2009年度国家奖学金名单公示
- 格式:doc
- 大小:573.00 KB
- 文档页数:14
鄂开职学字[2009]47号关于颁发2008—2009学年国家奖学金、国家励志奖学金的决定为激励学生勤奋学习,努力进取,在德、智、体、美等方面得到全面发展,体现党和政府对家庭经济困难学生的关怀,帮助他们顺利完成学业,根据教育部、财政部《关于印发〈国家奖学金评审办法〉的通知》、湖北省教育厅《关于2008-2009年国家奖学金、国家励志奖学金、国家助学金评审工作的通知》的文件精神和规定,我院进行了2008-2009学年度国家奖学金、国家励志奖学金的评审工作。
本次两项奖学金的评审工作坚持公开、公平、公正的原则,各班级经个人申请、班级评比推荐、学工处及各学院认定审核、校长办公会讨论审批、张榜公示后,报湖北省教育厅核准审定,我院高露、庄朝飞、王文艳3名同学荣获“国家奖学金”,获得奖学金8000元,颁发国家统一印制的奖励证书,并记入学籍档案;陈彩琼等90名同学荣获“国家励志奖学金”,获得奖学金5000元。
学院希望获奖同学珍惜荣誉,谦虚谨慎,刻苦学习,自立自强,投身实践,勇于创新,励志成才,报效祖国。
并希望全校同学以获奖同学为榜样,牢记党和人民的重托,努力提高思想道德水平和科学文化素质,不断学习和掌握现代科学文化知识,提高实践创新能力,努力把自己培养成为身心健康、全面发展的社会主义建设者和接班人。
湖北开放职业学院二〇〇九年十二月二十八日主题词:奖学金决定 2008-2009湖北开放职业学院办公室 2009年12月28日印发打字:秦晓玲校对:张乔乔共印30份2008--2009学年度国家奖学金、国家励志奖学金获奖名单国家奖学金(8000元/人,共3名):07计算机应用技术:高露07人力资源管理:庄朝飞08会计:王文艳国家励志奖学金(5000元/人,共90名):07人力资源管理: 陈彩琼07商务英语: 鲁荣华07商务英语: 肖三华07应用日语: 张晋静07应用日语: 董丽君07应用日语: 谢婵婵08新闻采编与制作: 李淑08商务英语: 孙银花08应用日语: 刘梦娇08应用日语: 王灵萍07物流管理1班: 李清07物流管理2班: 雷洁琼07物业管理: 何红莲07工商企业管理: 李卉子07工商企业管理: 褚芹芹07工商企业管理: 李文雄07旅游管理: 冯文07旅游管理: 谢思思07酒店管理: 石喜铃07酒店管理: 康跃红08物业管理: 范圆08旅游管理: 汪芳08旅游管理: 李园丽08物流管理2班: 邓秀菊08物流管理2班: 胡琴08物流管理2班: 朱艳伦08物流管理1班: 喻欢欢08物流管理1班: 余晓燕08酒店管理: 杨单08酒店管理: 姚佳08工商企业管理: 付喆燏08工商企业管理: 郭欢欢07会计: 黄念07会计: 柯丽利07电子商务: 潘辉玲07市场营销: 颜佳芝08会计: 杨改琴08会计: 向黎08会计: 李足霞08会计: 殷秀方08会计: 李露露08会计: 宋韦08会计: 彭章琪08会计: 王峰08电子商务: 王梅08电子商务: 徐芳08电子商务: 成利芬08电子商务: 耿玉坤08电子商务: 李倍08市场营销: 明然08市场营销: 池婷婷08市场营销: 汪琪琪08市场营销: 沈银波07模具设计与制造1班: 蒋文07模具设计与制造1班: 凌玉梅07模具设计与制造2班: 余弯07模具设计与制造2班: 徐增鹏07数控设备与维护: 丁玲07数控设备与维护: 史麒麟07数控设备与维护: 袁雪丽08模具设计与制造1班: 宋盼丽08模具设计与制造1班: 李磊08模具设计与制造2班: 李单单08模具设计与制造2班: 余丽慧08工程造价1班: 杨金华08工程造价1班: 叶琳08工程造价2班: 左明08工程造价2班: 王德煜08数控设备与维护1班: 李矾昊08数控设备与维护1班: 王永08数控设备与维护2班: 柏才亮08数控设备与维护2班: 吴雅鹤07计算机应用技术: 夏收07软件技术: 洪家兴07软件技术: 张嵘蓥07应用电子技术: 丁美月07应用电子技术: 何文浩07应用电子技术: 卢双07光纤通信: 王思07光纤通信: 黄青龙08激光加工技术: 陈晶08电脑艺术设计: 余捷08计算机应用技术: 李迅08软件技术: 贺环玲08软件技术: 叶芸芸08通信技术: 刘进08通信技术: 刘莹08应用电子技术: 纪艳霞08服装设计: 李剑08服装设计: 何凡。
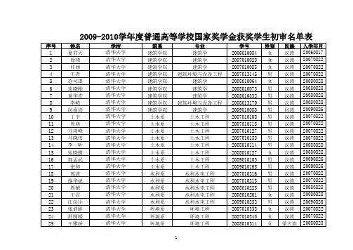
