去分母去括号一元一次方程练习题精编版
- 格式:doc
- 大小:65.50 KB
- 文档页数:7
3.3 解一元一次方程(二)-去括号与去分母同步习题精讲精练【高频考点精讲】1.一般步骤:去分母、去括号、移项、合并同类项、系数化为1,这仅是解一元一次方程的一般步骤,针对方程的特点,灵活应用,各种步骤都是为使方程逐渐向x=a形式转化.2.规律总结:(1)解一元一次方程时先观察方程的形式和特点,若有分母一般先去分母;若既有分母又有括号,且括号外的项在乘括号内各项后能消去分母,就先去括号.(2)在解类似于“ax+bx=c”的方程时,将方程左边,按合并同类项的方法并为一项即(a+b)x=c.使方程逐渐转化为ax=b的最简形式。
将ax=b系数化为1时,一是弄清求x时,方程两边除以的是a还是b,尤其a为分数时;二是要准确判断符号,a、b同号x为正,a、b异号x为负.【热点题型精练】一、选择题1.方程3x﹣2(x﹣3)=5去括号变形正确的是( )A.3x﹣2x﹣3=5B.3x﹣2x﹣6=5C.3x﹣2x+3=5D.3x﹣2x+6=52.把方程去分母,下列变形正确的是( )A.2x﹣x+1=1B.2x﹣(x+1)=1C.2x﹣x+1=6D.2x﹣(x+1)=63.下列方程变形中,正确的是( )A.方程去分母,得5(x﹣1)=2xB.方程3﹣x=2﹣5(x﹣1)去括号,得3﹣x=2﹣5x﹣1C.方程3x﹣2=2x+1移项,得3x﹣2x=﹣1+2D.方程系数化为1,得t=14.一元一次方程的解为( )A.x=1B.x=﹣1C.x=﹣12D.x=125.解方程时,把分母化为整数,得( )A.B.C.D.6.解方程4(x﹣1)﹣x=2(x+)步骤如下:①去括号,得4x﹣4﹣x=2x+1;②移项,得4x+x﹣2x=4+1;③合并同类项,得3x=5;④化系数为1,x=.从哪一步开始出现错误( )A.①B.②C.③D.④7.若关于x的方程kx﹣2x=14的解是正整数,则k的整数值有( )个.A.1个B.2个C.3个D.4个8.某同学在解关于x的方程3a﹣x=13时,误将“﹣x”看成“x”,从而得到方程的解为x=﹣2,则原方程正确的解为( )A.x=﹣2B.x=﹣C.x=D.x=29.若“△”是新规定的某种运算符号,设x△y=xy+x+y,则2△m=﹣16中,m的值为( )A.8B.﹣8C.6D.﹣610.代数式2ax+5b的值会随x的取值不同而不同,如下表是当x取不同值时对应的代数式的值,则关于x的方程2ax+5b=0的解是( )x﹣4﹣3﹣2﹣102ax+5b12840﹣4A.0B.﹣1C.﹣3D.﹣4二、填空题11.当x= 时,代数式2x﹣与代数式x﹣3的值相等.12.方程1﹣=去分母后为 .13.小明解方程=﹣3去分母时,方程右边的﹣3忘记乘6,因而求出的解为x=2,则原方程正确的解为 .14.对于实数p、q,我们用符号min{p,q}表示p,q两数中较小的数,如min{1,2}=1,若min{,1}=x,则x= .三、解答题15.解方程:(1)2(x+8)=3x﹣1(2)16.已知y=3是方程6+(m﹣y)=2y的解,那么关于x的方程2m(x﹣1)=(m+1)(3x﹣4)的解是多少?17.定义一种新运算“⊕”:a⊕b=a﹣2b,比如:2⊕(﹣3)=2﹣2×(﹣3)=2+6=8.(1)求(﹣3)⊕2的值;(2)若(x﹣3)⊕(x+1)=1,求x的值.18.(1)小玉在解方程去分母时,方程右边的“﹣1”项没有乘6,因而求得的解是x=10,试求a的值.(2)当m为何值时,关于x的方程5m+3x=1+x的解比关于x的方程2x+m=5m的解大2?3.3 解一元一次方程(二)--去括号与去分母同步习题精讲精练【高频考点精讲】1.一般步骤:去分母、去括号、移项、合并同类项、系数化为1,这仅是解一元一次方程的一般步骤,针对方程的特点,灵活应用,各种步骤都是为使方程逐渐向x=a形式转化.3.规律总结:(1)解一元一次方程时先观察方程的形式和特点,若有分母一般先去分母;若既有分母又有括号,且括号外的项在乘括号内各项后能消去分母,就先去括号.(2)在解类似于“ax+bx=c”的方程时,将方程左边,按合并同类项的方法并为一项即(a+b)x=c.使方程逐渐转化为ax=b的最简形式。
关于解方程中的去分母的典型例题一例 解下列方程(1)22)5(54-=--+x x x (2)13.02.03.05.09.04.0=+-+y y(3)52221+-=--y y y (4)6.15.032.04-=--+x x(5)621223+-=--x x x (6)01.002.01.02.02.018+=--x x x 分析:①先找出各分母的最小公倍数,去掉分母.②分母出现小数,为了减少运算量,将分子、分母同乘以10,化小数为整数. 解:(1)去分母,得,)2(5)5(10)4(2-=--+x x x , 去括号,得,105501082-=+-+x x x . 移项合并后,6813=x .两边同时除以13,得1368=x . (2)原方程化为1323594=+-+yy ,去分母,得15)23(5)94(3=+-+y y , 去括号,得1510152712=--+y y , 移项合并后32=y . 系数化为1,得23=y . (3)去分母,得)2(220)1(510+-=--y y y去括号,得42205510--=+-y y y移项,得54202510--=+-y y y合并,得117=y系数化为1,得711=y (4)原方程可以化成6.15)3(102)4(10-=--+x x 去分母,得6.1)3(2)4(5-=--+x x去括号,得6.162205-=+-+x x移项,得2066.125---=-x x合并,得6.273-=x系数化为1,得2.9-=x(5)去分母,得)2(6)23(36+-=--x x x 去括号,得26696--=+-x x x移项,得92666+-=++x x x 合并,得1313=x 系数化为1,得1=x (6)原方程可化为21022108+=--x xx 去分母,得)210(2)210(16+=--x x x去括号,得42021016+=+-x x 移项,得10420216+=-+x x x 合并,得142=-x 系数化为1,得7-=x 说明:(2)去分母时要注意不要漏乘没有分母的项,当原方程的分母是小数时,可以先用分数基本性质把它们都化成整数后,再去分母;(3)分数线除了可以代替“÷”以外,还起着括号的作用,分子如果是一个式子时,应该看作一个整体,在去分母时,不要忘了将分子作为整体加上括号.解方程的过程是等式恒等变形的过程,计算中要注意括号、符号等,掌握正确计算的方法.关于解方程中的去分母的典型例题二例 代数式318x+与1+x 的值的和是23,求x 的值.分析:根据题意,可列方程23)1(318=+++x x,解x 即可. 解:得方程23)1(318=+++x x, 去分母,得693318=+++x x . 移项,合并得484=x . 所以,12=x即x 的值为12.说明:①方程的形式不同,解方程的步骤也不一定相同,五个步骤没有固定顺序,也未必全部用到.②解方程熟练以后,步骤可以简化.关于解方程中去分母的典型例题二例 汽车从甲地到乙地,用去油箱中汽油的41,由乙地到丙地用去剩下汽油的51,油箱中还剩下6升.(1)求油箱中原有汽油多少升?(2)若甲乙两地相距22千米,则乙丙两地相距多少千米?(3)若丁地距丙地为10千米,问汽车在不再加油的情况下,能否去丁地然后再沿原路返回到甲地?分析:①利用等量关系:甲乙路段的汽油+乙丙路段的汽油+剩余的汽油=油箱的总油量;②利用路程与油量成比例方程;③看油量6升能使用多少千米?解:(1)设油箱的总油量为x 升,则x x x x =+⨯⎪⎭⎫ ⎝⎛-+6514141, 整理得62012=x ,得10=x (升). (2)设乙、丙相距y 千米,则甲乙相距22千米,用油5.24110=⨯=(升) 每升油可行驶8.85.222=千米. 乙、丙之间用油5.151)5.210(=⨯-(升),所以2.135.18.8=⨯=y (千米).(3)若从丙地返回还需用4升油,因此还剩2升油要从丙到丁再返回,6.1728.8=⨯(千米).2升油可行驶17.6千米,而丙、丁来回10×2=20千米, 6.1720>,因此,不能沿原路返回.说明:①多个问题的题目,前面问题的解可作为后面问题的条件;②本题关键要找出每升汽油可行驶多少千米.关于解方程中去分母的典型例题三例 一件工作,甲单独做20小时完成,乙单独做12小时完成.现在先由甲单独做4小时,剩下的部分由甲、乙合做.剩下的部分需要几小时完成?解:设剩下的部分需要x 小时完成.根据两段工作量之和应是总工作量,得11220204=++x x 去分母,得605312=++x x移项及合并,得488=x 6=x答:剩下的部分需要6小时完成.说明:此问题里的相等关系可以表示为:全部工作量=甲独做工作量+甲、乙合做的工作量.于是问题转化为如何表示工作量,我们知道,工作量=工作效率×工作时间.这里的工作效率是用分数表示的:一件工作需要a 小时完成,那么1小时的工作效率为a1.由此可知:m 小时的工作量=工作效率a m m =⨯,全部工作量=工作效率1==⨯aaa ,即在工程问题中,可以把全部工作量看作是1.关于解方程中的去括号的典型例题一例 解下列方程:(1))72(65)8(5-=-+x x (2))1(2)1()1(3-=--+x x x (3)()[]{}1720815432=----x分析:方程中含有多重括号,一般方法是逐层去括号,但考虑到本题的特点,可先将-7移到右边,再两边除以2,自动地去掉了大括号,同理去掉中括号,再去掉小括号.解:(1)去括号,得42125405-=-+x x移项,得54042125+--=-x x合并,得777-=-x系数化为1,得11=x(2)去括号,得22133-=+-+x x x 移项,得13223+--=-+x x x 合并,得42-=x系数化为1,得2-=x(3)移项,得()[]{}820815432=---x 两边都除以2,得[]4208)15(43=---x 移项,得[]248)15(43=--x 两边都除以3,得88)15(4=--x 移项,得16)15(4=-x两边都除以4,得415=-x 移项,得55=x系数化为1,得1=x说明:去括号时要注意括号前面的符号,是负号时去掉括号后要改变括号内各项的符号;解方程的过程是等式恒等变形的过程,计算中要注意括号、符号等,掌握正确计算的方法.关于解方程中去括号的典型例题二例 某抗洪突击队有50名队员,承担着保护大堤的任务.已知在相同的时间内,每名队员可装土7袋或运土3袋.问应如何分配人数,才能使装好的土及时运到大堤上?解:设分配工人装土,则运土有)50(x -人.根据装上的袋数与运土的袋数相等的关系,列得)50(37x x -=去括号,得x x 31507-=移项及合并,得15010=x所以运土的人数为3550=-x .答:应分配15人装土,35人运土,才能使装好的土及时运到大堤上.说明:找准题目中的相等关系关键在于如何理解“装好的土及时运到大堤上”,即使得已装好土的袋数和运走的袋数是相同的,所以依靠总人数50人可没装土的人数为x 人,则可以用x 表示运土的人数.其实在题中还可以依靠其他的相等关系列方程,试试看.关于解方程中去括号的典型例题三例 蜘蛛有8条腿,蜻蜓有6条腿.现有蜘蛛、蜻蜓若干只,它们共有270条腿,且蜻蜓的只数是蜘蛛的2倍少5.问蜘蛛、蜻蜓各有多少只?解:设蜘蛛有x 只,则蜻蜓有)52(-x 只. 根据蜘蛛与蜻蜓共有270条腿,列得270)52(68=-+x x去括号,得27030128=-+x x移项及合并,得30020=x 15=x蜻蜓的只数为2552=-x答:蜘蛛有15只,蜻蜓有25只.说明:本题要求出两个未知数的值,但由于这两个未知数的关系为“2倍少5”,所以只要用x 表示其中的一个未知数,就可以用)52(-x 表示另一个未知数.如果设蜻蜓的只数为x ,那么应该如何列方程呢?应用题的答案与上面求得的答案一样吗?关于解方程中去括号的典型例题四例(北京崇文,2003)小王在超市中买了单价是2.8元的某品牌鲜奶若干袋,过了一段时间再去超市,发现这种鲜奶正进行让利销售,每袋让利0.3元,于是他比上次多买了2袋,只比上次多花了2元钱,问上次买了多少袋这样的鲜奶?分析:等量关系是:上次买牛奶的钱数+2=这次买牛奶的钱数. 解:设上次买了x 袋这样的鲜奶,依题意得)2(5.228.2+=+x x55.228.2+=+x x 255.28.2-=-x x 33.0=x 10=x答:小王上次买了10袋这样的鲜奶.说明:与市场经济相关联的方程应用题是当前中考的一个热点,要加强这方面的练习.关于解方程中去括号的典型例题五例(“希望杯”试题)方程0333321212121=-⎭⎬⎫⎩⎨⎧-⎥⎦⎤⎢⎣⎡-⎪⎭⎫ ⎝⎛-x 的解为__________. 分析:方程里的括号较多,要依次去掉. 解法1:去掉小括号,整理后03329412121=-⎭⎬⎫⎩⎨⎧-⎥⎦⎤⎢⎣⎡-x ,去掉中括号,整理后034218121=-⎭⎬⎫⎩⎨⎧-x , 去掉大括号,整理后0845161=-x . 去分母,得090=-x . 所以90=x .解法2:-3移到右边,去掉大括号(乘以2),得6333212121=-⎥⎦⎤⎢⎣⎡-⎪⎭⎫ ⎝⎛-x , -3移到右边,乘以2去掉中括号,得18332121=-⎪⎭⎫⎝⎛-x , -3移到右边,乘以2去掉小括号,得42321=-x 易得90=x说明:①解此方程要边去括号,边运算、化简;②解法2运算量小.关于解方程中去括号和去分母的选择题1.解方程1443312=---x x 时,去分母正确的是( ) A .1129)12(4=---x x B .12)43(348=---x x C .1129)12(4=+--x x D .12)43(348=-+-x x 2.将方程5)24(32=--x x 去括号正确的是( )A .52122=--x xB .56122=--x xC .56122=+-x xD .5632=+-x x 3.将方程131212=--+x x 去分母正确的是( ) A .62216=+-+x x B .62236=--+x x C .12236=+-+x x D .62236=+-+x x4.解方程256133xx x -=--+,去分母所得结果正确的是( ) A .x x x -=+-+15132 B .x x x 315162-=+-+ C .x x x -=--+15162 D .x x x 315132-=+-+5.