七年级下册第三周周末作业
- 格式:doc
- 大小:88.00 KB
- 文档页数:5
第三周班级 姓名学号、选择题:1 若/ a +/B =90° , Z 3 +/丫 =90°,则/ a 与/ Y 的关系是( )A.互余 B .互补 C .相等2、 体育课上,老师测量某个同学的跳远成绩的依据是 A.平行线间的距离相等 B .两点之间线段最短 C .垂线段最短3、 下列说法正确的个数是()①过直线上或直线外一点,都能且只能画这条直线的一条垂线;②过直线 都能画这条直线I 的垂直;③从直线外一点作这条直线的垂线段,叫做这个点到这条直线的距离;④过直 线外一点画这条直线的垂线,垂线的长度叫做这点到这条直线的距离4、如果一个角的两边分别平行于另一个角的两边,那么这两个角( )A.相等 B .互补 C.相等或互补 D .无法确定A.若/ 4=75°,贝U AB// CD B. 若/ 4=105°,则 AB// CD C.若/ 2=75°,贝U AB// CDD.若/ 2=155°,则 AB// CD6、对于平移后,对应点所连的线段,下列说法正确的是①对应点所连的线段一定平行,但不一定相等;②对应点所连的线段一定相等,但不一定平行,有可能相 交;③对应点所连的线段平行且相等,也有可能在同一条直线上;④有可能所有对应 点的连线都在同一条直线上。
A.①③B. ②③C. ③④D. ①②7、如图所示,如果 AB// CD 则/ 1、/ 2、/ 3之间的关系为()A.Z 1 + / 2+/ 3=360°B. . / 1- / 2+/ 3=180° 5、 如图所示,两 条直线AB CD 被第三条直线EF 所截,/仁75 F 列说法正确的是(D .没有关系( )D .两点确定一条直线l 上一点A 和直线l 外一点B 直C./ 1 + / 2- / 3-180 ° D . / 1 + / 2- / 3=180°8、在以下现象中,属于平移的是()①在挡秋千的小朋友;②打气筒打气时,活塞的运动③钟摆的摆动;④传送带上,瓶装饮料的移动A.①②B.①③C.②③D.②④A.1 cm、2 cm、3 cmB.1 cm 、4 cm、2 cmC.2 cm 、3 cm、4 cmD.6 cm、2 cm、3 cm10、三角形的三条高相交于一点,此一点定在()A.三角形的内部B.三角形的外部C.三角形的一条边上D. 不能确定11、如图,AD丄BC, AD丄BC, GC丄BC, CF丄AB,D,C, F是垂足,下列说法中错误的是()A.A ABC中,AD是BC边上的高B .△ ABC中,GC是BC边上的高D.A GBC中,GC 是BC边上的高 D . △ GBC中,CF 是BG边12、已知三角形的三边分别为2, a、4,那么a的范围是()A. 1 v a v 5B. 2v av 6C. 3v a v 7D. 4v av 6、填空题:13、如图,一条公路两次拐弯后和原来的方向相同,即拐弯前、?后的两条路平行,若第一次拐角是150° ,则第二次拐角为_______ 。
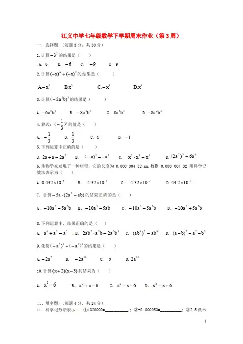
江义中学七年级数学下学期周末作业(第3周)一.选择题:(每题3分,共30分)1.计算23-的结果是( )A. 6B. 6-C. 9- D 92.计算26)()(x x -÷-的结果是( )3.x A - 3.x B4.x C - 4.x D3.计算32)2b a -(的结果是( ) A.366b a - B. 368b a - C. 368b a D.328b a -4.算式:031)(-的值是( ) A. 31- B. 31 C. 1 D. 1- 5.下列运算中正确的是( ) A.222a a a =+ B.22)a a -=-( C. 532x x x =⋅ D.6326)2a a =( 6.生物学家发现了一种病毒,它的长度为0.000 004 32 mm.数据0.000 004 32 用科学记数法表示为( )A.510432.0-⨯B. 61032.4-⨯C. 71032.4-⨯D.7102.43-⨯7.计算)2(52ab a a -⋅-的结果正确的是( )A 、b a a 23510+-B 、ab a 5103--C 、b a a 23510--D 、b a a 22510+-8.下列运算中,结果正确的是( )A .236a a a =÷B .332222b a b a ab =⋅C .824)(ab ab =D .222)(b a b a -=-9.化简5225))((a a -+-的结果是( ) A.72a - B. 102a - C. 0 D.102a10.计算)3)(2(-+x x 其结果为( )A 、62-xB 、62-+x xC 、62--x xD 、62+-x x二、填空题:(每题4分,共24分)11. 科学记数法表示: ①1320000=___________; ②-0.000053=__________; ③2.5微米=__________米; ④______________1006.24=⨯-(写成小数形式)。
七年级第3周周末作业班级姓名家长签名一.选择题(共8小题)1.如图1,直线AB、CD相交于点O,OE平分∠BOD,若∠AOE=140°,则∠AOC=()A.50°B.60°C.70°D.80°2.如图2所示,点E在AC的延长线上,下列条件中能判断AB∥CD的是()A.∠3=∠AB.∠1=∠2C.∠D=∠DCED.∠D+∠ACD=180°3.如图3,直线a,b被直线c所截,下列条件不能判定直线a与b平行的是()A.∠1=∠3 B.∠2+∠4=180°C.∠1=∠4 D.∠3=∠4图1 图2 图34.下列四个图形中,不能推出∠2与∠1相等的是()A.B.C.D.5.在同一平面内,已知直线a、b、c相互平行,直线a与b的距离是4cm,直线b与c 的距离是6cm,那么直线a与c的距离是()A. 2cmB. 5cmC. 2cm或5cmD. 2cm或10cm6.下面给出五个命题:①若x=﹣1,则x3=﹣1;②角平分线上的点到角的两边距离相等;③相等的角是对顶角;④若x2=4,则x=2;⑤面积相等的两个三角形全等,是真命题的个数有()A.4个B.3个C.2个D.1个7.如图图形中,把△ABC平移后能得到△DEF的是()A. B. C. D.8.如图,若∠A+∠ABC=180°,则下列结论正确的是()A.∠1=∠2B.∠2=∠3C.∠1=∠3D.∠2=∠4二.解答题(共4小题)9.如图,已知:AD⊥BC于D,EG⊥BC于G,∠E=∠1.求证:AD平分∠BAC.下面是部分推理过程,请你将其补充完整:∵AD⊥BC于D,EG⊥BC于G (已知)∴∠ADC=∠EGC=90°∴AD∥EG().∴∠1=∠2().=∠3(两直线平行,同位角相等)又∵∠E=∠1(已知)∴∠2=∠3().∴AD平分∠BAC ().10.如图,点E在DF上,点B在AC上,∠1=∠2,∠C=∠D.试说明:AC∥DF.将过程补充完整.解:∵∠1=∠2()∠1=∠3()∴∠2=∠3()∴∥()∴∠C=∠ABD ()又∵∠C=∠D()∴∠D=∠ABD()∴AC∥DF()11.如图,如果AB∥CD,AF平分∠BAD交CD于E,交BC的延长线于F,∠3=∠F.那么AD∥BC吗?请补全证明过程,即在横线处填上结论或理由.解:AD∥BC.理由如下:∵AB∥CD,(已知)∴∠2=∠3,()∵∠3=∠F,()∴∠F=.(等量代换)∵AF平分∠BAD,(已知)∴∠1=∠2,()∵∠F=(等量代换)∴∥()2018年03月16日158****7267的初中数学组卷参考答案一.选择题(共8小题)1.D;2.B;3.D;4.B;5.D;6.C;7.A;8.D;二.解答题(共4小题)9.同位角相等,两直线平行;两直线平行,内错角相等;∠E;等量代换;角平分线的定义;10.已知;已知;等量代换;内错角相等,两直线平行;两直线平行,同位角相等;11.已知;对顶角相等;等量代换;BD;CE;同位角相等,两直线平行;两直线平行,同位角相等;已知;等量代换;内错角相等,两直线平行;12.两直线平行,同位角相等;已知;∠2;角平分线的定义;∠1;AD;BC;内错角相等,两直线平行;。
文汇中学2021-2021学年七年级英语下学期第3周周末作业I. 根据句意及汉语提示,填写上单词。
〔5分〕1It’s said that people in ________(法国) are very romantic.2. The national ________(国旗) of China is red with five stars.3. I like to live on the ________(海岸) because I want to see the sea at any time.4. Please ________(完成) the work before ten o’clock.5. You need to take a ________(电梯) if you want to get to the top.II.词汇:根据汉语或者首字母提示写单词,补全句子。
〔每一小题0.5分,一共5分〕1. It is the national f__ of France, and you can see three colors - blue, white and red.2. Do you know how to speak "Hello" in F___________.3. We can use grapes to make w___________. Have you ever tried it?4. How nice it is to have a trip on this beautiful c___________ in summer!5. Jack is s___________ on the ice with his brother.6. It is____ (可能的) for me to walk from home to school because it is not far.7. Germany is a (n) ___________ (欧洲的) country.8. Guangdong ___________ (位于) in the south of China.9. He got full marks, because he gave a (n) ___________ (完美的) speech.10. There are fifteen___________ (台阶) before you reach the meeting room. III.单项选择。
