高等数学基础作业1、2、3、4
- 格式:docx
- 大小:666.72 KB
- 文档页数:20
20春《高等数学(本)》作业_1一、单选题( 每题4分, 共15道小题, 总分值60分)1.(4分) 答:D q:80 -- 500 -- 92612.级数(k>0)()(4分)A. 发散B. 绝对收敛C. 条件收敛D. 敛散性与k相关答:B3.下列级数中一定收敛的是()(4分)A.B.C.D.答:A4.(4分)答:A5.(4分)答:C6.设,则()(4分)A.B.C.D.答:A7.在点处函数的全微分存在的充分条件为()(4分)A. 的全部二阶偏导数均存在B. 连续C. 的全部一阶偏导数均连续D. 连续且均存在答:C8.二元函数的各偏导数存在是全微分存在的()(4分)A. 充要条件B. 必要条件C. 充分条件D. 无关条件答:B9.(4分)答:C10.微分方程是()(4分)A. 一阶线性方程B. 一阶齐次方程C. 可分离变量方程D. 二阶微分方程答:B11.(4分)12.(4分)13.满足的特解是()(4分)A.B.C.D.14.(4分)15.(4分)二、判断题( 每题4分, 共10道小题, 总分值40分)1.设,则48。
(4分)2.函数在点处连续。
(4分)3.幂级数的收敛域是收敛区间可能再加上端点。
(4分)4.,、具有二阶偏导数,则。
(4分)5.的通解是。
(4分)6.若函数在有界闭区域上连续,则二重积分存在。
(4分)7.函数在点处取得极小值零。
(4分)8.方程所确定的隐函数对的偏导数。
(4分)9.如果函数的两个二阶混合偏导数连续,则它们一定相等。
(4分)10.的收敛区域为。
(4分)20春《高等数学(本)》作业_2一、单选题( 每题4分, 共15道小题, 总分值60分)1.(4分)2.(4分)3.(4分)4.两个非零矢量与相互垂直的充要条件是()(4分)A.B.C.D.5.(4分)6.(4分)7.(4分)8.设则在极坐标系下=()(4分)A.B.C.D.9.(4分)10.(4分)11.(4分)12.(4分)13.满足初始条件的特解的是()(4分)A.B.C.D.14.设D:=()(4分)A.B.C.D.15.(4分)二、判断题( 每题4分, 共10道小题, 总分值40分)1.对于多元函数而言,偏导数存在则一定可微。
高等数学作业题(一)第一章 函数1、填空题(1)函数1142-+-=x x y 的定义域是 2、选择题(1)下列函数是初等函数的是( )。
A.3sin -=x y B.1sin -=x y C.⎪⎩⎪⎨⎧=≠--=1,01,112x x x x yD. ⎩⎨⎧≥<+=0,0,1x x x x y (2)xy 1sin =在定义域内是( )。
A. 单调函数 B. 周期函数 C. 无界函数 D. 有界函数3、求函数2)1ln(++-=x x y 的定义域4、设,1)(2+-=x x x f 计算xf x f ∆-∆+)2()2(5、要做一个容积为250立方米的无盖圆柱体蓄水池,已知池底单位造价为池壁单位造价的两倍,设池底单位造价为a 元,试将总造价表示为底半径的函数。
6、把一个圆形铁片,自中心处剪去中心角为α的一扇形后,围成一个无底圆锥,试将此圆锥体积表达成α的函数。
第二章 极限与连续1、填空题(1)32+=x y 的间断点是 (2)0=x 是函数x x y +=1的第 类间断点。
(3)若极限a x f x =∞→)(lim 存在,则称直线a y =为曲线=y ()x f 的 渐近线。
(4)有界函数与无穷小的乘积是(5)当0→x ,函数x 3sin 与x 是 无穷小。
(6)xx x 1)21(lim 0+→= (7)若一个数列{}n x ,当n 时,无限接近于某一个常数a ,则称a 为数列{}n x 的极限。
(8)若存在实数0>M ,使得对于任何的R x ∈,都有()M x f <,且()0lim 0=→x g x , 则()()=→x g x f x 0lim (9)设x y 3sin =,则=''y(10) x x x)211(lim -∞→=2、选择题(1)xx x sin lim 0→的值为( )。
A.1 B.∞ C.不存在 D.0 (2)当x →0时,与3100x x +等价的无穷小量是( )。
高等数学基础第一次作业第1章 函数第2章 极限与连续(一) 单项选择题⒈下列各函数对中,(C )中的两个函数相等.A. 2)()(x x f =,x x g =)( B. 2)(x x f =,x x g =)(C. 3ln )(x x f =,x x g ln 3)(= D. 1)(+=x x f ,11)(2--=x x x g分析:判断函数相等的两个条件(1)对应法则相同(2)定义域相同A 、2()f x x ==,定义域{}|0x x ≥;x x g =)(,定义域为R定义域不同,所以函数不相等;B 、()f x x ==,x x g =)(对应法则不同,所以函数不相等;C 、3()ln 3ln f x x x ==,定义域为{}|0x x >,x x g ln 3)(=,定义域为{}|0x x > 所以两个函数相等D 、1)(+=x x f ,定义域为R ;21()11x g x x x -==+-,定义域为{}|,1x x R x ∈≠ 定义域不同,所以两函数不等。
故选C⒉设函数)(x f 的定义域为),(+∞-∞,则函数)()(x f x f -+的图形关于(C )对称. A. 坐标原点 B. x 轴 C. y 轴 D. x y = 分析:奇函数,()()f x f x -=-,关于原点对称偶函数,()()f x f x -=,关于y 轴对称()y f x =与它的反函数()1y f x -=关于y x =对称,奇函数与偶函数的前提是定义域关于原点对称设()()()g x f x f x =+-,则()()()()g x f x f x g x -=-+= 所以()()()g x f x f x =+-为偶函数,即图形关于y 轴对称故选C⒊下列函数中为奇函数是(B ).A. )1ln(2x y += B. x x y cos =C. 2xx a a y -+= D. )1ln(x y +=分析:A 、()()()()22ln(1)ln 1y x x xy x -=+-=+=,为偶函数B 、()()()cos cos y x x x x x y x -=--=-=-,为奇函数 或者x 为奇函数,cosx 为偶函数,奇偶函数乘积仍为奇函数C 、()()2x xa a y x y x -+-==,所以为偶函数 D 、()ln(1)y x x -=-,非奇非偶函数故选B⒋下列函数中为基本初等函数是(C ). A. 1+=x y B. x y -= C. 2xy = D. ⎩⎨⎧≥<-=0,10,1x x y 分析:六种基本初等函数(1) y c =(常值)———常值函数(2) ,y x αα=为常数——幂函数 (3) ()0,1x y a a a =>≠———指数函数 (4) ()log 0,1a y x a a =>≠———对数函数(5) sin ,cos ,tan ,cot y x y x y x y x ====——三角函数(6) [][]sin ,1,1,cos ,1,1,tan ,cot y arc x y arc x y arc x y arc x=-=-==——反三角函数分段函数不是基本初等函数,故D 选项不对 对照比较选C⒌下列极限存计算不正确的是(D ).A. 12lim 22=+∞→x x x B. 0)1ln(lim 0=+→x x C. 0sin lim =∞→x x x D. 01sin lim =∞→xx x分析:A 、已知()1lim 00n x n x→∞=>2222222211lim lim lim 1222101x x x x x x x x x x x →∞→∞→∞====++++ B 、0limln(1)ln(10)0x x →+=+=初等函数在期定义域内是连续的C 、sin 1limlim sin 0x x x x xx →∞→∞==x →∞时,1x是无穷小量,sin x 是有界函数,无穷小量×有界函数仍是无穷小量D 、1sin1lim sin lim1x x x x x x→∞→∞=,令10,t x x =→→∞,则原式0sin lim 1t t t →== 故选D⒍当0→x 时,变量(C )是无穷小量. A.x x sin B. x1C. xx 1sinD. 2)ln(+x 分析;()lim 0x af x →=,则称()f x 为x a →时的无穷小量A 、0sin lim1x xx →=,重要极限B 、01lim x x→=∞,无穷大量C 、01lim sin 0x x x →=,无穷小量x ×有界函数1sin x 仍为无穷小量D 、()0limln(2)=ln 0+2ln 2x x →+=故选C⒎若函数)(x f 在点0x 满足(A ),则)(x f 在点0x 连续。
⾼等数学基础形成性作业及答案1-4⾼等数学基础形考作业1:第1章函数第2章极限与连续(⼀)单项选择题⒈下列各函数对中,(C )中的两个函数相等. A.2)()(x x f =,x x g =)( B. 2)(x x f =,x x g =)(C.3ln )(xx f =,x x g ln 3)(= D.1)(+=x x f ,11)(2--=x x x g ⒉设函数)(x f 的定义域为),(+∞-∞,则函数)()(x f x f -+的图形关于(C )对称.A. 坐标原点B. x 轴C. y 轴D.x y =⒊下列函数中为奇函数是(B ). A.)1ln(2x y += B. x x y cos =C.2x x a a y -+=D.)1ln(x y +=⒋下列函数中为基本初等函数是(C ). A.1+=x y B. x y -=C.2xy = D.,1x x y ⒌下列极限存计算不正确的是(D ). A.12lim 22=+∞→x x x B. 0)1ln(lim 0=+→x xC. 0sin lim=∞→x x x D. 01sin lim =∞→x x x⒍当0→x 时,变量(C )是⽆穷⼩量.A. x x sinB. x 1C. xx 1sin D. 2)ln(+x⒎若函数)(x f 在点0x 满⾜(A ),则)(x f 在点0x 连续。
