习题讲解2hcy
- 格式:ppt
- 大小:523.00 KB
- 文档页数:23
《结构化学》第四萃习题4001厶和人不是独立的对称元素• I大1为心___ ,/6= ________4002判断:既不存在G轴.又不存在6时,久轴必不存在。
--------------------- ()4003判断:在任何情况下,S^E。
------------------------- ()4004判断:分子的对称元素仅7种,即o , i及轴次为1. 2. 3, 4, 6的旋转轴和反轴。
4005下面说法正确的是:------------------- ()(A)分子中各类对称元素的完全集合构成分子的对称群(B)同一种分子必然同属于一个点群.不同种分子必然属于不同的点群(C)分子中有&轴.则此分子必然同时存在G轴和6面(D)tfirfliod —定也是镜而64006下面说法正确的是:------------------- ()(A)如构成分子的各类原子均是成双出现的,则此分子必有对称中心(B)分子中若有C,又有i,则必有o(C)凡是平面型分子必然属于C,群(D)在任何情况下,= E4008对称元素G与6组合•得到 ___________________ : C”次轴与垂直它的G组合,得到.4009如果图形中有对称元素S6,那么该图形中必然包含:(A) a. 6 (B)C3,Qh (C)G,i (D)Cj i4010判断:因为映轴是旋转轴与垂直于轴的面组合所得到的对称元素.所以点群分子中必有对称元素6 和Cno ----------------------------- ()4011给出下列点群所具有的全部对称元素:(l)C2h (2) C JV⑶⑺⑷0⑸C引4012假定CuCl卩原來属于门点群,四个C1原子的编号如下图所示。
十出现下面的变化时•点群将如何变化(写出分子点群)。
(1)Cu-Cl(l)键长缩短(2)Cu-Cl(l)和Cu—C1⑵缩短同样长度(3)Cu-Cl(l)和Cu-Cl(2)缩短不同长度(4)0(1)和Cl(2)两原子沿这两原子(5)C1 (1)和CK2)沿其连线逆向移动相同距离.0(3)和Cl(4)亦沿其连线如上同样距离相向移动ci2--Cu-CL (Ch和Cb在纸面以上,X I C12和CX在纸面以下)4013d'(d._ 如.d 2-.2)sp4)杂化的几何构型属于 _________________ 点群°4014已知络合物MAaB:的中心原子M是dtp]杂化.该分子有多少种界构体?这些界构体备属什么点群?4015有一个AB.分子,实验测得其偶极矩为零且有一个三重轴,则此分子所属点群是4016有两个分子,NDH B和CHF"它们都为非极性,且为反磁性,则N3B3H6几何构型 __________________ 点群__________ o C1H4F2几何构型________ ,点群__________ 。
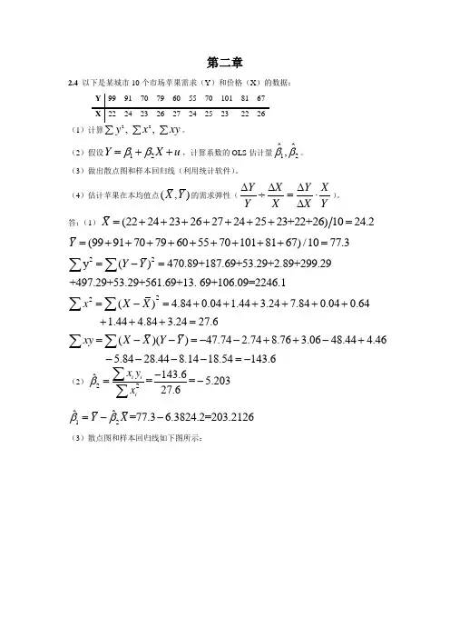
第二章2.4 以下是某城市10个市场苹果需求(Y )和价格(X )的数据: Y 99 91 70 79 60 55 70 101 81 67X 22 24 23 26 27 24 25 2322 26 (1)计算22, , yx xy ∑∑∑。
(2)假设12Y X u ββ=++,计算系数的OLS 估计量12ˆˆ,ββ。
(3)做出散点图和样本回归线(利用统计软件)。
(4)估计苹果在本均值点(,)X Y 的需求弹性(Y X Y X Y X X Y∆∆∆÷=⋅∆)。