机械与电气工程学部2010年国家奖助华中科技大学文华学院关于做好国家奖学金初评的通知华中科技大学文华学院国家奖学金管理暂行办法华中科技大学文华学院关于做好国家励志奖学金初评的通知华中科技大学文华学院国家励志奖学金管理暂行办法华中科技大学文华学院关于做好国家助学金评定的通知华中科技大学文华学院国家助学金管理暂行办法机电学部关于做好2009-2010学年度国家奖学金评审办法机电学部2010-2011学年度国家励志奖学金、国家助学金评审办法机电学部2009-2010学年度国家奖学金评审程序机电学部2010-2011年国家励志奖学金、助学金评审程序2009-2010学年湖北省普通高等学校国家奖学金获奖学生初审名单表机电学部2010-2011年度国家励志奖学金、助学金公示名单华中科技大学文华学院国家励志奖学金学生初审名单表华中科技大学文华学院国家助学金名单备案表机械与电气工程学部2007年国家奖助华中科技大学文华学院关于做好国家奖学金初评的通知华中科技大学文华学院国家奖学金管理暂行办法华中科技大学文华学院关于做好国家励志奖学金初评的通知华中科技大学文华学院国家励志奖学金管理暂行办法华中科技大学文华学院关于做好国家助学金评定的通知华中科技大学文华学院国家助学金管理暂行办法机电学部关于做好2006-2007学年度国家奖学金评审办法机电学部2007-2008学年度国家励志奖学金、国家助学金评审办法机电学部2006-2007学年度国家奖学金评审程序机电学部2007-2008年国家励志奖学金、助学金评审程序2006-2007学年湖北省普通高等学校国家奖学金获奖学生初审名单表机电学部2007-2008年度国家励志奖学金、助学金公示名单华中科技大学文华学院国家励志奖学金学生初审名单表华中科技大学文华学院国家助学金名单备案表机械与电气工程学部2008年国家奖助华中科技大学文华学院关于做好国家奖学金初评的通知华中科技大学文华学院国家奖学金管理暂行办法华中科技大学文华学院关于做好国家励志奖学金初评的通知华中科技大学文华学院国家励志奖学金管理暂行办法华中科技大学文华学院关于做好国家助学金评定的通知华中科技大学文华学院国家助学金管理暂行办法机电学部关于做好2007-2008学年度国家奖学金评审办法机电学部2008-2009学年度国家励志奖学金、国家助学金评审办法机电学部2007-2008学年度国家奖学金评审程序机电学部2008-2009年国家励志奖学金、助学金评审程序2007-2008学年湖北省普通高等学校国家奖学金获奖学生初审名单表机电学部2008-2009年度国家励志奖学金、助学金公示名单华中科技大学文华学院国家励志奖学金学生初审名单表华中科技大学文华学院国家助学金名单备案表机械与电气工程学部2009年国家奖助华中科技大学文华学院关于做好国家奖学金初评的通知华中科技大学文华学院国家奖学金管理暂行办法华中科技大学文华学院关于做好国家励志奖学金初评的通知华中科技大学文华学院国家励志奖学金管理暂行办法华中科技大学文华学院关于做好国家助学金评定的通知华中科技大学文华学院国家助学金管理暂行办法机电学部关于做好2008-2009学年度国家奖学金评审办法机电学部2009-2010学年度国家励志奖学金、国家助学金评审办法机电学部2008-2009学年度国家奖学金评审程序机电学部2009-2010年国家励志奖学金、助学金评审程序2008-2009学年湖北省普通高等学校国家奖学金获奖学生初审名单表机电学部2009-2010年度国家励志、助学金公示名单华中科技大学文华学院国家励志奖学金学生初审名单表华中科技大学文华学院国家助学金名单备案表机械与电气工程学部2011年国家奖助华中科技大学文华学院关于做好国家奖学金初评的通知华中科技大学文华学院国家奖学金管理暂行办法华中科技大学文华学院关于做好国家励志奖学金初评的通知华中科技大学文华学院国家励志奖学金管理暂行办法华中科技大学文华学院关于做好国家助学金评定的通知华中科技大学文华学院国家助学金管理暂行办法机电学部关于做好2010-2011学年度国家奖学金评审办法机电学部2011-2012学年度国家励志奖学金、国家助学金评审办法机电学部2010-2011学年度国家奖学金评审程序机电学部2011-2012年国家励志奖学金、助学金评审程序2010-2011学年湖北省普通高等学校国家奖学金获奖学生初审名单表机电学部2011-2012年度国家励志、助学金公示名单华中科技大学文华学院国家励志奖学金学生初审名单表华中科技大学文华学院国家助学金名单备案表。
公示根据自治区教育厅《关于认真做好2009—2010学年度普通高校国家奖助学金、自治区人民政府奖学金评审和材料报送等有关工作的通知》(桂教资助〔2009〕21号)文件精神,我院组织开展了评审工作。
经过班级评议、系(部)评选、推荐,学院审核,现将拟定国家励志奖学金、自治区人民政府奖学金及国家助学金名单予以公示。
公示时间为2009年11月12日至2009年11月16日止。
