时间序列计量经济学
- 格式:pdf
- 大小:70.54 KB
- 文档页数:4
3.3时间序列分析3.3.1时间序列概述1.基本概念(1)一般概念:系统中某一变量的观测值按时间顺序(时间间隔相同)排列成一个数值序列,展示研究对象在一定时期内的变动过程,从中寻找和分析事物的变化特征、发展趋势和规律。
它是系统中某一变量受其它各种因素影响的总结果。
(2)研究实质:通过处理预测目标本身的时间序列数据,获得事物随时间过程的演变特性与规律,进而预测事物的未来发展。
它不研究事物之间相互依存的因果关系。
(3)假设基础:惯性原则。
即在一定条件下,被预测事物的过去变化趋势会延续到未来。
暗示着历史数据存在着某些信息,利用它们可以解释与预测时间序列的现在和未来。
近大远小原理(时间越近的数据影响力越大)和无季节性、无趋势性、线性、常数方差等。
(4)研究意义:许多经济、金融、商业等方面的数据都是时间序列数据。
时间序列的预测和评估技术相对完善,其预测情景相对明确。
尤其关注预测目标可用数据的数量和质量,即时间序列的长度和预测的频率。
2.变动特点(1)趋势性:某个变量随着时间进展或自变量变化,呈现一种比较缓慢而长期的持续上升、下降、停留的同性质变动趋向,但变动幅度可能不等。
(2)周期性:某因素由于外部影响随着自然季节的交替出现高峰与低谷的规律。
(3)随机性:个别为随机变动,整体呈统计规律。
(4)综合性:实际变化情况一般是几种变动的叠加或组合。
预测时一般设法过滤除去不规则变动,突出反映趋势性和周期性变动。
3.特征识别认识时间序列所具有的变动特征,以便在系统预测时选择采用不同的方法。
(1)随机性:均匀分布、无规则分布,可能符合某统计分布。
(用因变量的散点图和直方图及其包含的正态分布检验随机性,大多数服从正态分布。
)(2)平稳性:样本序列的自相关函数在某一固定水平线附近摆动,即方差和数学期望稳定为常数。
样本序列的自相关函数只是时间间隔的函数,与时间起点无关。
其具有对称性,能反映平稳序列的周期性变化。
特征识别利用自相关函数ACF:ρk =γk/γ其中γk是y t的k阶自协方差,且ρ0=1、-1<ρk<1。
计量经济学试题时间序列模型与ARIMA模型时间序列是指按照时间顺序排列的一组数据。
在计量经济学中,时间序列分析是一种重要的研究方法,它可以帮助我们理解和预测经济现象的发展趋势。
本文将介绍时间序列模型以及其中的一种常用模型——自回归滑动平均移动平均自回归(ARIMA)模型。
一、时间序列模型的基本概念时间序列模型是根据时间序列数据的特点建立的数学模型。
它假设时间序列的变动是由多个因素引起的,这些因素可以是趋势、季节性、周期性等。
时间序列模型可以帮助我们从数据中分离出这些因素,以便更好地理解和预测未来的变动。
二、自回归滑动平均移动平均自回归(ARIMA)模型ARIMA模型是一种广泛应用于时间序列分析的模型,它结合了自回归(AR)模型、滑动平均(MA)模型和差分运算的方法。
ARIMA模型可以描述时间序列的自相关性、滞后差分的影响以及移动平均误差的影响。
ARIMA模型可以从以下三个方面描述一个时间序列:1. 自回归(AR)部分:用于描述过去时间点的观测值对当前值的影响,通过延迟观测值来预测当前值。
2. 差分(I)部分:通过对时间序列进行差分运算,可以消除其非平稳性,提高模型的拟合度和预测准确性。
3. 滑动平均(MA)部分:用于描述序列中随机波动的影响,通过滞后误差预测当前值。
ARIMA模型的表示方式为ARIMA(p, d, q),其中p表示自回归阶数,d表示差分阶数,q表示滑动平均阶数。