答:(1)(2224232627242523+22+26)1024.2X =+++++++= (999170796055701018167)/1077.3Y =+++++++++=22y ()470.89+187.69+53.29+2.89+299.29+497.29+53.29+561.69+13. 69+106.09=2246.1Y Y =-=∑∑22() 4.840.04 1.44 3.247.840.040.64 1.44 4.84 3.2427.6x X X =-=+++++++++=∑∑ ()()47.74 2.748.76 3.0648.44 4.46 5.8428.448.1418.54143.6xy X X Y Y =--=--++-+----=-∑∑(2)22143.6ˆ== 5.20327.6i i i x y x β-=-∑∑ 12ˆˆ=77.3 6.3824.2=203.2126Y X ββ=-- (3)散点图和样本回归线如下图所示:50607080901001102122232425262728X Y(4)224.25.203 1.6377.3Y X Y X X Y X X Y Y β∆∆∆÷=⋅=-⨯=-⨯=-∆ 2.5 DATA1-1给出了中国2011年各省市GDP (Y )和投资(X )的数据。
物理化学核心教程第二版(沈文霞)课后习题答案详细讲解....课后习题答案第一章气体一.基本要求1.了解低压下气体的几个经验定律;2.掌握理想气体的微观模型,能熟练使用理想气体的状态方程;3.掌握理想气体混合物组成的几种表示方法,注意Dalton分压定律和Amagat分体积定律的使用前提;4.了解真实气体pVm图的一般形状,了解临界状态的特点及超临界流体的应用;5.了解vanderWaal气体方程中两个修正项的意义,并能作简单计算。
二.把握学习要点的建议本章是为今后用到气体时作铺垫的,几个经验定律在先行课中已有介绍,这里仅是复习一下而已。
重要的是要理解理想气体的微观模型,掌握理想气体的状态方程。
因为了解了理想气体的微观模型,就可以知道在什么情况下,可以把实际气体作为理想气体处理而不致带来太大的误差。
通过例题和习题,能熟练地使用理想气体的状态方程,掌握p,V,T和物质的量n几个物理量之间的运算。
物理量的运算既要进行数字运算,也要进行单位运算,一开始就要规范解题方法,为今后能准确、规范地解物理化学习题打下基础。
掌握Dalton分压定律和Amagat分体积定律的使用前提,以免今后在不符合这种前提下使用而导致计算错误。
在教师使用与“物理化学核心教程”配套的多媒体讲课软件讲课时,要认真听讲,注意在PowerPoint动画中真实气体的pVm图,掌握实际气体在什么条件下才能液化,临界点是什么含义等,为以后学习相平衡打下基础。
三.思考题参考答案1.如何使一个尚未破裂而被打瘪的乒乓球恢复原状?采用了什么原理?答:将打瘪的乒乓球浸泡在热水中,使球的壁变软,球中空气受热膨胀,可使其恢复球状。
采用的是气体热胀冷缩的原理。
专注专业....2.在两个密封、绝热、体积相等的容器中,装有压力相等的某种理想气体。
试问,这两容器中气体的温度是否相等?答:不一定相等。
根据理想气体状态方程,若物质的量相同,则温度才会相等。
3.两个容积相同的玻璃球内充满氮气,两球中间用一根玻管相通,管中间有一汞滴将两边的气体分开。
前言:特别感谢质心教育的题库与解析,以及“程稼夫力学、电磁学习题答案详解”的作者前辈和血色の寂宁前辈的资料.2-2变阻器在A位置时,焦耳热:,其中.变阻器在中间时,焦耳热:.代入题中数据,可得.2-32-4(1)即,在图中作出该直线,交伏安特性曲线于.两端电压.(2)电源功率之比就等于干路电流之比,即总电阻之反比,设总电阻分别为,则.2-7未烧断前总电阻,烧断后,故干路电流之比为22AB2-10注意电阻温度系数的基准是0℃,得.负载时,负载时,联立解得:.2-11题设是默认加热间断时间相等的,设为.即110V为A、B串联时的工作电压的等差中项作伏安特性曲线关于直线的对称图像,分别交另一曲线于和.得.2-15(1)电容器极板带电量,极板间电流保持为电势差为0时,极板不带电,所以.(2)最大动能的电子到达上极板时动能全部转化为电势能所以,得.K断开时,R与R1串联,该支路总电压该支路与R2并联,为R2两端电压,又R2,R3串联,R3两端电压为可以列出:两式联立,代入数据可解得:.2-18(1)由基尔霍夫方程知:.(2)沿n个电源这一路计算:2-22注意看题,不要啥都不想直接Y-△变换了设从1向O流的电流为,从2向O流的电流为,则从O向3流的电流为则可由三点的电势得到:2-即2-将等效内阻,等效电源. 2-25设有x组电池组串联,每组内有y个电池并联.法一:电源最大输出功率,电池个数.