.D 30.D三、因式分解:1.(p-q)(m-1)(m+1).8.(x-2b)(x-4a+2b).11.4(2x-1)(2-x).20.(x+3y)(x+y).21.(x-6)(x+24).27.(3+2a)(2-3a).31.(x+y)(x-y-1).38.(x+2y-7)(x+2y+5).四、证明(求值):2.提示:设四个连续自然数为n,n+1,n+2,n+36.提示:a=-18.∴a=-18.。
因式分解经典测试题及答案一、选择题1.将川口-6⑼加2*分解因式,下面是四位同学分解的结果:2K(xa-3ab},2阳(*-3b+l),〃(*白-3。
匕+1),2*t-xa+3ab-l).其中,正确的是()A. B. C. D.【答案】C【解析】【分析】直接找出公因式进而提取得出答案.【详解】2x2a-6xab+2x=2x(xa-3ab+l).故选:C.【点睛】此题主要考查了提取公因式法分解因式,正确找出公因式是解题关键.2.下列各式从左到右的变形中,是因式分解的为().A.,x(£Z-Z?)=ax—bxB.x2-14-y2=(a-1)(jc+1)4-j2C.x1—1=(%+1)(^-1)D.ax+bx-\-c=x{a+b^c【答案】C【解析】【分析】根据因式分解的定义作答.把一个多项式化成几个整式的积的形式,叫做把这个多项式因式分解,也叫做把这个多项式分解因式.【详解】解:A、是整式的乘法运算,故选项错误;叭右边不是积的形式,故选项错误;C、k2-1=(x+l)(x-l)7正确;D、等式不成立,故选项错误.故选:C.【点睛】熟练地掌握因式分解的定义,明确因式分解的结果应是整式的积的形式.3.相多项式4xql再加上一项,使它能分解因式成(a+b)之的形式,以下是四位学生所加的项,其中错误的是()A.2xB.-4nC.4X4D.4x【答案】A【解析】【分析】分别将四个选项中的式子与多项式4M+1结舍,然后判断是否为完全平方式即可得答案.【详解】A 、4炉+1+本,不是完全平方式,不能利用完全平方公式进行因式分解,故符合题意;B 、4M,1-取=僮肥1产,能利用完全平方公式进行因式分解,故不符合题意;C 、4e+lMd=(2x41)、能利用完全平方公式进行因式分解,故不符合题意:D.4x2+l+4x=(2x+l)21能利用完全平方公式进行因式分解,故不符合题意,故选A.【点睛】本题考杳了完全平方式.熟记完全平方式的结构特征是解题的关键.4.下列等式从左到右的变形是因式分解的是()A.2x (x+3)=及+6*B.24xy=我 8产L 1+2册/+1=(x+y)2+1D.x2-y=(x+y)Cx -y)【答案】D【解析】【分析】根据因式分解的定义逐个判断即可.【详解】A 、不是因式分解,故本选项不符合题意;B 、不是因式分解,故本选项不符舍题意:C 、不是因式分解,故本选项不符合题意;D 、是因式分解,故本选项符合题意:故选D.【点睛】本题考查了因式分解的定义,能熟记因式分解的定义的内容是解此题的关键,注意:把一个多项式化成几个整式的积的形式,叫因式分解.卜列各式中,由等式的左边到右边的变形是因式分解的是(5.[x+3){x—3)=x2—9A.azb+ab2=ab(a +b}U 【答案】C【解折】【分析】根据因式分解是把一个多项式转化成几个整式积的形式,可得答案.【详解】A 、是整式的乘法,故A 错误:B 、没有把一个多项式转化成几个整式积的形式,故B 错误,B.x2+x-5=(x-2)(x+3)+l D.x2+l=x(x+—)工C.把一个多项式转化成了几个整式积的形式,故C正确:D、没有把一个多项式转化成凡个整式积的形式,故D错误;故选:Q【点睛】本题考查了因式分解,因式分解是把一个多项式转化成几个整式积的形式. 6.己知2"一y=;,呼=2,则2i4ys一炉了4的值为(}【答案】C【解析】【分析】利用因式分解以及积的乘方的逆用将变形为的产僮可),然后代入相关数值进行计算即可.【详解】丫2x—y=—yxy—2,3J2力-=x3y3(^x V)=(xy)3(2x-y)=2*」38=一,3故选C.【点睛】本题考查了因式分解的应用,代数式求值,涉及了提公因式法,积的乘方的逆用,熟练掌握和灵活运用相关知次是解题的关键.7.若端形的三边长分别为『、8、C,满足标b—瓜%+,r—"=0,则这个三角形是()A.直角•:角形B.等边:角形C.锐角三角形D.等腰三角形【答案】D【解析】【分析】首先将原式变形为(》一e)(1一b)S+b)=O,可以得到8—0=0或o—b=0或4+b二0,进而得到6=c或以二b.从而得出aAB匚的形状.【详解】Y a^-^c+^c-b5=0*a2(b-c^b2(c—b^=O,.,.(6-t:m苏-⑹=0,即(%一力(.一6)(q+6)=0,;*b—c=0或q—b=0或以十6=0(舍去),*\b=c^a=b,...△ABC是等腰三角形.故选: D.【点睛】本题考查了因式分解一提公因式法、平方差公式法在实际问题中的运用,注意掌握因式分解的步骤,分解要彻底.8.下列等式从左边到右边的变形,属于因式分解的是(}A.2ab(a-b)=2a%-2ab*B.x2+l=x{x+—)XC.x2-4x+3={x-2)2-lD.a2-b2={a+b)(a-b)【答案】D【解析】【分析】把一个多项式化为几个最简整式的乘积的形式,这种变形叫做把这个多项式因式分解{也叫作分解因式).分解因式与整式乘法为相反变形.【详解】解:A.不是因式分解,而是整式的运算B,不是因式分解,等式左边的k是取任意实数,而等式右边的心0二不是因式分解,原式={,—3)(x—1)D.是因式分解.故选D.故答案为:D.【点睛】因式分解没有普遍适用的法则,初中数学教材中主要介绍了提公因式法、公式法,分组分解法、十字相乘法、配方法、待定系数法、拆项法等方法..9.已知实数/b满足等式k=/+u+20,y=a(1b—u),则x、v的大小关系是()A.,工yB.x>yC.x<yD.x>y【答案】D【解析】【分析】判断x、y的大小关系,把N一,进行整理,判断结果的符号可得小v的大小关系.【详解】解:x-y=a~+b2+20-2ab+a~=(扭一6『+/+20,—b尸标≥0,20>0,二x-y>0,二元ay,故选:Q【点睛】本题考查了作差法比较大小、配方法的应用;进行计算比较式子的大小;通常是让两个式子相减,若为正数,则被减数大:反之减数大.10,若实数a、b满足日+b=5『a2b+ab2=-10,则ab的值是()A.-2B.2C.-50D.5。
因式分解题库100题专题训练经典练习题(含答案)因式分解题库100题专题训练经典练习题(含答案)一、填空题(共20题)1、a2-9b2=2、2x3-12x2+4x =2x()3、-27a3=()34、2xy2-8x3 = 2x()()5、(x+2y)(y-2x)= -(x+2y)()6、x(x-y)+y(y-x)=7、a-a3= a(a+1)()8、1600a2-100=100()()9、9a2+()+4 =()210、(x+2)x-x-2= (x+2)()11、a3-a =a()()12、()x2+4x+16 =()213、3a3+5a2+()=(a+ )( +2a-4)14、()-2y2 = -2( +1)215、x2-6x-7=(x )(x )16、3xy+6y2+4x2+8xy=3y( )+4x()=()()17、a2+3a-10=(a+m)(a+n),则m= ,n=18、8a3-b3=(2a-b)()19、xy+y2+mx+my=(y2+my)+()=()()20、(x2+y2)2-4x2y2=二、选择题(共32题)1、多项式2a2+3a+1因式分解等于()A、(a+1)(a-1)B、(2a+1)(2a-1)C、(2a+1)(a+1)D、(2a+1)(a-1)2、下列各式分解因式正确的是()A、3x2+6x+3= 3(x+1)2B、2x2+5xy-2y2=(2x+y)(x+2y)C、2x2+6xy= (2x+3)(x+2y)D、a2-6=(a-3)(a-2)3、下列各式中,能有平方差公式分解因式的是()A、4x2+4B、(2x+3)2 -4(3x2+2)2C、9x2-2xD、a2+b24、把多项式x2-3x-70因式分解,得()A、(x-5)(x+14)B、(x+5)(x-14)C、(x-7)(x+10)D、(x+7)(x-10)5、已知a+b=0,则多项式a3+3a2+4ab+b2+b3的值是()A、0B、1C、 -2D、 26、把4a2+3a-1因式分解,得()A、(2a+1)(2a-1)B、(2a-1)(a-3)C、(4a-1)(a+1)D、(4a+1)(a-1)7、下列等式中,属于因式分解的是()A、a(1+b)+b(a+1)= (a+1)(b+1)B、2a(b+2)+b(a-1)=2ab-4a+ab-bC、a2-6a+10 =a(a-6)+10D、(x+3)2-2(x+3)=(x+3)(x+1)8、2m2+6x+2x2是一个完全平方公式,则m的值是()A、 0B、±32C、±52D、949、多项式3x3-27x 因式分解正确的是()A、3x(x2-9)B、3x(x2+9 )C、3x(x+3)(x-3)D、3x(3x-1)(3x+1)10、已知x>0,且多项式x3+4x2+x-6=0,则x的值是()A、1B、2C、3D、411、多项式2a2+4ab+2b2+k分解因式后,它的一个因式是(a+b-2),则k的值是()A、4B、-4C、8D、-812、对 a4 + 4进行因式分解,所得结论正确的是()A、(a2+2)2B、(a2+2)(a2-2)C、有一个因式为(a2+2a+2)D、不能因式分解13、多项式a2(m-n)+9(n-m)分解因式得()A、(a2+9)(m-n)B、(m-n)(a+3)(a-3)C、(a2+9)(m+n)D、(m+n)(a+3)214、多项式m4-14m2+1分解因式的结果是()A、(m2+4m+1)(m2-4m+1)B、(m2+3m+1)(m2-6m+1)C、(m2-m+1)(m2+m+1)D、(m2-1)(m2+1)15、下列分解因式正确的是()A、-x2+3x = -x(x+3)B、x2+xy+x=x(x+y)C、2m(2m-n)+n(n-2m)= (2m-n)2D、a2-4a+4=(a+2)(a-2)16、下列等式从左到右的变形,属于因式分解的是()A、2x(a-b)=2ax-2bxB、2a2+a-1=a(2a+1)-1C、(a+1)(a+2)= a2+3a+2D、3a+6a2=3a(2a+1)17、下列各式① 2m+n 和m+2n ② 3n(a-b)和-a+b③x3+y3和x2+xy ④a2+b2和a2-b2其中有公因式的是()A、①②B、②③C、①④D、③④18、下列四个多项式中,能因式分解的是()A、x2+1B、 x2-1C、 x2+5yD、x2-5y19、将以下多项式分解因式,结果中不含因式x-1的是()A、1 -x3B、x2-2x+1C、x(2a+3)-(3-2a) D 、2x(m+n)-2(m+n)20、若多项式2x2+ax可以进行因式分解,则a不能为()A、0B、-1C、1D、221、已知x+y= -3,xy=2 ,则x3y+xy3的值是()A、 2B、 4C、10D、2022、多项式x a-y a因式分解的结果是(x2+y2)(x+y)(x-y),则a的值是()A、2B、4C、-2 D-423、对8(a2-2b2)-a(7a+b)+ab 进行因式分解,其结果为()A、(8a-b)(a-7b)B、(2a+3b)(2a-3b)C、(a+2b)(a-2b)D、(a+4b)(a-4b)24、下列分解因式正确的是()A、x2-x-4=(x+2)(x-2)B、2x2-3xy+y2 =(2x-y)(x-y)C、x(x-y)- y(y-x)=(x-y)2D、4x-5x2+6=(2x+3)(2x+2)25、多项式a=2x2+3x+1,b=4x2-4x-3,则M和N的公因式是()A、2x+1B、2x-3C、x+1D、x+326、多项式(x-2y)2+8xy因式分解,结果为()A、(x-2y+2)(x-2y+4)B、(x-2y-2)(x-2y-4)C、(x+2y)2D、(x-2y)227、下面多项式① x2+5x-50 ②x3-1③ x3-4x ④3x2-12他们因式分解后,含有三个因式的是()A、①②、B、③④C、③ D 、④28、已知x= 12+1,则代数式(x+2)(x+4)+x2-4的值是()A、4+2 2B、4-2 2C、2 2D、4 229、下列各多项式中,因式分解正确的()A、4x2 -2 =(4x-2)x2B、1-x2=(1-x)2C、x2+2 = (x+2)(x+1)D、x2-1=(x+1)(x-1)30、若x2+7x-30与x2-17x+42有共同的因式x+m,则m的值为()A、-14B、-3C、3D、1031、下列因式分解中正确的个数为()① x2+y2=(x+y)(x-y)② x2-12x+32=(x-4)(x-8)③ x3+2xy+x=x(x2+2y)④x4-1=(x2+1)(x2-1)A、1B、2C、3D、432、下列各式中,满足完全平方公式进行因式分解的是()A、0.0 9- x2B、x2+20x+100C、 4x2+4x+4D、x2-y2-2xy三、因式分解(共42题)1、x2(a-b)+(b-a)2、x3-xy23、(a+1)2-9(a-1)24、x(xy+yz+xz)-xyz5、(x-1)(x-3)+16、a2-4a+4-b27、(x2-2x)2+2x(x-2)+18、(x+y+z)3-x3-y3-z39、x4-5x2+410、5+7(x+1)+2(x+1)211、a2+b2-a2b2-4ab-112、x4+x2+113、a5-2a3-8a14、a2(b-2)-a(2-b)15、a2(x-y)+16(y-x)16、x2+6xy+9y2-x-3y-3017、(x2+y2-z2)2-4x2y218、xy2-xz2+4xz-4x19、x2(y-z)+y2(z-x)+z2(x-y)20、3x2-5x-11221、3m2x-4n2y-3n2x+4m2y22、x2(2-y)+(y-2)23、x4+x2y2+y424、x4-1625、(x-1)2-(y+1)226、(x-2)(x-3)-2027、2(x+y)2-4(x+y)-3028、x2+1-2x+4(x-1)29、(a2+a)(a2+a+1)-1230、5x+5y+x2+2xy+y231、x3+x2-x-132、x(a+b)2+x2(a+b)33、(x+2)2-y2-2x-334、(x2-6)(x2-4)-1535、(x+1)2-2(x2-1)36、(ax+by)2+(ax-by)2-2(ax+by)(ax-by)37、(a+1)(a+2)(a+3)(a+4)-338、(a+1)4+(a+1)2+139、x4+2x3+3x2+2x+140、4a3-31a+1541、a5+a+142、a3+5a2+3a-9四、求值(共10题)1、x+y=1,xy=2求x2+y2-4xy的值2、x2+x-1=0,求x4+x3+x的值3、已知a(a-1)-(a2-b)+1=0,求a2+b22-ab的值4、若(x+m)(x+n)=x2-6x+5,求2mn的值5、xy=1,求x2+xx2+2x+1+y2y2+y的值6、已知x>y>0,x-y=1,xy=2,求x2-y2的值7、已知a= 2+1,b= 3-1,求ab+a-b-1的值8、已知x=m+1,y= -2m+1,z=m-2,求x2+y2-z2+2xy的值。
超经典的因式分解练习题有答案精品1. 因式分解.(1) a(a-b) -2(w-b).(2)x²-2x²+x.2.因式分解:(1)12m²κ⁻¹−8m²κ⁴;(2) x³-4x²y+4xy².3.将下列多项式因式分解:(1) 2x²-6x;(2) -6x²+12a-6;(3) 4x²-(y²-4y-4).4. 因式分解: (m+1) (m-9) +8m.5.因式分解:25x²{a-b}+49y² (b-a).6.因式分解:2x¹-8r³y8xy².7.因式分解:(1) 4a²-9;(2) 16m³-8me+n³.8. 因式分解:(1) 2ax²-2m²;(2) 3a²-6a²b+3ab².9. 因式分解:(1) m²-m;(2) x³-4x²+4x.10. 因式分解:4.²(x-1) -9 (x+7).11.因式分解:-3a+12a²-12a³.12. 因式分解:(1) m²-y³;(2) x(x-y) ty(y-x).参考答案10. 因式分解.(1) a(a-b) -2(a-b).(2) x³2x³+x.【分析】(1) 原式提取公因式分解即可;(2) 原式提取公因式,再利用完全平方公式分解即可.【解答】解: (1) a (a -b) -2(a -b) = (a-b) ( a -2).(2)x³-2x²+x=x (x²-2x-1)=x(x-1)².【点评】此题考查了提公园式法与公式法的综合运用,熟练掌握因式分解的方法是解本题的关键.11.因式分解:(1) 12m³k⁴-8m²n³;(2)x³-4r³y+4xy².【分析】(1) 找到公因式,提取公因式即可:(2) 先提取公因式,再看用完全平方公式.【解答】解: (1) 原式=4m²n⁴ (3m-2m²);(2)原式: =x(x²-4xy-4y²)=x (x-2y)².【点评】本题考查了整式的因式分解,掌握提取公因式法,公式法是解决本题的关键。
因式分解练习题及答案因式分解练习题及答案篇1:因式分解初一数学习题及答案一、分解因式1.2x4y2-4x3y2+10xy4。
2. 5xn+1-15xn+60xn-1。
4. (a+b)2x2-2(a2-b2)xy+(a-b)2y25. x4-16.-a2-b2+2ab+4分解因式。
10.a2+b2+c2+2ab+2bc+2ac11.x2-2x-812.3x2+5x-213. (x+1)(x+2)(x+3)(x+4)+114. (x2+3x+2)(x2+7x+12)-120.15.把多项式3x2+11x+10分解因式。
16.把多项式5x2?6xy?8y2分解因式。
二证明题17.求证:32000-431999+1031998能被7整除。
