高三数学一轮复习典型题专题训练:函数(含解析)
- 格式:doc
- 大小:900.50 KB
- 文档页数:10
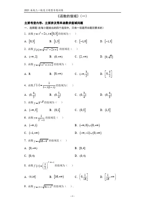
《函数的值域》(一)主要考查内容:主要涉及简单函数求值域问题一.选择题(在每小题给出的四个选项中,只有一项是符合题目要求的) 1.函数[]22,0,3y x x x =-∈的值域为( ) A .[]0,3 B .[]1,3C .[]1,0-D .[]1,3-2.函数()f x =的值域是( )A .(,2]-∞B .(0,)+∞C .[2,)+∞D.3.函数y = )A .RB .[0,)+∞C .3(,]2-∞D .30,2⎡⎤⎢⎥⎣⎦4.函数()11(1)f x x x =--的值域为( )A .4(0,]5B .5(0,]4C .3(0,]4D .4(0,]35.函数13y = )A .(],3-∞B .(]0,1C .(]0,3D .(]1,3 6.函数y 121x =-的值域是( ) A .(),1-∞ B .()(),00,-∞⋃+∞ C .()1,-+∞D .()(),10,-∞-⋃+∞7.函数y = ) A .[0,)+∞ B .[0,4] C .[0,4) D .(0,4)8.函数()26512x x f x -+⎛⎫= ⎪⎝⎭的值域为( )A .(]0,16B .[)16,+∞ C .10,16⎛⎤⎥⎝⎦D .1,16⎡⎫+∞⎪⎢⎣⎭9.函数y x =的值域为( ).A .2⎡⎤-⎣⎦B .[]0,4C .0,2⎡+⎣D .2⎡-+⎣10.函数y x = ) A .(-∞,1] B .(-∞,-1]C .RD .[1,+∞11.函数()3452xf x x-+=-的值域是( )A .()(),22,-∞+∞B .()(),22,-∞--+∞C .55,,22⎛⎫⎛⎫-∞⋃+∞ ⎪ ⎪⎝⎭⎝⎭D .R12.函数y =的值域为( )A .[B .C .(-∞D .[)+∞二.填空题13.函数2y x =+的值域为__.14.函数y x =的值域是___________________.15.求函数21x y x +=-的值域__________. 16.当0x <时,函数2321xy x x =++的值域是_________.三.解答题(解答应写出文字说明、证明过程或演算步骤) 17.求函数3254x y x+=-的定义域与值域.18.求函数2y x =+19.求下列函数的值域:(1)2224y x x =+-;(2)2223x x y x ++=;(3)234x x y x -+=; (4)23,[2,4]21x y x x =∈-;(5)211x y x x +=++;(6)22211x x y x x --=++.20.已知函数243()3axx f x -+=.(1)当1a =时,求函数()f x 的值域; (2)若()f x 有最大值81,求实数a 的值.21.已知()1425x x f x -=-+,[]0,2x ∈.(1)求()f x 的值域;(2)若()227f x m am <-+对任意0,2m都成立,求a 的取值范围.22.已知函数24()(0,1)2x xa af x a a a a-+=>≠+是定义在R 上的奇函数. (1)求a 的值:(2)求函数()f x 的值域;(3)当[]1,2x ∈时,()220xmf x +->恒成立,求实数m 的取值范围.《函数的值域》(一)解析1.【解析】()22211y x x x =-=--,∴对称轴为1x =,抛物线开口向上,03x ≤≤,∴当1x =时,min 1y =-,1-距离对称轴远,∴当3x =时,max 3y =,∴13y -≤≤.故选:D.2.【解析】令()22()2112g x x x x =--+=-++, 则有:当1x =-时,()max ()2g x =,即()max ()f x =因为()f x =为根式函数,则()0f x ≥,所以0()f x ≤≤D3.【解析】函数y ==,21990,244x ⎛⎫⎡⎤--+∈ ⎪⎢⎥⎝⎭⎣⎦,∴函数y =⎡⎢⎣即30,2⎡⎤⎢⎥⎣⎦.故选:D.4.【解析】由题可知,函数()221111(1)11324f x x x x x x ===---+⎛⎫-+⎪⎝⎭因为22211331400224431324x x x ⎛⎫⎛⎫-≥⇒-+≥⇒<≤ ⎪ ⎪⎝⎭⎝⎭⎛⎫-+⎪⎝⎭, 故值域为4(0,]3,故选:D 5.【解析】0≥,∴11≤,∴1033<≤.故选:C6.【解析】由121xy =- 可得1210xy =+>,即()10y y +> ,解之得1y <- 或0y >,应选答案D .7.【解析】:由于016416x ≤-<,所以[)0,4y ∈.即值域为[0,4),故选C.8.【解析】设2265(3)44u x x x =-+=--≥-,则()1,42uf u u ⎛⎫=≥- ⎪⎝⎭,因为12xy ⎛⎫= ⎪⎝⎭为减函数,所以()()0416f u f <≤-=,即值域为(]0,16.故选:A.9.【解析】因为y x =240x x -,解得04x .可得函数()y f x x ==-[]0,4.又()1f x '==令()(2)g x x =-,则()()()1222410g x x x x -'=--+>,即()f x '在[]0,4上单(2)0x -=,解得2x =-,即()f x 在0,2⎡⎣上单调递减,在2⎡⎤⎣⎦上单调递增,所以2x =为极小值点,又(22f -=-(0)0f =,()44f =.∴函数y x =的值域为2⎡⎤-⎣⎦.故选:A .10.【解析】(0)t t =≥,则212t x -=,所以2211(1)122t y t t -=+=--+,当1t =时,此时函数取得最大值1,所以函数的值域为(,1]-∞.故选:A. 11.【解析】()344341077252252525x x x f x x x x x -+--+==-=-=-+----)()2f x ∴≠-,值域为()(),22,-∞-⋃-+∞)故选:B.12.【解析】要使函数()y f x ==需满足1010x x +⎧⎨-⎩,解得:11x -,所以函数的定义域为[]1,1-,根据函数的解析式,x y 增大,即该函数为增函数,所以最小值为()1f -=()1f =所以值域为⎡⎣,故选:A .13.【解析】2y x =+30x ∴-≥,解得3x ≥.又函数2y x =+为定义域内的增函数,∴26y x =≥.即函数2y x =+的值域为[)6,+∞.14.【解析】由120x +≥得12x ≥-,因为函数y x =为定义域单调递增函数,所以12y ≥-,即值域是1,.2⎡⎫-+∞⎪⎢⎣⎭15.【解析】因为21x y x +=-,所以23111x y x x +==+--,又301x ≠- 所以3111y x =+≠-,故函数的值域为()()-11∞+∞,, 16.【解析】2331212x y x x x x==++++()1x ≠-,因为0x <,所以1220x x ++≤-=,当且仅当1x =-时“=”号成立, 因为1x ≠-,所以函数2321xy x x =++的值域是{|0}y y <,故答案为{|0}y y <. 17.【解析】要使函数有意义,则540x -≠,解得54x ≠. 所以原函数的定义域是5{|}4x x ≠.32112813(45)233235445445444(54x x x y x x x x ++-+==⨯=⨯=-+---⨯-),因为540x -≠,所以10(54x ≠-),即2304(54x ≠⨯-),所以34y ≠-,即值域为3{|}4y y ≠-.18.【解析】令t =()0t ≥,则212t x -=.∴原函数可化为22151()24y t t t =-++=--+. ∵当12t =,即38x =时,max 54y =;且原函数无最小值.故原函数的值域为5,4⎛⎤-∞ ⎥⎝⎦.19.【解析】(1)因为2224y x x =+-22(1)5x =+-,所以22(1)50x y +=+≥, 所以250y y +≥,所以(52)00y y y +≥⎧⎨≠⎩,所以0y >或25y ≤-, 所以函数2224y x x =+-的值域为2,(0,)5⎛⎤-∞-⋃+∞ ⎥⎝⎦. (2)因为2223x x y x++=2321x x =++21123()33x =++23≥,所以函数2223x x y x ++=的值域为2,3⎡⎫+∞⎪⎢⎣⎭. (3)因为234x x y x-+=43x x =+-, 所以当0x >时,3431y ≥=-=,当且仅当2x =时,等号成立, 当0x <时,4()3y x x =--+--3≤-437=--=-,当且仅当2x =-时,等号成立,所以函数234x x y x-+=的值域为(][,7,)1-∞-+∞.(4)2331212x y x x x==--,当[2,4]x ∈时,函数为递减函数,所以2x =时,y 取得最大值,最大值为23262217⨯=⨯-,当4x =时,y 取得最小值,最小值为2341224131⨯=⨯-, 所以函数23,[2,4]21xy x x =∈-的值域为126[,]317. (5)由211x y x x +=++得2(1)10yx y x y +-+-=, 当0y =时,方程的根为1x =-,当0y ≠时,根据关于x 的一元二次方程有解,得2(1)4(1)0y y y ∆=---≥,即23210y y --≤,解得103y -≤<或01y <≤, 综上可得函数211x y x x +=++的值域为1,13⎡⎤-⎢⎥⎣⎦. (6)由22211x x y x x --=++得2(2)(1)10y x y x y -++++=,当2y =时,方程的根为1x =-,当2y ≠时,根据一元二次方程有解得2(1)4(2)(1)0y y y ∆=+--+≥,即2230y y --≤,解得12y -≤<或23y <≤,综上可得函数211x y x x +=++的值域为[1,3]-. 20.【解析】(1)当1a =时,2243(2)111()3333xx x f x -+---===, ∴函数()f x 的值域为1[3,)+∞.(2)令243t ax x =-+,当0a 时,t 无最大值,不合题意; 当0a <时,222443()3t ax x a x a a =-+=--+,43t a∴-,又()3tf t =在R 上单调递增,434()33813t a f x -∴===,434a∴-=,4a ∴=-.21.【解析】(1)令2x t = ,[]0,2x ∈ ,[]1,4t ∴∈()1425x x f x -=-+,∴()()221152444g t t t t =-+=-+[]1,4t ∈ ,()[]4,5g t ∴∈,()f x ∴的值域为[]4,5.(2)()227f x m am <-+对任意0,2m都成立∴()2max 275m am f x -+>=,即2275m am -+>,故2220m am -+>(]0,2m ∈,由2220m am -+>,可转化为:22a m m <+,可得22m a m+>224m m +≥=,当且仅当1m =取等号,∴4a < 22.【解析】(1)∵()f x 是R 上的奇函数,∴()()f x f x -=-即:242422x x x x a a a aa a a a ---+-+=-++.即2(4)2422x x x xa a a a a a a a+-+⋅-+-=+⋅+ 整理可得2a =.(2)222212()12222121x x x x x f x ⋅--===-⋅+++在R 上递增 ∵211x +>,22021x ∴-<-<+,211121x∴-<-<+ ∴函数()f x 的值域为()1,1-. (3)由()220xmf x +->可得,()2 2xmf x >-,21()2221x x x mf x m -=>-+.当[]1,2x ∈时,(21)(22)21x x x m +->-令(2113)xt t -=≤≤),则有(2)(1)21t t m t t t+->=-+,函数21y t t=-+在1≤t ≤3上为增函数,∴max 210(1)3t t -+=,103m ∴>,故实数m 的取值范围为(10,3)+∞。
函数与方程基础练一、选择题1.[2021·河南濮阳模拟]函数f (x )=ln2x -1的零点所在区间为( )A .(2,3)B .(3,4)C .(0,1)D .(1,2)2.函数f (x )=x 2+ln x -2021的零点个数是( )A .3B .2C .1D .03.根据表中的数据,可以判定方程e x -x -2=0的一个根所在的区间为( )A.(-1,0) B .C .(1,2) D .(2,3)4.[2021·四川绵阳模拟]函数f (x )=2x -2x-a 的一个零点在区间(1,2)内,则实数a 的取值范围是( )A .(1,3)B .(1,2)C .(0,3)D .(0,2)5.[2021·大同调研]已知函数f (x )=⎩⎪⎨⎪⎧ log 2x ,x >03x ,x ≤0,且函数h (x )=f (x )+x -a 有且只有一个零点,则实数a 的取值范围是( )A .[1,+∞)B .(1,+∞)C .(-∞,1)D .(-∞,1]二、填空题6.已知函数f (x )=23x +1+a 的零点为1,则实数a 的值为________. 7.[2021·新疆适应性检测]设a ∈Z ,函数f (x )=e x +x -a ,若x ∈(-1,1)时,函数有零点,则a 的取值个数为________.8.若函数f (x )=⎩⎪⎨⎪⎧2x -a ,x ≤0,ln x ,x >0有两个不同的零点,则实数a 的取值范围是________. 三、解答题9.设函数f (x )=ax 2+bx +b -1(a ≠0).(1)当a =1,b =-2时,求函数f (x )的零点;(2)若对任意b ∈R ,函数f (x )恒有两个不同的零点,求实数a 的取值范围.10.已知函数f (x )=ax 2+bx +c (a ≠0),满足f (0)=2,f (x +1)-f (x )=2x -1.(1)求函数f (x )的解析式;(2)若函数g (x )=f (x )-mx 的两个零点分别在区间(-1,2)和(2,4)内,求m 的取值范围.能力练11.[2021·天津部分区质量调查]已知函数f (x )=若关于x 的方程f (x )=m (m ∈R )恰有三个不同的实数根a ,b ,c ,则a +b +c 的取值范围是( )A.⎝⎛⎭⎫12,1B.⎝⎛⎭⎫34,1C.⎝⎛⎭⎫34,2D.⎝⎛⎭⎫32,212.[2021·长沙市四校高三年级模拟考试]已知函数f (x )=⎩⎪⎨⎪⎧|x 2+2x |,x ≤01x ,x >0,若方程f (x )=a (x +3)有四个不同的实数根,则实数a 的取值范围是( )A .(-∞,4-23)B .(4-23,4+23)C .(0,4-23]D .(0,4-23)13.[2021·山西省六校高三阶段性测试]函数y =5sin ⎝⎛⎭⎫π5x +π5(-15≤x ≤10)的图象与函数y=5(x +1)x 2+2x +2图象的所有交点的横坐标之和为______.参考答案:1.解析:由f (x )=ln2x -1,得函数是增函数,并且是连续函数,f (1)=ln2-1<0,f (2)=ln4-1>0,根据函数零点存在性定理可得,函数f (x )的零点位于区间(1,2)上,故选D.答案:D2.解析:由题意知x >0,由f (x )=0得ln x =2021-x 2,画出函数y =ln x 与函数y =2021-x 2的图象(图略),即可知它们只有一个交点.故选C.答案:C3.解析:设f (x )=e x -(x +2),则f (1)=-0.28<0,f (2)=3.39>0,故方程e x -x -2=0的一个根在区间(1,2)内.故选C.答案:C4.解析:由题意,知函数f (x )在(1,2)上单调递增,又函数的一个零点在区间(1,2)内,所以⎩⎪⎨⎪⎧ f (1)<0,f (2)>0,即⎩⎪⎨⎪⎧-a <0,4-1-a >0,解得0<a <3,故选C 项. 答案:C5.解析:h (x )=f (x )+x -a 有且只有一个零点,即方程f (x )+x -a =0有且只有一个实根,即f (x )=-x +a 有且只有一个实根,即函数y =f (x )的图象与直线y =-x +a 有且只有一个交点.在同一坐标系中作出函数f (x )的图象和直线y =-x +a ,如图所示,若函数y =f (x )的图象与直线y =-x +a 有且只有一个交点,则有a >1,故选B.答案:B 6.解析:由已知得f (1)=0,即231+1+a =0,解得a =-12. 答案:-127.解析:根据函数解析式得到函数f (x )是单调递增的.