西电微波电子线路作业
- 格式:docx
- 大小:2.03 MB
- 文档页数:25
微波电子线路大作业姓名:班级:021014学号:一 肖特基势垒二极管与混频器1 肖特基势垒二极管利用金属与半导体接触形成肖特基势垒构成的微波二极管称为肖特基势垒二极管。
这种器件对外主要呈现非线性电阻特性,是构成微波混频器、检波器和微波开关等器件的核心元件。
目前绝大多数混频器都采用肖特基势垒二极管,因为肖特基势垒二极管的耗尽电容比PN 结电容小的多,因此肖特基势垒二极管更适合微波频率下工作。
肖特基势垒二极管的等效电路如右图所示:肖特基二极管作为非线性电阻应用时,除结电容之外,其他都是寄生参量,会对电路的性能造成影响,应尽量减小它们本身的值,或在微波电路设计时,充分考虑这些寄生参 量的影响。
一般地,肖特基势垒二极管的伏安特性可以表示为:对于理想的肖特基势垒,;当势垒不理想时,,点接触型二极管,面结合型二极管。
如下图是肖特基势垒二极管的伏安特性曲线:肖特基势垒二极管特性参量:1) 截止频率2) 噪声比(理想情况下) 3) 中频阻抗 4) 变频损耗2 混频器微波混频器的核心元件是肖特基势垒二极管。
混频机理是基于肖特基势垒二极管结电阻的非线性管子在偏压和本振的激励下,跨导随时间变化,加上信号电压后出现一系列频率成分的电流,用滤波器取出所需中频即可。
j R SR j C p C SL描述二极管混频器的混频过程,需要建立一个等效电路。
由于混频二极管是一个单向器件,不仅与和差拍产生新的频率,而其电流在一定的阻抗上所建立起的电压也会反过来加到二极管上该电压与和差拍,也产生新的频率。
混频器等效电路如右图所示:信频、中频和镜频电流的幅值为:由等效电路可以求出变频损耗。
微波混频器的作用是将微波信号转换为中频信,频率变换后的能量损耗即为变频损耗。
变频损耗主要包括三部分:(1) 由寄生频率产生的净变频损耗。
(2) 由混频二极管寄生参量引起的结损耗 。
(3) 混频器输入/输出端的失配损耗。
结论;混频器的变频损耗载镜频开路时变频损耗最低,镜频匹配时变频损耗最高。
题目:微波电子线路大作业授课老师:杨锐学院:电子工程学院专业:电子信息工程学生姓名:王静波学号:02111344微波二极管介绍微波领域内的各种二极管,包括变容二极管、阶跃二极管、PIN二极管、限幅二极管、电调变容二极管、固体噪声二极管和雪崩二极管等。
一.微波混频二极管和微波检波二极管基于金属-半导体相接触具有非线性电导原理制成的两端器件。
这种器件早在第二次世界大战期间就用于雷达接收机中,是半导体领域中最早出现的实用性器件。
1965年以前,这两种二极管均为点接触结构,即用微米级的金属触丝尖端与半导体锗或硅接触而产生高频整流特性。
1965年以后出现性能优越的肖特基势垒型混频和检波二极管(又称肖特基二极管),其工作频率从几百兆赫到 300吉赫,具有噪声低、频带宽、抗烧毁性能好等特点。
在整个微波频带内直接用二极管混频的微波接收机的噪声系数为4.0~70分贝。
梁式引线结构和四管堆具有多倍频程的性能。
检波二极管的工作频率范围为0~40吉赫,检波正切灵敏度为45~55分贝毫瓦。
二.变容二极管基于PN结结电容随反向偏压变化而制成的微波半导体器件。
大体可分两大类:低噪声参量放大器用变容管和电调谐用变容管。
前者用于微波参量放大器,噪声温度低达30K,已广泛用于卫星地球站。
后者主要用于频率调谐、压控振荡器、电子对抗和捷变频雷达快速调频等。
此外,变容管还可以用于移相、限幅等。
在制作上,两类器件有一定区别,参放变容管要有好的电容非线性和很高的优值;而电调谐变容管则要严格控制半导体外延层的掺杂浓度分布以便获得大的电容变化区,并且应具有较高的优值。
三.肖特基势垒二极管结构:肖特基势垒二极管在结构原理上与PN结二极管有很大区别,它的内部是由阳极金属(用钼或铝等材料制成的阻挡层)、二氧化硅(SiO2)电场消除材料、N-外延层(砷材料)、N型硅基片、N+阴极层及阴极金属等构成,如图所示。
在N型基片和阳极金属之间形成肖特基势垒。
当在肖特基势垒两端加上正向偏压(阳极金属接电源正极,N型基片接电源负极)时,肖特基势垒层变窄,其内阻变小;反之,若在肖特基势垒两端加上反向偏压时,肖特基势垒层则变宽,其内阻变大。
微波电子线路大作业姓名:哦呵呵 学号: 班级: 一、肖特基势垒二极管肖特基势垒二极管是利用金属与半导体接触形成肖特基势垒而构成的一种微波二极管,它对外主要体现出非线性电阻特性,是构成微波阻性混频器、检波器、低噪声参量放大 器、限幅器和微波开关等的核心元件。
1、结构:肖特基势垒二极管有两种管芯结构:点接触型和面接触型。
2、工作原理:肖特基势垒二极管工作的关键区域是金属和N 型半导体结形成的肖特基势垒区域,是金属和N 型半导体形成的肖特基势垒结区域。
在金属和N 型半导体中都存在导电载流子—电子。
它们的能级不同,逸出功也不同。
当金属和N 型半导体相结时,电子流从半导体一侧向金属一侧扩散,同时也存在金属中的少数能量大的电子跳跃到半导体中,称为热电子。
显然,扩散运动占据明显优势,于是界面上金属中形成电子堆积,在半导体中出现带正电的耗尽层。
在界面上形成由半导体指向金属的内建电场,它是阻止电子向金属一侧扩散的,而对热电子发射则没有影响。
随着扩散过程的继续,内建电场增强,扩散运动削弱。
于是在某一耗尽层厚度下,扩散和热电子发射处于平衡状态。
宏观上耗尽层稳定,两边的电子数也稳定。
界面上就形成一个对半导体一侧电子的稳定高度势垒GW eN D D S 22=φ,D N 是N 半导体的参杂浓度,D W 厚度存在于金属—半导体界面由扩散运动形成的势垒成为肖特基势垒,耗尽层和电子堆积区域成为金属—半导体结。
3、伏安特性:利用金属与半导体接触形成肖特基势垒构成的微波二极管称为肖特基势垒二极管。
这种器件对外主要呈现非线性电阻特性,是构成微波混频器、检波器和微波开关等的核心元件。
一般地,肖特基势垒二极管的伏安特性可以表示为半导外延点接半导外延面结氧化金属金 金两种肖特基势垒二极管结构 金属触欧姆接触]1)[exp(1)exp()(-=⎥⎦⎤⎢⎣⎡-==U I nkT qU I U f I S S α (1-1) 式中:nkTq =α。
