2006年高考江西卷(理科数学)
- 格式:doc
- 大小:600.00 KB
- 文档页数:6
2006年普通高等学校招生全国统一考试(江西卷)理科数学第一卷参考公式:如果时间A 、B 互斥,那么()()()P A B P A P B +=+如果时间A 、B 相互独立,那么()()()P A B P A P B =如果事件A 在一次试验中发生的概率是P ,那么n 次独立重复试验中恰好发生k 次的概率()()1n kk k n n P k C P P -=-球的表面积公式24S R π=,其中R 表示球的半径 球的体积公式343V R π=,其中R 表示球的半径一、选择题:本大题共12小题,每小题5分,共60分,在每小题给出的四个选项中,只有一项是符合题目要求的。
1、已知集合M ={x|3x 0x 1≥(-)},N ={y|y =3x 2+1,x ∈R },则M ⋂N =( )A .∅ B. {x|x ≥1} C.{x|x >1} D. {x| x ≥1或x <0}2、已知复数z+3i )z =3i ,则z =( )A.32B. 34C. 32D.343、若a >0,b >0,则不等式-b <1x <a 等价于( )A .1b -<x <0或0<x <1a B.-1a <x <1b C.x <-1a 或x >1b D.x <1b -或x >1a4、设O 为坐标原点,F 为抛物线y 2=4x 的焦点,A 是抛物线上一点,若OA F A ∙=-4则点A 的坐标是( )A .(2,±) B. (1,±2) C.(1,2)D.(2,)5、对于R 上可导的任意函数f (x ),若满足(x -1)f x '()≥0,则必有( )A . f (0)+f (2)<2f (1) B. f (0)+f (2)≤2f (1)B . f (0)+f (2)≥2f (1) C. f (0)+f (2)>2f (1)6、若不等式x 2+ax +1≥0对于一切x ∈(0,12〕成立,则a 的取值范围是( )A .0 B. -2 C.-52 D.-37、已知等差数列{a n }的前n 项和为S n ,若1O a B =200OA a OC +,且A 、B 、C 三点共线(该直线不过原点O ),则S 200=( )A .100 B. 101 C.200 D.2018、在(x)2006 的二项展开式中,含x 的奇次幂的项之和为S ,当x时,S 等于( ) A.23008 B.-23008 C.23009 D.-230099、P 是双曲线22x y 1916-=的右支上一点,M 、N 分别是圆(x +5)2+y 2=4和(x -5)2+y 2=1上的点,则|PM|-|PN|的最大值为( )A. 6B.7C.8D.910、将7个人(含甲、乙)分成三个组,一组3人,另两组2 人,不同的分组数为a ,甲、乙分到同一组的概率为p ,则a 、p 的值分别为( )A . a=105 p=521 B.a=105 p=421 C.a=210 p=521 D.a=210 p=42111、如图,在四面体ABCD 中,截面AEF 经过四面体的内切球(与四个面都相切的球)球心O ,且与BC ,DC 分别截于E 、F ,如果截面将四面体分成体积相等的两部分,设四棱锥A -BEFD 与三棱锥A -EFC 的表面积分别是S 1,S 2,则必有( )A. S 1<S 2B. S 1>S 2C. S 1=S 2D. S 1,S 2的大小关系不能确定C12、某地一年的气温Q (t )(单位:ºc )与时间t (月份)之间的关系如图(1)所示,已知该年的平均气温为10ºc ,令G (t )表示时间段〔0,t 〕的平均气温,G (t )与t 之间的函数关系用下列图像表示,则正确的应该是( )第Ⅱ卷二、填空题:本大题共4小题,每小题4分,共16分,把答案填写在答题卡的相应位置。
江西省重点中学协作体2006届高考第一次联考数学试卷(理科)命题人: 九江一中 江民杰 审题人: 九江一中 段训明 2006. 2. 9一、选择题(12×5分=60分)1. 复数Z=i -11的共轭复数是( ) A. 21-21i B. -21+21i C. 21+21i D. -21-21i2. (4x 2-2x -5)(1-21x)4的展开式中, 常数项为( )A. 21B. -5C. -16D. -21 3. 设集合A=[-2π, π], B=[-1, 1], f: x →sinx 是从集合A 到集合B 的映射, 则在映射f 作用下, 像21的原像有( )A. 1个B. 2个C. 3个D. 4个4. 在首项为81, 公差为-7的等差数列{a n }中, 值最接近零的项是( )A. 第11项B. 第12项C. 第13项D. 第14项5. 圆x 2+y 2-4x -2y+c=0与y 轴交于A 、B 两点, 圆心为P, 若∠APB=900, 则c 的值为( )A. -8B. 8C. -3D. 36. 已知f(x)=lg(a x-b x), 当a>1>b>0时, f(x)在(1, +∞)的值恒大于零, 则a 、b 应满足的充要条件是( )A. a -b ≥1B. a -b>1C. a -b=1D. 0<a -b<17. 