钢结构第三章-习题答案
- 格式:docx
- 大小:37.19 KB
- 文档页数:4
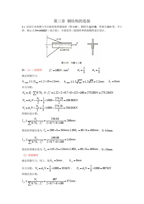
第三章 钢结构的连接3.1 试设计双角钢与节点板的角焊缝连接(图3.80)。
钢材为Q235B ,焊条为E43型,手工焊,轴心力N=1000KN (设计值),分别采用三面围焊和两面侧焊进行设计。
解:(1)三面围焊 2160/w f f N mm = 123α=213α= 确定焊脚尺寸:,max min 1.2 1.21012f h t mm ≤=⨯=,,min 5.2f h mm ≥==, 8f h mm =内力分配:30.7 1.2220.78125160273280273.28w f f f N h b f N KN β=⋅⋅⋅=⨯⨯⨯⨯⨯==∑ 3221273.281000196.69232N N N KN α=-=⨯-= 3112273.281000530.03232N N N KN α=-=⨯-=焊缝长度计算:11530.032960.720.78160w wf fN l mm h f ≥==⋅⨯⨯⨯∑, 则实际焊缝长度为 1296830460608480wf l mm h mm '=+=≤=⨯=,取310mm 。
22196.691100.720.78160w wf f N l mm h f ≥==⋅⨯⨯⨯∑, 则实际焊缝长度为 2110811860608480wf l mm h mm '=+=≤=⨯=,取120mm 。
(2)两面侧焊确定焊脚尺寸:同上,取18f h mm =, 26f h m m = 内力分配:22110003333N N KN α==⨯=, 11210006673N N KN α==⨯= 焊缝长度计算:116673720.720.78160w wf f N l mm h f ≥==⋅⨯⨯⨯∑,则实际焊缝长度为:mm h mm l f w48086060388283721=⨯=<=⨯+=',取390mm 。
223332480.720.76160w wf f N l mm h f ≥==⋅⨯⨯⨯∑, 则实际焊缝长度为:mm h mm l f w48086060260262481=⨯=<=⨯+=',取260mm 。
第三章 钢结构的连接3.1 试设计双角钢与节点板的角焊缝连接(图3.80)。
钢材为Q235B ,焊条为E43型,手工焊,轴心力N=1000KN (设计值),分别采用三面围焊和两面侧焊进行设计。
解:(1)三面围焊 2160/wf f N mm = 123α= 213α= 确定焊脚尺寸:,max min 1.2 1.21012f h t mm ≤=⨯=,,min 5.2f h mm ≥==, 8f h mm =内力分配:30.7 1.2220.78125160273280273.28w f f f N h b f N KN β=⋅⋅⋅=⨯⨯⨯⨯⨯==∑3221273.281000196.69232N N N KN α=-=⨯-= 3112273.281000530.03232N N N KN α=-=⨯-=焊缝长度计算:11530.032960.720.78160w wf fN l mm h f ≥==⋅⨯⨯⨯∑, 则实际焊缝长度为 1296830460608480wf l mm h mm '=+=≤=⨯=,取310mm 。
22196.691100.720.78160w wf f N l mm h f ≥==⋅⨯⨯⨯∑, 则实际焊缝长度为 2110811860608480wf l mm h mm '=+=≤=⨯=,取120mm 。
(2)两面侧焊确定焊脚尺寸:同上,取18f h mm =, 26f h m m = 内力分配:22110003333N N KN α==⨯=, 11210006673N N KN α==⨯= 焊缝长度计算:116673720.720.78160w wf fN l mm h f ≥==⋅⨯⨯⨯∑,则实际焊缝长度为:mm h mm l f w48086060388283721=⨯=<=⨯+=',390mm 。
223332480.720.76160w wf f N l mm h f ≥==⋅⨯⨯⨯∑, 则实际焊缝长度为:mm h mm l f w48086060260262481=⨯=<=⨯+=',取260mm 。
习题参考答案3.1题:答:(1)按制作方法的不同分为型钢截面和组合截面两大类。
型钢截面又可分为热轧型钢和冷弯薄壁型钢两种。
组合截面按连接方法和使用材料的不同,可分为焊接组合截面(焊接截面)、铆接组合截面、钢和混凝土组合截面等。