由零点存在性定理知若x ∈(-1,1)时,函数有零点,需要满足⎩⎪⎨⎪⎧f (-1)<0,f (1)>0⇒1e -1<a <e +1,因为a 是整数,故可得a 的可能取值为0,1,2,3.答案:48.解析:当x >0时,由f (x )=ln x =0,得x =1.因为函数f (x )有两个不同的零点,则当x ≤0时,函数f (x )=2x -a 有一个零点.令f (x )=0,得a =2x .因为0<2x ≤20=1,所以0<a ≤1,所以实数a 的取值范围是(0,1].答案:(0,1]9.解析:(1)当a =1,b =-2时,f (x )=x 2-2x -3,令f (x )=0,得x =3或x =-1. 所以函数f (x )的零点为3和-1.(2)依题意,f (x )=ax 2+bx +b -1=0有两个不同的实根,所以b 2-4a (b -1)>0恒成立,即对于任意b ∈R ,b 2-4ab +4a >0恒成立,所以有(-4a )2-4×(4a )<0⇒a 2-a <0,解得0<a <1,因此实数a 的取值范围是(0,1).10.解析:(1)由f (0)=2得c =2,又f (x +1)-f (x )=2x -1,得2ax +a +b =2x -1,故⎩⎪⎨⎪⎧2a =2,a +b =-1,解得a =1,b =-2,所以f (x )=x 2-2x +2. (2)g (x )=x 2-(2+m )x +2,若g (x )的两个零点分别在区间(-1,2)和(2,4)内,则满足⎩⎪⎨⎪⎧ g (-1)>0,g (2)<0,g (4)>0⇒⎩⎪⎨⎪⎧ 5+m >0,2-2m <0,10-4m >0,解得1<m <52.所以m 的取值范围为⎝⎛⎭⎫1,52. 11.解析:假设a <b <c ,通过作图可得a ∈⎝⎛⎭⎫-12,0,b +c =2,所以a +b +c ∈⎝⎛⎭⎫32,2,故选D 项.答案:D12.解析:方程f (x )=a (x +3)有四个不同的实数根可化为函数y =f (x )与y =a (x +3)的图象有四个不同的交点,易知直线y =a (x +3)恒过点(-3,0),作出函数y =f (x )的大致图象如图所示,结合函数图象,可知a >0且直线y =a (x +3)与曲线y =-x 2-2x ,x ∈[-2,0]有两个不同的公共点,所以方程x 2+(2+a )x +3a =0在[-2,0]上有两个不等的实数根,令g (x )=x 2+(2+a )x +3a ,则实数a 满足⎩⎪⎨⎪⎧ Δ=(2+a )2-12a >0-2<-2+a 2<0g (0)=3a ≥0g (-2)=a ≥0,解得0≤a <4-23,又a >0,所以实数a 的取值范围是(0,4-23),故选D.答案:D 13.解析:函数y =5sin ⎝⎛⎭⎫π5x +π5(x ∈R )的图象关于点(-1,0)对称.对于函数y =5(x +1)x 2+2x +2,当x =-1时,y =0,当x ≠-1时,易知函数y =5(x +1)x 2+2x +2=5x +1+1x +1在(-1,0)上单调递增,在(0,+∞)上单调递减,且当x ∈(-1,+∞)时,y =5(x +1)x 2+2x +2的最大值为52,函数图象关于点(-1,0)对称.对于函数y =5sin ⎝⎛⎭⎫π5x +π5,当x =0时,y =5sin π5>5sin π6=52,所以在(-1,0)内两函数图象有一个交点.根据两函数图象均关于点(-1,0)对称.可知两函数图象的交点关于点(-1,0)对称,画出两函数在[-15,10]上的大致图象,如图,得到所有交点的横坐标之和为-1+(-2)×3=-7.答案:-7。
2019-2020年高三数学一轮复习 专项训练 函数(含解析)1.记f (x )=lg(2x -3)的定义域为集合M ,函数g (x )=1-2x -1的定义域为集合N ,求: (1)集合M ,N ;(2)集合M ∩N ,M ∪N .解 (1)M ={x |2x -3>0}=⎩⎨⎧⎭⎬⎫x ⎪⎪ x >32, N =⎩⎪⎨⎪⎧⎭⎪⎬⎪⎫x ⎪⎪ 1-2x -1≥0=⎩⎪⎨⎪⎧⎭⎪⎬⎪⎫x ⎪⎪⎪ x -3x -1≥0={x |x ≥3,或x <1}. (2)M ∩N ={x |x ≥3},M ∪N =⎩⎨⎧⎭⎬⎫x ⎪⎪ x <1或x >32. 2.二次函数f (x )满足f (x +1)-f (x )=2x ,且f (0)=1.(1)求f (x )的解析式;(2)在区间[-1,1]上,函数y =f (x )的图象恒在直线y =2x +m 的上方,试确定实数m 的取值范围. 解 (1)由f (0)=1,可设f (x )=ax 2+bx +1(a ≠0),故f (x +1)-f (x )=a (x +1)2+b (x +1)+1-(ax 2+bx+1)=2ax +a +b ,由题意,得⎩⎪⎨⎪⎧ 2a =2,a +b =0,解得⎩⎪⎨⎪⎧a =1,b =-1, 故f (x )=x 2-x +1.(2)由题意,得x 2-x +1>2x +m ,即x 2-3x +1>m ,对x ∈[-1,1]恒成立.令g (x )=x 2-3x +1,则问题可转化为g (x )min >m ,又因为g (x )在[-1,1]上递减, 所以g (x )min =g (1)=-1,故m <-1.3.下列函数中,既是偶函数又在(0,+∞)内单调递减的函数是( ).A .y =x 2B .y =|x |+1C .y =-lg|x |D .y =2|x | 解析 对于C 中函数,当x >0时,y =-lg x ,故为(0,+∞)上的减函数,且y =-lg |x |为偶函数. 答案 C4、设函数y =x 2-2x ,x ∈[-2,a ],若函数的最小值为g (a ),求g (a )的表达式。
第十讲 函数的综合运用考向一新概念题【例1】对于实数a 和b ,定义运算“*”:a *b =⎩⎪⎨⎪⎧a 2-ab ,a ≤b ,b 2-ab ,a >b .设f (x )=(2x -1)*(x -1),且关于x 的方程f (x )=m (m ∈R)恰有三个互不相等的实数根x 1,x 2,x 3,则x 1x 2x 3的取值范围是________.【答案】 ⎝ ⎛⎭⎪⎫1-316,0【解析】 函数f (x )=⎩⎪⎨⎪⎧2x 2-x ,x ≤0,-x 2+x ,x >0的图象如图所示.设y =m 与y =f (x )图象交点的横坐标从小到大分别为x 1,x 2,x 3.由y =-x 2+x =-⎝ ⎛⎭⎪⎫x -122+14,得顶点坐标为⎝ ⎛⎭⎪⎫12,14.当y =14时,代入y =2x 2-x ,得14=2x 2-x ,解得x =1-34(舍去正值),∴x 1∈⎝ ⎛⎭⎪⎫1-34,0.又∵y =-x 2+x 图象的对称轴为x =12,∴x 2+x 3=1,又x 2,x 3>0,∴0<x 2x 3<⎝ ⎛⎭⎪⎫x 2+x 322=14.又∵0<-x 1<3-14,∴0<-x 1x 2x 3<3-116,∴1-316<x 1x 2x 3<0. 【举一反三】1.设f (x )与g (x )是定义在同一区间[a ,b ]上的两个函数,若函数y =f (x )-g (x )在x ∈[a ,b ]上有两个不同的零点,则称f (x )和g (x )在[a ,b ]上是“关联函数”,区间[a ,b ]称为“关联区间”.若f (x )=x 2-3x +4与g (x )=2x +m 在[0,3]上是“关联函数”,则m 的取值范围为( )A .]2,49(--B .[-1,0]C .(-∞,-2]D .),49(+∞-【答案】A【解析】令F (x )=f (x )-g (x )=x 2-3x +4-(2x +m )=x 2-5x +4-m ,则由题意知F (x )=0在[0,3]上有两个不同的实数根,因而2(0)0(3)054(4)0F F m ⎧≥⎪⎪≥⎨⎪∆=-->⎪⎩,即402049m m m -≥⎧⎪--≥⎨⎪>-⎩,解之得-94<m ≤-2,故选A考向二函数性质与零点定理综合运用【例2】已知偶函数 满足 ,当0 时, ,则函数 在区间 内的零点个数为。
高三数学一轮复习典型题专题训练:函数(含解析)1.函数y=log7(x^2-4x+3)的定义域为(x3)。
2.若函数f(x)=a+x是奇函数,则实数a的值为0.3.函数f(x)=lg(2-x)+2+x的定义域是(x<2)。
4.已知8a=2,loga(x)=3a,则实数x=64.5.已知奇函数y=f(x)是R上的单调函数,若函数g(x)=f(x)+f(a-x^2)只有一个零点,则实数a的值为1.6.已知函数f(x)=(x+m)e^(x/2-(m+1)/2)在R上单调递增,则实数m的取值集合为(m>-1)。
7.已知函数f(x)为偶函数,且x>0时,f(x)=x+x,则f(-1)=2.8.已知函数f(x)=(x-1)(px+q)为偶函数,且在(0,+∞)单调递减,则f(x-3)<0的解集为(x∈(1,3))。
9.函数y=1-lnx的定义域为(x>0)。
10.已知函数f(x)=logx,x>2或3x-4,xa的解集为(x∈(e^(a+1)/3.+∞)),实数a的所有可能值之和为(e^2-1)/2.11.已知y=f(x)为定义在R上的奇函数,且当x>0时,f(x)=ex+1,则f(-ln2)=1/e。
12.函数有3个不同的零点,则实数a的取值范围为(a∈(-∞,1/3)或(1.+∞))。
13.已知a,b∈R,函数f(x)=(x-2)(ax+b)为偶函数,且在(0,+∞)上是减函数,则关于x的不等式f(2-x)>0的解集为(x∈(0,2-b/a)∪(2+b/a,+∞))。
14.设函数f(x)=2x^2,x≤0,-x^2+2x,x>0,则实数k的取值范围为(k∈(-∞,2))。
15.已知函数f(x)=若存在唯一的整数x,-3|x-1|+3,x>0.要使得f(x)-a>0成立,即要求f(x)>a,因为f(x)是整数,所以a的取值范围为a≤2.16.已知函数f(x)=x+(a−1)lnx,当x∈[1,3]时,函数f(x)的值域为[f(1),f(3)]。
《函数的图像及其应用》(一)“、In lx+ 111.函数/(工)=1一廿的部分图象大致是(A. ~~1 1B. ——C.2.函数/.-)=" 一"卜|的图象大致为().X 3- tLB- J L C- 73.函数/(]) =炉一cosx的部分图象大致为(] .1/A. J tB.弋J/ . EC.产力今4.函数y =,T)2kl的图像大致是()*朱,出。
,3 ccs X + 15.函数= 一的部分图象大致是(XA. \y:B. \j\ ^\t c-X36.函数/(x) = 4—的图象大致是()e +1A B. C. 1) T D. f」A )\ z /D-:-f 1飞I 1 f).〜卜D、J 〔[y,Z\[0 » d \J Q B Q "zh考查内容:主要涉及画函数图像、函数图像的识别选择题(在每小题给出的四个选项中,只有一项是符合题目要求的)2021届高三一轮复习题型专题训练一1 O9 .已知函数/(x ) = Lf+cosx, f (x )是函数的导函数,则/'(x )的图象大致 410 .下图可能是下列哪个函数的数像()H.某市出租车起步价为5元(起步价内行驶里程为3 km ),以后每1km 价为1.8元(不足1 km 按1 km 计价),则乘坐出租车的费用y (元)与行驶的里程x (km )之间的函数图像 大致为()ax + b的图象如图所示,则下列结论成立的是()7. 已知则函数II )的图象是(8. )函数y = /(x )的图象如图所示,则.fa )的解析式是(A.,/一27 + 1D. x 2-2lxl+lB.x(x-2) ln|x-l|D. y = tanxln(x+l)是().C. y = x 2 ln|x-l|A.B.填空题14 .某人开车去某地旅行,先沿直线匀速前进了a km,到达目的地后游玩了一段时间,又原路返回匀速行驶了 6km (0v 。
江苏省2015年高考一轮复习备考试题函数一、填空题1、(2014年江苏高考)已知函数1)(2-+=mx x x f ,若对于任意]1,[+∈m m x ,都有0)(<x f 成立,则实数m 的取值范围是 ▲ .2、(2014年江苏高考)已知)(f x 是定义在R 上且周期为3的函数,当)3,0[x 时,|212|)(2+-=x x x f a x f -=)(y 在区间]4,3[-上有10个零点(互不相同),则实数a 的取值范围是 ▲ . 3、(2013年江苏高考)已知)(x f 是定义在R 上的奇函数。
当0>x 时,x x x f 4)(2-=,则不等式x x f >)(的解集用区间表示为 。
4、(2012年江苏高考)函数x x f 6log 21)(-=的定义域为 ▲ .5、(2012年江苏省高考)设()f x 是定义在R 上且周期为2的函数,在区间[11]-,上,0111()201x x ax f x bx x <+-⎧⎪=+⎨⎪+⎩≤≤≤,,,,其中a b ∈R ,.若1322f f ⎛⎫⎛⎫= ⎪ ⎪⎝⎭⎝⎭,则3a b +的值为 ▲ . 6、(2012年江苏省5分)已知函数2()()f x x ax b a b =++∈R ,的值域为[0)+∞,,若关于x 的不等式()f x c <的解集为(6)m m +,,则实数c 的值为 ▲ .7、(2015届江苏南京高三9月调研)设f (x )=x 2-3x +a .若函数f (x )在区间(1,3)内有零点,则实数a 的取值范围为 ▲8、(2015届江苏南通市直中学高三9月调研)已知函数23 1 ()x a x f x x a x ⎧+>⎪=⎨+⎪⎩≤,,,1,若()f x 在R 上为增函数,则实数a 的取值范围是 ▲9、(2015届江苏苏州高三9月调研)已知函数()2log 1a x f x x-=+为奇函数,则实数a 的值为 ▲ 10、(南京市2014届高三第三次模拟)已知函数f (x )=⎩⎨⎧x ,x ≥0,x 2,x <0, ,则关于x 的不等式f (x 2)>f (3-2x )的解集是 ▲11、(南通市2014届高三第三次调研)已知函数()f x 对任意的x ∈R 满足()()f x f x -=,且当0x ≥时,2()1f x x ax =-+.若()f x 有4个零点,则实数a 的取值范围是 ▲ .112、(苏锡常镇四市2014届高三5月调研(二))函数y =A ,函数()lg 2y x =-的定义域为B ,则A I B = ▲13、(苏锡常镇四市2014届高三5月调研(二))已知奇函数()f x 是R 上的单调函数,若函数2()()y f x f k x =+-只有一个零点,则实数k 的值是 ▲ .14、(徐州市2014届高三第三次模拟)已知函数()f x 是定义在R 上的奇函数,且当0x ≤时,2()3f x x x =--,则不等式(1)4f x x ->-+的解集是 ▲15、(徐州市2014届高三第三次模拟)已知函数1()()e x af x a x=-∈R .若存在实数m ,n , 使得()0f x ≥的解集恰为[],m n ,则a 的取值范围是 ▲16、(南京、盐城市2014届高三第二次模拟(淮安三模))函数f (x )=ln x +1-x 的定义域为 ▲ 17、(南京、盐城市2014届高三第二次模拟(淮安三模))已知f (x )是定义在R 上的奇函数,当0≤x≤1时,f (x )=x 2,当x >0时,f (x +1)=f (x )+f (1).若直线y =kx 与函数y =f (x )的图象恰有5个不同的公共点,则实数k 的值为 ▲ 18、(2014江苏百校联考一)函数1()2sin(),[2,4]1f x x x xπ=-∈--的所有零点之和为 .19、(南京、盐城市2014高三第一次模拟)若函数()f x 是定义在R 上的偶函数,且在区间[0.)+∞上是单调增函数.如果实数t 满足1(ln )(ln )2(1)f t f f t+<时,那么t 的取值范围是 20、(苏锡常镇四市2014届高三3月调研(一))已知函数22(2)e ,0,()43,0,x x x x f x x x x ⎧-=⎨-++>⎩≤()()2g x f x k =+,若函数()g x 恰有两个不同的零点,则实数k 的取值范围为 ▲ 21、(南通市2014届高三上学期期末考试)设函数()y f x =是定义域为R ,周期为2的周期函数,且当[)11x ∈-,时,2()1f x x =-;已知函数lg ||0()10x x g x x ≠⎧⎪=⎨=⎪⎩,,,. 则函数()f x 和()g x 的图象在区间[]510-,内公共点的个数为 . 22、(苏州市2014届高三1月第一次调研)已知22(0),()(0)x x x f x x x x ⎧+⎪=⎨-+<⎪⎩≥,则不等式2(1)12f x x -+<的解集是 ▲23、(泰州市2014届高三上学期期末考试)设函数()()f x x a x a b =--+(,a b 都是实数).则下列叙述中,正确的序号是 ▲ .(请把所有叙述正确的序号都填上) ①对任意实数,a b ,函数()y f x =在R 上是单调函数; ②存在实数,a b ,函数()y f x =在R 上不是单调函数; ③对任意实数,a b ,函数()y f x =的图像都是中心对称图形; ④存在实数,a b ,使得函数()y f x =的图像不是中心对称图形. 24、(江苏省扬州中学2014届高三上学期12月月考)设12()1f x x=+,11()[()]n n f x f f x +=,且(0)1(0)2n n n f a f -=+,则2014a = ▲25、、(江苏省诚贤中学2014届高三12月月考)在用二分法...求方程3210x x --=的一个近似解时,现在已经将一根锁定在区间(1,2),则下一步可断定该根所在的区间为 ▲ . 26、(江苏省东海县第二中学2014届高三第三次学情调研)已知函数ln (),()xf x kxg x x==,如果关于x 的方程()()f x g x =在区间1[,]e e内有两个实数解,那么实数k 的取值范围是 ▲ .27、(江苏省阜宁中学2014届高三第三次调研)已知函数()()2log ,12,01x x f x f x x ⎧⎪=⎨<<⎪⎩≥,则()3212f ⎡⎤⎢⎥⎢⎥⎣⎦= ▲28、(无锡市2014届高三上学期期中)定义在R 上的奇函数()f x ,当0x ≥时,2log (1)(01)()|3|1(1)x x f x x x +≤<⎧=⎨--≥⎩,则函数1()()2g x f x =-的所有零点之和为_____。