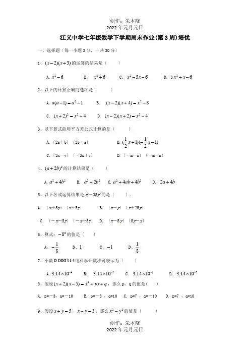
江义中学七年级数学下学期周末作业(第3周)培优一、选择题〔每一小题3分,一共30分〕1、)3)(2(+-x x 的运算的结果是〔 〕A.62-xB. 62+xC. 652--x xD. 362-+x x2、以下的计算正确的选项是〔 〕A.1)1(2-=-a a aB. 8)4)(2(2-=+-x x xC. 4)2(22+=+x xD. 4)2)(2(2-=+-x x x3、以下算式能用平方差公式计算的是〔 〕A.〔2a +b 〕〔2b -a 〕B.)121)(121(--+x xC.〔3x -y 〕〔-3x +y 〕D.〔-m -n 〕〔-m +n 〕4、2)2(b a +的计算结果是〔 〕A.224b a +B. 222ba + C.2244b ab a ++ D. b a 42+ 5、以下各式运算结果是x 2-25y 2的是〔 〕.A .〔x +5y 〕〔x +5y 〕B .〔x -y 〕〔x +25y 〕C .〔-x -5y 〕〔-x +5y 〕D .〔x -5y 〕〔5y -x 〕6、算式:08-的值是〔 〕A 、81-B 、1C 、1-D 、81 7、小数000314.0用科学计数法可表示为〔 〕A.41014.3-⨯B. 51014.3-⨯C. 61014.3-⨯D. 71014.3-⨯8、假设q px x x x ++=-+2)5)(2(,那么p 、q 的值是( )A. p=-3,q=-10B. p=-3 ,q=10C. p=7 ,q=-10D. p=7 ,q=109、假设5=+y x ,3=-y x ,那么22y x -的值是〔 〕A. 8B. 15C. 2D. 410、假如229y axy x +-是一个完全平方式,那么a=〔 〕A 、6B 、2-C 、6或者 6-D 、18或者 18-二、填空题〔每一小题3分,一共18分〕11、计算以下各数的值:12-=_______;2)32(--=_______;0)3(-π=____。
七年级英语双休作业班级姓名I.用所给动词的适当形式填空。
1.Jim and Li Lei (watch)the football match this evening.2._____she (have)a Chinese lesson tomorrow?3.—What _______you (do)tomorrow morning?—I (see)my grandparents.4.________they (go)fishing this Friday afternoon?5.There (be)a birthday party this evening.6.John and I (ride) bikes this weekend.7. I (play) football with my friends tomorrow afternoon.8.I’m looking forward to (lie) on the beach.9.The hotel manager (leave) for Shanghai tomorrow morning.10. There (be) an American film next week.11. Next week we (have)an English party.12.I (stay) at home alone this weekend.13.We (go) sightseeing and (have) a picnic on the beach next day.14.We (meet) other fans and make some new friends this Saturday afternoon.15.Lucy, would you like (eat) another orange?16.We (leave) for the factory at six tomorrow morning.Don’t( be) late!17.Mother’s Day is the(two) Sunday in May.18.They are looking forward to (visit) Disneyland.19.I usually (watch) TV and (catch) insects (昆虫) at weekends.II.按要求改写下列各句。
4040HFE DC BA七年级数学第三周周末作业单位:乙州丁厂七市润芝学校 时间:2022年4月12日 创编者:阳芡明班级____姓名______一.填空题1、如图,60B ∠=︒,当1∠= ︒时,DE ∥BC ,理由是 。
2、如图,假如65B ∠=︒,AD ∥BC ,AB ∥DC , 那么 A ∠= ︒; D ∠= ︒;B ∠=∠ 。
3、:a ∥b ,3137∠=︒,那么1∠= ︒,2∠= ︒。
4、长度为2cm 、3cm 、4cm 和5cm 的4根木棒,从中任取3根,可搭成 种不同的三角形。
5、ABC ∆的高为AD ,角平分线为AE ,中线为AF ,那么把ABC ∆面积分成相等的两局部的线段是 。
6、如图,x = , y = 。
7、△ABC 中的周长为12,c+a=2b,c-a=2,那么a: b:c=___.8、一个多边形的内角和是540︒,那么这个多边形是 边形。
9、一个多边形的内角和是外角和的4倍,那么这个多边形是 边形。
10、如图,将字母“V 〞 向右平移 格会得到字母“W 〞。
11、将矩形ABCD 沿折线EF 折叠后点B 恰好落在CD 边上的点H 处,且∠CHE =40 º,那么∠EFB =___________.CB Ax +10()︒x +70()︒y ︒x ︒BCD A 1A E D BC(A )DCBA(B )DCBA(C )D CBA(D )DCB ADCB A ∠︒12、△ABC 中,∠A=31∠B=51∠C ,那么最大角 的度数为 ,此三角形为 三角形。
13、如图,小明在操场上从A 点出发,沿直线前进10米后向左转40o,再沿直线前进10米后, 又向左转40o,……,照这样走下去,他第一次回到出发地A 点时,一一共走了 ________米. 二.选择题1、点P 为直线l 外一点,点A 、B 、C 为l 上三点,5PA cm =,6PB cm =,6PC cm =,那么点P 到直线l 的间隔 是〔 〕.A 、5cm B 、小于5cm C 、不大于5cmD 、7cm2、OA OB ⊥,O 为垂足,且AOC ∠∶1AOB ∠=∶2,那么BOC ∠是〔 〕.A 、45︒B 、135︒C 、45︒或者135︒D 、60︒或者20︒3、如图, AB ∥CD ∥EF ,BC ∥AD , AC 平分BAD ∠且与EF 交于点O ,那么与AOE ∠相等的角有〔 〕个.A 、5B 、4C 、3D 、24、如图,34∠=∠,那么以下条件中不能推出AB ∥CD 的是〔 〕.A 、1∠与2∠互余B 、12∠=∠C 、13∠=∠且24∠=∠D 、BM ∥CN5、在以下各图的△ABC 中,正确画出AC 边上的高的图形是 〔 〕6、如图,AB ∥CD ,且∠ACB =90°,那么与∠CAB 互余的角有〔 〕个ABDCO FEBAM CDN43 2 1(A) 1个 (B) 2个 (C) 3个 (D) 4三.解答题1、如图,AD 是EAC ∠的平分线,AD ∥BC ,64B ∠=︒,你能算出EAD ∠,DAC ∠,C ∠的度数吗?2、如图,65A ∠=︒,30ABD ∠=︒,72ACB ∠=︒,且CE 平分ACB ∠,求BEC ∠ 的度数。