(2)型钢和组合截面应优先选用型钢截面,它具有加工方便和成本较低的优点。
3.7题:解:由附录1中附表1可得I20a 的截面积为3550mm 2,扣除孔洞后的净面积为3249275.213550A n =⨯⨯-=mm 2。
工字钢较厚板件的厚度为11.4mm ,故由附录4可得Q235钢材的强度设计值为215f =N/mm 2,构件的压应力为2155.138324910450A N 3n <≈⨯==σN/mm 2,即该柱的强度满足要求。
新版教材工字钢为竖放,故应计入工字钢的自重。
工字钢I20a 的重度为27.9kg/m ,故19712.19.8169.27N g =⨯⨯⨯=N ;构件的拉应力为215139.113249197110450A N N 3ng <≈+⨯=+=σN/mm 2,即该柱的强度满足要求。
3.8题:解:1、初选截面假定截面钢板厚度小于16mm ,强度设计值取215f =,125f v =。
可变荷载控制组合:24kN .47251.410.22.1q =⨯+⨯=, 永久荷载控制组合:38.27kN 250.71.410.235.1q =⨯⨯+⨯=简支梁的支座反力(未计梁的自重)129.91kN ql/2R ==,跨中的最大弯矩为m 63kN .1785.547.2481ql 81M 22max⋅≈⨯⨯==,梁所需净截面抵抗矩为36x max nx 791274mm 2151.051063.178f M W ≈⨯⨯==γ,梁的高度在净空方面无限值条件;依刚度要求,简支梁的容许扰度为l/250,参照表3-2可知其容许最小高度为229mm 24550024l h min ≈==, 按经验公式可得梁的经济高度为347mm 3007912747300W 7h 33x e ≈-=-=,由净截面抵抗矩、最小高度和经济高度,按附录1中附表1取工字钢 I36a ,相应的截面抵抗矩3nx 791274m m875000W >=,截面高度229mm 360h >=且和经济高度接近。
钢结构课后习题答案(仅供参考)第三章 钢结构的连接3.1 试设计双角钢与节点板的角焊缝连接(图3.80)。
钢材为Q235B ,焊条为E43型,手工焊,轴心力N=1000KN (设计值),分别采用三面围焊和两面侧焊进行设计。
解:(1)三面围焊 2160/wf f N mm = 123α=213α= 确定焊脚尺寸:,max min 1.2 1.21012f h t mm ≤=⨯=,,min 5.2f h mm ≥==, 8f h mm = 内力分配:30.7 1.2220.78125160273280273.28w f f f N h b f N KN β=⋅⋅⋅=⨯⨯⨯⨯⨯==∑3221273.281000196.69232N N N KN α=-=⨯-= 3112273.281000530.03232N N N KN α=-=⨯-=焊缝长度计算:11530.032960.720.78160w wf fN l mm h f ≥==⋅⨯⨯⨯∑, 则实际焊缝长度为 1296830460608480wf l mm h mm '=+=≤=⨯=,取310mm 。
22196.691100.720.78160w wf fN l mm h f ≥==⋅⨯⨯⨯∑, 则实际焊缝长度为 2110811860608480wf l mm h mm '=+=≤=⨯=,取120mm 。
(2)两面侧焊确定焊脚尺寸:同上,取18f h mm =, 26f h m m = 内力分配:22110003333N N KN α==⨯=, 11210006673N N KN α==⨯= 焊缝长度计算:116673720.720.78160w wf f N l mm h f ≥==⋅⨯⨯⨯∑, 则实际焊缝长度为:mm h mm l f w48086060388283721=⨯=<=⨯+=',取390mm 。
223332480.720.76160w wf fN l mm h f ≥==⋅⨯⨯⨯∑, 则实际焊缝长度为:mm h mm l f w48086060260262481=⨯=<=⨯+=',取260mm 。
第三章习题参考答案注意:①要求学生尽量图示;②若无特别说明,焊缝计算长度可不考虑起弧、落弧的影响。
③题中“(考虑荷载分项系数后)”的意思为荷载设计值,时刻提醒学生别忘了结构可靠度理论。
3.1 解:①对接焊缝:3125010208.318550012w t w N MPa f MPa l t σ⨯===>=⨯,不满足要求,改用斜对接焊缝,取切割斜度为1.5:l ,即5.1tan =θ、o 56=θ。
