北京正弦函数图象对称性(檀晋轩)CASIO
- 格式:doc
- 大小:295.00 KB
- 文档页数:7
正弦、余弦及正切函数图像的对称性问题
牛可新
【期刊名称】《数学学习与研究:教研版》
【年(卷),期】2012(000)017
【摘要】本文对正弦、余弦及正切函数图像的轴对称和中心对称的特点进行了分析,归纳总结出这三类函数在轴对称和中心对称条件下自变量的取值范围及中心对称点和对称轴方程.
【总页数】1页(P126-126)
【作者】牛可新
【作者单位】甘肃省定西理工中专
【正文语种】中文
【中图分类】G634.6
【相关文献】
1.正弦函数图像及余弦函数图像的对称性
2.旨在培养核心素养的"学习中心"型数学课堂实践——以"正弦函数、余弦函数的图像"为例
3.把时间还给学生,把机会让给学生——《正弦、余弦函数的图像》的教学实践与思考
4.在知识的细化探究过程中学习正弦函数图像——以“正弦函数和余弦函数的图像与性质(1)”为例
5.基于APOS理论的正弦函数、余弦函数的图像的教学设计
因版权原因,仅展示原文概要,查看原文内容请购买。
正弦余弦函数的对称轴和对称中心
正弦余弦函数是数学中常用的函数,其具有诸多有趣的特性,其中最为重要的就是对称性。
对于正弦余弦函数,它们都具有对称轴和对称中心,从而使其变得更加美观、易于理解。
本文旨在探讨正弦余弦函数的对称轴和对称中心。
首先,让我们来看一下正弦余弦函数的对称轴。
对称轴是每一条函数的对称性的关键。
对于正弦函数和余弦函数,它们的对称轴都是其本身的对称视图,垂直于其关于x轴或y轴的对称中心。
因此,正弦函数的对称轴是y轴,余弦函数的对称轴是x轴。
接下来,让我们来看一下正弦余弦函数的对称中心。
对称中心是每一条函数的对称性的基础。
正弦余弦函数的对称中心具有一致的性质,并且它们在形式上也是一致的。
正弦余弦函数的对称中心均为(0,0)。
这表明,正弦余弦函数的对称轴都是以(0,0)为中心的一条垂直于x轴或y轴的直线。
最后,让我们总结一下正弦余弦函数的对称轴和对称中心。
正弦函数的对称轴是y轴,余弦函数的对称轴是x轴,而对称中心都是(0,0),其对称轴都是以(0,0)为中心的一条垂直于x轴或y 轴的直线。
以上就是正弦余弦函数的对称轴和对称中心。
正弦余弦函数是数学中最为重要的函数,其能够提供我们理解一般函数的一个很好的基础。
因此,了解其对称轴和对称中心的重要性也不言而喻。
本文探讨了正弦余弦函数的对称轴和对称中心,包括其定义、特征和运用,为我们更深入地了解正弦余弦函数提供
了一个良好的基础。
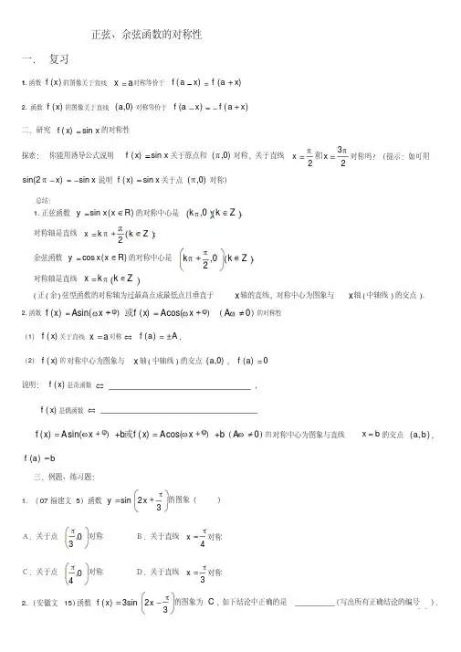
正弦、余弦函数的对称性一.复习1.函数()f x 的图像关于直线x a 对称等价于()()f ax f a x 2.函数()f x 的图像关于直线(,0)a 对称等价于()()f ax f ax 二.研究()sin f x x 的对称性探索:你能用诱导公式说明()sin f x x 关于原点和(,0)对称,关于直线322xx和对称吗?(提示:如可用sin(2)sin x x 说明()sin f x x 关于点(,0)对称)总结:1.正弦函数sin ()y x x R 的对称中心是,0k k Z ,对称轴是直线2xkkZ ;余弦函数cos ()y x x R 的对称中心是,02kk Z ,对称轴是直线x k k Z(正(余)弦型函数的对称轴为过最高点或最低点且垂直于x 轴的直线,对称中心为图象与x 轴(中轴线)的交点).2.