18.设为正整数,且64n-7n能被57整除,证明:是57的倍数.19.求证:无论x、y为何值,的值恒为正。
20.已知x2+y2-4x+6y+13=0,求x,y的值。
三求值。
21.已知a,b,c满意a-b=8,ab+c2+16=0,求a+b+c的值 .22.已知x2+3x+6是多项式x4-6x3+mx2+nx+36的一个因式,试确定m,n 的值,并求出它的其它因式。
因式分解精选练习答案一分解因式1. 解:原式=2xy2x3-2xy22x2+2xy25y2=2xy2 (x3-2x2+5y2)。
提示:先确定公因式,找各项系数的最大公约数2;各项相同字母的最低次幂xy2,即公因式2xy2,再把各项的公因式提到括号外面,把多项式写成因式的积。
2. 提示:在公因式中相同字母x的最低次幂是xn-1,提公因式时xn+1提取xn-1后为x2,xn提取xn--1后为x。
解:原式=5 xn--1x2-5xn--13x+5xn--112=5 xn--1 (x2-3x+12)3.解:原式=3a(b-1)(1-8a3)=3a(b-1)(1-2a)(1+2a+4a2)提示:立方差公式:a3-b3=(a-b)( a2+ab+b2)立方和公式:a3+ b3=(a+b)( a2-ab+b2)所以,1-8 a3=(1-2a)(1+2a+4a2)4.解:原式= [(a+b)x]2-2(a+b)(a-b)xy+[(a-b)y]2=(ax+bx-ay+by)2[提示:将(a+b)x和(a-b)y视为一个整体。
超经典的因式分解练习题有答案一、填空题:1、4a3+8a2+24a=4a(a2+2a+6)2.(a-3)(3-2a)=(3-a)(3-2a);3、a3b-ab3=ab(a-b)(a2+ab+b2)4、(1-a)mn+a-1=(mn-1)(1-a)5、0.0009x4=(0.03x2)26、(3a-1)2-8a+3=9a2-14a+17、x2-y2-z2+2yz=(x-y+z)(x+y-z)8、2ax-10at+5by-bx=2a(x-5t)-b(x-5y)=(2a-b)(x-5t)9、x2+3x-10=(x+5)(x-2)10.若m2-3m+2=(m+a)(m+b),则a=1,b=2;11、x3-1y3=(x-1y)(x2+xy+y2)12、a2-bc+ab-ac=(a+b)(a-c)13、当m=5时,x2+2(m-3)x+25是完全平方式.14、x2-1216x-1/4)(x+1/4)二、选择题:1.下列各式的因式分解结果中,正确的是C.-6xy=(4-3xy)2.多项式m(n-2)-m(2-n)分解因式等于D.m(n-2)(m-1)3.在下列等式中,属于因式分解的是C.-4a+9b=(-2a+3b)(2a+3b)4.下列各式中,能用平方差公式分解因式的是D.-(-a)+b5.若9x+mxy+16y是一个完全平方式,那么m的值是C.126.把多项式a-a分解得A.a(a-a)7.若a+a=-1,则a+2a-3a-4a+3的值为2432(此题有误,无法解答)1.解:n4n-13n+12n+12 = n(n3-13n+12)+12 = n(n-3)(n-4)(n-1)+12答案:D2.解:x+y+2x-6y+10=0,化简得3x-5y+10=0,解得y=3-x/5,代入原式得x=1答案:A3.解:(m+3m)-8(m+3m)+16 = -4m+16 = -4(m-4)答案:B4.解:x-7x-60 = -6x-60 = -6(x+10)答案:A5.解:3x-2xy-8y = (3x-4y)(1-2x)答案:B6.解:a+8ab-33b = (a-3b)(8b+11)+11(a-3b) = (a-3b)(8b+11+a-3b)答案:C7.解:x-3x+2 = -2x+2 = -2(x-1)答案:A8.解:同第二题,答案为A9.解:(m+3m)-8(m+3m)+16 = -4m+16 = -4(m-4),答案为B10.解:同第四题,答案为A11.解:3x-2xy-8y = (3x-4y)(1-2x),答案为B12.解:a+8ab-33b = (a-3b)(8b+11)+11(a-3b) = (a-3b)(8b+11+a-3b),答案为C13.解:x-3x+2 = -2x+2 = -2(x-1),答案为A14.解:x-ax-bx+ab = (x-a)(b-x),答案为B15.解:设二次三项式为(x-p)(x-q),则pq=-12,p+q=1,解得p=-4,q=3或p=3,q=-4,答案为C16.解:x-x-x+1 = 1,x+y-xy-x = (1-y)(x-1),x-2x-y+1 = -(x+y-1),(x+3x)2-(2x+1) = 8x2-2x-1,不含有(x-1)因式的有3个,答案为C17.解:9-x+12xy-36y = (3-x)(3-4y),答案为A18.解:a-bc+ac-ab = a(c-b)-b(c-a) = (a-b)(c-a),答案为AC。
因式分解练习题加答案_200道(总11页)--本页仅作为文档封面,使用时请直接删除即可----内页可以根据需求调整合适字体及大小--因式分解3a3b2c-6a2b2c2+9ab2c3=3ab^2 c(a^2-2ac+3c^2)3.因式分解xy+6-2x-3y=(x-3)(y-2)4.因式分解x2(x-y)+y2(y-x)=(x+y)(x-y)^25.因式分解2x2-(a-2b)x-ab=(2x-a)(x+b)6.因式分解a4-9a2b2=a^2(a+3b)(a-3b)7.若已知x3+3x2-4含有x-1的因式,试分解x3+3x2-4=(x-1)(x+2)^28.因式分解ab(x2-y2)+xy(a2-b2)=(ay+bx)(ax-by)9.因式分解(x+y)(a-b-c)+(x-y)(b+c-a)=2y(a-b-c)10.因式分解a2-a-b2-b=(a+b)(a-b-1)11.因式分解(3a-b)2-4(3a-b)(a+3b)+4(a+3b)2=[3a-b-2(a+3b)]^2=(a-7b)^212.因式分解(a+3)2-6(a+3)=(a+3)(a-3)13.因式分解(x+1)2(x+2)-(x+1)(x+2)2=-(x+1)(x+2)abc+ab-4a=a(bc+b-4)(2)16x2-81=(4x+9)(4x-9)(3)9x2-30x+25=(3x-5)^2(4)x2-7x-30=(x-10)(x+3)35.因式分解x2-25=(x+5)(x-5)36.因式分解x2-20x+100=(x-10)^237.因式分解x2+4x+3=(x+1)(x+3)38.因式分解4x2-12x+5=(2x-1)(2x-5)39.因式分解下列各式:(1)3ax2-6ax=3ax(x-2)(2)x(x+2)-x=x(x+1)(3)x2-4x-ax+4a=(x-4)(x-a)(4)25x2-49=(5x-9)(5x+9)(5)36x2-60x+25=(6x-5)^2(6)4x2+12x+9=(2x+3)^2(7)x2-9x+18=(x-3)(x-6)(8)2x2-5x-3=(x-3)(2x+1)(9)12x2-50x+8=2(6x-1)(x-4)40.因式分解(x+2)(x-3)+(x+2)(x+4)=(x+2)(2x-1)41.因式分解2ax2-3x+2ax-3= (x+1)(2ax-3)42.因式分解9x2-66x+121=(3x-11)^243.因式分解8-2x2=2(2+x)(2-x)44.因式分解x2-x+14 =整数内无法分解45.因式分解9x2-30x+25=(3x-5)^246.因式分解-20x2+9x+20=(-4x+5)(5x+4)47.因式分解12x2-29x+15=(4x-3)(3x-5)48.因式分解36x2+39x+9=3(3x+1)(4x+3)49.因式分解21x2-31x-22=(21x+11)(x-2)50.因式分解9x4-35x2-4=(9x^2+1)(x+2)(x-2)51.因式分解(2x+1)(x+1)+(2x+1)(x-3)=2(x-1)(2x+1)52.因式分解2ax2-3x+2ax-3=(x+1)(2ax-3)53.因式分解x(y+2)-x-y-1=(x-1)(y+1)54.因式分解(x2-3x)+(x-3)2=(x-3)(2x-3)55.因式分解9x2-66x+121=(3x-11)^256.因式分解8-2x2=2(2-x)(2+x)57.因式分解x4-1=(x-1)(x+1)(x^2+1)58.因式分解x2+4x-xy-2y+4=(x+2)(x-y+2)59.因式分解4x2-12x+5=(2x-1)(2x-5)60.因式分解21x2-31x-22=(21x+11)(x-2)61.因式分解4x2+4xy+y2-4x-2y-3=(2x+y-3)(2x+y+1)62.因式分解9x5-35x3-4x=x(9x^2+1)(x+2)(x-2)63.因式分解下列各式:(1)3x2-6x=3x(x-2)(2)49x2-25=(7x+5)(7x-5)(3)6x2-13x+5=(2x-1)(3x-5)(4)x2+2-3x=(x-1)(x-2)(5)12x2-23x-24=(3x-8)(4x+3)(6)(x+6)(x-6)-(x-6)=(x-6)(x+5)(7)3(x+2)(x-5)-(x+2)(x-3)=2(x-6)(x+2)(8)9x2+42x+49=(3x+7)^2 。