七年级数学第三周周末作业1.下列各式中,相等关系一定成立的是( )A.(x-y)2=(y-x)2B.(x+6)(x-6)=x 2-6C.(x+y)2=x 2+y 2D.6(x-2)+x(2-x)=(x-2)(x-6)2.下列运算正确的是( )A.x 2+x 2=2x 4B.a 2·a 3= a 5C.(-2x 2)4=16x 6D.(x+3y)(x-3y)=x 2-3y 23.下列计算正确的是( )A.(-4x)·(2x 2+3x-1)=-8x 3-12x 2-4xB.(x+y)(x 2+y 2)=x 3+y 3C.(-4a-1)(4a-1)=1-16a 2D.(x-2y)2=x 2-2xy+4y 24.(x+2)(x-2)(x 2+4)的计算结果是( )A.x 4+16B.-x 4-16C.x 4-16D.16-x 45.19922-1991×1993的计算结果是( )A.1B.-1C.2D.-26.对于任意的整数n ,能整除代数式(n+3)(n-3)-(n+2)(n-2)的整数是A.4B.3C.5D.27.( )(5a +1)=1-25a 2,(2x-3) =4x 2-9,(-2a 2-5b)( )=4a 4-25b 28.99×101=( )( )= .9.(x-y+z)(-x+y+z)=[z+( )][ ]=z 2-( )2.10.多项式x2+kx+25是另一个多项式的平方,则k= .11.=-+1221)()(n n x x 12.设A b a b a +-=+22)35()35( ,则=A ( ) (A )ab 30 (B )ab 60 (C ) ab 15 (D )ab 12计算:1.(6×108)(7×109)(4×104).2.(-5x n+1y)·(-2x).3.(-3ab)·(-a 2c)·6ab 2.4.(-4a)·(2a 2+3a-1). 342321934()()5105a x a x ax --⨯-、. 6.(3m-n)(m-2n).7.(x+2y)(5a+3b). 8.(-ab)3·(-a 2b)·(-a 2b 4c)2. 9.x n+1(x n -x n-1+x).10.(x+y)(x 2-xy+y 2). 11.5x(x 2+2x+1)-(2x+3)(x-5).12.(2x-3)(x+4). 13.(-2a m b n )(-a 2b n )(-3ab 2).14.(3x+2y)(2y-3x) 15.(5m-2n)(-2n-5m) 16.1.03×0.9717. .(x +y )(x -y )-x (x +y ) 18.a (a -5)-(a +6)(a -6)19.(2x -3y )(3y +2x )-(4y -3x )(3x +4y ) 20.(31x +y )(31x -y )(91x 2+y 2)21.2003×2001-20022 22 .2)2332(y x - 23.(-2a+3b)224.)1)(1)(1(2--+m m m 25.22)23()32(+-+x x 26.2003227.13.42-2×13.4 + 3.42 2)2331(22y x --、 29.10098-992011-2010222⨯22)1)2)(2(5xx x x x +-+--(、解答题:1.化简求值:22)2()2()2)(12(+---+-x x x x ,其中211-=x2.学校警署有一块边长为 (2a + b)米的正方形草坪,经统一规划后,南北向要缩短3米,而东西向要加长3米,问改造后的长方形草坪的面积是多少?3、已知的值4、已知(a + b) 2 =3,(a -b) 2 =2 ,分别求a 2 + b 2, ab 的值5、计算)13)(13)(13)(13)(13(16842+++++6、已知x + y = a , xy = b ,求(x -y) 2 ,x 2 + y 2 ,x 2-xy + y 2的值。
第三周初一周末家庭作业
语文作业:
1.字词试卷一张,答案写在卷子上,背下来,周一考。
2.阅读《童年》81——110页,在A4纸上写内容概括和阅读感受,
每项不少于200字。
数学作业:
数学练习册平方差公式第一课时,预习平方差公式第二课时。
自己尝试作课本随堂练习和习题7.13。
英语作业:
1.在作业本上默写小卷《3.16集中识词四五六单词》一遍,写在作
业本上。
2.Unit 1单词拼写3遍,音标和汉语1遍,并背诵下来,由家长抽
默签字在作业本上。
3.课前五分钟自己准备小故事一个并背诵上来,下周检查
注意:下周要进行单词大比拼,请提前做好准备。
地理作业:
试卷一张,要求认真独立完成。
生物作业:
参加生物标本制作小组的同学需要准备以下两项材料:
1、从现在开始,每人注意从日常生活中收集各类贝壳,可以试
着做成贝壳类干制标本,四月中旬,准备举办一次贝壳类标本展。
2、每人准备一朵含苞待放的鲜花,最好是玫瑰或者康乃馨,下
周一统一送到生物组办公室,下周三一起制作“脱水鲜花”标本。
学生家长。
江苏省仪征市第三中学2021-2021学年七年级英语下学期第三周周末练习试题(无答案)Ⅰ.单项选择(15分)( ) 1. Bill is going ______ his new friend Alan.A. visitB. visitedC. visitingD. to visit( ) 2. Lucy is going to the shop in ______ Street.A. NineB. NineteenC. NinthD. Nineth( ) 3. Excuse me, could you help me ______ my homework?A. onB. withC. inD. about( ) 4. There is ______ with my iPad.A. wrong somethin gB. something wrongC. wrong anythingD. anything wrong( ) 5. My mother ______ a film next Friday.A. is going watchB. will to watchC. will watchD. going to watch( ) 6. Jim’s _______ brother works in a restaurant.A. oldB. olderC. oldestD. elder( ) 7. John is good ______ drawing. He is going to be an _______.A. for; artB. at; artistC. at; artD. for; artist( ) 8. —How are you?—I don’t feel ______.A. fineB. betterC. wellD. right( )12.—Let’s go and have a picnic.—That sounds ______.A. goodB. wellC. badD. badly( )13. Is there _______ with your computer?A. something wrongB. wrong somethingC. anything wrongD. wrong anything( )14. We’re going to pla y football ______.A. nowB. last weekC. at presentD. the day after tomorrow( )15. Good doctors will _______ you feel better.A. makeB. askC. needD. wantⅡ.完形填空I have a pen pal. His name is Jack Wilson. He 1 f rom Toronto, Canada. He is thirteen 2 old. He is a school boy. He knows China is a great 3 . He wants 4 friends in China and he wants to learn Chinese.There 5 nineteen students in his class. His classmates are from six countries. They are learning English. His parents are from France. They 6 French. He speaks English and French. There are 7 Chinese here in Toronto. He wants to learn Chinese, but he doesn’t have 8 Chinese textbooks(讲义). Could you help 9 ? Please write 10 him soon.( ) 1. A. come B. is comes C. comes D. be( ) 2. A.year’s B. years C. years’ D. year( ) 3. A. village B. town C. city D. country( ) 4. A. make B. makes C. making D. to make( ) 5. A. is B. has C. are D. have( ) 6. A. speak B. say C. tell D. talk( ) 7. A. much B. many C. a little D. a lo t( ) 8. A. an B. a C. some D. any( ) 9. A. he B. him C. his D. me( )10.A. from B. for C. to D. withⅢ.阅读明白得(20分)ABeijing, Shanghai, Guangzhou and other big cities are great places to live in. There are many interesting things to see and do. You can go to different kinds of museums, see all kinds of plays and films. You can also buy things from all over the world.But there are serious problems in big cities, too. It’s expensive to live there, and there are too many people in some places of big cities. Every student can study at good schools and receive good medical care(医疗). But sometimes these people can’t find work or good places to live in. Also it is hard to keep the cities safe and clean.Some people enjo y living in big cities, others do not. Before they move to a big city, they should think about the problems living there.