A.)()(lim 00x f x f x x =→ B. )(x f 在点0x 的某个邻域内有定义C.)()(lim 00x f x f x x =+→ D. )(lim )(lim 0x f x f x x x x -+→→=(⼆)填空题⒈函数)1ln(39)(2x x x x f ++--=的定义域是()+∞,3.⒉已知函数x x x f +=+2)1(,则=)(x f x 2-x .⒊=+∞→xx x0,)1()(1x k x x x x f x ,在0=x 处连续,则=ke .⒌函数?≤>+=0,sin 0,1x x x x y 的间断点是0=x .⒍若A x f x x =→)(lim 0,则当0x x →时,A x f -)(称为时的⽆穷⼩量0x x →。
高等数学基础(19秋)形考作业4
1、
A 1,2
B 1,-1
C
D
我的得分:10分
我的答案:C
2、
我的得分:10分
我的答案:C
3、
A
B
C
D
我的得分:10分我的答案:D
4、
A ∞
B -∞
C 0
D
我的得分:10分我的答案:D
5、
A
B
C
D
我的得分:10分
我的答案:A
6、下列命题正确的是()
A 驻点一定是极值点
B 极值点一定是驻点
C 可导的极值点一定是驻点
D 不可导点一定不是极值点我的得分:10分
我的答案:C
7
A
B
C
D
我的得分:10分
我的答案:B
8、
A 与Δx 是等价的无穷小
B 与Δx 是同阶的无穷小
C 比Δx 低阶的无穷小
D 比Δx 高阶的无穷小
我的得分:10分
我的答案:C
9、
A 高阶无穷小
B 同阶无穷小,但不等价
C 低阶无穷小
D 等价无穷小
我的得分:10分我的答案:A
10、
A 1
B 2
C 3
D 4
我的得分:10分我的答案:C。
XXX《高数基础形考》1-4答案2020年XXX《高等数学答案》2020年XXX《高等数学》基础形考1-4答案,高等数学基础作业一第1章函数,第2章极限与连续。
一)单项选择题1.下列各函数对中,(C)中的两个函数相等。
A。
f(x) = x^2.g(x) = xB。
f(x) = x^2.g(x) = x/(x^2 - 1)C。
f(x) = ln(x)。
g(x) = 3ln(x)D。
f(x) = x+1.g(x) = 3/(x-1)2.设函数f(x)的定义域为(-∞。
+∞),则函数f(x) + f(-x)的图形关于(C)对称。
A。
坐标原点B。
x轴C。
y轴D。
y=x3.下列函数中为奇函数是(B)。
A。
y=ln(1+x^2)B。
y=xcos(x)C。
y=ax+a^-xD。
y=ln(1+x)/24.下列函数中为基本初等函数是(C)。
A。
y=x+1B。
y=-xC。
y=x^2D。
y=|x|5.下列极限中计算不正确的是(D)。
A。
lim(x^2/(x^2+2x)) = 1B。
lim(ln(1+x)/x^2) = 0C。
lim(sin(x)/x) = 1D。
lim(xsin(1/x)) = 06.当x→0时,变量(C)是无穷小量。
A。
1/sin(x)B。
x/xC。
xsin(x)D。
ln(x+2)7.若函数f(x)在点x满足(A),则f(x)在点x连续。
A。
lim(x→x)(f(x) = f(x))B。
f(x)在点x的某个邻域内有定义C。
lim(x→x)(f(x) = f(x))D。
lim(x→x)(f(x)) = lim(x→x)(f(x))二)填空题1.函数f(x) = (x^2-9)/(x-3) + ln(1+x)的定义域是{x|x>3}。
2.已知函数f(x+1) = x^2 + x,则f(x) = x^2-x。
3.lim(x→∞)((1+x)/(2x))^x = e^(1/2)。
4.若函数f(x) = {x(1+x)。
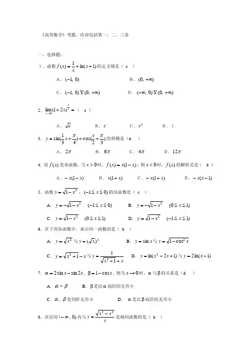
《高等数学》考题,内容包括第一、二、三章一、选择题: 1.函数)1ln(1)(++=x xx f 的定义域是( c ) A.)0,1(- B.),0(+∞C.),0()0,1(+∞- D.),0()0,(+∞-∞2.=+→x x x 1)21(lim ( c ) A.e B.e C.2e D.13.)32cos()431sin(ππ+++=x x y 的周期是(d ) A.π2 B.π6 C.π4 D.π124.设)(x f 是奇函数,当0>x 时,)1()(x x x f -=,则0<x 时,)(x f 的解析式是( b )A.)1(x x -- B.)1(x x + C.)1(x x +- D.)1(--x x5.函数21x y -=,)01(≤≤-x 的反函数是( c )A .21x y --= )01(≤≤-xB .21x y --= )10(≤≤xC .21x y -= )10(≤≤xD .21x y -= )11(≤≤-x6.在下列各函数中,表示同一函数的是( b )A .2x y =与2)(x y =B .x y sin =与x y 2cos 1-=C .x x y -+=12与xx y ++=112 D .)12ln(2+-=x x y 与)1ln(2-=x y 7.x x 2sin sin 2-=α, x cos 1-=β, 则当0→x 时,α与β的关系是(d )A .βα~B .β是比α高阶的无穷小C .βα,是同阶无穷小D . α是比β高阶的无穷小 8.在区间)0,∞-(内与xx x y 32-=是相同函数的是( b )A .x -1B .x --1C .1--xD .1-x9.设)999()2)(1()(---=x x x x x f ,则=')0(f ( c )A .999B .999⨯999C .999!D .-999!10.若)(0x f '存在,则=∆∆--∆+→∆x x x f x x f x )()2(lim000( c ) A .)(0x f 'B .)(20x f 'C .)(30x f 'D .)(40x f ' 11.函数24121arcsinx x y -+-=的定义域是( d ) A .[-2, +2] B .[-1, 2] C .[-1, 2] D .(-1, 2)12.函数x x y --=22的图形( a )A .关于x 轴对称B .关于y 轴对称C .关于原点对称D .不是对称图形13.当0→x 时,下列式子是无穷小量的是( c )A .xx sin B .x x 1)1(+ C .x x 1sin 31 D .x 1sin 14.曲线x x y 33-=在点(2,2)处的法线方程为( b )A .)2(912-=-x y B .92091+-=x y C .9291+-=x y D .)2(92-=-x y15.x nx ex λ∞→lim (n 为自然数,0>λ)的极限是( b ) A .1 B .不存在 C .0 D .nλ1 16.x x f sin )(=在0=x 处的导数是( a )A .0B .2C .不存在D .117.当∞→n 时比21n 低价无穷小的应是以下中的( d ) A .21sin n B .35-n C .321n n + D .n18.下列函数中不是初等函数的有(d )A .x x y sin =B .x x y ++=)1log(2C .2cos 2arcsin x x y ⋅=D .x x sin 19.=⎪⎭⎫ ⎝⎛+→x x x x x 3sin 2sinlim 0( b ) A .0 B .3 C .5 D .220.函数x x x f -=3)(在[0, 3]上满足罗尔定理的=ζ( d )A .0B .3C .23D .2二、填空题(每小题4分,共20分)1.曲线2t x =, t y 2=在1=t 对应点处的切线方程是 y=x+1 。
高等数学基础第二次作业第3章 导数与微分(一)单项选择题⒈设0)0(=f 且极限x x f x )(lim 0→存在,则=→xx f x )(lim 0( ). A. )0(fB. )0(f 'C. )(x f 'D. 0⒉设)(x f 在0x 可导,则=--→h x f h x f h 2)()2(lim 000().A. )(20x f '-B. )(0x f 'C. )(20x f 'D. )(0x f '-⒊设x x f e )(=,则=∆-∆+→∆x f x f x )1()1(lim 0( ).A. eB. e 2C. e 21D. e 41⒋设)99()2)(1()(---=x x x x x f ,则=')0(f ( ).A. 99B. 99-C. !99D. !99-⒌下列结论中正确的是( ).A. 若)(x f 在点0x 有极限,则在点0x 可导.B. 若)(x f 在点0x 连续,则在点0x 可导.C. 若)(x f 在点0x 可导,则在点0x 有极限.D. 若)(x f 在点0x 有极限,则在点0x 连续.(二)填空题⒈设函数⎪⎩⎪⎨⎧=≠=0,00,1sin )(2x x x x x f ,则=')0(f . ⒉设x x x f e 5e )e (2+=,则=x x f d )(ln d . ⒊曲线1)(+=x x f 在)2,1(处的切线斜率是 . ⒋曲线x x f sin )(=在)1,2π(处的切线方程是 . ⒌设x x y 2=,则='y . ⒍设x x y ln =,则=''y .(三)计算题⒈求下列函数的导数y ': ⑴x x x y e )3(+=⑵x x x y ln cot 2+= ⑶x x y ln 2= ⑷32cos x x y x+= ⑸x x x y sin ln 2-=⑹x x x y ln sin 4-= ⑺x x x y 3sin 2+=⑻x x y x ln tan e +=⒉求下列函数的导数y ': ⑴x y e =⑵x y cos ln = ⑶x x x y =⑷x y 2sin =⑸2sin x y =⑹x y e cos =⑺nx x y n cos sin =⑻x y sin 5=⑼x y cos e =⒊在下列方程中,y y x =()是由方程确定的函数,求'y :⑴y x y 2e cos =⑵x y y ln cos = ⑶y x y x 2sin 2=⑷y x y ln +=⑸2e ln y x y =+⑹y y x sin e 12=+⑺3e e y x y -=⑻y x y 25+=⒋求下列函数的微分y d : ⑴x x y csc cot += ⑵xx y sin ln = ⑶x y e sin 2= ⑷3e tan x y =⒌求下列函数的二阶导数: ⑴x y =⑵x y 3=⑶x y ln =⑷x x y sin =(四)证明题设)(x f 是可导的奇函数,试证)(x f '是偶函数.。