100题搞定因式分解计算因式分解100题(试题版)日期:________时间:________姓名:________成绩:________一、解答题(共100小题)1.因式分解:4a2b﹣b.2.因式分解:a2(a﹣b)+25(b﹣a).3.因式分解:x3+3x2y﹣4x﹣12y.4.因式分解:9(x+y)2﹣(x﹣y)2.5.因式分解:2a2b﹣12ab+18b.6.因式分解:﹣x3y+4x2y2﹣4xy3.7.因式分解:a2(x﹣y)+4b2(y﹣x).8.因式分解:4a3b+4a2b2+ab3.9.因式分解:(a+b)2﹣4a2.10.因式分解:3ax2﹣6axy+3ay2.11.因式分解:6x4﹣5x3﹣4x2.12.因式分解:(x﹣3y)(x﹣y)﹣(﹣x﹣y)213.因式分解:2m(a﹣b)﹣3n(b﹣a)14.因式分解:m2﹣(2m+3)2.16.因式分解:x2﹣4xy+4y2﹣117.因式分解:(9x+y)(2y﹣x)﹣(3x+2y)(x﹣2y)18.因式分解:a2﹣4﹣3(a+2)19.因式分解:(x﹣1)2+2(x﹣5).20.因式分解:4x3﹣8x2+4x.21.因式分解:x3﹣2x2﹣3x22.因式分解:2x2﹣4xy+3x﹣6y24.因式分解:9x2﹣6x+1.25.因式分解:4ma2﹣mb2.26.因式分解:x2﹣2xy﹣8y2.27.因式分解:a2+4a(b+c)+4(b+c)2.28.因式分解:x2﹣4y2+4﹣4x29.因式分解:xy2﹣4xy+4x.30.因式分解:x4﹣5x2﹣36.31.因式分解:x3﹣2x2y+xy2.32.在实数范围内因式分解:x2﹣4xy﹣3y2.33.因式分解:9a2(x﹣y)+4b2(y﹣x)34.因式分解:x4﹣10x2+9.35.因式分解:x2﹣y2﹣2x+1.36.因式分解:(2x﹣y)(x+3y)﹣(x+y)(y﹣2x).37.因式分解:6(x+y)2﹣2(x﹣y)(x+y).38.因式分解:2m4n﹣12m3n2+18m2n3.39.因式分解:a2(x﹣y)+4(y﹣x).40.在实数范围内因式分解:﹣2a2b2+ab+2.41.因式分解:x2﹣9+3x(x﹣3)42.因式分解:4xy2+4x2y+y3.43.因式分解:(x2+4x)2﹣2(x2+4x)﹣15.44.因式分解:6xy2+9x2y+y3.45.因式分解:x3﹣3x2+2x.46.因式分解:x(a﹣b)+y(b﹣a)﹣3(b﹣a).47.因式分解:3ax﹣18by+6bx﹣9ay48.因式分解:(2a﹣b)(3a﹣2)+b(2﹣3a)49.因式分解:(a﹣3)2+(3﹣a)50.因式分解:(a+b)﹣2a(a+b)+a2(a+b)51.因式分解:12x4﹣6x3﹣168x252.因式分解:(2m+3n)(2m﹣n)﹣n(2m﹣n)53.因式分解:3x2(x﹣2y)﹣18x(x﹣2y)﹣27(2y﹣x)54.因式分解:(x﹣1)(x+1)(x﹣2)﹣(x﹣2)(x2+2x+4)55.因式分解:8x2y2﹣10xy﹣1256.因式分解:6(x+y)2﹣2(x+y)(x﹣y)57.因式分解:9(a﹣b)(a+b)﹣3(a﹣b)258.因式分解:4xy(x+y)2﹣6x2y(x+y)59.因式分解:﹣24m2x﹣16n2x.60.因式分解:4a(x﹣y)﹣2b(y﹣x)61.因式分解:ax4﹣14ax2﹣32a.62.因式分解:x3+5x2y﹣24xy2.63.因式分解:(1﹣3a)2﹣3(1﹣3a)64.因式分解:x(x﹣y)3+2x2(y﹣x)2﹣2xy(x﹣y)2.65.因式分解:x5﹣2x3﹣8x.366.因式分解:x2-y2+2x+y+467.因式分解:2(x+y)2﹣20(x+y)+50.68.因式分解:1+a+a(1+a)+a(1+a)2+a(1+a)3.69.因式分解:x2y﹣x2z+xy﹣xz.70.因式分解:(x2﹣x)2﹣8x2+8x+12.71.因式分解:x4﹣(3x﹣2)2.72.因式分解:(3m﹣1)2﹣(2m﹣3)2.73.因式分解:(2x+5)2﹣(2x﹣5)2.74.因式分解:(﹣2x﹣1)2(2x﹣1)2﹣(4x2﹣2x﹣1)275.因式分解:(m+1)(m﹣9)+8m.76.因式分解:9(a﹣b)2+36(b2﹣ab)+36b277.因式分解:(a2+4)2﹣16a2.78.因式分解:9(m+n)2﹣(m﹣n)279.因式分解:x4﹣8x2y2+16y4.80.因式分解:25x2﹣9(x﹣2y)281.因式分解:4x2y2﹣(x2+y2)2.82.因式分解:x(x﹣12)+4(3x﹣1).83.因式分解:(x2﹣3)2+2(3﹣x2)+1.84.因式分解:(x+2)(x﹣6)+16.85.因式分解:2m(2m﹣3)+6m﹣1.86.因式分解:x4﹣16y4.87.因式分解:(a2+1)2﹣4a2.88.因式分解:(2x+y)2﹣(x+2y)2.89.因式分解:(x2﹣6)2﹣6(x2﹣6)+990.因式分解:(x2+x)2﹣(x+1)2.91.因式分解:8(x2﹣2y2)﹣x(7x+y)+xy.92.因式分解:x4﹣10x2y2+9y4.93.因式分解:(x2+x﹣5)(x2+x﹣3)﹣394.因式分解:(m2+2m)2﹣7(m2+2m)﹣895.因式分解:(x2+2x)2﹣2(x2+2x)﹣396.因式分解:2x2+6x﹣3.5.97.因式分解:3x2﹣12x+998.因式分解:(x﹣4)(x+7)+18.99.因式分解:5a2b2+23ab﹣10.100.因式分解:(x+y)2﹣(4x+4y)﹣32.因式分解100题参考答案部分可能有误仅供参考一、解答题(共100小题)1.【解答】解:4a2b﹣b=b(4a2﹣1)=b(2a+1)(2a﹣1).2.【解答】解:a2(a﹣b)+25(b﹣a)=a2(a﹣b)﹣25(a﹣b)=(a﹣b)(a2﹣52)=(a﹣b)(a+5)(a﹣5).3.【解答】解:x3+3x2y﹣4x﹣12y=(x3+3x2y)﹣(4x+12y)=x2(x+3y)﹣4(x+3y)=(x+3y)(x2﹣4)=(x+3y)(x+2)(x﹣2).4.【解答】解:9(x+y)2﹣(x﹣y)2=[3(x+y)﹣(x﹣y)][3(x+y)+(x﹣y)]=(2x+4y)(4x+2y)=4(x+2y)(2x+y).5.【解答】解:原式=2b(a2﹣6a+9)=2b(a﹣3)2.6.【解答】解:原式=﹣xy(x2﹣4xy+4y2)=﹣xy(x﹣2y)2.7.【解答】解:原式=(x﹣y)(a2﹣4b2)=(x﹣y)(a+2b)(a﹣2b).故答案为:(x﹣y)(a+2b)(a﹣2b).8.【解答】解:原式=ab(4a2+4ab+b2)=ab(2a+b)2.9.【解答】解:原式=(a+b+2a)(a+b﹣2a)=(3a+b)(b﹣a).10.【解答】解:原式=3a(x2﹣2xy+y2)=3a(x﹣y)2.11.【解答】解:6x4﹣5x3﹣4x2=x2(6x2﹣5x﹣4)=x2(2x+1)(3x﹣4).12.【解答】解:原式=x2﹣xy﹣3xy+y2﹣(x2+xy+y2),=x2﹣xy﹣3xy+y2﹣x2﹣xy﹣y2,=﹣xy+y2,=﹣y(x﹣y).13.【解答】解:2m(a﹣b)﹣3n(b﹣a)=(a﹣b)(2m+3n).14.【解答】解:原式=(m+2m+3)(m﹣2m﹣3)=(3m+3)(﹣m﹣3)=﹣3(m+1)(m+3).15.【解答】解:原式=[3(x﹣y)+2]2=(3x﹣3y+2)2.16.【解答】解:x2﹣4xy+4y2﹣1=(x2﹣4xy+4y2)﹣1=(x﹣2y)2﹣1=(x﹣2y+1)(x﹣2y﹣1).17.【解答】解:(9x+y)(2y﹣x)﹣(3x+2y)(x﹣2y)=(2y﹣x)(9x+y+3x+2y)=3(2y﹣x)(4x+y).18.【解答】解:原式=(a+2)(a﹣2)﹣3(a+2)=(a+2)(a﹣5).19.【解答】解:原式=x2﹣2x+1+2x﹣10=x2﹣9=(x+3)(x﹣3).20.【解答】解:原式=4x(x2﹣2x+1)=4x(x﹣1)2.21.【解答】解:x3﹣2x2﹣3x=x(x2﹣2x﹣3)=x(x﹣3)(x+1).22.【解答】解:原式=2x(x﹣2y)+3(x﹣2y)=(x﹣2y)(2x+3).23.【解答】解:(x﹣2y)(x+3y)﹣(x﹣2y)2=(x﹣2y)(x+3y﹣x+2y)=5y(x﹣2y).24.【解答】解:原式=(3x﹣1)2.25.【解答】解:4ma2﹣mb2,=m(4a2﹣b2),=m(2a+b)(2a﹣b).26.【解答】解:x2﹣2xy﹣8y2=(x﹣4y)(x+2y).27.【解答】解:原式=[a+2(b+c)]2=(a+2b+2c)2.28.