微波电子线路大作业02091411范仕祥一.PIN 管微波开关按功能分有两种:通断开关和转换开关;按PIN 管与传输线的连接方式分为串联型、并联型和串并联型;从开关结构形式出发可分为反射式开关、谐振式开关、滤波器型开关、阵列式开关等。
单刀单掷开关基本原理如果PIN 管正、反偏时分别为理想短路和开路,则对上图(a )的串联型开关来说,PIN 管理想短路时,开关电路理想导通;PIN 管理想开路时,开关理想断开。
对(c )图的并联型开关来说,情况相反,PIN 管短路,对应开关断开;PIN 管开路,对应开关导通。
由于封装参数的影响,对于单管开关无论是串联型还是并联型,都只能在固定的某几个较窄的频率区间有开关作用,而实际的工作频率常常不在这些区域。
为了扩展开关的工作模区,改善开关性能,有的直接把管芯做在微波集成电路上;也有采用改进的开关电路,其中常用的有谐振式开关、阵列式开关和滤波器型开关。
单刀双掷开关开关指标开关时间:τ为载流子寿命,I0为正向电流,IR 为反 向电流,IR ↑,ts ↓, 则: 功率容量:并联开关:导通时 截止时串联开关:导通时 截止时00ln 's s f R I I T T I I ττ==、2010(2)4f dn dm f Z R P P Z R +=2302B dn V P Z =2020(2)4f dn dm f Z R P P Z R +=2308B dn V P Z =当频率升高时,串联或并联一只PIN 管的开关,其性能指标将恶化,因此,可采用多个二极管级联,以提高开关性能。
多管阵列型开关是在均匀传输线上等间隔的并联(或串联)若干个PIN 管而构成,根据微波网络理论可对阵列型开关进行分析。
单管开关级联就可做成阵列式开关,因此阵列式开关的分析可归结为级联网络分析,可用传递矩阵相乘的方法求出阵列开关的衰减特性。
采用多管串联的电路形式,可加大该通道开关的功率容量:而采用多管并联的形式,则可提高该通道开关的隔离度。
3 微波混频器的工作原理——复习混频机理是基于肖特基势垒二极管结电阻R的非线性管子在偏压和j本振的激励下,跨导随时间变化,加上信号电压后出现一系列频率成分的电流,用滤波器取出所需中频即可。
一、混频器的本振激励特性以单管混频器为例,输入:本振、偏压、信号、输出、中频()u f i =()au sa au Sa e I e I ≈-=1由图t V t V V u S S L L ωωcos cos 0++=S u 远小于L u ,故可视为微分增量u ∆ ()u u f i ∆+=∴()()+∆+'++=u t V V f t V V f L L L L ωωc o s c o s 00…...u ∆很小,忽略平方以后高次项,只取一阶导数项。
一阶导数表示了小信号电流与小信号电压之间的关系,即变频跨导()tL V V u dudiuu i i i ωcos 0+=∆+=∆+()()t ug u i ∆+= 式中 ()()t V V a Sa L L e aI dudit g ωcos 0+==现 ()t g 是t 的周期偶函数,可展成以下形式的级数 ()∑∞=+=10cos 2n L n n t g g t g ωn g 为n 阶变混频跨导,是t n L ωcos 的付利叶系数平均混频跨导()⎰=πωπ20021t d t g g L ()⎰+=πωπ20cos 021t V V a Sa L L e aI t d L ω()L aV Sa aV J e aI 00= n 阶变混频跨导1g ()⎰+=πωπ20cos 021t V V a Sa L L e aI tdt L ωcos()L aV Sa aV J e aI 10=……n g ()⎰+=πωπ20cos 021t V V a Sa L L e aI tdt L ωcos()L n aV Sa aV J e aI 0= J n (x),第一类贝赛尔函数本振电压作用下,混频器为一周期时变电导0g 为平均电导,n g 为n 次变频跨导(对本振n 次而言)与本振信号有关的电流 ()t V V f i L L ωcos 0+= ∑∞=+=10cos 2n L n t n I I ω平均电流 ()L aV Sa aV J e I I 000=基波电流 ()L aV Sa L aV J e I I J 11022==L aV 足够大 ,大宗量近似, ()LLn dV eaV J π2aV L ≈代入上两式 02I I L ≈本振激励功率为L L L L V I I V P 021== 本振电导 LL L L V I V I G 02==可通过0I 和L V 来调节L P L G ,测量L P 和0I 可以了解本振工作性质 ——具有工程意义,直流和本振大小使混频器特性好二、非线性电阻的电流频谱1、小信号一次混频结果。
微波电子线路大作业(3)班级:姓名:学号:一、微波二极管负阻振荡器由砷化镓材料制成的体效应二极管呈现负阻效应的物理基础是能带结构的电子转移效应,而产生负阻效应的原理则是由于高场畴的形成。
典型的Gunn 二极管的结构如图所示.铜底座(接铜螺纹)提供一条外加散热器的低阻热通道,螺纹端拧在散热器上,它是接到直流电源的负极,陶瓷圆环起绝缘作用,它把正负极隔开。
若将耿氐二极管装在谐振腔的适当位置上,只要在它的两端加上适当的直流电压,就可以在谐振腔内产生微波振荡.这就构成了微波负阻振荡器。
由于谐振腔相当于集总电路的000L R L --并联谐振电路,它与耿氐二极管组合起来就形成了如图3-12(a)的等效电路,其中图(a)的左侧表示Gunn 二极管等效电路。
d C 和d R -是有源区参数,Cd 是Gunn 管电荷区域的电容参数,d R -是在电场超过阈值后所呈现的负阻特性,C 、L 是管壳及引线所呈现的分布参数;图(a)右侧表示谐振腔等效电路。
二极管具有负阻-Rd ,而负载则是正电阻R0,由于-Rd 与R0并联,它的电阻为00R R R R R d d t +=所以进一步简化后就变成如图(b)所示的等效电路。
当直流电源刚接通时,如工作点选择恰当且能满足Rd>R0的条件,则Rt 为负值。
