2014届高三数学一轮复习 函数的图像提分训练题
- 格式:doc
- 大小:419.00 KB
- 文档页数:7
山东省2014届高三数学一轮复习考试试题精选(1)分类汇编14:正余弦函数的图像与性质 一、选择题 .(山东省淄博一中2014届高三上学期10月阶段检测理科数学)函数y=logsin(-2x)的单调递减区间为( ) A.(kπ-,kπ-]B.(kπ-,kπ+) C.(kπ-,kπ-)D.[kπ-,kπ+) 【答案】D. .(山东省山师附中2014届高三11月期中学分认定考试数学(理)试题)函数与函数图像所有交点的横坐标之和为( ) A.3B.4C.6D.8 【答案】C .(山东省桓台第二中学2014届高三第二次阶段性测试数学试题)已知,函数在上单调递减.则的取值范围是 ( ) A.B.C.D. 【答案】A .(山东省聊城市堂邑中学2014届高三上学期9月假期自主学习反馈检测数学(理)试题)函数的部分如图所示,点( ) A.B是最高点,点C是最低点,若是直角三角形,则的值为 ( ) A.B.C.D. 【答案】A根据函数的部分图形,点( ) A.B是最高点,点C是最低点,若是直角三角形,振幅为2,那么三角形的高为2,边长为4,可知函数的周期4,那么根据周期公式,故可知答案为( ) A. .(山东省烟台市莱州一中2014届高三10月阶段测试数学试题(理))函数是周期为的奇函数B.周期为的偶函数C.周期为的奇函数D.周期为的偶函数 【答案】D .(山东省烟台市莱州一中2014届高三10月阶段测试数学试题(理))设函数的导函数的最大值3,则的图象的一条对称轴的方程是B.C.D. 【答案】D. .(山东省威海市2014届高三上学期期中考试数学(理)试题)函数的图象为( ) A.B.C.D. 【答案】B .(山东省临沂市2014届高三上学期期中考试数学(理)试题)对于函数,下列选项中正确的是内是递增的B.的图象关于原点对称C.的最小正周期为D.的最大值为1 【答案】B 二、填空题 .(山东省菏泽市2014届高三上学期期中考试数学(理)试题)函数的最小正周期是___________. 【答案】 .(山东省山师附中2014届高三11月期中学分认定考试数学(理)试题)函数的值域为______________________. 【答案】 .(山东省枣庄市2014届高三上学期期中检测数学(理)试题)已知函数在单调递减,则的取值范围是____ 【答案】 .(山东省桓台第二中学2014届高三第二次阶段性测试数学试题)已知函数,.设是函数图象的一条对称轴,则的值等于_______. 【答案】 .(山东省淄博一中2014届高三上学期10月阶段检测理科数学)关于函数有下列命题:① 函数的周期为;② 直线是的一条对称轴;③ 点是的图象的一个对称中心;④ 将的图象向左平移个单位,可得到的图象.其中真命题的序号是_____________(把你认为的真命题的序号都写上) 【答案】(1)(3); 三、解答题 .(山东省济南一中等四校2014届高三上学期期中联考数学(理)试题)已知函数(l)求函数的最小正周期和最大值;(2)求函数在上的单调递减区间. 【答案】解: 函数的最小正周期为 , 函数的最大值为 (2)由 得 函数的单调递减区间 又,则在上的单调递减区间为, .(山东省威海市2014届高三上学期期中考试数学(理)试题)(Ⅰ)求的最小正周期; (Ⅱ)若在处取得最大值,求的值; (Ⅲ)求的单调递增区间. 【答案】(Ⅰ) (Ⅱ) 当时取得最大值,将代入上式,解得, ∴ .(山东省郯城一中2014届高三上学期第一次月考数学(理)试题)已知函数(Ⅰ)求函数f(x)的最小正周期和单调递增区间;(Ⅱ)求函数f(x)在上的最值.【答案】解(Ⅰ)的最小周期由题意得 (Ⅱ) ,最小值为-1 .(山东省临沂市2014届高三上学期期中考试数学(理)试题)设向量.(I)若,求的值;(II)设函数的最大值.【答案】 .(山东省济南外国语学校2014届高三上学期质量检测数学(理)试题)已知函数. (1)求函数的最小正周期;(2)求函数在区间上的函数值的取值范围. 【答案】解: (1) 故的最小正周期为 (2)当时, 故所求的值域为 .(山东省桓台第二中学2014届高三上学期期中考试数学(理)试题)(本小题满分12分)已知=,=,若(1)求的单调递增区间; (2)当时,求函数的最值,并求出取得最值时的的取值. 【答案】解(I) (Ⅱ)由得, .(山东省桓台第二中学2014届高三第二次阶段性测试数学试题)设函数(I)求函数的最小正周期;(II)设函数对任意,有,且当时, ; 求函数在上的解析式.【答案】解:(I)函数的最小正周期 (II)当时,当时, 当时, 得:函数在上的解析式为 .(山东省菏泽市2014届高三上学期期中考试数学(理)试题)已知函数.(1)求的最小正周期及其单调减区间;(2)当时,求的值域.【答案】解: (1)函数的最小正周期 的单调减区间即是函数+1的单调增区间 由正弦函数的性质知,当,即时,函数+1为单调增函数,所以函数的单调减区间为, (2)因为,所以, 所以 所以, 所以的值域为[-1,1] .(山东省单县第五中学2014届高三第二次阶段性检测试题(数理))已知函数是的导函数(1)若,求的值;(2)求函数的最大值和最小正周期.【答案】。
函数的单调性与最值一、选择题1.已知函数f (x )为R 上的减函数,则满足f (|x |)<f (1)的实数x 的取值范围是( ) A .(-1,1)B .(0,1)C .(-1,0)∪(0,1)D .(-∞,-1)∪(1,+∞)解析: ∵f (x )在R 上为减函数且f (|x |)<f (1), ∴|x |>1,解得x >1或x <-1. 答案: D2.函数y =-x 2+2x -3(x <0)的单调增区间是( ) A .(0,+∞) B .(-∞,1] C .(-∞,0)D .(-∞,-1]解析: 二次函数的对称轴为x =1,又因为二次项系数为负数,拋物线开口向下,对称轴在定义域的右侧,所以其单调增区间为(-∞,0). 答案: C3.函数y =2x 2-(a -1)x +3在(-∞,1]内单调递减,在(1,+∞)内单调递增,则a 的值是( )A .1B .3C .5D .-1解析 依题意可得对称轴x =a -14=1,∴a =5.答案 C4.已知函数f (x )=⎩⎪⎨⎪⎧-x +3-3ax <,a xx (a >0,且a ≠1)是(-∞,+∞)上的减函数,则a 的取值范围是( ).A.⎝ ⎛⎦⎥⎤0,23B.⎝ ⎛⎭⎪⎫13,1C.()2,3D.⎝ ⎛⎦⎥⎤12,23解析 由f (x )是(-∞,+∞)上的减函数,可得⎩⎪⎨⎪⎧0<a <1,f =a 0≤3-3a .化简得0<a ≤23.答案 A5.若函数y =ax 与y =-bx在(0,+∞)上都是减函数,则y =ax 2+bx 在(0,+∞)上是( ) A .增函数B .减函数C .先增后减D .先减后增解析:∵y =ax 与y =-bx在(0,+∞)上都是减函数, ∴a <0,b <0,∴y =ax 2+bx 的对称轴方程x =-b2a <0,∴y =ax 2+bx 在(0,+∞)上为减函数. 答案:B6.设函数y =f (x )在(-∞,+∞)内有定义,对于给定的正数K ,定义函数f K (x )=⎩⎪⎨⎪⎧f x ,f x K ,K ,f x >K ,取函数f (x )=2-|x |,当K =12时,函数f K (x )的单调递增区间为( ).A .(-∞,0)B .(0,+∞)C .(-∞,-1)D .(1,+∞) 解析 f 12(x )=⎩⎪⎨⎪⎧2-|x |,2-|x |≤1212,2-|x |>12⇔ f 12(x )=⎩⎪⎨⎪⎧⎝ ⎛⎭⎪⎫12|x |,x ≤-1或x ≥1,12,-1<x <1.f 12(x )的图象如上图所示,因此f 12(x )的单调递增区间为(-∞,-1).答案 C7.已知函数f (x )=x 2-2ax +a ,在区间(-∞,1)上有最小值,则函数g (x )=f xx在区间(1,+∞)上一定( ).A .有最小值B .有最大值C .是减函数D .是增函数解析 由题意a <1,又函数g (x )=x +a x-2a 在[|a |,+∞)上为增函数,故选D. 答案 D二、填空题8.函数y =-(x -3)|x |的递增区间是_______. 解析:y =-(x -3)|x |=⎩⎪⎨⎪⎧-x 2+3x x ,x 2-3x x作出该函数的图像,观察图像知递增区间为⎣⎢⎡⎦⎥⎤0,32.答案:⎣⎢⎡⎦⎥⎤0,32 9.已知函数f (x )=2ax 2+4(a -3)x +5在区间(-∞,3)上是减函数,则a 的取值范围是________.解析 ①当a =0时,f (x )=-12x +5在(-∞,3)上为减函数;②当a >0时,要使f (x )=2ax 2+4(a -3)x +5在区间(-∞,3)上是减函数,则对称轴x =3-a a必在x =3的右边,即3-a a ≥3,故0<a ≤34;③当a <0时,不可能在区间(-∞,3)上恒为减函数.综合知:a的取值范围是⎣⎢⎡⎦⎥⎤0,34.答案 ⎣⎢⎡⎦⎥⎤0,3410.若f (x )为R 上的增函数,则满足f (2-m )<f (m 2)的实数m 的取值范围是________. 解析:∵f (x )在R 上为增函数,∴2-m <m 2. ∴m 2+m -2>0.∴m >1或m <-2. 答案:(-∞,-2)∪(1,+∞)11. 已知f (x )=⎩⎪⎨⎪⎧a -x +4a x ,log a x x是(-∞,+∞)上的减函数,那么a 的取值范围是________.解析 ∵当x ≥1时,y =log a x 单调递减,∴0<a <1;而当x <1时,f (x )=(3a -1)x +4a 单调递减,∴a <13;又函数在其定义域内单调递减,故当x =1时,(3a -1)x +4a ≥log a x ,得a ≤17,综上可知,17≤a <13.答案.17≤a <1312.已知函数f (x )=⎩⎪⎨⎪⎧e -x-2,x ≤0,2ax -1,x >0(a 是常数且a >0).对于下列命题:①函数f (x )的最小值是-1;②函数f (x )在R 上是单调函数;③若f (x )>0在⎣⎢⎡⎭⎪⎫12,+∞上恒成立,则a 的取值范围是a >1; ④对任意的x 1<0,x 2<0且x 1≠x 2,恒有f ⎝⎛⎭⎪⎫x 1+x 22<f x 1+f x 22.其中正确命题的序号是__________(写出所有正确命题的序号).解析 (数形结合法)根据题意可画出草图,由图象可知,①显然正确;函数f (x )在R 上不是单调函数,故②错误;若f (x )>0在⎣⎢⎡⎭⎪⎫12,+∞上恒成立,则2a ×12-1>0,a >1,故③正确;由图象可知在(-∞,0)上对任意的x 1<0,x 2<0 且x 1≠x 2,恒有f ⎝ ⎛⎭⎪⎫x 1+x 22<f x 1+f x 22成立,故④正确.答案 ①③④【点评】 采用数形结合法.注意本题中的③和④的理解,此题充分体现了数形结合法的直观性与便捷性. 三、解答题13.求函数y =a 1-x 2(a >0且a ≠1)的单调区间.解析:当a >1时,函数y =a 1-x 2在区间[0,+∞)上是减函数,在区间(-∞,0]上是增函数;当0<a <1时,函数y =a 1-x 2在区间[0,+∞)上是增函数,在区间(-∞,0]上是减函数. 14.已知函数f (x )=1a -1x(a >0,x >0).(1)求证:f (x )在(0,+∞)上是增函数;(2)若f (x )在⎣⎢⎡⎦⎥⎤12,2上的值域是⎣⎢⎡⎦⎥⎤12,2,求a 的值. 解析 (1)证明:方法一:设x 2>x 1>0, 则x 2-x 1>0,x 1x 2>0.∵f (x 2)-f (x 1)=⎝ ⎛⎭⎪⎫1a -1x 2-⎝ ⎛⎭⎪⎫1a -1x 1=1x 1-1x 2=x 2-x 1x 1x 2>0,∴f (x 2)>f (x 1),∴f (x )在(0,+∞)上是增函数.方法二:∵f (x )=1a -1x,∴f ′(x )=⎝ ⎛⎭⎪⎫1a -1x ′=1x2>0,∴f (x )在(0,+∞)上为增函数.(2)∵f (x )在⎣⎢⎡⎦⎥⎤12,2上的值域是⎣⎢⎡⎦⎥⎤12,2, 又f (x )在⎣⎢⎡⎦⎥⎤12,2上单调递增, ∴f ⎝ ⎛⎭⎪⎫12=12,f (2)=2,∴a =25.15.已知f (x )=xx -a(x ≠a ).(1)若a =-2,试证f (x )在(-∞,-2)内单调递增;(2)若a >0且f (x )在(1,+∞)内单调递减,求a 的取值范围. (1)证明 任设x 1<x 2<-2, 则f (x 1)-f (x 2)=x 1x 1+2-x 2x 2+2=x 1-x 2x 1+x 2+.∵(x 1+2)(x 2+2)>0,x 1-x 2<0,∴f (x 1)<f (x 2),∴f (x )在(-∞,-2)内单调递增. (2)解 任设1<x 1<x 2,则f (x 1)-f (x 2)=x 1x 1-a -x 2x 2-a =a x 2-x 1x 1-a x 2-a.∵a >0,x 2-x 1>0,∴要使f (x 1)-f (x 2)>0,只需(x 1-a )(x 2-a )>0在(1,+∞)内恒成立,∴a ≤1.综上知0<a ≤1.16.函数f (x )对任意的a 、b ∈R ,都有f (a +b )=f (a )+f (b )-1,并且当x >0时,f (x )>1. (1)求证:f (x )是R 上的增函数;(2)若f (4)=5,解不等式f (3m 2-m -2)<3.解析 (1)证明 设x 1,x 2∈R ,且x 1<x 2, 则x 2-x 1>0,∴f (x 2-x 1)>1.f (x 2)-f (x 1)=f [(x 2-x 1)+x 1]-f (x 1)=f (x 2-x 1)+f (x 1)-1-f (x 1)=f (x 2-x 1)-1>0. ∴f (x 2)>f (x 1).即f (x )是R 上的增函数. (2) ∵f (4)=f (2+2)=f (2)+f (2)-1=5, ∴f (2)=3,∴原不等式可化为f (3m 2-m -2)<f (2),∵f (x )是R 上的增函数,∴3m 2-m -2<2, 解得-1<m <43,故解集为⎝ ⎛⎭⎪⎫-1,43.。
限时集训(九) 函数的图象(限时:50分钟 满分:106分)一、选择题(本大题共8个小题,每小题5分,共40分)1.函数y =⎩⎪⎨⎪⎧x 2x,2x-x的图象大致是( )2.函数y =lg 1|x +1|的大致图象为( )3.(2013·舟山模拟)已知函数f (x )是定义在R 上的奇函数,当x ≥0时,f (x )=3x+m (m 为常数),则函数f (x )的大致图象为( )4.已知函数y =f (x )与y =g (x )的图象如图所示,则函数y =f (x )·g (x )的图象可能是( )5.已知函数f (x )=ax -2,g (x )=log a |x |(a >0,且a ≠1),且f (2 011)·g (-2 012)<0,则y =f (x ),y =g (x )在同一坐标系内的大致图象是( )6.已知函数f (x )的图象向左平移1个单位长度后关于y 轴对称,当x 2>x 1>1时,[f (x 2)-f (x 1)](x 2-x 1)<0恒成立,设a =f ⎝ ⎛⎭⎪⎫-12,b =f (2),c =f (3),则a ,b ,c 的大小关系为( )A .c >a >bB .c >b >aC .a >c >bD .b >a >c7.我们定义若函数f (x )为D 上的凹函数须满足以下两条规则:(1)函数在区间D 上的任何取值有意义;(2)对于区间D 上的任意n 个值x 1,x 2,…,x n ,总满足f (x 1)+f (x 2)+…+f (x n )≥nf ⎝⎛⎭⎪⎫x 1+x 2+…+x n n ,那么下列四个图象中在⎣⎢⎡⎦⎥⎤0,π2上满足凹函数定义的是( )8.设函数f (x )=⎩⎪⎨⎪⎧x -[x ],x ≥0,f x +,x <0,其中[x ]表示不超过x 的最大整数,如[-1.5]=-2,[1.5]=1,若直线y =k (x +1)(k >0)与函数y =f (x )的图象有三个不同的交点,则k 的取值范围是( )A.⎝ ⎛⎦⎥⎤14,13B.⎝ ⎛⎦⎥⎤0,14C.⎣⎢⎡⎦⎥⎤14,13 D.⎣⎢⎡⎭⎪⎫14,13 二、填空题(本大题共6个小题,每小题4分,共24分)9.函数f (x )=⎩⎪⎨⎪⎧ax +b ,x ≤0,log c ⎝ ⎛⎭⎪⎫x +19,x >0的图象如图所示,则a +b +c =________.10.已知y =f (x )是R 上的增函数,A (0,-1),B (3,1)是其图象上两个点,则不等式|f (x +1)|<1的解集是________.11.若对任意x ∈R ,不等式|x |≥ax 恒成立,则实数a 的取值范围是________. 12.(2013·平湖模拟)若关于x 的不等式2-x 2>|x -a |至少有一个负数解,则实数a 的取值范围是________.13.若方程2a =|a x-1|(a >0,a ≠1)有两个实数解,则实数a 的取值范围为________. 14.已知函数y =f (x )(x ∈R)满足f (x +1)=f (x -1),且x ∈[-1,1]时,f (x )=x 2,则函数y =f (x )与y =log 5x 的图象交点的个数为________.三、解答题(本大题共3个小题,每小题14分,共42分)15.设函数f (x )=x +1x的图象为C 1,C 1关于点A (2,1)对称的图象为C 2,C 2对应的函数为g (x ).(1)求g (x )的解析式;(2)若直线y =m 与C 2只有一个交点,求m 的值和交点坐标.16.当x ∈(1,2)时,不等式(x -1)2<log a x 恒成立,求实数a 的取值范围.17.(1)已知函数y =f (x )的定义域为R ,且当x ∈R 时,f (m +x )=f (m -x )恒成立,求证y =f (x )的图象关于直线x =m 对称;(2)若函数y =log 2|ax -1|的图象的对称轴是x =2,求非零实数a 的值.