高等数学基础模拟题一、单项选择题(每小题3分,本题共15分)1.设函数)(x f 的定义域为),(+∞-∞,则函数)()(x f x f --的图形关于(D )对称. (A)x y = (B)x 轴(C)y 轴 (D)坐标原点2.当0→x 时,变量(C )是无穷小量.(A)x 1 (B)x x sin(C)1e -x (D)2x x3.设x x f e )(=,则=∆-∆+→∆x f x f x )1()1(lim 0(B ).(A)e 2 (B)e(C)e 41 (D)e 21 4.=⎰x x xf x d )(d d 2( A ).(A))(2x xf (B)x x f d )(21 (C))(21x f (D)x x xf d )(2 5.下列无穷限积分收敛的是(B ).(A)⎰+∞0d e x x (B)⎰+∞-0d e x x (C)⎰+∞1d 1x x (D)⎰+∞1d 1x x 二、填空题(每小题3分,共15分)1.函数)1ln(92--=x x y 的定义域是 (1,2)U(2,3] .2.函数⎩⎨⎧≤>-=0sin 01x x x x y 的间断点是 X=0 .3.曲线1)(+=x x f 在)2,1(处的切线斜率是1/2.4.函数1)1(2++=x y 的单调减少区间是 (-∞,-1) .5.='⎰x x d )(sin sinx+c .三、计算题(每小题9分,共54分)1.计算极限xx x 5sin 6sin lim0→. 2.设22sin xx y x+=,求y '. 3.设x y e sin 2=,求.4.设是由方程y x y e cos =确定的函数,求.5.计算不定积分⎰x x x d 3cos . 6.计算定积分⎰+e1d ln 2x x x . 四、应用题(本题12分)圆柱体上底的中心到下底的边沿的距离为l ,问当底半径与高分别为多少时,圆柱体的体积最大?五、证明题(本题4分)当0>x 时,证明不等式x x arctan >.高等数学基础模拟题答案一、单项选择题(每小题3分,本题共15分)1.D2.C3.B4.A5.B二、填空题(每小题3分,本题共15分)1.]3,2()2,1(2.0=x3.21 4.)1,(--∞ 5.c x +sin 三、计算题(每小题6分,共54分)1.解:5655sin lim 66sin lim 5655sin 66sin 56lim 5sin 6sin lim 0000=⋅=⋅=→→→→xx x x x x x x x x x x x x 2.解:由导数四则运算法则得3.解:)e 2sin(e e cos e sin e 2xx x x x y =='4.解:等式两端求微分得左端y x x y x y d cos )(cos d )cos (d +==右端y y y d e )e (d ==由此得整理后得5.解:由分部积分法得6.解:由换元积分法得四、应用题(本题12分)解:如图所示,圆柱体高h 与底半径r 满足 222l r h =+圆柱体的体积公式为将222h l r -=代入得求导得令0='V 得l h 33=,并由此解出l r 36=.即当底半径l r 36=积最大.五、证明题(本题4分)证明:设x x x F arctan )(-=,则有2221111)(xx x x F +=+-=' 当0>x 时,0)(>'x F ,故)(x F 单调增加,所以当0>x 时有0)0()(=>F x F ,即不等式x x arctan >成立,证毕.高等数学基础练习题一、单项选择题:(每小题3分,共15分)1.设函数f (x )的定义域为),(+∞-∞,则函数f (x ))(x f --的图形关于()对称。
高等数学基础第一次作业第1章 函数第2章 极限与连续(一)单项选择题⒈下列各函数对中,( C )中的两个函数相等. A. 2)()(x x f =,x x g =)( B. 2)(x x f =,x x g =)(C. 3ln )(x x f =,x x g ln 3)(= D. 1)(+=x x f ,11)(2--=x x x g⒉设函数)(x f 的定义域为),(+∞-∞,则函数)()(x f x f -+的图形关于(C )对称.A. 坐标原点B. x 轴C. y 轴D. x y = ⒊下列函数中为奇函数是( B ).A. )1ln(2x y +=B. x x y cos =C. 2x x a a y -+= D. )1ln(x y +=⒋下列函数中为基本初等函数是(C ). A. 1+=x y B. x y -= C. 2xy = D. ⎩⎨⎧≥<-=0,10,1x x y ⒌下列极限存计算不正确的是( D ).A. 12lim 22=+∞→x x x B. 0)1ln(lim 0=+→x x C. 0sin lim=∞→x x x D. 01sin lim =∞→x x x ⒍当0→x 时,变量( C )是无穷小量.A. x x sinB. x 1C. xx 1sin D. 2)ln(+x⒎若函数)(x f 在点0x 满足( A ),则)(x f 在点0x 连续。
A. )()(lim 00x f x f x x =→ B. )(x f 在点0x 的某个邻域内有定义C. )()(lim 00x f x f x x =+→ D. )(lim )(lim 0x f x f x x x x -+→→=(二)填空题⒈函数)1ln(39)(2x x x x f ++--=的定义域是(3, +∞).⒉已知函数x x x f +=+2)1(,则=)(x f x 2 - x .⒊=+∞→x x x)211(lim e 1/ 2 .⒋若函数⎪⎩⎪⎨⎧≥+<+=0,0,)1()(1x k x x x x f x ,在0=x 处连续,则=k e .⒌函数⎩⎨⎧≤>+=0,sin 0,1x x x x y 的间断点是 x=0 .⒍若A x f x x =→)(lim 0,则当0x x →时,A x f -)(称为 无穷小量 .(三)计算题 ⒈设函数⎩⎨⎧≤>=0,0,e )(x x x x f x 求:)1(,)0(,)2(f f f -. 解:f(-2) = - 2,f(0) = 0, f(1) = e⒉求函数x x y 12lglg -=的定义域. 解:由012>-xx 解得x<0或x>1/2,函数定义域为(-∞,0)∪(1/2,+∞) ⒊在半径为R 的半圆内内接一梯形,试将梯形的面积表示成其高的函数. 解:如图梯形面积A=(R+b)h ,其中22h R b -=∴⒋求⒌求⒍求⒎求.⒏求 ⒐求⒑设函数 hh R R A )(22-+=2322sin 233sin 3lim 2sin 3sin lim 00==→→xx x xx x x x 2)1()1sin(1lim )1sin(1lim 121-=-++=+--→-→x x x x x x x 33cos 33sin 3lim 3tan lim 00==→→x xx x x x x xx x x x x x x sin )11()11)(11(lim sin 11lim 222020++-+++=-+→→0sin 11lim sin )11(1)1(lim 20220=++=++-+=→→xx x xx x x x x xx x x x x x x x x x )341(lim )343(lim )31(lim +-+=+-+=+-∞→∞→∞→43443)341(])341[(lim ---+∞→=+-+-+=e x x x x 32)4)(1()4)(2(lim 4586lim 4224=----=+-+-→→x x x x x x x x x x⎪⎩⎪⎨⎧-<+≤≤->-=1,111,1,)2()(2x x x x x x x f 讨论)(x f 的连续性,并写出其连续区间.解:∴函数在x=1处连续不存在,∴函数在x=-1处不连续高等数学基础第二次作业第3章 导数与微分(一)单项选择题⒈设0)0(=f 且极限x x f x )(lim0→存在,则=→xx f x )(lim0( B ). A. )0(f B. )0(f ' C. )(x f ' D. 0⒉设)(x f 在0x 可导,则=--→hx f h x f h 2)()2(lim000(D ). A. )(20x f '- B. )(0x f ' C. )(20x f ' D. )(0x f '-⒊设xx f e )(=,则=∆-∆+→∆xf x f x )1()1(lim0(A ).A. eB. e 2C. e 21D. e 41⒋设)99()2)(1()(---=x x x x x f ,则=')0(f (D ).A. 99B. 99-C. !99D. !99- ⒌下列结论中正确的是( C ).A. 