下列解方程的过程中正确的是( )A .将5174732+-=--x x 去分母得)17(4)75(52+-=--x x B .由102.07.015.03.0=--x x 得10027015310=--x xC .)28(2)73(540+=--x x 去括号得41671540+=--x xD .552=-x ,得225-=x 6.下列方程,解是0=x 的是( )A .8.034.057x x =-B .13423--=-x xC .()[]{}98765432=---xD .x x 322)73(72-=+7.方程)1(332+=-y y 的解是( )A .-6B .6C .54D .0 8.式子33+x 的值比式子512-x 的值大1,则x 为( ) A .3 B .4 C .5 D .6 9.若代数式23-y 的值比312-y 的值大1,则y 的值是( ) A .15 B .13 C .-13 D .-15 10.方程60)1(4)2(4=+--x x 的解是( )A .7=xB .76=xC .76-=x D .7-=x 11.若213+x 比322-x 小1,则x 的值为( )A .513B .-135C .-513D .13512.某项工作甲单独做4天完成,乙单独做6天完成,若甲先做一天,然后甲、乙合作完成此项工作,若甲乙共做了x 天,所列方程为( )A .1641=++x x B .1614=++x x C .1614=-+x x D .161414=+++x x 13.有m 辆客车及n 个人,若每辆客车乘40人,则还有10人不能上车,若每辆客车乘43人,则只有1人不能上车,有下列四个等式:①1431040-=+m m ②4314010+=+n n ③4314010-=-n n ④1431040+=+m m 其中符合题意的是( ) (A )①② (B )③④ (C )①③ (D )②④14.若方程)23()12(3+-=++a x a x 的解是0,则a 的值等于( )A .51 B .53 C .-51 D .-53 15.(天津市,2001)甲、乙两人骑自行车同时从相距65千米的两地相向而行,2小时相遇,若甲比乙每小时多骑2.5千米,则乙的时速是( )A .12.5千米/时B .15千米/时C .17.5千米/时D .20千米/时参考答案:1.B 2.C 3.D 4.B 5.D 6.D 7.A 8.A 9.C 10.D 11.C 12. A 13.B 14.D 15.B关于解方程中去括号和去分母的填空题1.____=m 时,式子212-m 的值是3; 2.如果4是关于x 的方程a a x x a 2)(353++=-的解,则____=a ; 3.若x y x y -=+=8,3521,当1y 比2y 大于1时,____=x ; 4.关于x 的方程054)2(2=-++k kx x k 是一元一次方程,则____=k 5.若)9(312y --与)4(5-y 的值相等,则____=y 6.当____=x 时,31-x 的值比21+x 的值大-3 7.当____=m 时,方程3445-=+x x 和方程)2(2)1(2-=-+m m x 的解相同.8.要使21+m 与23-m 不相等,则m 不能取的值是_______ 9.方程332=-x 与方程0331=--xa 有相同的解,则____=a .10.某数x 的21倍比另一数y 的23倍多5,则____=y .11.一个两位数,两个数位上的数字之和为12,且个位数字比十位数字大2,则这个两位数为________________;12.某商品先按批发价a 元提高10%零售,后又按零售价降低10%出售,则它最后的单价是___________.13.甲能在11天内完成此项工作,乙的工作效率比甲高10%,那么乙完成这项工作的天数为_______天.14.(2003年河南省中考题)某超市规定,如果购买不超过50元的商品时,按全额收费,购买超过50元的商品时,超过部分按九折消费,某顾客在一次消费中向售货员交纳了212元,那么在此消费中该顾客购买的是价值________________元的商品.15.(济南市,2003)下面是甲商场电脑产品的进货单,其中进价一栏被墨迹污染.读了进货单后,请你求出这台电脑的进价,是__________元.供货单位 乙单位 品名与规格 P4200 商品代码DN-63D7 商品归属电脑专柜进价(商品的进货价格) 元 标价(商品的预售价格)5850元 折扣8折 利润(实际销售后的利润)210元售后服务 终生保修,三年内免收任何费用,三年后收取材料费,五日快修,周转机备用,回访.1.27 2.-16 3.1 4.-2 5.25 6.413 7.38- 8.1 9.2 10.310-x 11.57 12.0.99a 13.1014.答案:230.利用等量关系50元+九折消费=212元. 设购买的是价值x 元的商品,则212%90)50(50=⨯-+x去括号整理得2079.0=x ,解得230=x (元). 15.4470(设进价为x 元,则2101085850+=⨯x ,解得4470=x关于解方程中去括号和去分母的计算题1.解下列方程(1)521215++=--y y y (2)13.02.18.12.06.02.1=-+-x x(3)5162.15.032.08+-=--+x x x (4)23241233431=⎥⎦⎤⎢⎣⎡-⎪⎭⎫ ⎝⎛-x 2.解下列方程(1)250)104(2)3010(5-=--+x x(2)2233)5(54--+=--+x x x x (3)1612213-+=-x x(4)⎥⎦⎤⎢⎣⎡+-=⎪⎭⎫ ⎝⎛---4)3(551014224123x x x x (5)5:63:2=m(6)7:23:4t =(7))1(27)1(4)1(31)1(3+--=--+x x x x (8))1(32)1(2121-=⎥⎦⎤⎢⎣⎡--x x x 3.利用等式的性质解方程:(1))1(9)14(3)2(2x x x -=--- (2)37615=-y (3)14126110312-+=+--x x x (4)x x 5.12)73(72-=+ (5)103.02.017.07.0+-=x x (6)y y 535.244.2=-- 4.列方程求解:(1)已知6--x 的值与71互为倒数,求x ; (2)x 等于什么数时,133-+x 等于1752++x 的值? (3)x 取何值时,235x -和[])53(521--x x 互为相反数? (4)a 为何值时,关于x 的方程03=+a x 的解比方程0432=--x 的解大2? 5.已知2021at t v S +=,如果81,4,13===a t S ,求0v . 6.若4=y 是方程)(532m y m y -=-+的解,求13-m 的值.参考答案1.(1)两边乘以10得)2(210)1(52++=--y y y去括号,得95-=y 所以,59-=y (2)转化为1312182612=-+-x x 简化为14636=-+-x x 解得32=x (3)转化为5162.153********+-=--+x x x 去分母,得)16(212)3010(2)8010(5+-=--+x x x去括号整理得48032-=x ,解得15-=x(4)两边同乘以3,去掉中括号得632412334=-⎪⎭⎫ ⎝⎛-x 32-移到右边再乘以43,去掉小括号得 54123=-x 解得27=x 2.(1)10-=x (2)6=x (3)72-=x (4)4=x (5)8.1=m (6)314=t (7)5-=x (8)511=x 3.(1)10-=x (2)3=y (3)61=x (4)0=x (5)1714=x (6)4=y 4.(1)13,1)6(71-==--x x (2)36,1752133=++=-+x x x (3)10,0)]53(5[21235==--+-x x x x (4)解03=+a x 得,3a x -=,解0432=--x 得,6-=x ,依题意得2)6(3=---a ,∴12=a 5.3,48121413020=⨯⨯+=v v 6.将4=y 代入方程得)4(5324m m -=-+ 整理得m m 5202-=-,所以,29=m , 则22513=-m关于解方程中去括号和去分母的应用题1.小王在超市中买了单价是2.8元的某品牌鲜奶若干袋,过了一段时间再去超市,发现这种鲜奶正进行让利销售,每袋让利0.3元,于是他比上次多买了2袋,却只比上次多花了2元钱,问上次买了多少袋这样的鲜奶?2.冷饮厅中A 种冰激凌比B 种冰激凌贵1元,小明和同学要了3个B 种冰激凌、2个A 种冰激凌,一共花了16元.两种冰激凌每个多少钱?3.班级的书架宽88厘米,某一层上摆满一种历史书和一种文学书,共90本.小明量得一本历史书厚0.8厘米,一本文学书厚1.2厘米.你知道这层书架上历史书和文学书各有多少本吗?4.一个两位数,十位上的数比个位上的数小1,十位与个位上的数的和是这个两位数的51,求这个两位数. 5.元旦期间,某商场搞优惠促销,决定由顾客抽奖确定折扣.某顾客购买甲、乙两种商品,分别抽到7折和9折,共付款386元,这两种商品的原销售价之和为500元.问,这两种商品的原销售价分别为多少钱?6.一个蓄水池装有甲、乙、丙三个进水管.单独开放甲管,45分钟可以注满全池;单独开放乙管,60分钟可以注满全池;单独开放丙管,90分钟可以注满全池.现将三管一齐开放,多少分钟可以注满水池?7.某中学开展校外植树活动,六年级学生单独种植,需要7.5小时完成;七年级学生单独种植,需要5小时完成.现在六年级、七年级学生先一起种植1小时,再由七年级学生单独完成剩余部分.共需多少时间完成?8.朝阳中学在预防“非典”的活动中,初二(2)班45名同学被平均分配到甲、乙、丙三处打扫环境卫生.甲处的同学最先完成打扫任务,班卫生委员根据实际情况及时把甲处的同学全部调到乙、丙两处支援,调动后乙处的人数恰好为丙处人数的1.5倍.问从甲处调往乙、丙两处各多少人?9.国家从多方面保障农民的根本利益,重视农业的发展.王大伯承包了25亩土地,今年春季改种茄子和西红柿两种大棚蔬菜,共用去了44 000元.其中种茄子每亩用了1700元,获纯利2 400元;种西红柿每亩用了1800元,获纯利2 600元.你知道王大伯今年一共获纯利多少元吗?10.我国古代数学问题:有大小两种盛米的桶,已经知道5个大桶加上1个小桶可以盛3斛米,1个大桶加上5个小桶可以盛2斛米.问1个大桶、1个小桶分别可以盛多少斛米?选自《九章算术》卷七“盈不足”.“今有大器五小器一容三斛,大器一小器五容二斛,问大小器各容几何.”11.我国古代数学问题:好马每天走240里,劣马每天走150里.劣马先走12天,好马几天可以追上劣马?选自《算学启蒙》.“良马日行二百四十里,劣马日行一百五十里.努马先行一十二日,问良马几何日追及之.”12.在城市中公交车的发车间隔时间是一定的.小明放学后走在回家的路上,他发现每隔6分钟从后面开来一辆公交车,每隔2分钟从前面开来一辆公交车,他想,公交车到底是几分钟发车一辆呢?你能帮他计算一下吗?13.某工程队每天安排120个劳力修建水库,平均每天每个劳力能挖土5方或运土3方,为了使挖出的土及时运走,问应如何安排挖土和运土的劳力?14.一个两位数,十位数字比个位数字的4倍多1,将两个数字调换顺序后所得数比原数小63,求原数.15.(宁波市,2000)某商店为了促销G 牌空调机,2000年元旦那天购买该机可分期付款,在购买时先付一笔款,余下部分及它的利息(年利率为5.6%)在2001年元旦付清,该空调机售价每台8224元.若两次付款数相同,问每次应付款多少元?16(2003年广东省中考题)某商场出售某种文具,每件可盈利2元,为了支援贫困山区,现在按原售价的7折出售给一山区学校,结果每件盈利0.2元.问该文具每件的进货价是多少元?17.某中学新建了一栋4层的教学大楼,每层楼有8间教室,进出这栋大楼共有4道门,其中两道正门大小相同,两道侧门大小也相同.在安全检查中,对4道门进行了测试.当同时开启一道正门和两道侧门时,2分钟内可以通过560名学生;当同时开启一道正门和一道侧门时,1分钟内可以通过200名学生.(1)求平均每分钟一道正门和一道侧门各可以通过多少名学生?(2)检查中发现,紧急情况时因学生拥挤(尽管有老师组织),出门的效率将降低10%;安全检查规定,在紧急情况下全大楼的师生应在5分钟内通过这4道门安全撤离.假设每间教室可容纳50名学生,此校教师是学生数的10%,教师通过门的速度快于学生,问:建造的这4道门是否符合安全规定?参考答案:1.设上次买了x 袋鲜奶,则128.2)2)(3.08.2(=+=+-x x x 2.设A 种冰激凌每个x 元,则8.3=x3.设书有x 本,则5088)90(2.18.0==-+x x x 4.设个位数字为x ,则5])1(10[511=+-=-+x x x x x ,此数为45 5.设甲种商品的原售价为x 元,则320%38)500%(90%70==-+x x x 6.设x 分可以注满水池,则201904560==++x x x x 7.设共需x 小时完成,则313)1(51515.711=-=⎪⎭⎫⎝⎛+-x x 8.设甲种调往乙处x 人,则12)1515(5.115=-+=+x x x9.设种茄子x 亩,则1044000)5(18001700==-+x x x ,总获利为:630002600)1025(240010=⨯-+⨯10.设1个小桶盛y 斛米,则247,3)52(5==+-y y y ,大桶可盛米:241352=-y 11.设好马x 天可以追上劣马,则1.20240)12(150==+⨯x xx 12.设公交车x 分钟发车一辆,则32266=-=-x x x13.设安排x 人挖土,则安排)120(x -人运土,则75120,45),120(35=-=-=x x x x (人)14.设个位数字为x ,则十位数字为14+x .2,63])14(10[1410=-=++-++x x x x x ,所以原数是92.15.分析:设第一次付款x 元,则第二次付款%)6.51)(8224(+-x 元,由两次付款数相同,可得 %)6.51)(8224(+-=x x .解:设第一次付款x 元,则%)6.51)(8224(+-=x x解得4224=x答:每次应付款4224元.说明:本题是分期付款问题,是一道紧扣生活实际和社会热点的好题.16.分析:利用等量关系盈利=售价-进价.解:设每件文具进货价为x 元,则标价为)2(+x 元,则x x -⨯+=%70)2(2.0, 整理后,2.13.0=x ,所以,4=x (元).因此,该文具每件的进价为4元.17.(1)设平均每分钟一道正门可以通过x 名学生,则一道侧门可以通过)200(x -名学生,则560)]200(2[2=-+x x解得120=x (名) 80200=-x 名所以,平均每分钟一道正门可以通过120名学生,一道侧门可以通过80名学生(2)这栋楼可容纳50×8×4=1 600(名)师生总和为1 600+1 600×10%=1 760(名)5分钟4道门能通过(120+80)×2×5=2 000(名)拥护时可通过2 000×(1-10%)=1 800(名)而17601800>且教师出门又快于学生所以,建造的4道门符合规定.。