( ) 1. In big cities people can _______.A. go to different kinds of museumsB. see kinds of plays an d film sC. buy things from all over the worldD. A, B and C( ) 2. Which of the following is true?A. Big cities are not clean and safe enoug h.B. People can easily find good places to live in in big cities.C. People can always have many chances to find work.D. A ll people like to live in big cities.( ) 3. In this passage the writer thinks it’s right for people _______.A. to move to big citiesB. not to move to big citiesC. to move to big cities without thinkingD. to think of the problems before living( ) 4. This passage doesn’t tell us that _______.A. Beijing is an interesting place for people to live inB. big ci ties have a lot of serious problemsC. big cities are not clea n enoughD. usually people can get very dirty( ) 5. —Which is the best title for this passage?—________.A. Big citiesB. Interesting things in big citiesC. Good schools in big citiesD. Beijing, Shanghai, GuangzhouBDear Tom,How are you? I’m in a new school this term. And I’m writing to you in my school now. My new school is big and nice. There are one thousand and four hundred students and one hundred and forty teachers in my school. I like the teachers. They are very kind to me. M y classmates are very friendly,too. They teach me Chinese and I teach them English.There are trees, flowers and green grass in my school. They are very beautiful. Behind my school there is a small river. The water in it is quite clean. We can swim in it.We have no classes on Saturdays and Sundays. Sometimes I go to play football or basketball with my classmates. Sometimes I stay at home and watch TV. Sometimes I go to shops with my father and mother. We all like China.Please write to me soon!YoursJack( ) 1. Jack is in a ______ school.A. EnglishB. ChineseC. smallD. Japanese( ) 2. There are ______ students and _______ teachers in Jack’s school.A. 1,400; 104B. 1,040; 104C. 1,400; 140D. 1,040; 140( ) 3. Jack’s teachers ______.A. teach him English very wellB. only teach him Chinese and EnglishC. don’t like him at allD. are quite good to him( ) 4. Jack ______ his new classmates.A. doesn’t get on well withB. doesn’t likeC. makes good friends withD. is going to learn English from( ) 5. Which is RIGHT?A. Jack goes to school e very day.B. Jack doesn’t have classes on Saturdays or Sundays.C. Jack has no classes only on Saturdays.D. Jack has no classes only on Sundays.Ⅳ.辞汇(20分)A.依照中文提示写单词(10分)1. There is a ______________(通知,布告) on the wall. Let’s go and see it.2. I don’t know those ________________(学院,大学) students.3. Is your father a ______________(领导) in this company?4. He has to look after his _______________(生病的) mother at home.5. My ____________(邻居) are all friendly to me.6. Is your father an _______________(工程师)?7. Can you ______________(修理) the car for me?8. We want to make a ________________(火) to get warm.9. What do you want to be in the __________________(以后)?10. I don’t know _________________(任何人) in this town.B.用所给词的适当形式填空(10分)1. Her sister is a ______________(wait) in a restaurant.2. Lei Feng was very ___________(help). He always helped others at any time.3. He is _____________(luck) to pass all the exams.4. Do you often do some _____________(shop) at weekends?5. I think there isn’t _______________(something) wrong with your computer.6. His idea sounds like _______________(funny).7. His brother helps me with all kinds of _______________(problem).8. I’m _____________(call) from my new home.9. How many _________________(build) are there in your school?10. It’s ______________(interest) to chat with her.Ⅴ.句型转换(10分)1. I’m going to get up at 6:30 tomorrow. (改成一样疑问句)__________ ___________ ____________ to get up at 6:30 tomorrow?2. I’ll play games and watch TV this weekend.(改成否定句)I _________ play games ___________ watch TV this weekend.3. She is going to listen to music after school.(对画线部份提问)_________ __________ she __________ ___________ ____________ after school?4. There is something wrong with David’s computer.(对画线部份提问)_________ __________ with David’s computer?5. Let’s walk to the post office.(改成同义句)Let’s ___________ to the post office __________ ___________.Ⅵ.翻译句子(10分)1.我想他们可不能欢迎我如此的来访者。