若)(x f 在点0x 有极限,则在点0x 可导.B. 若)(x f 在点0x 连续,则在点0x 可导.C. 若)(x f 在点0x 可导,则在点0x 有极限.D. 若)(x f 在点0x 有极限,则在点0x 连续. (二)填空题1)(lim 1)21()(lim 121===-=-+→→x f x f x x )1(1)(lim 1f x f x ==→011)(lim 1)(lim 11=+-=≠-=-+-→-→x f x f x x )(lim 1x f x -→⒈设函数⎪⎩⎪⎨⎧=≠=0,00,1sin )(2x x xx x f ,则=')0(f 0 . ⒉设x x x f e 5e )e (2+=,则=xx f d )(ln d (2/x)lnx+5/x .⒊曲线1)(+=x x f 在)2,1(处的切线斜率是 1/2 .⒋曲线x x f sin )(=在)1,4π(处的切线方程是 y=1 .⒌设x x y 2=,则='y 2x 2x(lnx+1) .⒍设x x y ln =,则=''y 1/x .(三)计算题⒈求下列函数的导数y ':⑴x x x y e )3(+= y=(x 3/2+3)e x ,y '=3/2x 1/2e x +(x 3/2+3)e x=(3/2x 1/2+x 3/2+3)e x⑵x x x y ln cot 2+= y '=-csc 2x + 2xlnx +x⑶xx y ln 2= y '=(2xlnx-x)/ln 2x⑷32cos x x y x += y '=[(-sinx+2x ln2)x 3-3x 2(cosx+2x )]/x6⑸xxx y sin ln 2-==⑹x x x y ln sin 4-= y '=4x 3-cosxlnx-sinx/x⑺xx x y 3sin 2+= y '=[(cosx+2x)3x -(sinx+x 2)3x ln3]/32x=[cosx+2x-(sinx+x 2)ln3]/3x⑻x x y x ln tan e += y '=e x tanx+e x sec 2x+1/x = e x (tanx+sec 2x)+1/x ⒉求下列函数的导数y ': ⑴21e x y -= ⑵3cos ln x y =⑶x x x y = y=x 7/8 y '=(7/8)x -1/8⑷3x x y += ⑸x y e cos 2= ⑹2e cos x y =⑺nx x y n cos sin = y '=nsin n-1xcosxcosnx - nsin n xsin nx ⑻2sin 5x y = ⑼x y 2sin e =221(2)sin (ln )cos sin x x x x x xx---⑽22e x x x y += ⑾xxx y e e e +=⒊在下列方程中,y y x =()是由方程确定的函数,求'y : ⑴y x y 2e cos = 方程对x 求导:y 'cosx-ysinx=2 y 'e 2yy '=ysinx / (cosx-2e 2y )⑵x y y ln cos = 方程对x 求导:y '= y '(-siny)lnx +(1/x)cosyy '=[(1/x)cosy] / (1+sinylnx)⑶yx y x 2sin 2= 方程对x 求导:2siny + y '2xcosy=(2xy-x 2 y ')/y 2y '=2(xy –y 2siny) /(x 2+2xy 2cosy)⑷y x y ln += 方程对x 求导:y '=1+ y '/y , y '=y /(y-1)⑸2e ln y x y =+ 方程对x 求导:1/x+ y 'e y =2y y ', y '=1/x(2y-e y ) ⑹y y x sin e 12=+ 方程对x 求导:2y y '=e x siny + y ' e x cosyy '= e x siny/(2y- e x cosy)⑺3e e y x y -= 方程对x 求导:y 'e y =e x -3y 2 y ', y '=e x /e y +3y 2 ⑻y x y 25+= 方程对x 求导:y '=5x ln5 + y '2y ln2, y '=5x ln5 /(1-2y ln2) ⒋求下列函数的微分y d : ⑴x x y csc cot +=⑵xxy sin ln =⑶x xy +-=11arcsin⑷311xxy +-=⑸x y e sin 2=⑹3e tan x y =⒌求下列函数的二阶导数: ⑴x x y ln = ⑵x x y sin = ⑶x y arctan = ⑷23x y = (四)证明题设)(x f 是可导的奇函数,试证)(x f '是偶函数.证明:由 f(x)= - f(-x) 求导f '(x)= - f '(-x)(-x)' f '(x)= f '(-x), ∴f '(x)是偶函数高等数学基础第三次作业第4章 导数的应用(一)单项选择题⒈若函数)(x f 满足条件(D ),则存在),(b a ∈ξ,使得ab a f b f f --=)()()(ξ.A. 在),(b a 内连续B. 在),(b a 内可导C. 在),(b a 内连续且可导D. 在],[b a 内连续,在),(b a 内可导⒉函数14)(2-+=x x x f 的单调增加区间是(D ). A. )2,(-∞ B. )1,1(- C. ),2(∞+ D. ),2(∞+- ⒊函数542-+=x x y 在区间)6,6(-内满足(A ). A. 先单调下降再单调上升 B. 单调下降 C. 先单调上升再单调下降 D. 单调上升⒋函数)(x f 满足0)(='x f 的点,一定是)(x f 的(C ).A. 间断点B. 极值点C. 驻点D. 拐点⒌设)(x f 在),(b a 内有连续的二阶导数,),(0b a x ∈,若)(x f 满足(C ),则)(x f 在0x 取到极小值.A. 0)(,0)(00=''>'x f x fB. 0)(,0)(00=''<'x f x fC. 0)(,0)(00>''='x f x fD. 0)(,0)(00<''='x f x f⒍设)(x f 在),(b a 内有连续的二阶导数,且0)(,0)(<''<'x f x f ,则)(x f 在此区间内是(A ). A. 单调减少且是凸的 B. 单调减少且是凹的 C. 单调增加且是凸的 D. 单调增加且是凹的⒎设函数a ax ax ax x f ---=23)()(在点1=x 处取得极大值2-,则=a ( ).A. 1B.31C. 0D. 31-(二)填空题⒈设)(x f 在),(b a 内可导,),(0b a x ∈,且当0x x <时0)(<'x f ,当0x x >时0)(>'x f ,则0x 是)(x f 的 极小值 点.⒉若函数)(x f 在点0x 可导,且0x 是)(x f 的极值点,则=')(0x f 0 .⒊函数)1ln(2x y +=的单调减少区间是 (-∞,0) .⒋函数2e )(x xf =的单调增加区间是 (0,+∞) .⒌若函数)(x f 在],[b a 内恒有0)(<'x f ,则)(x f 在],[b a 上的最大值是 f(a) . ⒍函数3352)(x x x f -+=的拐点是 x=0 .⒎若点)0,1(是函数2)(23++=bx ax x f 的拐点,则=a ,=b .(三)计算题⒈求函数223)5()1(-+=x x y 的单调区间和极值. 解:y '=(x-5)2+2(x+1)(x-5)=3(x-1)(x-5)由y '=0求得驻点x=1,5.(-∞,1)和 (5,+∞)为单调增区间, (1,5)为单调减区间,极值为Y max =32,Y min =0。
2019年电大高数基础形考1-4答案《高等数学基础》作业一第1章 函数第2章 极限与连续(一) 单项选择题⒈下列各函数对中,(C )中的两个函数相等.A 、 2)()(x x f =,x x g =)( B 、 2)(x x f =,x x g =)(C 、 3ln )(x x f =,x x g ln 3)(= D 、 1)(+=x x f ,11)(2--=x x x g⒉设函数)(x f 的定义域为),(+∞-∞,则函数)()(x f x f -+的图形关于(C)对称.A 、 坐标原点B 、 x 轴C 、 y 轴D 、 x y = ⒊下列函数中为奇函数就是(B).A 、 )1ln(2x y += B 、 x x y cos =C 、 2xx a a y -+= D 、 )1ln(x y +=⒋下列函数中为基本初等函数就是(C).A 、 1+=x yB 、 x y -=C 、 2xy = D 、 ⎩⎨⎧≥<-=0,10,1x x y⒌下列极限存计算不正确的就是(D).A 、 12lim 22=+∞→x x x B 、 0)1ln(lim 0=+→x x C 、 0sin lim =∞→x x x D 、 01sin lim =∞→x x x⒍当0→x 时,变量(C)就是无穷小量.A 、 x x sinB 、 x 1C 、 xx 1sin D 、 2)ln(+x⒎若函数)(x f 在点0x 满足(A),则)(x f 在点0x 连续。