初一数学解一元一次方程——去括号与去分母试题1.某学生在一次考试中,语文、数学、外语三门学科的平均成绩为80分,物理、化学两门学科的平均成绩为x分,该学生这5门学科的平均成绩是82分,则x=____.【答案】85【解析】本题主要考查一元一次方程的应用。
根据题意得语文、数学、外语三门学科的总分是240分,物理、化学两门学科的总分是2x分,等量关系为5门学科的总分5=82,列方程得:解得x=852.方程2-去分母得()A.2-2(2x-4)=-(x-7)B.12-2(2x-4)=-x-7C.12-4x-8=-(x-7)D.12-2(2x-4)=x-7【答案】D【解析】本题主要考查解元一次方程。
去分母时,方程两端同乘各分母的最小公倍数时,不要漏乘没有分母的项,同时要把分子(如果是一个多项式)作为一个整体加上括号.∵分母的最小公倍数6,∴方程两边同乘以6得:12-2(2x-4)=x-7.故选D.3.甲、乙两人练习赛跑,甲每秒钟跑7米,乙每秒钟跑6.5米,甲让乙先跑5米,•设甲出发x秒钟后,甲追上乙,则下列四个方程中不正确的是()A.7x=6.5x+5B.7x-5=6.5C.(7-6.5)x=5D.6.5x=7x-5【答案】B【解析】本题主要考查一元一次方程的应用。
首先理解题意找出题中存在的等量关系:乙跑的路程=甲跑的路程,根据此等式列方程即可.解:设甲出发x秒钟后追上乙,则甲所跑的路程为7x,而此时乙所跑的路程为6.5x+5;根据此时“甲追上乙”那么他们的总路程应该相同,即7x=6.5x+5.很显然题目中的第二个选项是错误的.故选B.4.解方程:【答案】(1)x=3(2)x=1 (3)x=-1【解析】本题主要考查解一元一次方程。
解一元一次方程的一般步骤是:去分母、去括号、移项、合并同类项、化系数为1.注意移项要变号.带分母的方程,所以要先去分母,再去括号,最后移项,化系数为1,从而得到方程的解解:(1)去分母得:2 (x-1)-x=3(4-x)去括号得2x-2-x=12-3x移项合并得4x=14,系数化为1得:x=3(2)原式变形为去分母得:30x-6=40x-16移项合并得:10x=10系数化为1得:x=1(3)由题意得去分母得:3(3-5x)-4(5+2x)+12=6(1-3x)去括号得:9-15x-20-8x+12=6-18x移项合并得:-5x=5系数化为1得:x=-15.七(一)班学生参加运土劳动,其中一部分人挑土,一部分人抬土,总共有40•支扁担和60只筐,设x人抬土,用去扁担x支和x只筐.挑土的人用(40-x)_____和(60-x)______,得方程60-x=2(40-x),解得x=_______.【答案】支扁担,只筐,40人【解析】本题主要考查解一元一次方程,去括号时,运用乘法的分配律,先把括号前的数字与括号里各项相乘,再运用括号前是“+”,去括号后,括号里的各项都不改变符号;括号前是“-”,去括号后,括号里的各项都改变符号.60-x=2(40-x)解:去括号得:60-x=80- x移项合并得:x=20解得: x=406.在一个笼子里面放着几只鸡与几只兔,数了数一共有14个头,44只脚.•问鸡兔各有几只?设鸡为x只得方程()A.2x+4(14-x)=44B.4x+2(14-x)=44C.4x+2(x-14)=44D.2x+4(x-14)=44【答案】A【解析】本题主要考查一元一次方程的应用。
自我测试 60 分钟看看准确率 牛刀小试 相信自己一定行1、 2x +1=7 ;2、 5x -2=8 ;3、 3x +3=2x +7 ;4、 x +5=3x -7 ;解:(移项)(合并)(化系数为 1)5、 11x -2=14x -9 ;6、 x -9=4x +27 ;7、 2 x + 6=1;8、 10 x -3=9 ;解:(移项)(合并)(化系数为 1)9、 4x -2=3-x ; 10、 -7 x + 2=2x -4 ;11、 5x -2= 7x +8 ;12、 1 x =- 1 x +34 2解:(移项)(合并)(化系数为 113、 x = 3 x + 35 2 x + 1 x 21- x =3x + ; 15、 - x =- 2x - =- +16 14、 1; 16、 2 2 2 5 3 3解:(移项)(合并)(化系数为 1).( x +0.5)+ x =7 ( x -1)= 4 ( x -1)= 1 ; 20、 2-( 1- x )=- 217、 4 ; 18、-2 ; 19、 5 ;解:(去括号)(移项)(合并)(化系数为 1)11x +1=5(2x +1) 4x -(320- x )= 3 5( x +8)- 5=0 2 21、 ; 22、 . 23、 ; 24、 ;解:(去括号)(移项)(合并)(化系数为 1)25、 -3( x +3)= 24 ; 26、 - 2( x - 2)=12; 27、 12(2-3x )= 4x +4 ; 28、 6-(3 x + 2)= 2 ;3 3解:(去括号)(移项)(合并)(化系数为 1)29、 (2200-15x )= 70+25x ; + 2= x ; - x x30、 (32x +1)=12 .31、 x 32、 3 = +4 ;5 4 2 3解:(去分母)(去括号)(移项)(合并)(化系数为 1)1 1 1 12 x - x + 2 1 = -( x +1)= (2x -3) ( x +1)= ( x -1) 33、 3; 34、 4 ; 35、 3 4 ;7 3 解:(去分母) (去括号) (移项) (合并) (化系数为 1( x -1)= 2- ( x + 2) 37、 ( x +14)= ( x +20) ( x +15)= - ( x -7) 36、 1 1 . 1 1 ; 38、 1 1 1. 2 5 7 4 5 2 3解:(去分母)(去括号) (移项)(合并) (化系数为 11 1 3 7 x - 5 32 x - 5 x +1 1 9x -2 x -= = 1 = - =39、 ; 4 2 ; 40、 4 8; 41、 6 ; 42、 2 x 7 64 8解:(去分母)(去括号)(移项)(合并)(化系数为 11 12 x + 5 x - 1 x )= 1 - 143、 x - ( - 1 =1 (2 x +14)= 4-2x3 2 ; 44、 ; 45、 ;5 2 36 7解:(去分母)(去括号)(移项)(合并)(化系数为 146、 3( 200+ x )- 2(300- x )= 300 9 . 47、 (83x -1)-(95x -11)-(22x -7)=30 ;10 10 25解:(去分母)(去括号)(移项)(合并)(化系数为 148、 1 x + 1= 1 x - 1 ; 49、 0.5x -1- 0.1x +2=-1; 50、 x -1 - x + 2 =12 .2 3 4 5 0.2 0.3 0.3 0.5解:(化整)(去分母)(去括号)(移项)(合并)(化系数为 1【参考答案】1、【答案】 (1) x =3 ; (2) x = 2 ; (3) x =4 ; (4) x =6;( 5) x = 7 ; ( 6) x =-12 ; ( 7) x =4 ; (8) x =-32 . 31.1、【答案】 ( 9) x =- 5 ; ( 10) x = 6 ; ( 11) x =-5 ; ( 12) x =- 1 ; 2 5 3( 13) x =1; ( 14) x = 2 ; ( 15 ) x =- 5 ; ( ) x =1 . 3 3 162、【答案】( 17) x =1 ;(18) x =-1 ; (19) x = 6 ; ( 20 ) x =- 3 ; ( 21 ) x =4 ; ( ) x =9 .2252.1、【答案】(23) x =- 7 ; ( 24) x =- 3 ; (25) x =-11 ; (26) x =- 4 ; ( 27) x = 1 ;( 28) x = 10 ; 2 2 9 ( 29) x =6 ; ( ) x = 3 30 . 23、【答案】 ( 31) x =8 ; ( 32) x = 1 ; ( ) x =-16 ; ( 34) x =7 ; ( 35 ) x =- 2 ;5 33 5( 36) x =3 ; ( 37) x =- 28 ; (38) x =- 5 .163.1、【答案】 ( 39) x =5 ; ( 40) x = 13 ; ( ) x =-1 ;( ) x =- 20; ( 43) x = 25 ;14 41 42 3 12( 44) x =-3 ; ( 45) x = 7 ; ( 46) x =216 . 84、【答案】 ( 47) x =3 ; ( 48) x =- 32 ; ( 49) x =64 ; ( 50) x = 29 . 15 13 2。
《解一元一次方程(2)——去括号与去分母》习题
一、选择题.
1、方程5x -4 =-9+3x 移项后得( ).
(A )5x +3x =-9-4 (B )5x -3x =-9+4
(C )5x +3x =-4-9 (D )5x -3x =-4+9
2、方程23234
x x --=去分母后可得( ). (A )x -2=3-2x (B )4x -8=9-6x
(C )12x -24=36-24x (D )3x -6=12-8x
3、某商品的标价为336,若降价以八折出售,仍可获利5%,则该商品的进价是( ).
(A )298 (B )328 (C )320 (D )360
二、填空题.
1、日历中同一竖列相邻四个数的和是54,则最上边的数对的日期是___________,最下边的数对的日期是__________.
2、小红在商店打折时花210元买了一件衣服,这件衣服在商店里现在又在以原价的8折销售标价240元,小红是以衣服的原价的______折买的.
3、一船由甲地开往乙地,顺水航行要t 小时,逆水航行比顺水航行多用0.5小时,已知船在静水中的速度为v 千米/时,求水流速度.若设水流速度为x 千米/时,则可列方程______________________________________.
三、解方程.
(1)4232+=-x x ; (2)2
1141+=--x x ; (3)
223131x x --=--; (4)32213415x x x --+=-; (5)5131+=-x x ; (6)5
1131+=--x x ; (7)512131+-=+-x x .。
解一元一次方程 基础练习题2去括号去分母1.在解方程:()()312236x x --+=时,去括号正确的是A .31436x x --+=B .33466x x ---=C .31436x x +--=D .31466x x -+-=2.解方程342x x -+=()去括号正确的是A .3–x +2=xB .3–4x –8=xC .3–4x +8=xD .3–x –2=x 3.在解方程123123x x -+-=时,去分母正确的是 A .()()312231x x --+=B .()()312236x x --+=C .31431x x --+=D .31436x x --+= 4.解方程151412x x x +-=-时,去分母正确的是 A .3(x +1)=x –(5x –1)B .3(x +1)=12x –5x –1C .3(x +1)=12x –(5x –1)D .3x +1=12x –5x +1 5.在解方程1135x x -=-时,去分母后正确的是 A .()51531x x =--B .()131x x =--C .()5131x x =--D .()5331x x =-- 6.下列变形中: ①由方程1225x -=去分母,得x –12=10; ②由方程2992x =两边同除以29,得x =1; ③由方程6x –4=x +4移项,得7x =0; ④由方程53262x x -+-=两边同乘以6,得12–x –5=3(x +3). 错误变形的个数是 A .4个B .3个C .2个D .1个7.把方程2113332x x x -++=-去分母正确的是 A .3x +2(2x –1)=3–3(x +1)B .3x +(2x –1)=3–(x +1)C .18x +(2x –1)=18–(x +1)D .18x +2(2x –1)=18–3(x +1) 8.代数式12m +与m –14的值互为相反数,则m 的值为 A .32 B .–16 C .–13D .12 9.关于x 的方程2(x –2)–3(4x +1)=9,下面解答正确的是A .2x –4–12x +3=9,–10x =9+4–3=10,x =1B .2x –4–12x +3=9,–10x =10,x =–1C .2x –4–12x –3=9,–10x =16,x =–85D .2x –2–12x –3=9,–10x =2,x =–15 10.方程3x +2(1–x )=4的解是A .x =25B .x =65C .x =2D .x =111.在一个笼子里面放着几只鸡与几只兔,数了数一共有14个头,44只脚.问鸡兔各有几只?设鸡为x 只得方程A .2x +4(14–x )=44B .4x +2(14–x )=44C .4x +2(x –14)=44D .2x +4(x –14)=44 12.解方程21101136x x ++-=时,去分母正确的是 A .()211011x x +-+=B .411016x x +-+=C .()()2211011x x +-+=D .()()2211016x x +-+= 13.将方程21123x x -+-=去分母,得到的整式方程是 A .1–3(x –2)=2(x +1)B .6–2(x –2)=3(x +1)C .6–3(x –2)=2(x +1)D .6–3x –6=2x +2 14.