答 案 [限时集训(九)]1.B 2.D 3.B 4.A 5.B 6.D 7.A 8.D 9.解析:由图象可求得直线的方程为y =2x +2.又函数y =log c ⎝ ⎛⎭⎪⎫x +19的图象过点(0,2), 将其坐标代入可得c =13,所以a +b +c =2+2+13=133.答案:13310.解析:|f (x +1)|<1⇔-1<f (x +1)<1⇔f (0)<f (x +1)<f (3),又y =f (x )是R 上的增函数,∴0<x +1<3.∴-1<x <2. 答案:{x |-1<x <2} 11.解析:如图所示由图可知,当-1≤a ≤1时不等式恒成立. 答案:[-1,1]12.解析:在同一坐标系中画出函数f (x )=2-x 2,g (x )=|x -a |的图象,如图所示.若a ≤0,则其临界情况为折线g (x )=|x -a |与抛物线f (x )=2-x 2相切,由2-x 2=x -a 可得x 2+x -a -2=0,由Δ=1+4·(a +2)=0,解得a =-94;若a >0,则其临界情况为两函数图象的交点为(0,2),此时a =2.结合图象可知,实数a 的取值范围是⎝ ⎛⎭⎪⎫-94,2. 答案:⎝ ⎛⎭⎪⎫-94,2 13.解析:当a >1时,函数y =|a x-1|的图象如图①所示,显然直线y =2a 与该图象只有一个交点,故a >1不合适;当0<a <1时,函数y =|a x-1|的图象如图②所示,要使直线y =2a 与该图象有两个交点,则0<2a <1, 即0<a <12.综上所述,实数a 的取值范围为⎝ ⎛⎭⎪⎫0,12. 答案:⎝ ⎛⎭⎪⎫0,12 14.解析:根据f (x +1)=f (x -1),得f (x )=f (x +2),则函数f (x )是以2为周期的函数,分别作出函数y =f (x )与y =log 5x 的图象(如图),可知函数y =f (x )与y =log 5x 的图象的交点个数为4.答案:415.解:(1)设点P (x ,y )是C 2上的任意一点,则P (x ,y )关于点A (2,1)对称的点为P ′(4-x,2-y ),代入f (x )=x +1x,可得2-y =4-x +14-x,即y =x -2+1x -4.∴g (x )=x -2+1x -4. (2)由⎩⎪⎨⎪⎧y =m ,y =x -2+1x -4,消去y ,得x 2-(m +6)x +4m +9=0, Δ=(m +6)2-4(4m +9),∵直线y =m 与C 2只有一个交点, ∴Δ=0,解得m =0或m =4.当m =0时,经检验合理,交点为(3,0); 当m =4时,经检验合理,交点为(5,4). 16.解:设f (x )=(x -1)2,g (x )=log a x , 在同一直角坐标系中画出f (x )与g (x )的图象,要使x ∈(1,2)时,不等式(x -1)2<log a x 恒成立,只需函数f (x )的图象在g (x )的图象下方即可.当0<a <1时,由两函数的图象知,显然不成立;当a >1时,如图,使x ∈(1,2)时,不等式(x -1)2<log a x 恒成立,只需f (2)≤g (2),即(2-1)2≤log a 2,解得1<a ≤2. 综上可知,1<a ≤2.17.解:(1)设P (x 0,y 0)是y =f (x )图象上任意一点, 则y 0=f (x 0).又P 点关于x =m 的对称点为P ′, 则P ′的坐标为(2m -x 0,y 0). 由已知f (x +m )=f (m -x ), 得f (2m -x 0)=f [m +(m -x 0)] =f [m -(m -x 0)]=f (x 0)=y 0.即P ′(2m -x 0,y 0)在y =f (x )的图象上. ∴y =f (x )的图象关于直线x =m 对称. (2)对定义域内的任意x , 有f (2-x )=f (2+x )恒成立.∴|a (2-x )-1|=|a (2+x )-1|恒成立, 即|-ax +(2a -1)|=|ax +(2a -1)|恒成立. 又∵a ≠0,∴2a -1=0,得a =12.。
第11讲 函数的图象1.(2012·山东省东营市期末)函数y =x 12-1的图象关于x 轴对称的图象大致是( B )解析:(方法一)将幂函数y =x 12的图象向下平移1个单位,再作关于x 的对称图象可得到选项B 中的图象,故选B.(方法二)取特殊点:取函数y =x 12-1图象上的点(1,0),关于x 轴对称的图象也是(1,0),排除C ,D ;又在函数y =x 12-1图象上取点(0,-1),关于x 轴对称的点为(0,1),排除A ,故选B.2.(2013·海淀二模)为了得到函数y =log 2x -1的图象,可将函数y =log 2x 的图象上所有点的( A )A .纵坐标缩短到原来的12,横坐标不变,再向右平移1个单位长度 B .纵坐标缩短到原来的12,横坐标不变,再向左平移1个单位长度 C .横坐标伸长到原来的2倍,纵坐标不变,再向左平移1个单位长度D .横坐标伸长到原来的2倍,纵坐标不变,再向右平移1个单位长度解析:因为函数y =12log 2(x -1),因此由函数y =log 2x 的图象上所有点的纵坐标缩短到原来的12,横坐标不变得到y =12log 2x 的图象,再向右平移1个单位长度得到y =12log 2(x -1)的图象,故选A.3.(改编)当0<x ≤13时,8x <log a x ,则a 的取值范围是( B ) A .(0,33) B .(33,1) C .(1,3) D .(3,2)解析:在同一坐标系中作出函数y =8x 与y =log a x 的图象.当a >1时,显然不成立.若0<a <1时,要使0<x ≤13时,8x <log a x ,则必有813<log a 13,则有33<a <1,故选B.4.已知函数f (x )=⎩⎪⎨⎪⎧2x (x ≤1)log 12x (x >1),则函数y =f (1-x )的大致图象是( C )解析:y =f (1-x )=⎩⎪⎨⎪⎧ 21-x (1-x ≤1)log 12(1-x ) (1-x >1), 即y =f (1-x )=⎩⎪⎨⎪⎧21-x (x ≥0)log 12(1-x ) (x <0),故选C. 5.将函数y =3x +a的图象C 向左平移一个单位后,得到y =f (x )的图象C 1,若曲线C 1关于原点对称,那么a 的值为 -1 .解析:因为图象C 的对称中心为(-a,0),而C 1的对称中心为(0,0),所以-a =1,即a =-1.6.(2012·福建省莆田市3月质检)如图是定义在[-4,6]上的函数f (x )的图象,若f (-2)=1,则不等式f (-x 2+1)<1的解集是 (-3,3) . 解析:由图象知函数f (x )在[-4,1]上为减函数,而-x 2+1≤1,则不等式f (-x 2+1)<1等价于f (-x 2+1)<f (-2),所以-x 2+1>-2,解得-3<x < 3.7.(2012·长春市高中毕业班第一次调研)已知函数f (x )=⎩⎪⎨⎪⎧e x (x ≥0)-2x (x <0),则关于x 的方程f [f (x )]+k =0给出下列四个命题:①存在实数k ,使得方程恰有1个实根;②存在实数k ,使得方程恰有2个不相等的实根;③存在实数k ,使得方程恰有3个不相等的实根;④存在实数k ,使得方程恰有4个不相等的实根.其中正确命题的序号是 ①② (把所有满足要求的命题序号都填上).解析:由f (x )的图象知f (x )>0,则f [f (x )]=⎩⎪⎨⎪⎧ee x (x ≥0)e -2x (x <0). 根据f [f (x )]的图象(如图)可知,①②正确.8.已知函数f (x )=⎩⎪⎨⎪⎧3-x 2 (x ∈[-1,2])x -3 (x ∈(2,5]). (1)画出f (x )的图象;(2)写出f (x )的单调递增区间.解析:(1)函数f (x )的图象如图所示.(2)由图象可知,函数f (x )的单调递增区间为[-1,0],[2,5].9.(2013·宁夏银川模拟)已知函数f (x )=|x -3|+|x +1|.(1)作出y =f (x )的图象;(2)解不等式f (x )≤6.解析:(1)f (x )=|x -3|+|x +1|=⎩⎪⎨⎪⎧ -2x +2 (x ≤-1)4 (-1<x ≤3)2x -2 (x >3).图象如图所示.(2)(方法一)由f (x )≤6,得当x ≤-1时,-2x +2≤6,x ≥-2,所以-2≤x ≤-1.当-1<x ≤3时,4≤6成立;当x >3时,2x -2≤6,x ≤4,所以3<x ≤4.所以不等式f (x )≤6的解集为{x |-2≤x ≤4}.(方法二)数形结合.由下图可知,不等式f (x )≤6的解集为{x |-2≤x ≤4}.。
2.7 函数的图象一、选择题1.当a ≠0时,y =ax +b 与y =(b a )x的图象大致是( ).解析 (筛选法)A 中,a >0,b =1,b a =1,很容易排除;B 中,a >0,b >1,故b a>1,函数y =(b a )x 单调递增,也可排除;C 、D 中,a <0,0<b <1,故b a>1,排除D.故选C. 答案 C【点评】 本题采用了筛选法.解决此类问题时一般结合两种函数给定特殊值域特殊位置,确定它们图象与函数式是否吻合.2.已知函数y =f (x )的周期为2,当x ∈[-1,1]时f (x )=x 2,那么函数y =f (x )的图象与函数y =|lg x |的图象的交点共有( ). A .10个 B .9个 C .8个 D .1个解析 (数形结合法)画出两个函数图象可看出交点有10个.答案 A【点评】 本题采用了数形结合法.数形结合,其实质是将抽象的数学语言与直观的图形结合起来,使抽象思维与形象思维结合起来,通过对图形的处理,发挥直观对抽象的支持作用,实现抽象概念与具体形象的联系和转化,化难为易,化抽象为直观. 3.y =x +cos x 的大致图象是( )解析当x =0时,y =1;当x =π2时,y =π2;当x =-π2时,y =-π2,观察各选项可知B正确. 答案B 4.函数cos622x xxy -=-的图象大致为( )答案 D5.函数y =11-x 的图象与函数y =2sin πx (-2≤x ≤4)的图象所有交点的横坐标之和等于( ).A .2B .4C .6D .8解析 此题考查函数的图象、两个函数图象的交点及函数的对称性问题.两个函数都是中心对称图形.如上图,两个函数图象都关于点(1,0)成中心对称,两个图象在[-2,4]上共8个公共点,每两个对应交点横坐标之和为2,故所有交点的横坐标之和为8. 答案 D6.函数21log 1xy x+=-的图象( ) A . 关于原点对称 B. 关于主线y x =-对称 C. 关于y 轴对称 D. 关于直线y x =对称解析 设21()log 1x f x x +=-,则21()log 1x f x x --=+=()f x -,所以函数21log 1xy x+=-是奇函数,其图象关于原点对称,故选A.答案 A7.函数y =f (x )与函数y =g (x )的图象如图则函数y =f (x )·g (x )的图象可能是( ).解析 从f (x )、g (x )的图象可知它们分别为偶函数、奇函数,故f (x )·g (x )是奇函数,排除B 项.又g (x )在x =0处无意义,故f (x )·g (x )在x =0处无意义,排除C 、D 两项. 答案 A 二、填空题8.已知定义在区间[0,1]上的函数y =f (x )的图象如图所示,对于满足0<x 1<x 2<1的任意x 1、x 2,给出下列结论:①f (x 2)-f (x 1)>x 2-x 1; ②x 2f (x 1)>x 1f (x 2); ③f x 1+f x 22<f ⎝⎛⎭⎪⎫x 1+x 22.其中正确结论的序号是________(把所有正确结论的序号都填上). 解析 由f (x 2)-f (x 1)>x 2-x 1,可得f x 2-f x 1x 2-x 1>1,即两点(x 1,f (x 1))与(x 2,f (x 2))连线的斜率大于1,显然①不正确,由x 2f (x 1)>x 1f (x 2)得f x 1x 1>f x 2x 2,即表示两点(x 1,f (x 1))、(x 2,f (x 2))与原点连线的斜率的大小,可以看出结论②正确;结合函数图象,容易判断③的结论是正确的. 答案 ②③9.已知函数y =f (x )和y =g (x )在[-2,2]的图象如下图所示:则方程f [g (x )]=0有且仅有________个根,方程f [f (x )]=0有且仅有________个根.解析:由图可知f(x)=0有三个根,设为x1,x2,x3,-2<x1<-1,x2=0,1<x3<2. 令g(x)=x1,由g(x)图象可知方程g(x)=x1有两个根,令g(x)=0得两个根,令g(x)=x3得两个根,∴f[g(x)]=0有6个根,同理可看出f[f(x)]=0有5个根.答案:6 510.如下图所示,向高为h的水瓶A、B、C、D同时以等速注水,注满为止.(1)若水量V与水深h函数图象是下图的(a),则水瓶的形状是________;(2)若水深h与注水时间t的函数图象是下图的(b),则水瓶的形状是________;(3)若注水时间t与水深h的函数图象是下图的(c),则水瓶的形状是________;(4)若水深h与注水时间t的函数的图象是图中的( d),则水瓶的形状是________.答案(1)A (2)D (3)B (4)C11.已知函数211xyx-=-的图像与函数y kx=的图像恰有两个交点,则实数k的取值X围是 .12.设函数f (x )=x |x |+bx +c ,给出下列命题: ①b =0,c >0时,方程f (x )=0只有一个实数根; ②c =0时,y =f (x )是奇函数; ③方程f (x )=0至多有两个实根.上述三个命题中所有正确命题的序号为________.解析 ①f (x )=x |x |+c =⎩⎪⎨⎪⎧x 2+cx ≥0-x 2+c x <0,如图①,曲线与x 轴只有一个交点,所以方程f (x )=0只有一个实数根,正确. ②c =0时,f (x )=x |x |+bx ,显然是奇函数. ③当c =0,b <0时,f (x )=x |x |+bx =⎩⎪⎨⎪⎧x 2+bxx ≥0-x 2+bx x <0.如图②,方程f (x )=0可以有三个实数根.综上所述,正确命题的序号为①②. 答案 ①② 三、解答题13.若方程2a =|a x-1|(a >0,a ≠1)有两个实数解,某某数a 的取值X 围.解:当a >1时,函数y =|a x-1|的图象如图①所示,显然直线y =2a 与该图象只有一个交点,故a >1不合适;当0<a <1时,函数y =|a x-1|的图象如图②所示, 要使直线y =2a 与该图象有两个交点,则0<2a <1, 即0<a <12.综上所述,实数a 的取值X 围为(0,12).14.已知函数f (x )=x1+x .(1)画出f (x )的草图; (2)指出f (x )的单调区间.解 (1)f (x )=x 1+x =1-1x +1,函数f (x )的图象是由反比例函数y =-1x的图象向左平移1个单位后,再向上平移1个单位得到,图象如图所示.(2)由图象可以看出,函数f (x )有两个单调递增区间: (-∞,-1),(-1,+∞).15.当x ∈(1,2)时,不等式(x -1)2<log a x 恒成立,求a 的取值X 围. 解析 设f 1(x )=(x -1)2,f 2(x )=log a x ,要使当x ∈(1,2)时,不等式 (x -1)2<log a x 恒成立,只需f 1(x )=(x -1)2在(1,2)上的图象在f 2(x )=log a x 的下方即可.当0<a <1时,综合函数图象知显然不成立.当a >1时,如图,要使在(1,2)上,f 1(x )=(x -1)2的图象在f 2(x )=log a x 的下方, 只需f 1(2)≤f 2(2),即(2-1)2≤log a 2,log a 2≥1, ∴1<a ≤2.∴a 的取值X 围是(1,2]16.讨论方程|1-x |=kx 的实数根的个数.思路分析 分别作出函数y =|1-x |与y =kx 的图象,结合图象讨论其交点个数. 解析 设y =|1-x |,y =kx ,则方程的实根的个数就是函数y =|1-x |的图象与y =kx 的图象交点的个数.由上边图象可知:当-1≤k<0时,方程没有实数根;当k=0或k<-1或k≥1时,方程只有一个实数根;当0<k<1时,方程有两个不相等的实数根.【点评】数形结合思想是高考必考内容,它对于解答选择、填空题即形象、又快捷,对于解答题,图象有利于分析、解决问题,但适当的解题步骤还是必须的.。