函数的图像1、 (2013·山东卷)函数y =x cos x +sin x 的图象大致为( ).解析 函数y =x cos x +sin x 在x =π时为负,排除A ;易知函数为奇函数,图象关于原点对称, 排除B ;再比较C ,D ,不难发现当x 取接近于0的正数时y >0,排除C. 答案 D2、函数y =x sin x 在[-π,π]上的图象是( ).解析 容易判断函数y =x sin x 为偶函数,可排除D.当0<x <π2时,y =x sin x >0,当x =π时,y =0,可排除B ,C ,故选A.答案:A3、函数y =x +cos x 的大致图象是( ).解析:∵y ′=1-sin x ≥0,∴函数y =x +cos x 为增函数,排除C.又当x =0时,y =1,排除A ,当x =π2时,y =π2,排除D ,故选B.答案:B4、函数y =log 2(|x |+1)的图象大致是( ).解析 当x >0时,y =log 2(x +1),先画出y =log 2x 的图象,再将图象向左平移1个单位,最后作出关于y 轴对称的图象,得与之相符的图象为B. 答案 B5、已知函数f (x )=|x 2-4x +3|.(1)求函数f (x )的单调区间,并指出其增减性;(2)求集合M ={m |使方程f (x )=m 有四个不相等的实根}.解 f (x )=⎩⎪⎨⎪⎧x -22-1,x ∈-∞,1]∪[3,+∞,-x -22+1,x ∈1,3,作出函数图象如图.(1)函数的增区间为[1,2],[3,+∞);函数的减区间为(-∞,1],[2,3].(2)在同一坐标系中作出y =f (x )和y =m 的图象,使两函数图象有四个不同的交点(如图).由图知0<m <1,∴M ={m |0<m <1}.6.(2013·青岛一模)函数y =21-x的大致图象为( ).解析 y =21-x=⎝ ⎛⎭⎪⎫12x -1,因为0<12<1,所以y =⎝ ⎛⎭⎪⎫12x -1为减函数,取x =0时,则y =2,故选A.答案 A7.(2013·福建卷)函数f (x )=ln(x 2+1)的图象大致是( ).解析 函数f (x )=ln(x 2+1)的定义域为(-∞,+∞),又因为f (-x )=f (x ),故f (x )为偶函数且f (0)=ln 1=0,综上选A.答案 A8.(2014·日照一模)函数f (x )=lg(|x |-1)的大致图象是( ).解析 易知f (x )为偶函数,故只考虑x >0时f (x )=lg(x -1)的图象,将函数y =lg x 图象向x 轴正方向平移一个单位得到f (x )=lg(x -1)的图象,再根据偶函数性质得到f (x )的图象. 答案 B9.函数y =(x -1)3+1的图象的对称中心是________.解析 y =x 3的图象的对称中心是(0,0),将y =x 3的图象向上平移1个单位,再向右平移1个单位,即得y =(x -1)3+1的图象,所以对称中心为(1,1). 答案 (1,1)10.已知函数f (x )=⎩⎪⎨⎪⎧log 2xx >0,2xx ≤0,且关于x 的方程f (x )-a =0有两个实根,则实数a 的范围是________.解析 当x ≤0时,0<2x≤1,所以由图象可知要使方程f (x )-a =0有两个实根,即f (x )=a 有两个交点,所以由图象可知0<a ≤1.答案 (0,1]11.已知函数f (x )=x1+x.(1)画出f (x )的草图;(2)指出f (x )的单调区间.解 (1)f (x )=x 1+x =1-1x +1,函数f (x )的图象是由反比例函数y =-1x的图象向左平移1个单位后,再向上平移1个单位得到,图象如图所示.(2)由图象可以看出,函数f (x )的单调递增区间为(-∞,-1),(-1,+∞).12.设函数f (x )=x +1x的图象为C 1,C 1关于点A (2,1)对称的图象为C 2,C 2对应的函数为g (x ).(1)求g (x )的解析式;(2)若直线y =m 与C 2只有一个交点,求m 的值和交点坐标.解 (1)设点P (x ,y )是C 2上的任意一点,则P (x ,y )关于点A (2,1)对称的点为P ′(4-x,2-y ),代入f (x )=x +1x ,可得2-y =4-x +14-x ,即y =x -2+1x -4,∴g (x )=x -2+1x -4. (2)由⎩⎪⎨⎪⎧y =m ,y =x -2+1x -4,消去y 得x 2-(m +6)x +4m +9=0,Δ=[-(m +6)]2-4(4m +9),∵直线y =m 与C 2只有一个交点, ∴Δ=0,解得m =0或m =4.当m =0时,经检验合理,交点为(3,0); 当m =4时,经检验合理,交点为(5,4).13.函数f (x )是定义在[-4,4]上的偶函数,其在[0,4]上的图象如图所示,那么不等式f xcos x<0的解集为( ).A.⎩⎨⎧⎭⎬⎫x |-π2<x <-1B.⎩⎨⎧⎭⎬⎫x |1<x <π2 C.⎩⎨⎧⎭⎬⎫x |-π2<x <-1,或1<x <π2 D .{x |-1<x <1}解析 当x ∈(0,1)时,cos x >0,f (x )>0;当x ∈⎝⎛⎭⎪⎫1,π2时,cos x >0,f (x )<0; 当x ∈⎝⎛⎭⎪⎫π2,4时,cos x <0,f (x )<0, 当x ∈(-1,0)时,cos x >0,f (x )>0;当x ∈⎝ ⎛⎭⎪⎫-π2,-1时,cos x >0,f (x )<0; 当x ∈⎝ ⎛⎭⎪⎫-4,-π2时,cos x <0,f (x )<0.故不等式f xcos x<0的解集为⎩⎪⎨⎪⎧⎭⎪⎬⎪⎫x ⎪⎪⎪-π2<x <-1,或1<x <π2. 答案 C14.已知函数f (x )=|x 2-4x +3|.若关于x 的方程f (x )-a =x 至少有三个不相等的实数根,求实数a 的取值范围.解 f (x )=⎩⎪⎨⎪⎧x -22-1,x ∈-∞,1]∪[3,+∞-x -22+1,x ∈1,3作出图象如图所示.原方程变形为 |x 2-4x +3|=x +a .于是,设y =x +a ,在同一坐标系下再作出y =x +a 的图象.如图.则当直线y =x +a 过点(1,0)时a =-1;当直线y =x +a 与抛物线y =-x 2+4x -3相切时,由⎩⎪⎨⎪⎧y =x +a ,y =-x 2+4x -3⇒x 2-3x +a +3=0.由Δ=9-4(3+a )=0,得a =-34.由图象知当a ∈⎣⎢⎡⎦⎥⎤-1,-34时方程至少有三个不等实根.。
高三数学函数专题训练题(附详解)第1卷(选择题)一、单选题1. 已知定义在R 上的可导函数f(x)的导函数为f(x),满足f '(x) < f(x),且f(-x) = f(2+x),f(2)=1,则不等式f(x)< e x 的解集为( ) A.(-∞,2) B.(2,+∞) C.(1,+∞) D.(0,+∞)2. 函数y=sinx+2|sinx|,x ∈[0,2x]的图像与直线y=k 有且仅有两个不同的交点,则k 的取值范围为( )A. k ∈ [0,3]B. k ∈ [1,3]C. k ∈(1,3)D. k ∈(0,3) 3. 已知sina 1+cosa= 2,则 tana =( )A. - 43B. - 34C. 43D. 24. 定义在R 上的奇函数f(x)满足f(x+4) = f(x),当x ∈(0,2)时,f(x)=3x -1,则f(2022)+f(2023)=( )A. -2023B. -1C. 1D. 32022 5. 设a=log 20.3,b=0.2,c=(12)0.2,则a,b,c 三者的大小关系为( ) A. a<b<c B. c<a<b C. b<c<a D. a<c<b6. 设函数f(x)(x ∈R)的导函数为f '(x),满足f '(x)>f(x),则当a>0时,f(a)与e a f(0)的大小关系为( )A. f(a)>e a f(0)B. f(a)<e a f(0)C. f(a)=e a f(0)D. 不能确定7. 已知f(x)=2x2x +1+ax+cos2x ,若f (π3)=2,则f(-π3)等于( )A. -2B. -1C. 0D. 18. 已知函数f(x)=√3sin(ωx+φ)(ω>0,-π2<φ<π2),A (13,0)为f(x)图像的对称中心,B 、C 是该图像上相邻的最高点和最低点,且|BC|=4,则下列结论正确的是( ) A. 函数f(x)的对称轴方程为x=43+4k(k ∈Z)B. 若函数f(x )在区间(0,m)内有5个零点,则在此区间内f(x )有且只有2个极小值点C. 函数f(x )在区间(0,2)上单调递增D. f(x -π3)的图象关于y 轴对称9. 已知函数f(x)={|x|x+4√x 36−x,−4<x<2,2≤x<6,若方程f(x)+αx 2=0有5个不等实根,则实数α的取值范围是( )A. (-∞,- √24) ∪ {- 13}B. [- 13,- 14] C. [13,√24] D. ( √24,+∞)∪ { 13} 10. 已知F 1,F 2分别为双曲线x 2-y 23=1的左、右焦点,直线l 过点F 2,且与双曲线右支交于A ,B 两点,O 为坐标原点,△AF 1F 2、△BF 1F 2的内切圆的圆心分别为O 1,O 2,则△OO 1O 2面积的取值范围是( ) A. (1,2√33) B. [1,2√33)C. [1,2√33] D. (1,2√33] 11. 设定义在R 上的函数f(x)与g(x)的导函数分别为f '(x)和g'(x),若g(x)-f(3-x)=2,f '(x)=g'(x-1),且g(x+2)为奇函数,g(1)=1。
高三数学一轮复习《函数的概念与性质》练习题 (含答案)函数的概念及其表示一、单选题1.函数11y x =-的定义域是( )A. (0,2]B. (,1)(1,2]-∞⋃C. (1,)+∞D. [1,2]2.设函数21,1()2,1x x f x x x ⎧+≤⎪=⎨>⎪⎩,则[(3)]f f =( )A .15 B.3 C. 23 D. 1393.已知函数f (x +1)=3x +2,则f (x )的解析式( )A.3x -1B. 3x +1C. 3x +2D. 3x +44.下列各对函数表示同一函数的是( )(1) ()f x x =与2()g x =;(2) ()2f x x =-与()g x =(3) 2()(0)f x x x π=≥与2()(0)g r r r π=≥; (4) ()f x x =与,0(),0x x g x x x ≥⎧=⎨-<⎩.A.(1)(2)(4)B.(2)(4)C.(3)(4)D.(1)(2)(3)(4)5.已知函数y = f (x )的定义域是[-2,3], 则y =f (2x -1)的定义域是() A. 5[0,]2 B. [1,4]- C. 1[,2]2- D. [5,5]-6.已知函数221,0()3,0x x f x x x +≥⎧=⎨<⎩,且0()3f x =,则实数0x 的值为( )A.-1B.1C.-1或1D.-1或-3二、多选题7.关于函数y =f (x ),以下说法正确的是( )A.y 是关于x 的函数B.对于不同的x ,y 的值也不同C.f (a )表示当x =a 时函数f (x )的值,是一个常量D.f (x )一定可以用一个具体的式子表示出来8.若函数2(),(,0)(0,)1x f x x x =∈-∞⋃+∞+,则下列等式成立的是( ) A. 1()()f x f x = B. 1()()f x f x -= C.11()()f f x x = D. ()()f x f x -=- 三、填空题9.已知函数()1f x ax =+,且(2)1f =-,则(2)f -=_______.10.若函数2(21)2f x x x +=-,则(3)f =_______,()f x =___________.11.已知函数22,2()21,2x ax x f x x x ⎧+≥=⎨+<⎩,若[(1)]0f f >,则实数a 的取值范围是___________.函数的基本性质一、单选题1. 下列函数中,值域为(,0)-∞的是( )A. 2y x =-B. 131()3y x x =-<C. 1y x =D. y =2.下列函数是偶函数,且在(,0]-∞上是增函数的是( )A .1y x =- B. 2()f x x = C. 3y x = D. ,0,0x x y x x -≥⎧=⎨<⎩3.已知()f x 是实数集上的偶函数,且在区间[0,)+∞上是增函数,则(2)f -,()f π-,(3)f 的大小关系是( )A. ()(2)(3)f f f π->->B. (3)()(2)f f f π>->-C. (2)(3)()f f f π->>-D. ()(3)(2)f f f π->>-4.函数()y f x =在R 上是增函数,且(2)(9)f m f m >-+,则实数m 的取值范围是( )A. (,3)-∞-B. (0,)+∞C. (3,)+∞D. (,3)(3,)-∞-⋃+∞5.函数()y f x =是以3为周期的偶函数,且当(0,1)x ∈时,()21f x x =+,则2021()2f =( ) A.2022 B.2 C.4 D.66.已知偶函数()f x 在区间[0,)+∞上是单调递增,则满足1(21)()3f x f -<的x 的取值范围是( ) A. 12(,)33 B. 12[,)33 C. 12(,)23 D. 12[,)23二、多选题7.如果函数()f x 在[a ,b ]上是减函数,对于任意的1212,[,]()x x a b x x ∈≠,那么下列结论正确的是( ) A. 1212()()0f x f x x x -<- B. 1212()[()()]0x x f x f x --< C. 12()()()()f a f x f x f b ≥>≥ D. 12()()f x f x <8.已知函数()f x 是定义在R 上的奇函数,下列说法正确的是( )A. (0)0f =B.若()f x 在[0,)+∞上有最小值-1,则()f x 在(,0]-∞上有最大值1C. 若()f x 在[1,)+∞上为增函数,则()f x 在(,1]-∞-上为减函数D.若0x >时,2()2f x x x =-,则0x <时,2()2f x x x =--三、填空题9.如图是定义在闭区间[5,5]-上的函数()y f x =的部分图像,根据图像可知函数()y f x =的单调递增区间是_______,单调递减区间是______.10.若()f x 是定义在R 上的奇函数,且1(2)()f x f x +=,则(8)f 的值为___. 11.若2()3f x ax bx a b =+++是偶函数,且定义域为[1,2]a a -,则a =_____,b =______.本章检测 函数的概念和性质一、单选题1. 已知函数2()23f x x mx =-+在[-2,+∞)上单调递增,在(-∞,-2]上单调递减,则f (1)的值为( )A.-3B.13C.7D.52.已知f (x )为奇函数,且在(-∞,0)上为增函数,g (x )为偶函数,且在(-∞,0)上为增函数,则在(0,+∞)_上,下列结论正确的)A.两个都是增函数B.两个都是减函数C. f (x )为增函数,g (x )为减函数D. f (x )为减函数,g (x )为增函数3.已知函数g (x )= f (2x )-x 2是奇函数,且f (1)=2,则f (-1)=( ) _3 A. 32- B.-1 C. 32 D. 744.已知函数(3)5,1()2,1a x x f x a x x -+≤⎧⎪=⎨>⎪⎩是(-∞,+∞)上的减函数,则a 的取值范围是( )A. (0,3)B. (0,3]C. (0,2)D. (0,2]5.已知函数g (x )是定义在[a -16,3a ]上的奇函数,且21,0()(),0x x f x f x a x -≥⎧=⎨+<⎩, 则f (-2020)=( )A.2B. 7C. 10D.-16. 已知定义在R 上的奇函数f (x )满足当x >0时,f(x )=x 2-2x ,则关于x的不等式f (x )<0的解集为( )A. (-2,2)B. (2,0)(0,2)-⋃C. (,2)(2,)-∞-⋃+∞D. (,2)(0,2)-∞-⋃二、多选题7.已知定义在区间[-3,3]上的一个偶函数,它在[-3,0]上的图象如图所示,则下列说法正确的是( )A.这个函数有两个单调递增区间B.这个函数有三个单调递减区间C. f (2)<2D.这个函数的值域为[-2,2]8.已知定义域为R 的函数f (x )是奇函数,且满足f (1-x )=f (1+x ),当0<x ≤1时,f (x )=2x ,则下列结论正确的是( )A. f (x )的最小正周期为2B.当-1<x ≤1时,f (x )=2xC. f (x )在[11,13]上单调递增D. f (x )的最大值为2,最小值为-2三、填空题9.已知函数,0(),0x x f x x x ⎧≥⎪=-<若f (a )+f (-1)=2,则a =_______.10.已知函数f (x )=x 5+ax 3+bx +2,且f (2)=3,则f (-2)=________.11.函数f (x )为奇函数,定义域为R ,若f (x +1)为偶函数,且f (1)=1,则f (2020)+f (2021)=_______。