要使电源达到最大输出功率,则必有内阻与负载相等:解得法二:回路内满足:到的是Y-△变换的Y型电路(b),设出电阻即可求解,然后用Y-△变换得到△型电路(a).2-27上式联立解得.2-28(i)由知122’1’回路为电路干路而无支路,该干路总电阻;1 2与1’2’间若有电阻,则应被导线短路.(ii)由知1 2与1’2’间确有电阻,设为;由于要求电路最简,不妨设12间仅有一个电阻;故此情况中两电阻并联:代入数据得:,带回各条件检查,满足.故电路图如下:所以安培表示数.2-30题意即5两端接电源.电压表示数是由其上电流决定的,所以可以把电压表全看成电阻,求其上电流比例.由分析,电路可简化为如下图:由节点方程可知流经并联两表中电压表的电流欧姆定律:得. 2-33由每个量程达到满偏时通过电流计的电流相同得:,干路电流为,而B,C间的电流为,即100kΩ电阻和电压表各分得干路电流的一半,可知电压表内阻也为100kΩ.在图(b)中,200kΩ电阻与电压表并联后的电阻为,电压表读数为A、B间所分的电压为.由本题推广,可以证明,电压表接入串联电路测得的数值与所测部分电阻成正比,此性质与电压表内阻无关.2-36首先说明,若测量过程中测得某两点间电阻为1Ω,由对称性及电阻串并联等效可以判断:特异电阻被短路,连接在另外两端点间.2-38等效电路图如下:其中,由电桥平衡条件,有,解得.2-39第一次实验,B端电压为40V,即电阻R分压40V,则左段电缆电阻为第二次实验,A端电压为40V,即电阻R分压40V,则右段电缆电阻为左右电缆的电阻之比为:由于电缆的电阻与长度成正比,可知左段电缆长度为由此得:2-41,解得,解得;对于上述两支路的交点A,列节点方程:;由欧姆定律,图中B点的电势为:.显然U1与U3所在支路的电流为0;由于电容所在支路电流为0,由节点方程,图中B与C之间的支路上电流为;对图中红圈内的部分列节点方程(以向下为正方向):.2-42设该平行板电容器极板面积为S,极板间距为d,漏电流为I.由平行板电容器的电容公式,得玻璃的电阻为.由高斯2-44首先明确,无论短接哪个电阻,总电阻一定变小将五个电阻分两类,一类是四周的4 个电阻臂,一类是中间的100Ω桥上电阻.短接桥上电阻,总电阻变为203Ω;短接一支电阻臂,以500Ω的为例:两个100Ω的并联后与200Ω的串联再与300Ω的并联.可以看出300Ω的在这里与其他所有电阻并联,而并联电路中的总电阻不超过最小的电阻,故让100Ω与其他电阻并联可以使变化最大.2-45等效电阻整理得,故或.2-46本题为无穷网络等效电阻题.先分析对称性:电路呈轴对称,可将图中各个处于对称轴上的中点断开,于是电路转化为:转化为:再将A,B两点左侧网络“翻折”至右侧:单电路:,即两导线间电压为零.2-51本题为无穷网络等效电阻题,解题关键在于网络的自相似性.记A点左侧无穷网络等效电阻为R1.分析电路可知:故只需求出R1.分析R1结构可知:除去三个电阻r后剩余部分仍为一无穷网络R1:2-52(1)本题中的三角形电阻网络具有高度对称性,可将分割n次后的电阻网络(设其两顶点之间的电阻为;图中未画出分割后电阻网络的全貌;最初的只有三条边的三角形当作分割了0次)等效为如下的Y形网络:其中每个电阻的大小均为则下一次分割所得的电阻网络可以等效为三个上图所示的网络相连接而成(每个电阻变为一半),如下图所示:其中每个电阻大小为.这是一个简单的电阻网络,我们可以依据串并联关系计算其两端点间的电阻:(2,解得.2-53本题为等效电容题.(a)图中三电容实为并联;(b)图为中心对称图形,由对称性可知中间的C0等价为断路:整个线路和原来的线路完全一样,线路结构没有改变,各线上电流、各点的电势均无改变.可见,由点2到点n−1这n−2个点是完全等价的.