江苏省洪泽外国语中学七年级下学期语文周末作业3 新人教版万lài()地jiào()吴楚东南chè()二、按课文内容填空:(1).在她没有来以前,,但她一显现,就把我唤醒了,,用一根不断的线把我周围的一切连结起来。
(2).前面是一条路,先生没有走完就倒下了,,继续前进。
(3).山光悦鸟性,。
(4).吴楚东南坼,。
(5).《赵普》中赵普刻苦念书的句子是:。
(6).《赵普》中写念书给赵普带来的益处是:。
3、找出下面语段中的语病并修改:○1生命没有高低贵贱之分,尽管咱们很渺小,但应该必需上自己明白“我很重要”。
○2对父母,咱们是他们安享晚年的保障;对朋友,咱们是他们倾诉衷肠。
○3任何时候都不要看轻自己,要勇于说“我很重要”,如此,你的人一辈子才会走进新的一页。
○4让咱们昂起头,对着咱们这颗无数的漂亮星球上的生灵,响亮地宣布——我很重要!○1○2○3○4口语交际:王明要参加学校组织的植树节义务活动,可他妈妈不同意,怕他弄脏衣服。
若是请你去劝告王明妈妈,你该怎么说?(要求:表达准确,语言通顺,很多于50字)二、阅读明白得(一).文言文阅读赵普普少习吏事,寡学术,及为相,太祖常劝以念书。
晚年手不释卷,每归私第,阖户启箧取书,读之竟日。
及第二天临政,处决如流。
既薨,家人发箧视之,则《论语》二十篇也。
普性深沉有岸谷,虽多忌克,而能以天下事为己任。
宋初,在相位者多龌龊循默,普刚毅果断,未有其比。
尝奏荐某人为某官,太祖不用。
普明日复奏其人,亦不用。
明日,普又以其人奏,太祖怒,碎裂奏牍掷地,普颜色不变,跪而拾之以归。
他日补缀旧纸,复奏如初。
太祖乃悟,卒用其人。
一、说明下列各句中加点的字。
①能以天下事为.己任②尝.奏荐某人为某官③太祖乃.悟④卒.用其人二、用现代汉语翻译下列句子。
(1)、普性深沉有岸谷,虽多忌克。
(2)、太祖怒,碎裂奏牍掷地。
3、文章要紧写了赵普的哪两件事?(别离用四个字归纳)4、用文中的一句话归纳赵普言行的全然缘故。
第三周七年级数学周末作业班级: 姓名: 座号: 一、精心选一选:(本题共12小题,每小题3分,共36分)1. 下列计算错误的是【 】 A .333x x 2x+=B .632a a a÷=C .02014-=1π() D .1133-⎛⎫= ⎪⎝⎭2. 下列运算正确的是【 】A .248a a a -=B .()()2x 2x 3x 6--=-C .()22x 2x 4-=- D .2a 3a 5a += 3. 下列运算正确的是【 】A .32a a 6÷=B .()224ab ab = C .()()22a b a b a b +-=- D .()222a b a b +=+4. 下列运算正确的是【 】A .333x 5x 2x -=- B .326x 2x 3x -÷= C .23611x x 39⎛⎫= ⎪⎝⎭ D .()32x 46x 12--=--5. 若3,7a b a b +=-=,则ab =【 】 A. -40 B. 10 C. -10 D.406. 已知()()2282m n m n -=+=,,则22m n +=【 】 A.10 B. 6 C. 5 D.3 7. 2139273m m ⨯⨯=,则m 的值是【 】 A.3 B. 4 C. 5 D.6 8. 计算222()()a a b a b a b +-+等于【 】A.4aB. 6aC. 22a bD.22a b - 9. 已知216++x kx 是完全平方式,则常数k 等于【 】 A .4B . 8C .±4D .±810. 下列各式:①01a =;②()4520x x -=;③22212aa =-;④242263)(b a b a =-;⑤60.0000027= 2.710---⨯,其中正确的个数有【 】 A .1个 B .2个 C .3个 D .4个11. 如图,从边长为(a +4)cm 的正方形纸片中剪去一个边长为()1a +cm 的正方形(0)a >,剩余部分沿虚线又剪拼成一个矩形(不重叠无缝隙),则矩形的面积为【 】A .22(25)cm a a +B .2(315)cm a +C .2(69)cm a +D .2(615)cm a +12.由m (a +b +c )=ma +mb +mc ,可得:(a +b )(a 2-ab +b 2)=a 3-a 2b +ab 2+a 2b -ab 2+b 3=a 3+b 3,即(a +b )(a 2-ab +b 2)=a 3+b 3.………①我们把等式①叫做多项式乘法的立方公式.下列应用这个立方公式进行的变形不正确...的是【 】 A 、(x +4y )(x 2-4xy +16y 2)=x 3+64y 3 B 、(2x+y )(4x 2-2xy+y 2)=8x 3+y 3C 、(a +1)(a 2+a +1)=a 3+1D 、x 3+27=(x +3)(x 2-3x +9) 二、认真填一填(每小题3分,共12分)13. 若2263a b a b -=-=,,则a b +的值为14. 已知56x y xy +=-=,,则22x y += .15. 计算:(x-2y )2(x+2y )2=16. 化简的结果为 三.解答题17. 计算:(每小题4分,共16分)①()()2111a a a -++- ②2)()x y z x y z x -++--( 解:原式= 解:原式=248232()()⋅-÷-+-a a a a a③)8(21)2)(2(b a b b a b a ---+ ④()()()2312x x x +--- 解:原式= 解:原式=18.计算:(每小题4分,共8分)① 20132-2012×2014 ② ()2202923(1)34π-⎛⎫-⨯+---÷ ⎪⎝⎭解:原式= 解:原式=19. 先化简,再求值:(每小题4分,共16分) ①222()()()b a b a b a b ++---,其中3a =-,12b = 解:原式=②()()()()22323412x x x x x +---+-,其中2x =- 解:原式=③ 22()()(2)3a b a b a b a ++-+-,其中3a =-,13=b 解:原式=④先化简,再求值:32233)21()(ab b a -+-⋅,其中441==b a ,解:原式=20.(共6分)小明同学用四张长为x、宽为y的长方形卡片,拼出如图所示的包含两个正方形的图形(任两张相邻的卡片之间没有重叠,没有空隙)。
第3周七下Unit 3 周末作业(提升)Class ___________ Number ___________ Name_____________一、单项选择:( )1. -- _____________________? – I always go on foot.A. How do you go to workB. How far is your schoolC. Where do you liveD. What do you do at school( )2.Does your mother go to work ______ a bus or ______ her car?A. by, inB. on, inC. by, onD. in, by( )3.When does John_____ Beijing?A. arrives atB. reachesC. get toD. comes( )4. --- ______ does it take your sister to go to school?--- ______ usually takes ______ ten minutes.A. How, It, sheB. How long, It, herC. How far, It’s, himD. How long, It’s, her( )5. It ________him more than one and half an hour to walk to school.A. costsB. paysC. spendsD.takes( )6. ---How far is it from your home to school?---My home is about three kilometers _____ school. It’s not far _____ here.A.from; fromB. to; toC. from; toD. to; from( )7. ---How_______ does it take to finish your homework? ---For ______.A.long; half hourB. long;half a hourC. far; an hour and a halfD. long;half an hour ( )8. John is ______. He is ______ boy.A. 8 year old, an 8-year-oldB. 8 years old, an 8 years oldC. 8 years old, an 8-year-oldD. 8-year-old, an 8-year-old( )9.—How far is it from your home to school?