在公示期间内如有异议,请以书面形式,署真实姓名,将情况反映到院学生工作部,联系电话3155921柳州职业技术学院二00九年十一月十二日柳州职业技术学院2008-2009学年度国家励志奖学金获奖学生名单电子电气工程系:刘磊冯玉强邓顺黄杨城余家健李金黄洁文曾祥贵林植胜林业海姚茂航王博黄国旺甘福达黄东雷蒋家华李岸凌陈圣盟卢炳列张有杰阳文霞韦若佳汪立龙陶越黄金堡徐剑欣欧忠良周春翔梁峰杨业凤潘少梅唐弟旺梁奎汤恩晨韦龙珍王树建蒙燕卓雨柔潘河东贾腾莫秀华梁奇月陈秋凤王茜廖丽丽黄亮韦龙军机电工程系:林本松冯绍帅谭云羽罗尧宗覃轶科陈锋谭宏添庞文斌覃玉玲李仁阳虞颂正王德儒李彩英罗宁林春余黄卫覃祖英原寿龙黄海达韦柳丝莫兴杰宋运祥全守远陈承深冯祥成覃大伟黄文覃根明刘建成蓝瑞春徐海峰谢晓东杨光发韦福享李礼陆有康廖海钧蒋辉华谢静毅黄彦潮李锦茂陆青林谭荣富李丽农海凤罗秀松陈琪珊蒋汉兵覃富万韦建锋毛健盛蒋柳慧黄洋宝梁富强张坷何时心蒙桃红韦清云夏楚妮韦克慧张广彬吴炅蔧韦师罗福祥覃桂富罗海聪劳松兴黄伟思朱凯黎龙李其诚黄孝盛马业模廖满发蒙赞杨林广谊黄全敏陈明波陈学广滚志雄陈金炎秦法朋植发明苏文贤陈跃玮覃家勇钟平杰邝华会莫伟华梁世超唐文西冯天颖钟英鹏黄英荣莫声佳韦国辉经济管理系:曾明颂刘粟君黄子允杨丽梁春红程辉黎凤晓洪祥玲王海曦黄焕贤廖芳芳杨琴黄金娇卢晓冰林榕坤蔡加英范秀萍王兴荣蒋玉林吴品玲苏琬凌施丽燕韦乔露林春健苏小红梁华珍杨福英石小屏莫宁宴国玲罗丽萍梁展菊陈兰丽唐翠梅伍连红陈莲王洋黄春梅张雪丽黄晓丽梁金云陆秀芝吕云冰黄胜芦陈艳梅向应乐黄银梅雷富来李文雪刘登梅覃渝贵凌小丽陆汉超陈佩琼陈彩虹马艳艳何彩园龚开冉思球林菲敏廖丽芬王青艳李婵胡春婷梁凤丹吴彩银钱奋王晓琴吴祖玉杜彩欣李月丽陆汝露杨丽媛冯宪娟黎美静陈亚银唐晓冬黄丽艳冼记李观凤黄必梅周天成陆秋燕黄贤华贾习花甘雯雯葛莉莉官惠黄桂嫣黄佳雨卜影霖韦丽红陈叶罗小娟黄兰芳赖春萍卢新梅李成群黄浛湘汽车与环境工程系:陈学敬曾飞燕杨新生李振基冯道森万礼宾朱运东秦林杰马海模周思方炫驭潘武建赵天成李双贤蒙成志韦秋慧杨嵘娇许瀚丹马恒祚邓海航侯月芳韦仕瑛宁柄生陈红黄冬玲杨丽芬石卫兰兰宗柳刘安江强钟杰杨侯柳钟建国龙其金韦继德黄光飞李乔王朴楠信息工程系:周莉君代艳黄筱李丽娜彭静陈婵路雁凌陈海霞蒙小青欧相柱吴忠华黄存贤梁舒黄杰丁启刚卢晓彤韦振华陆忠理叶庆龙徐超群陈波阮良招李玲曾祥龙李娇玲罗小沙艺术设计系:吴祚泰欧宗波黄龙清陈璆柳烈琼李满陈胜萍卢良谭斯华曹洪彪黄林强赖誉升王柳思陈晓梅蓝月湫陆跃梅潘映霞张雪梅朱少平音乐系:丘哲冯文艳柳州职业技术学院2008-2009学年度自治区人民政府奖学金获奖学生名单电子电气系:陈伟杰莫永明闭剑开陆海锦谢伦祥梁小丹曾靖丝吴文强施志广魏正茂机电工程系:孙亚宁米福陆一波邹福来韦丽婷邓键铃钟献雁杨启任韦增喜陈瑞运冯文茂唐宏发李金平钟春荣吴海伦李龙黄英荣林国宁周泽敏韦细耐黄钊经济管理系:陈付强邓兰妹卢婉妮陈哲军黄小玲韦嘉颖梁洁黄芳韦金兰雷庆枝宁丽慧覃红萄谭宇琴何炳芬韦雪燕孔建丽黎美群张永明侯月玲黄杨竹陈连顺覃玉婷苏小兰胡海凌汽车与环境工程系:李焕业叶仕宽卢富璋唐培峰覃剑炜韦庆文宾友平黄聪信息工程系:陈祖辉顾菊霞陈欣林传凯林岭钟甲凤陈桂儿王是均艺术设计系:钟祥修覃仕票谭怡清陈继明音乐系:戴翠金柳州职业技术学院2009-2010学年度国家助学金获奖学生名单一等助学金电子电气系:韩立龙王子达覃祖杰吴昊毛自强颜燕韦承熙兰旭初龙镜全谭荣达黄仁宋旭威何海全黄开溶李玉虎王春杰周定钧周子颖吴全海容伟琪农锦松吴长峰楼应瑜朱海贵张凯黄宗万宋子良李如锦何天涌谢洪权周琼潘显焕左晓珑黄彬冼少卿陈碧英秦华丽邓洁玲王超曼陈龙军陆宗良韦远李旭超李伟勇蒙齐云符强龙吴朝惠熊明鑫卜灿勤唐新军黄明光黎必欣阙小东周柳岑潘飞燕陀丹明何海明关万朱彭广智覃恩义刘立华龙善红黄东雷周水妹韦贵思欧爵景谢子旺王家平蒙永进吴红红马巍巍何历祥玉海良潘江旋邱胜华马严胜莫雄黄妹春吴世斌陈玉琦王玉坚张宜生吴昊谢林辉覃延欣苏玉龙冼勇艺梁天聪杨文昆许军韦佑喜徐剑欣梁小丹覃克坚蔡玉洁陈露邓富昌陈正源林依竹韦秋扬周春翔韦立朋黄晓冰江锋郭达贵吴学坤高伟前李隆台廖辉登陈耀君钟展博韦晓华杨江潘少梅李日晨高静刘梅罗锡武谭植君潘然芬黄鹏李永柏郑峰陈泳璋李碧庄朱汝武梁耀富莫根泽韦海郑天良班椿雄杨媚潘敏秀周佑梅梁红军韦继勇闭艳红黎匡远陈兆淮谭艺杰黄雯静罗琼莲覃克一张慧华何光军蒙深基苏炳贤钟翔森蒙冠显梁绍赋梁美莲吴祥军卢隆存陆建芳张德鹏秦美蒋黄畏力郑在雄阮卓朋罗波梁仁建黄六猛黄庆华廖聪何敢浪尹苏妹王杰周才优梁耿义黄瑞轮刘锦成蒋文标刘静梁琨黄春倡莫泽甘桂成韦向东陈启斌梁振都刘苏明谭庆伟冯烽顾广甘进河罗斌谢春燕简日军王家桧盛凡涛薛腾飞唐艳妮梁天龙何祥高李凤玲吴先越黄淑贞莫全强钟天库黄金勇欧世杰李宁张彦刚董宝来卢显怡张文轩潘政梅黄炎萍张玉珊李国辉韦满贵陈少集吴丽梅王月月覃子卿朱树华蓝仕淋江万金韦韩朱仲乐冯温源蒋娟娟文建学潘忠谋陈贤龙吴清光高冯