A 、 )()(lim 00x f x f x x =→ B 、 )(x f 在点0x 的某个邻域内有定义C 、 )()(lim 00x f x f x x =+→ D 、 )(lim )(lim 00x f x f x x x x -+→→=(二)填空题⒈函数)1ln(39)(2x x x x f ++--=的定义域就是 {}|3x x > . ⒉已知函数x x x f +=+2)1(,则=)(x f x 2-x .⒊=+∞→xx x)211(lim . 1122211lim(1)lim(1)22x x x x e x x⨯→∞→∞+=+= ⒋若函数⎪⎩⎪⎨⎧≥+<+=0,0,)1()(1x k x x x x f x ,在0=x 处连续,则=k e .⒌函数⎩⎨⎧≤>+=0,sin 0,1x x x x y 的间断点就是 0x = .⒍若A x f x x =→)(lim 0,则当0x x →时,A x f -)(称为 0x x →时的无穷小量 .(二) 计算题 ⒈设函数⎩⎨⎧≤>=0,0,e )(x x x x f x 求:)1(,)0(,)2(f f f -.解:()22f -=-,()00f =,()11f e e ==⒉求函数21lgx y x-=的定义域. 解:21lg x y x -=有意义,要求21x x x -⎧>⎪⎪⎨⎪≠⎪⎩解得1020x x x ⎧⎪⎪><⎨⎪≠⎪⎩或则定义域为1|02x x x ⎧⎫<>⎨⎬⎩⎭或⒊在半径为R 的半圆内内接一梯形,梯形的一个底边与半圆的直径重合,另一底边的两个端点在半圆上,试将梯形的面积表示成其高的函数. 解:DA RO h EB C设梯形ABCD 即为题中要求的梯形,设高为h,即OE=h,下底CD =2R 直角三角形AOE 中,利用勾股定理得AE =则上底=2AE =故((222hS R R h R =+=+ ⒋求xxx 2sin 3sin lim 0→.解:000sin3sin33sin3333lim lim lim sin 2sin 2sin 22222x x x x xxx x x x x x xx x→→→⨯==⨯⨯=133122⨯=⒌求)1sin(1lim 21+--→x x x .解:21111(1)(1)111limlim lim 2sin(1)sin(1)sin(1)11x x x x x x x x x x x →-→-→---+---====-++++ ⒍求x xx 3tan lim 0→.解:000tan3sin31sin311lim lim lim 3133cos33cos31x x x x x x x x x x x →→→==⨯⨯=⨯⨯=⒎求xx x sin11lim 20-+→.解:20001lim sin x x x x→→→==()0lim0sin 1111)x xxx→===+⨯⒏求xx x x )31(lim +-∞→. 解:1143331111(1)[(1)]1lim()lim()lim lim 33311(1)[(1)]3x x x x x x x x x x x e x x x e x e x x x----→∞→∞→∞→∞--+--=====++++ ⒐求4586lim 224+-+-→x x x x x .解:()()()()2244442682422lim lim lim 54411413x x x x x x x x x x x x x →→→---+--====-+----⒑设函数⎪⎩⎪⎨⎧-<+≤≤->-=1,111,1,)2()(2x x x x x x x f讨论)(x f 的连续性,并写出其连续区间. 解:分别对分段点1,1x x =-=处讨论连续性 (1)()()()1111lim lim 1lim lim 1110x x x x f x x f x x →-+→-+→--→--==-=+=-+=所以()()11lim lim x x f x f x →-+→--≠,即()f x 在1x =-处不连续 (2)()()()()()221111lim lim 2121lim lim 111x x x x f x x f x x f →+→+→-→-=-=-====所以()()()11lim lim 1x x f x f x f →+→-==即()f x 在1x =处连续由(1)(2)得()f x 在除点1x =-外均连续 故()f x 的连续区间为()(),11,-∞--+∞《高等数学基础》作业二第3章 导数与微分(一)单项选择题⒈设0)0(=f 且极限x x f x )(lim0→存在,则=→xx f x )(lim 0(C ).A 、 )0(fB 、 )0(f 'C 、 )(x f 'D 、 0cvx⒉设)(x f 在0x 可导,则=--→hx f h x f h 2)()2(lim000(D ). A 、 )(20x f '- B 、 )(0x f ' C 、 )(20x f ' D 、 )(0x f '-⒊设xx f e )(=,则=∆-∆+→∆xf x f x )1()1(lim 0(A ).A 、 eB 、 e 2C 、 e 21D 、 e 41⒋设)99()2)(1()(---=x x x x x f ,则=')0(f (D ).A 、 99B 、 99-C 、 !99D 、 !99- ⒌下列结论中正确的就是( C ).A 、 若)(x f 在点0x 有极限,则在点0x 可导.B 、 若)(x f 在点0x 连续,则在点0x 可导.C 、 若)(x f 在点0x 可导,则在点0x 有极限.D 、 若)(x f 在点0x 有极限,则在点0x 连续.(二)填空题⒈设函数⎪⎩⎪⎨⎧=≠=0,00,1sin )(2x x xx x f ,则=')0(f 0 . ⒉设x x x f e 5e )e (2+=,则=x x f d )(ln d xx x 5ln 2+. ⒊曲线1)(+=x x f 在)2,1(处的切线斜率就是21=k⒋曲线x x f sin )(=在)1,4π(处的切线方程就是)41(2222π-==x y ⒌设x x y 2=,则='y )ln 1(22x x x+⒍设x x y ln =,则=''y x1(三)计算题⒈求下列函数的导数y ':⑴xx x y e )3(+= x x e x e x y 212323)3(++='⑵x x x y ln cot 2+= x x x x y ln 2csc 2++-='⑶x x y ln 2= x xx x y 2ln ln 2+='⑷32cos x x y x += 4)2(cos 3)2ln 2sin (xx x x y x x +-+-=' ⑸x x x y sin ln 2-= xx x x x x x y 22sin cos )(ln )21(sin ---=' ⑹x x x y ln sin 4-= x x xx x y ln cos sin 43--='⑺x x x y 3sin 2+= xx x x x x x y 2233ln 3)(sin )2(cos 3+-+=' ⑻x x y xln tan e += xx e x e y x x 1cos tan 2++='⒉求下列函数的导数y ':⑴21ex y -=2112x xey x -='-⑵3cos ln x y =32233tan 33cos sin x x x xx y -=-=' ⑶x x x y =87x y = 8187-='x y⑷3x x y +=)211()(31213221--++='x x x y⑸xy e cos 2=)2sin(x x e e y -='⑹2ecos x y =22sin 2x x exe y -='⑺nx x y ncos sin =)sin(sin cos cos sin 1nx x n nx x x n y n n -='-⑻2sin 5x y =2sin 25cos 5ln 2x x x y ='⑼xy 2sin e=xxey 2sin 2sin ='⑽22ex x x y +=222)ln 2(x x xex x x x y ++='⑾xxxy e e e+=xe x x ee e x e xe x y x x++=')ln (⒊在下列方程中,就是由方程确定的函数,求:⑴yx y 2ecos =y e x y x y y '=-'22sin cosye x xy y 22cos sin -=' ⑵x y y ln cos =xy x y y y 1.cos ln .sin +'=')ln sin 1(cos x y x yy +='⑶yx y x 2sin 2=222sin 2.cos 2y y x yx y y y x '-=+' y yyxy x y x y sin 22)cos 2(222-=+'22cos 2sin 22x y xy yy xy y +-='⑷y x y ln +=1+'='y y y1-='y y y⑸2e ln y x y =+ y y y e xy '='+21)2(1ye y x y -='⑹y y xsin e 12=+x x e y y y e y y .sin .cos 2+'='ye y ye y xx cos 2sin -='⑺3e e y xy-=y y e y e x y '-='2323y ee y y x+='⑻yx y 25+=2ln 25ln 5y x y y '+='2ln 215ln 5y x y -='⒋求下列函数的微分y d : ⑴x x y csc cot +=dx x xx dy )sin cos cos 1(22--= ⑵x x y sin ln =dx x x x x x dy 2sin cos ln sin 1-= ⑶x xy +-=11arcsindx x x x dx x x x xx dy 2222)1(11)1()1()1()11(11++-=+--+-+--=⑷311xxy +-= 两边对数得:[])1ln()1ln(31ln x x y +--=)1111(31x x y y +---=' )1111(11313xx x x y ++-+--='⑸xy e sin 2=dx e e dx e e e dy x x x x x)2sin(sin 23==⑹3e tan x y =xdx e x dx x e dy x x 2222sec 33sec 33==⒌求下列函数的二阶导数: ⑴x x y ln =x y ln 1=='xy 1=''⑵x x y sin =x x x y sin cos +=' x x x y cos 2sin +-=''⑶x y arctan =211x y +='22)1(2x xy +-='' ⑷23x y =3ln 322x x y =' 2233ln 23ln 3422x x x y ⋅+=''(四)证明题设)(x f 就是可导的奇函数,试证)(x f '就是偶函数.证:因为f(x)就是奇函数 所以)()(x f x f -=- 两边导数得:)()()()1)((x f x f x f x f =-'⇒'-=--' 所以)(x f '就是偶函数。