【解答】解:x2﹣4y2+4﹣4x=(x2﹣4x+4)﹣4y2=(x﹣2)2﹣4y2=(x+2y﹣2)(x﹣2y﹣2).29.【解答】解:xy2﹣4xy+4x=x(y2﹣4y+4)=x(y﹣2)2.30.【解答】解:原式=(x2﹣9)(x2+4)=(x+3)(x﹣3)(x2+4).31.【解答】解:x3﹣2x2y+xy2,=x(x2﹣2xy+y2),=x(x﹣y)2.32.【解答】解:x2﹣4xy﹣3y2=x2﹣4xy+4y2﹣7y2=(x﹣2y)2﹣7y2=(x﹣2y+y)(x﹣2y﹣y).33.【解答】解:9a2(x﹣y)+4b2(y﹣x)=9a2(x﹣y)﹣4b2(x﹣y)=(x﹣y)(9a2﹣4b2)=(x﹣y)(3a+2b)(3a﹣2b).34.【解答】解:原式=(x2﹣1)(x2﹣9)=(x+1)(x﹣1)(x+3)(x﹣3).35.【解答】解:原式=(x2﹣2x+1)﹣y2=(x﹣1)2﹣y236.【解答】解:原式=(2x﹣y)(x+3y)+(x+y)(2x﹣y)=(2x﹣y)(x+3y+x+y)=(2x﹣y)(2x+4y)=2(2x﹣y)(x+2y).37.【解答】解:6(x+y)2﹣2(x﹣y)(x+y)=2(x+y)[3(x+y)﹣(x﹣y)]=2(x+y)(2x+4y)=4(x+y)(x+2y)38.【解答】解:2m4n﹣12m3n2+18m2n3=2m2n(m2﹣6mn+9n2)=2m2n(m﹣3n)2.39.【解答】原式=a2(x﹣y)﹣4(x﹣y)=(x﹣y)(a2﹣4)=(x﹣y)(a+2)(a﹣2).40.【解答】解:令﹣2a2b2+ab+2=0,则ab=,所以﹣2a2b2+ab+2=﹣2(ab﹣)(ab﹣).41.【解答】解:x2﹣9+3x(x﹣3)=(x﹣3)(x+3)+3x(x﹣3)=(x﹣3)(x+3+3x)=(x﹣3)(4x+3).42.【解答】解:4xy2+4x2y+y3=y(4xy+4x2+y2)=y(y+2x)2.43.【解答】解:原式=(x2+4x﹣5)(x2+4x+3)=(x+5)(x﹣1)(x+3)(x+1).44.【解答】解:原式=y(6xy+9x2+y2)=y(3x+y)2.45.【解答】解:x3﹣3x2+2x=x(x2﹣3x+2)=x(x﹣1)(x﹣2)46.【解答】解:原式=x(a﹣b)﹣y(a﹣b)+3(a﹣b)=(a﹣b)(x﹣y+3).47.【解答】解:原式=(3ax﹣9ay)+(6bx﹣18by)=3a(x﹣y)+6b(x﹣y)=3(x﹣y)(a+2b).48.【解答】解:(2a﹣b)(3a﹣2)+b(2﹣3a)=(2a﹣b)(3a﹣2)﹣b(3a﹣2)=(3a﹣2)(2a﹣b﹣b)=2(3a﹣2)(a﹣b).49.【解答】解:原式=(3﹣a)2+(3﹣a)=(3﹣a)(3﹣a+1)=(3﹣a)(4﹣a).50.【解答】解:原式=(a+b)(1﹣2a+a2)=(a+b)(1﹣a)251.【解答】解:12x4﹣6x3﹣168x2=6x2(2x2﹣x﹣28)52.【解答】解:原式=(2m ﹣n )(2m +3n ﹣n )=(2m ﹣n )(2m +2n )=2(2m ﹣n )(m +n ).53.【解答】解:3x 2(x ﹣2y )﹣18x (x ﹣2y )﹣27(2y ﹣x )=3x 2(x ﹣2y )﹣18x (x ﹣2y )+27(x ﹣2y )=3(x ﹣2y )(x 2﹣6x +9)=3(x ﹣2y )(x ﹣3)2.54.【解答】解:原式=(x ﹣2)(x 2﹣1﹣x 2﹣2x ﹣4)=(x ﹣2)(﹣2x ﹣5)=﹣2x 2﹣x +10.55.【解答】解:原式=2(4x 2y 2﹣5xy ﹣6)=2(4xy +3)(xy ﹣2).56.【解答】解:6(x +y )2﹣2(x +y )(x ﹣y )=2(x +y )[3(x +y )﹣(x ﹣y )]=2(x +y )(2x +4y )=4(x +y )(x +2y ).57.【解答】解:原式=3(a ﹣b )[3(a +b )﹣(a ﹣b )]=6(a ﹣b )(a +2b ).58.【解答】解:原式=2xy (x +y )•2(x +y )﹣2xy (x +y )•3x =2xy (x +y )•[2(x +y )﹣3x ]=2xy (x +y )(2y ﹣x ).59.【解答】解:原式=﹣8x (3m 2+2n 2).60.【解答】解:4a (x ﹣y )﹣2b (y ﹣x )=4a (x ﹣y )+2b (x ﹣y )=2(x ﹣y )(2a +b ).61.【解答】解:ax 4﹣14ax 2﹣32a =a (x 4﹣14x 2﹣32)=a (x 2+2)(x 2﹣16)=a (x 2+2)(x +4)(x ﹣4).62.【解答】解:原式=x (x 2+5xy ﹣24y 2)=x (x +8y )(x ﹣3y ).63.【解答】解:(1﹣3a )2﹣3(1﹣3a )=(1﹣3a )(1﹣3a ﹣3)=(1﹣3a )(﹣3a ﹣2)=﹣(1﹣3a )(3a +2)=﹣3a ﹣2+9a 2+6a =9a 2+3a ﹣2.64.【解答】解:x (x ﹣y )3+2x 2(y ﹣x )2﹣2xy (x ﹣y )2=x (x ﹣y )2[(x ﹣y )+2x ﹣2y ]=3x (x ﹣y )3.65.【解答】解:原式=x (x 4﹣2x 2﹣8)=x (x 2﹣4)(x 2+2)=x (x +2)(x ﹣2)(x 2+2).66.【解答】解:原式=x 2+2x +1-y 2+y +43=(x +1)2-(y ﹣)2⎫⎛⎫⎛31y x y x ()()322122167.【解答】解:2(x+y)2﹣20(x+y)+50.=2[(x+y)2﹣10(x+y)+25].=2(x+y﹣5)2.68.【解答】解:1+a+a(1+a)+a(1+a)2+a(1+a)3=(1+a)[1+a+a(1+a)+a(1+a)2]=(1+a)2[1+a+a(1+a)]=(1+a)4.69.【解答】解:x2y﹣x2z+xy﹣xz.=(x2y﹣x2z)+(xy﹣xz).=x2(y﹣z)+x(y﹣z).=x(x+1)(y﹣z).70.【解答】解:原式=(x2﹣x)2﹣8(x2﹣x)+12=(x2﹣x﹣2)(x2﹣x﹣6)=(x+1)(x﹣2)(x+2)(x﹣3)71.【解答】解:原式=(x2)2﹣(3x﹣2)2=(x2+3x﹣2)(x2﹣3x+2)=(x2+3x﹣2)(x﹣1)(x﹣2).72.【解答】解:原式=[(3m﹣1)+(2m﹣3)][(3m﹣1)﹣(2m﹣3)]=(5m﹣4)(m+2).73.【解答】解:原式=[(2x+5)+(2x﹣5)][(2x+5)﹣(2x﹣5)]=4x•10=40x.74.【解答】解:原式=[(﹣2x﹣1)(2x﹣1)+4x2﹣2x﹣1][(﹣2x﹣1)(2x﹣1)﹣4x2+2x+1]=﹣4x(﹣4x2+x+1).75.【解答】解:原式=m2﹣8m﹣9+8m=m2﹣9=(m+3)(m﹣3).76.【解答】解:原式=9[(a﹣b)2+4b(a﹣b)+4b2]=9(a﹣b+2b)2=9(a+b)2.77.【解答】解:原式=(a2+4)2﹣(4a)2,=(a2+4+4a)(a2+4﹣4a),=(a+2)2(a﹣2)2.78.【解答】解:原式=[3(m+n)]2﹣(m﹣n)2=(3m+3n+m﹣n)(3m+3n﹣m+n)=4(2m+n)(m+2n).79.【解答】解:原式=(x2﹣4y2)2=(x+2y)2(x﹣2y)2.80.【解答】解:原式=[5x﹣3(x﹣2y)][5x+3(x﹣2y)]=(2x﹣6y)(8x﹣6y)=4(x+3y)(4x﹣3y).81.【解答】解:4x2y2﹣(x2+y2)2=﹣[(x2+y2)2﹣(2xy)2]=﹣(x2+y2+2xy)(x2+y2﹣2xy)=﹣(x+y)2(x﹣y)2.82.【解答】解:原式=x2﹣12x+12x﹣4=x2﹣4=(x+2)(x﹣2).83.【解答】解:(x2﹣3)2+2(3﹣x2)+1=(x2﹣3)2﹣2(x2﹣3)+1=(x2﹣4)2=(x+2)2(x﹣2)2.84.【解答】解:原式=x2﹣4x+4=(x﹣2)2.85.【解答】解:原式=4m2﹣6m+6m﹣1=4m2﹣1=(2m+1)(2m﹣1).86.【解答】解:x4﹣16y4=(x2+4y2)(x2﹣4y2)=(x2+4y2)(x+2y)(x﹣2y).87.【解答】解:原式=(a2+1+2a)(a2+1﹣2a)=(a+1)2(a﹣1)2.88.【解答】解:(2x+y)2﹣(x+2y)2=(2x+y+x+2y)(2x+y﹣x﹣2y)=3(x+y)(x﹣y).89.【解答】解:原式=(x2﹣6﹣3)2=(x2﹣9)2=(x+3)2(x﹣3)2.90.【解答】解:原式=(x2+x+x+1)(x2+x﹣x﹣1)=(x2+2x+1)(x2﹣1)=(x+1)2(x+1)(x﹣1)=(x+1)3(x﹣1).91.【解答】解:原式=8x2﹣16y2﹣7x2﹣xy+xy=x2﹣16y2=(x+4y)(x﹣4y).92.【解答】解:原式=(x2﹣9y2)(x2﹣y2)=(x﹣3y)(x+3y)(x﹣y)(x+y).93.【解答】解:原式=(x2+x)2﹣8(x2+x)+12=(x2+x﹣2)(x2+x﹣6)=(x﹣1)(x+2)(x﹣2)(x+3).94.【解答】解:(m2+2m)2﹣7(m2+2m)﹣8,=(m2+2m﹣8)(m2+2m+1),=(m+4)(m﹣2)(m+1)2.95.【解答】解:原式=(x2+2x﹣3)(x2+2x+1),=(x+3)(x﹣1)(x+1)2;96.【解答】解:原式=(2x﹣1)(x+).97.【解答】解:3x2﹣12x+9=3(x2﹣4x+3)=3(x﹣3)(x﹣1).98.【解答】解:(x﹣4)(x+7)+18=x2+3x﹣10=(x﹣2)(x+5).99.【解答】解:原式=(5ab﹣2)(ab+5).100.【解答】解:(x+y)2﹣(4x+4y)﹣32=(x+y)2﹣4(x+y)﹣32=(x+y+4)(x+y﹣8).。