—It’s about ______ ride.A. twenty minute’sB. twenty minutes’C. twenty-minutesD. twenty minute( )10.It is easy ______ to school ______ many students.A.get, toB. to get, forC. get, forD. to get, to( )11. There are two _____ teacher and _____ of students in our school.A. hundreds, hundredB. hundred, hundredC. hundreds, hundredsD. hundred, hundreds( )12.My Chinese teacher ______ a father to me. My best friend ______ him a lot.A. likes, likesB. is like, likeC. be like, likesD. is like, likes( )13. Can you tell the differences ____________“soccer” and “football”?A. atB.fromC.ofD.between( )14.They have to ___a big river to go to the city.A. acrossB. crossC. throughD. go through( )15. - —Let’s go to school now. Have a good day, Bob. —______.A. I am not sureB. No problemC. I am fine, thanksD. You, too二、完形填空Mike didn't live too far away from school.He liked to 1.____ to school every day.When it rained,like many 2.____boys,Mike liked playing in the water.One afternoon,when the boy came 3.____after school,he was all wet.His mother became very 4.____and said,"Don't play in the water after school."The next day he was very 5.____again,and his mother became much angrier."I'll tell your father 6.____you go to play in the water again."she said.The third day the boy was dry when he came back 7.____school."You are a 8.____boy today,"said his mother."Didn't you play in the water?"9.____,"Mike answered."Because there were 10.____older boys in the water,I couldn't play in it."()1 A.take a bus B.walk C.on foot D.by bus()2 A.other B.others C.another D.the other()3 A.family B.house C.room D.home()4 A.happy B.angry C.tired D.sad()5 A.dry B.late C.wet D.early()6 A.before B.if C.so D.but()7 A.from B.for C.to D.at()8 A.bad B.clever C.foolish D.good()9 A.Yes,I did B.No, I didn't C.Yes, I didn't D.No, I did()10 A.too many B.too much C.many too D.much too三、语法选择Susan is a 1.____ girl.Today her parents are 2.____her to the park.The park is 3.____far from their home.So they are going there by bus.There are only a few people on the bus They are all sitting on their seats." 4.____does it take to get to the park?" the girl asks her parents."It 5.____about thirty minutes." her parents answer."Oh,it's a long time." says the girl and she begins to run 6.____the bus."Don't run,come here and sit down." her mother says."It's dangerous to run on the bus." "I want to get to the park quickly.I want the bus 7.____ go faster." Susan says.It's nine o'clock.Susan and her parents are sitting at a table in the park.Susan is having a drink of orange 8.____.Susan and her parents are going back home at 5:00 in the 9.____.They will first walk to the bus stop and 10.____ take a bus home.Maybe this time,Susan won't run on the bus.After a long day in the park, she will feel tired.()1 A.five years old B.five year old C.five﹣year﹣old D.five﹣years﹣old()2 A.taking B.takes C.to take D.took()3 A.little B. a little C.few D. a few()4 A.How far B.How much C.How soon D.How long()5 A.spends B.costs C.takes D.uses()6 A.in B.at C.on D.over()7 A.to go B.going C.goes D.go()8 A.happy B.happily C.unhappy D.happiness()9 A.noon B.afternoon C.evening D.night()10 A.after B.before C.ago D.then四短文填空Lin Fei is a middle school student.He lives in a small(1)and there is a river around it.Over the river is a(2).The villagers go across it every day.Lin Fei's home is (3)from his school about 10 km,So he needs to get up(4)every morning.Then he(5) a shower and has a good breakfast.After that, he(6)home and goes to school at about six thirty.First, his father takes him to the bus station(7)bike.(8)talk happily on the way Then the bus takes him to School.The bus ride,usually takes him about twenty﹣five minutes.But he never feels it boring(9)he is good at talking to the people on the bus.Lin Fei is very busy every day,but he feels(10).He thinks although it's a long way,he still loves go to school.1_________ 2 __________ 3___________ 4____________ 5_____________6_________ 7___________ 8___________ 9____________ 10_____________。