在解方程14123x x -=+时,去分母后正确的是__________. 15.当y =__________时,1–256y -与36y -的值相等. 16.如果代数式16422x x ⎛⎫-+ ⎪⎝⎭与1713x ⎛⎫-- ⎪⎝⎭的值相等,那么x =__________.17.对于任意有理数a ,b ,定义关于“⊗”的一种运算如下:a ⊗b =2a –b ,例如:5⊗2=2×5–2=8,(–3)⊗4=2×(–3)–4=–10.若(x –3)⊗x =2011,则x 的值为__________.18.解方程:(1)4–3(2–x )=5x ;(2)2181236x x x -++-=-.19.解下列方程:(1)2(x +3)=5(x –3);(2)214335x x x --=-.20.已知关于x 的方程mx +2=2(m —x )的解满足|x –12|–1=0,求m 的值.21.对于非零的两个实数a 、b ,规定2a b b a ⊗=-,若111x ⊗+=(),则x 的值为A .1-B .1C .12D .022.解方程2x +3(2x –1)=16–(x +1)的第一步应是A .去分母B .去括号C .移项D .合并 23.解方程1–362x x +=,去分母,得 A .1–x –3=3xB .6–x –3=3xC .6–x +3=3xD .1–x +3=3x 24.若方程()3213x x -=的解与关于x 的方程()6223a x -=+的解相同,则a 的值为A .2B .2-C .1D .1- 25.把方程213148x x --=-去分母后,正确的结果是 A .2x –1=1–(3–x )B .2(2x –1)=1–(3–x )C .2(2x –1)=8–3+xD .2(2x –1)=8–3–x26.对方程21512034x x---+=去分母,正确的是A.4(2x–1)–3(5x–1)+2=0 B.4(2x–1)–3(5x–1)+24=12C.3(2x–1)–4(5x–1)+24=0 D.4(2x–1)–3(5x–1)+24=027.汪涵同学在解方程7a+x=18时,误将+x看作–x,得方程的解为x=–4,那么原方程的解为A.x=4 B.x=2 C.x=0 D.x=–228.对于有理数a,b,规定一种新运算:a⊕b=ab+b,则方程(x–4)⊕3=–6的解为__________.29.对任意四个有理数a,b,c,d定义新运算:a bc d=ad–bc,已知241xx-=18,则x=__________.30.阅读材料:规定一种新的运算:a bc d=ad–bc.例如:1234=1×4–2×3=–2.(1)按照这个规定,请你计算5624的值;(2)按照这个规定,当242122xx--+=5时,求x的值.31.老师在黑板上出了一道解方程的题212134x x -+=-,小明马上举手,要求到黑板上做,他是这样做的: ()()421132x x -=-+…………………①84136x x -=--………………………②83164x x +=-+………………………③111x =-…………………………………④111x =-…………………………………⑤ 老师说:小明解一元一次方程的一般步骤都知道却没有掌握好,因此解题时有一步出现了错误,请你指出他错在_________(填编号);然后,你自己细心地解下面的方程:(1)3(3x +5)=2(2x –1);(2)2157146y y ---=.32.已知关于x 的方程:()211x x -+=与()31x m m +=-有相同的解,求关于y 的方程3332my m y --=的解.A .2x –1+6x =3(3x +1)B .2(x –1)+6x =3(3x +1)C .2(x –1)+x =3(3x +1)D .(x –1)+x =3(x +1)35.(2017·武汉)解方程:432(1)x x -=-.参考答案1. B2. B3. B4. C5. A6. B7. D8. B9. C10. C11. A12. D13. C14. ()3186x x -=+.15. 816. 617. 201718. (1)x =–1.(2)x =3.19. (1)7;(2)1/220. 所以m 的值为10或25. 21. D22. B23. B24. D25. C26. D27. A28. 129. 330. (1)8;(2)1;31. ① 32. 1213y =-. 33. B34. -1735. 1/2。
3.3解一元一次方程(二) ——去括号与去分母一.选择题(共5小题) 1.(2023春•沈丘县期末)将方程3x−12−x+25=−2去分母得( )A .5(3x ﹣1)﹣(x +2)=﹣2B .5(3x ﹣1)﹣2(x +2)=﹣2C .5(3x ﹣1)﹣2(x ﹣2)=﹣20D .5(3x ﹣1)﹣2(x +2)=﹣202.(2023春•衡阳期末)解方程1−x+36=x2,去分母,得( ) A .1﹣x ﹣3x =3B .6﹣x ﹣3=3xC .6﹣x +3=3xD .1﹣x +3=3x3.(2022秋•天山区校级期末)解方程1−x+33=x2,去分母正确的是( ) A .1﹣2x ﹣3=3xB .1﹣2x ﹣6=3xC .6﹣2x ﹣6=3xD .6﹣2x +6=3x4.(2022秋•芙蓉区校级期末)在解方程x−13+x =3x+12时,方程两边同时乘以6,去分母后,正确的是( )A .2x ﹣1+6x =3(3x +1)B .2(x ﹣1)+6x =3(3x +1)C .2(x ﹣1)+x =3(3x +1)D .(x ﹣1)+x =3(x ﹣1)5.(2022秋•平泉市校级期末)方程:5x+13−2x−16=1的解为( )A .38B .−38C .83D .−83二.填空题(共3小题)6.(2022春•永春县月考)方程x ﹣4=0的解是 . 7.(2022•白云区二模)方程x+12=2−x 4的解是 .8.(2023•沙坪坝区校级开学)若2x ﹣1=0,则x 的值为 .三.解答题(共3小题)9.(2022秋•南岗区期末)解方程: (1)5x =1519; (2)14x −16x =4.10.(2022秋•芜湖期末)阅读材料:如何将0.7.化为分数形式. 探究过程:步骤①设x =0.7.;步骤②10x =10×0.7.;步骤③10x =7.7.,则10x =7+0.7.;步骤④10x =7+x ,解得x =79. 请你根据上述阅读材料,解答下列问题: (1)步骤①到步骤②的依据是 ; (2)仿照上述探究过程,请你把0.3.7.化为分数形式: 步骤①设x =0.3.7.,步骤②100x =100×0.3.7.; 步骤③ ;步骤④ ,解得x = ; (3)请你将0.48.化为分数形式,并说明理由. 11.(2022秋•邢台期末)解方程: (1)3(2x ﹣1)=5x +2; (2)5x+13−2x−16=1.一.选择题(共3小题)1.(2023•陇西县校级模拟)定义a ⓧb =2a +b ,则方程3ⓧx =4ⓧ2的解为( ) A .x =4B .x =﹣4C .x =2D .x =﹣22.(2022秋•惠东县期末)若代数式a+34比2a−37的值多1,则a =( ) A .﹣5B .−15C .5D .153.(2022秋•聊城期末)把方程3x 0.2−1=2x0.3的分母化为整数可得方程( )A .30x2−10=20x3B .30x2−1=20x3C .30x 2−10=2x 3D .3x 2−1=2x 3二.解答题(共1小题)4.(2022秋•川汇区期末)解方程: (1)5x +2(x ﹣1)=2x ﹣(x +10); (2)x+12=2−x 3+3.一.选择题(共3小题)1.(2023•平桥区校级开学)王涵同学在解关于x 的一元一次方程7a +x =18时,误将+x 看作﹣x ,得方程的解为x =﹣4,那么a 原方程的解为( ) A .x =4B .x =2C .x =0D .x =﹣22.(2022秋•潮安区期末)设a ⊕b =3a ﹣b ,且x ⊕(2⊕3)=1,则x 等于( ) A .3B .8C .43D .163.(2022秋•通川区校级期末)若关于x 的方程kx ﹣2x =14的解是正整数,则k 的整数值有( )个. A .1个B .2个C .3个D .4个二.解答题(共2小题)4.(2023春•襄汾县月考)解一元一次方程: (1)6(x −23)−(x +7)=11; (2)2x−13=2x+16−2.5.(2022秋•龙亭区校级期末)我们知道,有理数包括整数、有限小数和无限循环小数,事实上,所有的有理数都可以化为分数形式(整数可看作分母为1的分数),那么无限循环小数如何表示为分数形式呢?请看以下示例:例:将0.7⋅化为分数形式,由于0.7⋅=0.777…,设x =0.777…,① 得10x =7.777…,②②﹣①得9x =7,解得x =79,于是得0.7⋅=79.同理可得0.3⋅=39=13,1.4⋅=1+0.4⋅=1+49=139.根据以上阅读,回答下列问题:(以下计算结果均用最简分数表示)【类比应用】(1)4.6⋅= ; (2)将0.2⋅7⋅化为分数形式,写出推导过程; 【迁移提升】(3)0.2⋅25⋅= ,2.01⋅8⋅= ;(注0.2⋅25⋅=0.225225…,2.01⋅8⋅=2.01818…) 【拓展发现】(4)若已知0.7⋅14285⋅=57,则2.2⋅85714⋅= .。
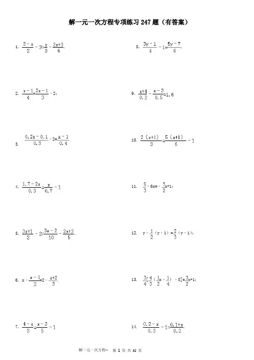
解一元一次方程专项练习247题(有答案)1..2.=﹣2;3.﹣2=.4.5..6.x ﹣=2﹣.8..9.10.11. ﹣6x=﹣x+1;12. y ﹣(y﹣1)=(y﹣1);13. [(x ﹣)﹣8]=x+1;15.﹣=1.16.17.2﹣=﹣.18.﹣1=﹣.19..20..21.22..23.;24. .25..26.27..28. 2﹣=x ﹣;29. ﹣1=.30..31.(x﹣1)=2﹣(x+2).32..33.34.35. ;36. .37..38.39.40.41.42. x ﹣43.;44. .45.(x﹣1)﹣(3x+2)=﹣(x﹣1).46.;47.;48. .49.+1=;50. 75%(x﹣1)﹣25%(x﹣4)=25%(x+6)51.52.53.54.55.56.57. ;58. .59. 2x ﹣(x﹣3)=[x ﹣(3x+1)].60.61.62.x+=1﹣63..64.65. ﹣=.66.=67.68.69.70.=;71. 3(x+2)﹣2(x ﹣)=5﹣4x.72. 2x ﹣73.74.[(﹣1)﹣2]﹣x=2.75.﹣1=.76.,77..78.79.80. ;81. .82.83.84.85. ﹣=.86.=1﹣.87.88..89..90..91. 92. ;93..94..95.;96. .97..98. ;99. [(x﹣1)﹣3]=2x﹣5;100..101.70%x+(30﹣x)×55%=30×65%.102.﹣=﹣x103.104.105.106.;107. ﹣=1.5.108. ﹣9.5 109.110.111.112.﹣=1;113. [(2x+2)﹣x]=.114.115.116.117.z+=z ﹣;118. ;119. .120..121.122. ;123. (5x﹣2)×30%=(7x+8)×20%.124..125. ;126. ;127. ;128. .129.130. 2{3[4(5x﹣1)﹣8]﹣20}﹣7=1;131.=1;132. x﹣2[x﹣3(x+4)﹣5]=3{2x﹣[x﹣8(x﹣4)]}﹣2;133. ;134. .135.136.137. {}=1138.139.﹣[x ﹣(x ﹣)]﹣=x+.140..141.=3.142.x ﹣=2﹣;143. ﹣=.144.145..146..147..148..149. .150..151.x ﹣[x ﹣(x﹣9)]=(x﹣9)152. .153..154..155.156..157. .158. .159. .160. .161..162..163.164. .165..166.167. .168..169. ;170. .171...172..=+2.173..174.﹣=1﹣.175..176..177..178.﹣=16.179. .180. =(x﹣1)﹣181. =0.182. .183..184.z+=z ﹣.185..186. 187. .188.189. ﹣=3190. .191. ;192. .193. +=1﹣x.194. .195.196. ﹣1197.198.199. .200. 4x+3(0.2﹣2x)=(8﹣6x)﹣2x;201. .202..203.﹣.204.y ﹣=3﹣205.+x=.206..207..208.(x﹣2)+2x=(7﹣5x);209. 0.7x+0.5(30﹣x)=30×0.6.210.﹣=5.211.212.213. .214. .215. 3x+.216..217.218. ﹣=1﹣219. ﹣=.220. ;221. .222. ﹣=1 223.224..225. ﹣(1﹣2x)=(3x+1)226. ﹣=﹣x227. .228. +=+1229..230..231.2[1﹣(x ﹣)]=3[﹣(2x ﹣)].232.{[(x+5)﹣4]+3}=1233..234.,235. .236.237..238..239..240.﹣=3﹣.241. 242. .243.244. .245..246.247..解一元一次方程247题参考答案:1.去分母得:3(2﹣x)﹣18=2x﹣(2x+3),去括号得: 6﹣3x﹣18=﹣3,移项合并得:﹣3x=9,∴x=﹣32.去分母得,3(x﹣1)=4(2x﹣1)﹣24,去括号得,3x﹣3=8x﹣4﹣24,移项、合并同类项得,5x=25,系数化为1得,x=5;3. 原方程变形为:﹣2=,去分母得,4(2x﹣1)﹣24=3(10x﹣10),去括号得,8x﹣4﹣24=30x﹣30,移项、合并同类项得,22x=2,系数化为1得,x=4.去分母得,7(1.7﹣2x)=3x﹣2.1去括号,11.9﹣14x=3x﹣2.1移项合并同类项得,﹣17x=﹣14系数化为1得,x=.5.原方程变形成5(3x+1)﹣20=3x﹣2﹣2(2x+3) 15x﹣15=﹣x﹣816x=7∴6.