设m 、n 是两条不重合的直线, α、β是两个不重合的平面, 则下列四个命题:(1) 若m ⊥n, m ⊥α, n ⊄α, , 则n ∥α (2) 若m ∥α, α⊥β, 则m ⊥β (3) 若m ⊥β, α⊥β, 则m ∥α和m ⊂α (4) 若m ⊥n, m ⊥α, n ⊥β, 则α⊥β. 其中正确的命题是( )A. 仅(1)B. (2), (3)C. (2), (4)D. (1), (3), (4) 8. 已知∞→n lim (1+n 1)n =e(e 为常数), 则∞→n lim (1+n21)n 等于( )A. 1B. eC.e D. e 29. 函数f(x)=21x +, 若a>b>c>0, 则a a f )(,b b f )(, cc f )(的大小关系是( )A. a a f )(<b b f )(<c c f )( B. a a f )(>b b f )(>c c f )( C. bb f )(>aa f )(>c c f )( D. a a f )(>cc f )(>bb f )( 10. 已知非零向量→a 、→b 不共线, 令p=|→a -→b |, g=|→a -t →b |(t ∈R 且t ≠1), 若(→a -→b )·→b =0, 则( )A. p<gB. p=gC. p>gD. 不能确定11. 曲线y=x 3过点(32, 0)的切线的方程是( ) A. y=0 B. 3x -y -2=0 C. y=0或3x -y -2=0 D. x=0和3x -y -2=0 12. 在100, 101, 102, …, 999这些数中, 各位数字按严格递增或严格递减顺序排列的数共有( )A. 216个B. 204个C. 168个D. 120个二、填空题(4×4分=16分)13. 已知实数x 、y 满足⎪⎩⎪⎨⎧≤--≤≥++0634202y x y y x , 则集合A={(x, y)| x 2+y 2≤r 2, r>0}表示的图形面积的最大值是______________14. 若不等式|x -1|<a 2+a+1成立的充分条件是0<x<4, 则实数a 的取值范围是______________15. 数列{a n }中, 从第二项起每一项与前一项的差成等比数列, 则称该数列为差等比数列. 现已知a 1=1, 若差数列公比为1, 差数列首项为2, 则a n =_____________ 16. 设→a =(cosx -sinx, 2sinx), →b =(cosx+sinx, cosx), f(x)=→a ·→b , 给出下列四个命题: (1) 函数在区间[8π,85π]上是减函数; (2) 直线x=8π是函数图象的一条对称轴; (3) 函数f(x)的图像可由函数y=2sin2x 的图像按→a =(-4π, 0)平移而得到; (4) y=|f(x)|的最小正周期是π.其中正确的命题序号是_________________三、解答题17. (本小题12分)△ABC 中, AB=3, AC=4, ∠BAC=600. (1) 求cos ∠ABC; (2) cos(∠ABC+x)=-1310(-π<x<0), 求cosx.18. (本小题12分)如图, A 、B 两点由5条连线并联, 它们在单位时间内能通过的最大信息量依次为2,3, 4, 3, 2, 现记从中任取三条线且在单位时间内都通过的最大信息总量为ξ. (1) 求ξ的分布列及数学期望;(2) 把ξ≥10的并联网称为信息畅通, 把ξ=8或9的并联网称为信息基本畅通, 试如图, 已知多面体ABCDE中, AB⊥平面ACD, DE⊥平面ACD, AC=AD=CD=DE=2a, AB=a, F为CD的中点.(1)求证: AF⊥平面CDE;(2)求异面直线AC、BE所成角余弦值的大小;(3)求平面BCE和平面ACD所成锐二面角的大小.20.(本小题12分)设f(x)=ln(x+m), x∈[2-m, +∞), x=α是方程f(x)=x的一根.(1)求f(x)-2x的最大值;(2)定理: 设f(x)定义域为I, 对任意[a, b]⊆I, 存在x0∈[a, b], 使等式f(b)-f(a)=(b-a) · f/(x0). 求证: 方程f(x)=x有唯一解x=α.已知F 1(-1, 0), F 2(1, 0), 点P 满足|1PF |+|2PF |=42. (1) 写出点P 的轨迹C 1的方程;(2) 曲线C 2上点M 满足: |MF 1|=d+1, d 表示M 点到曲线C 1的左准线的距离, 过点F 1的直线l 交曲线C 2于A 、B 两点, 且△ABF 2被x 轴分成的两个三角形面积比2121F BF F AF S S ∆∆=λ(21≤λ≤3), 求直线l 的倾斜角的取值范围.正项数列{a n }满足a 1=1, n·a 2n +(n -1) ·a n ·a 1-n -a 21-n =0(n ≥2) (1) 求a 2, a 3, a 4及a n ;(2) 试确定一个正整数N, 使当n>N 时,不等式a 1+a 2+2a 3+3a 4+…+(n -1) ·a n >121241成立; (3) 求证: (1+n1)n<1+a 1+a 2+ … +a n .