函数()sin(()cos(f x A x f x A x)或)(A0)的对称性(1)()f x 关于直线xa 对称()f a A ,(2)()f x 的对称中心为图象与x 轴(中轴线)的交点(,0)a ,()f a 说明:()f x 是奇函数,()f x 是偶函数()sin(()cos(f x A x f x A x )+b 或)+b (A 0)的对称中心为图象与直线xb 的交点(,)a b ,()f a b三.例题、练习题:1. (07福建文5)函数πsin 23yx的图象()A.关于点π03,对称B.关于直线π4x对称C.关于点π04,对称D.关于直线π3x对称2. (安徽文15)函数π()3sin 23f x x的图象为C ,如下结论中正确的是__________(写出所有正确结论的编号..).①图象C 关于直线11π12x对称;②图象C 关于点2π03,对称;③函数()f x 在区间π5π1212,内是增函数;④由3sin 2y x 的图角向右平移π3个单位长度可以得到图象C .3.函数sin 2y x 的图象向右平移(0)个单位,得到的图象关于直线6x对称,则的最小值为()()A 512()B 116()C 1112()D 以上都不对.4.(2009全国卷Ⅰ文)如果函数3cos(2)y x的图像关于点4(,0)3中心对称,那么的最小值为A.6 B.4 C.3D.25.(2009青岛一模)设函数()sin(2)3f x x,则下列结论正确的是()A .()f x 的图像关于直线3x 对称B .()f x 满足()()44f x f x C .把()f x 的图像向左平移12个单位,得到一个偶函数的图像D .()f x 的最小正周期为,且在[0,]6上为增函数10已知函数()sin 21f x x 满足()()33f x f x ,设()cos 21g x x 则()3g =课标要求了解函数对称性、周期性的概念,能应用对称、周期的概念解决问题。
正弦函数相邻的两个对称中心的距离(最新版)目录1.引言2.正弦函数的定义和性质3.对称中心的概念及其在正弦函数中的应用4.计算正弦函数相邻两个对称中心的距离5.结论正文1.引言正弦函数是一种重要的周期函数,它在数学、物理、工程等领域都有广泛的应用。
在正弦函数的图像中,存在一些特殊的点,我们将这些点称为对称中心。
本文将探讨正弦函数相邻两个对称中心的距离如何计算。
2.正弦函数的定义和性质正弦函数的定义为:y = sin(x),其中 x 为自变量,y 为因变量。
正弦函数的周期为 2π,即在 x 轴上每增加 2π,正弦函数的值会重复。
正弦函数的性质包括:在 [0, π] 区间内单调递增,在 [π, 2π] 区间内单调递减;在 x = 0 处取得最小值 0,在 x = π处取得最大值 1,在 x = 2π处重新回到 0。
3.对称中心的概念及其在正弦函数中的应用对称中心是指函数图像关于某一点对称的点。
在正弦函数 y = sin(x) 的图像中,存在两个对称中心,分别为 (kπ, 0) 和 ((k+1)π, 0),其中 k 为整数。
这两个对称中心的作用是将正弦函数的图像分为两个完全相同的部分。
4.计算正弦函数相邻两个对称中心的距离正弦函数的周期为 2π,因此相邻两个对称中心的距离即为一个周期的长度,即 2π。
我们可以通过计算两个对称中心的横坐标之差来验证这一点:(k+1)π - kπ = π因此,正弦函数相邻两个对称中心的距离为π。
5.结论正弦函数是一种重要的周期函数,在各个领域都有广泛的应用。
在正弦函数的图像中,存在两个对称中心,它们将正弦函数的图像分为两个完全相同的部分。
1.正弦函数的对称轴和对称中心是什么?