②围角焊缝、双拼接板:设盖板宽2460b mm =,注意拼接板截面面积必须验算:2246050012t ⨯≥⨯,取28t mm =(常用的板厚以偶数居多)。
角焊缝的焊脚尺寸h f 应根据板件厚度确定:由于此处的焊缝在板件边缘施焊,且拼接盖板厚度t 2=8mm>6mm ,t 2< t 1,则()()max 21~281~26~7f h t mm mm =-=-=min 5f h mm ===取角焊缝的焊脚尺寸h f =6mm ,角焊缝的强度设计值2/160mm N f wf =,则()f e w f e w f f h l h f b h f N -=-422β代入数据,注意围焊缝只有一个起弧点和一个落弧点,有()31250102 1.221600.7646041600.766l ⨯-⨯⨯⨯⨯⨯=⨯⨯⨯⨯-解、取整得 l =195mm上、下各一块拼接板的长度为 2l 10219510400mm L =+=⨯+= 最后选定的上、下拼接板的尺寸为2—460×8×400。
3.2 解:注意仅腹板在此拼接、翼缘在此无拼接,即翼缘处无焊缝、当然也无需验算,但截面依然是工字形的,不少同学仅按腹板矩形截面计算是完全错误的。
焊缝处1026.375M kN m =⋅、172.5V kN =3394112801032(2808)1000 2.979101212x I mm =⨯⨯-⨯-⨯=⨯ 63x S 280165085008250 3.27610mm =⨯⨯+⨯⨯=⨯ 63x1S 28016508 2.27610mm =⨯⨯=⨯最大剪应力为:3622max9172.510 3.2761023.7N/mm 125N/mm 2.979108w x v x VS f I t τ⨯⨯⨯===<=⨯⨯ 上翼缘和腹板交接处“l ”点的正应力:621191026.37510500172.3N/mm 2.97910x My I σ⨯⨯===⨯ 剪应力:362119172.510 2.2761016.5N/mm 2.979108x x VS I t τ⨯⨯⨯===⨯⨯ 由于“1”点同时受有较大的正应力和剪应力(无需单独验算),故应验算折算应力:22174.7/ 1.1185204/N mm N mm =<⨯=均满足要求。
第三章 钢结构的连接3.1 试设计双角钢与节点板的角焊缝连接(图3.80)。
钢材为Q235B ,焊条为E43型,手工焊,轴心力N=1000KN (设计值),分别采用三面围焊和两面侧焊进行设计。
解:(1)三面围焊 2160/w f f N mm = 123α=213α= 确定焊脚尺寸: ,max min 1.2 1.21012f h t mm ≤=⨯=, ,min min 1.5 1.512 5.2f h t mm ≥==, 8f h mm = 内力分配:30.7 1.2220.78125160273280273.28w f f f N h b f N KN β=⋅⋅⋅=⨯⨯⨯⨯⨯==∑3221273.281000196.69232N N N KN α=-=⨯-= 3112273.281000530.03232N N N KN α=-=⨯-= 焊缝长度计算:11530.032960.720.78160w w f fN l mm h f ≥==⋅⨯⨯⨯∑, 则实际焊缝长度为 1296830460608480wf l mm h mm '=+=≤=⨯=,取310mm 。
22196.691100.720.78160w w f f N l mm h f ≥==⋅⨯⨯⨯∑, 则实际焊缝长度为 2110811860608480wf l mm h mm '=+=≤=⨯=,取120mm 。
(2)两面侧焊确定焊脚尺寸:同上,取18f h mm =, 26f h mm = 内力分配:22110003333N N KN α==⨯=, 11210006673N N KN α==⨯= 焊缝长度计算: 116673720.720.78160w w f f N l mm h f ≥==⋅⨯⨯⨯∑,则实际焊缝长度为:mm h mm l f w48086060388283721=⨯=<=⨯+=',取390mm 。
(完整版)钢结构课后习题第三章第三章部分习题参考答案3.8 已知A3F 钢板截⾯mm mm 20500?⽤对接直焊缝拼接,采⽤⼿⼯焊焊条E43型,⽤引弧板,按Ⅲ级焊缝质量检验,试求焊缝所能承受的最⼤轴⼼拉⼒设计值。