去分母得:6x﹣3(x﹣1)=12﹣2(x+2)去括号得:6x﹣3x+3=12﹣2x﹣4移项得:6x﹣3x+2x=12﹣4﹣3合并得:5x=5系数化为1得:x=1.7.去分母得:5(4﹣x)=3(x﹣3)﹣15,化简可得: 2x=11,系数化1得: x=8.原式可变形为:3(3y﹣1)﹣12=2(5y﹣7)去括号得: 9y﹣3﹣12=10y﹣14移项得: 9y﹣10y=﹣14+12+3合并得:﹣y=1系数化1得: y=﹣19.原方程分母化整得:去分母,得 5(x+4)﹣2(x﹣3)=1.6,系数化1,得 x=10.去分母得:4(x+1)=5(x+1)﹣6,去括号得: 4x+4=5x+5﹣6,移项、合并得:﹣x=﹣5,系数化为1得: x=5.11. 移项,合并得x=,化系数为1,得x=;12. 去分母,得6y﹣3(y﹣1)=4(y﹣1),去括号,得 6y﹣3y+3=4y﹣4,移项,合并得 y=7;13. 去括号,得(x ﹣)﹣6=x+1,x ﹣﹣6=x+1,移项,合并得x=;14. 原方程变形为﹣1=,去分母,得2(2﹣10x)﹣6=3(1+10x),去括号,得 4﹣20x﹣6=3+30x,移项,合并得﹣50x=5,化系数为1,得 x=﹣.15.去分母得:3(x﹣7)+4(5x﹣6)=12,去括号得: 3x﹣21+20x﹣24=12,移项得: 3x+6x=12+21+24,合并同类项得: 9x=57,化系数为1得: x=16.去分母:6(x﹣3)+4(6﹣x)=12+3(1+2x),去括号:6x﹣18+24﹣4x=12+3+6x,移项:6x﹣4x﹣6x=12+3+18﹣24,化简:﹣4x=9,化系数为1:x=﹣.17.去分母得:12﹣2(2x﹣4)=﹣(x﹣7),去括号得: 12﹣4x+8=﹣x+7,移项得:﹣4x+x=7﹣20,合并得:﹣3x=﹣13,系数化为1得: x=.18.去分母得:3(2x+1)﹣12=4(2x﹣1)﹣(10x+1),去括号得: 6x+3﹣12=8x﹣4﹣10x﹣1,移项合并同类项得: 8x=4,系数化为得: x=移项得: 10x﹣9x=﹣3+14﹣12系数化为1得: x=﹣120.去分母得:3(3x+4)﹣2(6x﹣1)=6去括号得: 9x+12﹣12x+2=6移项、合并同类项得:﹣3x=﹣8系数化为1得: x=21.去分母得:6(x+4)﹣30x+150=10(x+3)﹣15(x﹣2)去括号得: 6x+24﹣30x+150=10x+30﹣15x+30移项、合并得:﹣19x=﹣114化系数为1得: x=6.22.去分母得:4(2x﹣1)﹣3(3x﹣1)=24,去括号得: 8x﹣4﹣9x+3=24,移项合并得:﹣x=25,化系数为1得: x=﹣2523. 原方程可以变形为:5x﹣10﹣2(x+1)=3,5x﹣10﹣2x﹣2=3,3x=15,x=5;24. 原方程可以变形为[x ﹣(x ﹣x+)﹣]=x+,(x ﹣x+x ﹣﹣)=x+,(x ﹣)=x+,,,x=﹣25.﹣=﹣12(2x﹣1)﹣(5﹣x)=3(x+3)﹣62x=10x=526.去括号得:x ﹣﹣8=x,移项、合并同类项得:﹣x=8,系数化为1得: x=﹣8.27.,去分母得:2x﹣(3x+1)=6﹣3(x﹣1),去括号得: 2x﹣3x﹣1=6﹣3x+3,移项、合并同类项得:2x=10, 12﹣x﹣5=6x﹣2x+2﹣x﹣6x+2x=2﹣12+5﹣5x=﹣5x=1;29.4(10﹣20x)﹣12=3(7﹣10x)40﹣80x﹣12=21﹣30x﹣80x+30x=21﹣40+12﹣50x=﹣7.30.去分母得:3(2x+1)﹣12=12x﹣(10x+1),去括号得:6x﹣9=2x﹣1,合并得: 4x=8,化系数为1得: x=2.31.去分母得:5(x﹣1)=20﹣2(x+2),去括号得: 5x﹣5=20﹣2x﹣4,移项合并得: 7x=21,系数化为1得: x=3.32.原方程可化为:去分母得:40x+60=5(18﹣18x)﹣3(15﹣30x),去括号得:40x+60=90﹣90x﹣45+90x,移项、合并得: 40x=﹣15,系数化为1得: x=33.原方程变形为:50(0.1x﹣0.2)﹣2(x+1)=3,5x﹣10﹣2x﹣2=3,3x=15,x=5.34.去分母得:2(2x﹣1)=6﹣3x,去括号得: 4x﹣2=6﹣3x,移项得: 4x+3x=8,系数化为1得: x=35. 方程两边同乘15,得3(x﹣3)﹣5(x﹣4)=15,整理,得 3x﹣9﹣5x+20=15,解得﹣2x=4,x=﹣2.36. 方程两边同乘1,得50(0.1x﹣0.2)﹣2(x+1)=3,整理,得 5x﹣10﹣2x﹣2=3,解得: 3x=15,∴x=537.去分母得:3y﹣18=﹣5+2(1﹣y),去括号得:3y﹣18=﹣5+2﹣2y,移项合并得: 5y=15,38..解:去括号得:12﹣2y﹣2﹣3y=2,移项得:﹣2y﹣3y=2﹣12+2,合并同类项得:﹣5y=﹣8,系数化为1得:.39. 解:去分母得:3(2﹣x)﹣18=2x﹣(2x+3),去括号得:6﹣3x﹣18=2x﹣2x﹣3,移项得:﹣3x﹣2x+2x=﹣3﹣6+18(或﹣3x=﹣3﹣6+18),合并同类项得:﹣3x=9,系数化为1得:x=﹣340.去分母得:3x(x﹣1)﹣2(x+1)(x+6)﹣(x+1)(x﹣1)=6 去括号得:3x2﹣3x﹣2x2﹣14x﹣12﹣x2+1=6合并得:﹣17x=17化系数为1得:x=﹣141. 原式通分得:,整理得:,将其变形得:﹣x+3=6,∴x=﹣3.42. 原式变形为:x+3=,将其通分并整理得:10x﹣25+3x﹣6=15x+45,即﹣2x=76,∴x=﹣3843. 解:去分母得,3(x﹣7)﹣4(5x+8)=12,去括号得,3x﹣21﹣20x﹣32=12,移项合并同类项得,﹣17x=65,系数化为1得,x=;44. 解:去括号得,2x ﹣x+x ﹣=x ﹣,去分母得,24x﹣6x+3x﹣3=8x﹣8,移项合并同类项得,13x=﹣5,系数化为1得,x=﹣45.去分母得:15(x﹣1)﹣8(3x+2)=2﹣30(x﹣1),∴21x=63,∴x=346.去括号,得a ﹣﹣2﹣a=2,去分母,得a﹣4﹣6﹣3a=6,移项,合并得﹣2a=16,化系数为1,得a=﹣8;47. 去分母,得5(x﹣3)﹣2(4x+1)=10,去括号,得5x﹣15﹣8x﹣2=10,移项、合并得﹣3x=27,化系数为1,得x=﹣9;48. 把分母化为整数,得﹣=2,去分母,得5(10x+40)﹣2(10x﹣30)=20,去括号,得50x+200﹣20x+60=20,移项、合并得30x=﹣240,化系数为1,得x=﹣849. +1=解:去分母,得3x+6=2(2﹣x);去括号,得3x+6=4﹣2x移项,得3x+2x=4﹣6合并同类项,得5x=﹣2系数化成1,得x=﹣;50. 75%(x﹣1)﹣25%(x﹣4)=25%(x+6)解:将原方程等价为:0.75(x﹣1)﹣0.25(x﹣4)=0.25(x+6)去括号,得0.75x﹣0.75﹣0.25x+1=0.25x+1.5移项,得0.75x﹣0.25x﹣0.25x=1.5﹣1+0.75合并同类项,得0.25x=1.25系数化成1,得x=551. 去分母得:5(x﹣3)﹣2(4x+1)=10,去括号得:5x﹣15﹣8x﹣2=10,移项、合并得:﹣3x=27,系数化为1得:x=﹣9.52. 去括号得:2x﹣4﹣x+2=4,移项、合并得:x=6.53. 去分母得:12x﹣(2x+1)=12﹣3(3x﹣2),去括号得:12x﹣2x﹣1=12﹣9x+6,移项、合并得:19x=19,系数化为1得:x=154. 去括号得:x﹣1﹣3﹣x=2,移项,合并同类项得:﹣x=6,系数化为1得:x=﹣8.55 去分母得:18x+3(x﹣1)=18﹣2(2x﹣1),去括号得:18x+3x﹣3=18﹣4x+2,移项,合并得:25x=23,系数化为1得:x=.56. 去分母得:3x﹣7﹣2(5x+8)=4,去括号得:3x﹣7﹣10x﹣16=4,移项、合并得:﹣7x=27,系数化为1得:x=﹣.57. 去分母得:3(3x+5)=2(2x﹣1),去括号得:9x+15=4x﹣2,移项合并得:5x=﹣17,系数化为1得:;58. 去分母得:(5x+2)﹣2(x﹣3)=2,去括号得:5x﹣2x=﹣6+2﹣2,移项合并得:3x=﹣6,系数化为1得:x=﹣259.去小括号得:2x ﹣x+2=[x ﹣x ﹣],去中括号得:2x ﹣x+2=x ﹣x ﹣,去分母得:12x﹣4x+12=2x﹣3x﹣1,移项、合并得:9x=﹣13,系数化为1得:x=﹣60. ,去分母得3(x﹣15)=﹣15﹣5(x+7),∴3x﹣45=﹣15﹣5x﹣35,∴x=;61. ,方程变形为,去分母得20x﹣20x+30=﹣2x+6,∴x=﹣1262.去分母得:15x+5(x+2)=15﹣3(x﹣6)去括号得:15x+5x+10=15﹣3x+18移项得:15x+5x+3x=15+18﹣10合并得:23x=23系数化为1得:x=163.原方程可化为:﹣=,去分母得:4x+8﹣2(3x+4)=2(x﹣1),去括号得:4x+8﹣6x﹣8=2x﹣2,移项合并同类项得:﹣4x=﹣2,系数化为1得:x=64.原方程可化为:,去分母得:3(7x﹣1)=4(1﹣2x)﹣6(5x+1)去括号得:21x﹣3=4﹣8x﹣30x﹣6移项合并同类项得:59x=1系数化为1得:x=65.去分母得:4(3x﹣2)﹣6=7x﹣4.去括号得:12x﹣8﹣6=7x﹣4.移项、合并同类项得:5x=10.系数化为1得:x=2.66.原方程可以化为:=+1去分母得: 2(2x﹣1)=3(x+2)+6去括号得: 4x﹣2=3x+6+6即 x=1467 去分母得:4(2x﹣1)﹣3(2x﹣3)=12,整理得:2x﹣7=0,解得:x=3.5.68. 去括号,,∴,∴x+1=2,解得:x=169.去分母得:6(4x+9)﹣15(x﹣5)=30+20x 去括号得:24x+54﹣15x+75=30+20x移项,合并同类项得:﹣11x=﹣99化系数为1得:x=970. 去分母得:7(5﹣7x)=8(5x﹣2),去括号得:35﹣49x=40x﹣16,移项合并同类项得,﹣89x=﹣51,系数化为得:x=;71. 去括号得:3x+6﹣2x+3=5﹣4x,移项合并同类项得:5x=﹣4,系数化为得:x=﹣.72..去分母得:12x﹣2(5x﹣2)=24﹣3(3x+1),去括号得:12x﹣10x+4=24﹣9x﹣3,移项、合并得:11x=17,系数化为1得:x=.73.去分母得:6x﹣2(1﹣x)=(x+2)﹣6,去括号得:6x﹣2+2x=x+2﹣6,移项得:6x+2x﹣x=2﹣6+2,合并同类项得:7x=﹣2,系数化为得:x=74.去中括号得:(﹣1)﹣3﹣x=2,去括号、移项、合并得:﹣x=6,系数化为1得:x=﹣875. 去分母得:(2x+5)﹣24=3(3x﹣2),去括号得:8x+20﹣24=9x﹣6,移项得:8x﹣9x=﹣6﹣20+24,合并同类项得:﹣x=﹣2,系数化为1得:x=2.76.去括号得:x+++=1去分母得: x+1+6+56=64移项得: x=177.去分母得:3﹣(x﹣7)=12(x﹣10),去括号得:3﹣x+7=12x﹣120,移项、合并得:﹣13x=﹣130,系数化为1得:x=1078.去分母得:8﹣(7+3x)=2(3x﹣10)﹣8x 去括号得: 8﹣7﹣3x=6x﹣20﹣8x移项合并得:﹣x=﹣21系数化为1得: x=2179.去括号,得3(x ﹣)+1=5x,3x ﹣+1=5x,6x﹣3+2=10x,移项、合并同类项得:﹣4x=1,系数化为1得: x=80.4(2x﹣1)﹣12=3(5x﹣3)8x﹣4﹣12=15x﹣9﹣7x=7x=﹣1;81.5(3x﹣1)=2(4x+2)﹣1015x﹣5=8x+4﹣107x=﹣1x=﹣.82.去括号得,2(﹣1)﹣4﹣2x=3,x﹣2﹣4﹣2x=3,移项合并同类项得,﹣x=9,系数化为得, x=﹣983. 去括号得:x﹣2﹣3x+1=1﹣x,解得:x=﹣2.84. 原方程可化为:=﹣,去分母得:3(7x﹣1)=4(1﹣0.2x)﹣6(5x+1),去括号得:21x﹣1=4﹣0.8x﹣30x﹣6,移项、合并同类项得:51.8x=﹣1,系数化为1得:x=85.原方程化为:﹣=,整理得: 12x=6,解得: x=86.原式变形为:+=1,把小数化为分数、整理得:,去分母得:4(4﹣x)=12﹣(2x﹣6),去括号得16﹣4x=12﹣2x+6,移项、合并得:﹣2x=2,系数化为1得:x=﹣187.去大括号,得:,去中括号得:,去小括号得:=0,移项得:y=3,系数化1得:y=688..原方程化为:(1分)去分母得:3(5x+9)+5(x﹣5)=5(1+2x)化简得:10x=3解得:.89.去分母得:5(3x+2)﹣15=3(7x﹣3)+2(x﹣2)去括号得:15x+10﹣15=21x﹣9+2x﹣4移项合并得:﹣8x=﹣8系数化为1得:x=190.去分母得:2(2x﹣5)+3(3﹣x)=12,去括号得:4x﹣10+9﹣3x=12,移项、合并得:x=1391. 解:,,6x﹣3x+3=8x﹣8,6x﹣3x﹣8x=﹣8﹣3,﹣5x=﹣1,.92. 解:3(2x﹣1)=4(x﹣5)+12,6x﹣3=4x﹣20+12,6x﹣4x=﹣20+12+3,2x=﹣5,93.去分母得:4×3x﹣5(1.4﹣x)=2去括号得:12x﹣7+5x=0.2移项、合并得:17x=9系数化为1,得x=94.去分母得:2(3x﹣2)+10=5(x+3),去括号得:6x﹣4+10=5x+15,移项、合并同类项得:6x﹣5x=15﹣6,化系数为1得:x=995. 去分母,得3(x﹣3)﹣4(5x﹣4)=18,去括号,得3x﹣9﹣20x+16=18,移项、合并同类项,得﹣17x=11,系数化为1,得x=﹣;96. 去分母,得3(x+1)﹣12=2(2x﹣1),去括号,得3x+3﹣12=4x﹣2,移项、合并同类项,得﹣x=7,系数化为1,得x=﹣797.原方程可化为:(8x﹣3)﹣(25x﹣4)=12﹣10x,去括号得:8x﹣3﹣25x+4=12﹣10x,移项、合并同类项得:﹣7x=11,系数化为1得:x=98. 去分母得:4(2x+4)﹣6(4x﹣3)=3,去括号得:8x+16﹣24x+18=3,移项,合并同类项得:﹣16x=﹣31,系数化为1得:x=;99. 去中括号得:(x﹣1)﹣2=2x﹣5,去小括号得:x﹣1﹣2=2x﹣5,移项、合并同类项得:x=2100..