答:正弦函数y=sinx的对称中心就是曲线与x轴的交点。
对称中心是:(kπ,0);对称轴就是函数取得最值时的x的值,对称轴是:x=kπ+π/2。
正弦在直角三角形中,任意一锐角∠A的对边与斜边的比叫做∠A的正弦,记作sinA,即sinA=∠A的对边/斜边。
一般的,在直角坐标系中,给定单位圆,对任意角α,使角α的顶点与原点重合,始边与x轴非负半轴重合,终边与单位圆交于点P(u,v),那么点P的纵坐标v叫做角α的正弦函数,记作v=sinα。
通常,我们用x 表示自变量,即x表示角的大小,用y表示函数值,这样我们就定义了任意角的三角函数y=sin x,它的定义域为全体实数,值域为[-1,1]。
三角函数的奇偶性及像对称三角函数是数学中常见的函数类型,包括正弦函数、余弦函数、正切函数等。
它们具有奇偶性质和像对称性质,这些特性对于研究和解决各种数学问题非常重要。
一、正弦函数的奇偶性及像对称正弦函数常用符号sin(x)表示,其定义域为实数集,值域为[-1, 1]。
正弦函数是奇函数,即满足sin(-x)=-sin(x)的性质。
这意味着正弦函数关于原点对称,图像在原点处为对称中心。
正弦函数的图像呈现周期性变化,即对于任意实数x,有sin(x+2π)=sin(x)成立。
这一周期性使得正弦函数的图像在每个周期内重复出现相同的形状。
二、余弦函数的奇偶性及像对称余弦函数通常用符号cos(x)表示,其定义域为实数集,值域也是[-1, 1]。
余弦函数是偶函数,即满足cos(-x)=cos(x)的性质。
这意味着余弦函数关于y轴对称,图像在y轴上为对称中心。
与正弦函数相似,余弦函数也具有周期性变化的特点。
对于任意实数x,有cos(x+2π)=cos(x)成立。
这使得余弦函数的图像在每个周期内呈现相同的形状。
三、正切函数的奇偶性及像对称正切函数常用符号tan(x)表示,其定义域是不包括π/2和3π/2的实数集,值域为(-∞, +∞)。
正切函数不是奇函数也不是偶函数,也不呈现周期性变化。
正切函数没有像对称的性质。
其曲线穿过原点,形成一系列的“无限支”结构,可以延展至正无穷和负无穷。
总结:三角函数的奇偶性和像对称性是它们最基本的性质之一。
正弦函数是奇函数,关于原点对称;余弦函数是偶函数,关于y轴对称;而正切函数既不是奇函数也不是偶函数,也没有像对称性。
了解和掌握这些性质可以帮助我们更好地理解和应用三角函数。
无论是在数学问题的解决中,还是在物理、工程等实际应用中,都需要运用到三角函数的奇偶性和像对称性。
通过熟练掌握这些特性,我们能够更好地分析问题、解决问题,并得到准确的结果。
三角函数是数学中的基础知识,它们的性质和特性不仅在高中数学中有重要意义,在大学的微积分、线性代数等课程中也会涉及到。
正弦函数余弦函数的对称轴和对称中心正弦函数余弦函数的对称轴和对称中心:1、正弦函数的对称轴:正弦函数的对称轴是y轴,正弦函数的点(x,y)的对应点是(-x,y),也就是由原点开始沿y轴反射;2、正弦函数的对称中心:由正弦函数的定义公式可知,把(x,y)在定义域内无限延长,以原点(0,0)为中心,沿y轴对称图象,就是正弦函数的对称中心;3、余弦函数的对称轴:余弦函数的对称轴是x轴,余弦函数的点(x,y)的对应点是(x,-y),也就是由原点开始沿x轴反射;4、余弦函数的对称中心:由余弦函数的定义公式可知,把(x,y)在定义域内无限延长,以原点(0,0)为中心,沿x轴对称图象,就是余弦函数的对称中心。
对于正弦函数和余弦函数的对称轴和对称中心,有许多人看到图象就能够熟练地识别了,两者都是以原点作为对称中心,围绕原点自身制作出来的图象都是对称图象。
仔细观察可以发现,正弦函数的对称轴是y轴,余弦函数的对称轴是x轴,利用这一对对称轴18个象限就可以区分出来了,正弦函数的图象向上凸起,余弦函数的图象向右凸起,由此可以清楚地识别出正弦函数和余弦函数。
正弦函数和余弦函数最重要的特点就是都有自己的对称轴和对称中心,这样无论从定义域内任意一点出发,都可以得出和应用对称原理。
对称原理强调以对称轴上任意一点反射出出就是这个函数的其他数值,且不会改变函数的规律性,正弦函数的对称原理是以y轴为中心,以y轴进行反射,余弦函数的对称原理是以x轴为中心,以x轴进行反射。