通过对历史数据的拟合,我们可以得到模型的参数估计,从而进行未来值的预测。
三、ARIMA模型的应用ARIMA模型在经济领域有广泛的应用,其中包括销售预测、股票价格预测、宏观经济指标预测等。
它通过分析历史数据中的规律性和趋势性,将其应用于未来的预测中。
ARIMA模型的建立和应用过程可以分为以下几个步骤:1. 数据收集和准备:收集相关的时间序列数据,并对其进行清洗和格式化,以便于后续的分析和建模。
2. 模型选择和拟合:通过计算模型选择准则(AIC、BIC等)来确定模型的阶数,并使用最小二乘法或极大似然法对模型进行参数估计。
时间序列计量经济学模型概述时间序列计量经济学模型是在经济学研究中广泛使用的一种方法,用于分析经济变量随时间的变化。
该模型基于时间序列数据,即经济变量在一段时间内的观测值。
时间序列计量经济学模型的核心是建立经济变量之间的关系,以解释和预测经济现象的变化。
其中最常用的模型是自回归移动平均模型(ARMA)、自回归条件异方差模型(ARCH)和季节性时间序列模型。
自回归移动平均模型(ARMA)是一个包含自回归项和移动平均项的线性模型。
该模型以过去的观测值和随机项为输入,预测当前观测值。
ARMA模型基于假设,即经济变量的行为受到历史观测值的影响。
自回归条件异方差模型(ARCH)是一种考虑了随时间变化方差的模型。
该模型通过引入一个条件异方差项,模拟经济变量中的波动性。
ARCH模型的应用范围广泛,特别是在金融市场波动性分析中。
季节性时间序列模型用于分析具有明显季节性特征的经济变量,如销售额、就业人数等。
这些模型通常基于季节、趋势和随机成分的组合,以预测未来观测值。
在建立时间序列计量经济学模型时,常常需要进行模型识别、参数估计和模型诊断等步骤。
识别模型的目标是确定适当的模型结构,参数估计则是利用历史数据估计模型的参数值。
模型诊断用于检验模型的拟合程度和误差分布是否符合模型假设。
时间序列计量经济学模型在经济研究中有广泛的应用,例如预测未来经济指标、分析经济周期和波动性、评估政策效果等。
它提供了一种量化的方法,使经济学家可以更好地理解和解释经济变量的演变。
时间序列计量经济学模型是经济学研究中一种重要的统计工具,广泛应用于宏观经济、金融市场和企业经营等领域。
它可以帮助我们理解和解释经济变量随时间的变化规律,进行预测和政策分析。
本文将进一步探讨时间序列计量经济学模型的相关概念和应用。
在构建时间序列计量经济学模型之前,首先需要了解时间序列数据的特点。
时间序列数据是按照时间顺序排列的一系列观测值,通常具有趋势性、季节性、周期性和随机性等特征。
计量经济学中的时间序列是指按照时间顺序排列的一系列数据,这些数据可以是同一指标在不同时间点的观测值,也可以是多个指标在不同时间点的观测值组合。
时间序列数据的分析主要涉及两个方面:一是数据平稳性检验,二是数据建模与分析。
数据平稳性检验是时间序列分析中非常重要的一个步骤。
平稳性是指时间序列数据的统计特性不随时间推移而发生变化。
如果数据不满足平稳性条件,那么传统的回归分析方法可能会出现问题。
因此,在利用回归分析方法讨论经济变量有意义的经济关系之前,必须对经济变量时间序列的平稳性与非平稳性进行判断。
如果数据是非平稳的,可能需要采用适当的处理方法,如差分、对数转换等,使其满足平稳性条件。
在数据平稳性检验通过后,接下来需要进行数据建模与分析。
在计量经济学中,自回归模型(AR模型)是一种常用的时间序列模型。
自回归模型是统计上一种处理时间序列的方法,它用同一变数例如x 的之前各期,亦即x 1至x t-1来预测本期x t的表现,并假设它们为一线性关系。