《函数的值域》(三)主要考查内容:主要涉及根据函数值域求参数(或取值范围)一.选择题(在每小题给出的四个选项中,只有一项是符合题目要求的)1.已知函数2()32(3)3f x x m x m =-+++的值域为[0,)+∞,则实数m 的取值范围为( ) A .{0,3}-B .[3,0]-C .(,3][0,)-∞-⋃+∞D .{0,3}2.若函数242y x x =--的定义域为[]0,m ,值域为[]6,2--,则m 的取值范围是( ) A .(0,4]B .[]2,4C .(0,2]D .()2,43.若()y f x =的定义域为R ,值域为[1,2],则(1)1y f x =-+的值域为( ) A .[2,3] B .[0,1] C .[1,2]D .[1,1]-4.若函数()()()2225311f x a a x a x =++++-的定义域、值域都为R ,则实数a 满足( )A .1a =-或32a =-B .1319a -<<- C .1a ≠-且32a ≠-D .32a =-5.已知函数()f x =的值域为[0,)+∞,则m 的取值范围是( ) A .[]0,4B .(]0,4C .(0,4)D .[4,)+∞6.函数()()23log 21f x mx x =-+的值域为R ,则m 的取值范围是( )A .(0,1)B .[0,1]C .[1,)+∞D .(,1)-∞7.函数()()()22ln 111a x x f x a x x ⎧+>⎪=⎨+-≤⎪⎩的值域为R ,则实数a 的取值范围是( ) A .[)0,+∞B .[)1,+∞C .(],0-∞D .(],1-∞ 8.已知函数()22,0511,04x x x x f x a x ⎧-+≤≤⎪=⎨⎛⎫-≤<⎪ ⎪⎝⎭⎩的值域为[]15,1-,则实数a 的取值范围是( ) A .(],2-∞- B .[)2,0-C .[]2,1--D .{}2-9.若函数()f x =(0,)+∞,则实数m 的取值范围是( ) A .(1,4) B .(,1)(4,)-∞+∞C .(0,1][4,)+∞D .[0,1][4,)⋃+∞10.若函数234,40()26,0x x x f x x x x m⎧+-≤≤=⎨-+<≤⎩的值域为[4,4]-,则实数m 的取值范围为( ) A. B.2]C .[1,2]D .[1,)+∞11.函数()()123,1,1a x a x f x lnx x ⎧-+<=⎨≥⎩的值域为R ,则实数 a 的范围( )A .(),1-∞-B .1,12⎡⎤⎢⎥⎣⎦C .11,2⎡⎫-⎪⎢⎣⎭D .10,2⎛⎫ ⎪⎝⎭12.若函数6,2()(03log ,2xa x x f x a x -+≤⎧=>⎨+>⎩且1a ≠)的值域是[4,+∞),则实数a 的取值范围是( ) A .(1,2] B .(0,2]C .[2,)+∞D.二.填空题13.已知函数()f x =[)0,+∞,则实数t 的取值范围是____ 14.已知函数()(12)3,1ln ,1a x a x f x x x -+<⎧⎨⎩=的值域为R ,则实数a 的取值范围是___15.若函数()6,23log ,2a x x f x x x -+≤⎧=⎨+>⎩(0a >且1a ≠)的值域是[)4,+∞,则实数a的取值范围是__________.16.函数()421ln 1f x m x x ⎛⎫+=+ ⎪+⎝⎭的值域为R ,则m 的取值范围为______.三.解答题(解答应写出文字说明、证明过程或演算步骤) 17.求下列函数的值域. (1) 21()1f x x x =++;(2)()4f x =(3)y x =+18.求函数2sin 1sin 3-=+x y x 的值域.19.已知函数f (x )=2328log 1mx x nx +++的定义域为R ,值域为[0,2],求m ,n 的值.20.已知函数()22,02(1),0x x f x x m x ⎧<=⎨-+≥⎩ (1)若1m =-,求()0f 和()1f 的值,并判断函数()f x 在区间()0,1内是否有零点; (2)若函数()f x 的值域为[)2,-+∞,求实数m 的值.21.已知函数()()12log 10f x ax =-区间[)3,4上的最小值为2-.(1)求使()0f x ≥成立的x 的取值范围;(2)若对于任意[)3,4x ∈,不等式()12xf x m ⎛⎫>+ ⎪⎝⎭恒成立,求实数m 的取值范围.22.设函数()()()22213f x x a x a a a R =++++∈.(1)若()231f x a a ≥++对任意的[]1,2x ∈上恒成立,求a 的取值范围;(2)若()f x 在区间[],m n 上单调递增,且函数()f x 在区间[],m n 上的值域为[],m n ,求a 的取值范围.《函数的值域》(三)解析1.【解析】∵函数2()32(3)3f x x m x m =-+++的值域为[0,)+∞, ∴2[2(3)]43(3)0m m ∆=-+-⨯⨯+=,∴30m =-或 ∴实数m 的取值范围为{0,3}- 2.【解析】函数2242(2)6y x x x =--=--的定义域为[0,]m ,值域为[]6,2--∴对称轴为2x =,当2x =时,6y =-,当0x =时,2y =- ,二次函数的对称性,可知2y =-对应的另一个x 的值为4∴值域为[]6,2--时,对应x 的范围为[0,4],故m 的取值范围是[2,4].故选:B.3.【解析】因为(1)1y f x =-+是将原函数()f x ,向右平移1个单位, 再向上平移1个单位得到,但是左右平移不改变值域, 故(1)1y f x =-+的值域为[]2,3.故选:A.4.【解析】若22530a a ++≠,()f x 表示二次函数,值域不为R ,不合题意.所以()f x 为一次函数,2253010a a a ⎧++=⎨+≠⎩解得32a =-.故选:D.5.【解析】m =0时,f (x )=1,不合题意;m ≠0时,令g (x )=mx 2+mx +1,只需240m m m ⎧⎨=-≥⎩>,解得:m ≥4,故选D . 6.【解析】函数()()23log 21f x mx x =-+的值域为R ,即221mx x -+可取遍所有(0,)+∞的值;(1)当0m =时:21y x =-+满足条件;(2)当0m >时:440110m m m ∆=-≥∴≤∴≥>; (3)当0m <时:不成立. 综上:10m ≥≥.故选:B7.【解析】当1x >时,()2ln 2ln12f x a x a a =+>+=; 当1x ≤时,()21f x a x =+-,20x ≥,此时()211f x a x a =+-≤+.由于函数()y f x =的值域为R ,则(](),12,a a R -∞++∞=,可得12a a +≥,解得1a ≤.因此,实数a 的取值范围是(],1-∞.故选:D.8.【解析】当05x ≤≤时,()()22211f x x x x =-+=--+, 所以()151f x -≤≤;当0a x ≤<时,()114x f x ⎛⎫=- ⎪⎝⎭为递增函数,所以()1104af x ⎛⎫-≤< ⎪⎝⎭, 因为()f x 的值域为[]15,1-,所以111540aa ⎧⎛⎫-≥-⎪ ⎪⎨⎝⎭⎪<⎩,故20a -≤<,故选B. 9.【解析】函数()f x =的值域为()0,+∞,则g (x )=mx 2+2(m ﹣2)x+1的值域能取到(0,+∞), ①当m=0时,g (x )=﹣4x+1,值域为R ,包括了(0,+∞), ②要使f (x )能取(0,+∞),则g (x )的最小值小于等于0,则()2204424044m m m ac b am >⎧⎪⎨---=≤⎪⎩,解得:0<m≤1或m≥4.综上可得实数m 的取值范围是][)0,14,⎡⋃+∞⎣,故选:D . 10.【解析】当40x -≤≤时,()24f x x x =+又24y x x =+对称轴为2x =-()()min 24f x f ∴=-=-,()()()max 040f x f f ==-= ()[]4,0f x ⇒∈-当0x m <≤时,()326f x x x =-+ ()266f x x ⇒=-+'()f x 值域为[]4,4-且40x -≤≤时,()[]4,0f x ∈-∴当0x m <≤时,()max 4f x =,()min 4f x ≥-,令()0f x '=,解得1x =,()f x ∴在()0,1上单调递增,在()1,+∞上单调递减又()1264f =-+= 1m ⇒≥当3264x x -+=-时,2x = 2m ⇒≤,[]1,2m ∴∈,本题正确选项:C11.【解析】当1x ≥时,0lnx ≥为满足题意函数()()123,1,1a x a x f x lnx x ⎧-+<=⎨≥⎩的值域为R , 则()()123f x a x a =-+,1x <为单调增函数120a ∴->且当1x <时,()1230a x a -+≤,即120a ->时,12a <,当1x =时,1230a a -+≥,1a ≥-,112a ∴-≤<,故选C 12.【解析】当2x ≤时,64x -+≥, 要使得函数()f x 的值域为[)4,+∞,只需()()13log 2a f x x x =+>的值域包含于[)4,+∞,故1a >,所以3log 24a +≥, 解得12a <≤,所以实数a 的取值范围是(]1,2.故选A 13.【解析】令221ty x x=+-, 当0t <时,22211,(0)t t y x m m x x m =+-=+-=>,因为1t y m m=+-在(0,)+∞上单调递增,因此221t y x x =+-值域为[),0,R +∞为R 的子集,所以0t <;当0t =时,222111t y x x x=+-=-≥-, [)0,+∞为[1,)-+∞的子集,所以0t =;当0t >时,22111,t y x x =+-≥=,当且仅当||x =因为[)0,+∞为1,)+∞的子集,所以11004t ≤∴<≤; 综上,14t ≤,故答案为:1(,]4-∞14.【解析】由题意知() 1y ln x x ≥=的值域为[0,+∞),故要使()f x 的值域为R , 则必有23(1)y a x a =-+为增函数,且1230a a ≥-+,所以120a ->且1a ≥-,解得112a ≤-<,实数a 的取值范围是11,2⎡⎫-⎪⎢⎣⎭.15.【解析】由于函数()()6,2{0,13log ,2a x x f x a a x x -+≤=>≠+>的值域是[)4,+∞,故当2x ≤时,满足()64f x x =-≥,当2x >时,由()3log 4a f x x =+≥,所以log 1a x ≥,所以log 2112a a ≥⇒<<,所以实数a 的取值范围12a <≤.16.【解析】设()4211u x x m x +=++,则()f x 的值域为R 等价于()min 0u x ≤.令()211xt t +=≥,则()211222t y m t m m tt-+=+=+-+≥+,当2t t=,即t =时等号成立,所以()min 20u x m =+≤,解得2m ≤-(,2-∞-.17.【解析】(1)因为221331244y x x x ⎛⎫=++=++≥ ⎪⎝⎭,故214(0,]13x x ∈++,即函数()f x 的值域为40,?3⎛⎤⎥⎝⎦.(2)要使得函数有意义,则2230x x -++≥,解得[]1,3x ∈-,又函数223y x x =-++在区间[]1,3-上的值域为[]0,4[]0,2,则()[]2,4f x ∈.即()f x 的值域为[]2,4.(3t =,解得21,0x t t =-≥故原函数等价于214,0y t t t =-+≥又()221425y t t t =-+=--+,容易得()f x 的值域为(],5-∞.18.【解析】由题得函数的定义域为R , 由于()2sin 372sin 172sin 3sin 3sin 3x x y x x x +--===-+++, 而1sin 1x -≤≤,可设sin ,[1,1]t x t =∈-, 所以()2,[1,1]37f t t t =-∈-+, 由复合函数单调性得函数()f t 在[1,1]-上单调递增, 所以min 3()(1)21327f t f =-=-=--+, max1()(1)21347f t f ==-=+,即()3124f t -≤≤,所以3124-≤≤y , 所以函数2sin 1sin 3-=+x y x 的值域为31,24⎡⎤-⎢⎥⎣⎦.故答案为:31,24⎡⎤-⎢⎥⎣⎦.19.【解析】由2328()log 1mx x n f x x ++=+,得22831ymx x n x ++=+, 即()23830yym x x n -+--=∵,644(3)(3)0yyx R m n ∈∴∆=---≥,即23()3160yy m n mn -+⋅+-≤由02y ≤≤,得139y ≤≤,由根与系数的关系得19{169m n mn +=+-=,解得5m n ==20.【解析】(1)()22,02(1),0x x f x x m x ⎧<=⎨-+≥⎩ 当1m =-时, ()22,02(1)1,0x x f x x x ⎧<=⎨--≥⎩,∴(0)211f =-=,()11f =- ()f x 在区间()0,1是连续不断的且(0)(1)0f f ⋅<∴函数()f x 在区间()0,1内必有零点(2)当时0x <,()2x f x =,此时0()1<<f x ;当0x ≥时,2()2(1)f x x m m =-+≥ 而()f x 的值域为[2,)-+∞,∴2m =-21.【解析】(1)由题易知函数()f x 是单调函数,因为区间[)3,4左闭右开, 所以函数()f x 的最小值为()()123log 1032f a =-=-,解得2a =.所以()()12log 102x f x =-,()f x 单调递增,符合条件.由()0f x ≥得01021x <-≤,解得952x ≤<,即x 的取值范围为92,5⎡⎫⎪⎢⎣⎭; (2)设()()121log 1022xx g x ⎛=-⎫⎪⎝⎭-,则()12xf x m ⎛⎫>+ ⎪⎝⎭在[)3,4x ∈上恒成立可转化为()g x m >在[)3,4x ∈上恒成立.因为()12log 102y x =-在[)3,4上单调递增,12xy ⎛⎫= ⎪⎝⎭在[)3,4上单调递减,所以()g x 在[)3,4上单调递增. 所以()()31min21173log 428m g x g ⎛⎫<==-= -⎪⎝⎭,所以m 的取值范围为178,⎛⎫ ⎪⎝--⎭∞. 22.【解析】(1)由题意()231f x a a ≥++在[]1,2x ∈上恒成立, 可得21121-+≥=-x a x x x在[]1,2x ∈上恒成立, 令()1g x x x =-,易得函数()1g x x x=-在[]1,2递减, 可得()()2110maxa g x g +≥==,即210a +≥即得12a ≥-.(2)因为()()()22213f x x a x a a a R =++++∈在[],m n 上递增且值域为[],m n ,则满足:()()212a m f m m f n n+⎧-≤⎪⎪=⎨⎪=⎪⎩,则可得方程()f x x =在21,2a +⎡⎫-+∞⎪⎢⎣⎭上有两个不相等的实数根,m n ,设()()2223F x f x x x ax a a =-=+++,则22441202122102a a a a a a f ⎧⎪∆=-->⎪+⎪->-⎨⎪⎪+⎛⎫-≥ ⎪⎪⎝⎭⎩联立解得:1012a -≤<.。