实际上,正弦函数余弦函数的对称轴和对称中心是有一定规律,以最简单的正弦函数阐释一下,正弦函数是一类包含多个周期的函数,在任何一个周期内,正弦函数的图象都是沿着y轴正向后退的抛物线,所以周期内的图象都是完全对称的,也就是说,正弦函数的对称轴是y 轴,同样也是它的对称中心。
余弦函数也是类似,余弦函数图象也是沿着x轴正向后退的抛物线,所以周期内的图象都是完全对称的,余弦函数的对称轴也是x轴,同样也是它的对称中心。
正弦函数的对称轴正弦函数是一种基本的三角函数,它是周期性的、连续且光滑的函数。
在数学中,正弦函数通常用sin(x)表示,其中x表示自变量,取值可以是任意实数。
正弦函数的图像是一条连续的波形,具有周期性和对称性。
在数学中,我们通常使用弧度作为角度的单位来描述正弦函数。
一个周期的长度是2π,即360°。
在一个周期中,正弦函数的图像从0开始上升到最高点,然后下降到最低点,再回到起点。
正弦函数在整个周期内是对称的。
具体来说,正弦函数的对称轴为x=a+kπ,其中a为一个实数,k为任意整数。
这意味着在一个周期内,正弦函数图像关于垂直线x=a+kπ对称,即正弦函数在这些对称轴上的值相等。
例如,对于正弦函数y = sin(x),其中x表示角度的弧度,对称轴可以表示为x = kπ,其中k为任意整数。
当k=0时,对称轴为x=0,这是正弦函数的中心对称轴。
在对称轴上,正弦函数的值为0。
当k为正整数时,对称轴位于0的右侧,每个对称轴都在前一个对称轴的右侧π的距离。
例如,当k=1时,对称轴为x=π,正弦函数在该对称轴上的值也为0。
同样地,当k为负整数时,对称轴位于0的左侧,每个对称轴都在前一个对称轴的左侧π的距离。
例如,当k=-1时,对称轴为x=-π,正弦函数在该对称轴上的值也为0。
这样,根据正弦函数的对称性质,我们可以看到在一个周期内,正弦函数的图像是关于垂直线x=0对称的。
也就是说,正弦函数关于y轴对称,并且在y轴上的值为0。
总之,正弦函数的对称轴可以表示为x=a+kπ,其中a为一个实数,k为任意整数。
在一个周期内,正弦函数是关于垂直线x=0对称的,并且在x轴上的值为0。
这些对称轴帮助我们更好地理解正弦函数的性质和行为。
课题:正弦函数、余弦函数的图象和性质(五)——正弦函数图象的对称性教材:人教版全日制普通高级中学数学教科书(必修)第一册(下)授课教师: 北京市第十九中学 檀晋轩【教学目标】1.使学生掌握正弦函数图象的对称性及其代数表示形式,理解诱导公式x x sin )sin(=-π(∈x R )与x x sin )2sin(-=-π(∈x R )的几何意义,体会正弦函数的对称性.2.在探究过程中渗透由具体到抽象,由特殊到一般以及数形结合的思想方法,提高学生观察、分析、抽象概括的能力.3.通过具体的探究活动,培养学生主动利用信息技术研究并解决数学问题的能力,增强学生之间合作与交流的意识. 【教学重点】正弦函数图象的对称性及其代数表示形式. 【教学难点】用等式表示正弦函数图象关于直线2π=x 对称和关于点)0,(π对称.【教学方法】教师启发引导与学生自主探究相结合. 【教学手段】计算机、图形计算器(学生人手一台). 【教学过程】一、复习引入 1.展示生活实例对称在自然界中有着丰富多彩的显现,各种对称图案、对称符号也都十分普遍(见下图).2.复习对称概念初中我们已经学习过轴对称图形和中心对称图形的有关概念: 轴对称图形——将图形沿一条直线折叠,直线两侧的部分能够互相重合;中心对称图形——将图形绕一个点旋转180°,所得图形与原图形重合.3.作图观察请同学们用图形计算器画出正弦函数的图象(见右图),仔细观察正弦曲线是否是对称图形?是轴对称图形还是中心对称图形?4.猜想图形性质经过简单交流后,能够发现正弦曲线既是轴对称图形也是中心对称图形,并能够猜想出一部分对称轴和对称中心.(教师点评并板书)如何检验猜想是否正确?我们知道, 诱导公式x x sin )sin(-=-(∈x R ),刻画了正弦曲线关于原点对称,而x x cos )cos(=-(∈x R ),刻画了余弦曲线关于y 轴对称. 从这两个特殊的例子中我们得到一些启发,如果我们能够用代数式表示所发现的对称性,就可以从代数上进行严格证明.