除了自回归模型外,还有其他的模型可用于时间序列分析,如移动平均模型(MA模型)、自回归移动平均模型(ARMA模型)等。
这些模型的参数估计与假设检验方法也是计量经济学中研究的重点内容之一。
总之,计量经济学中的时间序列分析是一个相对独立且完整的领域,它为经济学、金融学等领域的研究提供了重要的方法论支持和实践指导。
第八章 时间序列计量经济学建模简介第一节 时间序列计量经济学模型的基本概念 一、时间序列计量经济学的发展趋势1、上个世纪70年代中期世界复杂的经济格局对计量经济学方法的挑战。
计量经济学模型的主要应用之一就是经济预测,而且早年计量经济学就是通过利用模型的短期预测发展起来的。
在上个世纪50——60年代西方国家经济预测中不乏成功的实例。
但是,进入20世纪70年代以后,人们对计量经济学模型提出了质疑,表现在1973年和1979年,各种计量经济学模型都无法预测到“石油危机”对经济会造成什么影响(尽管当时能够对石油危机提出预报)。
2、传统计量经济学方法存在的主要问题。
传统计量经济学模型是以模拟历史、从已经发生的经济活动中找出变化规律的主要技术手段。
而对于非稳定发展的经济过程和缺乏规范行为理论的经济活动,传统计量经济学模型就显得无能为力。
同时,现实经济活动愈来愈复杂多变,对于社会经济的发展、体制的变迁、技术的创新,要用具有一定的计量经济学或动态多元非线性方程组对其加以描述并非易事。
因此,人们认为传统计量经济学的弱点是过分依赖先验理论,这种弱点一方面表现为缺乏动态的信息反馈;另一方面是所获得的理论与样本数据间满意的吻合结果往往要凭借建模者的艺术。
3、80年代初提出了与传统计量经济学完全不同的建模方法。
最初由萨甘(Sargan ,1964)提出,后经亨德里-安德森(Hendry-Anderson ,1977)和戴维森(Davidson ,1977)进一步完善的误差修正模型,以及由格兰杰(C.W.J.Granger ,1981)提出的协整理论,最终产生了Hendry 的“由一般到特殊”的建模方法。
时间序列的类型: (1)按时间是否连续分为一是离散型的随机过程或时间序列;二是连续型的随机过程或时间序列。
本章主要研究离散时间序列,并用t Y 或t X 表示。
对于连续时间序列,可通过等间隔采样使之转化为离散时间序列后加以研究。
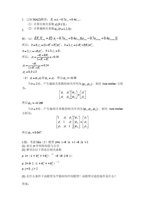
1. 已知MA(2)模型:120.70.4t t t t X εεε--=-+,2.(1)计算自相关系数(1)k k ρ≥;(2)计算偏相关系数(1,2,3)kk k ϕ=;解:(1)1212[0.70.4)(0.70.4)]t t k t t t t k t k t k EX X E εεεεεε--------=-+-+(所以:2220120,(1)k εγθθσ==++,211121,(),k εγθθθσ==-+2122,k εγθσ==-,3,0k k γ≥=,所以:112122120.591θθθρθθ-+==-++2222120.241θρθθ-==++0,3k k ρ=≥(2)1110ρϕρ=即111ϕρ=,所以110.59ϕ≈-当2k =时,产生偏相关系数的相关序列为2122{,}ϕϕ,相应Yule-Wolker 方程为:0121110222ρρϕρρρϕρ⎡⎤⎡⎤⎡⎤=⎢⎥⎢⎥⎢⎥⎣⎦⎣⎦⎣⎦ 所以220.166ϕ≈-当3k =时,产生偏相关系数的相关序列为313233{,,}ϕϕϕ,相应Yule-Wolker 方程为:123111132221333111ρρϕρρρϕρρρϕρ⎡⎤⎡⎤⎡⎤⎢⎥⎢⎥⎢⎥=⎢⎥⎢⎥⎢⎥⎢⎥⎢⎥⎢⎥⎣⎦⎣⎦⎣⎦所以330.047ϕ≈2.