因此,上述n−2个点的电势必然完全相同,从而这些点之间的连线上都没有电流,在考虑本题所问时,这些连线可以全部撤去,于是可得.2-58(1)电阻网络E、G两点间电压可表示为从图中的二极管D的正向伏安曲线中可査得,电压UDI对应的电流I1为25.0mA,此电流就是流过电阻R及由E点流入电阻网络的电流,将数据代入上式得由对称性可得H、A、C、F电势相等,其等效电路如图13-13所示(除两只电阻为外,(2)当引线两端P、Q与电阻网络B、D两点相接时,等效电路仍如图所示,易得通过二极管DD的电流与二极管两端电压有关系代入数据得这是一条联系UD与ID的方程,但是UD与ID又必须满足二极管的伏安特性曲线,在图中绘出上式所述直线,它与曲线的交点的纵坐标即为通过二极管的电流ID,由图中读出由对称性,,,则.2-59本题为图像分析题,同时需要用到“负载功率最大时,路端电压等于电源电动势的一半”的结论(此处证明从略).图像显示电源可视为两个负载电流范围不同的电源``拼接''而成,分段讨论即可.电流小于0.26A时,电源电动势等于6.2V,故路端电压等于3.1V时(由(2)(3)C1电荷变化量C2电荷变化量故由a到b流过K的正电荷.2-62本题为含电容的电路分析题,只需分析始末状态和电量变化即可.通过K的电量即通过R的电量.闭合K前,两电容器不带电;闭合K并稳定后,两电容器靠近电键K的极板上均沿回路列出方程:联立解得代入数据.忽略接地信息的解法得到的答案与此一致,但无视了与大地间的电流和电位.。
徐寿昌编《有机化学》第二版习题参考答案第二章烷烃1、用系统命名法命名下列化合物(1)2,3,3,4-四甲基戊烷(2)3-甲基-4-异丙基庚烷(3)3,3,-二甲基戊烷(4)2,6-二甲基-3,6-二乙基辛烷(5)2,5-二甲基庚烷(6)2-甲基-3-乙基己烷(7)2,2,4-三甲基戊烷(8)2-甲基-3-乙基庚烷2、试写出下列化合物的结构式(1) (CH3)3CC(CH2)2CH2CH3(2) (CH3)2CHCH(CH3)CH2CH2CH2CH3(3) (CH3)3CCH2CH(CH3)2(4) (CH3)2CHCH2C(CH3)(C2H5)CH2CH2CH3(5)(CH3)2CHCH(C2H5)CH2CH2CH3(6)CH3CH2CH(C2H5)2(7) (CH3)2CHCH(CH3)CH2CH3(8)CH3CH(CH3)CH2CH(C2H5)C(CH3)33、略4、下列各化合物的系统命名对吗?如有错,指出错在哪里?试正确命名之。
均有错,正确命名如下:(1)3-甲基戊烷(2)2,4-二甲基己烷(3)3-甲基十一烷(4)4-异丙基辛烷(5)4,4-二甲基辛烷(6)2,2,4-三甲基己烷5、(3)>(2)>(5)>(1) >(4)6、略7、用纽曼投影式写出1,2-二溴乙烷最稳定及最不稳定的构象,并写出该构象的名称。
H交叉式最稳定重叠式最不稳定8、构象异构(1),(3)构造异构(4),(5)等同)2),(6)9、分子量为72的烷烃是戊烷及其异构体(1) C(CH3)4(2) CH3CH2CH2CH2CH3 (3) CH3CH(CH3)CH2CH3(4) 同(1)10、分子量为86的烷烃是己烷及其异构体(1)(CH3)2CHCH(CH3)CH3(2) CH3CH2CH2CH2CH2CH3 , (CH3)3CCH2CH3 (3)CH3CH2CH(CH3)CH2CH3(4)CH3CH2CH2CH(CH3)214、(4)>(2)>(3)>(1)第三章 烯烃1、略2、(1)CH 2=CH — (2)CH 3CH=CH — (3)CH 2=CHCH 2— CH 2CH CH 3M eH H i-P rE t M en-P rM e M e E t i-P rn-P r (4)(5)(6)(7)3、(1)2-乙基-1-戊烯 (2) 反-3,4-二甲基-3-庚烯 (或(E)-3,4-二甲基-3-庚烯 (3) (E)-2,4-二甲基-3-氯-3-己烯 (4) (Z)-1-氟-2-氯-2-溴-1-碘乙烯(5) 反-5-甲基-2-庚烯 或 (E)-5-甲基-2-庚烯 (6) 反-3,4-二甲基-5-乙基-3-庚烯 (7) (E) -3-甲基-4-异丙基-3-庚烯 (8) 反-3,4-二甲基-3-辛烯 4、略 5、略 6、CH 3CH 2CHC H 2CH 3CH 3CH 2CCHC H 3CH 3OH BrCH 3CH 2CCHC H3CH 3Cl ClCH 3CH 2C CHC H3CH 3OH OHCH 3CH 2CHCHC H 3CH 3OHCH 3CH 2COCH3CH 