第八节 函数的图象[备考方向要明了]考 什 么怎 么 考1.在实际情境中,会根据不同的需要选择图象法、列表法、解析法表示函数.2.会运用函数图象理解和研究函数的性质,解决方程解的个数与不等式的解的问题.3.会用数形结合思想、转化与化归思想解决函数问题.高考对本节内容的考查主要以选择题或填空题的形式考查函数图象的判断及应用.1.对图象的判断主要有以下两种:(1)根据所给函数解析式,利用其与基本初等函数的关系以及它们之间的变化规律,根据图象变换得出所求函数的图象,如2012年某某T5,新课标全国T10等.(2)根据函数的性质(如:奇偶性、单调性、周期性等)或函数图象的特殊点得出所求函数的图象,如2012年某某T9等. 2.图象的应用主要有以下几个方面:求函数的值域、单调区间,求参数的取值X 围,判断非常规解的个数等,如2012年某某T15,某某T14等.[归纳·知识整合]1.利用描点法作函数图象 其基本步骤是列表、描点、连线.首先:①确定函数的定义域;②化简函数解析式;③讨论函数的性质(奇偶性、单调性、周期性、对称性等).其次:列表(尤其注意特殊点、零点、最大值点、最小值点、与坐标轴的交点等),描点,连线.2.利用图象变换法作函数的图象 (1)平移变换:y =f (x )―――――――――――→a >0,右移a 个单位a <0,左移|a |个单位y =f (x -a ); y =f (x )―――――――――→b >0,上移b 个单位b <0,下移|b |个单位y =f (x )+b . (2)伸缩变换:y =f (x )1011ωωωω−−−−−−−−→<<,伸长为原来的倍>1,缩短为原来的 y =f (ωx );y =f (x )―――――――――→A >1,伸为原来的A 倍0<A <1,缩为原来的A 倍y =Af (x ).(3)对称变换:y =f (x )―――――→关于x 轴对称 y =-f (x ); y =f (x )―――――→关于y 轴对称 y =f (-x ); y =f (x )――――――→关于原点对称y =-f (-x ). (4)翻折变换:y =f (x )――――――――――――――→去掉y 轴左边图,保留y 轴右边图将y 轴右边的图象翻折到左边去y =f (|x |); y =f (x )―――――――――→留下x 轴上方图将x 轴下方图翻折上去y =|f (x )|. [探究] 1.函数y =f (x )的图象关于原点对称与函数y =f (x )与y =-f (-x )的图象关于原点对称一致吗?提示:不一致,前者是本身的对称,而后者是两个函数图象间的对称. 2.一个函数的图象关于y 轴对称与两个函数的图象关于y 轴对称有何区别? 提示:一个函数的图象关于y 轴对称与两个函数的图象关于y 轴对称不是一回事.函数y =f (x )的图象关于y 轴对称是自身对称,说明该函数为偶函数;而函数y =f (x )与函数y=f (-x )的图象关于y 轴对称,是两个函数的图象对称.3.若函数y =f (x )的图象关于点(a,0)(a >0)对称,那么其图象如何变换才能使它变为奇函数?其解析式变为什么?提示:向左平移a 个单位即可;解析式变为y =f (x +a ).[自测·牛刀小试]1.(教材习题改编)汽车经过启动、加速行驶、匀速行驶、减速行驶之后停车,若把这一过程中汽车行驶的路程s 看作时间t 的函数,其图象可能是( )解析:选B 汽车在启动、加速行驶的过程中,路程变化越来越快,图象呈下凸趋势;匀速行驶过程,图象呈直线上升趋势;减速行驶过程,路程变化越来越慢,图象呈上凸趋势.2.函数y =x |x |的图象经描点确定后的形状大致是( )解析:选A y =x |x |=⎩⎪⎨⎪⎧x 2,x >00,x =0-x 2,x <0为奇函数,奇函数图象关于原点对称.3.函数y =ln(1-x )的图象大致为( )解析:选C y =ln(1-x )=ln[-(x -1)],其图象可由y =ln x 关于y 轴对称的图象向右平移一个单位得到.4.已知下图(1)中的图象对应的函数为y =f (x ),则下图(2)中的图象对应的函数在下列给出的四个式子中,可能是________(填序号).①y =f (|x |);②y =|f (x )|;③y =-f (|x |);④y =f (-|x |).解析:由图(1)和图(2)的关系可知,图(2)是由图(1)在y 轴左侧的部分及其关于y 轴对称图形构成的,故选④.答案:④5.(2012·某某模拟)函数f (x )是定义在[-4,4]上的偶函数,其在[0,4]上的图象如图所示,那么不等式f xcos x<0的解集为________.解析:利用函数f (x )的图象关于y 轴对称和余弦函数y =cos x 的图象可知不等式的解集为⎝ ⎛⎭⎪⎫-π2,-1∪⎝⎛⎭⎪⎫1,π2.答案:⎝ ⎛⎭⎪⎫-π2,-1∪⎝⎛⎭⎪⎫1,π2作函数的图象[例1] 分别画出下列函数的图象: (1)y =|lg(x -1)|;(2)y =2x +1-1;(3)y =x 2-|x |-2.[自主解答] (1)首先作出y =lg x 的图象C 1,然后将C 1向右平移1个单位,得到y =lg(x -1)的图象C 2,再把C 2在x 轴下方的图象作关于x 轴对称的图象,即为所求图象C 3:y =|lg(x -1)|.如图(1)所示(实线部分).(2)y =2x +1-1的图象可由y =2x 的图象向左平移1个单位,得y =2x +1的图象,再向下平移一个单位得到,如图(2)所示.(3)y =x 2-|x |-2=⎩⎪⎨⎪⎧x 2-x -2 x ≥0x 2+x -2x <0,其图象如图(3)所示.———————————————————画函数图象的一般方法(1)直接法:当函数表达式(或变形后的表达式)是熟悉的基本函数或解析几何中熟悉的曲线时,可根据这些函数或曲线的特征直接作出.2图象变换法:若函数图象可由某个基本函数的图象经过平移、翻折、对称得到,可利用图象变换作出,但要注意变换顺序,对不能直接找到熟悉函数的要先变形,并应注意平移变换与伸缩变换的顺序对变换单位及解析式的影响.3描点法:当上面两种方法都失效时,则可采用描点法.为了通过描少量点,就能得到比较准确的图象,常常需要结合函数的单调性、奇偶性等性质讨论.1.分别画出下列函数的图象. (1)y =|x 2-4x +3|;(2)y =2x +1x +1;(3)y =10|lg x |. 解:(1)先画函数y =x 2-4x +3的图象,再将其x 轴下方的图象翻折到x 轴上方,如图(1).(2)y =2x +1x +1=2x +1-1x +1=2-1x +1.可由函数y =-1x向左平移1个单位,再向上平移2个单位得到,如图(2).(3)y =10|lg x |=⎩⎪⎨⎪⎧x ,x ≥1,1x,0<x <1,如图(3).识图与辨图[例2] (1)(2012·某某高考)函数y =cos 6x2x -2-x 的图象大致为( )(2)已知定义在区间[0,2]上的函数y =f (x )的图象如图所示,则y =-f (2-x )的图象为( )[自主解答] (1)∵y =f (x )=cos 6x 2x -2-x ,∴f (-x )=cos -6x2-x -2x=-f (x ).∴f (x )是奇函数,其图象关于原点对称,排除选项A ;当x 从正方向趋近0时,y =f (x )=cos 6x2x -2-x 趋近+∞,排除选项B ;当x 趋近+∞时,y =f (x )=cos 6x2x -2-x 趋近0,排除选项C.(2)法一:由y =f (x )的图象知f (x )=⎩⎪⎨⎪⎧x0≤x ≤1,11<x ≤2.当x ∈[0,2]时,2-x ∈[0,2],所以f (2-x )=⎩⎪⎨⎪⎧10≤x ≤1,2-x 1<x ≤2,故y =-f (2-x )=⎩⎪⎨⎪⎧-10≤x ≤1,x -21<x ≤2.图象应为B.法二:当x =0时,-f (2-x )=-f (2)=-1;当x =1时,-f (2-x )=-f (1)=-1.观察各选项,可知应选B.[答案] (1)D (2)B ——————————————————— 寻找图象与函数解析式之间的对应关系的方法(1)知图选式:①从图象的左右、上下分布,观察函数的定义域、值域; ②从图象的变化趋势,观察函数的单调性; ③从图象的对称性方面,观察函数的奇偶性; ④从图象的循环往复,观察函数的周期性. 利用上述方法,排除错误选项,筛选正确的选项. (2)知式选图:①从函数的定义域,判断图象的左右位置;从函数的值域,判断图象的上下位置; ②从函数的单调性,判断图象的变化趋势; ③从函数的奇偶性,判断图象的对称性. ④从函数的周期性,判断图象的循环往复. 利用上述方法,排除错误选项,筛选正确选项.注意联系基本函数图象和模型,当选项无法排除时,代特殊值,或从某些量上寻找突破口.2.函数y =x2-2sin x 的图象大致是( )解析:选C 当x =0时,y =0,由此排除选项A ;当x =2π时,y =π<4,由此排除B ;当x →+∞时,y >0,由此排除选项D.3.(2013·某某模拟)已知函数f (x )的图象如图所示,则f (x )的解析式可能是( )A .f (x )=x 2-2ln |x | B .f (x )=x 2-ln |x | C .f (x )=|x |-2ln |x | D .f (x )=|x |-ln |x |解析:选B 由函数图象可得,函数f (x )为偶函数,且x >0时,函数f (x )的单调性为先减后增,最小值为正,极小值点小于1,分别对选项中各个函数求导,并求其导函数等于0的正根,可分别得1,22,2,1,由此可得仅函数f (x )=x 2-ln |x |符合条件.函数图象的应用[例3] (2012·某某高考)已知函数y =|x 2-1|x -1的图象与函数y =kx -2的图象恰有两个交点,则实数k 的取值X 围是________.[自主解答] 先去掉绝对值符号,在同一直角坐标系中作出函数的图象,数形结合求解.根据绝对值的意义,y =|x 2-1|x -1=⎩⎪⎨⎪⎧x +1x >1或x <-1,-x -1-1≤x <1.在直角坐标系中作出该函数的图象,如图中实线所示.根据图象可知,当0<k <1或1<k <4时有两个交点.[答案] (0,1)∪(1,4)若将“y =kx -2”改为“y =kx ”,k 的取值X 围是什么?解:函数可表示为y =⎩⎪⎨⎪⎧x +1,x >1或x <-1,-x -1,-1≤x <1,图象为如图所示的实线部分,数形结合可知,要使两函数图象有两个交点,则k ∈(0,1)∪(1,2).———————————————————1.利有函数的图象研究函数的性质从图象的最高点、最低点,分析函数的最值、极值;从图象的对称性,分析函数的奇偶性;从图象的走向趋势,分析函数的单调性、周期性等.2.利用函数的图象研究方程根的个数有关方程解的个数问题常常转化为两个熟悉的函数的交点个数;利用此法也可由解的个数求参数值.4.对实数a 和b ,定义运算“⊗”:a ⊗b =⎩⎪⎨⎪⎧a ,a -b ≤1,b ,a -b >1.设函数f x =(x 2-2)⊗(x-1),x ∈R .若函数y =f (x )-c 的图象与x 轴恰有两个公共点,则实数c 的取值X 围是( )A .(-1,1]∪(2,+∞)B .(-2,-1]∪(1,2]C .(-∞,-2)∪(1,2]D .[-2,-1] 解析:选B ∵a ⊗b =⎩⎪⎨⎪⎧a ,a -b ≤1,b ,a -b >1,∴函数f (x )=(x 2-2)⊗(x -1)=⎩⎪⎨⎪⎧x 2-2,-1≤x ≤2,x -1,x <-1或x >2.结合图象可知,当c ∈(-2,-1]∪(1,2]时,函数f (x )与y =c 的图象有两个公共点, ∴c 的取值X 围是(-2,-1]∪(1,2].5.已知a >0,且a ≠1,f (x )=x 2-a x,当x ∈(-1,1)时,均有f (x )<12,则实数a 的取值X 围是________.解析:由题知,当x ∈(-1,1)时,f (x )=x 2-a x <12,即x 2-12<a x .在同一坐标系中分别作出二次函数y =x 2-12,指数函数y =a x的图象,如图,当x ∈(-1,1)时,要使指数函数的图象均在二次函数图象的上方,需12≤a ≤2且a ≠1.故实数a 的取值X 围是12≤a <1或1<a ≤2.答案:⎣⎢⎡⎭⎪⎫12,1∪(1,2]1个易错点——图象变换中的易错点在解决函数图象的变换问题时,要遵循“只能对函数关系式中的x ,y 变换”的原则,写出每一次的变换所得图象对应的解析式,这样才能避免出错.3个关键点——正确作出函数图象的三个关键点 为了正确地作出函数图象,必须做到以下三点: (1)正确求出函数的定义域;(2)熟练掌握几种基本函数的图象,如二次函数、反比例函数、指数函数、对数函数、幂函数、形如y =x +1x的函数;(3)掌握平移变换、伸缩变换、对称变换、翻折变换、周期变换等常用的方法技巧,来帮助我们简化作图过程.3种方法——识图的方法对于给定函数的图象,要能从图象的左右、上下分布X 围、变化趋势、对称性等方面来获取图中所提供的信息,解决这类问题的常用方法有:(1)定性分析法,也就是通过对问题进行定性的分析,从而得出图象的上升(或下降)的趋势,利用这一特征来分析解决问题;(2)定量计算法,也就是通过定量的计算来分析解决问题;(3)函数模型法,也就是由所提供的图象特征,联想相关函数模型,利用这一函数模型来分析解决问题.易误警示——作图不准确或数与形不吻合致误[典例] (2011·新课标全国卷)函数y =11-x 的图象与函数y =2sin πx (-2≤x ≤4)的图象所有交点的横坐标之和等于( )A .2B .4C .6D .8[解析] 由题意知y =11-x =-1x -1的图象是双曲线,且关于点(1,0)成中心对称,又y =2sin πx 的周期为T =2ππ=2,且也关于点(1,0)成中心对称;因此两图象的交点也一定关于点(1,0)成中心对称,再结合图象(如图所示)可知两图象在[-2,4]上有8个交点,因此8个交点的横坐标之和x 1+x 2+…+x 8=4×2=8.[答案] D [易误辨析]1.如果作出的函数图象比较粗糙,极易造成区间(1,2)上的两个交点遗漏,从而误选B.2.如果作函数y =11-x 的图象不够准确,只注意到图象过点⎝ ⎛⎭⎪⎫32,-1,极易忽视区间⎝ ⎛⎭⎪⎫32,2上的交点,从而误选C.3.如果不能正确地挖掘函数y =11-x 及y =2sin πx (-2≤x ≤4)的图象均关于点(1,0)对称,从而无法求出交点横坐标的和.4.解决此类问题,避免在解题过程中出现失误,应关注以下几点:(1)平时涉及函数图象的问题时,要规X 准确地画出图象,切忌不用尺规草草完成. (2)加强通过解析式分析其图象的对称性、周期性等性质的训练以提高解决这类问题的能力.(3)训练由图分析其函数性质的解题技巧. [变式训练]1.已知函数f (x )=⎩⎪⎨⎪⎧|2x-1|,x <2,3x -1,x ≥2,若方程f (x )-a =0有三个不同的实数根,则实数a 的取值X 围为( )A .(1,3)B .(0,3)C .(0,2)D .(0,1)解析:选D 因为方程f (x )-a =0的根,即是直线y =a 与函数f (x )=⎩⎪⎨⎪⎧|2x-1|,x <2,3x -1,x ≥2,的图象交点的横坐标,画出函数图象进行观察可以得知,a 的取值X围是(0,1).2.已知a ,b ,c 依次是方程2x+x =0,log 2x =2-x 和log 12x =x 的实数根,则a ,b ,c 的大小关系是________.解析:由2x+x =0,得2x=-x ,分别作出y =2x ,y =-x 的图象,如图(1), 两图象交点的横坐标即为a ,可得a <0. 同理,对于方程log 2x =2-x ,可得图(2), 得1<b <2;对于方程log 12x =x ,可得图(3),得0<c <1,所以a <c <b .答案:a <c <b一、选择题(本大题共6小题,每小题5分,共30分)1.函数y =⎩⎪⎨⎪⎧x 2x <0,2x-1x ≥0的图象大致是( )解析:选B 当x <0时,函数的图象是抛物线;当x ≥0时,只需把y =2x的图象在y 轴右侧的部分向下平移1个单位即可,故大致图象为B.2.函数y =log 2 |x |x的大致图象是( )解析:选C 由于log 2 |-x |-x =-log 2 |x |x ,所以函数y =log 2 |x |x 是奇函数,其图象关于原点对称.当x >0时,对函数求导可知函数图象先增后减,结合选项可知选C.3.(2013·某某模拟)已知函数f (x )是定义在R 上的奇函数,当x ≥0时,f (x )=3x+m (m 为常数),则函数f (x )的大致图象为( )解析:选B 由函数f (x )是定义在R 上的奇函数知,函数f (x )的图象过原点且关于原点对称,故可排除A 、C ,由f (x )在[0,+∞)上为增函数,可排除D ,由题意知,f (0)=0,得m =-1,即当x ≥0时,f (x )=3x -1;设x <0,则-x >0,f (x )=-f (-x )=-(3-x-1)=-3-x+1.故f (x )=⎩⎪⎨⎪⎧3x-1x ≥0,-3-x+1x <0.4.已知函数y =f (x )与y =g (x )的图象如图所示,则函数y =f (x )·g (x )的图象可能是( )解析:选A 观察图象可知,y =f (x )有两个零点x 1=-π2,x 2=π2,且y =g (x )在x =0时,函数值不存在,所以函数y =f (x )·g (x )在x =0时,函数值也不存在,故可以排除选项C ,D.当x ∈⎝⎛⎭⎪⎫0,π2时,y =f (x )·g (x )的函数值为负,故排除选项B.5.已知函数f (x )的图象向左平移1个单位长度后关于y 轴对称,当x 2>x 1>1时,[f (x 2)-f (x 1)](x 2-x 1)<0恒成立,设a =f ⎝ ⎛⎭⎪⎫-12,b =f (2),c =f (3),则a ,b ,c 的大小关系为( )A .c >a >bB .c >b >aC .a >c >bD .b >a >c解析:选D 由题意得f (x +1)的图象关于y 轴对称,则f (x )的图象关于x =1对称,满足f (x )=f (2-x ),∴a =f ⎝ ⎛⎭⎪⎫-12=f ⎝ ⎛⎭⎪⎫52.又由已知得f (x )在(1,+∞)上为减函数,∴f (2)>f ⎝ ⎛⎭⎪⎫52>f (3),即b >a >c .6.设函数f (x )=⎩⎪⎨⎪⎧x -[x ],x ≥0,fx +1,x <0,其中[x ]表示不超过x 的最大整数,如[-1.5]=-2,[1.5]=1,若直线y =k (x +1)(k >0)与函数y =f (x )的图象有三个不同的交点,则k 的取值X 围是( )A.⎝ ⎛⎦⎥⎤14,13B.⎝ ⎛⎦⎥⎤0,14C.⎣⎢⎡⎦⎥⎤14,13D.⎣⎢⎡⎭⎪⎫14,13 解析:选D 依题意作出函数f (x )=⎩⎪⎨⎪⎧x -[x ],x ≥0,f x +1,x <0与直线y =13(x +1),y =14(x+1)的部分图象,如下图所示.从图象中我们可以看出当k =14时,函数f (x )与直线y =14(x+1)的图象有三个交点,当k =13时,函数f (x )与直线y =13(x +1)的图象有两个交点,所以当14≤k <13时,直线y =k (x +1)与函数y =f (x )的图象恰有三个交点.