参考答案一、选择题(12×5分=60分) ADBCC ADCAA CB 二、填空题(4×4分=16分)13. 2π; 14. -2≤a ≤-1或0≤a ≤1; 15. a n =2n+1(n ∈N*) 16. (1), (2) 三、解答题(共6小题, 总分76分) 17. (1)BC=BAC AC AB AC AB ∠⋅⋅-+cos 222=13 …………2分cosB=BC AB AC BC AB ⋅-+2222=131>0 …………………5分(2) ∵cosB>0, ∴B 为锐角, sinB=1332 ………7分∵-π<B+x<2π, cos(B+x)=-1310 < 0∴-π<B+x<2π, ∴sin(B+x)=-133 ………9分∴cosx=cos[(B+x)-B]= … =-13106+ ………12分 18. (1) P(ξ=7)=351222C C C =51, P(ξ=8)= 3512221122C C C C C +=101, P(ξ=9)=35111212C C C C =52, P(ξ=10)=351122C C C =101…………7分 E ξ=8.4 …………8分(2) 信息畅通的概率P 1=P(ξ=10) =101…………10分 信息基本畅通的概率P 2=P(ξ=8或ξ=9)=107………12分19. (1) ∵DE ⊥平面ACD, ∴DE ⊥AF又∵AC=AD=CD, F 为CD 的中点∴AF ⊥CD ∴AF ⊥平面CDE ………4分 (2) 取DE 的中点G , 连AG 、CG ,则∠CAG 或其补角就是异面直线AC 、BE 所成角 …………6分由题设可以求出: CG=AG =5a, AC=2a∵cos ∠CAG=AGAC CG AG AC ⋅-+2222=55∴异面直线AC 、BE 所成角的余弦值为55………8分 (3) 延长DA 、EB 交于H 点, 连CH, 则CH ∥AF,又由AF ⊥平面DCE, 故HC ⊥平面DCE,从而∠DCE 就是平面BCE 和平面ACD 所成锐二面角 ………10分 由平面几何知: △CDE 为等腰直角三角形∴∠DCE=450∴平面BCE 和平面ACD 所成锐二面角为450…………12分. 注: 采用向量法求解答题各小问的得分给出相应分数.20. (1) 令g(x)=f(x)-2x=ln(x+m)-2x, 则g /(x)=mx +1-2 ………2分 ∵x ≥2-m ∴x+m ≥2 ∴m x +1≤21 从而g /(x)=11+x -2≤21-2<0 ………4分 ∴g(x)在[2-m, +∞)上单调递减∴x=2-m 时,g(x)=f(x)-2x 最大值=ln(2-m+m)-2(2-m)=ln2+2m -4 …………6分 (2) 假设f(x)=x 还有另一解x=β(α≠β) 由假设知β-α=f(β)-f(α)=f /(x 0)·(β-α) x 0∈[2-m, +∞) ……………8分故f /(x 0)=1, 又∵f /(x 0)=m x +01≤21<1 矛盾 …………11分故f(x)=x 有唯一解x=α ………12分21. (1) P 的轨迹椭圆C 1: 82x +72y =1 ……………4分(2) 椭圆C 1的左准线方程为x=-8, F 1(-1, 0),由|MF 1|=d+1知曲线C 2是以F 1(-1, 0)为焦点, x=-9为准线的抛物线故C 2的方程为: y 2=16(x+5) …………… 6分 设l : x=ay -1, A(x 1, y 1), B(x 2, y 2),由⎩⎨⎧+=-=)5(1612x y ay x 消去x 得y 2-16ay -64=0, 2121F BF F AF S S ∆∆=λ⇔11BF AF =λ 即1AF =λ2BF 于是: y 1=-λy 2 ① 又y 1+y 2=16a ② y 1·y 2=-64 ③, 由①②③消去y 1, y 2得: a 2=41(λ+λ1-2), (21≤λ≤3) ………9分当21≤λ≤1时, a 2∈[0, 81], 当1≤λ≤3时, a 2∈[0, 31],∴a 2∈[0, 31] ……………10分从而当a=0时, 倾斜角为2π,当a ≠0时, k 2=21a≥3故k ≥3或k ≤-3, 倾斜角α∈[3π, 2π)⋃(2π, 32π],故倾斜角范围为: [3π,32π] ………………12分22. (1) n·a 2n +(n -1) ·a n ·a 1-n -a 21-n =0⇒(n ·1-n n a a -1)(1-n n a a+1)=0, 又∵a 1-n >0, a n >0, 故1-n n a a =n1, a 1=1 …………2分 a 2=21=!21, a 3=!31, a 4=!41, …, a n =!1n ………4分 (2) 由(k -1)a k =!1k k -=)!1(1-k -!1k (k ≥2), a 1+a 2+2a 3+3a 4+…+(n -1) ·a n =1+(!11-!21)+(!21-!31)+ … +()!1(1-n -!1n )=2-!1n …… 6分从而有2-!1n >121241, ∴!1n <1211, 即n !