把中分子,分母都乘以5得:5x﹣20,把中的分子、分母都乘以20得:20x﹣60.即原方程可化为:5x﹣20﹣2.5=20x﹣60.移项得:5x﹣20x=﹣60+20+2.5,合并同类项得:﹣15x=﹣37.5,化系数为1得:x=2.5101.去括号得:70%x+16.5﹣55%x=19.5.移项得:70%x﹣55%x=19.5﹣16.5.合并同类项得:0.15x=3.系数化为1得:x=20102.去分母得:2(x+3)﹣(2﹣3x)=4﹣8x去括号得:2x+6﹣2+3x=4﹣8x移项合并得:13x=0化系数为1得:x=0103. 原方程变形为:3x+9=6x﹣x+13x﹣5x=1﹣9﹣2x=﹣8∴x=4;104. 原方程移项得:﹣6x+=1﹣合并得:﹣x=﹣系数化为1得:x=105.把分母化为整数得:2.4﹣=20﹣40x去分母得:9.6﹣(10x﹣50)=80﹣160x去括号得:9.6﹣10x+50=80﹣160x移项、合并得:150x=20.4化系数为1,得x=0.136106. 去括号得:2﹣3x=﹣x﹣2x=﹣2,﹣2x=﹣,x=.107. 原方程变形为:6x﹣3﹣2(2﹣5x)=9,16x=16,x=1108.原方程变形为:200(2﹣3y)﹣4.5=﹣9.5,∴400﹣600y﹣4.5=1﹣100y﹣9.5 500y=404∴y=109.去分母得:18(x+1)﹣2(x﹣1)=24(x﹣1)﹣21(x+1),去括号得:18x+18﹣2x+2=24x﹣24﹣21x﹣21,移项、合并同类项得:13x=﹣65,系数化为1得:x=﹣5110. 去分母得:3(3x﹣1)+18=1﹣5x,去括号得:9x﹣3+18=1﹣5x,移项、合并得:14x=﹣14,系数化为1得:x=﹣1;111. 去括号得:x ﹣x+1=x,移项、合并同类项得:x=﹣1,系数化为1得:x=﹣.112. 原方程可化为:﹣=1,=1,x﹣0.4=0.6,x=1;113. 原方程可化为:(2x+2)﹣x=1,2(2x+2)﹣3x=6,4x﹣3x=6﹣4,x=2 114.,化简得:,去分母得:8﹣90x﹣6(13﹣30x)=4(50x+10),去括号、合并同类项得:110x=﹣110,系数化为1得:x=﹣1115.原方程可化为:6﹣10x﹣3+5x ﹣=去分母,得24﹣40x﹣12+20x﹣(3x﹣5)=2去括号,得24﹣40x﹣12+20x﹣3x+5=2移项、合并同类项,得﹣23x=﹣15系数化为1,得x=116.原方程可化为:﹣=去分母得:10(2﹣10x)﹣45=12(1﹣3x)去括号得:20﹣100x﹣45=12﹣36x移项、合并同类项得:﹣64x=37系数化为1得:x=117. 77z+18=14z﹣45,77z﹣14z=﹣45﹣18,63z=﹣63,z=﹣1;118. 3(2x﹣1)﹣3(4x+3)=3x,6x﹣3﹣12x﹣9=3x,﹣9x=12,;119. 3x﹣2+10=x+6, 2x=﹣2,x=﹣1120.原方程变形为,去分母,得3×(30x﹣11)﹣4×(40x﹣2)=2×(16﹣70x),去括号,得90x﹣33﹣160x+8=32﹣140x,移项,得90x﹣160x+140x=32+33﹣8,合并同类项,得70x=57,系数化为1,得.121.分母化整得:﹣=1去分母得:2(50x﹣10)﹣3(30x﹣12)=6去括号得:100x﹣20﹣90x+36=6移项、合并同类项得:10x=﹣10系数化1得:x=﹣1122.原式变形为:6(4x+9)﹣10(3x+2)=15(x﹣5)24x+54﹣30x﹣20=15x﹣75﹣21x=﹣109,∴x=;123. 原式变形为:3(5x﹣2)=2(7x+8)15x﹣6=14x+16∴x=22124.去分母得,20(x﹣3)﹣50(x+4)=16,去括号得20x﹣60﹣50x﹣200=16,移项合并得,﹣30x=276,系数化为1得,x=﹣9.2125. 2(x+1)+=﹣1,去分母得:12(x+1)+2(x﹣3)=21x﹣6,去括号得:12x+12+2x﹣6=21x﹣6,移项得:12x+2x﹣21x=﹣6+6﹣12合并同类项得:﹣7x=﹣12两边同除以﹣7得:x=;126. =3﹣,去分母得:4(1﹣x)=36﹣3(x+2),去括号得:4﹣4x=36﹣3x﹣6,移项得:﹣4x+3x=36﹣6﹣4,合并同类项得:﹣x=26,两边同除以﹣1得:x=﹣26127. 去分母得:3(4﹣x)﹣2(2x+1)=6去括号、移项合并得:﹣7x=﹣4系数化为1得:x=;128. 去分母得:10x﹣5(x﹣1)=20﹣2(x+2)去括号得:5x+5=16﹣2x移项合并得:7x=11系数化为1得:x=129.左右两边同乘6得:40x+16=42﹣90x,化简得:130x=26,解得:x=;故原方程的解为:x=.130. 2{3[4(5x﹣1)﹣8]﹣20}﹣7=1,去小括号,得2{3[20x﹣12]﹣20}﹣7=1,去中括号,得2{60x﹣56}﹣7=1,去大括号,得60x﹣56=4,移项,合并同类项,得60x=60,系数化为1,得x=1;131. 先去大括号,得=2,去中括号,得,去小括号,得,移项,系数化为1,得x=5;132. 先去小括号,再去中括号、大括号,及时合并同类项,得x﹣2[x﹣3x﹣12﹣5]=3{2x﹣[x﹣8x+32]}﹣2,x+4x+34=3{2x+7x﹣32}﹣2,5x+34=27x﹣98,﹣22x=﹣132,x=6;133. 先把系数化为整数,得,再去分母,两边都乘以60,得5(18﹣80x)﹣3(13﹣3x)﹣20(50x﹣4)=0,去括号,合并同类项,得﹣1310x+131=0,移项,系数化为1,得;134. 去分母,得,,去括号,整理,得,135. 分母化为整数得:﹣=,去分母得:6(4x+9)﹣15(x﹣5)=10(2x+3),去括号得:24x+54﹣15x+75=20x+30,移项得:11x=99,同除以11得:x=9.136. 去分母得:1﹣=4,再去分母得:3﹣1﹣(1﹣x)=12,去括号得:2﹣+x=12,移项得:x=10=,同除以得:x=21.137. 去小括号得:{[﹣﹣6]+4}=1,再去中括号得:{+4}=1,再去大括号得:,移项得:=,同除以得:x=5138.去分母可得:7(5x+15)﹣2(2x﹣10)=14;移项可得:31x+111=0;即x=.故原方程的解为x=139.去小括号得:﹣[x ﹣x+]﹣=x+,去中括号得:﹣x+x+﹣=x+,移项合并得:,系数化为1得:x=﹣140.整理,得,去分母,得6(4x+9)﹣10(3+2x)=15(x﹣5),去括号,得24x+54﹣30﹣20x=15x﹣75,移项,得24x﹣20x﹣15x=﹣75﹣54+30,合并,得﹣11x=﹣99,141.﹣=3,﹣=3,5x﹣10﹣20(x+1)=3,x=﹣2.2.142. 去分母、去括号,得10x﹣5x+5=20﹣2x﹣4,移项及合并同类项,得7x=11,解得x=;143.方程可以化为:﹣=,整理,得2(4x﹣1.5)﹣5(5x﹣0.8)=10(1.2﹣x),去括号、移项、合并同类项,得﹣7x=11,解得,x=﹣144.去分母得6+6x﹣2x+1=3x+2x﹣4移项、合并同类项得﹣x=﹣11解得x=11;145去分母得5x+5﹣2x+10=1移项、合并同类项得3x=﹣14解得146.去分母得:7(1﹣2x)=3(3x﹣4)+21×2去括号得:7﹣14x=9x﹣12+42移项合并同类项得:﹣23x=23系数化一得:x=﹣1147.去分母得3(x+1)﹣2(3x﹣2)=6(x﹣1),去括号得3x+3﹣6x+4=6x﹣6,移项得3x﹣6x﹣6x=﹣6﹣3﹣4,合并得﹣9x=﹣13,系数化为x=148.去分母得:x+6+12+24﹣48=0,移项得:x=48﹣24﹣12﹣6,合并同类项得:x=6.149. .去分母得:2(x﹣2)+6x=9(3x+5)﹣(1﹣2x),∴﹣21x=48,150.去分母的,2(x+4)﹣10(x﹣5)=5(x﹣2)﹣20,去括号得,2x+8﹣10x+50=5x﹣10﹣20,移项得,2x﹣10x﹣5x=﹣10﹣20﹣8﹣50,合并得,﹣13x=﹣88,系数化为1得,x=151.去括号得:x ﹣x+x﹣1=x﹣1,移项得:﹣x+x ﹣x=﹣1+1,合并同类项得:﹣x=0,把x的系数化为1得:x=0152.去分母得:4(3x+1)﹣2(5x﹣2)=8,去括号得:12x+4﹣10x+4=8,移项得:12x﹣10x=8﹣4﹣4,合并同类项得:2x=0,把x的系数化为1得:x=0153.原方程可化为,即9x﹣3=10x﹣14﹣12,∴9x﹣10x=﹣14﹣12+3,﹣x=﹣23,解得 x=23154.∵∴,∴30x﹣18+12x=4x+20,∴38x=38,∴x=1155解:去分母,得4(2y﹣1)﹣3(4y+1)=24,去括号,得8y﹣4﹣12y﹣3=24,移项,得8y﹣12y=24+4+3,合并同类项,得﹣4y=31,化系数为1,得y=﹣;156. 去括号,得x﹣1=x﹣3,去分母,得5x﹣10=4x﹣30,移项,得5x﹣4x=10﹣30,合并同类项,得x=﹣20157.方程两边同乘以10得:5(x﹣3)﹣2(4x+1)=10,整理得:5x﹣15﹣8x﹣2﹣10=0,即:﹣3x=27,x=﹣9移项,得:﹣2x﹣6x﹣6x=12﹣10﹣9合并同类项得:﹣14x=﹣7,解得:x=159.原方程可化为:,即,,解得x=6160.由原方程去分母,得7﹣14y=21﹣9y﹣6,移项、合并同类项,得﹣5y=8,化系数为1,得y=﹣161.去分母得:3(5x+)=2(6x ﹣)﹣(x+4),移项得:15x﹣12x+x=﹣5﹣4﹣7,合并同类项得:4x=﹣16,两边同除以4得:x=﹣4162.去分母得3(x+2)﹣4(1﹣)=2(2x﹣5),去括号得3x+6﹣4+4x﹣10=4x﹣10,移项得3x+4x﹣4x=﹣10+10﹣6+4,合并同类项得3x=﹣2,系数化为1得x=﹣163.去分母得:18y﹣6﹣24=20y﹣28,移项得:18y﹣20y=﹣28+6+24合并同类项得:﹣2y=2,系数化1得:y=﹣1;164.去中括号得:2(﹣1)﹣4﹣2x=3,去括号得:x﹣2﹣4﹣2x=3,移项得:x﹣2x=3+2+4,合并同类项得:﹣x=9,系数化1得:x=﹣9165.去分母,得,4(2x+1)﹣3(1﹣5x)=24,去括号,得8x+4﹣3+15x=24,移项、合并同类项,得23x=23,系数化为1,得x=1.166. 去分母,得6(x﹣2)﹣90=3(x+3)﹣10(2x﹣5),去括号、移项,得6x﹣3x+20x=9+50+12+90,合并同类项,23x=161,系数化为1,得x=7;167. 去分母,得6x﹣2(x+3)=3(﹣x+3),去括号、移项,得6x﹣2x+3x=9+6,合并同类项,7x=15,系数化为1,得x=168.等式的两边同时乘以0.6,得3x﹣0.6=3.4﹣4x+0.5+2x,移项、合并同类项,得5x=4.5,化未知数的系数为1,得x=0.9169. 去分母得3x﹣3=x﹣1,移项得3x﹣x=﹣1+3,合并得2x=2,系数化为1得x=1;170. 去母得5(x﹣2)﹣2(x+1)=3,去括号得5x﹣10﹣2x﹣2=3,移项得5x﹣2x=3+10+2,合并得3x=15,系数化为1得x=5171.由原方程去分母,得4(2x﹣5)=3(x﹣3)﹣1,去括号,得8x﹣20=3x﹣9﹣1,移项、合并同类项,得5x=10,化未知数的系数为1,得x=2172.去分母,得:3(3x﹣1)=(5x﹣7)+12,去括号,得:9x﹣3=10x﹣14+12,移项,得:9x﹣10x=﹣14+12+3合并同类项,得:﹣x=1,系数化为1得:x=﹣1173.整理得,﹣=1,去分母,得4(1﹣2x)﹣3(7﹣10x)=12,去括号,得4﹣8x﹣21+30x=12,移项、合并同类项,得22x=29,系数化为1,得x=174.去分母,得3(2x﹣1)﹣2(1+3x)=6﹣(x+4),去括号,得6x﹣3﹣2﹣6x=6﹣x﹣4,移项,得6x﹣6x+x=6﹣4+3+2,合并同类项,x=7175.去分母得:12x﹣4﹣6x﹣3=12,移项得:12x﹣6x=12+7,合并同类项得:6x=19,系数化1得:x=176.去分母,得6x﹣2.8﹣10x+19=15﹣10x,移项、合并同类项,得6x=﹣1.2将未知数的系数化为1,得x=﹣0.2177. 去分母,得18x﹣6﹣20x+28=24,移项、合并同类项,得﹣2x=2,化未知数的系数为1,得x=﹣1;178. 由原方程,得2(x﹣3)﹣5(x+4)=16,去括号,得2x﹣6﹣5x﹣20=16,移项、合并同类项,得﹣3x=42,化未知数的系数为1,得x=﹣14179.去分母得2(2x+1)﹣6=10x+1,去括号得4x+2﹣6=10x+1,移项得4x﹣10x=1﹣2+6,合并得﹣6x=5,系数化为1得x=﹣180. 去分母得:6(x﹣9)﹣22(x+2)=66(x﹣1)﹣33(x﹣2),去括号得:6x﹣54﹣22x﹣44=66x﹣66﹣33x+66,移项合并得:﹣49x=98,系数化为1得:x=﹣2;181. 方程可变形为﹣+=0,去分母得:5(2x+1)﹣2(4x﹣1)+25=0,去括号得:10x+5﹣8x+2+25=0,移项合并得:2x=﹣32,系数化为1得:x=﹣16182.由原方程,得化简,得即∴=,去分母,得 10=35﹣25x解得 x=1183.去分母得,(2x+1)﹣(4x﹣5)=1,去括号得,2x+1﹣4x+5=1,移项得,2x﹣4x=1﹣5﹣1,合并同类项得,﹣2x=﹣5,系数化为1,x=184.移项得:z ﹣z=﹣﹣,合并同类项得:z=﹣1185. 去分母得:5(3x﹣1)﹣2(5x﹣6)=2,去括号得:15x﹣5﹣10x+12=2,移项合并得:5x=﹣5,解得:x=﹣1186.去分母得:3(x﹣1)﹣12=2(2x+1),去括号得:3x﹣3﹣12=4x+2,移项合并得:﹣x=17,解得:x=﹣17;187. 方程变形得:5(x﹣1)﹣2(x+1)=2,去括号得:5x﹣5﹣2x﹣2=2,移项合并得:3x=9,解得:x=3188. 去分母得,3(x﹣1)=8x+6,去括号得,3x﹣3=8x+6,移项得,3x﹣8x=6+3,合并同类项得,﹣5x=9,系数化为1得,x=﹣;189. 方程可化为﹣=3,即5x﹣10﹣2x﹣2=3,移项得,5x﹣2x=3+10+2,合并同类项得,3x=15,系数化为1得,x=5;190. 