3CHOCH 3CH 2CHCHC H 3CH 3Br(1)(2)(3)(4)(5)(6)(7)7、活性中间体分别为:CH 3CH 2+ CH 3CH +CH 3 (CH 3)3C + 稳定性: CH 3CH 2+ > CH 3CH +CH 3 > (CH 3)3C + 反应速度: 异丁烯 > 丙烯 > 乙烯8、略9、(1)CH 3CH 2CH=CH 2 (2)CH 3CH 2C(CH 3)=CHCH 3 (有顺、反两种) (3)CH 3CH=CHCH 2CH=C(CH 3)2 (有、反两种)用KMnO 4氧化的产物: (1) CH 3CH 2COOH+CO 2+H 2O (2)CH 3CH 2COCH 3+CH 3COOH (3) CH 3COOH+HOOCCH 2COOH+CH 3COCH 310、(1)HBr ,无过氧化物 (2)HBr ,有过氧化物 (3)①H 2SO 4 ,②H 2O (4)B 2H 6/NaOH-H 2O 2 (5)① Cl 2,500℃ ② Cl 2,AlCl 3(6)① NH 3,O 2 ② 聚合,引发剂 (7)① Cl 2,500℃,② Cl 2,H 2O ③ NaOH 11、烯烃的结构式为:(CH 3)2C=CHCH 3 。
平狄克《微观经济学》(第7版)第2章 供给和需求的基本原理课后复习题详解跨考网独家整理最全经济学考研真题,经济学考研课后习题解析资料库,您可以在这里查阅历年经济学考研真题,经济学考研课后习题,经济学考研参考书等内容,更有跨考考研历年辅导的经济学学哥学姐的经济学考研经验,从前辈中获得的经验对初学者来说是宝贵的财富,这或许能帮你少走弯路,躲开一些陷阱。
以下内容为跨考网独家整理,如您还需更多考研资料,可选择经济学一对一在线咨询进行咨询。
1.假定异常炎热的天气会使冰淇淋的需求曲线向右移动,解释为什么冰淇淋价格会上升到一个新的市场出清水平。
答:如图2-3所示,假设短期内供给完全无弹性,则供给曲线是垂直的。
供给曲线S 与初始的需求曲线1D 相交,确定均衡价格为1P ,均衡数量为1Q 。
异常炎热的天气会使冰淇淋的需求曲线向右移动,在当前价格1P 上造成短期需求过剩,消费者为获得冰淇淋,愿意为每一单位冰淇淋出价更高。
在需求压力下,冰淇淋价格将上升,直到供给与需求达到均衡。
图2-3 冰淇淋的供求分析2.请运用供给曲线和需求曲线来说明以下各事件会怎样影响黄油的价格、销售量及购买量:(1)人造黄油价格上升;(2)牛奶价格上升;(3)平均收入水平下降。
答:(1)人造黄油和黄油是一对替代品。
人造黄油价格上升将导致黄油消费量的上升,因此黄油的需求曲线将从1D 向右移动至2D ,均衡价格将从1P 上升至2P ,均衡数量将从1Q 增加至2Q ,如图2-4所示。
图2-4 人造黄油价格上升的影响(2)牛奶是黄油的主要原料。
牛奶价格上升将增加黄油制造成本。
黄油的供给曲线将从1S 向左移动至2S ,在更高的价格2P 实现均衡,同时供给量减少到2Q ,如图2-5所示。
图2-5 牛奶价格上升的影响(3)假设黄油是正常商品。
平均收入水平下降将导致需求曲线从1D 向左移动至2D ,结果价格降至2P ,需求量也下降至2Q ,如图2-6所示。
图2-6 平均收入下降的影响3.如果玉米片价格上升3%而使其需求量下降6%,那么玉米片的需求价格弹性是多少? 解:需求价格弹性指某种商品需求量变化的百分率与价格变化的百分率之比,它用来测度商品需求量变动对于商品自身价格变动反应的敏感性程度。
第二章习题解答一、问答题:2-1为什么要研究流体的pVT 关系?【参考答案】:流体p-V-T 关系是化工热力学的基石,是化工过程开发和设计、安全操作和科学研究必不可少的基础数据。
(1)流体的PVT 关系可以直接用于设计。
(2)利用可测的热力学性质(T ,P ,V 等)计算不可测的热力学性质(H ,S ,G ,等)。
只要有了p-V-T 关系加上理想气体的id p C ,可以解决化工热力学的大多数问题。
2-2在p -V 图上指出超临界萃取技术所处的区域,以及该区域的特征;同时指出其它重要的点、线、面以及它们的特征。
【参考答案】:1)超临界流体区的特征是:T >T c 、p >p c 。