素质能力检测(二)一、选择题(每小题5分,共60分)1.(年全国)函数y =x 2+bx +c (x ∈[0,+∞))是单调函数的充要条件是 A.b ≥0 B.b ≤0 C.b >0 D.b <0 解析:y =x 2+bx +c 的对称轴为x =-2b ,∴-2b≤0.∴b ≥0. 答案:A2.(年全国Ⅲ,理11)设函数f (x )=⎪⎩⎪⎨⎧--+14)1(2x x ,1,1≥<x x 则使得f (x )≥1的自变量x的取值范围为A.(-∞,-2]∪[0,10]B.(-∞,-2]∪[0,1]C.(-∞,-2]∪[1,10]D.[-2,0]∪[1,10] 解析:当x <1时,f (x )≥1⇔(x +1)2≥1⇔x ≤-2或x ≥0,∴x ≤-2或0≤x <1.当x ≥1时,f (x )≥1⇔4-1-x ≥1⇔1-x ≤3⇔1≤x ≤10.综上,知x ≤-2或0≤x ≤10. 答案:A3.f (x )是定义在R 上的奇函数,它的最小正周期为T ,则f (-2T)的值为 A.0B.2TC.TD.-2T 解法一:由f (2T )=f (-2T +T )=f (-2T )=-f (2T ),知f (2T)=0. 解法二:取特殊函数f (x )=sin x . 答案:A4.(年上海,文15)若函数y =f (x )的图象与函数y =lg (x +1)的图象关于直线x -y =0对称,则f (x )等于A.10x -1B.1-10xC.1-10-xD.10-x -1 解析:∵y =f (x )与y =lg (x +1)关于x -y =0对称, ∴y =f (x )与y =lg (x +1)互为反函数. ∴由y =lg (x +1),得x =10y -1. ∴所求y =f (x )=10x -1. 答案:A5.函数f (x )是一个偶函数,g (x )是一个奇函数,且f (x )+g (x )=11-x ,则f(x )等于A.112-xB.1222-x x C.122-xD.122-x x解析:由题知f (x )+g (x )=11-x ,①以-x 代x ,①式得f (-x )+g (-x )=11--x ,即f (x )-g (x )=11--x , ②①+②得f (x )=112-x . 答案:A6.(年江苏,11)设k >1,f (x )=k (x -1)(x ∈R ),在平面直角坐标系xOy 中,函数y =f (x )的图象与x 轴交于A 点,它的反函数y =f -1(x )的图象与y 轴交于B 点,且这两个函数的图象交于P 点.已知四边形OAPB 的面积是3,则k 等于A.3B.23 C.34D.56 解析:用k 表示出四边形OAPB 的面积. 答案:B7.F (x )=(1+122-x )·f (x )(x ≠0)是偶函数,且f (x )不恒等于零,则f (x )A.是奇函数B.是偶函数C.既是奇函数,又是偶函数D.是非奇非偶函数解析:g (x )=1+122-x 是奇函数,∴f (x )是奇函数. 答案:A8.(年杭州市质检题)当a ≠0时,函数y =ax +b 和y =b ax 的图象只可能是Oxy OxyOxyOy1111AB答案:C9.(年全国Ⅳ,12)设函数f (x )(x ∈R )为奇函数,f (1)=21,f (x +2)=f (x )+ f (2),则f (5)等于A.0B.1C.25D.5解析:∵f (x +2)=f (x )+f (2)且f (x )为奇函数,f (1)=21,∴f (1)=f (-1+2)=f (-1)+f (2)=-f (1)+f (2).∴f (2)=2f (1)=1.∴f (5)=f (3)+f (2)=f (1+2)+ f (2)=f (1)+2f (2)=25. 答案:C 10.设函数f (x )=cx bax ++2的图象如下图所示,则a 、b 、c 的大小关系是 11-1-1OxyA.a >b >cB.a >c >bC.b >a >cD.c >a >b 解析:f (0)=c b=0,∴b =0. f (1)=1,∴ca+1=1.∴a =c +1.由图象看出x >0时,f (x )>0,即x >0时,有cx ax+2>0,∴a >0.又f (x )= xc x a +,当x >0时,要使f (x )在x =1时取最大值1,需x +x c≥2c ,当且仅当x =c =1时.∴c =1,此时应有f (x )=2a=1.∴a =2. 答案:B11.偶函数y =f (x )(x ∈R )在x <0时是增函数,若x 1<0,x 2>0且|x 1|<|x 2|,下列结论正确的是A.f (-x 1)<f (-x 2)B.f (-x 1)>f (-x 2)C.f (-x 1)=f (-x 2)D.f (-x 1)与f (-x 2)大小关系不确定解析:|x |越小,f (x )越大.∵|x 1|<|x 2|,∴选B. 答案:B12.方程log 2(x +4)=3x 实根的个数是 A.0 B.1 C.2D.3解析:设y =log 2(x +4)及y =3x . 画图知交点有两个. 答案:C二、填空题(每小题4分,共16分)13.(年浙江,理13)已知f (x )=⎩⎨⎧<-≥,0,1,0,1x x 则不等式x +(x +2)·f (x +2)≤5的解集是___________________.解析:当x +2≥0时,原不等式⇔x +(x +2)≤5⇔x ≤23.∴-2≤x ≤23. 当x +2<0时,原不等式⇔x +(x +2)(-1)≤5⇔-2≤5.∴x <-2.综上,知x ≤23.答案:(-∞,23]14.设函数f (x )的定义域是N *,且f (x +y )=f (x )+f (y )+xy ,f (1)=1,则f (25)= ___________________.解析:由f (x +y )=f (x )+f (y )+xy ⇒f (2)=f (1)+f (1)+1=3. ∴f (2)-f (1)=2. 同理,f (3)-f (2)=3. ……f (25)-f (24)=25.∴f (25)=1+2+3+…+25=325. 答案:32515.(年春季上海)已知函数f (x )=log 3(x4+2),则方程f -1(x )=4的解x =___________________.解析:由f -1(x )=4,得x =f (4)=log 3(44+2)=1.答案:116.对于函数y =f (x )(x ∈R ),有下列命题:①在同一坐标系中,函数y =f (1+x )与y =f (1-x )的图象关于直线x =1对称; ②若f (1+x )=f (1-x ),且f (2-x )=f (2+x )均成立,则f (x )为偶函数; ③若f (x -1)=f (x +1)恒成立,则y =f (x )为周期函数;④若f (x )为单调增函数,则y =f (a x )(a >0,且a ≠1)也为单调增函数. 其中正确命题的序号是______________. (注:把你认为正确命题的序号都填上)解析:①不正确,y =f (x -1)与y =f (1-x )关于直线x =1对称.②正确.③正确.④不正确.答案:②③三、解答题(共6小题,满分74分)17.(12分)函数y =lg (3-4x +x 2)的定义域为M ,x ∈M 时,求f (x )=2x +2-3×4x的最值.解:由3-4x +x 2>0得x >3或x <1, ∴M ={x |x >3或x <1},f (x )=-3×22x +22·2x =-3(2x -32)2+34. ∵x >3或x <1, ∴2x >8或0<2x <2.∴当2x =32即x =log 232时,f (x )最大,最大值为34. f (x )没有最小值.18.(12分)(年高考新课程卷)设a >0,求函数f (x )=x -ln (x +a )(x ∈(0,+∞))的单调区间.分析:本小题主要考查导数的概念和计算,应用导数研究函数性质的方法及推理和运算能力.解:f '(x )=x21-ax +1(x >0). 当a >0,x >0时,f '(x )>0⇔x 2+(2a -4)x +a 2>0, f '(x )<0⇔x 2+(2a -4)x +a 2<0.①当a >1时,对所有x >0,有x 2+(2a -4)x +a 2>0,即f '(x )>0. 此时f (x )在(0,+∞)内单调递增.②当a =1时,对x ≠1,有x 2+(2a -4)x +a 2>0,即f '(x )>0,此时f (x )在(0,1)内单调递增,在(1,+∞)内单调递增. 又知函数f (x )在x =1处连续.因此,函数f (x )在(0,+∞)内单调递增. ③当0<a <1时,令f '(x )>0,即x 2+(2a -4)x +a 2>0,解得x <2-a -2a -1,或x >2-a +2a -1.因此,函数f (x )在区间(0,2-a -2a -1)内单调递增,在区间(2-a +2a -1,+∞)内也单调递增.令f '(x )<0,即x 2+(2a -4)x +a 2<0,解得2-a -2a -1<x <2-a +2a -1. 因此,函数f (x )在区间(2-a -2a -1,2-a +2a -1)内单调递减.19.(12分)(年春季北京,理20)现有一组互不相同且从小到大排列的数据:a 0,a 1,a 2,a 3,a 4,a 5,其中a 0=0.为提取反映数据间差异程度的某种指标,今对其进行如下加工:记T =a 0+a 1+…+a 5,x n =5n ,y n =T1(a 0+a 1+…+a n ),作函数y =f (x ),使其图象为逐点依次连结点P n (x n ,y n )(n =0,1,2,…,5)的折线.(1)求f (0)和f (5)的值;(2)设P n -1P n 的斜率为k n (n =1,2,3,4,5),判断k 1、k 2、k 3、k 4、k 5的大小关系;(3)证明f (x n )<x n (n =1,2,3,4).(1)解:f (0)=500a a a +⋅⋅⋅+=0,f (5)=5050a a a a +⋅⋅⋅++⋅⋅⋅+=1.(2)解:k n =11----n n n n x x y y =T5a n ,n =1,2, (5)因为a 1<a 2<a 3<a 4<a 5, 所以k 1<k 2<k 3<k 4<k 5.(3)证法一:对任何n (n =1,2,3,4), 5(a 1+…+a n )=[n +(5-n )](a 1+…+a n ) =n (a 1+…+a n )+(5-n )(a 1+…+a n ) ≤n (a 1+…+a n )+(5-n )na n =n [a 1+…+a n +(5-n )a n ]<n (a 1+…+a n +a n +1+…+a 5)=nT ,所以f (x n )=T a a n +⋅⋅⋅+1<5n=x n .证法二:对任何n (n =1,2,3,4), 当k n <1时,y n =(y 1-y 0)+(y 2-y 1)+…+(y n -y n -1) =51(k 1+k 2+…+k n )<5n=x n . 当k n ≥1时, y n =y 5-(y 5-y n )=1-[(y n +1-y n )+(y n +2-y n +1)+…+(y 5-y 4)]=1-51(k n +1+k n +2+…+k 5)<1-51(5-n )=5n=x n ,综上,f (x n )<x n .20.(12分)(年北京)有三个新兴城镇,分别位于A 、B 、C 三点处,且AB =AC =a ,BC =2b .今计划合建一个中心医院,为同时方便三镇,准备建在BC 的垂直平分线上的P 点处.(建立坐标系如下图)O x y A PB b, (-0)(),0h C (0) (1)若希望点P 到三镇距离的平方和为最小,点P 应位于何处?(2)若希望点P 到三镇的最远距离为最小,点P 应位于何处?分析:本小题主要考查函数、不等式等基本知识,考查运用数学知识分析问题和解决问题的能力.(1)解:由题设可知,a >b >0,记h =22b a -,设P 的坐标为(0,y ),则P 至三镇距离的平方和为f (y )=2(b 2+y 2)+(h -y )2=3(y -3h )2+32h 2+2b 2. ∴当y =3h时,函数f (y )取得最小值. ∴点P 的坐标是(0,3122b a -). (2)解法一:P 至三镇的最远距离为g (y )=⎪⎩⎪⎨⎧-+||22y h y b ,||,||2222时当时当y h y b y h y b -<+-≥+由22y b +≥|h -y |解得y ≥h b h 222-,记y *=hb h 222-,于是g (y )=⎪⎩⎪⎨⎧-+||22y h y b .,**时当时当y y y y <≥当y *=hb h 222-≥0,即h ≥b 时,22y b +在[y *,+∞)上是增函数,而|h -y |在(-∞,y *)上是减函数,由此可知,当y =y *时,函数g (y )取得最小值;当y *=hb h 222-<0,即h <b 时,函数22y b +在[y *,+∞)上,当y =0时,取得最小值b ,而|h -y |在(-∞,y *)上为减函数,且|h -y |>b .可见,当y =0时,函数g (y )取得最小值.∴当h ≥b 时,点P 的坐标为(0,222222ba b a --);当h <b 时,点P 的坐标为(0,0).其中h =22b a -. 解法二:P 至三镇的最远距离为g (y )=⎪⎩⎪⎨⎧-+||22y h y b .||,||2222时当时当y h y b y h y b -<+-≥+由22y b +≥|h -y |解得y ≥h b h 222-,记y *=hb h 222-,于是 g (y )=⎪⎩⎪⎨⎧-+||22y h y b .,**时当时当y y y y <≥当y *≥0,即h ≥b 时,z =g (y )的图象如图(a ),因此,当y =y *时,函数g (y )取得最小值.当y *<0,即h <b 时,z =g (y )的图象如图(b ),因此,当y =0时,函数g (y )取得最小值.O h by O y y hb g g ()y ()y (b )'∴当h ≥b 时,点P 的坐标为(0,222222ba b a --);当h <b 时,点P 的坐标为(0,0).其中h =22b a -. 解法三:∵在△ABC 中,AB =AC =a ,∴△ABC 的外心M 在射线AO 上,其坐标为(0,222222ba b a --),且AM =BM =CM .当P 在射线MA 上,记P 为P 1;当P 在射线MA 的反向延长线上,记P 为P 2. 若h =22b a -≥b 〔如图(c )〕,2 Pxy O B (-b,0) C (b ,0) A MP 1(c)则点M 在线段AO 上.这时P 到A 、B 、C 三点的最远距离为P 1C 或P 2A ,且P 1C ≥MC ,P 2A ≥MA , 所以点P 与外心M 重合时,P 到三镇的最远距离最小. 若h =22b a -<b 〔如图(d )〕,则点M 在线段AO 外.xy O B (-b,0)C (b,0) AM P 1P2(d)这时P 到A 、B 、C 三点的最远距离为P 1C 或P 2A ,且P 1C ≥OC ,P 2A ≥OC ,所以点P 与BC 边的中点O 重合时,P 到三镇的最远距离最小.∴当22b a -≥b 时,点P 的位置在△ABC 的外心(0,222222ba b a --);当22b a -<b 时,点P 的位置在原点O .21.(12分)设f (x )是定义在R 上的偶函数,其图象关于直线x =1对称,对任意x 1、x 2∈[0,21],都有f (x 1+x 2)=f (x 1)·f (x 2). (1)设f (1)=2,求f (21),f (41);(2)证明f (x )是周期函数.