顺蒙银昌罗义龙龙渊谢翠平机电工程系:赵德能唐海涛蓝进梁伟杰韦富仁黄凌渊杨耀伟卢勇锦黎少宗覃江华易春良韦祖高覃文扬杨鹏朱国钊李广菲卢孙婵郑秋振农锦原陈一波覃轶科潘广阳万森黄桂杰石金韦洪财欧寒冰莫飞尹金波周秋兰韦启勋韦明前蒋悦丰韦星入杨敬德朱旺明陈坤廖金萍陆俊君苏坚宋永干韦坤林毕潇铎唐瑞佳莫顺金蓝韦飞李科梁晓丹温秀文刘振彬庞其宏阮松山覃少海刘永茂罗忠醒张敏权江宁梁龙明周传东黄树冠陈日征易贤良梁新淼庞兴俊韦泽林唐环阳卢信章阮卓成吕海玲高得森黄荣朗陈丽兰何时周李其博李大朝韦明权罗勇刘华黄进用陈天生吴永春兰义刚刘军梅潘代锋胡纯恒农卫凯朱保挺陆俊宏王强韩宏刚苏宏赵黄松智刘媛卢金标张宏瑞蒙静蓝盛丰张家庆陆雄旺王虎杨家昌黄丽铃吴美启黄绍源易德兴吴秀平黄远辉陈洁健吴泊张朋志兰方龙覃龙黄丽丽黄朝艺黄铭升周延年莫言玉吴伯文覃锦书张发振覃泳丁兰婉丽吴吉顺黄镇陈靖元覃炳富覃佳将韦武贡罗毅胜林朝霞李秀芸潘海应李政滕桂友韦启贵肖英仙覃如凤吴勇黎海景谢春香钟弶莫家忠杨文龙韦浩生磨鹏鹏胡龙海姚良昌盘迎月覃新贵尹阳明石凤华李仿健陈明坤黄海源范瑞河石吉布黄业勤梁燕红苏风华梁耀杰方宏替黄海东陆崇鹏谢国登劳厚军杨义翔曾德金韦玉耀简文龙程浩蓝容彩张小松吴承寿林芳发郑敬山黄明荣李剑衍韦常欢邹新明梁桥花李祖斌聂新旺赖飞宋少北吴勇成孔宇吴志明赵进松潘虹如罗甫李灿叶显盖王小勇谢勇光周翁明朱华德黄加年林宝通黄明杰朱明松庞贤良潘有仁胡杰耀冯文茂封琳明兴武韦每泽李佳繁罗克英周永金郑玉连卢国胜陈新陈念富李金明陈家晖林章桂韦秋玲覃小午李荣伟韦宁晓陈刘德唐春暖王焕勇羊汉高曾家文莫祖炎黄礼嘉覃志洁韦伟林祺寿陈延德戚建昌罗艳萍劳道龙徐邦礼杨斌蒋兵兵李国强李树成甘健志江洪浪韦锦平陶荣军廖奎胜韦昌会林金贵钟扬旭吴家锦周坤丽肖晓丽杨志黄俊林俊其吴坚马文桂梁有才覃兰提覃立斌陈礼军宁志春全初敏何绍禄陈威张勇黄思华罗文广农国尚莫仕安李祖成林峰李法成叶国伟王建庆韦想黄涛何达富余家文王健航邝华瑞刘源同吴海军陆科荣覃恩和蒋秦斌江海明李冬莲黄义旅黄钊强李泉皆粟乃杰覃猛覃建斌郑振强吴琼蒋伟邓少刚韦消危蔡富陈静兰零鑫黄志强罗庆姜方达吴彩婵罗星云陆明武赵腾飞庞裕庚刘几壬洪有亮黎德团黄家旺陈炳达梁芸僖韦林辉陈柏良黄贤霖陆伟梁旭东潘礼锦唐凌杰陈敏杰秦伟坚陈立创邓德荣邓曾龙王春江练斌宜莫星世郑秋天吴荣娟陆章敏黄释庆黎祖建莫剑章王慧萍凌宏励黄永锋罗游凌嫦青夏翠华农成涛林孔路苏宁芳卓建国苏文秀欧姚茂廖鹏熙杨斌莫丹妮黄艳娜杨圣楷黄燕珍唐欢乐赵燕霞梁潮李桂文周世奉黄小玲韦宏泉吴松霖黄云梁善华黄艺振陈二礼何作武蒋伟瑞林文谭海令陈科奇王庆智劳麒榕黄天聪罗智容陆华德韦家帅杨礼兴冯光礼覃汉猛陈佰利蒋飞韦村梁杞祥童振游关晨杨保记韦继幸罗万龙韦懿贡林裕东韦凤康李龙歌左仁东匡晓李芳香蓝龙杨湛薛道文李贤善徐胜安黄桂美赖振仁施奇蓝云鹏谭胜王晓杰陈东华覃世进廖富登袁小伟李海光韦江尤黄德鹏陈进云张大智吴天福曾静蒋金成闫经文连军陈宗醒阙祖林梁冰华高绍尊陈光胤王伟吴乾骆齐政蓝世康秦元杰何富添阳桂平郑有程万政韦锦成莫远成韦宗深莫树明林军源陈远桥唐俊李德延莫春华戴邕坪张建橙谢维城周彤韦森林韦时董振海经济管理系:黄瑞莹陈考文黄志鹏黄艳锦莫远玲邹国芳张英晴李娇妮陈美英朱玲玲黄丽贤徐小莲赖伟敏李家兰曾雪梅黄健华黄海燕雷小蓉王彩色黄志坚莫玉慧韦昌李华黄家勇雷洁莫丁香梁飞龙黄琦蒙尔婷李远附韦常邱敏杨秀军余梅陈秋春梁盛志蒙颖潘红莲宋柳婷陆文齐徐利娟李雪营岑金营刘丽峰唐灵芳李慧芳巫金伶杨先明黄桂梅梁宗艳贲能江赵秀梅周文翠屈秀于玉丽韦海行江文湖韦燕兰官叶清叶建梅钟禹琴廖宗任张愫梅陈丽徐全阳蓝碧云沙芳敏杨光论吴琼罗英宝兰理丹李边边陈枫伍新沛闭雪梅黄秋华华光艳彭伟飞陈志清潘月洁林伟静韦武念吴卓霞刘凤连杨维荣李军惠周坤月唐小娟林广黄汉宝谢美莫国送李晓红李晓云罗梅伦韦苏玲莫林娟何恋花曾莉潘露婵吴颖孜闭海金韦碧微黄金燕廖凤唐珍黄丽霞蒋燕梅梁贤云杨丽霞叶自秀张艳陈兰芳李宗励林延姨杨柳张燕燕蒋青梅刘媛娟钟纪凤陈的红黄晓梅吴晓霞夏明娟肖婷婷崖旎王艳晶余小霞徐菀潞韦卫萍梁燕琳杨戊庆蒙李芝刘凤姣罗继娜罗丽娜杨雁雄杨水丽陈文群唐红菊陈利秋覃丽红周雪莲李爱娜农玉梅玉雪许珍玉蓝伊曼莫启求龙丽凤梁清琴黄群贵梁冰王友凤雷青梁珍李英周明翰李汉兰许海清卢建娥黄丽黄悦廖继墩陈月清黄海玲张武秦沛辉郑俸梁徽徽叶嘉通吴思盈罗育连卢艳梅严紫溦庞光宝党秋梅潘奇良杨菁黄妹琼荣浩瑾马斗群潘彩丽黄品苑钟禄才李慧敏韦月琴李佳栩李玉梁罗海玲唐春兰杨娉婷施杨李月娜黄秋亭覃新峰张成华杨均芳黄倩林宗君陈金英李敏黄子同梁清华黄青莲黄鸿燕梁娟陈永南蒙美伊农凤丹王莹苏蕾茵韦赞庞萌周林丽谢贞祯韦燕妮粱立梅冯河黄春妮莫晓红农晓明何秋萍韦勤蒙绍友黄惠玲罗道杰熊桂木李银荣裴松梅黄耀生黄春梅廖严力沈兆姗李惠萍罗丽芳郑海凤谢振祥谭珣佳郭均霞叶戌秀秦利华李茵林武陈群廖珊潘冬玲覃尤芳刘美娟