因式分解专项练习100题及答案一、提取公因式(1)(61)(53)(61)(23)(61)(62)-++---+---m n m n m n(2)4242-66x yz x y(3)(72)(81)(72)(74)(72)(41)--++--++--x x x x x x(4)4442a a x y-45(5)2333323++61515x y z x z x z(6)(53)(34)(53)(33)-----+a b a b(7)323a c bc+515(8)43-1216xyz xyz(9)431025c b c +(10)3333189ax y a x y +(11)324226a bc a b c-(12)23341435a x y x -(13)(61)(25)(91)(61)x x x x -+-+-(14)33434332816x y z y z y z++(15)(32)(41)(32)(75)(32)(21)x x x x x x -++-++-+(16)(52)(2)(25)(52)m n n m +-++-+(17)(65)(43)(65)(64)x x x x +--+-(18)(85)(91)(85)(94)(85)(42)+--+++++-+a b a b a b(19)(23)(35)(23)(71)(23)(93)--+--++---m n m n m n (20)(35)(32)(35)(4)(35)(1)x x x x x x---+-++-+二、公式法(21)22-+x xy y12122(22)22-a b481(23)22-x y784529(24)2-+x x12396324(25)22-x y289121(26)2290064a b -(27)2281450625m mn n -+(28)2249238289m mn n ++(29)225628881x x ++(30)257664x -三、分组分解法(31)281040xy x y --+(32)8122842ab a b --+(33)221635262124x y xy yz zx-++-(34)21187060ax ay bx by+--(35)2294221469a c ab bc ca++--(36)45352721mx my nx ny-+-(37)2212621728a b ab bc ca--++(38)863224xy x y -+-+(39)4102870ab a b +++(40)142070100ax ay bx by+--(41)222720452057x z xy yz zx++--(42)2273554426a b ab bc ca++++(43)302064xy x y ----(44)4101640ax ay bx by--+(45)2212354928x y xy yz zx-+--(46)363060mx my nx ny--+(47)424954xy x y -++-(48)18168172ab a b --+(49)2438010ab a b +++(50)819182ax ay bx by-+-四、拆添项(51)2281491268413a b a b -+++(52)229143024m n m n -+++(53)4224-+x x y y363316(54)4224m m n n++364716 (55)22m n m n---+8191621277 (56)22----449249813x y x y (57)4224-+m m n n93364(58)22-+--m n m n64251289017 (59)22----x y x y9643611213 (60)22-+--x y x y81610827五、十字相乘法(61)223579424942x xy y x y++--(62)2228114254545x y z xy yz---+(63)22458835434510x xy y x y -++-+(64)22145521455025x xy y x y -++-+(65)2221261539236x xy y x y -----(66)2216232876a ab b a b --+++(67)22225424450x y z yz xz-++-(68)2243014192912m mn n m n +++++(69)221526713152m mn n m n ++--+(70)222523x xy y x y +-+++(71)22228630463111x y z xy yz xz+-+-+(72)2222415821432x y z xy yz xz-+--+(73)2285921556742m mn n m n -+-++(74)22915412133x xy y x y ++--+(75)22232237a b c ab bc ac-+---(76)2159341515x xy x y ++++(77)226271510174x xy y x y +---+(78)22241128602624x xy y x y --+++(79)22812839228x xy y x y +--++(80)23036553025p pq p q --++六、双十字相乘法(81)2223520245342x y z xy yz xz+--+-(82)22273422113x y z xy yz xz+-+-+(83)22256356212910x y z xy yz xz-----(84)22228282065198a b c ab bc ac+-+-+(85)22264212946x y z xy yz xz-----(86)2214133592635x xy y x y -+-++(87)22227493042769x y z xy yz xz-+-++(88)2226184242711x y z xy yz xz+++--(89)22243110472921x xy y x y ++---(90)22228101827354a b c ab bc ac-++++七、因式定理(91)3222x x x +--(92)321845192a a a -+-(93)323744x x x +++(94)3228115x x x +++(95)32--+671510y y y (96)3212351710++-x x x (97)32x x x+++526356 (98)32+++x x x157911745 (99)32-+-522236x x x (100)32--+35159x x x因式分解专项练习100题答案一、提取公因式(1)(61)(32)m n---(2)426()x y z y-(3)(72)(114)x x--+ (4)442(45)a x y-(5)2333(255)x z y x++(6)(53)(67)a b--+ (7)235(3)c a bc+(8)34(34)xyz z-(9)425(25)c b c+(10)3229(2)ax y a y+(11)32(3)a bc c ab-(12)3237(25)x a y x-(13)(61)(74)x x---(14)33338(42)y z x z z++ (15)(32)(137)x x-+ (16)(52)(3)m n+-(17)(65)(21)x x-+-(18)(85)(45)a b+-+ (19)(23)(137)m n---(20)(35)(3)x x--+二、公式法(21)2(11)x y-(22)(29)(29)a b a b+-(23)(2823)(2823)x y x y+-(24)2(1118)x-(25)(17)(17)x y x y+-(26)(308)(308)a b a b+-(27)2(925)m n-(28)2(717)m n+(29)2(169)x+(30)(248)(248)x x+-三、分组分解法(31)2(5)(4)x y--(32)2(27)(23)a b--(33)(87)(253)x y x y z-+-(34)(310)(76)a b