解:焊缝质量等级为Ⅱ级,抗拉的强度设计值20.85182.75/w f f f N mm == 采⽤引弧板,故焊缝长度500w l b mm ==承受的最⼤轴⼼拉⼒设计值3500*20*182.75*101827.5N btf kN -===3.9 焊接⼯字形截⾯梁,在腹板上设⼀道拼接的对接焊缝(如图3-66),拼接处作⽤荷载设计值:弯矩M=1122kN ·mm ,剪⼒V=374kN ,钢材为Q235B ,焊条为E43型,半⾃动焊,三级检验标准,试验算该焊缝的强度。
解:(1)焊缝截⾯的⼏何特性惯性矩3341(28102.827.2100)26820612x I cm =-= ⼀块翼缘板对x 轴的⾯积矩3128 1.4(507)2234.4X S cm =??+=半个截⾯对x 轴的⾯积矩31500.8253234.4X X S S cm =+??=(2)焊缝强度验算焊缝下端的剪应⼒33214374102234.41038.9/268206108x x w VS N mm I t τ===?? 焊缝下端的拉应62max4112210500209/0.852********x M h N mm f I σ??=?==>? 所以,该焊缝不满⾜强度要求(建议将焊缝等级质量提为⼆级)则 max σ2209/N mm =<215f =2/N mm下端点处的折算应2222max 3219.6/ 1.1236.5/N mm f N mm στ+=<=且焊缝中点处剪应⼒33224374103234.41056.3/125/268206108w x v x w VS N mm f N mm I t τ===<=??3.10 试设计如图3-67所⽰双⾓钢和节点板间的⾓焊缝连接。
3.3 影响焊接残余应力的因素主要有哪些?减少焊接应力和变形的措施有哪些?答:在焊接过程中,由于不均匀的加热,在焊接区域产生了热塑性压缩变形,当冷却时焊接区要在纵向和横向收缩,势必导致构件产生局部鼓曲、弯曲、歪和扭转等。
焊接残余变形包括纵、横向的收缩,弯曲变形,角变形和扭曲变形等。
为了减少焊接残余应力和变形可以采取以下措施:1)合理的焊缝设计,包括合理的选择焊缝尺寸和形式;尽可能的减少不必要的焊缝、合理的安排焊缝的位置、尽量避免焊缝的过分集中和交叉;尽量避免在母材厚度方向的收缩应力。
2)合理的工艺措施,包括采用合理的焊接顺序和方向;采用反变形法减少焊接变形或焊接应力;锤击或碾压焊缝;对于小尺寸焊接构件可进行提前预热,然后慢慢冷却以消除焊接应力和焊接变形。
3.8 试设计如图所示的对接连接(直缝或斜缝)。
轴心拉力N=1500 kN,钢材Q345A,焊条E50型,手工焊,焊缝质量Ⅲ级。
解:直缝连接其计算长度:l w=500-2×10=480mm焊缝的正应力为:σ=Nl w t =1500×1000480×10=312.5N/mm2>f t w=265N/mm2不满足要求,改用斜对接焊缝,取截割斜度为1.5:1,即56°焊缝长度l=500sin56°=603mm计算长度l w=603−2×10=583mm 故此时焊缝的正应力为:σ=Nsin θl w t=1500×1000×sin56°583×10=213N mm2⁄<f t w=265N mm2⁄剪应力为:τ=Ncos θl w t=1500×1000×cos56°583×10=144N mm2⁄<f v w=180N mm2⁄满足要求。
故设计斜焊缝,如图所示。
3.10 有一支托角钢,两边用角焊缝与柱相连,如图所示,钢材为Q345A,焊条为E50型,手工焊,已知柱翼缘厚20mm,外力N=400kN。
第三章 钢结构的连接3.1 试设计双角钢与节点板的角焊缝连接(图3.80)。
钢材为Q235B ,焊条为E43型,手工焊,轴心力N=1000KN (设计值),分别采用三面围焊和两面侧焊进行设计。
解:(1)三面围焊 2160/wf f N m m = 123α= 213α= 确定焊脚尺寸:,max min 1.2 1.21012f h t mm ≤=⨯=,,min 5.2f h mm ≥==, 8f h mm =内力分配:30.7 1.2220.78125160273280273.28w f f f N h b f N KN β=⋅⋅⋅=⨯⨯⨯⨯⨯==∑3221273.281000196.69232N N N KN α=-=⨯-= 3112273.281000530.03232N N N KN α=-=⨯-=焊缝长度计算:11530.032960.720.78160w wf f N l mm h f ≥==⋅⨯⨯⨯∑, 则实际焊缝长度为 1296830460608480wf l mm h mm '=+=≤=⨯=,取310mm 。
22196.691100.720.78160w wf fN l mm h f ≥==⋅⨯⨯⨯∑, 则实际焊缝长度为 2110811860608480wf l mm h mm '=+=≤=⨯=,取120mm 。