初一数学第三周周末作业 班级________姓名___________学号_____1.下列格式中,运用加法交换律和加法结合律正确的是 ( )A .23+(﹣1)+(+13)=[23+(+13)]+1 B .14+(﹣2)+(﹣34)=(14+34)+(﹣2) C .(﹣6)+2+9=[(﹣9)+2]+6D .(﹣5)+7+(﹣8)=[(﹣5)+(﹣8)]+72.下列各对数中,互为相反数的有 ( ) (﹣1)与+(﹣1),+(+1)与﹣1,﹣(﹣2)与+(﹣2),+[﹣(+1)]与﹣[+(﹣1)],﹣(+2)与﹣(﹣2),﹣(﹣13)与+(+13). A .6对 B .5对 C .4对 D .3对 3.如果a 、b 互为相反数,且b ≠0,则式子a +b ,a b,|a |﹣|b |的值分别为 ( ) A .0,1,2 B .1,0,1 C .1,﹣1,0 D .0,﹣1,04.下列化简,正确的是 ( )A .﹣(﹣3)=﹣3B .﹣[﹣(﹣10)]=﹣10C .﹣(+5)=5D .﹣[﹣(+8)]=﹣85.|a |+|b |=|a +b |,则a ,b 关系是 ( )A .a ,b 的绝对值相等B .a ,b 异号C .a +b 的和是非负数D .a ,b 同号或其中至少一个为零6.若m •n ≠0,则|m |m +|n |n的取值不可能是 ( ) A .0 B .1 C .2 D .﹣27.下面说法:①-a 一定是负数;②若|a |=|b |,则a =b ;③一个有理数中不是整数就是分数;④一个有理数不是正数就是负数.其中正确的个数有 ( )A .1个B .2个C .3个D .4个8.|3.14﹣π|的计算结果是 ( )A .0B .π﹣3.14C .3.14﹣πD .﹣3.14﹣π9.如图,数轴上的点A ,B 分别对应有理数a ,b ,下列结论正确的是 ( )A .a >bB .|a |>|b |C .-a <bD .a +b <010.“⊕”表示一种运算,已知2⊕3=2+3+4=9,7⊕2=7+8=15,3⊕5=3+4+5+6+7=25,按此规则,若n ⊕100=50,则n 的值为 A .﹣49 B .﹣50 C .49 D .50 ( )11.大于﹣4.2且小于5.6的所有整数的和是 .12.绝对值大于12而小于133的所有整数的和是 . 13.水池中的水位在某天8个不同时间测得记录如下(规定上升为正,单位:厘米):+3,﹣6,﹣1,+5,﹣4,+2,﹣3,﹣2,那么,这天水池中水位最终的变化情况是 .14.某信用卡上的号码由17位数字组成,每一位数字写在下面的一个方格中,如果任何相邻的三个数字之和都等于20,则x +y 的值等于 .15.在数﹣5、1、﹣3、5、﹣2中任取三个数相加,其中最大的和是 ,最小的和是 .16.若|a |=a ,则a ,若|a |=﹣a ,则a ,若|x ﹣3|=3﹣x ,则x .17.当x = 时,代数式|x ﹣6|+3有最小值,最小值是 .18.在一堂趣味数学课上张老师给大家表演了一个“魔术”,他先在投影上展示了从1开始连续的210个自然数,然后对它们进行操作,规则如下:每次擦掉三个数,再添上所擦掉三数之和的个位数字,若经过104次操作后,发现黑板上只剩下了两个数,一个是17,则另一个是 .19.计算题(1)﹣(﹣8)+(﹣32)+(﹣|﹣16|)+(+28); (2)0.36+(﹣7.4)+0.3+(﹣0.6)+0.64;(3)(﹣3.5)+(﹣43)+(﹣34)+(+72)+0.75+(﹣73); (4)314+(﹣235)+534+(﹣825);(5) 0.75+(﹣114)+0.125+(﹣57)+(﹣418); (6) (﹣215)+(﹣14)+(﹣325)+234+(﹣112)+113(7)(+1734)+(﹣9511)+(﹣2.25)+(﹣17.5)+(﹣10611); (8)﹣13+(-34)+(-23)+14;(9)﹣4.2+5.7+(﹣8.7)+4.2; (10)1.75+(﹣612)+338+(﹣134)+258.20.若|a |=2,b =-3,c 是最大的负整数,求a +b + c 的值.21.分类讨论是一种重要的数学方法,如在化简|a |时,可以这样分类:当a >0时,|a |=a ;当a =0时,|a |=0;当a <0时,|a |=﹣a .用这种方法解决下列问题:(1)当a =5时,求| a |a 的值. (2)当a =﹣2时,求a | a |的值. (3)若有理数a 不等于零,求| a |a 的值. (4)若有理数a 、b 均不等于零,试求a | a |+| b |b的值.22.结合数轴与绝对值的知识回答下列问题:(1)数轴上表示3和2的两点之间的距离是 ;表示﹣2和1两点之间的距离是 ;一般地,数轴上表示数m 和数n 的两点之间的距离等于|m ﹣n |.(2)如果|x +1|=2,那么x = ;(3)若|a ﹣3|=4,|b +2|=3,且数a 、b 在数轴上表示的数分别是点A 、点B ,则A 、B 两点间的最大距离是 ,最小距离是 .(4)若数轴上表示数a 的点位于﹣3与5之间,则|a +3|+|a ﹣5|= .(5)当a = 时,|a ﹣1|+|a +5|+|a ﹣4|的值最小,最小值是22. 一出租车一天下午2小时内以鼓楼为出发地在东西方向营运,向东走为正,向西走为负,行车里程 (单位:公里) 依先后次序记录如下:+9,-3,-5,+4,-8,+6,(1)该车2小时内最远时在鼓楼什么方向? 离鼓楼多远? 将最后一名乘客送到目的地,该车在出发地什么方向? 离出发地多远?(2)若每公里收费为3元,且每百公里耗油10升,汽油价格每升6元,那么该司机这2 小时除去汽油费 后收入是多少?(3)司机每天还要向出租车公司上交180元的管理费,若一天按照工作8小时计算,一月按28天算,问 该司机辛苦一个月后的收入约为多少元?。
W eekly Test of Unit3一、单项选择。
(20分)( ) 1.---Why do you like pandas?---______they are cute.A.ButB.BecauseC.AndD.So( )2._______doesn’t have a tail(尾巴), it isn’t a bear. It’s from Australia.A.An elephantB.A giraffeC.A koalaD.A panda ( )3.Dolphins are very _______.We all like them very much.A.dangerousB.scaryC.smartzy( )4.______ a koala ________ during the day?A.Does; sleepB.Is; sleepingC.Do; sleepD.Is; sleep ( )5.Pandas eat________.They’re only from Sichuan, China.A.meatB.treesC.riceD.bamboo ( )6.let’s __________ the pandas.A.seeB. watchC. lookD.read( )7.The little baby sleeps with her mother______night.A.onB.inC.fromD.at( )8.Li Lei always_______ to the zoo to see animals with his classmates.A.goB.will goC.goesD.is going ( )9.---Where_______lions from? ---They _______from Africa.A.do;areB.are;areC.do;comeD.are;comes ( )10.---______animals do you like? ---I like penguins. They are cute.A.WhichB.WhatC.WhoD.Whose ( )11. There is _____elephant in the zoo. _____elephant is from Africa.A./;AnB.an;TheC.a;TheD.an;/ ( )12.Mr Li is kind _____us,but sometimes he is kind _____ strict.A.to;ofB.with;toC.of;toD.of;of ( )13.My sister is very ________. She has few words.A.tallB.quietC.interestingzy()14.My brother enjoys _________basketball every day.A. playB. playingC. to playD. playing the( )15.The dolphin can ______a ball.A.playB.play atC.play withD.play to ( )16.The foreign friends will arrive _____ Shanghai_________.A. at; in May 2nd ,2010B. to, on May 2nd ,2010C.in, on May 2nd ,2010D. at, in 2010, May 2nd( )17.What ____ subjects does he like?A.othersB. anotherC. otherD. the other ( )18.Many animals are very friendly ______ people.A. andB. toC. atD. for( )19.There are three ______ bears in the zoo.A.kinds ofB.kind ofC.a kind ofD.kinds ( )20.________ he is very lazy,_______ he sleeps during the day.A.Because; soB.Because; /C.So; becauseD.So; /二、完形填空。
七年级下学期第三周周末作业2010-3-26
班级学生姓名
A组
1、完成下表
两条直线相交所形成的角分类(位置关系)数量关系(用数学符
号语言表达)
2、在右图中写出两对对顶角。
在右图中写出两对邻补角。
3、结合右边图形用数学符合语言来
叙述平行线的判定方法:
;
用数学符合语言来叙述平行线的性质:
4、对顶角相等的题设是,结论是。
5、已知,如图,
80
,
35=
∠
=
∠COF
AOC,求:DOF
AOD∠
∠和的度数
6、如图,BCD是一条直线,∠A=75°,∠1=53°,∠2=75°,求∠B的度数.