二、填空题7.函数f (x )=⎩⎪⎨⎪⎧ax +b ,x ≤0,log c ⎝ ⎛⎭⎪⎫x +19,x >0的图象如图所示,则a +b +c =________.解析:由图象可求得直线的方程为y =2x +2.又函数y =log c ⎝ ⎛⎭⎪⎫x +19的图象过点(0,2),将其坐标代入可得c =13,所以a +b +c =2+2+13=133.答案:1338.(2013·某某模拟)若关于x 的不等式2-x 2>|x -a |至少有一个负数解,则实数a 的取值X 围是________.解析:在同一坐标系中画出函数f (x )=2-x 2,g (x )=|x -a |的图象,如图所示.若a ≤0,则其临界情况为折线g (x )=|x -a |与抛物线f (x )=2-x 2相切,由2-x 2=x -a 可得x 2+x -a -2=0,由Δ=1+4·(a +2)=0,解得a =-94;若a >0,则其临界情况为两函数图象的交点为(0,2),此时a =2.结合图象可知,实数a 的取值X 围是⎝ ⎛⎭⎪⎫-94,2. 答案:⎝ ⎛⎭⎪⎫-94,2 9.已知函数y =f (x )(x ∈R )满足f (x +1)=f (x -1),且x ∈[-1,1]时,f (x )=x 2,则函数y =f (x )与y =log 5x 的图象交点的个数为________.解析:根据f (x +1)=f (x -1),得f (x )=f (x +2),则函数f (x )是以2为周期的函数,分别作出函数y =f (x )与y =log 5x 的图象(如图),可知函数y =f (x )与y =log 5x 的图象的交点个数为4.答案:4三、解答题(本大题共3小题,每小题12分,共36分) 10.已知函数f (x )=x |m -x |(x ∈R ),且f (4)=0. (1)某某数m 的值; (2)作出函数f (x )的图象;(3)根据图象指出f (x )的单调递减区间; (4)根据图象写出不等式f (x )>0的解集; (5)求当x ∈[1,5)时函数的值域. 解:(1)∵f (4)=0,∴4|m -4|=0, 即m =4.(2)f (x )=x |4-x |=⎩⎪⎨⎪⎧x x -4=x -22-4,x ≥4,-x x -4=-x -22+4,x <4.f (x )的图象如图所示.(3)f (x )的单调递减区间是[2,4].(4)由图象可知,f (x )>0的解集为{x |0<x <4,或x >4}. (5)∵f (5)=5>4,∴由图象知,函数在[1,5)上的值域为[0,5).11.当x ∈(1,2)时,不等式(x -1)2<log a x 恒成立,某某数a 的取值X 围. 解:设f (x )=(x -1)2,g (x )=log a x , 在同一直角坐标系中画出f (x )与g (x )的图象,要使x ∈(1,2)时,不等式(x -1)2<log a x 恒成立,只需函数f (x )的图象在g (x )的图象下方即可.当0<a <1时,由两函数的图象知,显然不成立;当a >1时,如图,使x ∈(1,2)时,不等式(x -1)2<log a x 恒成立,只需f (2)≤g (2),即(2-1)2≤log a 2,解得1<a ≤2. 综上可知,1<a ≤2.12.(1)已知函数y =f (x )的定义域为R ,且当x ∈R 时,f (m +x )=f (m -x )恒成立,求证y =f (x )的图象关于直线x =m 对称;(2)若函数y =log 2|ax -1|的图象的对称轴是x =2,求非零实数a 的值. 解:(1)设P (x 0,y 0)是y =f (x )图象上任意一点, 则y 0=f (x 0).又P 点关于x =m 的对称点为P ′, 则P ′的坐标为(2m -x 0,y 0). 由已知f (x +m )=f (m -x ), 得f (2m -x 0)=f [m +(m -x 0)] =f [m -(m -x 0)]=f (x 0)=y 0.即P ′(2m -x 0,y 0)在y =f (x )的图象上. ∴y =f (x )的图象关于直线x =m 对称. (2)对定义域内的任意x , 有f (2-x )=f (2+x )恒成立.∴|a (2-x )-1|=|a (2+x )-1|恒成立, 即|-ax +(2a -1)|=|ax +(2a -1)|恒成立. 又∵a ≠0,∴2a -1=0,得a =12.1.为了得到函数y =4·2x 的图象,可以把函数y =2x的图象上所有的点( ) A .向上平移2个单位长度 B .向下平移2个单位长度 C .向左平移2个单位长度 D .向右平移2个单位长度 解析:选C y =4·2x =2x +2,把y =2x 的图象向左平移2个单位长度,可以得到y =2x+2的图象.2.已知a 是实数,则函数f (x )=1+a sin ax 的图象不可能是( )解析:选D 函数f (x )的最小正周期T =2π|a |,故当|a |>1时,T <2π,当0<|a |<1,T >2π.经观察图中的振幅A 与周期的关系可以发现,A 中0<a <1,T >2π,B 中,a >1,T <2π,C 中,a =0,故D 不正确.3.作出下列函数的图象.(1)y =|x -2|(x +1);(2)y =|x 2-2|x |-3|. 解:(1)函数化为y =⎩⎪⎨⎪⎧⎝ ⎛⎭⎪⎫x -122-94x ≥2,-⎝ ⎛⎭⎪⎫x -122+94x <2,图象如图(1)所示.(2)y =x 2-2x -3→y =x 2-2|x |-3→y =|x 2-2|x |-3|.图象变换如图(2)所示.。
指数与指数函数一、选择题1.函数y =a |x |(a >1)的图像是( )解析:y =a |x |=⎩⎪⎨⎪⎧ a x x ,a -x x <当x ≥0时,与指数函数y =a x (a >1)的图像相同;当x <0时,y =a -x 与y =a x 的图像关于y 轴对称,由此判断B 正确.答案:B2.已知函数f (x )=⎩⎪⎨⎪⎧log 3x ,x 2x x ,则f (9)+f (0)=( ) A .0 B .1 C .2 D .3 解析:f (9)=log 39=2,f (0)=20=1,∴f (9)+f (0)=3.答案:D3.设函数y =x 3与y =⎝ ⎛⎭⎪⎫12x -2的图象的交点为(x 0,y 0),则x 0所在的区间是( ). A .(0,1) B .(1,2)C .(2,3)D .(3,4)解析 (数形结合法)如图所示.由1<x <2,可知1<x 3<8; -1<x -2<0,1<⎝ ⎛⎭⎪⎫12x -2<2. 答案 B4.函数y =⎝ ⎛⎭⎪⎫12x +1的图象关于直线y =x 对称的图象大致是( ).解析 函数y =⎝ ⎛⎭⎪⎫12x +1的图象如图;作其关于直线y =x 的对称图象,可知选A.答案 A5.若a >1,b >0,且a b +a -b =22,则a b -a -b 的值为( ) A. 6B .2或-2C .-2D .2 解析:(a b +a -b )2=8⇒a 2b +a-2b =6, ∴(a b -a -b )2=a 2b +a-2b -2=4. 又a b >a -b (a >1,b >0),∴a b -a -b =2.答案:D6.已知函数f (x )=|2x -1|,a <b <c ,且f (a )>f (c )>f (b ),则下列结论中,一定成立的是( )A .a <0,b <0,c <0B .a <0,b ≥0,c >0C .2-a <2cD .2a +2c <2解析:作出函数f (x )=|2x -1|的图象如右图中实线所示,又a <b <c ,且f (a )>f (c )>f (b ),结合图象知f (a )< 1,a <0,c >0.∴0<2a <1,∴f (a )=|2a -1|=1-2a.∴f (c )<1,∴0<c <1.∴1<2c <2,f (c )=|2c -1|=2c -1.又f (a )>f (c ),即1-2a >2c -1.∴2a +2c <2.答案:D7.设函数f (x )=2x 1+2x -12,[x ]表示不超过x 的最大整数,则函数y =[f (x )]的值域是( ). A .{0,1} B .{0,-1} C .{-1,1} D .{1,1}解析 由f (x )=2x1+2x -12=1-11+2x -12=12-11+2x , 由于(2x +1)在R 上单调递增,所以-11+2x 在R 上单调递增,所以f (x )为增函数,由于2x >0,当x →-∞,2x →0,∴f (x )>-12,当x →+∞,11+2x →0, ∴f (x )<12,∴-12<f (x )<12, ∴y =[f (x )]={0,-1}.答案 B二、填空题8.814×42+(32×3)6=________. 解析:原式=234×214+⎝⎛⎭⎫213×3126=2+22×33=2+4×27=110. 答案:1109.若直线y =2a 与函数y =|a x-1|(a >0,且a ≠1)的图象有两个公共点,则a 的取值范围是________.解析 (数形结合法)由图象可知0<2a <1,∴0<a <12. 答案 ⎝ ⎛⎭⎪⎫0,12 10.若函数y =2-x +1+m 的图象不经过第一象限,则m 的取值范围是________. 解析:函数y =2-x +1+m =(12)x -1+m , ∵函数的图象不经过第一象限,∴ (12)0-1+m ≤0,即m ≤-2. 答案:(-∞,-2]11.若函数f (x )=a x-x -a (a >0,且a ≠1)有两个零点,则实数a 的取值范围是________. 解析 令a x -x -a =0即a x =x +a ,若0<a <1,显然y =a x与y =x +a 的图象只有一个公共点;若a >1,y =a x 与y =x +a 的图象如图所示.答案 (1,+∞)12.已知正数a 满足a 2-2a -3=0,函数f (x )=a x ,若实数m 、n 满足f (m )>f (n ),则m 、n 的大小关系为________.解析:∵a 2-2a -3=0,∴a =3或a =-1(舍).函数f (x )=a x 在R 上递增,由f (m )>f (n )得m >n .答案:m >n三、解答题13.已知f (x )=e x -e -x ,g (x )=e x +e -x (e =2.718 28…)(1)求[f (x )]2-[g (x )]2的值;(2)若f (x )f (y )=4,g (x )g (y )=8,求g x +y g x -y 的值. 解析 (1)[f (x )]2-[g (x )]2=(e x -e -x )2-(e x +e -x )2=(e 2x -2+e -2x )-(e 2x +2+e-2x )=-4. (2)f (x )f (y )=(e x -e -x )(e y -e -y )=e x +y +e -x -y -e x -y -e -x +y=[e x +y +e -(x +y )]-[e x -y +e -(x -y )]=g (x +y )-g (x -y )∴g (x +y )-g (x -y )=4 ①同理,由g (x )g (y )=8,可得g (x +y )+g (x -y )=8,② 由①②解得g (x +y )=6,g (x -y )=2,∴g x +y g x -y=3. 14.已知函数f (x )=b ·a x (其中a ,b 为常量,且a >0,a ≠1)的图象经过点A (1,6),B (3,24).(1)求f (x );(2)若不等式(1a )x +(1b)x -m ≥0在x ∈(-∞,1]时恒成立,求实数m 的取值范围. 解析:(1)把A (1,6),B (3,24)代入f (x )=b ·a x ,得⎩⎪⎨⎪⎧ 6=ab ,24=b ·a 3.结合a >0且a ≠1,解得⎩⎪⎨⎪⎧ a =2,b =3.∴f (x )=3·2x.(2)要使(12)x +(13)x ≥m 在(-∞,1]上恒成立, 只需保证函数y =(12)x +(13)x 在(-∞,1]上的最小值不小于m 即可. ∵函数y =(12)x +(13)x 在 (-∞,1]上为减函数, ∴当x =1时,y =(12)x +(13)x 有最小值56. ∴只需m ≤56即可. ∴m 的取值范围(-∞,56] 15.已知函数f (x )=⎝ ⎛⎭⎪⎫13ax 2-4x +3. (1)若a =-1,求f (x )的单调区间;(2)若f (x )有最大值3,求a 的值.解析:(1)当a =-1时,f (x )=⎝ ⎛⎭⎪⎫13-x 2-4x +3, 令t =-x 2-4x +3,由于t (x )在(-∞,-2)上单调递增,在[-2,+∞)上单调递减, 而y =⎝ ⎛⎭⎪⎫13t 在R 上单调递减, 所以f (x )在(-∞,-2)上单调递减,在[-2,+∞)上单调递增, 即函数f (x )的递增区间是[-2,+∞),递减区间是(-∞,-2).(2)令h (x )=ax 2-4x +3,f (x )=⎝ ⎛⎭⎪⎫13h (x ), 由于f (x )有最大值3,所以h (x )应有最小值-1,因此必有⎩⎪⎨⎪⎧ a >0,12a -164a =-1,解得a =1.即当f (x )有最大值3时,a 的值等于1.16.若函数y =a ·2x -1-a2x -1为奇函数.(1)求a 的值;(2)求函数的定义域;(3)求函数的值域.解析 ∵函数y =a ·2x -1-a2x -1,∴y =a -12x -1. (1)由奇函数的定义,可得f (-x )+f (x )=0,即 a -12-x-1+a -12x -1=0, ∴2a +1-2x1-2x =0,∴a =-12. (2)∵y =-12-12x -1, ∴2x -1≠0,即x ≠0.∴函数y =-12-12x -1的定义域为{x |x ≠0}. (3)∵x ≠0,∴2x -1>-1.∵2x -1≠0,∴0>2x -1>-1或2x -1>0.∴-12-12x -1>12或-12-12x -1<-12. 即函数的值域为{y |y >12或y <-12}.。
2014高考数学(理)一轮:一课双测A+B精练(八)----函数的图象D10.已知函数f(x)=⎩⎨⎧3-x2,x ∈[-1,2],x -3,x ∈2,5].(1)在如图所示给定的直角坐标系内画出f(x)的图象;(2)写出f(x)的单调递增区间;(3)由图象指出当x 取什么值时f(x)有最值.11.若直线y =2a 与函数y =|ax -1|(a >0且a≠1)的图象有两个公共点,求a 的取值范围.12.已知函数f(x)的图象与函数h(x)=x +1x +2的图象关于点A(0,1)对称.(1)求函数f(x)的解析式;(2)若g(x)=f(x)+a x ,g(x)在区间(0,2]上的值不小于6,求实数a 的取值范围.1.(2013·威海质检)函数y =f(x)(x ∈R)的图象如图所示,下列说法正确的是( )①函数y =f(x)满足f(-x)=-f(x);②函数y =f(x)满足f(x +2)=f(-x);③函数y =f(x)满足f(-x)=f(x);④函数y =f(x)满足f(x +2)=f(x).A .①③B .②④C .①②D .③④2.若函数f(x)的图象经过变换T 后所得图象对应函数的值域与函数f(x)的值域相同,则称变换T 是函数f(x)的同值变换.下面给出四个函数及其对应的变换T ,其中变换T 不属于函数f(x)的同值变换的是( )A .f(x)=(x -1)2,变换T 将函数f(x)的图象关于y 轴对称B .f(x)=2x -1-1,变换T 将函数f(x)的图象关于x 轴对称C .f(x)=2x +3,变换T 将函数f(x)的图象关于点(-1,1)对称D .f(x)=sin ⎝⎛⎭⎪⎪⎫x +π3,变换T 将函数f(x)的图象关于点(-1,0)对称3.已知函数y =f(x)的定义域为R ,并对一切实数x ,都满足f(2+x)=f(2-x).(1)证明:函数y=f(x)的图象关于直线x=2对称;(2)若f(x)是偶函数,且x∈[0,2]时,f(x)=2x-1,求x∈[-4,0]时的f(x)的表达式.[答题栏]A级1._________2._________3._________4._________5.__________6._________B级1.______2.______ 7. __________ 8.__________ 9.__________答案高考数学(理)一轮:一课双测A+B精练(八)A 级1.D 2.B 3.A 4.B5.选B 函数的定义域是(-1,0)∪(0,+∞),值域是(-∞,0),所以其图象为B.6.选B由题意可知f(x)=错误!=⎩⎪⎨⎪⎧ x2-2,-1≤x≤32,x -x2,x<-1或x>32作出图象,由图象可知y =f(x)与y =c 有两个交点时,c≤-2或-1<c<-34,即函数y =f(x)-c 的图象与x 轴恰有两个公共点时实数c 的取值范围是(-∞,-2]∪⎝⎛⎭⎪⎪⎫-1,-34. 7.解析:当f(x)>0时,函数g(x)=log 2f(x)有意义,由函数f(x)的图象知满足f(x)>0的x ∈(2,8].答案:(2,8]8.解析:f(x)=x +1x =1+1x ,把函数y =1x 的图象向上平移1个单位,即得函数f(x)的图象.由y=1x 的对称中心为(0,0),可得平移后的f(x)图象的对称中心为(0,1).答案:(0,1)9.解析:当-1≤x≤0时,设解析式为y =kx +b ,则⎩⎨⎧ -k +b =0,b =1,得⎩⎨⎧k =1,b =1. ∴y =x +1.当x>0时,设解析式为y =a(x -2)2-1,∵图象过点(4,0),∴0=a(4-2)2-1,得a =14.答案:f(x)=⎩⎨⎧ x +1,-1≤x≤0,14x -22-1,x>010.解:(1)函数f(x)的图象如图所示.(2)由图象可知,函数f(x)的单调递增区间为[-1,0],[2,5].