(2)两面侧焊确定焊脚尺寸:同上,取18f h mm =, 26f h m m = 内力分配:22110003333N N KN α==⨯=, 11210006673N N KN α==⨯= 焊缝长度计算:116673720.720.78160w wf fN l mm h f ≥==⋅⨯⨯⨯∑,则实际焊缝长度为:mm h mm l f w48086060388283721=⨯=<=⨯+=',取390mm 。
223332480.720.76160w wf fN l mm h f ≥==⋅⨯⨯⨯∑, 则实际焊缝长度为:mm h mm l f w48086060260262481=⨯=<=⨯+=',取260mm 。
一两端铰接的热轧型钢I20a 轴心受压柱,截面如图所示,杆长为6米,设计荷载N=450KN ,钢材为Q235钢,试验算该柱的强度是否满足?解:查的I20a 净截面面积A 为35502mm ,所以构件的净截面面积232495.217235505.21*23550mm d A n =⨯⨯-=-=22/215/5.1383249450000mm N f mm N A N n =<===σ 所以该柱强度满足要求。
一简支梁跨长为米,在梁上翼缘承受均布静力荷载作用,恒载标准值m(不包括梁自重),活荷载标准值25KN/m ,假定梁的受压翼缘有可靠的侧向支撑,钢材为Q235,梁的容许挠度为l/250,试选择最经济的工字型及H 型钢梁截面,并进行比较。
解:如上图示,为钢梁的受力图荷载设计值m KN q /24.47254.12.102.1=⨯+⨯= 跨中最大弯矩KNm ql M 63.1785.524.47818122=⨯⨯== f w M x x ≤=γσmax 所以3561091.7)21505.1/(1063.178mm fM w x x ⨯=⨯⨯=≥γ查型钢表选择I36a ,质量为m,Wx 为8750003mm ,所以钢梁自重引起的恒载标注值m KN /58702.010008.99.59=÷⨯=,可见对强度影响很小,验算挠度即可:荷载标准值m KN q k /79.35252.1058702.0=++= 挠度mm EI l q x k 13.1310576.11006.2384105.579.3553845851244=⨯⨯⨯⨯⨯⨯⨯==ω<[l/250]=22mm I36a 满足挠度要求。
查型钢表选择HN400x200x8x13,质量为66kg/m,Wx 为11900003mm钢梁自重引起的恒载标注值m KN /6468.010008.966=÷⨯=,可见对强度影响很小,验算挠度即可:荷载标准值m KN q k /85.35252.106468.0=++= 挠度mm EI l q x k 7.810237001006.2384105.585.3553845451244=⨯⨯⨯⨯⨯⨯⨯==ω<[l/250]=22mm HN400x200x8x13满足挠度要求。
3、13如图所示梁与柱(钢材为Q235B)得连接中,M=100kN ·m,V=600kN,已知梁端板与柱翼缘厚均为14mm,支托厚20mm,试完成下列设计与验算:(1)剪力V 由支托焊缝承受,焊条采用 E43型,手工焊,求焊缝A 得高度hf 。
(2)弯矩M 由普通C 级螺栓承受,螺栓直径24mm,验算螺栓就是否满足要求。
解:(1)验算受剪承载力:a. 确定焊脚高度板件边缘得角焊缝:max 20,20(12)18;f t mm h mm ==-=普通角焊缝:min max min(14,20)14, 1.21416.8;f t mm h mm ===⨯= 则max min(16.8,20)16.8;f h mm ==max min max(14,20)20,6;f t mm h mm ===故取10f h mm =b 、0.70.7107e f h h mm ==⨯=设承受静载,支托选用Q235B,则查表得角焊缝强度设计值2160wf f N mm = 采用三面围焊且为绕角焊:对于水平焊缝,承受正应力,1300w l b mm ==3110.70.710300 1.2216010410;w f w f f N h l f kN β-==⨯⨯⨯⨯⨯=对于竖向焊缝,承受剪应力,2250w l mm =211.25 1.25600410340;N V N kN =-=⨯-=322223401097.14316020.720.710250w f f f w N N mm f N mm h l τ⨯===<=⨯⨯⨯⨯,满足要求。
故焊缝A 得高度10f h mm =。