x y-+(35)(7)(926)a c ab c-+-(36)(53)(97)m n x y+-(37)(4)(367)a b a b c+-+ (38)2(4)(43)x y-+-(39)2(7)(25)a b++(40)2(5)(710)a b x y-+(41)(94)(355)x z x y z-+-(42)(7)(756)a b a b c+++(43)2(51)(32)x y-++(44)2(4)(25)a b x y--(45)(357)(47)x y z x y--+(46)3(10)(2)m n x y--(47)(49)(6)x y---(48)(29)(98)a b--(49)(310)(81)a b++(50)(92)(9)a b x y+-四、拆添项(51)(971)(9713)a b a b++-+(52)(32)(312)m n m n++-+(53)2222(694)(694)x xy y x xy y++-+ (54)2222(64)(64)m mn n m mn n++-+ (55)(937)(9311)m n m n+---(56)(271)(2713)x y x y++--(57)2222(398)(398)m mn n m mn n++-+ (58)(8517)(851)m n m n++--(59)(381)(3813)x y x y++--(60)(99)(93)x y x y++--五、十字相乘法(61)(577)(76)x y x y+-+ (62)(925)(975)x y z x y z+--+ (63)(955)(572)x y x y-+-+ (64)(275)(735)x y x y-+-+ (65)(731)(356)x y x y++--(66)(832)(23)a b a b++-+ (67)(524)(526)x y z x y z--+-(68)(423)(74)m n m n++++ (69)(32)(571)m n m n+-+-(70)(23)(1)x y x y-+++ (71)(465)(76)x y z x y z+++-(72)(434)(652)x y z x y z++-+ (73)(76)(837)m n m n----(74)(33)(341)x y x y+-+-(75)(2)(32)a b c a b c--+-(76)(533)(35)x y x+++ (77)(634)(51)x y x y--+-(78)(346)(874)x y x y-+++(79)(847)(24)x y x y--+-(80)(65)(565)p p q---六、双十字相乘法(81)(544)(756)x y z x y z-+--(82)(3)(74)x y z x y z+++-(83)(852)(773)x y z x y z++--(84)(745)(474)a b c a b c+-++ (85)(273)(364)x y z x y z--++ (86)(27)(735)x y x y----(87)(975)(376)x y z x y z++-+ (88)(334)(26)x y z x y z+-+-(89)(853)(327)x y x y+++-(90)(456)(723)a b c a b c++-+七、因式定理(91)(1)(1)(2)x x x+-+(92)(2)(61)(31)a a a---(93)2(2)(32)x x x+++ (94)2(1)(265)x x x+++ (95)2(2)(655)y y y-+-(96)(2)(31)(45)x x x+-+ (97)(3)(51)(2)x x x+++ (98)(3)(35)(53)x x x+++ (99)(1)(52)(3)x x x---(100)2(3)(343)x x x-+-。
因式分解3a3b2c—6a2b2c2+9ab2c3=3ab^2 c(a^2-2ac+3c^2)3.因式分解xy+6—2x-3y=(x-3)(y-2)4.因式分解x2(x-y)+y2(y—x)=(x+y)(x-y)^25。
因式分解2x2-(a-2b)x-ab=(2x-a)(x+b)6.因式分解a4-9a2b2=a^2(a+3b)(a-3b)7.若已知x3+3x2-4含有x—1得因式,试分解x3+3x2-4=(x—1)(x+2)^28、因式分解ab(x2-y2)+xy(a2—b2)=(ay+bx)(ax—by)9、因式分解(x+y)(a-b-c)+(x-y)(b+c—a)=2y(a—b-c)10、因式分解a2-a-b2-b=(a+b)(a—b—1)11。
因式分解(3a-b)2-4(3a-b)(a+3b)+4(a+3b)2=[3a-b-2(a+3b)]^2=(a—7b)^212、因式分解(a+3)2-6(a+3)=(a+3)(a-3)13、因式分解(x+1)2(x+2)—(x+1)(x+2)2=-(x+1)(x+2)abc+ab—4a=a(bc+b-4)(2)16x2-81=(4x+9)(4x-9)(3)9x2—30x+25=(3x-5)^2(4)x2-7x—30=(x—10)(x+3)35。
因式分解x2-25=(x+5)(x-5)36。
因式分解x2-20x+100=(x-10)^237。
因式分解x2+4x+3=(x+1)(x+3)38.因式分解4x2-12x+5=(2x—1)(2x—5)39、因式分解下列各式:(1)3ax2-6ax=3ax(x-2)(2)x(x+2)—x=x(x+1)(3)x2-4x—ax+4a=(x—4)(x—a)(4)25x2—49=(5x-9)(5x+9)(5)36x2—60x+25=(6x-5)^2(6)4x2+12x+9=(2x+3)^2(7)x2-9x+18=(x—3)(x-6)(8)2x2-5x—3=(x-3)(2x+1)(9)12x2-50x+8=2(6x-1)(x—4)40.因式分解(x+2)(x-3)+(x+2)(x+4)=(x+2)(2x-1)41。
因式分解经典练习100道及答案一、提取公因式(1)3332-4518ab c a b c(2)334434343++243024x y z x y z x y z(3)(94)(92)(1)(94)--+----x x x x(4)(83)(2)(83)(75)-+---m x m x(5)(51)(5)(51)(54)(51)(31)--++--++---m n m n m n(6)344c b c+630(7)(3)(52)(3)(51)(3)(93)---+--++-+x x x x x x(8)334+412ac a c(9)2443+x y ax y(10)(54)(95)(54)(21)(54)(35)x x x x x x+-+++--+++ (11)44324++142835x z x yz x yz(12)2342-a x y a xy1220(13)2423+2012a b c a bc(14)43242-+20520x y x y z xyz(15)(41)(31)(41)(84)---+-+a b a b(16)33-xz y4016(17)(41)(45)(41)(52)+++++m x m x(18)(94)(83)(55)(94)m n n m ----+-(19)2232718x y z xyz-(20)222242x z x y z+二、公式法(21)2249369849x y x -+-(22)22144600625a ab b -+(23)228114464m n m -+-(24)224001160841a ab b ++(25)22361529a b -(26)22x y-121289(27)2x-814(28)212136x-(29)22-+78428025a ab b(30)22-+m mn n48422025三、分组分解法(31)48321812--++xy x y(32)22----a c ab bc ca5435543033 (33)221+--ab a b(34)22+-+-7653043a c ab bc ca(35)22x y xy yz zx+--+3512443035 (36)35257050+--ax ay bx by (37)3287218xy x y-++-(38)20410020+--ax ay bx by (39)48564856-+-mx my nx ny (40)40408080--+xy x y(41)22x y xy yz zx-++-2430163542 (42)22---+x y xy yz zx2449144928 (43)8756-+-ax ay bx by(44)2216538216a b ab bc ca----(45)2212353541a c ab bc ca+-+-(46)81648ax ay bx by+--(47)227228271231a c ab bc ca-+-+(48)224220591221a b ab bc