今天我们利用图形计算器来研究正弦函数图象的对称性.(板书课题) 二、探究新知分为两个阶段,第一阶段师生共同探讨正弦曲线的轴对称性质,第二阶段学生自主探索正弦曲线的中心对称性质.(一)对于正弦曲线轴对称性的研究第一阶段,实例分析——对正弦曲线关于直线2π=x 对称的研究.1.直观探索——利用图形计算器的绘图功能进行探索请同学们在同一坐标系中画出正弦曲线和直线2π=x 的图象,选择恰当窗口并充分利用画图功能对问题进行探索研究(见右图),在直线2π=x 两侧正弦函数值有什么变化规律?给学生一定的时间操作、观察、归纳、交流,最后得出猜想:当自变量在2π=x 左右对称取值时,正弦函数值相等.从直观上得到的猜想,需要从数值上进一步精确检验. 2.数值检验——利用图形计算器的计算功能进行探索 请同学们思考,对于上述猜想如何取值进行检验呢?教师组织学生通过合作的方式,对称地在2π=x 左右自主选取适当的自变量,并计算函数值,对结果进行列表比较归纳.同时为没有思路的学生准备参考表格如下:给学生一定的时间进行思考、操作,根据情况进行指导并组织学生进行交流,然后请一组学生说明他们的研究过程.学生可以采用不同的数据采集方法,得到的结果如下列图表(表格中函数值精确到0.001):上述计算结果,初步检验了猜想,并可以把猜想用等式)2sin()2sin(x x +=-(∈x R )表示.请同学们利用前面得到的数据,用图形计算器描点画图(见下图),然后进行观察比较,思考点P ),2(y x -π和P ′),2(y x +π在平面直角坐标系中有怎样的位置关系?根据画图结果,可以看出,点P ),2(y x -π和P ′),2(y x +π关于直线2π=x 对称.这样,正弦曲线关于直线2π=x 对称,可以用等式)2sin()2sin(x x +=-ππ(∈x R )表示.这样的计算是有限的,并受到精确度的影响,还需要对等式进行严格证明.3.严格证明——证明等式)2sin()2sin(x x +=-ππ对任意∈x R 恒成立请同学们思考,证明等式的基本方法有哪些?所要证的等式左右两端有何特征?有可能选用什么样的公式?预案一:根据诱导公式ααπsin )sin(=-,有)2sin(x -π)]2(sin[x +-=ππ)2sin(x +=π.预案二:根据公式x x cos )2sin(=-π和x x cos )2sin(=+π,有)2sin()2sin(x x +=-ππ.预案三:根据正弦函数的定义,在平面直角坐标系中, 无论α取任何实数,角απ-2和απ+2的终边总是关于y 轴对称(见右图),他们的正弦值恒相等.这样我们就证明了等式)2sin()2sin(x x +=-ππ对任意∈x R 恒成立,也就证明了正弦曲线关于直线2π=x 对称.事实上,诱导公式x x sin )sin(=-π也可以由等式)2sin()2sin(x x +=-ππ推出,即这两个等式是等价的.因此,正弦曲线关于直线2π=x 对称,是诱导公式x x sin )sin(=-π(∈x R )的几何意义.阶段小结:我们从几何直观获得启发,又通过数据计算进一步检验,得出正弦曲线关于直线2π=x 对称可以用等式)2sin()2sin(x x +=-ππ(∈x R )表示,通过对这一等式的严格证明,证实了我们猜想的正确性.上述等式与诱导公式x x sin )sin(=-π(∈x R )的等价性,使我们对这一诱导公式有了新的理解.第二阶段,抽象概括——探索正弦曲线的其他对称轴. 师生、生生交流,步步深入.问题一:正弦曲线还有其他对称轴吗?有多少条对称轴?对称轴方程形式有什么特点? 可以发现,经过图象最大值点和最小值点且垂直于x 轴的直线都是正弦曲线的对称轴(教师利用课件演示),则对称轴方程的一般形式为:ππk x +=2(∈k Z ). 问题二:能用等式表示“正弦曲线关于直线ππk x +=2(∈k Z )对称”吗? 根据前面的研究,上述对称可以用等式)2sin()2sin(x k x k ++=-+ππππ(∈k Z ,∈x R )表示.请学生证明上述等式,然后组织学生交流证明思路. 证明预案:)2sin(x k -+ππ)]2(sin[x k +--=πππ)2sin(x k +-=ππ)]2(2sin[x k k +-+=πππ)2sin(x k ++=ππ.