裴庆丽苏柳任兰运全潘昌科梁娟莲邓扬焕姚登桂吴桂友文秀意李氏令邓喜燕李英黄琦陈乃成韦陆萍李思念张春丽周业凤李忠强周小飞林婷婷黄家收陆妹娟岑家接陈灵雕池祖怜黄模龙陈世东罗海清龙曲廖艳世文广蓝伟梁娟丽刘兰芳黄丽莹王荣劳积洋黄正炮李升燕苏浩勋虞冬梅黄显梅李景丽廖富静宁静岚黄瑞珍韦莹陶鸾丽叶成菊黄婷兰荣白琴芳陈秋霞潘文清何字美韦玲吴丽琼李惠婷梁燕江素针杨小娟李志婵李少兰马励蓉韦尚慧杜沿沿苏家雪杨乔秀胡小敏曾繁慧覃海金曾换花黄英俊黄敏周婵婵曾海梅吴美兰甘惠明施佳彤刘玉芳吕玉香农海燕蒋洁曾慧许莉莉陈艳梅韦敏婕吴雪鸿沈伟娇宁红雁周桂凤吕清莲刘泽丽周花迈覃冬娜杨秀莲林杨达陈子琴覃秋凤卢慧梅李小军谭小燕唐敏雷美春黄丽娟姚春梅李冬妹徐梅玲高启林陈英华苏玉燕黄冬艳林雁娟胡海莹李惠珍刘成姣谭施川吴书书黄秋秋黄秋华蓝丽仙范海凤吴芳艳郑小倩符送丽韦翠晓韦云珍梁自成陶妹兰沈培柳何桂玉张小芳黄静吴星凡钟健秋朱慧芸曾宪江李卫梅梁连艳覃小丽苏丹麻玉杰韦青幼粟秀芳乔乐乐伍春燕韦琳芳张小玲陈春秀施林谷詹红梅杨美新谢伟贤郑梅芝马立恒徐荣英覃秋丽梁彦英何小兰覃小莲黄妙森卢小萍吴晓姿杨菲何明行王国权林桂龙韦盛娜韦秋艳梁立任黎海萍何金玲陈海妙全如平唐荣艳柳贵颂杜小梅陈丽丹李龙升廖喜梅高士婷陆冰雨吕晓丹闭洁冬李坚汽车与环境工程系:刘素雄韦光阳黄定毅李浩韦初葵何荣海郑志锦彭礼富张远远罗清椅卢隆春伍影催刘忠贵陈汝良施苗宁黄艳芳王平林科勇施贵钦黄彦文吴昌庭古宝龙贤有存韦正党韦景宝陈永贤黄世龙陈展超吴龙旺姚积坤胡勇坚刘国章黄荣丽谢斯萍蒋金泉潘静赵永华韦永春梁世剑莫荣祥陈仕诚何炎强黄玉全李龙生廖安定官锡惠陈冠奇冉光乐唐少祥居榆钦廖启成罗桂传吴进林秦万举颜胜杰欧阳明李祖达吴旦吕春岳安鹏王吕侠黄光城江敬李凯周思覃少游农胜余苏海钊陈允渐张有汉陈思奇麦乃碧罗明想易春明陈校深韦承忠阴泰王健霖梁中斌黄克熙陈宏励郑秋毫张冲天张思亮黄伟绍刘云都周荣杰李宗正熊凤辉韦绍恩黄慧梁甲胜文红岸陈金辉李志创高永尧志坚朱斌吴新余李启俊黄厚林黄传康庞子翔陈聚松冯芾新陈树龙覃香龙黄恒益乃世富黄永远颜龙冯恩康杨柏洪李祖耀苏耿毅夏益站韦素丹韦柳慧莫治强梁林罗秀花廖先时沈静桂文丽刘梦繁马恒祚周律池谭巧妹朱漫莉方红张蓝方韦秉学谭颖芳唐明吕莹黄近秋李敏黄希宁盘静韦仕瑛宁柄生宾友平黄聪阮笑李正蔡芸张桂娇张妮覃运会贺一多赵文艳李忠胜罗金花刘海生梁永正岑祝喜吴丽仙黄玲吴俊豪沈鸾凤韦秋兰刘海黄昆茂施桂婷卢勉免梁晓婷钟明娟毛兆永李俊宁覃君丽张乐祥马丽黄泽攀李升位杜有财苏燕飘周正李雪萍邓丽梅王文广冯道森信息工程系:张云炜闭海燕陈家梯彭静黄珍周宏唐咪咪全晓琳黄凯峰杨超莲黄朵金黎倩雪李国荣花育樊凌娇欧阳冰袁美黄贵海李中灿王道真骆之杰张婷陆建迪王湖丹梁辉荣覃丽金陆威州苏兰唐建贤黄俊元罗玉梅夏国祖王松芬陈荣雄钟秋英黎臻张湖枝梁秋萍韦三久戴宇朋银力宏余传洲陆志增莫锐妮欧晓玉覃唐华唐春桃袁丽清卢汉容梁春利陆利霞何月新林岭庞志锋农丽萍吴丽榜杨胜珍林传凯李泳潮林俊兴朱香兰吕延学艾耕民吴荣国梁兴巍黄兵杨妮周鹏李军权陈欣罗彩郡陈仕赵文壮胡飞飞梁云玲白长坤赵赟陆胜钟贤波戴金言谭现中杨钊光劳安陈小芳吕春丽陈升俊覃祥翠李小光黄敏源苏翠芳马积超黎家良梁钢林锋黄坚梁世炎赵田李叶红黄天任覃统叶海连潘春晓陈华军黎春成范然珏王斯魁艺术设计系:蒙高宗林家永梁安乾韦凌峰苏晓宇郑跃张玲霞秦茜黄燕吴晓霞施康华卿华班定龙阮志坚唐宇键邱继秀张丽勇张艳菊谢飞谭瑜毛宁锋周中梅黄鼎鑫陈小霞廖梦娟庞玉婷何娟连邓爱莎周小诗周婷婷曾丽燕韦爱华陈彩莲秦彩玲陈伟佳侯植元陈信光崔健军蒋林芳杨会群潘映霞王敏石英彭江南陈继明罗康志蔡璧钟赵佳才张琼云谭斯华韦重重代丽燕王柳思谢宏标赖誉升冯丽梅邓先旺孙家慧黄红艳吴德淼陈美池罗朝梁福圆黄海珍韦珍远李梦莹钟柳青郑兰玉习槐首妙姣覃宇薰赵晓莲杜朝芬蒋青青蒋钦科陈寿春黄焕原周兰郑莉陈曲黄佰强吴代斌聂勇文婷覃松玲黄丽李翠华吴芝蓉黄智香吴艳秀余国燕叶岸连龙文廖丹覃芸音乐系:黎君李冠臻王燕飞韩孝国黄阁礼何玉兰郭敏庞贤玲刘柳娇李巧云李建成韦雅玲梁锦清二等国家助学金电子电气系:张大忠唐贵龙周勇伟罗仁勇韦海鸿罗新佳邱德志雷兰兰刘欢蓝必照韦世雄伍业安顾雄谋陈沂标海瀛洲蒋德华黎俊峰王月剑朱子州覃梁桂梁天兴姚会旋梁达耀覃龙潘如有严毅卢尚河彭章覃应机张世荣唐龙艳刘沛瓒郑元兵朱钱佳黄红英潘颖王军王贽帆张桂洪宾艳婷黎金水关艳丽张晓玲覃慧欢农进有杨闰业张重慧陈凤陈成勇周壮林胡鸿安伍赟郭宽梁广燊黄志强韦总佳邱冬梅陆全盘严新邦黎永凡黎高甫黄鸿章蓝应香孙姣周春昆甘福达马天翔林飞陆干茂罗德珅刘英秀潘荥节罗琼丽覃小颜黄志强唐钦龙黄源海黄进权张永洲张轩覃发美徐江永蓝友陈敏莫乃霖张春辉韦林伟覃振军魏山波吕海林罗露黄秋玲李水清邓月华郑国春韦生兴李智涛曾晓庆陈良银黄增华白建深梁峰江春雨杨业凤吴文强徐燕春韦建力刘泽剑韦祖阳赖梁军黄家福韦芸蒙军海唐弟旺汤