(3)由图象知当x =2时,f(x)min =f(2)=-1, 当x =0时,f(x)max =f(0)=3.11.解:当0<a <1时,y =|ax -1|的图象如图1所示,由已知得0<2a <1,即0<a <12.当a >1时,y =|ax -1|的图象如图2所示, 由已知可得0<2a <1,即0<a <12,但a >1,故a ∈∅.综上可知,a 的取值范围为⎝⎛⎭⎪⎪⎫0,12. 12.解:(1)设f(x)图象上任一点坐标为(x ,y),∵点(x ,y)关于点A(0,1)的对称点(-x,2-y)在h(x)的图象上,∴2-y=-x+1-x+2,∴y=x+1 x,即f(x)=x+1 x.(2)由题意g(x)=x+a+1 x,且g(x)=x+a+1x≥6,x∈(0,2].∵x∈(0,2],∴a+1≥x(6-x),即a≥-x2+6x-1.令q(x)=-x2+6x-1,x∈(0,2],q(x)=-x2+6x-1=-(x-3)2+8,∴x∈(0,2]时,q(x)max=q(2)=7,故a的取值范围为[7,+∞).B级1.选C由图象可知,函数f(x)为奇函数且关于直线x=1对称,所以f(1+x)=f(1-x),所以f[1+(x+1)]=f[1-(x+1)],即f(x+2)=f(-x).故①②正确.2.选B 对于A ,与f(x)=(x -1)2的图象关于y 轴对称的图象对应的函数解析式为g(x)=(-x -1)2=(x +1)2,易知两者的值域都为[0,+∞);对于B ,函数f(x)=2x -1-1的值域为(-1,+∞),与函数f(x)的图象关于x 轴对称的图象对应的函数解析式为g(x)=-2x -1+1,其值域为(-∞,1);对于C ,与f(x)=2x +3的图象关于点(-1,1)对称的图象对应的函数解析式为2-g(x)=2(-2-x)+3,即g(x)=2x +3,易知值域相同;对于D ,与f(x)=sin ⎝⎛⎭⎪⎪⎫x +π3的图象关于点(-1,0)对称的图象对应的函数解析式为g(x)=sin ⎝⎛⎭⎪⎪⎫x -π3+2,其值域为[-1,1],易知两函数的值域相同.3.解:(1)证明:设P(x0,y0)是函数y =f(x)图象上任一点,则y0=f(x0),点P 关于直线x =2的对称点为P′(4-x0,y0).因为f(4-x0)=f(2+(2-x0))=f(2-(2-x0))=f(x0)=y0,所以P′也在y =f(x)的图象上,所以函数y =f(x)的图象关于直线x =2对称.(2)因为当x ∈[-2,0]时,-x ∈[0,2], 所以f(-x)=-2x -1.又因为f(x)为偶函数,所以f(x)=f(-x)=-2x -1,x ∈[-2,0]. 当x ∈[-4,-2]时,4+x ∈[0,2],所以f(4+x)=2(4+x)-1=2x +7.而f(4+x)=f(-x)=f(x),所以f(x)=2x +7,x ∈[-4,-2].所以f(x)=⎩⎨⎧2x +7,x ∈[-4,-2],-2x -1,x ∈[-2,0].。
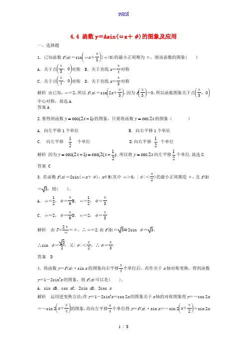
4.4 函数y =Asin(ωx +φ)的图象及应用一、选择题1.已知函数f (x )=sin ⎝⎛⎭⎪⎫ωx +π3(ω>0)的最小正周期为π,则该函数的图象( ) A .关于点⎝ ⎛⎭⎪⎫π3,0对称 B .关于直线x =π4对称 C .关于点⎝ ⎛⎭⎪⎫π4,0对称 D .关于直线x =π3对称 解析 由已知,ω=2,所以f (x )=sin ⎝ ⎛⎭⎪⎫2x +π3,因为f ⎝ ⎛⎭⎪⎫π3=0,所以函数图象关于点⎝ ⎛⎭⎪⎫π3,0中心对称,故选A.答案A2.要得到函数cos(21)y x =+的图象,只要将函数cos 2y x =的图象( )A. 向左平移1个单位B. 向右平移1个单位C. 向左平移12 个单位 D.向右平移 12个单位 解析 因为1cos(21)cos(2()2y x x =+=+,所以将cos 2y x =向左平移12个单位,故选C. 答案 C3.若函数f (x )=2sin(ωx +φ),x ∈R(其中ω>0,|φ|<π2)的最小正周期是π,且f (0)=3,则( ).A .ω=12,φ=π6B .ω=12,φ=π3C .ω=2,φ=π6D .ω=2,φ=π3解析 由T =2πω=π,∴ω=2.由f (0)=3⇒2sin φ=3, ∴sin φ=32,又|φ|<π2,∴φ=π3. 答案 D 4.将函数y =f (x )·sin x 的图象向右平移π4个单位后,再作关于x 轴对称变换,得到函数y =1-2sin 2x 的图象,则f (x )可以是( ).A .sin xB .cos xC .2sin xD .2cos x解析 运用逆变换方法:作y =1-2sin 2x =cos 2x 的图象关于x 轴的对称图象得y =-cos 2x=-sin 2⎝ ⎛⎭⎪⎫x +π4的图象,再向左平移π4个单位得y =f (x )·sin x =-sin 2⎝⎛⎭⎪⎫x +π2=sin 2x=2sin x cos x 的图象.∴f (x )=2cos x .答案 D5.电流强度I (安)随时间t (秒)变化的函数I =A sin(ωt +φ)(A >0,ω>0,0<φ<π2)的图象如图所示,则当t =1100秒时,电流强度是( ) A .-5安 B .5安 C .53安 D .10安解析:由函数图象知A =10,T 2=4300-1300=1100. ∴T =150=2πω,∴ω=100π. ∴I =10sin(100πt +φ).又∵点⎝ ⎛⎭⎪⎫1300,10在图象上, ∴10=10sin ⎝ ⎛⎭⎪⎫100π×1300+φ ∴π3+φ=π2,∴φ=π6, ∴I =10sin ⎝⎛⎭⎪⎫100πt +π6. 当t =1100时,I =10sin ⎝⎛⎭⎪⎫100π×1100+π6=-5. 答案:A6.已知函数f (x )=2sin(ωx +φ),x ∈R ,其中ω>0,-π<φ≤π.若f (x )的最小正周期为6π,且当x =π2时,f (x )取得最大值,则( ). A .f (x )在区间[-2π,0]上是增函数B .f (x )在区间[-3π,-π]上是增函数C .f (x )在区间[3π,5π]上是减函数D .f (x )在区间[4π,6π]上是减函数解析 ∵f (x )的最小正周期为6π,∴ω=13,∵当x =π2时,f (x )有最大值,∴13×π2+φ=π2+2k π(k ∈Z),φ=π3+2k π(k ∈Z),∵-π<φ≤π,∴φ=π3.∴f (x )=2sin ⎝ ⎛⎭⎪⎫x 3+π3,由此函数图象易得,在区间[-2π,0]上是增函数,而在区间[-3π,-π]或[3π,5π]上均不是单调的,在区间[4π,6π]上是单调增函数.答案 A 7.设函数f (x )=cos ωx (ω>0),将y =f (x )的图象向右平移π3个单位长度后,所得的图象与原图象重合,则ω的最小值等于( ).A.13B .3C .6D .9 解析 依题意得,将y =f (x )的图象向右平移π3个单位长度后得到的是f ⎝⎛⎭⎪⎫x -π3=cos ω⎝ ⎛⎭⎪⎫x -π3=cos ⎝ ⎛⎭⎪⎫ωx -ωπ3 的图象,故有cos ωx =cos ⎝ ⎛⎭⎪⎫ωx -ωπ3,而cos ωx =cos ⎝⎛⎭⎪⎫2k π+ωx -ωπ3(k ∈Z),故ωx -⎝ ⎛⎭⎪⎫ωx -ωπ3=2k π(k ∈Z), 即ω=6k (k ∈Z),∵ω>0,因此ω的最小值是6.答案 C二、填空题8. 将函数y =sin(ωx +φ)⎝ ⎛⎭⎪⎫ω>0,π2<φ<π的图象,向右最少平移4π3个单位长度,或向左最少平移2π3个单位长度,所得到的函数图象均关于原点中心对称,则ω=________. 解析因为函数的相邻两对称轴之间距离或相邻两对称点之间距离是函数周期的一半,则有 T 2=4π3-⎝ ⎛⎭⎪⎫-2π3=2π,故T =4π,即2πω=4π,ω=12. 答案 129.已知函数f (x )=sin(ωx +φ)⎝⎛⎭⎪⎫ω>0,-π2≤φ≤π2的图象上的两个相邻的最高点和最低点的距离为22,则ω=________.解析:由已知两相邻最高点和最低点的距离为22,而f (x )max -f (x )min =2,由勾股定理可得T 2=222-22=2,∴T =4,∴ω=2πT =π2. 答案:π210.已知函数f (x )=3sin ⎝⎛⎭⎪⎫ωx -π6(ω>0)和g (x )=2cos(2x +φ)+1的图象的对称轴完全相同.若x ∈⎣⎢⎡⎦⎥⎤0,π2,则f (x )的取值X 围是________. 解析 由题意知ω=2,∴f (x )=3sin ⎝⎛⎭⎪⎫2x -π6,当x ∈⎣⎢⎡⎦⎥⎤0,π2时,2x -π6∈⎣⎢⎡⎦⎥⎤-π6,56π, ∴f (x )的取值X 围是⎣⎢⎡⎦⎥⎤-32,3. 答案 ⎣⎢⎡⎦⎥⎤-32,3 11.在函数f (x )=A sin(ωx +φ)(A >0,ω>0)的一个周期内,当x =π9时有最大值12,当x =4π9时有最小值-12,若φ∈⎝⎛⎭⎪⎫0,π2,则函数解析式f (x )=________. 解析 首先易知A =12,由于x =π9时f (x )有最大值12,当x =4π9时f (x )有最小值-12,所以T =⎝ ⎛⎭⎪⎫4π9-π9×2=2π3,ω=3.又12sin ⎝ ⎛⎭⎪⎫3×π9+φ=12,φ∈⎝⎛⎭⎪⎫0,π2,解得φ=π6,故f (x )=12sin ⎝⎛⎭⎪⎫3x +π6. 答案 12sin ⎝⎛⎭⎪⎫3x +π6 12.设函数y =sin(ωx +φ)⎝ ⎛⎭⎪⎫ω>0,φ∈⎝ ⎛⎭⎪⎫-π2,π2的最小正周期为π,且其图象关于直线x =π12对称,则在下面四个结论中: ①图象关于点⎝ ⎛⎭⎪⎫π4,0对称;②图象关于点⎝ ⎛⎭⎪⎫π3,0对称;③在⎣⎢⎡⎦⎥⎤0,π6上是增函数;④在⎣⎢⎡⎦⎥⎤-π6,0上是增函数. 以上正确结论的编号为________.解析 ∵y =sin(ωx +φ)最小正周期为π,∴ω=2ππ=2,又其图象关于直线x =π12对称, ∴2×π12+φ=k π+π2(k ∈Z),∴φ=k π+π3,k ∈Z. 由φ∈⎝ ⎛⎭⎪⎫-π2,π2,得φ=π3,∴y =sin ⎝⎛⎭⎪⎫2x +π3. 令2x +π3=k π(k ∈Z),得x =k π2-π6(k ∈Z). ∴y =sin ⎝ ⎛⎭⎪⎫2x +π3关于点⎝ ⎛⎭⎪⎫π3,0对称.故②正确.令2k π-π2≤2x +π3≤2k π+π2(k ∈Z),得 k π-5π12≤x ≤k π+π12(k ∈Z). ∴函数y =sin ⎝⎛⎭⎪⎫2x +π3的单调递增区间为 ⎣⎢⎡⎦⎥⎤k π-5π12,k π+π12(k ∈Z). ∵⎣⎢⎡⎦⎥⎤-π6,0⎣⎢⎡⎦⎥⎤k π-5π12,k π+π12(k ∈Z).∴④正确.答案 ②④三、解答题 13.已知函数f (x )=3sin2x +2cos 2x .(1)将f (x )的图象向右平移π12个单位长度,再将周期扩大一倍,得到函数g (x )的图象,求g (x )的解析式;(2)求函数f (x )的最小正周期和单调递增区间.解析 (1)依题意f (x )=3sin2x +2·cos2x +12=3sin2x +cos2x +1=2sin ⎝⎛⎭⎪⎫2x +π6+1, 将f (x )的图象向右平移π12个单位长度,得到函数f 1(x )=2sin ⎣⎢⎡⎦⎥⎤2⎝ ⎛⎭⎪⎫x -π12+π6+1=2sin2x +1的图象,该函数的周期为π,若将其周期变为2π,则得g (x )=2sin x +1.(2)函数f (x )的最小正周期为T =π,当2k π-π2≤2x +π6≤2k π+π2(k ∈Z)时,函数单调递增, 解得k π-π3≤x ≤k π+π6(k ∈Z), ∴函数的单调递增区间为⎣⎢⎡⎦⎥⎤k π-π3,k π+π6(k ∈Z). 14.已知函数f (x )=23·sin ⎝ ⎛⎭⎪⎫x 2+π4cos ⎝ ⎛⎭⎪⎫x 2+π4-sin(x +π). (1)求f (x )的最小正周期;(2)若将f (x )的图象向右平移π6个单位,得到函数g (x )的图象,求函数g (x )在区间[0,π]上的最大值和最小值.解析 (1)因为f (x )=3sin ⎝ ⎛⎭⎪⎫x +π2+sin x =3cos x +sin x =2⎝ ⎛⎭⎪⎫32cos x +12sin x =2sin ⎝ ⎛⎭⎪⎫x +π3, 所以f (x )的最小正周期为2π.(2)∵将f (x )的图象向右平移π6个单位,得到函数g (x )的图象, ∴g (x )=f ⎝ ⎛⎭⎪⎫x -π6=2sin ⎣⎢⎡⎦⎥⎤⎝ ⎛⎭⎪⎫x -π6+π3=2sin ⎝ ⎛⎭⎪⎫x +π6.∵x ∈[0,π],∴x +π6∈⎣⎢⎡⎦⎥⎤π6,7π6, ∴当x +π6=π2,即x =π3时,sin ⎝⎛⎭⎪⎫x +π6=1,g (x )取得最大值2. 当x +π6=7π6,即x =π时,sin ⎝⎛⎭⎪⎫x +π6=-12,g (x )取得最小值-1. 【点评】 解决三角函数的单调性及最值值域问题主要步骤有:第一步:三角函数式的化简,一般化成y =A sin ωx +φ+h 或y =A cos ωx +φ+h 的形式.第二步:根据sin x 、cos x 的单调性解决问题,将“ωx +φ”看作一个整体,转化为不等式问题.第三步:根据已知x 的X 围,确定“ωx +φ”的X 围.第四步:确定最大值或最小值.第五步:明确规X 表述结论.15.函数f (x )=A sin(ωx +φ)⎝⎛⎭⎪⎫A >0,ω>0,0<φ<π2的部分图象如图所示.(1)求f (x )的解析式;(2)设g (x )=⎣⎢⎡⎦⎥⎤f ⎝ ⎛⎭⎪⎫x -π122,求函数g (x )在x ∈⎣⎢⎡⎦⎥⎤-π6,π3上的最大值,并确定此时x 的值. 解析 (1)由题图知A =2,T 4=π3,则2πω=4×π3,∴ω=32. 又f ⎝ ⎛⎭⎪⎫-π6=2sin ⎣⎢⎡⎦⎥⎤32×⎝ ⎛⎭⎪⎫-π6+φ =2sin ⎝ ⎛⎭⎪⎫-π4+φ=0, ∴sin ⎝⎛⎭⎪⎫φ-π4=0,∵0<φ<π2,∴-π4<φ-π4<π4,∴φ-π4=0,即φ=π4, ∴f (x )的解析式为f (x )=2sin ⎝ ⎛⎭⎪⎫32x +π4. (2)由(1)可得f ⎝ ⎛⎭⎪⎫x -π12=2sin ⎣⎢⎡⎦⎥⎤32⎝ ⎛⎭⎪⎫x -π12+π4 =2sin ⎝ ⎛⎭⎪⎫32x +π8, ∴g (x )=⎣⎢⎡⎦⎥⎤f ⎝ ⎛⎭⎪⎫x -π122=4×1-cos ⎝ ⎛⎭⎪⎫3x +π42 =2-2cos ⎝⎛⎭⎪⎫3x +π4, ∵x ∈⎣⎢⎡⎦⎥⎤-π6,π3,∴-π4≤3x +π4≤5π4, ∴当3x +π4=π,即x =π4时,g (x )max =4. 16.已知直线y =2与函数f (x )=2sin 2ωx +23sin ωx cos ωx -1(ω>0)的图象的两个相邻交点之间的距离为π.(1)求f (x )的解析式,并求出f (x )的单调递增区间;(2)将函数f (x )的图象向左平移π4个单位长度得到函数g (x )的图象,求函数g (x )的最大值及g (x )取得最大值时x 的取值集合.解析 (1)f (x )=2sin 2ωx +23sin ωx cos ωx -1=1-cos2ωx +3sin2ωx -1=2sin ⎝⎛⎭⎪⎫2ωx -π6, 由题意可知函数的最小正周期T =2π2ω=π(ω>0),所以ω=1, 所以f (x )=2sin ⎝⎛⎭⎪⎫2x -π6, 令2k π-π2≤2x -π6≤2k π+π2其中k ∈Z , 解得k π-π6≤x ≤k π+π3,其中k ∈Z , 即f (x )的递增区间为⎣⎢⎡⎦⎥⎤k π-π6,k π+π3,k ∈Z. (2)g (x )=f ⎝ ⎛⎭⎪⎫x +π4=2sin ⎣⎢⎡⎦⎥⎤2⎝⎛⎭⎪⎫x +π4-π6=2sin ⎝ ⎛⎭⎪⎫2x +π3, 则g (x )的最大值为2,此时有2sin ⎝ ⎛⎭⎪⎫2x +π3=2,即sin ⎝⎛⎭⎪⎫2x +π3=1, 即2x +π3=2k π+π2,其中k ∈Z ,解得x =k π+π12,k ∈Z , 所以当g (x )取得最大值时x 的取值集合为⎩⎪⎨⎪⎧⎭⎪⎬⎪⎫x ⎪⎪⎪ x =k π+π12,k ∈Z .。