成考(全套高等数学作业(1、2、3、4、5、6、7、8))-如果定义了单选项问题[102070],则()。
答案:D单选题[102060]定义。
然后(美国广播公司回答:b选择题[65056)功能(..答案:b多项选择题[102073]下列各组字母在数字中,相同的函数用()表示。
回答:b填空,选择一个选项[44003],然后()。
答:单选题[43992]在下列函数对中,相同的函数由()表示。
答:c选择题[102071]集,如果曲线相对于直线是对称的,那么表达式是()。
答:b选择题[65043]功能是()。
偶数函数奇数函数有界函数周期函数答案:多项选择问题[44001]集,然后()。
答:c .[98433]函数的图形和c .[98433]函数的图形是关于一条直线对称的,那么_ _ _ _ _。
答:单选题[65052]下列函数中,倒数函数是()。
函数是(a .偶函数b .奇函数c .有界函数d .周期函数答案:a .多项选择题[43992)下列函数对中,代表相同函数的是(a,b,和...))c,d,答案:c选择题的域[65058]函数是(a.b.c.d .答案:c选择题[65051]下列函数组是(a和b,c和d,答案:b)。
(单选项[43992)在下列函数对中,相同的函数由()表示。
答:c填充问题[102089]的函数的单调缩减间隔是_ _ _ _ _。
答:单项选择问题[102061的反函数是(公元前)年。
答:单选题[44 006]如果有定义,下面函数中的奇数函数是()。
在下列函数组中,相同的函数由()表示。
工商及科技局局长答:B选择题[44006]是在定义中设定的。
然后()。
在下列函数中回答奇数函数:d多选[44001],然后()。
在下面的函数中,函数图关于原点是对称的。
答案:b选择题[65051]下面的函数组显示相同的函数()。
答案:[在下列函数对中,同一个函数由()表示。
答案:c,单答案:b单选择[44001]集,然后()。
高等数学基础第一次作业点评1第1章函数第2章极限与连续(一)单项选择题⒈下列各函数对中,(C)中的两个函数相等.A.2f(x)(x),g(x)xB.2f(x)x,g(x)x2x1C.3f(x)lnx,g(x)3lnxD.f(x)x1,g( x) x1⒉设函数f(x)的定义域为(,),则函数f(x)f(x)的图形关于(C)对称.A.坐标原点B.x轴C.y轴D.yx⒊下列函数中为奇函数是(B).2A.yln(1x)B.yxcosxC.xa xayD.yln(1x) 2⒋下列函数中为基本初等函数是(C).A.yx1B.yxC.2yxD. y 11,,xx⒌下列极限存计算不正确的是(D).2x A.lim12xx2 B.limln(1x)0x0sinx C.lim0xx1 D.limxsin0xx⒍当x0时,变量(C)是无穷小量.A. s inxxB.1xC.x 1sinln(x2)D.x点评:无穷小量乘以有界变量为无穷小量⒎若函数f(x)在点x0满足(A),则f(x)在点x0连续。
A.limf(x)f(x0)xxB.f(x)在点x0的某个邻域内有定义C.limf(x)f(x0)xx0 D.limf(x)limf(x)xxxx00二、填空题2x9⒈函数f(x)ln(1x)的定义域是.{xx3或x3}x3⒉已知函数f(x1)xx,则f(x).xx⒊11xlim.2(1)ex2xx(1x),x0⒋若函数f(x),在x0处连续,则k.exk,x0⒌函数x1,x0y的间断点是.x0 sinx,x0⒍若limf(x)A,则当xx0 x x时,f(x)A称为.无穷小量0三计算题⒈设函数f(x)xex ,, xx求:f(2),f(0),f(1).解:f(2)2f(0)0f(1)1e e点评:求分段函数的函数值主要是要判断那一点是在哪一段上。
即正确选择某段函数。
⒉求函数y2x1lglg的定义域.x2x1解:欲使函数有意义,必使lg0x,2x1即:1x亦即:2x1x解得函数的定义域是:x1点评:函数的定义域就是使函数有意义的自变量的变化范围。
高等数学基础形考作业1:第1章 函数 第2章 极限与连续(一) 单项选择题⒈下列各函数对中,(C )中的两个函数相等. A.2)()(x x f =,x x g =)( B. 2)(x x f =,x x g =)(C.3ln )(xx f =,x x g ln 3)(= D.1)(+=x x f ,11)(2--=x x x g ⒉设函数)(x f 的定义域为),(+∞-∞,则函数)()(x f x f -+的图形关于(C )对称.A. 坐标原点B. x 轴C. y 轴D.x y =⒊下列函数中为奇函数是(B ). A.)1ln(2x y += B. x x y cos =C.2x x a a y -+=D.)1ln(x y +=⒋下列函数中为基本初等函数是(C ). A.1+=x y B. x y -=C.2xy = D.⎩⎨⎧≥<-=0,10,1x x y ⒌下列极限存计算不正确的是(D ). A.12lim 22=+∞→x x x B. 0)1ln(lim 0=+→x xC. 0sin lim=∞→x x x D. 01sin lim =∞→x x x⒍当0→x 时,变量(C )是无穷小量.A. x x sinB. x 1C. xx 1sin D. 2)ln(+x⒎若函数)(x f 在点0x 满足(A ),则)(x f 在点0x 连续。
A.)()(lim 00x f x f x x =→ B. )(x f 在点0x 的某个邻域内有定义C.)()(lim 00x f x f x x =+→ D. )(lim )(lim 0x f x f x x x x -+→→=(二)填空题⒈函数)1ln(39)(2x x x x f ++--=的定义域是()+∞,3.⒉已知函数x x x f +=+2)1(,则=)(x f x 2-x .⒊=+∞→xx x)211(lim 21e . ⒋若函数⎪⎩⎪⎨⎧≥+<+=0,0,)1()(1x k x x x x f x ,在0=x 处连续,则=ke .⒌函数⎩⎨⎧≤>+=0,sin 0,1x x x x y 的间断点是0=x .⒍若A x f x x =→)(lim 0,则当0x x →时,A x f -)(称为时的无穷小量0x x →。
0高等数学基础形考作业1答案:第1章 函数 第2章 极限与连续(一)单项选择题⒈下列各函数对中,(C )中的两个函数相等. A. 2)()(x x f =,x x g =)( B. 2)(x x f =,x x g =)(C. 3ln )(x x f =,x x g ln 3)(= D. 1)(+=x x f ,11)(2--=x x x g分析:判断函数相等的两个条件(1)对应法则相同(2)定义域相同 A、2()f x x ==,定义域{}|0x x ≥;x x g =)(,定义域为R 定义域不同,所以函数不相等; B、()f x x ==,x x g =)(对应法则不同,所以函数不相等;C 、3()ln 3ln f x x x ==,定义域为{}|0x x >,x x g ln 3)(=,定义域为{}|0x x > 所以两个函数相等D 、1)(+=x x f ,定义域为R ;21()11x g x x x -==+-,定义域为{}|,1x x R x ∈≠ 定义域不同,所以两函数不等。
故选C⒉设函数)(x f 的定义域为),(+∞-∞,则函数)()(x f x f -+的图形关于(C )对称. A. 坐标原点 B. x 轴 C. y 轴 D. x y = 分析:奇函数,()()f x f x -=-,关于原点对称偶函数,()()f x f x -=,关于y 轴对称()y f x =与它的反函数()1y f x -=关于y x =对称,奇函数与偶函数的前提是定义域关于原点对称设()()()g x f x f x =+-,则()()()()g x f x f x g x -=-+=所以()()()g x f x f x =+-为偶函数,即图形关于y 轴对称故选C⒊下列函数中为奇函数是(B ).A. )1ln(2x y +=B. x x y cos =C. 2x x a a y -+= D. )1ln(x y +=分析:A 、()()()()22ln(1)ln 1y x x x y x -=+-=+=,为偶函数B 、()()()cos cos y x x x x x y x -=--=-=-,为奇函数 或者x 为奇函数,cosx 为偶函数,奇偶函数乘积仍为奇函数C 、()()2x xa a y x y x -+-==,所以为偶函数D 、()ln(1)y x x -=-,非奇非偶函数 故选B⒋下列函数中为基本初等函数是(C ). A. 1+=x y B. x y -=C. 2xy = D. ⎩⎨⎧≥<-=0,10,1x x y分析:六种基本初等函数(1) y c =(常值)———常值函数(2) ,y x αα=为常数——幂函数 (3) ()0,1xy aa a =>≠———指数函数(4) ()log 0,1a y x a a =>≠———对数函数(5) sin ,cos ,tan ,cot y x y x y x y x ====——三角函数(6) [][]sin ,1,1,cos ,1,1,tan ,cot y arc x y arc x y arc x y arc x=-=-==——反三角函数分段函数不是基本初等函数,故D 选项不对 对照比较选C⒌下列极限存计算不正确的是(D ).A. 12lim 22=+∞→x x xB. 0)1ln(lim 0=+→x xC. 0sin lim=∞→x x x D. 01sin lim =∞→xx x分析:A 、已知()1lim 00n x n x→∞=>2222222211lim lim lim 1222101x x x x x x x x x x x→∞→∞→∞====++++B 、0limln(1)ln(10)0x x →+=+=初等函数在期定义域内是连续的C 、sin 1limlim sin 0x x x x xx →∞→∞==x →∞时,1x是无穷小量,sin x 是有界函数,无穷小量×有界函数仍是无穷小量D 、1sin1lim sin lim1x x x x x x→∞→∞=,令10,t x x =→→∞,则原式0sin lim 1t t t →== 故选D⒍当0→x 时,变量(C )是无穷小量.A.x x sin B. x 1C. xx 1sin D. 2)ln(+x分析;()lim 0x af x →=,则称()f x 为x a →时的无穷小量A 、0sin lim1x xx →=,重要极限B 、01lim x x→=∞,无穷大量C 、01lim sin 0x x x →=,无穷小量x ×有界函数1sin x仍为无穷小量D 、()0limln(2)=ln 0+2ln 2x x →+=故选C⒎若函数)(x f 在点0x 满足(A ),则)(x f 在点0x 连续。
高等数学基础作业1第1章 函数 第2章 极限与连续(一) 单项选择题⒈下列各函数对中,(C )中的两个函数相等.A. 2)()(x x f =,x x g =)( B. 2)(x x f =,x x g =)(C. 3ln )(x x f =,x x g ln 3)(= D. 1)(+=x x f ,11)(2--=x x x g分析:判断函数相等的两个条件(1)对应法则相同(2)定义域相同A 、2()f x x ==,定义域{}|0x x ≥;x x g =)(,定义域为R定义域不同,所以函数不相等;B 、()f x x ==,x x g =)(对应法则不同,所以函数不相等;C 、3()ln 3ln f x x x ==,定义域为{}|0x x >,x x g ln 3)(=,定义域为{}|0x x > 所以两个函数相等D 、1)(+=x x f ,定义域为R ;21()11x g x x x -==+-,定义域为{}|,1x x R x ∈≠ 定义域不同,所以两函数不等。
故选C⒉设函数)(x f 的定义域为),(+∞-∞,则函数)()(x f x f -+的图形关于(C )对称. A. 坐标原点 B. x 轴 C. y 轴 D. x y =分析:奇函数,()()f x f x -=-,关于原点对称偶函数,()()f x f x -=,关于y 轴对称()y f x =与它的反函数()1y f x -=关于y x =对称,奇函数与偶函数的前提是定义域关于原点对称设()()()g x f x f x =+-,则()()()()g x f x f x g x -=-+= 所以()()()g x f x f x =+-为偶函数,即图形关于y 轴对称 故选C⒊下列函数中为奇函数是(B ). A. )1ln(2x y += B. x x y cos =C. 2xx a a y -+= D. )1ln(x y +=分析:A 、()()()()22ln(1)ln 1y x x xy x -=+-=+=,为偶函数B 、()()()cos cos y x x x x x y x -=--=-=-,为奇函数 或者x 为奇函数,cosx 为偶函数,奇偶函数乘积仍为奇函数C 、()()2x xa a y x y x -+-==,所以为偶函数 D 、()ln(1)y x x -=-,非奇非偶函数 故选B⒋下列函数中为基本初等函数是(C ). A. 1+=x y B. x y -= C. 2xy = D. ⎩⎨⎧≥<-=0,10,1x x y 分析:六种基本初等函数(1) y c =(常值)———常值函数 (2) ,y x αα=为常数——幂函数 (3) ()0,1xy aa a =>≠———指数函数(4) ()log 0,1a y x a a =>≠———对数函数(5) sin ,cos ,tan ,cot y x y x y x y x ====——三角函数(6) [][]sin ,1,1,cos ,1,1,tan ,cot y arc x y arc x y arc x y arc x=-=-==——反三角函数分段函数不是基本初等函数,故D 选项不对 对照比较选C⒌下列极限存计算不正确的是(D ).A. 12lim 22=+∞→x x x B. 0)1ln(lim 0=+→x x C. 0sin lim=∞→x x x D. 01sin lim =∞→xx x分析:A 、已知()1lim00nx n x →∞=>2222222211lim lim lim 1222101x x x x x x x x x x x →∞→∞→∞====++++ B 、0limln(1)ln(10)0x x →+=+=初等函数在期定义域内是连续的 C 、sin 1limlim sin 0x x x x xx →∞→∞==x →∞时,1x是无穷小量,sin x 是有界函数, 无穷小量×有界函数仍是无穷小量D 、1sin1lim sin lim1x x x x x x→∞→∞=,令10,t x x =→→∞,则原式0sin lim 1t t t →== 故选D⒍当0→x 时,变量(C )是无穷小量. A.xxsin B. x 1C. xx 1sinD. 2)ln(+x 分析;()lim 0x af x →=,则称()f x 为x a →时的无穷小量A 、0sin lim 1x xx→=,重要极限B 、01limx x→=∞,无穷大量 C 、01lim sin0x x x →=,无穷小量x ×有界函数1sin x仍为无穷小量 D 、()0limln(2)=ln 0+2ln 2x x →+=故选C⒎若函数)(x f 在点0x 满足(A ),则)(x f 在点0x 连续。
A. )()(lim 00x f x f x x =→ B. )(x f 在点0x 的某个邻域内有定义C. )()(lim 00x f x f x x =+→ D. )(lim )(lim 0x f x f x x x x -+→→=分析:连续的定义:极限存在且等于此点的函数值,则在此点连续即()()00lim x x f x f x →=连续的充分必要条件()()()()()00000lim lim lim x x x x x x f x f x f x f x f x →→+→-=⇔==故选A(二)填空题 ⒈函数)1ln(39)(2x x x x f ++--=的定义域是{}|3x x >.分析:求定义域一般遵循的原则(1) 偶次根号下的量0≥ (2) 分母的值不等于0(3) 对数符号下量(真值)为正(4) 反三角中反正弦、反余弦符号内的量,绝对值小于等于1 (5) 正切符号内的量不能取()0,1,22k k ππ±=然后求满足上述条件的集合的交集,即为定义域)1ln(39)(2x x x x f ++--=要求2903010x x x ⎧-≥⎪-≠⎨⎪+>⎩得3331x x x x ≥≤-⎧⎪≠⎨⎪>⎩或-定义域为 {}|3x x > ⒉已知函数x x x f +=+2)1(,则=)(x f x 2-x .分析:法一,令1t x =+得1x t =-则()()22()11f t t t t t =-+-=-则()2f x x x =-法二,()()(1)(1)111f x x x x x +=+=+-+所以()()1f t t t =- ⒊=+∞→xx x)211(lim . 分析:重要极限1lim 1xx e x →∞⎛⎫+= ⎪⎝⎭,等价式()10lim 1x x x e →+=推广()lim x af x →=∞则()()1lim(1)f x x ae f x →+=()lim 0x af x →=则()()1lim(1)f x x af x e →+=1122211lim(1)lim(1)22x x x x e x x⨯→∞→∞+=+= ⒋若函数⎪⎩⎪⎨⎧≥+<+=0,0,)1()(1x k x x x x f x ,在0=x 处连续,则=k e .分析:分段函数在分段点0x 处连续()()()000lim lim x x x x f x f x f x →+→-⇔==()()()()00100lim lim 0lim lim 1x x xx x f x x k k kf x x e→+→+→-→-=+=+==+= 所以k e =⒌函数⎩⎨⎧≤>+=0,sin 0,1x x x x y 的间断点是 0x = .分析:间断点即定义域不存在的点或不连续的点初等函数在其定义域范围内都是连续的分段函数主要考虑分段点的连续性(利用连续的充分必要条件)()()()0000lim lim 1011lim lim sin 0x x x x f x x f x x →+→+→-→-=+=+===不等,所以0x =为其间断点⒍若A x f x x =→)(lim 0,则当0x x →时,A x f -)(称为 0x x →时的无穷小量 .分析:0lim(())lim ()lim 0x x x x x x f x A f x A A A →→→-=-=-=所以A x f -)(为0x x →时的无穷小量 (二) 计算题 ⒈设函数⎩⎨⎧≤>=0,0,e )(x x x x f x求:)1(,)0(,)2(f f f -.