在这种情况下,噪声足以触发振荡,使振幅随时间而增长。
但是,管阻-Rd 是非线性的,随着振幅的增大|-Rd|的数值逐渐减小。
当|-Rd|=R0时,从式不难看出,Rt=∞。
这就相当并联电阻Rt开路,变成Lt与Ct所组成的无损耗回路,因此产生等幅振荡。
谐振腔的作用是一方面可以调谐振荡波形使其接近正弦,另一方面把高频电磁能量收集在腔内,并通过耦合把高频能量送到负载上。
X波段波导耿氏振荡器的结构如图耿氏二极管横装在矩形波导中,并且由调节短路活塞改变腔的大小进行频率调谐。
振荡频率与腔体的长度有关,它的长度大体等于半个波导波长整数倍,腔体的长度是指从Gunn管的安装柱面到可调短路面之间的距离。
微波电子线路大作业姓名:袁宁班级:020914学号:02091400一、肖特基势垒二极管利用金属与半导体接触形成肖特基势垒构成的微波二极管称为肖特基势垒二极管。
这种器件对外主要呈现非线性电阻特性,是构成微波混频器、检波器和微波开关等的核心元件。
一般地,肖特基势垒二极管的伏安特性可以表示为(1)如图是肖特基势垒二极管的伏安特性曲线假定二极管两端的电压由两部分构成:直流偏压和交流信号(t)=cos,即(2)代入式(1),求得时变电流为(3)定义二极管的时变电导g(t)为根据式(1)得对式(3)进行傅里叶级数展开:i(t)=交流偏压的基波电流幅度I1=I L:I n=2I S exp(αU dc)J1(αU L)根据贝塞尔函数的大宗量近似式,当αU L较大时,有I dcI L二极管对交流信号所呈现的电导为G L=交流偏压一定时,G L随I dc的增大而增大,借助于U dc来调节I dc 可以改变G L的值,使交流信号得到匹配。
二.变容二极管PN结的结电容(主要是势垒电容)随着外加电压的改变而改变,利用这一特性可以构成变容二极管(简称为变容管)。
变容管作为非线性可变电抗器件,可以构成参量放大器、参量变频器、参量倍频器(谐波发生器)、可变衰减或调制器等。
结电容可以表示为以下普遍形式:mj j U C U C ]1[)0()(Φ=— 式中:m 称为结电容非线性系数,取决于半导体中参杂浓度的分布状态。
给变容管加上直流负偏压dc U 和交流信号(泵浦电压) t U t u p p p ωcos )(=,即 t U U t u p p ωcos )(dc += 由上式得时变电容为m cos p 1)(]cos 1[)0()()—(—t U C tU U C t C p dc j mp p dc j j ωω=Φ+=式中:m dc j dc j U C U C ]1[)0()(Φ=—,dcU U p p—Φ=其中:)(dc j U C 为直流工作点dc U 处的结电容;p 为相对泵浦电压幅度(简称相对泵幅),表明泵浦激励的强度。
微波电子线路雷振亚李磊宁高利课时46学时1 绪论——微波电子系统介绍一、本课程在微波技术中的地位名称与内容微波技术与微波电子线路有源与无源信号产生、变换、控制二、本课内容的重要性1,本课的电路是决定微波及电子设备性能的关键2,本课的内容是科学技术的难点和尖端3,本课要求宽广的技术基础和先修课程电磁场微波技术、电路理论与电子技术、半导体技术三、微波电子系统的组成与应用发射振荡、调制、放大、检示接收放大、混频、本振、中放应用:1.无线通信系统空间通信,远距离通信,无线对讲,蜂窝移动,个人通信系统,无线局域网,卫星通信,航空通信,航海通信,机车通信,业余无线电等2.雷达系统航空雷达,航海雷达,飞行器雷达,防撞雷达,气象雷达,成像雷达,警戒雷达,武器制导雷达,防盗雷达,警用雷达,高度表,距离表等3.导航系统微波着陆系统(MLS),GPS,无线信标,防撞系统,航空、航海自动驾驶等4.遥感地球监测,污染监测,森林、农田、鱼汛监测,矿藏、沙漠、海洋、水资源监测,风、雪、冰、凌监测,城市发展和规划等5.射频识别保安,防盗,入口控制,产品检查,身份识别,自动验票等6.广播系统调幅(AM),调频(FM)广播,电视(TV)7.汽车和高速公路自动避让,路面告警,障碍监测,路车通信,交通管理,速度测量,智能高速路。
8.传感器潮湿度传感器,温度传感器,长度传感器,探地传感器,机器人传感器等。
9.电子战系统间谍卫星,辐射信号监测,行军与阻击。
10.医学应用磁共振成像,微波成像,微波理疗,加热催化,病房监管等11.空间研究射电望远镜,外层空间探测,12.无线输电空对空,地对空,空对地,地对地输送电能。
微波电子线路的这些应用各有侧重,又有共性。
下面以通信和雷达为例介绍工作体制。
四、微波电子系统举例通信基本结构三种移动通信体制综合数据链卫星通讯雷达基本结构测速雷达系统测高雷达交警使用测速雷达目标向着雷达运动,反射波的频率要增加;如果目标远离雷达运动,反射波的频率会降低。
微波电子线路作业班级:020911姓名:张盎农学号:02091086ADS混频器设计耦合器设计仿真结果J"尺*人¥申.* *rr”:M «SHW®I噩I逼AHKOD I A低通滤波器设计仿真结果川尸r« Lwp 1|代年*甲r *包誓爭欽》国■* H 4 4| |b b 种吐母和週输出频谱仿真1按照文档所连D-■10-错误提示2直接代入数值修改后端口 1:P=dbmtow (-20),功率源输出信号功率为 -20dBmFreq=3.6GHz,射频输入频率 端口 2:P=dbmtow ( 10),功率源输出信号功率为 10dBmFreq=3.8GHz,本振输入频率谐波平衡仿真控制器设置如图所示■■I ■ i>li 1 -b -i.i -1 ■ I I"Ha > bl HO" »9 D 戈4■也申會譽令墓览熔样 囲園、 a«i.«i<rt 吉盥::*" VJt 趣理1J JIL- +fiL.