第4讲 函数y =Asin(ωx +φ)的图象及性质A 级 基础演练(时间:30分钟 满分:55分)一、选择题(每小题5分,共20分)1.(2013·兰州模拟)函数f (x )=A sin(ωx +φ)A >0,ω>0,|φ|<π2的部分图象如图所示,则将y =f (x )的图象向右平移π6个单位后,得到的图象对应的函数解析式为( ).A .y =sin 2xB .y =cos 2xC .y =sin ⎝ ⎛⎭⎪⎫2x +2π3D .y =sin ⎝ ⎛⎭⎪⎫2x -π6解析 由所给图象知A =1,34T =11π12-π6=3π4,T =π,所以ω=2πT =2,由sin ⎝ ⎛⎭⎪⎫2×π6+φ=1,|φ|<π2得π3+φ=π2,解得φ=π6,所以f (x )=sin ⎝ ⎛⎭⎪⎫2x +π6,则f (x )=sin ⎝ ⎛⎭⎪⎫2x +π6的图象向右平移π6个单位后得到的图象对应的函数解析式为y =sin ⎣⎢⎡⎦⎥⎤2⎝⎛⎭⎪⎫x -π6+π6=sin ⎝ ⎛⎭⎪⎫2x -π6,故选D. 答案 D2.(2013·东营模拟)将函数y =sin 2x 的图象向左平移φ(φ>0)个单位,所得图象对应的函数为偶函数,则φ的最小值为( ).A.π6B.π3C.π4D.π12解析 将函数y =sin 2x 的图象向左平移φ个单位,得到函数y =sin 2(x +φ)=sin(2x +2φ)的图象,由题意得2φ=π2+k π(k ∈Z ),故φ的最小值为π4. 答案 C3.(2012·浙江)把函数y =cos 2x +1的图象上所有点的横坐标伸长到原来的2倍(纵坐标不变),然后向左平移1个单位长度,再向下平移1个单位长度,得到的图象是( ).解析 把函数y =cos 2x +1的图象上所有点的横坐标伸长到原来的2倍(纵坐标不变),得到函数y =cos x +1的图象,然后把所得函数图象向左平移1个单位长度,再向下平移1个单位长度,得到函数y =cos(x +1)的图象,故选A. 答案 A4.已知f (x )=sin ⎝ ⎛⎭⎪⎫x +π2,g (x )=cos ⎝ ⎛⎭⎪⎫x -π2,则下列结论中正确的是 ( ).A .函数y =f (x )·g (x )的周期为2B .函数y =f (x )·g (x )的最大值为1C .将f (x )的图象向左平移π2个单位后得到g (x )的图象 D .将f (x )的图象向右平移π2个单位后得到g (x )的图象 解析 ∵f (x )=sin ⎝ ⎛⎭⎪⎫x +π2=cos x ,g (x )=cos ⎝ ⎛⎭⎪⎫x -π2=cos ⎝ ⎛⎭⎪⎫π2-x =sin x ,∴y =f (x )·g (x )=cos x ·sin x =12sin 2x .T =2π2=π,最大值为12,∴选项A ,B 错误.答案 D二、填空题(每小题5分,共10分)5.已知函数f (x )=sin(ωx +φ)ω>0,0<φ<π2的部分图象如图所示,则ω=________,φ=________. 解析 因为T 4=7π12-π3=π4,所以T =π,ω=2πT =2.将⎝ ⎛⎭⎪⎫7π12,-1代入解析式可得:76π+φ=2k π+3π2(k ∈Z ),即φ=2k π+π3(k ∈Z ),又0<φ<π2,所以φ=π3. 答案 2 π36.(2012·长沙调研)已知函数f (x )=3sin ⎝ ⎛⎭⎪⎫ωx -π6(ω>0)和g (x )=2cos(2x +φ)+1的图象的对称轴完全相同,若x ∈⎣⎢⎡⎦⎥⎤0,π2,则f (x )的取值范围是________.解析 ∵f (x )与g (x )的图象的对称轴完全相同,∴f (x )与g (x )的最小正周期相等,∵ω>0,∴ω=2,∴f (x )=3sin ⎝ ⎛⎭⎪⎫2x -π6,∵0≤x ≤π2,∴-π6≤2x -π6≤5π6,∴-12≤sin ⎝ ⎛⎭⎪⎫2x -π6≤1,∴-32≤3sin ⎝ ⎛⎭⎪⎫2x -π6≤3,即f (x )的取值范围是⎣⎢⎡⎦⎥⎤-32,3.答案 ⎣⎢⎡⎦⎥⎤-32,3三、解答题(共25分)7.(12分)(2012·陕西)函数f (x )=A sin ⎝ ⎛⎭⎪⎫ωx -π6+1(A >0,ω>0)的最大值为3,其图象相邻两条对称轴之间的距离为π2. (1)求函数f (x )的解析式;(2)设α∈⎝ ⎛⎭⎪⎫0,π2,f ⎝ ⎛⎭⎪⎫α2=2,求α的值. 解 (1)∵函数f (x )的最大值为3,∴A +1=3,即A =2, ∵函数图象的相邻两条对称轴之间的距离为π2, ∴最小正周期T =π,∴ω=2,故函数f (x )的解析式为y =2sin ⎝ ⎛⎭⎪⎫2x -π6+1.(2)f ⎝ ⎛⎭⎪⎫α2=2sin ⎝ ⎛⎭⎪⎫α-π6+1=2,即sin ⎝ ⎛⎭⎪⎫α-π6=12, ∵0<α<π2,∴-π6<α-π6<π3, ∴α-π6=π6,故α=π3.8.(13分)(2012·山东)已知向量m =(sin x,1),n =(3A cos x ,A2cos 2x )(A >0),函数f (x )=m ·n 的最大值为6. (1)求A ;(2)将函数y =f (x )的图象向左平移π12个单位,再将所得图象上各点的横坐标缩短为原来的12倍,纵坐标不变,得到函数y =g (x )的图象,求g (x )在⎣⎢⎡⎦⎥⎤0,5π24上的值域.解 (1)f (x )=m ·n =3A sin x cos x +A2cos 2x =A ⎝ ⎛⎭⎪⎫32sin 2x +12cos 2x =A sin ⎝ ⎛⎭⎪⎫2x +π6.因为A >0,由题意知A =6. (2)由(1)知f (x )=6sin ⎝ ⎛⎭⎪⎫2x +π6.将函数y =f (x )的图象向左平移π12个单位后得到 y =6sin ⎣⎢⎡⎦⎥⎤2⎝⎛⎭⎪⎫x +π12+π6=6sin ⎝ ⎛⎭⎪⎫2x +π3的图象; 再将得到图象上各点横坐标缩短为原来的12倍,纵坐标不变,得到y =6sin ⎝ ⎛⎭⎪⎫4x +π3的图象. 因此g (x )=6sin ⎝ ⎛⎭⎪⎫4x +π3.因为x ∈⎣⎢⎡⎦⎥⎤0,5π24,所以4x +π3∈⎣⎢⎡⎦⎥⎤π3,7π6,故g (x )在⎣⎢⎡⎦⎥⎤0,5π24上的值域为[-3,6].B 级 能力突破(时间:30分钟 满分:45分)一、选择题(每小题5分,共10分)1.(2012·潍坊期末)如图,为了研究钟表与三角函数的关系,建立如图所示的坐标系,设秒针尖位置P (x ,y ).若初始位置为P 0⎝ ⎛⎭⎪⎫32,12,当秒针从P 0(注:此时t =0)正常开始走时,那么点P 的纵坐标y 与时间t 的函数关系为( ).A .y =sin ⎝ ⎛⎭⎪⎫π30t +π6B .y =sin ⎝ ⎛⎭⎪⎫-π60t -π6C .y =sin ⎝ ⎛⎭⎪⎫-π30t +π6D .y =sin ⎝ ⎛⎭⎪⎫-π30t -π3解析 由题意可得,函数的初相位是π6,排除B ,D.又函数周期是60(秒)且秒针按顺时针旋转,即T =⎪⎪⎪⎪⎪⎪2πω=60,所以|ω|=π30,即ω=-π30,故选C.答案 C2.(2012·东莞二模)若函数f (x )=sin ωx +a cos ωx (ω>0)的图象关于点M ⎝ ⎛⎭⎪⎫π3,0对称,且在x =π6处函数有最小值,则a +ω的一个可能的取值是 ( ).A .0B .3C .6D .9解析 因为函数f (x )=sin ωx +a cos ωx (ω>0)=1+a 2·sin(ωx +φ)的图象关于点M ⎝ ⎛⎭⎪⎫π3,0对称,且在x =π6处函数有最小值,所以必有⎩⎪⎨⎪⎧ωπ3+φ=k π,ωπ6+φ=2n π-π2,k ,n ∈Z ,两式相减得:ωπ6=(k -2n )π+π2,即ω=6(k -2n )+3=6m +3,k ,n ,m ∈Z ,结合四个选项,ω可能取到的值是3或9.将ω=6m +3,k ,n ,m ∈Z 代入f (x )=sin ωx +a cos ωx (ω>0),得y =sin(6m +3)x +a cos(6m +3)x .当图象关于点M ⎝ ⎛⎭⎪⎫π3,0对称时,有sin ⎣⎢⎡⎦⎥⎤(6m +3)·π3+a cos ⎣⎢⎡⎦⎥⎤(6m +3)·π3=0,即a =0.所以函数解析式应为f (x )=sin ωx (ω>0).回验a +ω=3时的函数性质与题设中在x =π6处函数有最小值不符,故只有a +ω=9,故选D. 答案 D二、填空题(每小题5分,共10分)3.(2013·东北四校一模)已知函数f (x )=-2sin(2x +φ)(|φ|<π),若⎝ ⎛⎭⎪⎫π8,5π8是f (x )的一个单调递增区间,则φ的值为________.解析 令π2+2k π≤2x +φ≤3π2+2k π,k ∈Z ,k =0时,有π4-φ2≤x ≤3π4-φ2,此时函数单调递增,若⎝ ⎛⎭⎪⎫π8,5π8是f (x )的一个单调递增区间,则必有⎩⎪⎨⎪⎧ π4-φ2≤π8,3π4-φ2≥5π8,解得⎩⎪⎨⎪⎧φ≥π4,φ≤π4,故φ=π4.答案 π44.设函数y =sin(ωx +φ)⎝ ⎛⎭⎪⎫ω>0,φ∈⎝ ⎛⎭⎪⎫-π2,π2的最小正周期为π,且其图象关于直线x =π12对称,则在下面四个结论中:①图象关于点⎝ ⎛⎭⎪⎫π4,0对称;②图象关于点⎝ ⎛⎭⎪⎫π3,0对称;③在⎣⎢⎡⎦⎥⎤0,π6上是增函数;④在⎣⎢⎡⎦⎥⎤-π6,0上是增函数.其中正确结论的编号为________. 解析 ∵y =sin(ωx +φ)的最小正周期为π,∴ω=2ππ=2,又其图象关于直线x =π12对称, ∴2×π12+φ=k π+π2(k ∈Z ),∴φ=k π+π3,k ∈Z . 由φ∈⎝ ⎛⎭⎪⎫-π2,π2,得φ=π3,∴y =sin ⎝ ⎛⎭⎪⎫2x +π3.令2x +π3=k π(k ∈Z ),得x =k π2-π6(k ∈Z ). ∴y =sin ⎝ ⎛⎭⎪⎫2x +π3关于点⎝ ⎛⎭⎪⎫π3,0对称.故②正确. 令2k π-π2≤2x +π3≤2k π+π2(k ∈Z ),得 k π-5π12≤x ≤k π+π12(k ∈Z ).∴函数y =sin ⎝ ⎛⎭⎪⎫2x +π3的单调递增区间为⎣⎢⎡⎦⎥⎤k π-5π12,k π+π12(k ∈Z ). ∵⎣⎢⎡⎦⎥⎤-π6,0⎣⎢⎡⎦⎥⎤k π-5π12,k π+π12(k ∈Z ).∴④正确. 答案 ②④ 三、解答题(共25分)5.(12分)已知函数f (x )=23sin x 2+π4cos ⎝ ⎛⎭⎪⎫x 2+π4-sin(x +π).(1)求f (x )的最小正周期;(2)若将f (x )的图象向右平移π6个单位,得到函数g (x )的图象,求函数g (x )在区间[0,π]上的最大值和最小值. 解 (1)因为f (x )=3sin ⎝ ⎛⎭⎪⎫x +π2+sin x=3cos x +sin x =2⎝ ⎛⎭⎪⎫32cos x +12sin x=2sin ⎝ ⎛⎭⎪⎫x +π3,所以f (x )的最小正周期为2π.(2)∵将f (x )的图象向右平移π6个单位,得到函数g (x )的图象, ∴g (x )=f ⎝ ⎛⎭⎪⎫x -π6=2sin[⎝ ⎛⎭⎪⎫x -π6+π3]=2sin ⎝ ⎛⎭⎪⎫x +π6.∵x ∈[0,π],∴x +π6∈⎣⎢⎡⎦⎥⎤π6,7π6,∴当x +π6=π2,即x =π3时,sin ⎝ ⎛⎭⎪⎫x +π6=1,g (x )取得最大值2.当x +π6=7π6,即x =π时,sin ⎝ ⎛⎭⎪⎫x +π6=-12,g (x )取得最小值-1. 6.(13分)(2012·安徽)设函数f (x )=22cos ⎝ ⎛⎭⎪⎫2x +π4+sin 2x .(1)求f (x )的最小正周期;(2)设函数g (x )对任意x ∈R ,有g ⎝ ⎛⎭⎪⎫x +π2=g (x ),且当x ∈⎣⎢⎡⎦⎥⎤0,π2时,g (x )=12-f (x ).求g (x )在区间[-π,0]上的解析式. 解 (1)f (x )=22cos ⎝ ⎛⎭⎪⎫2x +π4+sin 2x=22⎝ ⎛⎭⎪⎫cos 2x cos π4-sin 2x sin π4+1-cos 2x 2=12-12sin 2x ,故f (x )的最小正周期为π.(2)当x ∈⎣⎢⎡⎦⎥⎤0,π2时,g (x )=12-f (x )=12sin 2x ,故 ①当x ∈⎣⎢⎡⎦⎥⎤-π2,0时,x +π2∈⎣⎢⎡⎦⎥⎤0,π2.由于对任意x ∈R ,g ⎝ ⎛⎭⎪⎫x +π2=g (x ),从而g (x )=g ⎝ ⎛⎭⎪⎫x +π2=12sin ⎣⎢⎡⎦⎥⎤2⎝ ⎛⎭⎪⎫x +π2=12sin(π+2x )=-12sin 2x .②当x ∈⎣⎢⎡⎭⎪⎫-π,-π2时,x +π∈⎣⎢⎡⎭⎪⎫0,π2.从而g (x )=g (x +π)=12sin[2(x +π)]=12sin 2x . 综合①、②得g (x )在[-π,0]上的解析式为 g (x )=⎩⎪⎨⎪⎧12sin 2x ,x ∈⎣⎢⎡⎭⎪⎫-π,-π2,-12sin 2x ,x ∈⎣⎢⎡⎦⎥⎤-π2,0.。
三角函数的图象与性质一、选择题(每小题6分,共36分)1.(预测题)已知函数f(x)=sin(ωx +π3)(ω>0)的最小正周期为π,则该函数的图象( ) (A)关于直线x =π3对称 (B)关于点(π3,0)对称 (C)关于直线x =-π6对称 (D)关于点(π6,0)对称 2.(2012·抚顺模拟)函数f(x)=3sinx +4cosx +5的最小正周期为( )(A)π5 (B)π2(C)π (D)2π 3.已知函数f(x)=2cos(ωx +π6)(ω>0)的最小正周期为π,那么ω=( ) (A)13 (B) 12(C)1 (D)2 4.(2012·济南模拟)使函数f(x)=sin(2x +φ)为R 上的奇函数的φ的值可以是( ) (A)π4 (B) π2 (C)π (D)3π25.已知函数f(x)=sin(2x -π6),若存在a∈(0,π),使得f(x +a)=f(x -a)恒成立,则a 的值是( ) (A)π6 (B)π3 (C)π4 (D)π26.已知函数y =sinx 的定义域为[a ,b],值域为[-1,12],则b -a 的值不可能是( ) (A)π3 (B)2π3 (C)π (D)4π3二、填空题(每小题6分,共18分)7.(2012·潍坊模拟)函数y =sin(x +π3)在区间[0,π2]的最小值为 . 8.函数y =sin(2x +φ)(0≤φ≤π)是R 上的偶函数,则φ的值是 .9.在(0,2π)内,使sinx >cosx 成立的x 的取值范围是 .三、解答题(每小题15分,共30分)10.(2012·聊城模拟)已知sin(π-θ)+3cos(π+θ)=0,其中θ∈(0,π2)(1)求sin θ,cos θ的值;(2)求函数f(x)=sin 2x +tan θcosx(x∈R)的值域.11.已知函数f(x)=cosx -3sinx +1(x∈R).(1)求函数y =f(x)的最大值,并指出取得最大值时相应的x 的值;(2)求函数y =f(x)的单调增区间.【探究创新】(16分)已知函数f(x)=sin2x +acos 2x(a∈R,a 为常数),且π4是函数y =f(x)的零点. (1)求a 的值,并求函数f(x)的最小正周期;(2)若x∈[0,π2],求函数f(x)的值域,并写出f(x)取得最大值时x 的值.答案解析1.【解析】选B.由题意知T =2πω=π,则ω=2,所以f(x)=sin(2x +π3),又f(π3)=sin(23π+π3)=sin π=0,故图象关于点(π3,0)对称. 2.【解析】选D.f(x)=5sin(x +φ)+5(其中sin φ=45,cos φ=35). ∴f(x)的最小正周期T =2π1=2π. 3.【解析】选D.由题设知T =2πω=π,∴ω=2. 4.【解析】选C.若f(x)是R 上的奇函数,则必须满足f(0)=0即sin φ=0∴φ=k π(k ∈Z),故选C.5.【解析】选D.因为函数满足f(x +a)=f(x -a),所以函数是周期函数,且周期为2a,2a =2π2,所以a =π2. 【方法技巧】周期函数的理解(1)周期函数定义中的等式:f(x +T)=f(x)是定义域内的恒等式,即对定义域内的每个x 值都成立,若只是存在个别x 满足等式的常数T 不是周期.(2)每个周期函数的定义域是一个无限集,其周期有无穷多个,对于周期函数y =f(x),T 是周期,则kT(k ∈Z ,k ≠0)也是周期,但并非所有周期函数都有最小正周期.6.【解题指南】解决此类题目利用数形结合,画出草图,因为知道最小值是-1,再根据周期性就可得到b -a 的可能的值.【解析】选A.画出函数y =sinx 的草图,分析知b -a 的取值范围为[2π3,4π3]. 【变式备选】已知函数f(x)=Asin(ωx +φ)(A >0,ω>0)满足条件f(x +12)+f(x)=0,则ω的值为( )(A)2π (B)π (C)π2 (D)π4【解析】选A.由f(x +12)+f(x)=0得f(x +12)=-f(x),所以f(x +1)=f(x),故函数的周期是1,又由2πω=1得ω=2π. 7.【解析】∵x ∈[0,π2],∴x +π3∈[π3,5π6], 12≤sin(x +π3)≤1, ∴y =sin(x +π3)在[0,π2]上的最小值为12. 答案:128.【解析】若函数为偶函数,则φ=k π+π2(k ∈Z),因为0≤φ≤π,所以φ=π2. 答案:π29.【解题指南】利用函数图象或者三角函数线可以得到答案.【解析】利用y =sinx 和y =cosx 的图象可知道在(0,2π)上sin π4=cos π4,sin 5π4=cos 5π4,所以若sinx >cosx ,则有π4<x <5π4. 答案:(π4,5π4) 10.【解析】(1)由题意得sin θ-3cos θ=0,又sin 2θ+cos 2θ=1,θ∈(0,π2),∴sin θ=31010,cos θ=1010, (2)f(x)=sin 2x +3cosx =1-cos 2x +3cosx.令t =cosx ,t ∈[-1,1],则y =-t 2+3t +1,∴y min =-3,y max =3,即值域为[-3,3].11.【解析】(1)f(x)=cosx -3sinx +1=2(12cosx -32sinx)+1 =2(cosxcos π3-sinxsin π3)+1=2cos(x +π3)+1, (注:此处也可是2sin(π6-x)+1等) 所以f(x)的最大值是3,此时x +π3=2k π,即x =2k π-π3,k ∈Z. (2)因为余弦函数的单调增区间为[2k π-π, 2k π](k ∈Z)∴2k π-π≤x +π3≤2k π ∴2k π-4π3≤x ≤2k π-π3∴y =f(x)的单调增区间为[2k π-4π3,2k π-π3](k ∈Z) 【探究创新】【解析】(1)由于π4是函数y =f(x)的零点, 即x =π4是方程f(x)=0的解, 从而f(π4)=sin π2+acos 2π4=0, 则1+12a =0,解得a =-2. 所以f(x)=sin2x -2cos 2x =sin2x -cos2x -1,则f(x)=2sin(2x -π4)-1, 所以函数f(x)的最小正周期为π.(2)由x ∈[0,π2],得2x -π4∈[-π4,3π4], 则sin(2x -π4)∈[-22,1], 则-1≤2sin(2x -π4)≤2, -2≤2sin(2x -π4)-1≤2-1, ∴函数f(x)的值域为[-2,2-1].当2x -π4=2k π+π2(k ∈Z),即x =k π+38π时,f(x)有最大值, 又x ∈[0,π2],故k =0时,x =38π, f(x)有最大值2-1.。