2)临界点C 的数学特征:3)饱和液相线是不同压力下产生第一个气泡的那个点的连线;4)饱和汽相线是不同压力下产生第一个液滴点(或露点)那个点的连线。
5)过冷液体区的特征:给定压力下液体的温度低于该压力下的泡点温度。
6)过热蒸气区的特征:给定压力下蒸气的温度高于该压力下的露点温度。
7)汽液共存区:在此区域温度压力保持不变,只有体积在变化。
2-3 要满足什么条件,气体才能液化?【参考答案】:气体只有在低于T c 条件下才能被液化。
2-4 不同气体在相同温度压力下,偏离理想气体的程度是否相同?你认为哪些是决定偏离理想气体程度的最本质因素?【参考答案】:不同。
真实气体偏离理想气体程度不仅与T 、p 有关,而且与每个气体的临界特性有关,即最本质的因素是对比温度、对比压力以及偏心因子r T ,r P 和ω。
2-5 偏心因子的概念是什么?为什么要提出这个概念?它可以直接测量吗?()()()()点在点在C V PC V PT T 0022==∂∂∂【参考答案】:偏心因子ω为两个分子间的相互作用力偏离分子中心之间的作用力的程度。
其物理意义为:一般流体与球形非极性简单流体(氩,氪、氙)在形状和极性方面的偏心度。
为了提高计算复杂分子压缩因子的准确度。
BOOK2 UNIT 14. Cloze(2) responsibility(3) reason(4) triggered(5) anxiety(6) committed(7) criticism(8) empathy(9) develop(10) violates(11) value(12) against(13) fulfill(14) generally(15) failing(16) intended(17) biochemical (18) judged(19) since(20) natureA. Translate the following paragraphs into Chinese.To be happy, a man must feel, firstly, free and, secondly, important. He cannot be really happy if he is compelled by society to do what he does not enjoy doing, or if what he enjoys doing is ignored by society as of no value or importance. A man is a laborer if the job society offers him is of no interest to himself but he is compelled to take it by the necessity of earning a living and supporting his family. A man is a worker if he is personally interested in the job which society pays him to do. Whether a job is to be classified as labor or work depends, not on the job itself, but on the tastes of the individual who undertakes it. The difference does not coincide with the difference between a manual and a mental job. Which a man is can be seen from his attitude toward leisure. To a worker, leisure means simply the hours he needs to relax and rest in order to work efficiently. He is therefore more likely to take too little leisure than too much. To the laborer, on the other hand, leisure means freedom from compulsion, so that it is natural for him to imagine that the fewer hours he has to spend laboring, and the more hours he is free to play, the better.