>121, ∵5!=120, 6!=720,∴n>5取N=5, n>N 时, 原不等式成立. …………8分 (3) (1+n1)n展开式通项: T 1+r =C rn ·(n1)r=n n ·n n 1-·n n 2-· … ·n r n 1+-·!1r <!1r (r=0, 1, 2, 3, …, n)…………12分 (1+n 1)n <!01+!11+!21+!31+ … +!1n =1+a 1+a 2+ … +a n ……14分。
2006年高考江西卷理科数学试题及参考答案第一篇:2006年高考江西卷理科数学试题及参考答案Unit 8 B卷I.词组英汉互译(10分)1.干家务________2.洗餐具______3.整理床铺__________4.打扫客厅__________5.一个重要会议__________6.Feed dogs and cats_________7.No walking dogs in the park.__________8.Work on English teaching_________9.Stay out late_____________10.have an English test tomorrow __________ II.选择填空(15分)()1 Could you please ________ your classroom every day?A.to cleanB.cleaningC.cleanD.cleaned()2.Could you please ________--to music in class?A.No listenB.not listenC.don't listenD.No listening()3.__________ times do you eat junk food a week?A.How oftenB.how manyC.how longD.how much()4.I often help grandpa _______ the birds and animals.A.Feeding B.feeds C.to feed D.fed()5.So _____ homework really make the students ______ tired.much: feel B.many feel C.much feeling D.many feels ()6-Dave!Your mom is too busy!You shouldn't throw your waste things everywhere!---Oh.I am sorry.I am going to_____________ and put them in the waste box.A.tale out the trash B.make the desk cleanC.fold my clothesD.do some shopping()7.-Could you please go skating with me this afternoon?--Oh.I'd love to.But my sister is ill in bed and I have to _________her.A.take care B.take a walk with C.take care of D.takeout of()8.________ some money from himbut I will _________my bike to him in a few days.A.borrow, return B.lend, borrow C.borrow, lend D.lend, keep()9.Don't forget _________ when you leave.A.putting it on B.to put it on C.put on it D.to put on it()10-Could I please use your pen?---______________.A.with pleasure B.No, y ou can't C.You shouldn't say that D.You're polite ()11(2005年浙江丽水中考题)--Can you stay here for lunch?-Sorry, _________, I have to see my parents.A.can't B.shouldn't C.I mustn't D.I won't()12.(2005年山东泰安市中考题)--Can I get you a cup of tea?