去分母得,3(x+2)﹣12=2(2x﹣1),去括号得,3x+6﹣12=4x﹣2,移项得,3x﹣4x=﹣2﹣6+12,合并同类项得,﹣x=4,系数化为1得,x=﹣4191.解:去分母,得3(x+2)﹣2(x﹣3)=12 去括号,得3x+6﹣2x+6=12移项、合并同类项,得X=0;192 .解:去中括号,得=1,去小括号,得﹣1+3﹣x=1移项,合并同类项,得﹣x=﹣1系数化为1,得x=193.去分母得,2(x﹣1)+3(2x﹣1)=6﹣6x,去括号得,2x﹣2+6x﹣3=6﹣6x,移项得,2x+6x+6x=6+3+2,合并同类项得,14x=11,系数化为1得,x=194.去分母得,6(3x+4)﹣12=7﹣2x,去括号得,18x+24﹣12=7﹣2x,移项得,18x+2x=7﹣24+12,合并同类项得,20x=﹣5,系数化为1得,x=﹣195.去分母得:6x﹣3﹣4x﹣10=6x﹣7﹣6,移项合并得:4x=0,系数化为1得:x=0196. 去分母得:4(2x﹣1)=3(x+2)﹣12,去括号得:8x﹣4=3x+6﹣12,移项、合并得:5x=﹣2,系数化为1得:x=﹣;197. 化简得:,去分母得:﹣7﹣30x=6x﹣20﹣8x,移项,合并得:﹣28x=﹣13,系数化1,得:x=198.去分母得:10x+15﹣2x+14=5,移项合并得:8x=﹣24,系数化为1得:x=﹣3199.原方程去括号得:x ﹣=1,移项得,x=1+,合并同类项得,x=,系数化为1得,x=×120=125200. 去括号,得4x+﹣6x=4﹣3x﹣2x移项,合并同类项,得3x=系数化为1,得x=.201. 去小括号,得[﹣﹣2]+2x=3去中括号,得x ﹣+2x=3移项,合并同类项,得3x=系数化为1,得x=202.原方程即:=﹣1去分母得:4(2y﹣10)=3(y+20)﹣12去括号得:8y﹣40=3y+60﹣12移项得:8y﹣3y=60﹣12+40即:5y=88解得:y=203.去分母得:3(x﹣2)=12﹣2(4﹣3x)﹣(2﹣3x),去括号得:3x﹣6=12﹣8+6x﹣2+3x,移项合并得:﹣6x=8,解得:x=﹣204.去分母,得10y﹣5(y﹣1)=30﹣2(y+2),去括号,得10y﹣5y+5=30﹣2y﹣4,移项合并同类项,得7y=21,系数化为1,得y=3.205.把分母化为整数得:+x=,去分母得:3(10x﹣6)+12x=4(x+10),去括号得:30x﹣18+12x=4x+40,移项、合并同类项得:x=206.去分母得,4(2t﹣6)﹣3(2t﹣4)=24,去括号得,8t﹣24﹣6t+12=24,移项得,8t﹣6t=24+24﹣12,合并同类项得,2t=36,系数化为1得,t=18207.去分母得,2(x+1)﹣4=8+2﹣x,去括号得,2x+2﹣4=8+2﹣x,移项得,2x+x=8+2﹣2+4,合并同类项得,3x=12,系数化为1得,x=4208. 去分母,得2x﹣4+8x=7﹣5x,移项、合并同类项,得15x=11,化未知数系数为1,得x=;209. 去括号,得0.7x+15﹣0.5x=18,移项、合并同类项,得0.2x=3,化未知数系数为1,得x=15210.去分母得:5x﹣(x﹣6)=10,去括号、移项得:5x﹣x=10﹣6,合并同类项得:4x=4,系数化为1得:x=1.211. 去分母得,5(2x﹣1)﹣15=3(3x+1),去括号得,10x﹣5﹣15=9x+3,移项得,10x﹣9x=3+5+15,合并同类项得,x=23;212. 把方程两边同时乘以得,﹣=﹣0.13,去分母得,5(x+4)﹣2(x﹣3)=﹣1.3,去括号得,5x+20﹣2x+6=﹣1.3,移项得,5x﹣2x=﹣1.3﹣6﹣20,合并同类项得,3x=﹣27.3,化系数为1得,x=﹣9.1;213. 去小括号得,2[x ﹣x+]=,去中括号得,x﹣3x+=,移项得,x﹣3x=﹣,合并同类项得,﹣x=0,系数化为1得,x=0214. .去分母得:5(x+1)﹣3(x﹣2)=45,去括号得:5x+5﹣3x+6=45,移项合并得:2x=34,解得:x=17215.去分母得,18x+3(x﹣1)=18﹣2(2x﹣1),去括号得,18x+3x﹣3=18﹣4x+2,移项得,18x+3x+4x=18+2+3,合并同类项得,25x=23,系数化为1得,x=216.去分母(方程两边都乘以12)得,4(2x+1)﹣3(5x﹣2)=24,去括号得,8x+4﹣15x+6=24,移项得,8x﹣15x=24﹣4﹣6,合并同类项得,﹣7x=14,系数化为1得,x=﹣2217.去括号得:[x ﹣x+]=x+,x+=x+,去分母得:4x+2=18x+9,移项得:4x﹣18x=9﹣2,合并同类项得:﹣14x=7,系数化为1得:x=﹣.218. 去分母得:2y﹣5(y﹣1)=10﹣2(y+2),去括号、移项得:2y﹣5y+2y=10﹣4﹣5,合并同类项得:﹣5y=1,系数化为1得:y=﹣;219. 原方程变形为:,去分母得:5(18﹣80x)﹣3(13﹣30x)=20(50x﹣4),去括号、移项得,1000x+400x﹣90x=90﹣39+80,合并同类项得,1310x=131,系数化为1得:x=.220. 1﹣x=x+,移项得:x﹣x=﹣1,合并同类项得:﹣x=﹣,系数化1得:x=.221. 去中括号得:2x﹣1﹣x=2,移项合并同类项得:x=3222.原方程可化为:﹣=1,去分母得:30x﹣119+140x=21,移项合并得:170x=140,系数化为1得:x=223. 移项得,5(x ﹣)﹣(x ﹣)=,合并同类项得,4(x ﹣)=,即x ﹣=,移项得,x=1;224. 原式可化为:﹣=,去分母得,20x﹣8+15x=31x+8,移项得,20x+15x﹣31x=8+8,合并同类项得,4x=16,系数化为1得,x=4225. 解:﹣7(1﹣2x)=3×2(3x+1),﹣7+14x=18x+6,﹣4x=13,x=﹣;226. 2(x+3)﹣(2﹣3x)=4﹣8x,2x+6﹣2+3x=4﹣8x,13x=0,x=0227.去分母得:3(x+1)+6=8x+1,去括号得:3x+3+6=8x+1,移项合并得:﹣5x=﹣8,解得:x=228.去分母得:3(x﹣1)+2(2x+1)=3x+2+6,去括号得:3x﹣3+4x+2=3x+2+6,移项得:3x+4x﹣3x=2+6+3﹣2,合并同类项得:4x=9,系数化为1得:x=229.解:去分母,得:7﹣14x=9x+3﹣63移项,得:23x=67.解得:x=230.去分母得,3x﹣(5x+11)=6﹣2(2x﹣4),去括号得,3x﹣5x﹣11=6﹣4x+8,移项得,3x﹣5x+4x=6+8+11,合并同类项得,2x=25,系数化为1得,x=.231.去中括号得:2﹣(x ﹣)=﹣(2x ﹣),去小括号得:2﹣x+=﹣3x+,去分母得:36﹣12x+4x+4=9x﹣54x+90﹣63x,移项合并得:100x=50,化系数为1得:x=232.{[(x+5)﹣4]+3}=1,[(x+5)﹣4]+3=2,(x+5)﹣4+9=6,x+5﹣16+36=24,整理得:x=﹣1,解得:x=﹣5233.两边都乘以6得:9y﹣3﹣2×(5y+1)=6﹣7y﹣1,去括号得:9y﹣3﹣10y﹣2=5﹣7y,移项及合并得:6x=10,系数化为1得:y=234..去分母得,10﹣36x=﹣21x+6,移项得,﹣36x+21x=6﹣10,合并同类项得,﹣15x=﹣4,系数化为1得,x=;235. 去括号得,[x ﹣x+]=x ﹣,[x+]=x ﹣,x+=x ﹣,去分母得,3x+3=8x﹣8,移项得,3x﹣8x=﹣8﹣3,合并同类项得,﹣5x=﹣11,系数化为1得,x=236. 去括号得:x ﹣=1﹣x ﹣,移项、合并得:x=,系数化为1得:x=.237. 去分母得:3﹣3x=8x﹣2﹣6,移项、合并得:11x=11,系数化为1得:x=1238.去分母得,4(2x﹣1)﹣2(10x﹣1)=3(2x+1)﹣12,去括号得,8x﹣4﹣20x+2=6x+3﹣12,移项得,8x﹣20x﹣6x=3﹣12+4﹣2,合并同类项得,﹣18x=﹣7,系数化为1得,x=239.去括号得,3﹣16x﹣3x﹣2=20,移项得,﹣16x﹣3x=20﹣3+2,合并同类项得,﹣19x=19,系数化为1得,x=﹣1240.去分母得:2(x﹣2)﹣(x+3)=30﹣5(3x﹣5),去括号得:2x﹣4﹣x﹣3=30﹣15x+25,移项合并得:16x=48,系数化为1得:得x=3241. 解:去分母得12﹣(x+5)=6x﹣2(x﹣1),去括号得:12﹣x﹣5=6x﹣2x+2,移项得:﹣x﹣6x+2x=2+5﹣12,合并同类项得:﹣5x=﹣5,∴x=1;242. 解:原方程可化为,去分母得10x﹣(3﹣2x)=2,去括号得:10x﹣3+2x=2,移项、合并同类项得:12x=5,∴x=243. 去分母得:10x+20﹣15x+15=30﹣6x,移项、合并得:x=﹣5;244. 将小数化为整数得:2x ﹣=1,去分母得:6x﹣23+20x=3,移项、合并得:26x=26,化系数为1得:x=1245.去分母得,5(3x+1)﹣20=(3x﹣2)﹣2(2x+3),去括号得,15x+5﹣20=3x﹣2﹣4x﹣6,移项得,15x﹣3x+4x=﹣2﹣6﹣5+20,合并同类项得,16x=7,系数化为1得,x=246. 解:去分母得:2(7x﹣5)=3,去括号得:14x﹣10=3,移项、合并同类项得:14x=13,∴x=.247. 解:去分母得:15(x﹣1)﹣8(3x+2)=2﹣30(x ﹣1),去括号得:15x﹣15﹣24x﹣16=2﹣30x+30,移项得:15x﹣24x+30x=2+30+15+16,合并同类项得:21x=63,∴x=3。
七年级数学上册解一元一次方程去括号与去分母练习题(含答案解析)学校:___________姓名:___________班级:___________考号:___________一、填空题1.有理数a 在数轴上的对应点的位置如图所示,化简2a a --的结果是______.2.把同类项的系数_______,所得的结果作为_____,字母和字母的指数______.3.有理数a 满足等式|-4|2|-1|a a =,则a 所有可能的值为____.4.若x =3是关于x 的一元一次方程mx ﹣n =3的解,则代数式10﹣3m +n 的值是___.5.若关于x 的方程()22x m x +=-的解满足方程112x -=,则m 的值是________. 6.定义:对于任意两个有理数a ,b ,可以组成一个有理数对(a ,b ),我们规定(a ,b )=a +b -1.例如(2,5)2512-=-+-=.根据上述规定解决下列问题:(1)有理数对(2,1)-=_______;(2)当满足等式(5,32)5x m -+=的x 是正整数时,则m 的正整数值为_______.二、单选题7.下列图形都是由同样大小的黑色正方形纸片组成,其中第1个图有3张黑色正方形纸片,第2个图有5张黑色正方形纸片,第3个图有7张黑色正方形纸片,…,按此规律排列下去,若第n 个图中有201张黑色正方形纸片,则n 的值为( )A .99B .100C .101D .1028.一本故事书,小明看了全书的14后,还剩90页没有看,这本故事书的总页数为( )A .360B .120C .72D .1509.若方程2(21)33x x +=+的解与关于x 的方程262(3)k x +=+的解相同,则k 的值为( )A .1B .1-C .7D .7-10.数学实践活动课上,陈老师准备了一张边长为a 和两张边长为()b a b >的正方形纸片如图1、图2所示,将它们无重叠的摆放在矩形ABCD 内,矩形未被覆盖的部分用阴影表示,设左下阴影矩形的周长为1l ,右上阴影矩形的周长为2l .陈老师说,如果126l l -=,求a 或b 的值.下面是四位同学得出的结果,其中正确的是( )A .甲:6a =,4b =B .乙:6a =,b 的值不确定C .丙:a 的值不确定,3b =D .丁:a ,b 的值都不确11.下列说法中,不正确的个数是( ) ①若a +b =0,则有a ,b 互为相反数,且a b=﹣1;①若|a |>|b |,则有(a +b )(a ﹣b )是正数;①三个五次多项式的和也是五次多项式;①a +b +c <0,abc >0,则||ab ab ﹣||bc bc +||ac ac ﹣||abc abc 的结果有三个;①方程ax +b =0(a ,b 为常数)是关于x 的一元一次方程.A .1个B .2个C .3个D .4个12.如图,已知数轴上点A 表示的数为a ,点B 表示的数为b,(a ﹣10)2+|b +6|=0.动点P 从点A 出发,以每秒8个单位长度的速度沿数轴向左匀速运动,动点Q 从点B 出发,以每秒6个单位长度的速度沿数轴向左匀速运动,设运动时间为t (t >0)秒.若点P 、Q 同时出发,当P 、Q 两点相距4个单位长度时, t 的值为( )A .3B .5C .3或5D .1或53三、解答题13.解方程:(1)()()413217x x --+=; (2)12123x x -+-=. 14.求未知数x . (1)916x =1336(2)(1-23)x =20 (3)58+2x =7815.已知关于x 的方程2233x m x x ---=的解是非负数,m 是正整数,求m 的值.参考答案:1.2-【分析】由题意可得a >2,利用绝对值化简可求解.【详解】解:由题意可得:a >2,222,a a a a --=--=-∴故答案为:2-【点睛】本题考查绝对值的化简,利用数轴比较数的大小从而正确化简计算是解题关键.2. 相加 系数 保持不变【解析】略3.2±【分析】根据绝对值的性质分类讨论,去掉绝对值符号,即可求解.【详解】当4a ≥时,()421a a -=-,解得:2a =-,不合题意,舍去;当14a ≤<时,()421a a -=-,解得:2a =;当1a <时,()421a a -=--,解得:2a =-;综上,2a =±,故答案为:2±.【点睛】本题考查了绝对值的应用,对a 的取值分类讨论是解题的关键.4.7【分析】根据题意得到﹣3m +n =﹣3,然后代入代数式10﹣3m +n 求解即可.【详解】解:由题意得:3m ﹣n =3,①﹣3m +n =﹣3,①原式=10﹣3=7.故答案为:7.