人们想快乐,首先必须感到自由,其次,必须感到自己重要。
两摩尔hcl气体解离成氢气和氯气的解离常数-回复题目:两摩尔HCl气体解离成氢气和氯气的解离常数引言:HCl是一种常见的化学物质,它是氯化氢的化学公式,是无机化学中重要的气体。
当HCl气体暴露在适当的条件下,会发生解离反应,生成氢气和氯气。
本文将详细讨论两摩尔HCl气体解离成氢气和氯气的解离常数。
第一部分:解离反应方程式氯化氢(HCl)的解离反应可以表示为:2HCl(g) H2(g) + Cl2(g)第二部分:解离常数的定义解离常数是用来描述解离反应的平衡状态的一个重要物理量。
对于上述的解离反应,解离常数Kc可以通过平衡态下各组分物质的浓度来定义。
在这种情况下,我们有:Kc = [H2] [Cl2] / [HCl]^2第三部分:解离常数的计算为了计算解离常数Kc,我们需要先确定反应物和生成物的浓度。
在这个问题中,我们已提到反应物HCl的浓度为两摩尔。
因为氢气(H2)和氯气(Cl2)是生成物,我们需要通过其他方法确定它们的浓度。
一种常用的方法是使用气体压力与浓度的关系。
根据理想气体状态方程,可以得出:pV = nRT根据这个方程,我们可以计算气体的摩尔数:n = (pV) / RT这里,p是气体的压力,V是气体的体积,R是理想气体常数,T是气体的温度。
在这个问题中,我们可以通过控制温度和压力来计算生成物氢气和氯气的浓度。
第四部分:实验测定氢气和氯气的浓度为了确定氢气和氯气的浓度,我们可以利用实验方法,例如气相色谱法或电化学方法。
在这里,我们假设我们已经获得了氢气和氯气的浓度数据。
第五部分:解离常数Kc的计算通过测定得到氢气和氯气的浓度之后,我们可以将它们代入解离常数的定义式,即:Kc = [H2] [Cl2] / [HCl]^2然后,根据浓度计算的结果,我们可以得出两摩尔HCl气体解离成氢气和氯气的解离常数。
结论:本文详细讨论了两摩尔HCl气体解离成氢气和氯气的解离常数的计算方法。
我们通过解离反应方程式、解离常数的定义以及浓度计算的方法,最终得出了该解离常数的结果。
执业药师之西药学专业二综合提升练习题含答案讲解单选题(共20题)1. 氯霉素抗菌谱广,而最主要的不良反应是( )氯霉素抗菌谱广,而最主要的不良反应是( )A.二重感染B.胃肠道反应C.对肝脏严重损害D.对造血系统的毒性E.影响骨、牙生长【答案】 D2. 患者,女,54岁,诊断为右侧乳腺浸润性导管癌术后,病理示:右乳浸润性导管癌Ⅱ级,同侧腋下淋巴结1/18,免疫组化:ER(-),PR(-),Her(+)。
肝肾功能正常。
化疗方案为环磷酰胺+多柔比星+多西他赛。
患者,女,54岁,诊断为右侧乳腺浸润性导管癌术后,病理示:右乳浸润性导管癌Ⅱ级,同侧腋下淋巴结1/18,免疫组化:ER(-),PR(-),Her(+)。
肝肾功能正常。
化疗方案为环磷酰胺+多柔比星+多西他赛。
A.属于蒽环类抗肿瘤药物B.对增殖和非增殖细胞均有杀伤作用C.典型不良反应是骨髓抑制和心脏毒性D.孕妇及哺乳期妇女慎用E.应用多柔比星需监护肝肾毒性【答案】 D3. (2016年真题)可抑制细菌β-内酰胺酶的是(2016年真题)可抑制细菌β-内酰胺酶的是A.磷霉素B.替考拉宁C.利福平D.舒巴坦E.左氧氟沙星【答案】 D4. 急性心肌梗死引起的室性心律失常有效,对室上性心律失常基本无效的药物是急性心肌梗死引起的室性心律失常有效,对室上性心律失常基本无效的药物是A.地高辛B.利多卡因C.苯妥英钠D.胺碘酮E.维拉帕米【答案】 B5. 高钙血症是指( )高钙血症是指( )A.血钙浓度>2.5mmol/LB.