解:()22f -=-,()00f =,()11f e e ==⒉求函数21lgx y x-=的定义域.解:21lg x y x -=有意义,要求21x x x -⎧>⎪⎪⎨⎪≠⎪⎩解得1020x x x ⎧⎪⎪><⎨⎪≠⎪⎩或则定义域为1|02x x x ⎧⎫<>⎨⎬⎩⎭或 ⒊在半径为R 的半圆内内接一梯形,梯形的一个底边与半圆的直径重合,另一底边的两个端点在半圆上,试将梯形的面积表示成其高的函数. 解:D A R O h EB C设梯形ABCD 即为题中要求的梯形,设高为h ,即OE=h ,下底CD =2R 直角三角形AOE 中,利用勾股定理得AE =则上底=2AE = 故((222hS R R h R =+=+ ⒋求xxx 2sin 3sin lim0→.解:000sin3sin33sin3333lim lim lim sin 2sin 2sin 22222x x x x xxx x x x x x xx x→→→⨯==⨯⨯=133122⨯=⒌求)1sin(1lim 21+--→x x x .解:21111(1)(1)111limlim lim 2sin(1)sin(1)sin(1)11x x x x x x x x x x x →-→-→---+---====-++++ ⒍求xxx 3tan lim0→.解:000tan3sin31sin311limlim lim 3133cos33cos31x x x x x x x x x x x →→→==⨯⨯=⨯⨯=⒎求xx x sin11lim 20-+→.解:20001lim sinx x x x →→→-==()0lim0sin 1111)x xxx→===+⨯⒏求xx x x )31(lim +-∞→. 解:1143331111(1)[(1)]1lim()lim()lim lim 33311(1)[(1)]3x x x x x x x x x x x e x x x e x e x x x----→∞→∞→∞→∞--+--=====++++ ⒐求4586lim 224+-+-→x x x x x .解:()()()()2244442682422lim limlim 54411413x x x x x x x x x x x x x →→→---+--====-+----⒑设函数⎪⎩⎪⎨⎧-<+≤≤->-=1,111,1,)2()(2x x x x x x x f讨论)(x f 的连续性,并写出其连续区间. 解:分别对分段点1,1x x =-=处讨论连续性 (1)()()()1111lim lim 1lim lim 1110x x x x f x x f x x →-+→-+→--→--==-=+=-+=所以()()11lim lim x x f x f x →-+→--≠,即()f x 在1x =-处不连续(2)()()()()()221111lim lim 2121lim lim 111x x x x f x x f x x f →+→+→-→-=-=-====所以()()()11lim lim 1x x f x f x f →+→-==即()f x 在1x =处连续由(1)(2)得()f x 在除点1x =-外均连续 故()f x 的连续区间为()(),11,-∞--+∞《高等数学基础》第二次作业第3章 导数与微分(一)单项选择题⒈设0)0(=f 且极限x x f x )(lim0→存在,则=→xx f x )(lim 0(C ).A. )0(fB. )0(f 'C. )(x f 'D. 0cvx⒉设)(x f 在0x 可导,则=--→hx f h x f h 2)()2(lim 000(D ).A. )(20x f '-B. )(0x f 'C. )(20x f 'D. )(0x f '-⒊设xx f e )(=,则=∆-∆+→∆xf x f x )1()1(lim(A ).A. eB. e 2C.e 21 D. e 41 ⒋设)99()2)(1()(---=x x x x x f ,则=')0(f (D ). A. 99 B. 99- C. !99 D. !99- ⒌下列结论中正确的是( C ).A. 若)(x f 在点0x 有极限,则在点0x 可导.B. 若)(x f 在点0x 连续,则在点0x 可导.C. 若)(x f 在点0x 可导,则在点0x 有极限.D. 若)(x f 在点0x 有极限,则在点0x 连续.(二)填空题⒈设函数⎪⎩⎪⎨⎧=≠=0,00,1sin )(2x x xx x f ,则=')0(f 0 . ⒉设x x x f e 5e )e (2+=,则=x x f d )(ln d xx x 5ln 2+. ⒊曲线1)(+=x x f 在)2,1(处的切线斜率是21=k ⒋曲线x x f sin )(=在)1,4π(处的切线方程是)41(2222π-==x y ⒌设xx y 2=,则='y )ln 1(22x x x +⒍设x x y ln =,则=''y x1 (三)计算题⒈求下列函数的导数y ':⑴xx x y e )3(+= x x e x e x y 212323)3(++='⑵x x x y ln cot 2+= x x x x y ln 2csc 2++-='⑶x x y ln 2= xxx x y 2ln ln 2+='⑷32cos x x y x += 4)2(cos 3)2ln 2sin (xx x x y x x +-+-='⑸x x x y sin ln 2-= xxx x x x x y 22sin cos )(ln )21(sin ---='⑹x x x y ln sin 4-= x x xxx y ln cos sin 43--='⑺xx x y 3sin 2+= x x x x x x x y 2233ln 3)(sin )2(cos 3+-+='⑻x x y xln tan e += x xe x e y x x1cos tan 2++='⒉求下列函数的导数y ': ⑴21ex y -=2112xx ey x -='-⑵3cos ln x y =32233tan 33cos sin x x x xx y -=-=' ⑶x x x y =87x y = 8187-='x y⑷3x x y +=)211()(31213221--++='x x x y⑸xy e cos 2=)2sin(x x e e y -='⑹2ecos x y =22sin 2x x exe y -='⑺nx x y ncos sin =)sin(sin cos cos sin 1nx x n nx x x n y n n -='-⑻2sin 5x y =2sin 25cos 5ln 2x x x y ='⑼xy 2sin e=xxey 2sin 2sin ='⑽22ex x x y +=222)ln 2(x x xex x x x y ++='⑾xxxy e e e+=xe x x ee e x e xe x y x x++=')ln (⒊在下列方程中,y y x =()是由方程确定的函数,求'y : ⑴yx y 2ecos =y e x y x y y '=-'22sin cosye x xy y 22cos sin -='⑵x y y ln cos =xy x y y y 1.cos ln .sin +'=')ln sin 1(cos x y x yy +='⑶yx y x 2sin 2=222sin 2.cos 2y y x yx y y y x '-=+' y yyxy x y x y sin 22)cos 2(222-=+' 22cos 2sin 22x y xy y y xy y +-='⑷y x y ln +=1+'='yy y 1-='y y y ⑸2e ln y x y=+y y y e xy '='+21)2(1ye y x y -='⑹y y xsin e 12=+x x e y y y e y y .sin .cos 2+'='ye y ye y xx cos 2sin -='⑺3e e y xy-=y y e y e x y '-='2323y ee y y x+='⑻yx y 25+=2ln 25ln 5y x y y '+='2ln 215ln 5yx y -='⒋求下列函数的微分y d : ⑴x x y csc cot +=dx xxx dy )sin cos cos 1(22--=⑵xxy sin ln =dx xx x x x dy 2sin cos ln sin 1-=⑶xxy +-=11arcsindx x x x dx x x x xx dy 2222)1(11)1()1()1()11(11++-=+--+-+--=⑷311xxy +-= 两边对数得:[])1ln()1ln(31ln x x y +--=)1111(31xx y y +---=' )1111(11313xx x x y ++-+--='⑸xy e sin 2=dx e e dx e e e dy x x x x x )2sin(sin 23==⑹3e tan x y =xdx e x dx x e dy x x 2222sec 33sec 33==⒌求下列函数的二阶导数: ⑴x x y ln =x y ln 1=='xy 1=''⑵x x y sin =x x x y sin cos +=' x x x y cos 2sin +-=''⑶x y arctan =211xy +=' 22)1(2x xy +-=''⑷23x y =3ln 322x x y =' 2233ln 23ln 3422x x x y ⋅+=''(四)证明题设)(x f 是可导的奇函数,试证)(x f '是偶函数. 证:因为f(x)是奇函数 所以)()(x f x f -=-两边导数得:)()()()1)((x f x f x f x f =-'⇒'-=--' 所以)(x f '是偶函数。