罪询 HL N guU肛I —IN. [uiLcE>rJ U阿 py MET +省申申mu * »国■'看警%嗚宀Tij*r*<77*9144本振与输出修改端口 2重新设置:P=dbmtow ( LO_pwr ),即设置变量 LO_pwr 增加变量设置VAR ,设置如图所示{■L B |J I ^ £*L M I fi.Ku^j UisEr-1.2 ■Qind^l 1F*7mm¥"MU :I 器 y RM MIIC 囲心珂泗帕目■ I F 1 HB*1 .M|pjnn^i :r»4f GMfFmq 可二3 tS GHz 0就讪叮 ◎隹羽冃W-0 靜 rfru L=2 bamC_JMW _ _ .TU &*5f-TW^*r vw-1島『mmL=10 2 Hl1L7*ct、ni氯i 斡训><1财tttn L=1£] 4G imnr&SmTL«Ua 匕 Wub 「 L=25niMMW F_M11I 伽3 比刚 hhlfitabJ *1利 C7 mrn> iM 二P 9fi mm 加』却«mMLH TL5宫 g.二1血 T 训■!斛HIIWL-10.2 ffV•:皿」f hSKi>[o CIA亍••ronnMum-3 九血oimP=dbmlD«4^FnH|=3c 6<«H±」 J 四臨・ idllLI 中Akij j fi : uUh-uOttMlQd h F<PORT2Num---27=9OIMH 円如11晦■巩1训 rreqj-3B 0H1仿真结果从图像结果可看出 Vout 输出与本振功率有关三阶交调分析将的端口 1的单品功率源更换为多频功率源 P_n To ne ,对其设置如图所示修改端口 2和VAR 的设置,如图所示修改谐波平衡仿真控制器,设置如图所示 插入测量方程控件 Meas Eqn ,并对其参数如图设置EH"HARM Qh 心 BALANCEEDft□Cfh ■-iiirnriTsi R 斗1肿個H01l •iw&PddE 屮戸-9 GHz 电 IW*討盲(j-H/On»12|=Jfiwaapl别pg □ pi XtEL □ _pw r~ Art liTABnceNHSTBllj^lflB T M IHtDHiEVNiBrvP'lF Swii 如imNwepih ■ >M ■”理 rinNtvw 烛S*i lnw«»Nm[5> 5<n 5®r1-1 Sbp=X SfcU-l話MUM世IULn_prn 10tM <U :B F=1gm i E 呻NwilSuniflr ----------|TP 0D5 ranJW^D-AJ LFWU5j I i!B“in Rgm«D BCdioPOPTi rjNum-1b-^n-'CetWW=D 価 moi回asPAfiAUErtR:PlH=t12 um=? £-30 Ohm(a zQt!mKraCLO_pwrj Fnqi=3 ・ GH EmmTU bU3M :"MMubr 吩0 N Him rrilll仿真结果vf(E g U L cos L t) (E o U L cos L t)I sa eI sa SPE gU L cos L t二,理论分析 微波混频器1、 微波混频器的作用与用途微波混频器是通信、雷达、电子对抗等系统的微波接收机以及很多微波测量 设备所不可缺少的组成部分。
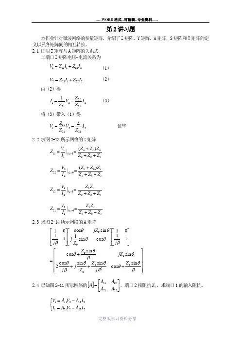
第2讲习题本作业针对微波网络的参量矩阵,介绍了Z 矩阵,Y 矩阵,A 矩阵,S 矩阵和T 矩阵的定义以及各矩阵间的相互转换。
2.1 证明Z 矩阵与A 矩阵的关系式二端口Z 矩阵电压-电流关系为2121111I Z I Z V +=(1)2221212I Z I Z V +=(2)由(2)得2212222111I Z ZV Z I -=(3)将(3)带入(1)得221221111I Z V Z Z V ∆-=证毕2.2 求图2-13所示网络的Z 矩阵cb a bc a I Z Z Z Z Z Z I V Z +++===)(|011112 c b a c b a I Z Z Z Z Z Z I V Z +++===)(|022221c b a c b I Z Z Z Z Z I V Z ++===021121| cb ac b I Z Z Z Z Z I V Z ++===012212| 2.3 求图2-14所示网络的A 矩阵⎥⎥⎥⎥⎦⎤⎢⎢⎢⎢⎣⎡++++=⎥⎥⎦⎤⎢⎢⎣⎡⎥⎥⎦⎤⎢⎢⎣⎡⎥⎥⎦⎤⎢⎢⎣⎡βθθβθθβθθβθθβθθθθβsin cos sin sin cos 2sin sin cos 1101cos sin 1sin cos 110102000000Z j Z Z j j jZ Z j Z j jZ j2.4 已知图2-11所示网络的[]⎥⎦⎤⎢⎣⎡=22211211A A A A A ,端口2接阻抗l Z ,求端口1的输入阻抗。
⎩⎨⎧-=-=22222112122111I A V A I I A V A V则 2221121122222121221111A Z A A Z A I A V A I A V A I V Z l lin ++=--==2.5⎩⎨⎧+=+=22222122122111i a u a i i a u a u 利用111b a u +=222b a u += 111b a i -=222b a i -=得⎩⎨⎧--+=---+=+)()()()()()(22222221112212221111b a a b a a b a b a a b a a b a两式相加2222112112222112111)()(2b a a a a a a a a a a ++++-+-=2222112112221121112221121122a a a a a a a a a a a a a a b ++++-+-++++=即 22211211212a a a a s +++=222112112221121122a a a a a a a a s ++++-+-=222112112221121111--a a a a a a a a s ++++=[]2221121112det 2a a a a a s +++=2.6 (a )[]⎥⎦⎤⎢⎣⎡=101z A根据电路理论,得⎩⎨⎧-=-=22121ZI V V I I 利用01111)(Z b a I -= 02222)(Z b a I -= 01111)(Z b a V += 02222)(Z b a V +=得01220211)()(Z b a Z b a --=-Z b a Z b a Z Z