(2)验算抗弯承载力12345678910600;500;300;200;100;y y mm y y mm y y mm y y mm y y mm ==========2311222222;1001060040;2(600500300200100)i iiiN M yy My N kN y =⨯⨯===⨯++++∑∑查表得普通C 级螺栓抗拉强度设计值2170b t f N mm =;公称直径为24mm 得普通螺栓2353e A mm =313531701060.1b b t e t b tN A f kN N N-=⋅=⨯⨯=≤故抗弯承载力满足要求。
第三章 钢结构的连接习题参考答案1. 已知A3F 钢板截面mm mm 20500⨯用对接直焊缝拼接,采用手工焊焊条E43型,用引弧板,按Ⅲ级焊缝质量检验,试求焊缝所能承受的最大轴心拉力设计值。
解:查附表1.2得:2518mm N f w t =则钢板的最大承载力为:KNf bt N w t w 185010185205003=⨯⨯⨯==-2.焊接工字形截面梁,设一道拼接的对接焊缝,拼接处作用荷载设计值:弯矩mm KN M ⋅=1122,剪力KN V 374=,钢材为Q235B ,焊条为E43型,半自动焊,Ⅲ级检验标准,试验算该焊缝的强度。
解:查附表1.2得:2518mm N f w t =,2512mm N f w v =。
截面的几何特性计算如下:惯性矩:44233102682065071428014280121210008121mm I x ⨯=⎥⎦⎤⎢⎣⎡⨯⨯+⨯⨯⨯+⨯⨯=翼缘面积矩:41198744050714280mm S x =⨯⨯=则翼缘顶最大正应力为:2243185215021026820610281011222mm N f mm N .h I M w tx =<=⨯⨯⨯⨯=⋅=σ 满足要求。
腹板高度中部最大剪应力:2243125075281026820625008500198744010374mm N f mm N .t I VS w vw x x =<=⨯⨯⎪⎭⎫ ⎝⎛⨯⨯+⨯⨯==τ满足要求。
上翼缘和腹板交接处的正应力:2120805075002150507500mm N ..=⨯=⨯σ=σ上翼缘和腹板交接处的剪应力:243116434810268206198744010374mmN .t I VS w x x =⨯⨯⨯⨯==τ 折算应力:2222212152031100606434320803mm N .f .mm N ...w t =<=⨯+=τ+σ 满足要求。
第三章习题参考答案P3-1 某简支梁,跨度L=9m,承受均面荷载q=160KN/m(设计值,包括梁自重),在距离支座3m处采用对接焊缝进行拼接,如图所示,已知梁截面为焊接工字形,截面尺寸如图所示,钢材为Q345,焊条为E50型,手工焊,施工时采用引弧板,焊缝质量等级为三级,试校核拼接处的焊缝强度是否满足要求。
q=120KN/m解:(一)截面参数施工时采用引弧板,焊缝截面= 梁横截面49331031.3121000290121032300mmIx⨯=⨯-⨯=47331021.71210100021230016mmIy⨯=⨯+⨯⨯=361044.250830016mmSb⨯=⨯⨯=361069.32505001050840016mmSc⨯=⨯⨯+⨯⨯=(二)截面内力拼接焊缝所在截面内力:mKNM.1440231603291602=⨯-⨯⨯=KNV240316029160=⨯-⨯=(三)焊缝强度验算1、正应力:三级对接焊缝wcwtff ,故验算a点2296maxmax/265/48.2245161031.3101440mmNfmmNyIMwt==⨯⨯⨯==σ2、剪应力:验算图示c点22963max/180/76.26101031.31069.310240mmNfmmNItVSwfwC==⨯⨯⨯⨯⨯==τ3、折算应力:验算图示b点29611/52.2175001031.3101440mm N y IM =⨯⨯⨯==σ29631/69.17101031.31044.210240mm N It VS wb =⨯⨯⨯⨯⨯==τ22222121/5.2912651.11.1/67.21969.17352.2173mm N f mmN w f =⨯==⨯+=+ τσ焊缝强度满足要求。
3-4试验算图所示的角焊缝强度,荷载设计值为F=240KN ,其到柱边缘的距离偏心距e =200mm ,N=100KN ,钢材为Q235,焊条为E3型,手工焊,三面围焊的焊脚尺寸相同,h f = 8mm 。
第三章3。