(1)解:由f (x 1+x 2)=f (x 1)·f (x 2),x 1、x 2∈[0,21]知f (x )=f (2x)·f (2x )=[f (2x)]2≥0,x ∈[0,1]. 因为f (1)=f (21)·f (21)=[f (21)]2,及f (1)=2,所以f (21)=221.因为f (21)=f (41)·f (41)=[f (41)]2,及f (21)=221,所以f (41)=241.(2)证明:依题设y =f (x )关于直线x =1对称,故f (x )=f (1+1-x )⇔f (x )=f (2-x ),x ∈R .又由f (x )是偶函数知f (-x )=f (x ),x ∈R ,所以f (-x )=f (2-x ),x ∈R .将上式中-x 以x 代换,得f (x )=f (x +2),x ∈R .这表明f (x )是R 上的周期函数,且2是它的一个周期.22.(14分)设函数y =f (x )定义在R 上,对任意实数m 、n ,恒有f (m +n )=f (m )·f (n )且当x >0时,0<f (x )<1.(1)求证:f (0)=1,且当x <0时,f (x )>1; (2)求证:f (x )在R 上递减;(3)设集合A ={(x ,y )|f (x 2)·f (y 2)>f (1)},B ={(x ,y )|f (ax -y +2)=1,a ∈R },若A ∩B =∅,求a 的取值范围.(1)证明:在f (m +n )=f (m )f (n )中, 令m =1,n =0,得f (1)=f (1)f (0). ∵0<f (1)<1,∴f (0)=1.设x <0,则-x >0.令m =x ,n =-x ,代入条件式有f (0)=f (x )·f (-x ),而f (0)=1,∴f (x )=)(1x f ->1.(2)证明:设x 1<x 2,则x 2-x 1>0, ∴0<f (x 2-x 1)<1. 令m =x 1,m +n =x 2,则n =x 2-x 1,代入条件式,得 f (x 2)=f (x 1)·f (x 2-x 1), 即0<)()(12x f x f <1.∴f (x 2)<f (x 1). ∴f (x )在R 上单调递减.(3)解:由f (x 2)·f (y 2)>f (1)⇒f (x 2+y 2)>f (1). 又由(2)知f (x )为R 上的减函数,∴x 2+y 2<1⇒点集A 表示圆x 2+y 2=1的内部.由f (ax -y +2)=1得ax -y +2=0⇒点集B 表示直线ax -y +2=0. ∵A ∩B =∅,∴直线ax -y +2=0与圆x 2+y 2=1相离或相切. 于是122+a ≥1⇒-3≤a ≤3.。
高三数学一轮复习《函数》练习题(含答案)第I 卷(选择题)一、单选题1.已知集合{}|1M x x =>,(){}2|lg 3N x y x x ==-,则M N ⋃为( )A .[)3,+∞B .()1,+∞C .()1,3D .()0,∞+2.若函数f (x )和g (x )分别由下表给出:满足g (f (x ))=1的x 值是( ).A .1B .2C .3D .43.已知函数()22x a xf x -=+的图象关于直线1x =对称,若()log ,04,6,46a x x g x x x ⎧<≤=⎨-<≤⎩且123x x x <<,()()()123g x g x g x ==,则123x x x 的取值范围为( )A .()0,2B .()0,4C .()4,6D .(]4,64.设k >0,若不等式3log ()3xk kx -≤0在x >0时恒成立,则k 的最大值为( ) A .eB .eln3C .log 3eD .35.若,,(0,1)r s t ∈,且45log log lg r s t ==,则( ) A .1115104r s t << B .1113104s r t << C .1111054t s r <<D .1111054r t s <<6.已知()f x 是R 上的奇函数,且当0x >时,()2022af x x x=-,若()()1202202024f f +=,则()2f -=( ) A .2020B .2020-C .4045D .4045-7.设126a =,3log 2b =,ln 2c =则( ) A .a b c << B .b c a << C .c a b <<D .c b a <<8.已知函数()sin (0)6f x x πωω⎛⎫=+> ⎪⎝⎭的最小正周期为π,若()f x m =在[0,)π上有两个实根a ,b ,且||3a b π->,则实数m 的取值范围是( ) A .1,02⎛⎫- ⎪⎝⎭B .10,2⎛⎫ ⎪⎝⎭C .1,12⎛⎫ ⎪⎝⎭D .11,22⎛⎫- ⎪⎝⎭二、多选题 9.函数()()2,,R ax bf x a b c x c+=∈+的图象可能为( ) A . B .C .D .10.设函数()21,25,2x x f x x x ⎧-≤⎪=⎨-+>⎪⎩,集合()(){}220,M x f x f x k k R =++=∈,则下列命题正确的是( )A .当0k =时,{}0,5,7M =B .当1k >时M =∅C .若{},,M a b c =,则k 的取值范围为()15,3--D .若{},,,M a b c d =(其中a b c d <<<),则2214a b c d +++=11.已知函数()2sin (0)4f x x πωω⎛⎫=+> ⎪⎝⎭,则下列说法正确的是( )A .若函数()f x 的最小正周期为π,则其图象关于直线8x π=对称B .若函数()f x 的最小正周期为π,则其图象关于点,08π⎛⎫⎪⎝⎭对称C .若函数()f x 在区间0,8π⎛⎫⎪⎝⎭上单调递增,则ω的最大值为2D .若函数()f x 在[]0,2π有且仅有5个零点,则ω的取值范围是192388ω≤< 12.下列各式比较大小,正确的是( ) A .1.72.5>1.73B .24331()22-> C .1.70.3>0.93.1D .233423()()34> 13.为排查新型冠状病毒肺炎患者,需要进行核酸检测.现有两种检测方式:(1)逐份检测:(2)混合检测:将其中k 份核酸分别取样混合在一起检测,若检测结果为阴性,则这k 份核酸全为阴性,因而这k 份核酸只要检测一次就够了,如果检测结果为阳性,为了明确这k 份核酸样本究竟哪几份为阳性,就需要对这k 份核酸再逐份检测,此时,这k 份核酸的检测次数总共为1k +次.假设在接受检测的核酸样本中,每份样本的检测结果是阴性还是阳性都是独立的,并且每份样本是阳性的概率都为()01p p <<,若10k =,运用概率统计的知识判断下列哪些p 值能使得混合检测方式优于逐份检测方式.(参考数据:lg 0.7940.1≈-)( ) A .0.4B .0.3C .0.2D .0.1第II 卷(非选择题)三、填空题14.已知函数()3136f x x x =+-,函数()ln 1x g x m x+=-,若对任意[]11,2x ∈,存在21,e e x ⎡⎤∈⎢⎥⎣⎦,使得()()12f x g x ≤,则实数m 的取值范围为______.15.已知奇函数()f x 定义域为R ,()()1f x f x -=,当()0,1x ∈时,()21log 2f x x ⎛⎫=+ ⎪⎝⎭,则52f ⎛⎫= ⎪⎝⎭___________.16.化简2011log 5310.06428-+⎛⎫+-+ ⎪⎝⎭的结果为________.17.定义在R 上的函数()1442x x f x +=+,129101010S f f f ⎛⎫⎛⎫⎛⎫=++⋅⋅⋅+ ⎪ ⎪ ⎪⎝⎭⎝⎭⎝⎭,则S 的值是______. 四、解答题18.已知函数2()22f x x ax =++,(1)当1a =时,求函数()f x 在[3,3]-的最大值和最小值; (2)若对于任意x ∈R 都有()0f x >,求实数a 的取值范围.19.解下列方程与不等式(1)2lg(426)lg(3)1x x x +---=(2)222log log (3)x x x <-20.已知函数21()x f x x+=.(1)判断()f x 奇偶性;(2)当(1,)x ∈+∞时,判断()f x 的单调性并证明;(3)在(2)的条件下,若实数m 满足(3)(52)f m f m >-,求m 的取值范围.21.经普查,某种珍稀动物今年存量为1100只,而5年前存量为1000只. (1)在这5年中,若该动物的年平均增长率为a %,求a 的值(结果保留一位小数); (2)如果保持上述的年平均增长率不变,那么还需要经过几年才能使该动物的存量达到1300只?(精确到1年)22.已知a R ∈,函数()f x x x a =-.(1)设1a =,判断函数()f x 的奇偶性,请说明理由;(2)设0a ≠,函数()f x 在区间(),m n 上既有最大值又有最小值,请分别求出m ,n 的取值范围.(只要写出结果,不需要写出解题过程)23.某物流公司欲将一批海产品从A 地运往B 地,现有汽车、火车、飞机三种运输工具可供选择,这三种工具的主要参考数据如下:若这批海产品在运输过程中的损耗为300元/h ,问采用哪种运输方式比较好,即运输过程中的费用与损耗之和最小.参考答案1.D2.A3.C4.B5.A6.D7.B8.D 9.ABD10.ABD11.ACD 12.BC13.CD 14.7,8⎛⎤-∞ ⎥⎝⎦15.0 16.27217.1818.(1)()()max min 17,1f x f x ==(2)(19.(1)3x =(2)(4,)+∞ 20.(1)奇函数 (2)增函数 (3)(1,2) 21.(1) 1.9a = (2)9年22.(1)函数()f x 既不是奇函数也不偶函数;(2)当0a >时, 02a m ≤<,a n <≤;当0a <m a ≤<,02a n <≤. 23.当550021s <时,汽车总费用最小;当55004000213s <时,火车总费用最小;当40003s 时,飞机总费用最小(其中s 表示运输路程)。
高三数学函数题集附解答-----------------1. 函数f(x) = 2x^2 + 3x - 1中,当x = 1时的函数值是多少?解答:将x = 1代入函数表达式中,得到:f(1) = 2(1)^2 + 3(1) - 1 = 2 + 3 - 1 = 4-----------------2. 已知函数g(x) = x^3 + 3x^2 - 2x - 5,求函数的导数g'(x)。
解答:对函数g(x)按照幂次降序求导,得到:g'(x) = 3x^2 + 6x - 2-----------------3. 已知函数h(x) = 2^(x+1),求函数在x = 3处的值以及导数h'(x)。
解答:将x = 3代入函数表达式中,得到:h(3) = 2^(3+1) = 2^4 = 16对函数h(x)求导,使用指数函数的导数公式,得到:h'(x) = (ln2) * 2^(x+1)-----------------4. 函数f(x) = 3x^2 - 4x + 1和g(x) = x + 2的复合函数f(g(x))是多少?解答:将g(x)代入f(x)的表达式,得到:f(g(x)) = 3(g(x))^2 - 4(g(x)) + 1= 3(x + 2)^2 - 4(x + 2) + 1= 3(x^2 + 4x + 4) - 4x - 8 + 1= 3x^2 + 12x + 12 - 4x - 7= 3x^2 + 8x + 5-----------------5. 已知函数f(x) = 3x^2 - 2x + 1和g(x) = x + 1,求f(x)与g(x)的和f(x) + g(x)。
解答:将f(x)和g(x)相加,得到:f(x) + g(x) = (3x^2 - 2x + 1) + (x + 1)= 3x^2 - 2x + 1 + x + 1= 3x^2 - x + 2-----------------6. 函数f(x) = x^3 - x^2 + 2x - 1的图像是否关于y轴对称?请说明理由。
一轮函数(第二章) 函数的单调性1.函数f (x )(x ∈R )的图象如右图所示,则函数g (x )=f (log a x )(0<a <1)的单调减区间是________.解析:∵0<a <1,y =log a x 为减函数,∴log a x ∈[0,12]时,g (x )为减函数.由0≤log a x ≤12a ≤x ≤1.答案:[a ,1](或(a ,1))2.下列函数中,单调增区间是(-∞,0]的是________.①y =-1x②y =-(x -1) ③y =x 2-2 ④y =-|x |解析:由函数y =-|x |的图象可知其增区间为(-∞,0].答案:④3.若函数f (x )=log 2(x 2-ax +3a )在区间[2,+∞)上是增函数,则实数a 的取值范围是________.解析:令g (x )=x 2-ax +3a ,由题知g (x )在[2,+∞)上是增函数,且g (2)>0. ∴⎩⎪⎨⎪⎧a 2≤2,4-2a +3a >0,∴-4<a ≤4.答案:-4<a ≤4 4.若函数f (x )=x +a x (a >0)在(34,+∞)上是单调增函数,则实数a 的取值范围__.解析:∵f (x )=x +a x (a >0)在(a ,+∞)上为增函数,∴a ≤34,0<a ≤916.答案:(0,916]5.定义在R 上的偶函数f (x ),对任意x 1,x 2∈[0,+∞)(x 1≠x 2),有f (x 2)-f (x 1)x 2-x 1<0,则下列结论正确的是________.①f (3)<f (-2)<f (1) ②f (1)<f (-2)<f (3) ③f (-2)<f (1)<f (3) ④f (3)<f (1)<f (-2)解析:由已知f (x 2)-f (x 1)x 2-x 1<0,得f (x )在x ∈[0,+∞)上单调递减,由偶函数性质得f (2)=f (-2),即f (3)<f (-2)<f (1).答案:①6.(20XX 年宁夏石嘴山模拟)函数f (x )的图象是如下图所示的折线段OAB ,点A 的坐标为(1,2),点B 的坐标为(3,0),定义函数g (x )=f (x )·(x -1),则函数g (x )的最大值为________.解析:g (x )=⎩⎪⎨⎪⎧2x (x -1) (0≤x <1),(-x +3)(x -1) (1≤x ≤3),当0≤x <1时,最大值为0;当1≤x ≤3时, 在x =2取得最大值1.答案:16.已知f (x )=log 3x +2,x ∈[1,9],则函数y =[f (x )]2+f (x 2)的最大值是________.解析:∵函数y =[f (x )]2+f (x 2)的定义域为⎩⎪⎨⎪⎧1≤x ≤9,1≤x 2≤9,∴x ∈[1,3],令log 3x =t ,t ∈[0,1], ∴y =(t +2)2+2t +2=(t +3)2-3,∴当t =1时,y max =13.答案:137.若函数f (x )=log a (2x 2+x )(a >0,a ≠1)在区间(0,12)内恒有f (x )>0,则f (x )的单调递增区间为__________.解析:令μ=2x 2+x ,当x ∈(0,12)时,μ∈(0,1),而此时f (x )>0恒成立,∴0<a <1.μ=2(x +14)2-18,则减区间为(-∞,-14).而必然有2x 2+x >0,即x >0或x <-12.∴f (x )的单调递增区间为(-∞,-12).答案:(-∞,-12)8.试讨论函数y =2(x 21log )2-2x 21log +1的单调性.解:易知函数的定义域为(0,+∞).如果令u =g (x )=log 12x ,y =f (u )=2u 2-2u +1,那么原函数y =f [g (x )]是由g (x )与f (u )复合而成的复合函数,而u =log 12x 在x ∈(0,+∞)内是减函数,y =2u 2-2u +1=2(u -12)2+12在u ∈(-∞,12)上是减函数,在u ∈(12,+∞)上是增函数.又u ≤12,即log 12x ≤12,得x ≥22;u >12,得0<x <22.由此,从下表讨论复合函数y =f [g (x )]的单调性:y =2(log 12x )2-2log 12x +1故函数y =2(log 12x )2-2log 12x +1在区间(0,22)上单调递减,在区间(22,+∞)上单调递增.9.已知定义在区间(0,+∞)上的函数f (x )满足f (x 1x 2)=f (x 1)-f (x 2),且当x >1时,f (x )<0.