【点睛】此题考查了一元一次方程的解的含义以及解一元一次方程,解题的关键是熟练掌握一元一次方程的解的含义.5.14或134 【分析】根据112x -=解出x 的值,代入()22x m x +=-,即可求解 【详解】解112x -=,得 112x -=±, 112x ∴=±+, 32x ∴= 或12x =-, 代入()22x m x +=-,得22x m x +=+, 134m ∴= 或14, 故答案为14或134. 【点睛】本题考查解绝对值方程与根据解的情况求解参数,属于基础题.6. 0 1或4##4或1【分析】(1)根据定义求解即可;(2)由定义可得53215x m -++-=,解方程得1123m x -=,再由题意,可得1123,1129m m -=-=,求出相应的m 值即可.【详解】解:(1)①(a ,b )=a +b -1①(2,1)=2+(1)1=11=0----故答案为:0;(2)①(5,32)5x m -+=①53215x m -++-= ①1123m x -= ①x 是正整数,m 的值也是正整数①1123,1129m m -=-=解得,41m m ==,故答案为:4或1【点睛】本题考查新定义,理解定义,将所求问题转化为一元一次方程进行求解即可.7.B【分析】仔细观察图形知道第一个图形有3个正方形,第二个有5=3+2×1个,第三个图形有7=3+2×2个,由此得到规律,第n 个图形中正方形的个数为201求解即可.【详解】解:观察图形知:第一个图中有3=1+2×1个正方形,第二个图中有5=1+2×2个正方形,第三个图中有7=1+2×2个正方形,…故第n 个图中有1+2×n =2n +1=201(个)正方形,解得n =100故选B .【点睛】此题主要考查了图形的变化规律,是根据图形进行数字猜想的问题,关键是通过归纳与总结,得到其中的规律,然后利用规律解决一般问题.8.B【分析】设这本故事书共有x 页,根据总页数-已经看的页数=还没有看的页数,列方程运算即可.【详解】解:设这本故事书共有x 页,根据总页数-已经看的页数=还没有看的页数, 列方程为1904x x -=, 解得120x =.故选:B .【点睛】本题主要考查一元一次方程的实际应用,属于基础题,比较简单,根据题意列出合适的方程是解题的关键.9.A【分析】先解方程2(21)33x x +=+可得1x =,再将1x =代入方程262(3)k x +=+,得262(13)k +=⨯+,由此即可求得k 的值.【详解】解:2(21)33x x +=+,去括号,得:4233x x +=+,移项,得:4332x x -=-,合并同类项,得:1x =,将1x =代入方程262(3)k x +=+,得:262(13)k +=⨯+,整理,得:268k +=,解得:1k =,故选:A .【点睛】本题考查了解一元一次方程,熟练掌握解一元一次方程的基本步骤(去分母、去括号、移项、合并同类项,系数化为1)是解决本题的关键.10.C【分析】设左下阴影矩形的宽为x ,则AB =CD =a +x , 分别表示出左下阴影矩形的周长为1l ,右上阴影矩形的周长为2l ,根据已知条件即可求得3b =,进而即可求解.【详解】设左下阴影矩形的宽为x ,则AB =CD =a +x ,∴右上阴影矩形的宽为a +x -2b∴左下阴影矩形的周长l1=2(a +x ),右上阴影矩形的周长l 2=2(a +x -b )∴l 1-l 2=2(a +x )-2(a +x -b )=2b ,即2b =6,解得b =3,此时a 不确定,故选C.【点睛】本题考查了整式加减的应用,一元一次方程的应用,数形结合是解题的关键.11.C【分析】根据相反数的概念、平方差公式、合并同类项、一元一次方程的概念判断.【详解】解:①若a +b =0,则有a ,b 互为相反数,当a =b =0时,a b无意义,不正确; ①①|a |>|b |,①a 2>b 2,①(a +b )(a ﹣b )=a 2﹣b 2>0,是正数,正确;①(2a 5+a ﹣3)+(﹣a 5+2a ﹣3)+(﹣a 5+a 2﹣30)=a 2+3a ﹣36,则三个五次多项式的和不一定是五次多项式,不正确;①当a +b +c <0,abc >0时,a 、b 、c 有一个正数、两个负数,当a>0,b<0,c<0时,原式=-1-1-1-1=-4;当a<0,b>0,c<0时,原式=-1+1+1-1=0;当a<0,b<0,c>0时,原式=1+1-1-1=-2; ①||ab ab ﹣||bc bc +||ac ac ﹣||abc abc 的结果有三个,正确; ①方程ax +b =0(a ,b 为常数),当a =0时,不是关于x 的一元一次方程,不正确;故选:C .【点评】本题考查了相反数的概念、绝对值的定义、平方差公式、整式的加减、一元一次方程的概念,熟练掌握定义是解答本题的关键.12.C【分析】根据(a ﹣10)2+|b +6|=0,得a =10,b =﹣6,由已知得P 表示的数是10﹣8t ,Q 表示的数是﹣6﹣4t ,而P 、Q 两点相距4个单位长度,故可列方程|(10﹣8t )﹣(﹣6﹣4t )|=4,即可解得答案.【详解】解:①(a ﹣10)2+|b +6|=0,①a ﹣10=0,b +6=8,①a =10,b =﹣6,①动点P 从点A 出发,以每秒8个单位长度的速度沿数轴向左匀速运动,以每秒8个单位长度的速度沿数轴向左匀速运动,动点Q 从点B 出发,以每秒6个单位长度的速度沿数轴向左匀速运动,①P 表示的数是10﹣8t ,Q 表示的数是﹣6﹣6t ,①|(10﹣8t )﹣(﹣6﹣6t )|=4,即|16﹣4t |=6,解得t =3或t =5,故选:C .【点睛】本题考查了数轴上两点间的距离,一次方程的应用,解题的关键是用含t 的代数式表示P 、Q 表示的数,再列方程解决问题.13.(1)x =-7;(2)x =1.【分析】(1)去括号、移项、合并同类项、系数化为1,据此求出方程的解即可.(2)去分母、去括号、移项、合并同类项、系数化为1,据此求出方程的解即可.(1)解:去括号,得:4x -4-6x -3=7,移项,得:4x -6x =7+4+3,合并同类项,得:-2x =14,系数化为1,得:x=-7.(2)解:去分母,得:6-3(x-1)=2(x+2),去括号,得:6-3x+3=2x+4,移项,得:-3x-2x=4-6-3,合并同类项,得:-5x=-5,系数化为1,得:x=1.【点睛】此题主要考查了解一元一次方程的方法,要熟练掌握解一元一次方程的一般步骤:去分母、去括号、移项、合并同类项、系数化为1.14.(1)x=52 81(2)x=60(3)x=1 8【分析】(1)将系数化为1即可求出答案;(2)将系数化为1即可求出答案;(3)移项,将系数化为1即可求出答案.(1)解:916x=133613165236981x=⨯=;(2)解:(1-23)x=20120 3x=60x=;(3)解:58+2x=78 124 x=18x . 【点睛】本题主要考查解一元一次方程,掌握解一元一次方程的方法是解题的关键. 15.m 的值为1或2【分析】先求出方程2233x m x x ---=的解,再由x 为非负数,可得到关于m 的不等式,解出即可. 【详解】解:2233x m x x ---= 去分母得:()322x x m x --=- , 解得:x =22m -, 因为x 为非负数,所以22m -≥0,即m ≤2, 又m 是正整数,所以m 的值为1或2.【点睛】本题主要考查了方程的解和解一元一次不等式,根据题意得到关于m 的不等式是解题的关键.。
解一元一次方程1234解:(移项)(合并)(化系数为1)5678解:(移项)(合并)(化系数为1)9101112解:(移项)(合并)(化系数为113141516解:(移项)(合并)(化系数为1).17、;18、;19、;20、解:(去括号)(移项)(合并)(化系数为1)21222324、解:(去括号)(移项)(合并)(化系数为1)25;26、;27;28、解:(去括号)(移项)(合并)(化系数为1)293032解:(去分母)(去括号)(移项)(合并)(化系数为1)333435解:(去分母)(去括号)(移项)(合并)(化系数为1363738解:(去分母)(去括号)(移项)(合并)(化系数为139404142解:(去分母)(去括号)(移项)(合并)(化系数为1434445解:(去分母)(去括号)(移项)(合并)(化系数为14647解:(去分母)(去括号)(移项)(合并)(化系数为1484950解:(化整)(去分母)(去括号)(移项)(合并)(化系数为1【参考答案】1、【答案】(1(2(3(4(5(6(7(81.1、【答案】(9(10(11(12(13(14(15(162、【答案】(17(18(19(20(21(22)2.1、【答案】(23(24(25(26(27(28)(29(303、【答案】(31(32(33(34(35(36(37(383.1、【答案】(39(40(41(42(43(44(45(464、【答案】(47(48(49(50。
去括号解一元一次方程练习题
1.方程4(2-x)-4(x+1)=60的解是
A.7 B。
6/7 C。
-6/7 D。
-7
2.解方程4(x-1)-x=2(x+0.5)步骤如下○1去括号,得4x-4-x=2x+1 ○2移项得4x+x-2x=1+4 ○3合并同类项得3x=5 ○4系数化为1得x=5/3其中错误的是
A ○1 B. ○2 C. ○3 D.○4
3.某中学进行义务劳动,去甲处劳动的有30人,去乙处得有24人,从乙处调一部分人到甲处,使甲处的人数是乙处人数的2倍,若设从乙处调x人到甲处,则所列方程为
A.2(30+X)=24-X
B.30+X=2(24-X)
C.30-X=2(24+X)
D.2(30-X)=24+X
4.下列变形正确的是
A.a2-(2a-b+c)=a2-2a-b+c B。
(a+1)-(-b+c)=a+1+b+c
C.3a-【5b-(2c-1)】=3a-5b+2c-1 D.a-b+c-d=a-(b+c-d)
5.三个连续奇数的和是21,则他们的积为------
6.当x=3时,代数式x(3-m)+4的值为16,求当x=-5时,此代数式的值为------
7.一元一次方程(2+5x)-(x-1)=7的解是--------
8.若5a+0.25与5(x-0.25)的值互为相反数,则a的值为---------
9,。
解下列方程
(1)2(x-1)+4=0 (2)4-(3-x)=-2
(3)(x+1)-2(x-1)=1-3x (4)2(x-2)-6(x-1)=3(1-x)
(5)2(0.3x+4)=5+5(0.2x-7) (6)8(1-x)-5(x-2)=4(2x+1)
(7)4(x-1)-10(1-2x)=-3(2x+1) ( 8)2(x+3)-5(1-x)=3(x-1)
(9)2(2x+1)=1-5(x-2) (10) 6x+(3x+2)=4 (11)7x+2(3x-3)=20 (12)8y-3(3y+2)=3
(13)4x+3(2x-3)=12-(x-10)(14)3(x-2)=2-5(-x+2)(15)2)3y-(4y-2)=3 (16) 3(x+1)-2(x+2)=2x+3
(17) 2a+3(5-4a)= 15-10a (18)(4)、-3[1-3(x-1)]= 9x-12 ; (19)2- 3(x-5)=2x (20) 4(4-y) =3(y-3);
(21)2(2x-1)=1-(3-x) (22)2(x-1)-(x-3= 2(1.5x-2.5)
23. 3x-2[3(x-1)-2(x+2)]=3(18-x)
24.化简(x-1)-(1-x)+(x+1)的结果等于()
A.3x-3B.x-1C.3x-1D.x-3
25.已知2x+1与-12x+5的3倍值互为相反数,求x的值。
26.将方程(3+m-1)x=6-(2m+3)中,x=2时,m的值是()
A.m=-1/4 B.m=1/4 C.m=-4 D.m=4
27.学校团委组织65名同学为学校建花坛搬砖,女同学每人搬6块,男同学每人搬8块,,如果他们一次性搬了400块,那么参加搬砖的女同学有多少人?
28.一架飞机飞行在两个城市之间,顺风需2小时,逆风需3小时,已知风速为20千米/时,求两个城市之间的距离
29.一次数学试卷共30道题,规则规定答对一题得4分,答错或不答得-1分,小明在这次考试中得了90分,问他答对了几道题
30.小明和小东个有课外读物若干本,小明的课外读物的数量是小东的2倍,小明送给10本,小东的课外读物的数量是小明剩余数量的3倍,求小明和小东原来各有课外读物多少本。
解一元一次方程(三)
----去分母
[学习目标] 会运用等式性质2正确去分母解一元一次方程。
[重点难点] 重点:去分母解方程。
难点:去分母时,不含分母的项会漏乘公分母,及没有对分子加括号。
[学习过程]
[复习]1、解方程:
(1)95)3(+=--x x ;(2))2
12(22--=-x x
2、求下列各数的最小公倍数:
(1)2,3,4
(2)3,6,8。
(3)3,4,18。
**在上面的复习题1中,可以保留分母,也可以去掉分母,得到整数系数,这样做比较简便。
所以若方程中含有分母,则应先去掉分母,这样过程比较简便。
[例1] 解方程:4
3312-=-x x 解:两边都乘以 ,去分母,得
去括号,得 ,
移项,得 ,
合并同类项,得 ,
系数化为1,得。
[同步练习一] 解方程:
655314+=-x x
[例2] 解方程:3
1241213--+=-+x x x x
解:两边都乘以 ,去分母,得
去括号,得
移项, 得
合并同类项,得
系数化为1, 得
[同步练习二] 解方程:632141+-
=+-x x
[练习三] 解方程:(1)51
31+
=-x x ;
(2)51
131+=--x x ;
(3)51
2131
+-=+-x x ;
[小结]1、含有分母的方程的解法。
2、解一元一次方程的一般步骤为:①分母,②去括号,③移项,④合并同类项,⑤ 系数化为1 .
2、 去分母时要注意什么?(两点)
[课后作业] A 组 解方程:
(1)42
32
+=-x x ;
(2)21
141+=--x x
;
(3)223131x
x --=--;
(4)3221
3415x
x x --+=-;
(5)162
312=+
-+x x ;
(6)
5
124121223+--=-+x x x ;
(7)5222123--=--
x x x
(8)3
2221+-=--
x x x 。
B 组 1、k 取何值时,代数式31+k 的值比2
13+k 的值小1?
2、一件工作由一个人做要50小时完成,现在计划由一部分人先做5小时,再增加8人和他们一起做10小时,完成了这项工作,问:先安排多少人工作?。