7一两端铰接的热轧型钢I20a 轴心受压柱,截面如图所示,杆长为6米,设计荷载N=450KN ,钢材为Q235钢,试验算该柱的强度是否满足?解:查的I20a 净截面面积A 为35502m m ,所以构件的净截面面积232495.217235505.21*23550mm d A n =⨯⨯-=-=22/215/5.1383249450000mm N f mm N A N n =<===σ 所以该柱强度满足要求。
3。
8 一简支梁跨长为5.5米,在梁上翼缘承受均布静力荷载作用,恒载标准值10.2KN/m(不包括梁自重),活荷载标准值25KN/m ,假定梁的受压翼缘有可靠的侧向支撑,钢材为Q235,梁的容许挠度为l/250,试选择最经济的工字型及H 型钢梁截面,并进行比较。
解:如上图示,为钢梁的受力图荷载设计值m KN q /24.47254.12.102.1=⨯+⨯= 跨中最大弯矩KNm ql M 63.1785.524.47818122=⨯⨯==f w M x x ≤=γσmax 所以3561091.7)21505.1/(1063.178mm fM w x x ⨯=⨯⨯=≥γ 查型钢表选择I36a ,质量为59.9kg/m,Wx 为8750003m m ,所以钢梁自重引起的恒载标注值m KN /58702.010008.99.59=÷⨯=,可见对强度影响很小,验算挠度即可:荷载标准值m KN q k /79.35252.1058702.0=++=挠度mm EI l q x k 13.1310576.11006.2384105.579.3553845851244=⨯⨯⨯⨯⨯⨯⨯==ω<[l/250]=22mm I36a 满足挠度要求。
查型钢表选择HN400x200x8x13,质量为66kg/m ,Wx 为11900003m m钢梁自重引起的恒载标注值m KN /6468.010008.966=÷⨯=,可见对强度影响很小,验算挠度即可:荷载标准值m KN q k /85.35252.106468.0=++=挠度mm EI l q x k 7.810237001006.2384105.585.3553845451244=⨯⨯⨯⨯⨯⨯⨯==ω<[l/250]=22mmHN400x200x8x13满足挠度要求。
第3章钢结构的连接12.如图3-57所示的对接焊缝,钢材为Q235,焊条为E43型,采用焊条电弧焊,焊缝质量为三级,施焊时加引弧板和引出板。
已知,试求此连接能承受的最大荷载。
解:因有引弧板和引出板,故焊缝计算长度??= 500mm,则焊缝正应力应满足:其中, 故有,185=——------------- -^7—= 505859N = 505.85RN丄JL OU500 X14 1 58333333033 3 1 IOOX 14 2687500N= 2 687. 5kh故此连接能承受的最大荷载为 F -5O5.S6kN13.图3-58所示为角钢2L 140X10构件的节点角焊鏠连接,构件重心至角钢肢严二背距离】-11",钢材为Q235BF采用手工焊,焊条为E43型,,构件承受静力荷载产生的轴心拉力设计值为N=1100kN若采用三面围焊,试设计此焊缝连接。
故可取正面角此时I 64mmgr 140mm正面焊缝的作用:则由平衡条件得:TVt = k±Nl X= 1401 38.2 X 11001 206. 所以它们的焊缝长度为£11^! = »X 0. 7h + tl,取 95mmE43豳五.(&藩刈(JHX 169 8= 368. 9mm,取 370mmM147 X 10317.如图3-61所示的焊接工字形梁在腹板上设一道拼接的对接焊缝,拼接处作 用有弯矩二-二H'l 工,剪力「—厂匚k :;,钢材为Q235B 钢,焊条用 型,半自动焊,三级检验标准,试验算该焊缝的强度。
9PQB3-6*肛升解:(1)确定焊缝计算截面的几何特征 x 轴惯性矩:— X 8 X 10003 4- 2 X 280 X 14 X 5072 = 2681,9 X 10G mm 4 1 12 中性轴以上截面静矩:5X 一 280 X14X 507 + 500 X 8 X S00/2 一 2987440mm 1 单个翼缘截面静矩:S ± = 280 X14X 507 = 1987440mm 3 (2)验算焊缝强度焊缝最大拉应力(翼缘腹板交接处):M 10 1122 X IO6 209.2N二严二 2681.9X10- X 500 =盂歹N 1500~ 1013 -14811161w _ 185N2N查表知,忙ini-' tn -,所以焊缝强度不满足要求。
3.3影响焊接残余应力的因素主要有哪些?减少焊接应力和变形的措施有哪些?