(1)求f (1)的值;(2)判断f (x )的单调性;(3)若f (3)=-1,解不等式f (|x |)<-2. 解:(1)令x 1=x 2>0,代入得f (1)=f (x 1)-f (x 1)=0,故f (1)=0. (2)任取x 1,x 2∈(0,+∞),且x 1>x 2,则x 1x 2>1,由于当x >1时,f (x )<0,所以f (x 1x 2)<0,即f (x 1)-f (x 2)<0,因此f (x 1)<f (x 2),所以函数f (x )在区间(0,+∞)上是单调递减函数.(3)由f (x 1x 2)=f (x 1)-f (x 2)得f (93)=f (9)-f (3),而f (3)=-1,所以f (9)=-2.由于函数f (x )在区间(0,+∞)上是单调递减函数,由f (|x |)<f (9),得|x |>9,∴x >9或x <-9.因此不等式的解集为{x |x >9或x <-9}. 10.已知函数2f xx ,1g xx .(1)若存在x ∈R 使f x b g x ,求实数b 的取值范围;(2)设21F x f x mg xm m ,且F x 在[0,1]上单调递增,求实数m 的取值范围.解:(1)x ∈R ,f (x )<b ·g (x )x ∈R ,x 2-bx +b <0Δ=(-b )2-4b >0b <0或b >4.(2)F (x )=x 2-mx +1-m 2,Δ=m 2-4(1-m 2)=5m 2-4,①当Δ≤0即-255≤m ≤255时,则必需⎩⎨⎧m 2≤0-255≤m ≤255-255≤m ≤0.②当Δ>0即m <-255或m >255时,设方程F (x )=0的根为x 1,x 2(x 1<x 2),若m2≥1,则x 1≤0.⎩⎪⎨⎪⎧m 2≥1F (0)=1-m 2≤0m ≥2.若m2≤0,则x 2≤0, ⎩⎪⎨⎪⎧m 2≤0F (0)=1-m 2≥0-1≤m <-255.综上所述:-1≤m ≤0或m ≥2.函数的性质11.定义在R 上的函数f(x)既是奇函数又是以2为周期的周期函数,则f(1)+f(4)+f(7)等于________.解析:f(x)为奇函数,且x ∈R ,所以f(0)=0,由周期为2可知,f(4)=0,f(7)=f(1),又由f(x +2)=f(x),令x =-1得f(1)=f(-1)=-f(1)⇒f(1)=0,所以f(1)+f(4)+f(7)=0.答案:012.已知定义在R 上的函数f(x)是偶函数,对x ∈R ,f(2+x)=f(2-x),当f(-3)=-2时,f(2011)的值为________.解析:因为定义在R 上的函数f(x)是偶函数,所以f(2+x)=f(2-x)=f(x -2),故函数f(x)是以4为周期的函数,所以f(2011)=f(3+502×4)=f(3)=f(-3)=-2.答案:-213.已知定义在R 上的函数f(x)满足f(x)=-f(x +32),且f(-2)=f(-1)=-1,f(0)=2,f(1)+f(2)+…+f(2009)+f(2010)=________.解析:f(x)=-f(x +32)⇒f(x +3)=f(x),即周期为3,由f(-2)=f(-1)=-1,f(0)=2,所以f(1)=-1,f(2)=-1,f(3)=2,所以f(1)+f(2)+…+f(2009)+f(2010)=f(2008)+f(2009)+f(2010)=f(1)+f(2)+f(3)=0.答案:014.已知f(x)是定义在R 上的奇函数,且f(1)=1,若将f(x)的图象向右平移一个单位后,得到一个偶函数的图象,则f(1)+f(2)+f(3)+…+f(2010)=________.解析:f(x)是定义在R 上的奇函数,所以f(-x)=-f(x),将f(x)的图象向右平移一个单位后,得到一个偶函数的图象所以有f (x-1)=f (-x-1)⇒f (x-1)=-f (x+1)⇒f (t+2)=-f (t )⇒f (t+4)=f (t ),所以周期为4,∴f (3)=f (-1)=-f (1)=-1;f (2)=-f (0)=0;f (4)=f (0)=0,所以f(1)+f(2)+f(3)+f(4)=0,则f(1)+f(2)+f(3)+…+f(2010)=f(4)×502+f(2)=0.答案:015.(20XX 年江苏苏州模拟)已知函数f(x)是偶函数,并且对于定义域内任意的x ,满足f(x+2)=-1f(x),若当2<x<3时,f(x)=x ,则f(2009.5)=________.解析:由f(x +2)=-1f(x),可得f(x +4)=f(x),f(2009.5)=f(502×4+1.5)=f(1.5)=f(-2.5)∵f(x)是偶函数,∴f(2009.5)=f(2.5)=52.答案:5216.(20XX 年高考山东卷)已知定义在R 上的奇函数f(x)满足f(x -4)=-f(x),且在区间[0,2]上是增函数.若方程f(x)=m(m >0)在区间[-8,8]上有四个不同的根x1,x2,x3,x4,则x1+x2+x3+x4=________.解析:因为定义在R 上的奇函数,满足f(x -4)=-f(x),所以f(x-2)=-f(x+2),f(2-x)=f(2+x)因此,函数图象关于直线x =2对称且f(0)=0.由f(x -4)=-f(x)知f(x -8)=f(x),所以函数是以8为周期的周期函数.又因为f(x)在区间[0,2]上是增函数,所以f(x)在区间[-2,0]上也是增函数,如图所示,那么方程f(x)=m(m>0)在区间[-8,8]上有四个不同的根x1,x2,x3,x4,不妨设x1<x2<x3<x4.由对称性知x1+x2=-12,x3+x4=4,所以x1+x2+x3+x4=-12+4=-8.答案:-8。
函数的单调性与最值(45分钟 100分)、选择题(每小题5分,共40分)1.(2013 •沈阳模拟)下列函数在(0,+ a )上是增函数的是( )A. y=l n( x-2)C.y=x-x 1y=- ■、 € (- a ,0].1) ________________________ 2【解析】 选 C.函数y=ln (x-2) 在(2,+ a )上为增函数,y=- 在[0,+ a )上为减函 数,y=x-x -1 =x- 在[0,+ a )上为减函数,故C 正确.2.(2014 -衢州模拟 )下列函数中,值域为(-a ,0)的是( )2 A.y=-x 1B.y=3x_1C.y= ' 【解析】D.y=- ' 'y=-x 2的值域为(- a ,0]; {1 1 X <T的值域为y<3X 3y=3x-1 即 y € (- a ,0); y= 的值域为(-a ,0) U (0,+ a );3.(2014 •珠海模拟)若函数y=ax 与y=-':在(0, ":在(0,+ a 选B.函数 1=0,+ a)上都是减函数,则y=ax +bx在(0,+ a)上是A.增函数 B.减函数b【解析】选B.因为y=ax 与、=-、在(0,+ g )上都是减函数,所以a<0,b<0,b所以y=ax 2+bx 的对称轴x=— ]<0,所以y=ax 2+bx 在(0,+ g )上为减函数.4.已知奇函数f(x)对任意的正实数 x i ,x 2(x i 丰X 2),恒有(x i -X 2)(f(x i )-f(x 2))>0,则一定正确的是()A.f(4)>f(-6)B.f(-4)<f(-6)C.f(-4)>f(-6)D.f(4)<f(-6)【解析】选 C.由(x i -x 2)(f(x i )-f(x 2))>0 知 f(x)在(0,+ g )上递增,的值域是() A.{0,1}B.{0,-1}C.{-1,1}D.{1,1}【思路点拨】 先求f(x)的值域,再据[x ]的规定求[f(x)]的值域.2X所以 y=[f(x)] € {0,-1}. 表示不超过x 的最大整数,则函数y=[f(x)]6.(2013 •天津模拟)设函数f(x)= r 2 x - 4x + 6f x > 0, t x + 6f x < 0f 则不等式 f(x)>f(1) 的解集是所以 f(4)<f(6) ? f(-4)>f(-6).又[X ]表示不超过x 的最大整数A.(-3,1) U (3,+ g)B. (-3,1) U (2,+ g)2【解析】选 A.当 x > 0 时,f(x)>f(1)=3, 即 x -4x+6>3,解得 O W x<1 或 x>3;当 x<0 时,f(x)>f(1)=3, 即 x+6>3,解得-3<x<0.故 f(x)>f(1) 的解集是(-3,1) U (3,+8).7. (2014 •厦门模拟)定义在R 上的函数f(x)在区间(-8 ,2)上是增函数,且f(x+2)的图象关于 x=0对称,则() A.f(-1)<f(3)B.f(0)>f(3)C.f(-1)=f(3)D.f(0)=f(3)【思路点拨】由已知得到f(x)的对称性,进而作出图象大致形状,数形结合求解• 【解析】选A.因为f(x+2)的图象关于x=0对称,所以f(x)的图象关于x=2对称,又f(x)在区间(-8,2)上是增函数,则其在(2,+ 8)上为减函数,作出其图象大致形状如图所示 ^=2【加固训练】 已知f(x)是定义在(0,+)上的单调递增函数,且满足f(3x-2)<f(1), 则实数x的取值范围是( A.(- 8,1)C. D.(1,+ 8)【解析】选B.因为 f(x) ;3x-2>0, 所以(敦一 2 < 1? 是定义在(0,+ 8 )上的单调递增函数2 x > -,,且满足 f(3x-2)<f(1), ? x €所以实数x 的取值范围是 V由图象知,f(-1)<f(3), 故选A.8.(能力挑战题)(2013 •金华模拟)设函数 g(x)=x 2-2(x € R),fg(x) + x + 4,x < g(x),f (x )= I - >g (X)・则 f(x)的值域是()r g '■ 4^°A.J U (1,+ g )B. [0,+ g ) 討)C. Lf【思路点拨】 明确自变量的取值范围,先求每一部分的函数值范围,再取并集求值域2x + x + 2, x <-> 2F 2 L x -x-2, - 1 < x < 2,、填空题(每小题5 分,共20分)9. (2014 •台州模拟)如果函数f(x)=ax 2-3x+4在区间(-g ,6)上单调递减,则实数a 的取值范围【解析】 选 D.由 x<g(x)=x 2-2 得 x 2-x-2>0,则x<-1或x>2.因此由 x > g(x)=x 2-2 得-1 < x < 2. 由以上可得f(x)的值域是 U (2,+ g ).D. 于是f(x)= 且 f(-1)=f(2)=0,所以-(2)当0时,二次函数f(x)的对称轴为直线因为f(x)在区间(-g ,6)上单调递减, 31 所以a>0,且2a > 6,解得 0<a w 4【误区警示】本题易忽视a=0的情况而失误【思路点拨】由于f(x)为R 上的减函数,所以当x<-1时,恒有f(x)>f(-1),由此可求得a 的取 值范围. 円【解析】因为f(x)为R 上的减函数,所以必有f(-1) W 1 ,即1+a w -1,所以a w -2. 答案:a w -2的取值范围是. 卜'+ax,x< li [ax z + x.x > 1【解析】因为函数f(x)=在R 上单调递减,2 2 所以g(x)=x +ax 在(-g ,1]上单调递减,且h(x)=ax +x 在(1,+ g )上单调递减,且g(1) > h(1),【解析】(1)当a=0时,f(x)=-3x+4. 函数在定义域 R 上单调递减,故在区间(-g ,6)上单调递减 10.函数 f(x)= f 1| —‘X <- 1,Xk - x + a f x >- 1在R 上是减函数,则实数 a 的取值范围是【加固训练】 (2013 •保定模拟)已知函数f(x)=在R 上单调递减,则实数a综上所述,0 < aw :.a < 0,11——v 1,2a _l + a > a + 1,b所以解得a w-2.答案:a w -211. (2014 •宁波模拟)规定符号“”表示一种两个正实数之间的运算,即ab岂^b+a+b,a,b是正实数,已知1k=3,则函数f(x)=kx 的值域是.【解析】由题意知1k=; +1+k=3,解得k=1,所以f(x)=kx=1x==(-£|+2)2+4,因为>0,所以f(x)>1.答案:(1,+ )12. 函数f(x)的定义域为A,若X I,X2€ A且f(x i)=f(x 2)时总有x i=X2,则称f(x)为单函数.例如,函数f(x)=2x+1(x € R)是单函数,下列命题:①函数f(x)=x 2(x € R)是单函数;②指数函数f(x)=2 x(x € R)是单函数;③若f(x)为单函数,x 1,x 2€ A 且X" X2,则f(x 1)丰 f(x 2);④在定义域上具有单调性的函数一定是单函数其中的真命题是(写出所有真命题的编号).【解析】对于①,x 1=2,x 2=-2时,f(x 1 )=f(x 2),而X" X2,故函数f(x)=x 不为单函数,故①错;对于②,因为y=2x在定义域内为单调增函数,故②正确;对于③,假设f(x 1)=f(x 2),由f(x)为单函数,故X1=X2,这与X1M X2矛盾,故原命题成立,故③正确;对于④,因函数在定义域上具有单调性,即满足f(x)为单函数的定义,故④正确.答案:②③④三、解答题(13题12分,14〜15题各14分)13. (2014 •温州模拟)已知函数 f(x)=log a (1-x)+log a (x+3)(0<a<1). ⑴求函数f(x)的定义域.⑵若函数f(x)的最小值为-4,求实数a 的值.解之得-3<x<1.所以函数的定义域为{x|-3<x<1}._ 22 ⑵ 函数可化为 f(x)=log a (l-x)(x+3)=log a (-x -2x+3)=log a [-(x+1)+4]. 2因为-3<x<1,所以 0<-(x+1) +4W 4.2因为 0<a<1,所以 log a [-(x+1) +4] > log a 4,即 f(x) min =log a 4.I -壯 由 log a 4=-4,得 a -4=4,所以 a=_=- 故实数a 的值为丄.I14. 已知函数f(x)=a- 1刘.⑵ 若f(x)<2x 在(1,+ g )上恒成立,求实数a 的取值范围【解析】 ⑴ 当x € (0,+ g )时,1f(x)=a- ”,设 0<X 1<X 2,则 X 1X 2>0,x 2-x 1>0, l\ 1\a a _电丿xj所以f(x)在(0,+ g )上是增函数【解析】(1)要使函数有意义:则有 I -X > 0 x + 3 > 0(1)求证:函数y=f(x) 在(0,+ g )上是增函数f(x 2)-f(X 1)=1 1⑵ 由题意a- <2x 在(1,+ g )上恒成立,设h(x)=2x+壬, 则a<h(x)在(1,+ g )上恒成立.任取 x i ,x 2€ (1,+ g )且 x i <X 2,因为 1<X 1<X 2,所以 X 1-X 2<O,X 1X 2>1, I 1 I所以 2-' >0,所以 h(x i )<h(X 2),所以h(x)在(i,+ g )上单调递增故 a w h(i)即 a w 3,所以a 的取值范围是(-g ,3].i5.(能力挑战题)(20i4 •绍兴模拟)已知函数f(x)⑴求f(i).⑵解不等式 f(-x)+f(3-x) > -2.【解析】⑴令x=y=i,则 f(i)=f(i)+f(i),f(i)=0.⑵由题意知f(x)为(0,+ g )上的减函数:-x>0,且B-xAO.所以 x<o,因为 f(xy)=f(x)+f(y),住)x,y € (0,+ g )且 f ' =i.所以 f(-x)+f(3-x) > -2,h(x i )-h(x 2)=(x i -x 2)的定义域是(0,+ g ),且满足f(xy)=f(x)+f(y),f =i,如果对于 0<x<y,都有 f(x)>f(y).解得-1 W x<0.所以不等式的解集为[-1,0). 可化为 f(-x)+f(3-x) > -2f > 0=f(1),f(-x)+f。
高中函数试题及答案解析试题一:函数的奇偶性1. 判断函数f(x) = x^2 - 2x + 3的奇偶性,并说明理由。
2. 若f(x)为奇函数,且f(1) = 5,求f(-1)的值。
试题二:函数的单调性3. 判断函数g(x) = -3x^2 + 6x - 2在区间(-∞, 1]上的单调性。
4. 若函数h(x) = 2x^3 - 6x^2 + 3x + 1在区间[-1, 1]上单调递减,求h'(x)的值。
试题三:复合函数的单调性5. 若f(x) = x^2 + 1,g(x) = 2x - 3,求复合函数f(g(x)),并判断其单调性。
6. 若复合函数f(g(x))在区间[-2, 1]上单调递增,求g'(x)的值。