ca++++(49)221851249x z xy yz zx----(50)63362112mx my nx ny--+四、拆添项(51)424169x x -+(52)2216162455a b a b --++(53)22362524305x y x y --+-(54)2281161081632a b a b --++(55)222581609011m n m n ---+(56)422442125x x y y -+(57)226469627x y x y ----(58)42244910516x x y y -+(59)4225111x x -+(60)42246416149m m n n -+五、十字相乘法(61)22+-+++x xy y x y20196441824 (62)222+-+++x y z xy yz xz3621575841 (63)22---+x xy y x y251083528 (64)222x y z xy yz xz-+--+635826646 (65)22--+++x xy y x y24112847820 (66)22x xy y x y+--++4536831328 (67)22x xy y x y---++1612422127 (68)22++--+ 284715654128x xy y x y(69)22569359192m mn n m n ---+-(70)22491435145824p pq q p q --++-(71)2235692829296x xy y x y -++-+(72)2221401627206x xy y x y +++++(73)22921101576x xy y x y ++++-(74)22213723112x xy y x y --++-(75)22228216612329a b c ab bc ac+++--(76)2225421221218x y z xy yz xz+-+++(77)2225465602921a b c ab bc ac+-+--(78)222204912634932x y z xy yz xz++--+(79)2282620324930x xy y x y -++-+(80)2223018621328x y z xy yz xz-+--+六、双十字相乘法(81)2291481586x xy y x y ---++(82)2228152537512x xy y x y +-+++(83)22251418173627a b c ab bc ac+--+-(84)22104121284016x xy y x y +++++(85)2224652137x xy y x y-++-(86)22291216243224a b c ab bc ac+++++(87)22991024337a ab b a b ---++(88)222091943x xy y x y +++++(89)2236306242521x xy y x y -----(90)225272822368x xy y x y -+-++七、因式定理(91)33112x x --(92)322163a a a --+(93)321257360x x x +-+(94)3266132x x x --+(95)32331315x x x ---(96)321624196x x x --+(97)321037960x x x +--(98)324721x x x ++-(99)32472x x x ---(100)324x x -+因式分解经典练习100道答案一、提取公因式(1)2229(52)ab c bc a-(2)3336(454)x y z z xz y++ (3)(94)(103)x x---(4)(83)(67)m x---(5)(51)(98)m n--+(6)346(15)c b c+(7)(3)(2)x x--+(8)324(13)ac a c+(9)232()x y y ax+(10)(54)(89)x x+-+ (11)22337(245)x z x z xy yz++ (12)2224(35)a xy x a y-(13)2324(53)a bcb c+(14)32325(44)xy x y xy z z-+(15)(41)(53)a b-+(16)338(52)xz y-(17)(41)(97)m x++(18)(94)(138)m n--+ (19)29(32)xyz xyz-(20)222(2)x z z y+二、公式法(21)(767)(767)x y x y++-+ (22)2(1225)a b-(23)(98)(98)m n m n++-+ (24)2(2029)a b+(25)(1923)(1923)a b a b+-(26)(1117)(1117)x y x y+-(27)(92)(92)x x+-(28)(116)(116)x x+-(29)2(285)a b-(30)2(225)m n-三、分组分解法(31)2(83)(32)x y--+(32)(667)(95)a b c a c--+(33)(21)(1)a b-+(34)(6)(75)a c ab c---(35)(76)(525)x y x y z--+(36)5(2)(75)a b x y-+ (37)2(49)(41)x y---(38)4(5)(5)a b x y-+(39)8()(67)m n x y+-(40)40(2)(1)x y--(41)(467)(65)x y z x y+--(42)(677)(47)x y z x y++-(43)(7)(8)a b x y+-(44)(252)(8)a b c a b--+(45)(35)(47)a c ab c---(46)4(2)(2)a b x y-+(47)(94)(837)a c ab c-++(48)(74)(653)a b a b c+++(49)(3)(645)x z x y z+--(50)3(3)(74)m n x y--四、拆添项(51)22(223)(223)x x x x+---(52)(411)(45)a b a b+---(53)(655)(651)x y x y+--+(54)(948)(944)a b a b+---(55)(591)(5911)m n m n+---(56)2222(25)(25)x xy y x xy y+---(57)(83)(89)x y x y++--(58)2222(774)(774)x xy y x xy y+---(59)22(51)(51)x x x x+---(60)2222(877)(877)m mn n m mn n+---五、十字相乘法(61)(44)(566)x y x y-+++(62)(93)(475)x y z x y z+-++(63)(54)(527)x y x y-+-(64)(72)(954)x y z x y z++-+(65)(344)(875)x y x y-+++(66)(934)(527)x y x y--+-(67)(221)(827)x y x y--+-(68)(734)(457)x y x y+-+-(69)(752)(871)m n m n+--+(70)(776)(754)p q p q-++-(71)(743)(572)x y x y-+-+(72)(742)(343)x y x y++++(73)(356)(321)x y x y+++-(74)(24)(73)x y x y+--+(75)(473)(732)a b c a b c+-+-(76)(62)(926)x y z x y z+-++(77)(66)(95)a b c a b c+++-(78)(573)(474)x y z x y z-+-+(79)(456)(245)x y x y-+-+ (80)(563)(632)x y z x y z-+++六、双十字相乘法(81)(946)(21)x y x y+---(82)(453)(754)x y x y++-+(83)(26)(573)a b c a b c---+ (84)(534)(274)x y x y++++ (85)(831)(37)x y x y-+-(86)(364)(324)a b c a b c++++(87)(327)(351)a b a b+---(88)(51)(43)x y x y++++ (89)(667)(63)x y x y--++(90)(44)(572)x y x y----七、因式定理(91)2(2)(361)x x x-++ (92)2(3)(251)a a a-+-(93)(3)(34)(45)x x x+--(94)2(2)(661)x x x-+-(95)2(3)(365)x x x-++ (96)(2)(43)(41)x x x-+-(97)(3)(54)(25)x x x-++ (98)2(1)(41)x x+-(99)2(2)(41)x x x-++ (100)2(2)(22)x x x+-+。