--__________.A.It's very nice of you B.With pleasure C.You can, please D.That's all right()13.(2005年广州市中考题)A neighbour helped to keep our dog.It _________while we were on holiday.A.was taken care B.took care of C.is taken care of D.was taken care of()14.(2005年安徽省中考题)--Excuse me, could you help me carry the heavy box?---____.A.Yes, I could B.It doesn't matter C.With pleasure D.Don't mention it()15.(2005年福州市中考题)--I like the party so much, but I _______go home.It's too late.--What a pity!A.mustn'tB.have toC.mayD.can'tIII.以所给词的正确形式填空(10分)1.Good food and exercise help me study__________(well)And practice __________(speak)English is good for my study.2.How often does Katrina___________(do)homework ?-Very often.She ialways has a lot of homework ___________(do)3.Who is the __________(good)English student?4.How about ___________(go)to the sports camp next week?5.What did you_________(do)an hour ago? I ___________(feed)my dogs.6.They __________(enjoy)________(them)at the English party yesterday.7.Listen.Can you hear the birds __________(sing)in the tree?8.It's good for your health__________(eat)a lot of fruit and vegetables.VI.翻译下列句子(15分)1.我不喜欢倒垃圾。
南昌二中 2006届高三(理科)数学第一次考试题命题人:陶学明一、选择题:(每题5分,共60分)1.样本容量是指( )(A )样本的个数 (B )样本中所包含的个体的个数(C )总体中所包含的个体的个数 (D )以上都不正确2.设函数⎪⎩⎪⎨⎧>≤-=-)0()0(12)(21x xx x f x 若00,1)(x x f 则>的取值范围是( )A .(-1,1)B .(-1,+∞)C .),0()2,(+∞--∞D .),1()1,(+∞--∞3.已知函数x x f 2)(=的反函数)(1x f-,若4)()(11=+--b f a f ,则b a 11+的最小值为( ) A .1 B .21 C .31 D .41 4.设)(),(x g x f 分别是定义在R 上的奇函数和偶函数,当0<x 时,,0)()()()(>'+'x g x f x g x f 且,0)3(=-g 则不等式0)()(<x g x f 的解集是( )A .),3()0,3(+∞⋃-B .)3,0()0,3(⋃-C .),3()3,(+∞⋃--∞D .)3,0()3,(⋃--∞5.已知集合{}3,2,1=A ,{}2,1--=B ,设映射B A f →:,如果集合B 中的元素都是A 中元素在映射f 下的象,那么,这样的映射存在( ).A .3个B .4个C .6个D .8个6.已知数据n x x x ,,, 21的平均数为5=x ,方差为42*=S,则数据731+x ,732+x ,…,73+n x 的平均数和方差分别为( )A .22,36B .15,36C .15,12D .22,1277. 已知随机变量ξ服从二项分布ξξ~()()B p 6132,,则==( )A. 316B. 4243C. 13243D. 802438.⎩⎨⎧<⋅<<+<3042y x y x 是⎩⎨⎧<<<<3210y x 的( ). A .充分非必要条件 B .必要非充分条件C .充分必要条件D .既非充分又非必要条件 9.极限)11141131121(lim 2222-++-+-+-∞→n n 的值是( ) A .-1 B .1 C .43 D .23 10.已知0>c ,设p :函数x c y =在R 上单调递减。