b a )()()(220222020111--+=+于是⎥⎦⎤⎢⎣⎡⎥⎥⎦⎤⎢⎢⎣⎡--=⎥⎦⎤⎢⎣⎡⎥⎥⎦⎤⎢⎢⎣⎡+-210202010102210202010102)(a a Z Z Z Z Z Z b b Z Z Z Z Z Z⎥⎦⎤⎢⎣⎡⎥⎥⎦⎤⎢⎢⎣⎡+-+-++=⎥⎦⎤⎢⎣⎡⎥⎥⎦⎤⎢⎢⎣⎡--⎥⎥⎦⎤⎢⎢⎣⎡-+++=⎥⎦⎤⎢⎣⎡2102020101020102020102020102210202010102020201010202010221)(22)()(1)(1a a Z Z Z Z Z Z Z Z Z Z Z Z Z Z Z Z a a Z Z Z Z Z Z Z Z Z Z Z Z Z Z Z Zb b即ZZ Z ZZ Z s +++-=020*******ZZ Z ZZ Z s +++-=020*******ZZ Z Z Z s s ++==0201020121122由t 矩阵与s 矩阵的关系得02010*********Z Z ZZ Z s t ++==020102012122122Z Z Z Z Z s s t +--=-=020101022111212Z Z Z Z Z s st +-== )(2)(020102012020122122Z Z Z Z Z Z Z Z s t ++--=∆-= (b)[]⎥⎥⎦⎤⎢⎢⎣⎡=N N A 100根据电路理论,得21nV V = 211I nI -=利用01111)(Z b a I -= 02222)(Z b a I -= 01111)(Z b a V += 02222)(Z b a V +=得02220111)()(Z b a n Z b a +=+ 01220211)()(Z b a Z b a n --=-于是⎥⎦⎤⎢⎣⎡⎥⎥⎦⎤⎢⎢⎣⎡-=⎥⎦⎤⎢⎣⎡⎥⎥⎦⎤⎢⎢⎣⎡-21010202012101020201a a Z Z n Z n Z b b Z Z n Z n Z ⎥⎦⎤⎢⎣⎡⎥⎥⎦⎤⎢⎢⎣⎡-+-+=⎥⎦⎤⎢⎣⎡⎥⎥⎦⎤⎢⎢⎣⎡-⎥⎥⎦⎤⎢⎢⎣⎡-+=⎥⎦⎤⎢⎣⎡210220102010201022010220121010202010102020102201212211a a Z n Z Z Z n Z Z n Z n Z Z n Z a a Z Z n Z n Z Z Z n Z n Z Z n Zb b即022010220111Z n Z Z n Z s ++-= 022010220122Z n Z Z n Z s +-= 02201020121122Z n Z Z Z n s s +== 由t 矩阵与s 矩阵的关系得020102201211121Z Z n Z n Z s t +==02010********122Z Z n Z n Z s s t --=-= 0201022012111212Z Z n Z n Z s s t +-== )(2)(0220102012022012122Z n Z Z Z n Z n Z s t +--=∆-= 2.7 已知一双端口网络的s 矩阵满足21122211,s s s s ==。
微波电路中匹配网络软件的研制及其应用摘要:利用Smith 圆图可以快速精确地设计微波电路匹配网络。
本文建立了微波电路匹配网络软件设计模型, 给出了各模块实现的功能, 以及用MATLAB 实现该软件的具体方法。
最后用该软件设计了一个L 形匹配网络和卫星电视接收机输入电路的共轭匹配网络。
关键词: 匹配网络, Smith 圆图, MATLAB引言:在微波电路设计中, 通常在信号源与负载之间插入一个匹配网络, 变换负载的阻抗, 使两者匹配。
理论证明, 当负载阻抗Z L 和源阻抗Z S 共轭匹配,即Z L = Z S* 时, 信号源和负载之间实现最大功率传输。
如果采用解析方法设计匹配网络, 复杂程度和计算量都会很大。
利用Smith 圆图, 可以快速精确地设计匹配网络。
虽然国外已经开发出利用Smith圆图设计匹配网络的CAD 软件, 但是价格比较昂贵。
我们根据文献 , 设计出了简单易用的软件。
利用该软件, 可以设计L 形、T 形、P形和微带短截线匹配网络, 并具有显示匹配网络的传递函数图, 计算微带线的参数等功能。
该软件使用起来非常简单, 大大简化了匹配网络的设计工作。
1、Smith圆图和匹配网络简介Smith 圆图是由P. H. Smith 在1936 年发明的。
Smith 圆图反映了归一化阻抗、反射系数和驻波比之间的关系, 是被广泛利用于微波电路设计中有效的工具。
在微波电路中, 要实现最大的功率传输, 就必须使源阻抗和负载阻抗相匹配。
匹配网络是这样一个网络: 它是在源阻抗和负载阻抗之间, 对负载阻抗起阻抗变换作用, 使负载阻抗和源阻抗共轭相等的网络。
本文所指的匹配网络均为无源匹配网络。
匹配网络按照组成的元件可以分为: 分立元件匹配网络和微带线匹配网络。
前者用于GHz 频段的低端及更低的频段。
后者用于GHz 频段的高端及更高频段。
其中分立元件匹配网络根据拓扑结构又可以分为L 形、T 形、P形。
L 形是最简单可行的双元件匹配网络, 但是它的品质因数Q 无法控制。
微波电子线路大作业班级:020914学号:02091400姓名:袁宁一、微波晶体管放大器工作在微波波段的晶体管,其内部参数是一种分布参数,对于某特定频率可以用集总参量来等效,但是用这种等效电路进行分析很难得到一个明确的结论,且计算繁琐,也很难测得等效电路各参数值。
因此这种等效电路可以用来说明微波晶体管工作的物理过程,但不便用来计算。
为便于工程应用,常把在小信号工作状态下的微波晶体管看成一个线性有源二端口网络,并采用S参数来表征微波晶体管的外部特性。
Z L根据S参数定义得到错误!未找到引用源。
可以导出:晶体管放大器简化框图如图所示。
根据S参数与阻抗、反射系数之间的关系,错误!未找到引用源。
1.实际功率增益式中:错误!未找到引用源。
功率增益与晶体管S参数及负载反射系数有关,因此利用此式便于研究负载的变化对放大器功率增益的影响。
2.转换功率增益错误!未找到引用源。
转换功率增益错误!未找到引用源。