血钙浓度>2.75mmol/LC.血钙浓度>3.0mmol/LD.血钙浓度>3.25mmol/LE.血钙浓度>3.5mmol/L【答案】 B6. 不作为高血压治疗的首选药,临床适用于伴前列腺增生症的高血压患者或与其他药物联合用于顽固性高血压治疗的药物是( )不作为高血压治疗的首选药,临床适用于伴前列腺增生症的高血压患者或与其他药物联合用于顽固性高血压治疗的药物是( )A.特拉唑嗪B.肾素抑制剂C.可乐定D.甲基多巴E.利血平【答案】 A7. 抑制血管平滑肌和心肌细胞Ca抑制血管平滑肌和心肌细胞CaA.利血平B.氢氯噻嗪C.硝苯地平D.肼屈嗪E.可乐定【答案】 C8. 金刚烷胺和美金刚合用金刚烷胺和美金刚合用A.可增加抗胆碱不良反应的危险B.增加中枢神经系统毒性(建议避免合用)C.增加肾毒性D.增加锥体外系不良反应的风险E.增加肝毒性【答案】 B9. 丙烯胺类抗真菌药( )丙烯胺类抗真菌药( )A.两性霉素B.氟康唑C.阿莫罗芬D.特比萘芬E.环吡酮胺【答案】 D10. (2016年真题)患者,女,56岁,血清总胆固醇和低密度脂蛋白胆固醇异常,初诊医师建议首先改变生活方式(控制饮食、增加运动)。
第1章分层作业6 认识同周期元素性质的递变规律A级必备知识基础练1.X、Y是元素周期表第3周期中的两种元素(稀有气体除外)。
下列叙述能说明X的得电子能力比Y强的是( )A.X对应的氧化物的水化物比Y对应的氧化物的水化物酸性弱B.X的氢化物的沸点比Y的氢化物的沸点低C.X的气态氢化物比Y的气态氢化物稳定D.Y的单质能将X从NaX的溶液中置换出来2.下列关于第3周期元素的叙述不正确的是( )A.S2-、Cl-、K+、C a2+的离子半径依次减小B.P、S、Cl最高正化合价依次升高,对应的气态氢化物的稳定性依次增强C.第3周期ⅦA族元素的原子半径最大D.Na、Mg、Al的氢氧化物的碱性依次减弱3.R、W、、n均为正整数)( )也为强碱A.若R(OH)n为强碱,则W(OH)n+1B.若H n XO m为强酸,则Y是活泼非金属元素C.若Y的最低化合价为-2价,则Z的最高正化合价为+6价D.若X的最高正化合价为+5价,则五种元素都是非金属元素4.将甲、乙两种金属的性质进行比较,已知:①甲与H2O反应比乙与H2O反应剧烈;②甲单质能从乙的盐溶液中置换出乙单质;③甲的最高价氧化物对应水化物的碱性比乙的最高价氧化物对应水化物的碱性强;④与某非金属反应时甲原子失电子数目比乙原子失电子数目多;⑤甲单质的熔、沸点比乙单质的低;⑥高价阳离子氧化性甲比乙弱。
能说明甲的金属性比乙强的是( )A.①④B.①②③⑥C.③⑤D.①②③④⑤5.下列物质中,碱性最弱的是( )A.NaOHB.KOHC.Mg(OH)2D.Al(OH)36.X、Y、Z、W均为短周期元素,它们在周期表中相对位置如图所示。
若Y 原子的最外层电子数是内层电子数的3倍,下列说法正确的是( )A.原子半径:W>Z>Y>XB.最高价氧化物对应水化物的酸性W比Z弱C.Y的气态氢化物的稳定性较Z的弱D.四种元素的单质中,Z的熔、沸点最高7.(天津实验中学高一期末)根据元素周期表和元素周期律,判断下列叙述不正确的是( )A.气态氢化物的稳定性:H2O>NH3>SiH4B.第3周期主族元素的最高正化合价从左到右逐渐升高C.如图所示实验可证明元素的非金属性:Cl>C>SiD.用中文“”(ào)命名的第118号元素在周期表中位于第7周期0族8.下列关于元素周期律和元素周期表的说法错误的是( )A.Li、Na、K元素的原子核外电子层数随着核电荷数的增大而增大B.第2周期元素从Li到F,元素原子半径逐渐减小C.因为Na比K容易失去电子,所以Na的还原性强D.C、N2、O2、F2与H2化合越来越容易9.下列事实不能作为实验判断依据的是( )A.钠和镁分别与冷水反应,判断金属活动性强弱B.铁投入CuSO4溶液中能置换出铜,钠投入CuSO4溶液中不能置换出铜,由此判断钠与铁的金属活动性强弱C.酸性H2CO3<H2SO4,由此判断硫与碳的非金属活动性强弱D.通过Br2和I2分别与足量的H2反应的难易程度,判断溴与碘的非金属活动性强弱10.四种短周期元素在元素周期表中的位置如图所示。