恩晨梁奎曾靖丝黎恒贵黄炳康唐海银何远良吴世泽冯倍源易锦龙陈军黎鲜梅陈国义刘海妹张能梅甘建飞覃乾玲贤晓娜陶献霞魏书朵林金海李品娜梁凤梅杨森黄祖才覃志旺韦尚衍唐剑锋宾丽娟郑维峰覃媛媛赵鹏徐邦国徐积财刘达益何世才杨祈武文雅基邓群帮李广琼陈世炎曾小丽王日建刘万锦周克营方圣海刘深何显宁谈杰吴国祯唐壬甫陈贤俊韦立杰梁文彪刘洲王胜森韦金城秦榕韩袁起雄唐宁黄义剑黄奇舟吴瑞斌杨秀明刘颖陈功异梁健申富端刘利佳罗孔玲周艳华谢树茂刘勇符砾红罗进声张仲宽梁淑娟莫崇斌彭淑平唐天樟黄桂华尹崇勋黄晓敏王庭辉李慧韦洁枝李春红曾令添莫现荣蒙爱婷林春梅潘玮玮覃利慧李丹丽张娟美龙永吉李琴李林贝韦家国罗春萍潘凤黄锦红韦宏己宁钇钙谢斌李羚韦喜娜温宗蔚卢运桂刘力侦黄雅雄何枫刘建佳刘家仁蓝帼英范玉珍黎剑机电工程系:黄世优阳国建卢达永韦明安俞东雁罗艺才蒙耀覃仕珍张孝军蒲斌韦忠华秦立华韦国师甘超锋赵海东吴达成曾璇梁福威罗雄杰何明强黄真海陈泽生潘道观韦家林扈钧覃毅潘侣英何雪花黎二舞陈柳兵李士杰莫斌陆海施胡仕勇梁世界古国名梁甲进赵道谋李彩英苏金霞黄权锋卢启凯伍家毅覃群谢远宁李朝斌蒋尚廷梁健勇宁建球黄一洲潘杰黄民敏周文祥蓝柳圯覃少静彭伟钊吴园园劳承南宾晓冰蒋裕军李华磨忠才黎艳素黄容韩雁青莫贵意詹善裕韦龙周梁祖远覃小崖覃彩荣李琛秦黎曾秋玲苏家进潘全滕发远张楠黄妹芳吴思旭霍俊龙李梓靖周黎云李忠义胡桂云罗实梁宗炜黄建华韦修听廖瑞安高阳鸿周正广黄乙珊陆青林邹福来龙现梅周露生黎海农晓妮莫良培黄广海丘欢邓键铃李金玉张华军易良辉姚勇求何亚国李发强黄超庞进辉胡井源胡玉明莫伟强苏莎张泽婷庞冠华韦永提韦丽婷冉秀洪甘昭名周贤俩石鹏云磨现端唐龙刘立伟姚贵辉钱垒钟江刘金良黎冠军余才奇黄权龙吴继亮梁育诚陈胜广姚玉儒陈俊江谢忠汛李伟健廖祥东梁琦黄显兵石凤和玉大胜周永付刘华志黄立庭杨占生韦永创黄权石韶杰陆芝威詹武魁张恒高君名赵泽荣刘德浩郑义城陈安李春石鼎姚莹武陈强庞广华黄晓贝罗誉文陈飞龙李松林宾海宇刘显森庞原王杰良玉蓝华林健勇解奎良黄超斌林益振廖祖洛温林艺陈勇丘鸿覃鸿梁耀辉冉启旋高继杰石慧李光生朱嗣贵白洪波韦峰卢志锋莫海涛钟昌振钟玉雪陶成石谭晓林黄友植裴明邱盛全钟星楼冯金理唐崇松陈荣华黄秀青韦沐江陈波黄吉伟唐华宗罗福祥周斌杨燕龙梁朝忠邓建敏雷达创莫晓明李坚业杨亮业谢继强朱日东雷振瑶覃宇钊覃梦辉罗广荣宁标吕伟妮李继鑫黄玉珍王耀军蒋理名王维文黄天才彭建华李勇件薛玲唐嗣开谢业富彭桦杨秋昌朱家成覃美妙梁荣耀李彬李文盈王庆华谢健任洪王书超丘光照邓信宇韦镇光韦寿国覃春浪李勇吴波石忠对谢晋绍文信彪植发明秦法朋陈华胜苏文贤李静文陈金炎黄勋龙雷达安张成勇唐文西覃家勇唐柳萍陈跃玮黄舟强苏如宁黄祖胜李龙钟平杰邝华会梁世超唐辉荣莫伟华杜益豪梁露异杨德智邓忍进凌菊强中强陆淑青封杰源农献黎浩阳李斌曾景涛雷安中莫文基莫长华钟英鹏冯天颖黄英荣陈建云罗名深杨丰华林贵宏覃丰玉梁炳松黎余见许旋何荣光罗方庆党义荣覃南禄陆博陈家庆何雄壮彭海松姚振成周斌黄伟利周振松刘世源庞锰勇居晓丽覃祚健陈勇苏振鸾曹坚李广全钟海明邓海龙覃香兰蒙金凤颜小凤欧宝龙农海玲冼育东杨浩兰军孟兴文周泽敏何玲何庆韦欣蒋文文冯万培熊永冒黄华何义明沈家乐梁迪旭莫正钻罗浩黄昱富何长冰陈康德秦坚原敏修蒋林莫进勇吴信裕陈春生杨继深满建琦黄业发兰剑钟展黎有定覃焕海李发武温贵奖。
中共青岛农业大学委员会学生工作部青岛农业大学学生工作处青农大学工发(2009)27号关于做好2009年国家奖学金、国家励志奖学金、省政府奖学金、国家助学金评定工作的通知各学院党总支:2009年是国家新资助政策深入贯彻落实的关键一年,为认真、高效地做好我校2009年国家奖助学金评定工作,激励广大青年学生勤奋学习、努力进取,在德、智、体、美等方面全面发展,确保真正优秀的学生得到应有的承认和鼓励,真正家庭经济困难的学生得到适当资助,根据省政府《关于下达2009年省属高校奖助学金经费的通知》等文件精神,结合学校实际,现将我校2009年国家奖学金、国家励志奖学金、省政府奖学金和国家助学金的有关评定工作通知如下:一、评审对象1.国家奖学金和省政府奖学金的奖励对象为二年级以上(含二年级)的全日制本专科在校生中特别优秀的学生;2.国家励志奖学金的奖励对象为二年级以上(含二年级)的全日制本专科在校生中品学兼优的家庭经济困难学生; 文件3.国家助学金的资助对象为符合申请条件的全日制本专科在校生中家庭经济困难学生。
二、奖励数额及奖励标准1.国家奖学金奖励48名学生(本科46名,专科2名),奖励标准为每人每年8000元;2.省政府奖学金奖励16名学生,奖励标准为每人每年6000元;3.国家励志奖学金奖励657名学生,奖励标准为每人每年5000元;4.国家助学金资助3070名学生,平均资助标准为每生每年2000元,具体分为三档,1档1000元,2档2000元,3档3000元,本次只发放2009年后5个月助学金,剩余部分待省资助中心专项资金划拨到位后,再行发放。