2006高等学校全国统一考试数学理试题(江西理)第Ⅰ卷一、选择题:本大题共12小题,每小题5分,共60分,在每小题给出的四个选项中,只有一项是符合题目要求的. 1.已知集合230{31}(1)x M x N y y x x R x ⎧⎫===+∈⎨⎬-⎩⎭,,≥,则 M N 等于( ) A.∅ B.{1}x x ≥ C.{1}x x > D.{10}x x x <或≥2.已知复数z满足3)3i z i =,则z 等于( )A.322-B.344-C.322+D.344+3.若00a b >>,,则不等式1b a x-<<等价于( )A.10x b-<<或10x a<< B.11x a b-<<C.1x a<-或1x b>D.1x b<-或1x a>4.设O 为坐标原点,F 为抛物经24y x =的焦点,A 为抛物线上一点,若4OA AF =-,则点A 的坐标为( )A.(2±, B.(12)±, C.(12),D.(2 5.对于R 上可导的任意函数()f x ,若满足(1)()0x f x '-≥,则必有( ) A.(0)(2)2(1)f f f +< B.(0)(2)2(1)f f f +≤ C.(0)(2)2(1)f f f +≥D.(0)(2)2(1)f f f +>6.若不等式210x ax ++≥对一切102x ⎛⎤∈ ⎥⎝⎦,成立,则a 的最小值为( )A.0B.2-C.52- D.3-7.已知等差数列{}n a 的前n 项和为n S ,若120O B aO A a O C =+,且A B C ,,三点共线(该直线不过点O ),则200S 等于( )A.100 B.101 C.200 D.2018.在2006(x -的二项展开式中,含x 的奇次幂的项之和为S,当x =S 等于( )A.30082B.30082-C.30092D.30092-9.P 为双曲线221916xy-=的右支上一点,M N ,分别是圆22(5)4x y ++=和22(5)1x y -+=上的点,则PM PN -的最大值为( )A.6 B.7 C.8 D.910.将7个人(含甲、乙)分成三个组,一组3人,另两组各2人,不同的分组数为a ,甲、乙分在同一组概率为p ,则a p ,的值分别为( ) A.510521a p ==, B.410521a p ==,C.521021a p ==, D.421021a p ==, 11.如图,在四面体A B C D 中,截面AEF 经过四面 体的内切球(与四个面都相切的球)球心O ,且与 BC DC ,分别截于E F ,.如果截面将四面体分 为体积相等的两部分,设四棱锥A BEFD -与三棱锥A E F C -的表面积分别为12S S ,,则必有( )A.12S S < B.12S S > C.12S S = D.1S ,2S 的大小关系不能确定12.某地一年内的气温()Q t之间的关系如图(1令()C t 表示时间段[0]t ,第Ⅱ卷二、填空题:本大题共4小题,每小题4分,共16分,请把答案填在答题卡上. 13.数列2141n ⎧⎫⎨⎬-⎩⎭的前n 项和为n S ,则lim n n S →∞= . 14.设3()log (6)f x x =+的反函数为1()f x -,若11[()6][()6]27fm fn --++= ,则()f m n += .15.如图,在直三棱柱111ABC A B C -中,底面为直角三角形,1906ACB AC BC CC ∠====,,.P 是BC 上一动点,则1C P PA +的最小值为 .16.已知圆2:(cos )M x θ+2(sin )1y θ+-=,填线:l y kx =,下面四个命题 A .对任意实数k 和θ,直线l 和圆M 相切;B .对任意实数k 和θ,直线l 和圆M 有公共点;C .对任意实数θ,必存在实数k ,使得直线l 和圆M 相切;D .对任意实数k ,必存在实数θ,使得直线l 和圆M 相切. 其中真命题的代号是 (写出所有真命题的代号).三、解答题:本大题共6小题,共74分,解答应写出文字说明,证明过程或演算步骤.17.(本小题满分12分)已知函数32()f x x ax bx c =+++在23x =-与1x =时都取得极值.(1)求a b ,的值及函数()f x 的单调区间;(2)若对[12]x ∈-,,不等式2()f x c <恒成立,求c 的取值范围.ACP B1A1C 1B BE18.(本小题满分12分)某商场举行抽奖促销活动,抽奖规则是:从装有9个白球、1个红球的箱子中每次随机地摸出一个球,记下颜色后放回,摸出一个红球可获得奖金10元;摸出两个红球可获得奖金50元,现有甲、乙两位顾客,规定:甲摸一次,乙摸两次,令ξ表示甲、乙两人摸球后获得的奖金总额.求(1)ξ的分布列;(2)ξ的数学期望.19.(本小题满分12分)如图,已知A B C△是边长为1的正三角形,MM N经过A B C△的中心G,设2M G Aααππ⎛⎫= ⎪33⎝⎭≤≤.(1)试将AGM AGN,△△的面积(分别记为1S与2S)表示为α(2)求221211yS S=+的最大值与最小值.20.(本小题满分12分)如图,在三棱锥A B C D-中,侧面ABD ACD,是全等的直角三角形,A D是公共的斜边,且1AD BD C D===,另一侧面ABC是正三角形.