表示插入放大器后负载上得到的功率比无放大器时得到的最大功率所增加的倍数。
它的大小与输入端和输出端匹配的程度有关。
当输入端、输出端都满足传输线匹配时,即错误!未找到引用源。
,则由上式可知错误!未找到引用源。
此式说明的晶体管自身参数错误!未找到引用源。
的物理意义,但这样并未充分发挥晶体管用作放大器的潜力。
只有共轭匹配才能传输最大功率,即满足错误!未找到引用源。
时,错误!未找到引用源。
称为双共轭匹配。
3.资用功率增益错误!未找到引用源。
式中错误!未找到引用源。
上式表明,资用功率增益错误!未找到引用源。
只与晶体管S参数及信源阻抗有关。
此式便于研究信源阻抗变换对放大器功率增益的影响。
实际上,放大器在输入端、输出端都满足共轭匹配的条件比较困难,错误!未找到引用源。
只表示放大器功率增益的一种潜力。
4.三种功率增益之间的关系式中:错误!未找到引用源。
分别为输入端和输出端的失配系数。
容易证明一般情况下,错误!未找到引用源。
,所错误!未找到引用源。
●微波电子线路西安电子科技大学2构造原理及特性微波混频器是任何种类微波接收机的最要紧部件之一。
不仅由于它是必不可少的,更要紧原因是它处于整个接收机的前端位置、其性能好坏,对整个系统影响极大。
其基本作用是把微波频率信号变换成中频信号,中频信号的调制解调方便,滤波器相对滚降高。
要求混频器失真小、损耗小、噪声低、灵敏度高。
目前,混频器中的非线性元件要紧是肖特基势垒二极管。
混频器性能由管子性能与电路设计,工艺水平共同决定。
本章首先介绍混频器的核心器件—肖特基势垒二极管。
常见半导体材料的特性参数 T=25℃,N=10cm-3一、肖特基势垒二极管的构成及工作原理——管子内部的半导体机理1 构造:以重掺杂(319/μ,外延生长零10cm>)的+N为衬底、厚度为几十m点几mμ的二μ厚的N 型本征本导体作为工作层,在其上面再形成零点几m氧化硅绝缘层,光刻并腐蚀直径为零点几或者几十m μ的小洞,再用金属点接触或者淀积一层金属与N 型半导体形成金属半导体结,在该点上镀金形成正极,给另一面+N 层镀金形成负极,即可完成管芯。
将管芯封装于陶瓷管内为传统形式,集成电路中可不用管壳 高频二极管基本结构2 工作原理肖特基势垒二极管工作的关键区域是金属与N 型半导体结形成的肖特基势垒区域,是金属与N 型半导体形成的肖特基势垒结区域。
漂移电流,扩散电流金属1.1μm 氧化层1.2μm N 外延层0.5μm N +衬底层6mils肖特基势垒结的形成:在金属与N 型半导体中都存在导电载流子—电子。
它们的能级(f E )不一致,逸出功也不一致。
当金属与N 型半导体相结时,电子流从半导体一侧向金属一侧扩散,同时也存在金属中的少数能量大的电子跳跃到半导体中,称之热电子。
显然,扩散运动占据明显优势,因此界面上金属中形成电子堆积,在半导体中出现带正电的耗尽层。
在界面上形成由半导体指向金属的内建电场,它是阻止电子向金属一侧扩散的,而对热电子发射则没有影响。
微波电子线路习题(3-2)(1)分析:电路a 、b 线路相同,信号、本振等分加于二管,混频电流叠加输出,1D 、2D 两路长度差4λ,是典型的双管平衡混频器电路。
但a 、b 两路本振、信号输入位置互换。
在a 电路中,本振反相加于两管,信号同相加于两管,为本振反相型平衡混频器。
B 电路则为信号反相型平衡混频器。
(2)电流成分①a 电路输出电流成分:*中频分量 1,0=-=n t s ωωω *和频分量 1,=+=+n t s ωωω*本振噪声 ()πωω-==t v u t v u nl nl n nl nl n cos ,cos 21 *外来镜频干扰s l s ωωω-=2/t v g i i i i s i i i 0/1/2/1/cos 2ω=-= 不能抵消,二倍输出。
*镜频分量 2,2=-=n s l i ωωω0=io i 镜频输出抵消,但流过输入回路,在源电阻上损耗能量。
*高次分量n 奇数 两路相差πn 反相 输出叠加 n 偶数 两路相差πn 2 同相 输出抵消 ②b 电路输出电流成分:()111s u t g i =,()222s u t g i =*中频分量 1,0=-=n t s ωωω *和频分量 1,=+=+n t s ωωω*本振噪声 ()πωω-==t v u t v u nl nl n nl nl n cos ,cos 21 *外来镜频干扰s l s ωωω-=2/t v g i i i i s i i i 0/1/2/1/cos 2ω=-= 不()t v g t v g i io s l s s i ωωωcos cos /1//1/1=-=()tv g t v g i io s l s s i ωωωcos cos /1//1/1=-=能抵消,二倍输出。
*镜频分量 2,2=-=n s l i ωωω12i io i i = 镜频输出不能抵消,也会流过输入回路,在源电阻上损耗能量。
微波电子线路大作业第一部分1-1 噪声系数定义一、表征单口网络噪声(噪声源)的参数1. 热噪声功率,1928年,尼奎斯特在热力学统计理论分析和实验研究的基础上,导出电阻热噪声电压均方值的表达式kTRB U n 42= (.1-1)式中,k =1.38×9-23(J/K)为玻耳兹曼常数;T 为电阻温度(K);R 为电阻值(Ω);B 为测试设备的通频带(Hz)。
这就是尼奎斯特定理。
2n U 表示在带宽B 内,处于热力学温度T 的电阻R 所产生的热噪声开路电压均方值。
若用等效源表示,可将一个热噪声电阻用等效为一个无噪声电阻R 与一个噪声电压源2n U 串联而成的等效电压源;或等效为一个无噪声电导G 与一个噪声电流源2n I 并联组成的等效电流源,kTGB R U I n n 4/222==。
当几个电阻串联时,采用等效电压源较方便;并联时,采用等效电流源较方便。
当接入负载电阻R L =R 时,温度为T 的电阻R ,在带宽B 内产生的资用噪声功率是kTB R R U N n =⋅=22)2( (.1-2) 热噪声是一种随机过程,通过傅里叶分析知,其频率分量是连续、均匀的频谱分布,称为白噪声。