函数的图象与性质的综合(时间:45分钟分值:100分)基础热身1.函数f(x)=a x-b的图象如图()A.a>1,b<0 B.a>1,b>0C.0<a<1,b>0 D.0<a<1,b<02.函数y=-e x的图象()A.与y=e x的图象关于y轴对称B.与y=e x的图象关于坐标原点对称C.与y=e-x的图象关于y轴对称D.与y=e-x的图象关于坐标原点对称3.若将函数y=f(x)的图象先向左平移2个单位,再向下平移2个单位,得到的图象恰好与y=2x的图象重合,则y=f(x)的解析式是()A.y=2x+2+2 B.y=2x+2-2C.y=2x-2+2 D.y=2x-2-24.在R上定义的函数f(x)是偶函数,且f(x)=f(2-x).若f(x)在区间[1,2]上是减函数,则f(x)()A.在区间[-2,-1]上是增函数,在区间[3,4]上是增函数B.在区间[-2,-1]上是增函数,在区间[3,4]上是减函数C.在区间[-2,-1]上是减函数,在区间[3,4]上是增函数D.在区间[-2,-1]上是减函数,在区间[3,4]上是减函数能力提升5.[2013·皖西六校联考] 函数f(x)=11+|x|的图象是()6.函数y=e|ln x|-|x-1|的图象大致是()7.函数y =lncos x ⎛⎭⎫-π<x <π的图象是( )8.[2013·青岛一模] 已知a >b ,函数f (x )=(x -a )·(x -b )的图象如图K10-5所示,则函数g (x )=log a (x +b )的图象可能为图K10-69.函数f (x )=1+-x +1( )10.若函数y =f (x +3)的图象经过点P (1,4),则函数y =f (x )的图象必经过点________. 11.设函数y =f (x )定义在实数集上,则函数y =f (x -1)与y =f (1-x )的图象的对称轴方程是________.12.若0<a <1,b <-1,则函数f (x )=a x +b 的图象不经过坐标系的第________象限. 13.已知f (x )对x ∈R 恒满足f (2+x )=f (2-x ),若方程f (x )=0恰有5个不同的实数根,则所有五个根之和是________.14.(10分)画出下列函数图象并写出函数的单调区间: (1)y =-x 2+2|x |+1; (2)y =|-x 2+2x +3|.15.(13分)(1)已知函数y =f (x )的定义域为R ,且当x ∈R 时,f (m +x )=f (m -x )恒成立,求证:y =f (x )的图象关于直线x =m 对称;(2)若函数y =log 2|ax -1|的图象的对称轴是直线x =2,求非零实数a 的值.难点突破16.(12分)设函数f (x )=x +1x的图象为C 1,C 1关于点A (2,1)的对称图形为C 2,C 2对应的函数为g (x ).(1)求函数g (x )的解析式;(2)若直线y =b 与C 2有且仅有一个公共点,求b 的值,并求出交点的坐标.课时作业(十)【基础热身】1.D [解析] 图象是函数y =a x (0<a <1)左移得到,故-b >0,b <0,所以选D. 2.D [解析] 由点(x ,y )关于原点的对称点是(-x ,-y )得.3.C [解析] 向左移2个单位即得f (x +2),再向下移2个单位则得f (x +2)-2=2x ,用换元法,求出f (x )=2x -2+2.4.B [解析] 由f (x )=f (2-x )可知f (x )图象关于直线x =1对称,又因为f (x )为偶函数,图象关于x =0对称,可得到f (x )为周期函数且最小正周期为2,结合f (x )在区间[1,2]上是减函数,可得f (x )草图,再根据草图判断,B 正确.【能力提升】5.C [解析] 函数是偶函数,只能是选项C 中的图象.6.D [解析] 方法一:当0<x <1时,e |ln x |=e -ln x =eln 1x =1x,当x ≥1时,e |ln x |=e ln x =x ,∴y=e |ln x |-|x -1|=⎩⎪⎨⎪⎧1x -(1-x )(0<x <1),x -(x -1)(x ≥1),即y =⎩⎪⎨⎪⎧1x +x -1(0<x <1),1(x ≥1),注意到1x+x >2(0<x <1),∴选D.方法二:本题可以采用特殊化方法求解,当x =e 时,y =1;当x =1e 时,y =1e+e -1>1,对照选择支可知只能选D.7.A [解析] y =lncos x -π2<x <π2是偶函数,可排除B ,D ,由cos x ≤1⇒lncos x ≤0,排除C ,选A.8.B [解析] 由图象可知0<b <1<a ,所以g (x )=log a (x +b )为增函数,其图象由y =log a x 左移得到,B 符合.9.C [解析] g (x )=2-x +1=2-(x -1)的图象是由y =2-x 的图象右移一个单位而得,函数f (x )=1+log 2x 的图象由函数y =log 2x 向上平移一个单位得到.结合选项只有选项C 中的图象符合要求.10.(4,4) [解析] 根据已知f (4)=4恒成立,故函数y =f (x )的图象必经过点(4,4). 11.x =1 [解析] 令x -1=u ,则原题转化为函数y =f (u )与y =f (-u )的图象的对称问题,显然y =f (u )与y =f (-u )关于u =0对称,即关于x =1对称.12.一 [解析] g (x )=a x 的图象经过第一、二象限,f (x )=a x +b 是将g (x )=a x 的图象向下平移|b |(b <-1)个单位而得,因而图象不经过第一象限.13.10 [解析] 由f (2+x )=f (2-x )知y =f (x )的图象关于直线x =2对称,从而f (x )=0的根在不等于2的条件下应成对出现.依题意,作出草图如下,∵⎩⎨⎧x 3=2,x 1+x 52=2,x 2+x42=2,∴x 1+x 2+x 3+x 4+x 5=10.14.解:(1)y =⎩⎪⎨⎪⎧-x 2+2x +1(-x 2-2x +1(x <0),即y =⎩⎪⎨⎪⎧-(x -1)2+2(x ≥0),-(x +1)2+2(x <0). 如图所示,单调增区间为(-∞,-1]和[0,1],单调减区间为[-1,0]和[1,+∞). (2)由-x 2+2x +3≥0,得-1≤x ≤3,函数y =-x 2+2x +3=-(x -1)2+4, 由-x 2+2x +3<0,得x <-1或x >3,函数y =x 2-2x -3=(x -1)2-4.即y =⎩⎪⎨⎪⎧-(x -1)2+4(-1≤x ≤3),(x -1)2-4(x <-1或x >3). 如图所示,单调增区间为[-1,1]和[3,+∞1]和[1,3].15.解:(1)证明:设P (x 000f (x 0). 又设P 点关于直线x =m 的对称点为P ′, 则P ′的坐标为(2m -x 0,y 0). 由已知f (x +m )=f (m -x ),得f (2m -x 0)=f [m +(m -x 0)]=f [m -(m -x 0)]=f (x 0)=y 0, 即P ′(2m -x 0,y 0)在y =f (x )的图象上, ∴y =f (x )的图象关于直线x =m 对称. (2)由题意,对定义域内的任意x ,有 f (2-x )=f (2+x )恒成立,∴|a (2-x )-1|=|a (2+x )-1|恒成立, 即|-ax +(2a -1)|=|ax +(2a -1)|恒成立.又∵a ≠0,∴2a -1=0,得a =12.【难点突破】16.解:(1)设曲线C 1上的任意一点为P (x ,y ),曲线C 2上与之对称的点为P ′(x ′,y ′), 则x =4-x ′,y =2-y ′,P (4-x ′,2-y ′),将点P 的坐标代入曲线C 1的方程中可得y ′=(x ′-3)2x ′-4,即g (x )=(x -3)2x -4.(2)由(x -3)2x -4=b ⇒(x -3)2=b (x -4),即x 2-(b +6)x +4b +9=0(其中x ≠4),(※)由Δ=[-(b +6)]2-4(4b +9)=b 2-4b =0⇒b =0或b =4, 把b =0代入(※)式得x =3, 把b =4代入(※)式得x =5;∴当b =0或b =4时,直线y =b 与C 2有且仅有一个公共点, 且交点的坐标为(3,0)和(5,4).。
两角和与差的正弦、余弦、正切一、选择题1.cos13计算sin43cos 43-sin13的值等于( )A.12解析 原式=1sin (43-13)=sin 30=2,故选A. 答案 A2.已知锐角α满足cos 2α=cos ⎝ ⎛⎭⎪⎫π4-α,则sin 2α等于( ) A.12 B .-12 C.22 D .-22解析:由cos 2α=cos ⎝⎛⎭⎪⎫π4-α得(cos α-sin α)(cos α+sin α)=22(cos α+sin α) 由α为锐角知cos α+sin α≠0. ∴cos α-sin α=22,平方得1-sin 2α=12. ∴sin 2α=12.答案:A3.已知x ∈⎝ ⎛⎭⎪⎫-π2,0,cos x =45,则tan 2x 等于( ).A.724 B .-724 C.247 D .-247 解析 ∵x ∈⎝ ⎛⎭⎪⎫-π2,0,cos x =45.∴sin x =-35,∴tan x =-34.∴tan 2x =2tan x 1-tan 2x =2×⎝ ⎛⎭⎪⎫-341-⎝ ⎛⎭⎪⎫-342=-247. 答案 D4.已知α,β都是锐角,若sin α=55,sin β=1010,则α+β= ( ).A.π4B.3π4C.π4和3π4D .-π4和-3π4解析 由α,β都为锐角,所以cos α=1-sin 2α=255,cos β=1-sin 2β=31010.所以cos(α+β)=cos α·cos β-sin α·sin β=22,所以α+β=π4. 答案 A5.若0<α<π2,-π2<β<0,cos ⎝ ⎛⎭⎪⎫π4+α=13,cos ⎝ ⎛⎭⎪⎫π4-β2=33,则cos ⎝ ⎛⎭⎪⎫α+β2=( ). A.33B .-33C.539D .-69解析 对于cos ⎝ ⎛⎭⎪⎫α+β2=cos ⎣⎢⎡⎦⎥⎤⎝ ⎛⎭⎪⎫π4+α-⎝ ⎛⎭⎪⎫π4-β2=cos ⎝ ⎛⎭⎪⎫π4+αcos ⎝ ⎛⎭⎪⎫π4-β2+sin ⎝ ⎛⎭⎪⎫π4+αsin ⎝ ⎛⎭⎪⎫π4-β2,而π4+α∈⎝ ⎛⎭⎪⎫π4,3π4,π4-β2∈⎝ ⎛⎭⎪⎫π4,π2,因此sin ⎝ ⎛⎭⎪⎫π4+α=223,sin ⎝ ⎛⎭⎪⎫π4-β2=63,则cos ⎝ ⎛⎭⎪⎫α+β2=13×33+223×63=539.答案 C6.已知α是第二象限角,且sin(π+α)=-35,则tan2α的值为( )A.45 B .-237 C .-247 D .-83解析 由sin (π+α)=-35,得sin α=35,又α是第二象限角,故cos α=-1-sin 2α=-45,∴tan α=-34,tan 2α=2tan α1-tan 2α=2×⎝ ⎛⎭⎪⎫-341-⎝ ⎛⎭⎪⎫-342=-247. 答案 C7.已知cos ⎝ ⎛⎭⎪⎫α-π6+sin α=435,则sin ⎝⎛⎭⎪⎫α+7π6的值是( ).A .-235 B.236 C .-45 D.45解析 cos ⎝ ⎛⎭⎪⎫α-π6+sin α=435⇒32sin α+32cos α=435⇒sin ⎝⎛⎭⎪⎫α+π6=45, 所以sin ⎝ ⎛⎭⎪⎫α+7π6=-sin ⎝ ⎛⎭⎪⎫α+π6=-45. 答案 C 二、填空题8.已知cos ⎝ ⎛⎭⎪⎫α+π4=13,α∈⎝ ⎛⎭⎪⎫0,π2,则cos α=________.解析:∵α∈⎝ ⎛⎭⎪⎫0,π2,∴α+π4∈⎝ ⎛⎭⎪⎫π4,3π4, ∴sin ⎝ ⎛⎭⎪⎫α+π4=223. 故cos α=cos [⎝⎛⎭⎪⎫α+π4-π4]=cos ⎝ ⎛⎭⎪⎫α+π4cos π4+sin ⎝ ⎛⎭⎪⎫α+π4sin π4=13×22+223×22=4+26. 答案:4+269.化简[2sin50°+sin10°(1+3tan10°)]·2sin 280°的结果是________.解析 原式=2sin 50°+sin 10°·cos 10°+3sin 10°cos 10°·2sin 80°=⎣⎢⎢⎡⎦⎥⎥⎤2sin 50°+2sin 10°·12cos 10°+32sin 10°cos 10°·2cos 10° =⎣⎢⎡⎦⎥⎤2sin 50°+2sin 10°·cos -cos 10°·2cos 10°=22(sin 50°cos 10°+sin 10°cos 50°)=22sin 60°= 6. 答案 610.已知tan ⎝ ⎛⎭⎪⎫π4+θ=3,则sin 2θ-2cos 2θ的值为________.解析 法一 ∵tan ⎝ ⎛⎭⎪⎫π4+θ=3,∴1+tan θ1-tan θ=3,解得tan θ=12.∵sin 2θ-2cos 2θ=sin 2θ-cos 2θ-1 =2sin θcos θsin 2θ+cos 2θ-cos 2θ-sin 2θsin 2θ+cos 2θ-1 =2tan θ1+tan 2 θ-1-tan 2 θ1+tan 2θ-1 =45-35-1=-45. 法二 sin 2θ-2cos 2 θ=sin 2θ-cos 2θ-1=-cos ⎝ ⎛⎭⎪⎫π2+2 θ-sin ⎝⎛⎭⎪⎫π2+2θ-1=-1-tan 2⎝ ⎛⎭⎪⎫π4+θ1+tan 2⎝ ⎛⎭⎪⎫π4+θ-2tan ⎝ ⎛⎭⎪⎫π4+θ1+tan 2⎝ ⎛⎭⎪⎫π4+θ-1 =-1-91+9-2×31+9-1=-45.答案 -4511.函数f (x )=2cos 2x +sin 2x 的最小值是________.解析 ∵f (x )=2cos 2x +sin 2x =1+cos 2x +sin 2x =1+2sin ⎝ ⎛⎭⎪⎫2x +π4,∴f (x )min =1-2. 答案 1- 212.若cos(α+β)=15,cos(α-β)=35,则tan αtan β=________.解析 由已知,得cos αcos β-sin αsin β=15,cos αcos β+sin αsin β=35,则有cos αcos β=25,sin αsin β=15,sin αsin βcos αcos β=12,即tan αtan β=12.答案 12三、解答题13.已知sin ⎝ ⎛⎭⎪⎫π4+x =513,且x ∈⎝ ⎛⎭⎪⎫π4,3π4,求1-tan x 1+tan x .解析 ∵x ∈⎝ ⎛⎭⎪⎫π4,3π4,∴π4+x ∈⎝ ⎛⎭⎪⎫π2,π,∴cos ⎝ ⎛⎭⎪⎫π4+x =-1213, ∴tan ⎝ ⎛⎭⎪⎫π4+x =-512, ∴1-tan x 1+tan x =1tan ⎝⎛⎭⎪⎫x +π4=-125. 14.设函数f (x )=sin ωx +sin ⎝⎛⎭⎪⎫ωx -π2,x ∈R.(1)若ω=12,求f (x )的最大值及相应的x 的集合;(2)若x =π8是f (x )的一个零点,且0<ω<10,求ω的值和f (x )的最小正周期.解析 (1)f(x)=sin ωx +sin ⎝⎛⎭⎪⎫ωx -π2=sin ωx -cos ωx , 当ω=12时,f(x)=sin x 2-cos x 2=2sin ⎝ ⎛⎭⎪⎫x 2-π4, 而-1≤sin ⎝ ⎛⎭⎪⎫x 2-π4≤1,所以f(x)的最大值为2, 此时,x 2-π4=π2+2k π,k ∈Z ,即x =3π2+4k π,k ∈Z ,相应的x 的集合为⎩⎨⎧x ⎪⎪⎪⎭⎬⎫x =3π2+4k π,k ∈Z .(2)因为f (x )=2sin ⎝⎛⎭⎪⎫ωx -π4,所以,x =π8是f (x )的一个零点⇔f ⎝ ⎛⎭⎪⎫π8=sin ⎝ ⎛⎭⎪⎫ωπ8-π4=0,即ωπ8-π4=k π,k ∈Z ,整理,得ω=8k +2,又0<ω<10,所以0<8k +2<10,-14<k <1,而k ∈Z ,所以k =0,ω=2,f (x )=2sin ⎝⎛⎭⎪⎫2x -π4,f (x )的最小正周期为π. 15.在△ABC 中,A 、B 、C 为三个内角,f (B )=4cos B ·sin 2⎝ ⎛⎭⎪⎫π4+B 2+3cos 2B -2c os B .(1)若f (B )=2,求角B ;(2)若f (B )-m >2恒成立,求实数m 的取值范围.解析 (1)f (B )=4cos B ×1-cos ⎝ ⎛⎭⎪⎫π2+B 2+3cos 2B -2c os B=2cos B (1+sin B )+3cos 2B -2cos B =2cos B sin B +3cos 2B=sin 2B +3cos 2B =2sin ⎝ ⎛⎭⎪⎫2B +π3. ∵f (B )=2,∴2sin ⎝ ⎛⎭⎪⎫2B +π3=2,π3<2B +π3<73π,∴2B +π3=π2.∴B =π12.(2)f (B )-m >2恒成立,即2sin ⎝ ⎛⎭⎪⎫2B +π3>2+m 恒成立.∵0<B <π,∴2sin ⎝ ⎛⎭⎪⎫2B +π3∈[-2,2],∴2+m <-2.∴m <-4.16. (1)①证明两角和的余弦公式C (α+β):cos(α+β)=c os αcos β-sin αsin β; ②由C (α+β)推导两角和的正弦公式S (α+β):sin(α+β)=sin αcos β+cos αsin β.(2)已知cos α=-45,α∈⎝ ⎛⎭⎪⎫π,32π,tan β=-13,β∈⎝ ⎛⎭⎪⎫π2,π,求cos(α+β).解析 (1)证明 ①如图,在直角坐标系xOy 内作单位圆O ,并作出角α,β与-β,使角α的始边为Ox 轴非负半轴,交⊙O 于点P 1,终边交⊙O 于点P 2;角β的始边为OP 2,终边交⊙O 于点P 3,角-β的始边为OP 1,终边交⊙O 于点P 4.则P 1(1,0),P 2(cos α,sin α),P 3(cos(α+β),sin(α+β)),P 4(cos(-β),sin(-β)).由P 1P 3=P 2P 4及两点间的距离公式,得[cos(α+β)-1]2+sin 2(α+β)=[cos(-β)-cos α]2+[sin(-β)-sin α]2,展开并整理,得2-2cos(α+β)=2-2(cos αcos β-sin αsin β). ∴cos(α+β)=cos αcos β-sin αsin β.②由①易得,cos⎝ ⎛⎭⎪⎫π2-α=sin α,sin ⎝ ⎛⎭⎪⎫π2-α=cos α.sin(α+β)=cos ⎣⎢⎡⎦⎥⎤π2-α+β=cos ⎣⎢⎡⎦⎥⎤⎝ ⎛⎭⎪⎫π2-α+-β=cos ⎝ ⎛⎭⎪⎫π2-αcos(-β)-sin ⎝ ⎛⎭⎪⎫π2-αsin(-β)=sin αcos β+cos αsin β.∴sin(α+β)=sin αcos β+cos αsin β. (2)∵α∈⎝ ⎛⎭⎪⎫π,32π,cos α=-45,∴sin α=-35. ∵β∈⎝⎛⎭⎪⎫π2,π,tan β=-13, ∴cos β=-31010,sin β=1010.cos(α+β)=cos αcos β-sin αsin β=⎝ ⎛⎭⎪⎫-45×⎝ ⎛⎭⎪⎫-31010-⎝ ⎛⎭⎪⎫-35×1010=31010.。