试题四:函数的值域7. 求函数y = 3x + 2在x∈[-1, 4]上的值域。
8. 若函数y = 1/x在x∈(0, 1]上的值域为[2, +∞),求y的最小值。
试题五:函数的极值9. 求函数k(x) = x^3 - 3x^2 + 2x在x = 1处的极值。
10. 若函数m(x) = x^4 - 4x^3 + 4x^2 + 8x + 1在x = 2处取得极小值,求m'(x)和m''(x)的值。
答案解析:1. 函数f(x) = x^2 - 2x + 3为偶函数,因为f(-x) = (-x)^2 - 2(-x) + 3 = x^2 + 2x + 3 = f(x)。
2. 由于f(x)为奇函数,所以f(-1) = -f(1) = -5。
3. 函数g(x) = -3x^2 + 6x - 2在区间(-∞, 1]上单调递增,因为g'(x) = -6x + 6,当x < 1时,g'(x) > 0。
4. 函数h(x)的导数h'(x) = 6x^2 - 12x + 3,由于h(x)在区间[-1, 1]上单调递减,所以h'(x) < 0,即6x^2 - 12x + 3 < 0。
高三数学一轮复习典型题专题训练函 数一、填空题1、(南京市、镇江市2019届高三上学期期中考试)函数()27log 43y x x =-+的定义域为_____________2、(南京市2019届高三9月学情调研)若函数f (x )=a +12x -1 是奇函数,则实数a 的值为 ▲3、(苏州市2019届高三上学期期中调研)函数()lg(2)2f x x x =-++的定义域是 ▲ .4、(无锡市2019届高三上学期期中考试)已知8a =2,log a x =3a ,则实数x =5、(徐州市2019届高三上学期期中质量抽测)已知奇函数()y f x =是R 上的单调函数,若函数2()()()g x f x f a x =+-只有一个零点,则实数a 的值为 ▲ .6、(盐城市2019届高三第一学期期中考试)已知函数21()()(1)2xf x x m e x m x =+--+在R 上单调递增,则实数m 的取值集合为 .7、(扬州市2019届高三上学期期中调研)已知函数()f x 为偶函数,且x >0时,32()f x x x =+,则(1)f -= .8、(常州市武进区2019届高三上学期期中考试)已知函数()(1)()f x x px q =-+为偶函数,且在(0,)+∞单调递减,则(3)0f x -<的解集为 ▲9、(常州市2019届高三上学期期末)函数1ln y x =-的定义域为________.10、(海安市2019届高三上学期期末)已知函数f (x )=⎩⎪⎨⎪⎧3x -4,x <0,log 2x ,x >0,若关于x 的不等式f (x )>a 的解集为(a 2,+∞),则实数a 的所有可能值之和为 .11、(南京市、盐城市2019届高三上学期期末)已知y =f (x )为定义在R 上的奇函数,且当x >0时,f (x )=e x +1,则f (-ln2)的值为 ▲ .12、(南通市三地(通州区、海门市、启东市)2019届高三上学期期末) 函数有3个不同的零点,则实数a 的取值范围为____13、(苏北三市(徐州、连云港、淮安)2019届高三期末)已知,a b ∈R ,函数()(2)()f x x ax b =-+为偶函数,且在(0,)+∞上是减函数,则关于x 的不等式(2)0f x ->的解集为 .14、(苏州市2019届高三上学期期末)设函数220()20x x x f x x x ⎧-+≥=⎨-<⎩,,,若方程()3f x kx -=有三个相异的实根,则实数k 的取值范围是 .15、(南京市2018高三9月学情调研)已知函数f (x )=⎩⎨⎧2x 2,x ≤0,-3|x -1|+3,x >0.若存在唯一的整数x ,使得f (x )-a x >0成立,则实数a 的取值范围为 ▲ .16、(苏州市2018高三上期初调研)已知函数()()0af x x a x=+>,当[]1,3x ∈时,函数()f x 的值域为A ,若[]8,16A ⊆,则a 的值是 .17、(镇江市2018届高三第一次模拟(期末)考试)已知k 为常数,函数⎪⎩⎪⎨⎧>≤-+=0ln 0,12)(x x x x x x f ,若关于x 的方程2)(+=kx x f 有且只有4个不同的解,则实数k 的取值集合为18、(苏锡常镇四市2019届高三教学情况调查(一))已知函数2log (3)0()210x x x f x x -≤⎧=⎨->⎩,,,若1(1)2f a -=,则实数a = . 19、(盐城市2019届高三第三次模拟)若函数)1lg()1lg()(ax x x f +++=是偶函数,则实数a 的值_____.20、(江苏省2019年百校大联考)已知函数2,1(),1x x x f x x x ⎧-≥=⎨<⎩ ,则不等式2()f x f x ⎛⎫< ⎪⎝⎭的解集是 .21、(七市(南通、泰州、扬州、徐州、淮安、宿迁、连云港)2019届高三第一次模拟(2月)) 已知函数()()()2|||2|(0)f x x a x a x a a =+-++<.若(1)(2)(3)f f f +++…(672)0f +=,则满足()2019f x =的x 的值为 ▲ .22、(七市(南通、泰州、扬州、徐州、淮安、宿迁、连云港)2019届高三第二次模拟)定义在R 上的奇函数()f x 满足(4)()f x f x +=,且在区间[)24,上,223()434x x f x x x -<⎧=⎨-<⎩≤≤,,,,则函数5()log y f x x =-| |的零点的个数为 ▲ .23、(七市(南通、泰州、扬州、徐州、淮安、宿迁、连云港)2019届高三第二次模拟(5月)) 已知函数2()23f x x x a =-+,2()1g x x =-.若对任意[]103x ∈,,总存在[]223x ∈,,使得 12()()f x g x ≤成立,则实数a 的值为 ▲ .二、解答题1、(南京市、镇江市2019届高三上学期期中)已知k R ∈,函数2()(1)2f x x k x k =+-=-(1)解关于x 的不等式()2f x <(2)对任意(1,2),()1x f x ∈-≥恒成立,求实数k 的取值范围2、(南京市、镇江市2019届高三上学期期中)已知函数4()log log (0a f x x x a =+>且a ≠1)为增函数。
(1)求实数a 的取值范围;(2)当a =4时,是否存在正实数m ,n (m <n ),使得函数f(x)的定义域为[m ,n ],值域为[,]22m n?如果存在,求出所有的m ,n ,如果不存在,请说明理由。
3、(苏州市2019届高三上学期期中)已知()x xaf x e e =-是奇函数. (1)求实数a 的值;(2)求函数222()x x y e e f x λ-=+-在),0[∞+∈x 上的值域; (3)令()()2g x f x x =-,求不等式32(1)(13)0g x g x ++-<的解集.4、(南京市2018高三9月学情调研)某工厂有100名工人接受了生产1000台某产品的总任务,每台产品由9个甲型装置和3个乙型装置配套组成,每个工人每小时能加工完成1个甲型装置或3个乙型装置.现将工人分成两组分别加工甲型和乙型装置.设加工甲型装置的工人有x 人,他们加工完甲型装置所需时间为t 1小时,其余工人加工完乙型装置所需时间为t 2小时.设f (x )=t 1+t 2. (1)求f (x )的解析式,并写出其定义域; (2)当x 等于多少时,f (x )取得最小值?5、(苏州市2017届高三上学期期中调研)已知函数()33()x x f x λλ-=+⋅∈R(1)若()f x 为奇函数,求λ的值和此时不等式()1f x >的解集; (2)若不等式()6f x ≤对[0,2]x ∈恒成立,求实数λ的取值范围.6、设函数()()0,0221>>++-=+b a bax f x x . (1)当2==b a 时,证明:函数()x f 不是奇函数; (2)设函数()x f 是奇函数,求a 与b 的值;(3)在(2)条件下,判断并证明函数()x f 的单调性,并求不等式()61->x f 的解集.7、已知a R ∈,函数()||f x x x a =-。
(1)当2a =时,写出函数()y f x =的单调递增区间; (2)当2a >时,求函数()y f x =在区间[1,2]上的最小值;(3)设0a ≠,函数()y f x =在(,)m n 上既有最大值又有最小值,请分别求出,m n 的取值范围(用a 表示)。
8. 已知函数16()1x f x a a+=-+(0a >且1)a ≠是定义在R 上的奇函数.(1)求实数a 的值及函数()f x 的值域;(2)若不等式()33x t f x ⋅≥-在[1,2]x ∈上恒成立,求实数t 的取值范围.9. 已知函数2()21x f x a =-+(常数a ∈R ) (1)讨论函数()f x 的奇偶性,并说明理由;(2)当()f x 为奇函数时,若对任意的[2,3]x ∈,都有()2x mf x ≥成立,求m 的最大值.参考答案一、填空题 1、2、123、[)2,2-4、13 5、14-6、{}1-7、28、(,2)(4,)-∞+∞9、(0,e] 10、6 11、-3 12、13、(0,4) 14、15、[0,2]∪[3,8] 16、15 17、⎩⎨⎧⎭⎬⎫1c 3∪(-e ,-1)18、2log 3 19、-1 20、{}202x x x <-<<或21、337 22、5 23、13-二、解答题 1、2、3、解:(1)函数的定义域为R ,因为()f x 为奇函数,由()()f x f x -=-可知,(0)0f =, 所以10a -=,所以1a =; ………………3分当1a =时,11()()x xx x f x e e f x e e---=-=-+=-,此时()f x 为奇函数. ………………4分 (2)令1x x e t e -=(0t ≥),所以22212x x e t e+=+所以2()22h t t t λ=-+,对称轴t λ=, ………………5分 ①当0λ≤时,[)()(0),h t h ∈+∞,所求值域为[)2,+∞; ………………7分②当0λ>时,[)()(),h t h λ∈+∞,所求值域为)22,λ⎡-+∞⎣; ………………9分(3)因为1()x xf x e e =-为奇函数,所以()()2()()2(),g x f x x f x x g x -=---=-+=- 所以()()2g x f x x =-为奇函数,所以32(1)(13)0g x g x ++-<等价于32(1)(31)g x g x +<-, ………………10分 又1()()22220x xg x f x e e ''=-=+--=≥当且仅当0x =时,等号成立, 所以()()2g x f x x =-在R 上单调增,所以32131x x +<-, ………………13分 即32320x x -+<,又32232(1)(22)0x x x x x -+=---<,所以1x <或11x << ………………15分所以不等式的解集是(,1(1,13)-∞+. ………………16分4、解:(1)因为t 1=9000x, ………………………2分t 2=30003(100-x )=1000100-x , ………………………4分所以f (x )=t 1+t 2=9000x +1000100-x , ………………………5分定义域为{x |1≤x ≤99,x ∈N *}. ………………………6分 (2)f (x )=1000(9x +1100-x )=10[x +(100-x )]( 9x +1100-x)=10[10+9(100-x )x + x100-x ]. ………………………10分因为1≤x ≤99,x ∈N *,所以9(100-x )x >0,x100-x>0, 所以9(100-x )x + x100-x≥29(100-x )x ⋅x100-x=6, …………………12分 当且仅当9(100-x )x =x100-x ,即当x =75时取等号. …………………13分答:当x =75时,f (x )取得最小值. ………………………14分5、解:(1)函数()33x x f x λ-=+⋅的定义域为R .∵()f x 为奇函数,∴()()0f x f x -+=对x ∀∈R 恒成立,即3333(1)(33)0xxxxxxλλλ---+⋅++⋅=++=对x ∀∈R 恒成立, ∴1λ=-. ..........3分 此时()331x x f x -=->即2(3)310x x -->,解得33)x x <舍去, ..........6分∴解集为3{|log x x >. ..........7分 (2)由()6f x ≤得336x x λ-+⋅≤,即363x xλ+≤,令3[1,9]x t =∈,原问题等价于6t tλ+≤对[1,9]t ∈恒成立, 亦即26t t λ-+≤对[1,9]t ∈恒成立, ...........10分令2()6,[1,9]g t t t t =-+∈,∵()g t 在[1,3]上单调递增,在[3,9]上单调递减,∴当9t =时,()g t 有最小值(9)27g =-,∴27λ-≤. .........14分6、解:(1)当2==b a 时,()22221++-=+x x x f所以()211=-f ,()01=f ,所以()()11f f -≠-,所以函数()x f 不是奇函数. (2)由函数()x f 是奇函数,得()()x f x f -=-,即ba b a x x x x ++--=++-++--112222对定义域内任意实数x 都成立,化简整理得 ()()()02242222=-+⋅-+⋅-b a ab b a x x 对定义域内任意实数x 都成立所以⎩⎨⎧=-=-04202ab b a ,所以⎩⎨⎧-=-=21b a 或⎩⎨⎧==21b a经检验⎩⎨⎧==21b a 符合题意.(3)由(2)可知()⎪⎭⎫⎝⎛++-=++-=+12212122121x x x x f易判断()x f 为R 上的减函数,证明略(定义法或导数法) 由()611-=f ,不等式()61->x f 即为()()1f x f >,由()x f 在R 上的减函数可得1<x . 另解:由()61->x f 得,即61122121->⎪⎭⎫ ⎝⎛++-x ,解得22<x,所以1<x . (注:若没有证明()x f 的单调性,直接解不等式,正确的给3分)7、解:(1)当2=a 时,⎩⎨⎧<-≥-=-=2),2(2),2(|2|)(x x x x x x x x x f , ……2分由图象可知,)(x f y =的单调递增区间为),2[],1,(+∞-∞. ……4分(2)因为]2,1[,2∈>x a ,所以4)2()()(222a a x ax x x a x x f +--=+-=-=.……6分当2321≤<a ,即32≤<a 时,42)2()(min -==a f x f ; ……7分 当232>a ,即3>a 时,1)1()(min -==a f x f . ……8分 ⎩⎨⎧>-≤<-=∴3,132,42)(min a a a a x f . ……9分(3)⎩⎨⎧<-≥-=a x x a x ax a x x x f ),(),()(, ……10分①当0>a 时,图象如图1所示.由⎪⎩⎪⎨⎧-==)(42a x x y a y 得a n a a m a x 212,20.2)12(+≤<<≤∴+=. ……12分图1 图2 ②当0<a 时,图象如图2所示.由⎪⎩⎪⎨⎧-=-=),(,42x a x y a y 得02,212.221≤<<≤+∴+=n a a m a a x . ……14分8、9、解:(1)若)(x f 为奇函数,必有(0)10f a =-= 得1a =,……………………2分当1a =时,221()12121x x x f x -=-=++,2112()()2121x xx x f x f x -----===-++∴当且仅当1a =时,)(x f 为奇函数 ………………………4分又2(1)3f a =-,4(1)3f a -=-,∴对任意实数a ,都有(1)(1)f f -≠∴)(x f 不可能是偶函数 ………………………6分 (2)由条件可得:222()2(1)(21)32121x x xx x m f x ≤⋅=-=++-++恒成立, ……8分 记21x t =+,则由[2,3]x ∈ 得[5,9]t ∈, ………………………10分此时函数2()3g t t t=+-在[5,9]t ∈上单调递增, ………………………12分 所以()g t 的最小值是12(5)5g =, ………………………13分所以125m ≤ ,即m 的最大值是125 ………………………14分。