答:在焊接过程中,由于不均匀的加热,在焊接区域产生了热塑性压缩变形,当冷却时焊接区要在纵向和横向收缩,势必导致构件产生局部鼓曲、弯曲、歪和扭转等。
焊接残余变形包
括纵、横向的收缩,弯曲变形,角变形和扭曲变形等。
为了减少焊接残余应力和变形可以采取以下措施:
1)合理的焊缝设计,包括合理的选择焊缝尺寸和形式;尽可能的减少不必要的焊缝、合理
的安排焊缝的位置、尽量避免焊缝的过分集中和交叉;尽量避免在母材厚度方向的收缩应力。
2)合理的工艺措施,包括采用合理的焊接顺序和方向;采用反变形法减少焊接变形或焊接
应力;锤击或碾压焊缝;对于小尺寸焊接构件可进行提前预热,然后慢慢冷却以消除焊接应
力和焊接变形。
3.8试设计如图所示的对接连接(直缝或斜缝)。
轴心拉力N=1500 kN,钢材Q345A,焊条
E50型,手工焊,焊缝质量川级。
解:直缝连接其计算长度:???=500-2 x 1=480mm
焊缝的正应力为:^=^= 1500 x 1000
=3i2.5N/mm 2>f w=265N/mm 2
I w t 480 x 10 L
不满足要求,改用斜对接焊缝,取截割斜度为 1.5:1,即56°
焊缝长度I = s^°= 603mm 计算长度l w = 603 - 2 x 10 = 583mm 故此时焊缝的正应力为:
(T = Nsi n 0 1500 x 1000 x sin 56 °
:213 N?mm2v f w = =265 N?mm 2 I w t 583 x 10 =
剪应力为:
T = Ncos 0 1500 x 1000 x cos 56 °=144 N?mm2v f,= =180 N?mm 2 l w t 583 x10 -
满足要求。
故设计斜焊缝,如图所示。
N
3.10有一支托角钢,两边用角焊缝与柱相连,如图所示,钢材为
Q345A ,焊条为E50型,
手工焊,已知柱翼缘厚 20mm ,外力N=400kN 。
试确定焊缝厚度(焊缝有绕角,焊缝长度
可以不减去2h f )
解:角焊缝的焊脚尺寸应根据焊接的板件厚度来确定
取 h f =10mm
外力可等效为作用于焊缝的剪力 V=400kN
与作用于焊缝形心的弯矩
M=400 X 0.02=8kN • m
全部焊缝有效截面对中和轴的惯性矩为
I w = — X 0.7 X 10 X 200 3
X 2 =
12
故焊缝的最大正应力为
焊缝中的平均剪切应力:
200 X 10 X 0.7 X 2 =
142.
9 N ?
mm 2
则控制点的焊缝强度验算为:
故满足强度要求。
此时焊缝厚度为 h f =10mm ,有效厚度为 h e =0.7 X 10=7mm
3.11试设计如图所示牛腿与柱的角焊缝连接。
钢材 Q235B ,焊条E43型,手工焊,N=98kN
(静力荷载),偏心矩e=120mm (注意N 力对水平焊缝也有偏心)。
解:先确定焊脚尺寸
h fmax =12-2=10mm;
hfmin=1.5 v 16=6mm
取焊脚尺寸h f =8mm
焊缝截面有关量的计算如图所示: 焊缝截面形心的位置:
y c = [200 X 5.6 X 2 X 100 + 5.6 X (150 -2 - 6 - 5.6) X 2 X (200 - 2.8) + 5.6 X 150 X (200 + 12 + 2.8)] /[200 X 5.6 X 2 + 5.6 X (150 -2 - 6 - 5.6) X 2 + 5.6 X 150] =143.65mm
h fmax =18-2=16mm;
h fmin =1.5v20=6.7mm
1.12 X 108
4
mm 4
12
M h (T= •—
I w 2
8 X 1000 X 1000 X 12
1.12 X 108
X 200 = 85.7 N?mm 2
2
400 X 1000 (T
85.7 )2
+ 142.9 2 =159.2 N?mm 2 v f
200 N?mm 2
全部焊缝有效截面对中和轴的惯性矩为:
1 3 2
"=2X 冷X5.6 X 200 + 5・6 X 200 X (143.65 - 100)]
+ 2 X^ X (75 - 6 - 5.6) X 5.63 + (75 - 6 - 5.6) X (200 - 2.8 -143.65 )]
+ — X 150 X5.63 + 150 X5.6 X(200 + 12 + 2.8 - 12 143.65)
=1.18 X 107 mm4
(注意:上式中为了简化计算,可以将含有高阶小量的项近似等于0计算。
即含有5.63可直接略去不写)
将外力等效为作用于焊缝的剪力V=98kN
和作用于焊缝形心的弯矩M=98 X 0.12=11.76kN • m
按照考虑腹板焊缝参加传递弯矩的计算方法进行计算
由弯矩引起的最大正应力为
M 11.76 X 1062
cr= — -y c = X 143.65 = 143.16 N?mm2
I w 1.18 X107
剪应力为:
98 X 1032
T = = 43.75 N?mm 2
2 X 200 X 5.6
验算强度为:
除此之外需要验证翼缘正应力:
200 + 12 + 5.6 - 143.65
2 w
2
143.16 X = 73.70 N?mm 2v 3f f f w = 1.22 X 160 = 195 N?mm 2
143.65
f
故设计的焊缝符合要求。
此时焊缝的厚度为h f =8mm ,有效焊缝厚度为h e =0.7 X 8=5.6mm
(T
M 14316 v
1.22
)2
+ 43.75 2
=
125.23 N?mm 2 v f W
160 N?mm 2
(T =。