由式(.1-2)得出资用热噪声功率的谱密度为kT W n = (W/Hz) (.1-3)上式表明,电阻输出的单位带宽资用噪声功率只与热力学温度(K)二、表征双口网络(放大器、混频器等)噪声的参数1. 等效输入噪声温度:一个实际双端口网络(线性或准线性),设网络增益为G ,其输出端产生的总噪声功率N out 应为网络输入端电阻R i 产生的噪声功率N i 和网络内部噪声功率在输出端的贡献之和。
将实际网络用理想网络代替,把网络内部噪声折合到输入端,用等效输入噪声功率N e 和等效输入电阻R e 来表示。
则N e 通过理想网络传输到输出端所贡献的噪声功率,将与网络内部噪声功率在输出端的贡献相等。
如图.1-1所示。
微波电子线路作业班级:020911姓名:张盎农学号:02091086一ADS混频器设计耦合器设计仿真结果低通滤波器设计仿真结果输出频谱仿真1按照文档所连错误提示2直接代入数值修改后端口1:P=dbmtow(-20),功率源输出信号功率为-20dBm Freq=,射频输入频率端口2:P=dbmtow(10),功率源输出信号功率为10dBm Freq=,本振输入频率谐波平衡仿真控制器设置如图所示本振与输出修改端口2重新设置:P=dbmtow(LO_pwr),即设置变量LO_pwr 增加变量设置VAR,设置如图所示仿真结果从图像结果可看出Vout输出与本振功率有关三阶交调分析将的端口1的单品功率源更换为多频功率源P_nTone,对其设置如图所示修改端口2 和VAR的设置,如图所示修改谐波平衡仿真控制器,设置如图所示插入测量方程控件Meas Eqn,并对其参数如图设置仿真结果二,理论分析微波混频器1、微波混频器的作用与用途微波混频器是通信、雷达、电子对抗等系统的微波接收机以及很多微波测量设备所不可缺少的组成部分。
它将微弱的微波信号和本地振荡信号同时加到非线性元件上,变换为频率较低的中频信号,进一步进行放大、解调和信号处理。
2,混频原理下图是微波混频器的原理图,对它的基本要求是小变频损耗和低噪声系数。
通常,微波混频器是一种非线性电阻频率变换电路。
微波混频器的核心元件是肖特基势垒二极管。
常见的微波混频器基本电路有三种类型:单端混频器使用一个混频二极管,是最简单的微波混频器;单平衡混频器使用两个混频二极管;双平衡混频器采用四个混频二极管。
本节以元件的特性为基础,分析非线性电阻微波混频器的工作原理及性能指标,包括电路时-频域关系、功率关系、变频损耗、噪声特性,并给出各种微波混频器的电路实现等。
本振激励特性——混频器的大信号参量如下图所示,在混频二极管上加大信号本振功率和直流偏置(或零偏压)时,流过混频二极管的电流由二极管的伏安特性来决定。
加在二极管上的电压是直流偏置与本振信号之和,二极管的伏安特性近似为指数函数,即则流过二极管的大信号电流为0L L sa ()cos ()evu t E U t i f v I αω=+=≈0L L 0L L (cos )0L L sa cos sa (cos )e e e E U t E U ti f E U t I I αωααωω+=+==混频二极管加直流偏压和本振功率时的原理图显然,流过二极管的大信号电流是本振功率ωL 的周期性函数,可用傅里叶级数表示为式中:直流分量n 次谐波电流幅值本振基波电流幅值当αU L 足够大时, 有故直流分量和本振基波电流幅值为0L 12cos n n i I I n tω∞==+∑00sa 0L e ()E I I J U αα=0sa L e ()E n n I I J U αα=0L11sa 1L 22e ()E I I I J U αα==L L Le ()2πU n J U U ααα≈L L1L 0L12P I U I U =≈即I L1≈2I 0 (3-4)则所需的本振激励功率为混频器对本振呈现的电导为可见,当U L一定时,G L值随直流电流的增大而增大,因而可以借助于调整E 0来调节I 0,从而改变G L 使本振口达到匹配。
在实际工作中,因为微波波段很难测量U L ,所以通常由测量P L 和I 0来测定U L 和G L 。
当混频二极管上只加直流偏压E 0和本振功率时,混频二极管呈现的电导为式(3-7)说明当本振电压随时间作周期性变化时,瞬时电导g (t )也随时间作周期性变化,故称为时变电导;同样g (t )也可以展成傅里叶级数:式中:g 0称为二极管的平均混频电导,g n 是对应本振n 次谐波的混频电导。
非线性电阻的混频原理二极管混频器的原理等效电路如图3-3所示,在肖特基势垒二极管上加有较小的直流偏压(或零偏压)、大信号本振功率(1 mW 以上)及接收到的0L ()sa 0Le2πE U I I U αα+≈0L L 0L L cos 0L L (cos )sa d |'(cos )d e ()u E U t E U t if E U t vI g t ωαωωα=++=+== 0L1L L L2I I G U U =≈0L 1()2cos n n g t g g tω∞==+∑微弱信号(微瓦(μW)量级以下)。
假设本振与信号分别表示为u L (t )=U L cos ωL tu S (t )=U S cos ωS t图 3-3 二极管混频器原理图由于U L >>U S ,可以认为二极管的工作点随本振电压变化,认为接收到的信号是一个微小电压增量,因此将回路电流在各个工作点展开为泰勒级数。
为了讨论方便,将Z L 、Z L0、Z S 短路,这时流过二极管的瞬时电流值为展开式中的第一项为本振激励下的流过二极管的大信号电流,它包含直流和本振基波其谐波项。
展开式中的其他各项为二极管中的小信号成分,当u S 很小时,可仅取第二项。
由式(3-9)可知,f ′(E 0+U L cos ωL t )是在本振激励下二极管所呈0L L S S 0L L 0L L S S 20L L S S ()(cos cos )(cos )'(cos )cos 1''(cos )(cos )2!i f u f E U t U t f E U t f E U t U t f E U t U t ωωωωωωω==++=++++++…现的时变电导g (t )。