三、发放形式以上各项奖助学金均以“划款”形式,由学校财务处一次性发放至获奖学生个人账户中。
四、申请条件1.国家奖学金及省政府奖学金的申请条件:(1)热爱社会主义祖国,拥护中国共产党的领导;(2)遵守宪法和法律,遵守学校规章制度;(3)诚实守信,道德品质优良;(4)在校期间学习成绩优秀,本学年被评为校“三好学生”,并获特等或一等专业奖学金;(5)在校期间积极参加学校组织的社会实践、科技创新等多项活动,综合素质特别优秀;(6)在校期间无违纪记录。
2011-2012学年软件学院国家奖学金、国家励志奖学金、国家助学金及四川大学学年奖学金、优生、优干评选推荐公示名单国家奖学金2009级(共6人)周劲松王珏王凯强彭靖雯耿朋施旭东2010级(共6人)贾贤艳杨佳颖袁静王小天王亦宁严志涛2011级(共6人)陈正海黄卫智黄小卉鲁亚男胡星杜东舫国家励志奖学金2009级(共14人)林孟王怡龙鹏卢鑫刘鑫冯庆邹飞胡竹青刘志伟张丽梦曾伟刘文浩李沅桐吴进2010级(共14人)杜日鹏张宇光胡麦芳张荣琴屈媛媛王雅婷王炳琛陈枝张昱馨李鹏飞赵赦杜伊李莹李声龙2011级(共15人)王启东邓婷秦华赟李朔冰黄顺婷胡智勇袁珂孔莉莉刘智威贺盼柏靖云李晓帅詹洋贺垚刘家豪国家助学金2009级一等助学金(10人)王建勇李明姚金柱徐霄朱伍洋崔振伟陈创欧阳潘义韩永涛杨竞男二等助学金(70人)宋梦玲张也陈显文冯洪松吴伟历林平唐发双毛安军戴桂婷吕浩陈杨谭锐王涛王栋蒋天宇方先兵韩来明刘丝丝宁望涛倪欲斌陈洋李莉闫远驰李梓瑜张磊马晓源孙江川符禹来邓深艺张丹刘飞陈玮郭美菊彭建雄王培鸿古玲李浩吴玉潘晓佩周炯苏馨雷勇裴丽缪洪伟杨家俊周炳先祁学文傅灵巫沅恒许哲魏诗云王鑫张成富孙云云王洁杨飞赵刚王琳王马龙杨策冯玉丹李洋陈刚李肖肖张尉邱志丽耿海霄袁刚黄朝鹏王莽三等助学金(10人)谷颖秦国舰杨屹吴小淋周晨王鸷朱浩君蒋俊宣张治骐陈慧玲2010级一等助学金(11人)余佳伟韩乔乔左强刘伟宇魏旭王金科张文静郭磊李广坡唐有财夏有新二等助学金(57人)严伟王珊珊杨丹尹邦杰林昌海张烨武泽伟赵鹤蒙春年李大帅王浩秦松张也杨超王彪高畅龚高峰唐军军冯江妹张力元赵长青郭铭玥刘俊文李旭涛蒲大维刘廷勋邱亚楠李帅杨波刘春刚王治民王柯唐朝红陈鲱陈广瑞郭南君李邦海秦亚芬岳海潮傅夏生王振国刘玉会林毅龙先建王耀婷李路遥包皓戈时金祥李松柏林吉昌郭萃母佳璐李亭杨敏杨万坤陈伟程雪梅(57个)三等助学金(32人)王丽男甘涛胡艳红杜胜军高艳梅刘晓威韩笑琳边宇坤王涛但孝禹郑宜龙崔勇谭焱李心雅郑雪娅徐海洋李婵庄政茂李文婷郑世佳李娟娟沈珊珊袁勤朱轩成韦广建康帅郭彪彪史红洋耿明谊杨培志吴林志曾嘉彦2011级一等助学金:(9人)李利娟刘旺敬峰沈津生王永清龙丽君殷小龙沈红颜廖宏先二等助学金:(72人)宫孟孟王飔刘龙龙叶明臻何炯涛杨达陈光辉李伟王鹏飞张若愚姚淑慧付年年尹卫杰孟蓉蓉杨翔陈小林李雪莉徐超刘怀忠徐何川胡柏松万梦玉曾扬陈健郭郁文刘娅马海生罗培任启玲黄硕陶菁徐国宏李镇侯艳华刘珊杨正春柴占惠周小燕左杰余军喻鸿飞李亚娥胡伟杨红苑恺杨都卢一兴李伟民余瀚游易铮王旭张洪伟邓舜之陈文杰沈智沈政左鑫田洪亮陈朝陈凯伦曾维萍蔡丁丁孙云田曾玲骆涛王兴刘艳张望郑艳梅伍志锡李林高林峰三等助学金:(9人)郑伟臧家华刘飞鹏马万腾李珺赵千王祎董晖周芳源2012级一等助学金(44人)李瑶张颖杨豪周修文李博喜郑晓华丁旭宁文潮向辉贾玉蛟郜丹丹颜文豪梅浩邓维佳王菁冯亮徐福泽何战旗马海兵郭勇羊欢邢益阳黄敏张鹏宇杨建兵王胜强汤臣薇申文帝魏光武张帅乾祁旭翔汪崇林曾杨冲汪义平王卓为王泽宇陈达宏尹明勇郝晨衍杨支岐李雨泽周先花陈朝辉李素萍二等助学金(23人)李肖何梦园矣晓秋徐奇刘美东周毅黄鹏吴杰杨浩黄建周友辉谢煦东谢凯丽孙恒向晓玲孙元杰陈琛张帅涂宇孙珊张帆周亭宇蒋凡三等助学金(17人)李嘉鑫关雅菁李斌贺浩闫佳博罗耀东胡豪潘东李鑫洁李佳明公杨博肖蓉陈韵同刘艺莲韦轩叶亚雅杨莹综合一等奖学金2009级(6人)周劲松王珏王凯强彭靖雯耿朋施旭东2010级(6人)贾贤艳杨佳颖袁静王小天王亦宁严志涛2011级(6人)陈正海黄卫智黄小卉鲁亚男胡星杜东舫综合二等奖学金2009级(13人)林孟王怡龙鹏卢鑫刘鑫欧阳潘义冯庆邹飞胡竹青刘志伟张丽梦曾伟刘文浩2010级(13人)杜日鹏张宇光胡麦芳张荣琴屈媛媛王雅婷王炳琛陈枝孙楠李鹏飞赵赦杜伊张昱馨2011级(14人)杜袁茵王启东邓婷秦华赟黄顺婷胡智勇姚淑慧袁珂朱宇轩孔莉莉许昕珑王雯鑫朱婷成柯葳综合三等奖学金2009级(30人)李沅桐吴进许哲徐霄林平贾宇舟詹彬彬李骏波李肖肖陈芳蓉张荣吴玉何启航陆伟潘晓佩刘娅何欣李佳卢世延吴超杨竞男杨林黄弘扬张东杰张丹侯新琦刘飞刘博刘晨光陈天2010级(30人)李莹李声龙印耶蓬石峰李璐翟宇鹏程雪梅徐倩影