(1)求证:AD BC⊥;(2)求二面角B A C D--的大小;(3)在线段A C上是否存在一点E,使E D与面BC D成30 角?若存在,确定点E的位置;若不存在,说明理由.21.(本小题满分12分)如图,椭圆2222:1(0)x yQ a ba b+=>>的右焦点为(0)F c,,过点F的一动直线m绕点F转动,并且交椭圆于A B,两点,P为线段A B的中点.(1)求点P的轨迹H的方程;‘(2)若在Q的方程中,令221cos sin sin0a bθθθθπ⎛⎫=++=<⎪2⎝⎭,≤.确定θ的值,使原点距椭圆Q的右准线l最远.此时,设l与x轴交点为D,当直线m绕点F转动到什么位置时,三角形ABD的面积最大?22.(本小题满分14分)已知数列{}na满足:132a=,且113(2)21nnnnaa n na n*--=∈+-N,≥.(1)求数列{}na的通项公式;(2)证明:对一切正整数n,不等式122!na a a n<恒成立.ABCDB D2006高等学校全国统一考试数学理试题理(江西)参考答案一、选择题:本大题共12小题,每小题5分,共60分,在每小题给出的四个选项中,只有一项是符合题目要求的。
2006年普通高等学校夏季招生考试数学(理工农医类)江西卷(新课程)第Ⅰ卷一.选择题:本大题共12小题,每小题5分,共60分.在每小题给出的四个选项中,只有一项是符合题目要求的. 1.已知集合M={x|0)1(3≥-x x },N={y|y=3x 2+1,x ∈R},则M ∩N 等于 A. B.{x|x ≥1} C .{x|x >1} D .{x|x ≥1或x <0} 2.已知复数z 满足(3+3i)z=3i ,则z 等于A .2323-i B. 4343-i C .i 2323+ D .4343+i 3.若a >0,b >0则不等式-b <x1<a 等价于 A .-b 1<x <0或0<x <a 1 B .-a 1<x <b 1C. x <-a 1或x >b 1D. x <-b 1或x >a14.设O 为坐标原点,F 为抛物线y 2=4x 的焦点,A 为抛物线上一点,若AF OA ∙=-4,则点A 的坐标为A .(2,±22)B .(1,±2)C .(1,2)D .(2,22) 5.对于R 上可导的任意函数f(x),若满足(x-1)f ′(x)≥0,则必有A .f(0)+f(2)<2f(1)B .f(0)+f(2)≤2f(1) C. f(0)+f(2)≥2f(1) D .f (0)+f(2)>2f(1) 6.若不等式x 2+ax+l ≥0对一切x ∈(0,21]成立,则a 的最小值为A .0 B.-2 C .-25D .-3 7.已知等差数列{a n }的前n 项和S n ,若OB =a 1OA +a 200,且A 、B 、C 三点共线(该直线不过点O),则S 200等于A .100B .101C .200D .201 8.在(x-2)2006的二项展开式中,含x 的奇次幂的项之和为S ,当x=2时,S 等于A .23008B .-23008C .23009D .-230099.P 为双曲线16922y x -=1的右支上一点,M 、N 分别是圆(x+5)2+y 2=4和(x-5)2+y 2=1上的点,则|PM|-|PN|的最大值为A .6B .7C .8D .910.将7个人(含甲、乙)分成三个组,一组3人,另两组各2人,不同的分组数为a,甲、乙分在同一组的概率为p,则a 、p 的值分别为 A .a=105,p=215 B .a=105,P=214 C .a=210,p=215 D .a=210,p=214 11.如图,在四面体ABCD 中,截面AEF 经过四面体的内切球(与四个面都相切的球)球心O ,且与BC 、DC 分别截于E 、F.如果截面将四面体分为体积相等的两部分,设四棱锥A-BEFD 与三棱锥A-EFC 的表面积分别为S 1、S 2,则必有A .S 1<S 2B .S 1>S 2C .S 1=S 2D .S 1、S 2的大小关系不能确定12.某地一年内的气温Q(t)(单位:℃)与时间t(月份)之间的关系如图(1)所示,已知该年的平均气温为10℃.令C(t)表示时间段[0,t ]的平均气温,C(t)与t 之间的函数关系用下列图象表示,则正确的应该是第Ⅱ卷二.填空题:本大题共4小题,每小题4分,共16分。
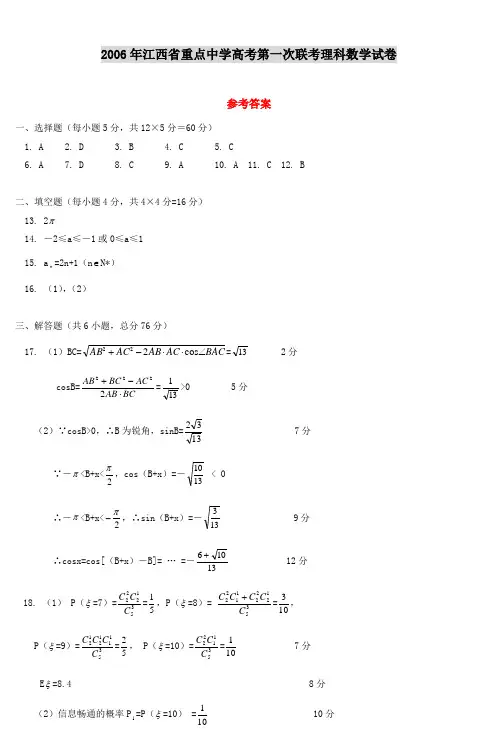