由式(3-7)~式(3-9)可知,二极管中的小信号成分近似为混频器电流的主要频谱如图3-4所示,并用虚线画出了混频电流中的大信号成分,即直流、本振基波及本振各次谐波。
图 3-4 混频器电流的主要频谱(设ω0=ωS -ωL )从上分析可见:(1) 在混频器中产生了无数的组合频率分量,若负载Z L 采用中频带通滤波器,就可以取出所需的中频分量而将其他组合频率滤掉。
(2) 从式(3-10)可得中频分量振幅为I 0=g 1U S中频电流振幅与输入信号振幅U S 成比例,即在小信号时,混频输入端与输出端的分量振幅之间具有线性关系。
(3) 混频过程中,本振是强信号,它产生了无数的谐波,但其谐波功率大约随1/n 2变化(n 为谐波次数),因此混频电流的组合分量强度随n 的增加而很快地减少。
通常只有当本振基波ωL 和2次谐波2ωL 分量足够大时,0L L S S ()'(cos )cos i t f E U t U tωω=+01L 2L S S (2cos 2cos 2)cos g g t g t U tωωω=+++…0S S S L S 1cos cos()n n g U t g U n t ωωω∞==+±∑才会对变频效率的影响较大。
因此,我们只讨论几个特殊的频率分量:信号频率与本振频率产生的和频ω+=ωL +ωS 、差频ω0=ωS -ωL (当ωS >ωL 时)或ω0=ωL -ωS (当ωL >ωS 时),ωS 与2ωL 产生的镜像频率ωi =2ωL -ωS =ωL -ω0分量。
由图3-4可以看出,ωi 是信号相对于本振基频ωL 的“镜像”,故称之为镜频,其幅度由g 2U S 决定。
ωi 中包含部分有用信号功率,如果在输入电路中将其反射回二极管并重新与本振混频,即可再次产生中频ωL -ωi =ω0。
当相位选择合适时,就能“回收”信号能量,以减小变频损耗。
这是后面要讨论的“镜频回收问题”。
以上是假设接收信号较弱情况下的小信号分析,并设本振与信号初相位均为零。
实际中二者之间有相位差,而且信号可能较强,如雷达近距离目标的反射信号、附近电台的干扰信号等,在这种情况下,就不能将U 2S 以上的高次项忽略了。
此时混频电流的频谱分量大为增加。
下面定性分析信号较强情况下的电流频谱。
为了简便起见,用指数形式表达g (t )函数。
根据式(3-8),考虑初相位φL 和φS ,则有用指数形式可表示为0L L 1()2cos()n n g t g g n t n ωϕ∞==++∑L L L j j j *01()[ee]e n tn tn tn nnn n g t g y y yωωω∞∞-==-∞=++=∑∑式中: 。
如果定义g n =g -n ,则 ,并且y 0=g 0。
同样,信号电压可以表示为当U S 较大,不能忽略U 2S 以上各项时,则式(3-9)最终可写为式中: 是每个n ωL +m ωS 频率分量的复振幅。
因为i (t )是时间的实函数,所以有从式(3-14)中可得到实数中频电流为。
可见,当信号较强时,混频电流i (t )中包括信号(ωS )和本振(ωL )所有可能的各次谐波组合,它比小信号时的组合分量丰富得多,从而消耗更多的信号功率,使变频损耗增加,并产生各种变频干扰和失真。
因此,在设计混频电路时,应考虑如何抑制部分组合频率成分,以改善混频器的性能。
Lj e n n n y g ϕ=,L j en n n y g ϕ--=L j *e n n n ny g y ϕ-==-S S j j S S S S S 1cos()(e e )2t t u U t U ωωωϕ-=+=+L S L S .j()j()()||e e n m n m tn m n m i t I ϕϕωω∞∞++=-∞=-∞=∑∑L S .j()e n m tn m n m I ωω∞∞+=-∞=-∞=∑∑.1,10S L ()2||cos[()]i t I t ωωϕ-+=--.*,n m n mI I --=混频器等效网络上面求混频产生的小信号电流i(t)时,仅计算了接收信号v S(t)和本振的所谓“一次混频”,而未考虑混频产物的反作用。
在实际工作中,至少要考虑中频ω0和镜频ωi的反作用,实际的混频器电路可以等效为图3-5所示的简化电路。
加在二极管上的电压为本振电压:u L(t)=U L cosωL t信号电压:u S(t)=U S sinωS t中频电压:u0(t)=-U0 sinω0t镜频电压:u i(t)=-U i sinωi t图 3-5 加在混频二极管上的电压其中:u0(t)和u i(t)取负号是因为混频电流i在中频电阻R0和镜频电阻R i上产生的电压降反向加到二极管上。
在这些电压中,本振是大信号,其余幅值都很小,本振和直流偏压决定二极管的工作点,混频器的工作状态可看成是大信号u L上叠加了小信号u S、u0和u i。
这时流过二极管的电流为i=f (E0+u L+u S+u0+u i)=f (E0+u L+Δu)式中:Δu=u S+u0+u i,利用前面的分析方法,得到小信号电流为i D小= f′(E0+u L)Δu=g(t)·Δu= (g0+2g1 cosωL t+2g2 cos2ωL t+?)×(U S sinωS t-U0 sinω0t-U i sin ωi t)=g0U S sinωS t-g0U0 sinω0t-g0U i sinωi t+g1U S sin(ωL+ωS)t+g1U S sin(ωS-ωL)t-g1U0 sin(ωL+ω0)t+g1U0 sin(ωL-ω0)t+g1U i sin(ωL-ωi)t-g1U i sin(ωL+ωi)t+g2U S sin(2ωL+ωS)t-g2U S sin(2ωL-ωS)t-g2U0 sin(2ωL+ω0)t+g2U0 sin(2ωL-ω0)t-g2U i sin(2ωL+ωi)t+g2U i sin(2ωL-ωi)t(3-15)从式(3-15)中取出信频、中频和镜频电流,它们的幅值分别为I S=g0U S-g1U0+g2U iI0=g1U S-g0U0+g1U iI i=-g2U S+g1U0-g0U i式(3-16)是一个三端口网络的线性方程组。