陈伟韩笑琳刘婷婷王丽男王碧茜郭娴王珊珊尹邦杰张也杨飞高艳梅王炀覃亚芬高畅郭铭玥曾嘉彦陈宇星冯梦佳傅夏生徐梦霖高冰妍郭远晴2011级(30人)贺盼柏靖云李晓帅詹洋贺垚刘家豪刘星张云尧汤泽涛张锐刘飞鹏李潇瑶喻鸿飞李康张雯张世西李亚娥叶明臻杨达李珺宫孟孟苑恺罗培邓盈沈津生刘利霞孟蓉蓉王祎任腾达邢世晗单项一等奖学金2009级(23人)李晓波姚钦文吕浩徐尉魏世琦杨策蒋佳良王建勇冯程张翔袁刚林帅刘雨辰谭健豪邱亮朱伍洋匡昊李思康苏程飞郑茜苏馨肖剑博杨洋2010级(23人)王浩曹慧斌王镜宇薛文韬李娟娟唐朝红钱贞峥王航杨露徐超陈广瑞沈玉娇郭磊李婧雯刘骄阳谢维柱刘晓威李婵支一晗赵学丹李炎武梁稳向珊2011级(23人)郭梦影万梦玉张一鸣郑艳梅周禹希张明庆李利娟张望林淑梦蔡丁丁胡伟郑翰成龚大东刘珊张子骄王成汉张若愚郭鑫宋廷龙陈光辉苏欣蒋丽君冯克单项二等奖学金2009级(40人)雷勇周炯韩来明邱迪崔振伟尤鑫李倩李明杨炼张尊庆韦怡侯浩然张衡波朱业丰黄进吴娇王宣李君王一丹欧阳嘉兰王上崔天赢张莫涵陈刚范哲铭陈创陈玮毛燕杰王栋戴桂婷耿海霄宋梦玲裴丽刘桓王宇张也唐发双孙浩楠谢韬孙江川2010级(40人)刘元辉赵怡江天宇林毅何涛李响李销陈书书洪扬李路遥张烨王耀婷邱亚楠张晓霞吴林志杨万坤杨梦媛赵伟杨培志张佳琪庄政茂付建勇赖清辉王强郑雪娅朱毅凡柴娜史雪莹陆泽超杨丹李思嘉龚高锋李松柏谭焱李蓝杨赵鹤韩乔乔夏有新耿明谊李晓同2011级(40人)罗睿恒杨文娟刘艳吕志华杨昭远田贝李雪莉王瑞文薛恩泽臧家华卢一兴蔡静文陶菁冯梦莹熊垚曾维萍杨红陈小林谢鹏陈睿琦吴佳盛李上伟李伟民曾玲张浩东徐何川邓舜之陈毅豪吴佳遥倪源江陈超张媛周芳源梁彦翰尹卫杰齐政浩余方姝刘兆阳赵玮琪毛森毅优秀学生2009级(24人)周劲松王珏王凯强彭靖雯耿朋施旭东林孟王怡龙鹏卢鑫刘鑫欧阳潘义冯庆邹飞胡竹青刘志伟张丽梦曾伟刘文浩李沅桐吴进许哲徐霄林平2010级(21人)薛文韬柴娜高畅王炀严志涛刘婷婷杜日鹏屈媛媛李声龙谢维柱赖清辉赵怡孙楠高冰妍印耶鹏邱亚楠尹邦杰江天宇朱毅凡杨露李蓝杨2011级(19人)叶明臻张世西李晓帅万梦玉曾扬成柯葳陈正海汤泽涛贺盼苑恺袁珂黄小卉杜袁茵李潇瑶尹卫杰朱宇轩朱婷王雯鑫邓婷优秀学生干部2009级(8人)张衡波刘晨光侯浩然张东杰杨洋韦怡潘晓佩戴桂婷2010级(12人)赵赦贾贤艳徐梦霖魏旭袁静程雪梅岳海潮张宇光王亦宁陈伟王小帅杨宝嵩2011级(15人)李伟,姚淑慧,李佳其,徐超,许昕珑,张媛,侯艳华,李珺,王锐,余瀚游,张洪伟,杨文娟,罗明东,王兴,余军。
学函〔2009〕32号学函〔2009〕32号关于做好2009年度国家奖助学金评审推荐工作的通知各学院:根据《普通本科高校、高等职业学校国家奖学金管理暂行办法》、《普通本科高校、高等职业学校国家励志奖学金管理暂行办法》、《普通本科高校、高等职业学校国家助学金管理暂行办法》以及10月19日上午收到教育部《关于2009年国家奖学金、国家励志奖学金和2009年秋季学期国家助学金名额及预算下达情况的说明的函》要求,结合我校实际,现就2009年度国家奖助学金评审推荐工作通知如下:一、评选范围、用途国家奖学金:用于奖励我校全日制本科二年级以上(含二年级)特别优秀的学生,本学年未获得校级以上社会捐助奖学金。
国家励志奖学金:用于奖励资助我校全日制本科二年级以上(含二年级)中品学兼优的家庭经济困难学生,本学年未获得校级以上社会捐助奖学金。
国家助学金:用于资助我校全日制本科学生中的家庭经济困难学生。
获得“西部开发助学工程”资助以及本学年获得各类社会捐助的助学金的学生除外。
二、评选种类、标准国家奖助学金分为国家奖学金、国家励志奖学金、国家助学金三种形式。
国家奖学金的奖励标准为每人每年8000元。
国家励志奖学金的奖励资助标准为每人每年5000元。
国家助学金以资助家庭经济困难学生的生活费用为目的,资助标准为每人每年2000元。
同一学年内,获得国家奖学金的家庭经济困难学生可以同时申请并获得国家助学金,但不能同时获得国家励志奖学金。
同一学年内,申请国家励志奖学金的学生可以同时申请并获得国家助学金,但不能同时获得国家奖学金。
三、国家奖学金的申请条件1、热爱社会主义祖国,拥护中国共产党的领导;2、自觉遵守宪法和法律,遵守学校各项规章制度,无违纪记录;3、诚实守信,道德品质优良;4、学习态度端正,学风严谨,成绩优秀,2008-2009学年学习成绩(包括必修课、选修课和限选课)优良率85%以上、无不及格科目,专业综合排名5%以内;5、身体健康,积极参加体育锻炼和文娱活动,体育成绩达标;讲究个人卫生和公共卫生,所在宿舍卫生达标;6、2008-2009学年两学期均获得二等以上(含二等)优秀学生奖学金;7、入学以来获得一次以上校“优秀学生”、“优秀学生干部”或“优秀团员”、“优秀团干部”等荣誉称号。