题:考虑MA (2)模型yt=εt –θ1εt-1 –θ2εt-2(1) 求出yt 序列的均值与方差(2) 推导出以下理论自相关函数 ρ1=(1+θ12++θ22)−1(θ1θ2-θ1)ρ2=-θ2(1+θ12++θ22)−1ρj = 0 , j > 2(3) 在什么条件下该模型为平稳时间序列模型?该模型可逆的条件是什么?答案:(1)μ=E (yt )=E (εt –θ1εt-1 –θ2εt-2)= 0 σy 2= E (yt−μ)2= E(εt –θ1εt-1 –θ2εt-2)(εt –θ1εt-1 –θ2εt-2) =(1+θ12+θ22) E (εt 2) =(1+θ12+θ22)σε2(2)γ0=E(ytyt )= E(εt –θ1εt-1 –θ2εt-2)(εt –θ1εt-1 –θ2εt-2) =(1+θ12+θ22)σε2γ1=E(ytyt −1) = E(εt –θ1εt-1 –θ2εt-2)(εt-1–θ1εt-2 –θ2εt-3) =(θ1θ2-θ1)σε2γ2=E(ytyt −2) = E(εt –θ1εt-1 –θ2εt-2)(εt-1–θ1εt-23–θ2εt-4) =-θ2σε2所以,ρ1=γ1/γ0=(1+θ12++θ22)−1(θ1θ2-θ1) ρ2=γ2/γ0=-θ2(1+θ12++θ22)−1(3)该模型在任何情况下都是平稳的,因为其右边是一系列的白噪音过程的叠加。
时间序列计量经济学模型的理论与方法时间序列计量经济学是经济学中的一个重要分支,它研究的是时间序列数据之间的经济关系。
它利用统计学和经济学方法对时间序列数据进行建模和分析,从而揭示经济变量之间的内在规律和相互影响关系。
本文将介绍时间序列计量经济学模型的理论基础和应用方法。
时间序列经济学的理论基础主要包括回归分析、ARMA模型、ARIMA模型和VAR模型等。
首先是回归分析,它是经济学中最基本的分析方法。
回归分析通过线性回归方程描述了因变量和自变量之间的线性关系,并利用最小二乘法进行参数估计。
回归分析不仅可以研究截面数据的关系,还可以研究时间序列数据的动态关系。
其次是ARMA模型,它是自回归移动平均模型的简称。
ARMA模型假设时间序列数据可以由过去的自身值和随机误差表示,具有自相关和滞后效应。
通过对ARMA模型的参数估计,可以得到时间序列数据的预测值和其它统计性质。
再次是ARIMA模型,它是自回归积分移动平均模型的简称。
ARIMA模型在ARMA模型的基础上引入了差分运算,可以处理非平稳时间序列数据。
最后是VAR模型,它是向量自回归模型的简称。
VAR模型将多个时间序列变量作为回归自变量,可以同时估计它们之间的相互关系。
时间序列计量经济学的方法主要分为描述性分析、参数估计和模型选择三个阶段。
首先是描述性分析,它通过绘制时间序列图、计算统计量和做周期性分析等方法,来探索和描述时间序列数据的特征。
其次是参数估计,它是时间序列计量经济学的核心内容。
参数估计的目标是确定模型中的参数值,通常采用最大似然估计、广义最小二乘估计和贝叶斯估计等方法。
最后是模型选择,它是根据数据的特征和模型的拟合程度来选择合适的模型。
常用的模型选择准则包括赤池信息准则(AIC)、贝叶斯信息准则(BIC)和R平方等。
时间序列计量经济学模型的应用范围非常广泛,可以用于宏观经济预测、金融市场分析、企业经营决策等方面。
在宏观经济预测中,时间序列计量经济学模型可以通过对经济指标的预测,揭示经济增长趋势和周期性波动的规律,帮助政府和企业制定经济政策和战略。