教师评语
E
2
1D
C
B
A
E
2
1
D
C
B
7.如图,已知:∠1=110°,∠2=110°,∠3=70°,求∠4的度数.
8.如图,已知:DE ∥CB,∠1=∠2,求证:CD 平分∠ECB.
9、如图,平移三角形ABC,使点A 运动到A`,画出平移后的三角形A`B`C`.
B 组
10、用三种方法把下列正方形分成形状相同,面积相等的四份。
家长签字
平时没有跑过上千米,战时就难以进行一百米的冲刺。
4
3
2
1
D
C
B
A。
Weekly Test of Unit3一、单项选择。
(20分)( ) 1.---Why do you like pandas?---______they are cute.A.ButB.BecauseC.AndD.So( )2._______doesn’t have a tail(尾巴), it isn’t a bear. It’s from Australia.A.An elephantB.A giraffeC.A koalaD.A panda ( )3.Dolphins are very _______.We all like them very much.A.dangerousB.scaryC.smartzy( )4.______ a koala ________ during the day?A.Does; sleepB.Is; sleepingC.Do; sleepD.Is; sleep ( )5.Pandas eat________.They’re only from Sichuan, China.A.meatB.treesC.riceD.bamboo ( )6.let’s __________ the pandas.A.seeB. watchC. lookD.read( )7.The little baby sleeps with her mother______night.A.onB.inC.fromD.at( )8.Li Lei always_______ to the zoo to see animals with his classmates.A.goB.will goC.goesD.is going ( )9.---Where_______lions from? ---They _______from Africa.A.do;areB.are;areC.do;comeD.are;comes ( )10.---______animals do you like? ---I like penguins. They are cute.A.WhichB.WhatC.WhoD.Whose ( )11. There is _____elephant in the zoo. _____elephant is from Africa.A./;AnB.an;TheC.a;TheD.an;/ ( )12.Mr Li is kind _____us,but sometimes he is kind _____ strict.A.to;ofB.with;toC.of;toD.of;of ( )13.My sister is very ________. She has few words.A.tallB.quietC.interestingzy()14.My brother enjoys _________basketball every day.A. playB. playingC. to playD. playing the( )15.The dolphin can ______a ball.A.playB.play atC.play withD.play to ( )16.The foreign friends will arrive _____ Shanghai_________.A. at; in May 2nd ,2010B. to, on May 2nd ,2010C.in, on May 2nd ,2010D. at, in 2010, May 2nd( )17.What ____ subjects does he like?A.othersB. anotherC. otherD. the other ( )18.Many animals are very friendly ______ people.A. andB. toC. atD. for( )19.There are three ______ bears in the zoo.A.kinds ofB.kind ofC.a kind ofD.kinds ( )20.________ he is very lazy,_______ he sleeps during the day.A.Because; soB.Because; /C.So; becauseD.So; /二、完形填空。
(10分)Do you know pigeons(鸽子)?They are__1__ birds. They are in __2__ and grey. Some people think they are not __3___ but they are cute and __4__. So many people keep them as pets. __5__ do people say pigeons are intelligent(聪明的)? Because pigeons can __6__ letters from one place _7__ another. And they know the __8__home. We often __9__ the pictures of pigeons with olive(橄榄枝)in __10___ mouths. We call them peace pigeons. They are the symbol of peace(和平的象征)( )1.A. a kind of B.a kinds of C. many kinds of D.a kind( )2.A.black B. white C. red D.green( )3.A.terrible zy C. beautiful D.scary( )4.A.big B. small C. intelligent D.young( )5.A.What B.Why C.Where D.How( )6.A. take B. give C.have D.let( )7.A. to B.for C.on D.with( )8.A.way B.avenue C. highway D.street( )9.A. look B. watch C.look at D.see( )10.A.its B.they’re C.their D.them三、阅读理解(20分)AOne morning a fox sees a cock. He thinks this is my breakfast. He comes up to the cock and says, “I know your can sing very well. Can you sing for me?”The cock is happy. He closes his eyes and begins to sing. The fox sees that and catches him in his mouth and carries him away.The people in the field see the fox. They cry “Look! Look! The fox is carrying a cock away.”The cock says to the fox, “Mr Fox, do you understand? The people say you are carrying their cock away. Tell them it is yours not theirs.”The fox opens his mouth and says, “The cock is mine, not yours.” Just then the cock runs away from the fox and flies into a tree.( )1.The fox is _______.A. hungryB. fullC. hurryD. happy( )2.The fox likes ____ the cock.A. to talk toB.to knowC.to hear the cock singingD.to eat( )3.Which sentence is wrong?A.The fox knows the cock.B.The cock closes his eyes and begins to sing.C.The fox catches the cock in his mouth.D. The fox carries the cock away.( )4.The fox tells the people in the field the cock is____________________.A.theirB.theirsC.hisD. yours( )5.We can think ____ is smart.A. the foxB.the cockC. the peopleD. The farmerBMr Li works in a big factory. His wife works in the same factory. Mr Li is nearsighted(近视眼). But he doesn’t like wearing glasses when he has his meals.Mr Li has a son. His name is Li Cheng. He is in Class One, Grade Two of No.3 Middle School. He likes talking very much. He often talks about his school and his friends at the table. Mr Li is angry. “Don’t talk when you have meals,” Mr Li says to Li Cheng ,“Be a good boy.”One day , when they are having supper, Li Cheng sees a fly(苍蝇)in his father’s bowl. He wants to tell his father about it. “Dad, there is …”His father looks at him and says, “Stop talking! ” after supper his father asks him, “Well, my boy, what’s it?”“There is a fly in your bowl. And you have eaten(吃完)it now.”“Why didn’t you tell me earlier? ”Says his father angrily. ( )6.Mrs Li works in a ______.A.farmB.schoolC.factoryD. bus company( )7.Mr Li often wears ____________.A.a hatB.blue trousersC. black coatD.glasses( )8.Li Cheng is a _______.A.student B teacher C. policeman D.soldier( )9.Mr Li doesn’t want Li Cheng ______ when he has meals.A.to talkB.to speakC. to makeD.to have( )10.Mr Li eats _____.A.a mouseB. a flyC.a catD.a dog四、看图填词。