第十一讲 函数的图象一、选择题:(本大题共6小题,每小题6分,共36分,将正确答案的代号填在题后的括号内.)1.函数y =ln(1-x )的大致图象为( )解析:将函数y =ln x 的图象关于y 轴对称,得到y =ln(-x )的图象,再向右平移1个单位即得y =ln(1-x )的图象.答案:C2.为了得到函数y =3×⎝⎛⎭⎫13x的图象,可以把函数y =⎝⎛⎭⎫13x 的图象( ) A .向左平移3个单位长度 B .向右平移3个单位长度 C .向左平移1个单位长度 D .向右平移1个单位长度解析:y =3×⎝⎛⎭⎫13x =⎝⎛⎭⎫13-1·⎝⎛⎭⎫13x =⎝⎛⎭⎫13x -1,故它的图象是把函数y =⎝⎛⎭⎫13x 的图象向右平移1个单位长度得到的.答案:D3.给出四个函数,分别满足①f (x +y )=f (x )+f (y ),②g (x +y )=g (x )·g (y ),③h (x ·y )=h (x )+h (y ),④m (x ·y )=m (x )·m (y ).又给出四个函数的图象,那么正确的匹配方案可以是( )A .①甲,②乙,③丙,④丁 B. ①乙,②丙,③甲,④丁 C. ①丙,②甲,③乙,④丁 D. ①丁,②甲,③乙,④丙解析:图象甲是一个指数函数的图象,它应满足②;图象乙是一个对数函数的图象,它应满足③;图象丁是y =x 的图象,满足①.答案:D4.函数y =f (x )的曲线如图(1)所示,那么函数y =f (2-x )的曲线是图(2)中的( )(1)(2)解析:把y =f (x )的图象向左平移2个单位得到y =f (x +2)的图象,再作关于y 轴对称的变换得到y =f (-x +2)=f (2-x )的图象,故选C.答案:C5.函数f (x )=1x -x 的图象关于( )A .y 轴对称B .直线y =-xC .坐标原点对称D .直线y =x第 3 页 共 8 页解析:∵f (x )=1x-x ,∴f (-x )=-1x +x =-⎝⎛⎭⎫1x -x =-f (x ). ∴f (x )是一个奇函数.∴f (x )的图象关于坐标原点对称. 答案:C6.已知lg a +lg b =0,函数f (x )=a x 与函数 g (x )=-log b x 的图象可能是( )解析:∵lg a +lg b =0,∴lg ab =0,ab =1,∴b =1a ,∴g (x )=-logb x =log a x ,∴函数f (x )与g (x )互为反函数,图象关于直线y =x 对称,故正确答案是B.答案:B二、填空题:(本大题共4小题,每小题6分,共24分,把正确答案填在题后的横线上.) 7.已知下列曲线:以下编号为①②③④的四个方程:①x -y =0;②|x |-|y |=0;③x -|y |=0;④|x |-y =0.请按曲线A 、B 、C 、D 的顺序,依次写出与之对应的方程的编号________. 解析:按图象逐个分析,注意x 、y 的取值范围. 答案:④②①③8.(2010·西安五校联考)已知最小正周期为2的函数y =f (x ),当x ∈[-1,1]时,f (x )=x 2,则函数y =f (x )(x ∈R )的图象与y =|log 5x |的图象的交点个数为________.解析:由下图象可知有5个交点.答案:5个9.设函数f (x )定义域为R ,则下列命题中①y =f (x )是偶函数,则y =f (x +2)的图象关于y 轴对称;②若y =f (x +2)是偶函数,则y =f (x )的图象关于直线x =2对称;③若f (x -2)=f (2-x ),y =f (x )的图象关于直线x =2对称;④y =f (x -2)和y =f (2-x )的图象关于直线x =2对称.其中正确的命题序号是________(填上所有正确命题的序号).解析:对于①,y =f (x +2)关于x =-2对称;对于③,当f (2+x )=f (2-x )时,f (x )的图象关于x =2对称,而当f (2-x )=f (x -2)时,则应关于x =0对称.答案:②④10.(2010·青岛模拟题)已知函数f (x )=2-x 2,g (x )=x .若f (x )*g (x )=min{f (x ),g (x )},那么f (x )*g (x )的最大值是________.(注意:min 表示最小值)解析:画出示意图(如图).f (x )*g (x )=⎩⎪⎨⎪⎧2-x 2 (x ≤-2),x (-2<x <1),2-x 2(x ≥1),其最大值为1. 答案:1第 5 页 共 8 页三、解答题:(本大题共3小题,11、12题13分,13题14分,写出证明过程或推演步骤.)11.已知函数f (x )定义在[-2,2]上的图象如图所示,请分别画出下列函数的图象;(1)y =f (x +1);(2)y =f (x )+1;(3)y =f (-x );(4)y =-f (x ); (5)y =|f (x )|;(6)y =f (|x |);(7)y =2f (x );(8)y =f (2x ).解:利用图象变换技巧进行平移、伸缩、对称、翻折即可.(1)将函数y =f (x ),x ∈[-2,2]的图象向左平移1个单位得到y =f (x +1),x ∈[-3,1]的图象,如图①.(2)将函数y =f (x ),x ∈[-2,2]的图象向上平移1个单位即得到y =f (x )+1,x ∈[-2,2]的图象,如图②.(3)函数y =f (-x )与y =f (x ),x ∈[-2,2]的图象关于y 轴对称,如图③. (4)函数y =-f (x )与y =f (x ),x ∈[-2,2]的图象关于x 轴对称,如图④.(5)将函数y=f(x),x∈[-2,2]的图象在x轴下方的部分翻折到x轴上方,x轴上方的部分不变,得到y=|f(x)|的图象,如图⑤.(6)考虑到函数y=f(|x|)为[-2,2]上的偶函数,所以函数y=f(x),x∈[-2,2]在y轴右侧的部分不变,左侧部分换为右侧关于y轴对称的图象即可得到y=f(|x|)的图象,如图⑥.(7)将函数y=f(x),x∈[-2,2]的图象上所有点的横坐标不变,纵坐标伸长为原来的2倍,得到y=2f(x)的图象,如图⑦.(8)将函数y=f(x),x∈[-2,2]的图象上所有点的纵坐标不变,横坐标缩小为原来的1 2,得到y=f(2x)的图象,如图⑧.误区指津:注意区别y=|f(x)|与y=f(|x|)这两个函数图象的作法.后者一定是偶函数,但前者却不一定.因此在作后者图象时,我们先作出y=f(x)的图象,并去掉y轴左侧的图象,再将y轴右侧的图象“拷贝”一份,并关于y轴对称“粘贴”到y轴的左侧,即得y=f(|x|)的图象.评析:许多有关函数图象变换的题目都是建立在以上8种基本作图的基础之上,应充分运用这些变换技巧作图.请注意,我们在作已知解析式的函数的图象时,应先在定义域范围内对已知解析式进行化简,转化成熟悉的函数作图.第 7 页 共 8 页12.如图函数y =x 3+x 13的图象沿x 轴向右平移a 个单位,得曲线C ,设曲线C 的方程y =f (x )对任意t ∈R 都有f (1+t )=-f (1-t ),试求f (1)+f (-1)的值.解:由题意得f (x )=(x -a )3+(x -a )13. ∵f (1+t )=-f (1-t ),∴点P (1+t ,y )与点Q (1-t ,-y )在曲线C 上,对于任意t ∈R ,线段PQ 中点M (1,0)为定点,即曲线C 上任意一点P 关于点M 的对称点Q 都在曲线C 上.故曲线C 关于点M (1,0)对称.又因为y =(x -a )3+(x -a )13的图象关于点(a,0)对称,且仅有一个对称中心,所以a =1. 即f (x )=(x -1)3+(x -1)13. 故f (1)+f (-1)=-8-32.评析:(1)y =f (x )图象关于x =a 对称⇔任意x ∈D ,有f (x +a )=f (a -x );(2)y =f (x )的图象关于点(a,0)对称⇔定义域中任意x ,f (a +x )=-f (a -x ).[来源:学。
函数的图像一、选择题1.已知函数y =f (x )的周期为2,当x ∈[-1,1]时f (x )=x 2,那么函数y =f (x )的图象与函数y =|lg x |的图象的交点共有( ).A .10个B .9个C .8个D .1个 解析 (数形结合法)画出两个函数图象可看出交点有10个.答案 A【点评】 本题采用了数形结合法.数形结合,其实质是将抽象的数学语言与直观的图形结合起来,使抽象思维与形象思维结合起来,通过对图形的处理,发挥直观对抽象的支持作用,实现抽象概念与具体形象的联系和转化,化难为易,化抽象为直观. 2.函数y =|x |与y =x 2+1在同一坐标系上的图像为( )解析:因为|x |≤x 2+1,所以函数y =|x |的图像在函数y =x 2+1图像的下方,排除C 、D ,当x →+∞时,x 2+1→|x |,排除B ,故选A. 答案:A3.函数y =11-x 的图象与函数y =2sin πx (-2≤x ≤4)的图象所有交点的横坐标之和等于( ).A .2B .4C .6D .8解析 此题考查函数的图象、两个函数图象的交点及函数的对称性问题.两个函数都是中心对称图形.如上图,两个函数图象都关于点(1,0)成中心对称,两个图象在[-2,4]上共8个公共点,每两个对应交点横坐标之和为2,故所有交点的横坐标之和为8. 答案 D4.y =x +cos x 的大致图象是( )解析:当x =0时,y =1;当x =π2时,y =π2;当x =-π2时,y =-π2,观察各选项可知B正确. 答案:B5.由方程x |x |+y |y |=1确定的函数y =f (x )在(-∞,+∞)上是( ). A .增函数 B .减函数 C .先增后减 D .先减后增解析 ①当x ≥0且y ≥0时,x 2+y 2=1,②当x >0且y <0时,x 2-y 2=1, ③当x <0且y >0时,y 2-x 2=1, ④当x <0且y <0时,无意义.由以上讨论作图如上图,易知是减函数. 答案 B6.在同一坐标系中画出函数y =l og a x ,y =a x,y =x +a 的图象,可能正确的是( ).解析 当a >1或0<a <1时,排除C ;当0<a <1时,再排除B ;当a >1时,排除A. 答案 D7.给出四个函数,分别满足①f (x +y )=f (x )+f (y ), ②g (x +y )=g (x )·g (y ),③h (x ·y )=h (x )+h (y ),④m (x ·y )=m (x )·m (y ).又给出四个函数的图象,那么正确的匹配方案可以是( )A .①甲,②乙,③丙,④丁B .①乙,②丙,③甲,④丁C .①丙,②甲,③乙,④丁D .①丁,②甲,③乙,④丙解析:图象甲是一个指数函数的图象,它应满足②;图象乙是一个对数函数的图象,它应满足③;图象丁是y =x 的图象,满足①. 答案:D 二、填空题8. 如图,函数f (x )的图像是曲线OAB ,其中点O ,A ,B 的坐标分别为(0,0),(1,2),(3,1),则f ⎝⎛⎭⎪⎫1f的值等于________. 解析:由图像知f (3)=1, ∴1f=1.∴f ⎝⎛⎭⎪⎫1f=f (1)=2. 答案:29.已知定义在区间[0,1]上的函数y =f (x )的图象如图所示,对于满足0<x 1<x 2<1的任意x 1、x 2,给出下列结论:①f (x 2)-f (x 1)>x 2-x 1; ②x 2f (x 1)>x 1f (x 2); ③f x 1+f x 22<f ⎝⎛⎭⎪⎫x 1+x 22.其中正确结论的序号是________(把所有正确结论的序号都填上). 解析 由f (x 2)-f (x 1)>x 2-x 1,可得f x 2-f x 1x 2-x 1>1,即两点(x 1,f (x 1))与(x 2,f (x 2))连线的斜率大于1,显然①不正确,由x 2f (x 1)>x 1f (x 2)得f x 1x 1>f x 2x 2,即表示两点(x 1,f (x 1))、(x 2,f (x 2))与原点连线的斜率的大小,可以看出结论②正确;结合函数图象,容易判断③的结论是正确的. 答案 ②③10.已知a >0,且a ≠1,f (x )=x 2-a x,当x ∈(-1,1)时,均有f (x )<12,则实数a 的取值范围是________.解析:由题知,当x ∈(-1,1)时,f (x )=x 2-a x <12,即x 2-12<a x .在同一坐标系中分别作出二次函数y =x 2-12,指数函数y =a x的图象,如图,当x ∈(-1,1)时,要使指数函数的图象均在二次函数图象的上方,需12≤a ≤2且a ≠1.故实数a 的取值范围是12≤a <1或1<a ≤2.答案:[12,1)∪(1,2]11.设f (x )表示-x +6和-2x 2+4x +6中较小者,则函数f (x )的最大值是________. 解析 在同一坐标系中,作出y =-x +6和y =-2x 2+4x +6的图象如图所示,可观察出当x =0时函数f (x )取得最大值6.答案 612.已知函数f(x)=(12)x的图象与函数y=g(x)的图象关于直线y=x 对称,令h(x)=g(1-|x|),则关于h(x)有下列命题: ①h(x)的图象关于原点对称; ②h(x)为偶函数; ③h(x)的最小值为0; ④h(x)在(0,1)上为减函数.其中正确命题的序号为_________.(将你认为正确的命题的序号都填上) 解析g(x)= 12log x,∴h(x)= 12log (1-|x|),∴h(x)= ()()1212log 1x 1x 0,log 1x 0x 1+-<≤⎧⎪⎨-<<⎪⎩,,得函数h(x)的大致图象如图,故正确命题序号为②③.答案:②③ 三、解答题13.作出下列函数的大致图象 (1)y=x 2-2|x|;(2)y= 13log [3(x+2)];(.解析 (1)y= ()22x 2x(x 0)x 2x x 0⎧-≥⎪⎨+<⎪⎩的图象如图(1).(2)y= 13log 3+ 13log (x+2)=-1+ 13log (x+2),其图象如图(2).(3).14.设函数f (x )=x +1x的图象为C 1,C 1关于点A (2,1)对称的图象为C 2,C 2对应的函数为g (x ).(1)求g (x )的解析式;(2)若直线y =m 与C 2只有一个交点,求m 的值和交点坐标. 解析 (1)设点P (x ,y )是C 2上的任意一点,则P (x ,y )关于点A (2,1)对称的点为P ′(4-x,2-y ), 代入f (x )=x +1x,可得2-y =4-x +14-x ,即y =x -2+1x -4,∴g (x )=x -2+1x -4. (2)由⎩⎪⎨⎪⎧y =m ,y =x -2+1x -4,消去y得x 2-(m +6)x +4m +9=0,Δ=(m +6)2-4(4m +9), ∵直线y =m 与C 2只有一个交点, ∴Δ=0,解得m =0或m =4.当m =0时,经检验合理,交点为(3,0); 当m =4时,经检验合理,交点为(5,4).15.当x ∈(1,2)时,不等式(x -1)2<log a x 恒成立,求a 的取值范围. 解析:设f1(x )=(x -1)2,f 2(x )=lo g a x ,要使当x ∈(1,2)时,不等式 (x -1)2<log a x 恒成立,只需f 1(x )=(x -1)2在(1,2)上的图象在f 2(x )=log a x 的下方即可.当0<a <1时,综合函数图象知显然不成立.当a >1时,如图,要使在(1,2)上,f 1(x )=(x -1)2的图象在f 2(x )=log a x 的下方, 只需f 1(2)≤f 2(2),即(2-1)2≤log a 2,log a 2≥1, ∴1<a ≤2.∴a 的取值范围是(1,2]16.已知函数y =f (x )的定义域为R ,并对一切实数x ,都满足f (2+x )=f (2-x ). (1)证明:函数y =f (x )的图象关于直线x =2对称;(2)若f (x )是偶函数,且x ∈[0,2]时,f (x )=2x -1,求x ∈[-4,0]时的f (x )的表达式. 解析 (1)证明 设P (x 0,y 0)是函数y =f (x )图象上任一点, 则y 0=f (x 0),点P 关于直线x =2的对称点为P ′(4-x 0,y 0). 因为f (4-x 0)=f [2+(2-x 0)]=f [2-(2-x 0)]=f (x 0)=y 0,所以P ′也在y =f (x )的图象上,所以函数y =f (x )的图象关于直线x =2对称. (2) 当x ∈[-2,0]时,-x ∈[0,2], 所以f (-x )=-2x -1. 又因为f (x )为偶函数,所以f (x )=f (-x )=-2x -1,x ∈[-2,0]. 当x ∈[-4,-2]时,4+x ∈[0,2], 所以f (4+x )=2(4+x )-1=2x +7, 而f (4+x )=f (-x )=f (x ), 所以f (x )=2x +7,x ∈[-4,-2].所以f (x )=⎩⎪⎨⎪⎧2x +7,x ∈[-4,-2],-2x -1,x ∈[-2,0].。