(二)对于正弦曲线中心对称性的研究我们已经知道正弦函数x y sin =(∈x R )是奇函数,即x x sin )sin(-=-(∈x R ),反映在图象上,正弦曲线关于原点对称. 那么,正弦曲线还有其他对称中心吗?请同学们参照轴对称的研究方法,小组合作进行研究.第一阶段,对正弦曲线关于点)0,(π对称的研究.1.直观探索——从图象上探索在点)0,(π两侧的函数值的变化规律.2.数值检验——在π=x 左右对称地选取一组自变量,计算函数值并列表整理.3.严格证明——证明等式)sin()sin(x x +-=-ππ对任意∈x R 恒成立. 预案一:根据诱导公式)2sin(απ-αsin -=,有)sin(x -π)](2sin[x +-=ππ)sin(x +-=π.预案二:根据诱导公式x x sin )sin(=-π和x x sin )sin(-=+π,有)sin()sin(x x +-=-ππ.预案三:根据正弦函数的定义,在平面直角坐标系中, 无论α取任何实数,角απ-和απ+的终边总是关于x 轴对称(见右图),他们的正弦值互为相反数.事实上,等式)sin()sin(x x +-=-ππ与诱导公式x x sin )2sin(-=-π是等价的. 这样,正弦曲线关于点)0,(π对称,是诱导公式x x sin )2sin(-=-π(∈x R )的几何意义.第二阶段,探索正弦曲线的其它对称中心. 请同学尝试解决下列三个问题:1.归纳正弦函数图象对称中心坐标的一般形式.正弦函数图象对称中心坐标的一般形式为:)0,(πk (∈k Z )(教师利用课件演示).2.用等式表示“正弦曲线关于点)0,(πk (∈k Z )对称”.上述对称可以用等式)sin(x k -π)sin(x k +-=π(∈k Z ,∈x R )表示. 3.证明归纳出的等式. (根据课堂情况可以由学生课后完成证明) 三、课堂小结 1.课堂小结(1)知识上:得出了正弦函数图象对称轴方程和对称中心坐标的一般形式,研究了对称性的代数表示形式,并利用诱导公式完成了严格的理论证明. 在研究的过程中,对诱导公式x x sin )sin(=-π与x x sin )2sin(-=-π(∈x R )有了新的理解,感受了正弦函数的对称性以及数和形的辨证统一.(2)方法上:直观→抽象,特殊→一般,体验了观察—归纳—猜想—严格证明的研究方法.2.作业(1)总结课上的研究过程和方法,尝试研究余弦函数图象的对称性,并结合自己的研究过程和结论写出研究报告,与其他同学交流收获.(2)找一个一般函数,如x a y sin +=,∈a a 为常数且R ,研究它的图象及对称性;并与正弦函数的图象及对称性进行比较.(3)思考:如何用等式表示函数)(x f 关于直线a x =对称,以及关于点),(b a 对称?(4)尝试证明函数xy 1=的图象分别关于直线x y =和直线x y -=对称. 【教学设计说明】1.关于教学内容正弦函数和余弦函数的大部分性质是借助函数图象进行研究的.但是,在本章第五节中,借助单位圆中的三角函数线已经研究了它们的四个重要性质,并归纳为四组诱导公式,其中公式三、四、五分别刻画了两个函数图象的一部分对称性,奇偶性只是特殊的对称性.因此,本课时以正弦函数为例补充研究图象的对称性,从函数图象的特征出发,引导学生利用计算器自主探索,并最终发现与诱导公式的联系. 通过本课时的教学,可以使学生在进一步掌握图象特征的同时,加深对正弦函数及其诱导公式的理解,既是对以前所学知识的梳理,也为后面进一步学习和理解“由已知三角函数值求角”奠定基础.2.关于教学设计本课时我采用启发引导与学生自主探索相结合的教学方法.在回顾旧知识的基础上提出新的研究问题, 引导学生从形象思维逐步过度到抽象思维,突破教学难点. 教学设计流程图如下:通过引导学生带着问题的主动思考、动手操作、合作交流的探究过程,力求使他们在掌握知识的同时,还能学会研究方法.3.信息技术在教学中的作用图形计算器作为学具,通过学生亲自动手,人人参与探索过程,帮助学生从图象、数据、解析式等多层次、多角度地理解所研究的内容,提高他们对图形和数据信息的处理能力,培养信息素养.图形计算器和计算机相结合,力求使技术更有效地为教学服务.。