2006年江西省重点中学高考第一次联考理科数学试卷参考答案一、选择题(每小题5分,共12×5分=60分) 1. A 2. D 3. B 4. C 5. C6. A7. D8. C9. A10. A 11. C 12. B二、填空题(每小题4分,共4×4分=16分) 13. 2π14. -2≤a ≤-1或0≤a ≤1 15. a n =2n+1(n ∈N*) 16. (1),(2)三、解答题(共6小题,总分76分)17. (1)BC=BAC AC AB AC AB ∠⋅⋅-+cos 222=132分cosB=BC AB AC BC AB ⋅-+2222=131>05分(2)∵cosB>0,∴B 为锐角,sinB=1332 7分∵-π<B+x<2π,cos (B+x )=-1310 < 0 ∴-π<B+x<2π-,∴sin (B+x )=-1339分 ∴cosx=cos[(B+x )-B]= … =-13106+ 12分 18. (1) P (ξ=7)=351222C C C =51,P (ξ=8)= 3512221122C C C C C +=103, P (ξ=9)=35111212C C C C =52, P (ξ=10)=351122C C C =1017分 E ξ=8.4 8分 (2)信息畅通的概率P 1=P (ξ=10) =10110分信息基本畅通的概率P 2=P (ξ=8或ξ=9)=10712分 19. (1) ∵DE ⊥平面ACD ,∴DE ⊥AF又∵AC=AD=CD ,F 为CD 的中点∴AF ⊥CD ∴AF ⊥平面CDE 4分(2)取DE 的中点G ,连AG 、CG ,则∠CAG 或其补角就是异面直线AC 、BE 所成角 6分 由题设可以求出:CG=AG =5a ,AC=2a∵cos ∠CAG=AG AC CG AG AC ⋅-+2222=55∴异面直线AC 、BE 所成角的余弦值为558分 (2)延长DA 、EB 交于H 点,连CH , 则CH ∥AF , 又由AF ⊥平面DCE ,故HC ⊥平面DCE ,从而∠DCE 就是平面BCE 和平面ACD 所成锐二面角 10分 由平面几何知:△CDE 为等腰直角三角形 ∴∠DCE=45°∴平面BCE 和平面ACD 所成锐二面角为45° 12分 注:采用向量法求解答题各小问的得分给出相应分数。
这七种方法不伤身体又不用长期坚持的减肥方法1、黄瓜鸡蛋法每餐只吃黄瓜和鸡蛋,代替3餐,坚持7天,包你瘦,不过到时你就会特别想念老干妈的味道了。
是很好的刮油办法。
原理:黄瓜果肉脆甜多汁,清香可口,它含有胶质、果酸和生物活性酶,可促进机体代谢,能治疗晒伤、雀斑和皮肤过敏。
黄瓜还能清热利尿、预防便秘。
新鲜黄瓜中含有的丙醇二酸,能有效地抑制糖类物质转化为脂肪,因此,常吃黄瓜对减肥和预防冠心病有很大的好处。
>>>减肥:这样吃黄瓜有害健康2、过午不食法超过下午三点不吃任何东西,当然能吃的时候也不能猛吃啊,这样一周可以瘦几公斤。
原理:夜间休息,人体消耗的能量较少,摄入的过多能量用以变成脂肪囤积起来。
此法的注意事项是早餐和午餐必须吃饱吃好,补充一天所必须的营养物质。
健康提示:如果实在饿得慌,可以多喝水,或者吃一个苹果。
3、不吃正餐法每天少吃正餐,把豆浆作为三餐的一部分,女孩子喝了很有好处的,不过注意是无糖的哦,最好自己买台豆浆机,每天自己打,方便又便宜。
原理:豆浆主要榨取了含有丰富高优质植物性蛋白质的大豆,除了大豆蛋白质,还含有大量的大豆异黄酮(Isoflavone)、大豆配醣体(Saponin)等成份。
这些成份可以抑制吸收体内的脂质和醣类,发挥燃烧体脂肪的效果。
因此从饮用豆浆的那一刻起,经过消化→吸收→燃烧脂肪的各个阶段,这些有效成份可都正在发挥瘦身效果呢!>>>四大密技巧喝豆浆轻松减肥4、苹果减肥法吃2天苹果然后正常节制的饮食3天,这样几个周期循环,效果不错。
原理:肥胖者几乎都是因过食而使胃部扩张,无法控制食欲。
苹果减肥法能使胃部收缩,减肥后食欲变得容易控制,而且味觉变正常,不会喜欢刺激性食物或油腻食物。
苹果减肥可以促进血液内白血球的生成,提高人体的抵抗力和免疫力,同时促进神经和内分泌功能,有助美容养颜。
吃苹果减肥的好处是不必挨饿,肚子饿就吃苹果。
因为它是低热量食物,无论吃多少,都不会比日常生活所摄取的热量还多,所以体重自然减轻。
2006年全国统一高考数学试卷(理科)(全国卷Ⅰ)一、选择题(共12小题,每小题5分,满分60分)1.(5分)设集合M={x|x2﹣x<0},N={x||x|<2},则()A.M∩N=∅B.M∩N=M C.M∪N=M D.M∪N=R2.(5分)已知函数y=e x的图象与函数y=f(x)的图象关于直线y=x 对称,则()A.f(2x)=e2x(x∈R)B.f(2x)=ln2•lnx(x>0)C.f(2x)=2e x(x∈R)D.f(2x)=lnx+ln2(x>0)3.(5分)双曲线mx2+y2=1的虚轴长是实轴长的2倍,则m=()A.B.﹣4 C.4 D.4.(5分)如果复数(m2+i)(1+mi)是实数,则实数m=()A.1 B.﹣1 C.D.5.(5分)函数的单调增区间为()A.B.(kπ,(k+1)π),k∈ZC.D.6.(5分)△ABC的内角A、B、C的对边分别为a、b、c,若a、b、c成等比数列,且c=2a,则cosB=()A.B.C. D.7.(5分)已知各顶点都在一个球面上的正四棱柱高为4,体积为16,则这个球的表面积是()A.16πB.20πC.24πD.32π8.(5分)抛物线y=﹣x2上的点到直线4x+3y﹣8=0距离的最小值是()A.B.C.D.39.(5分)设平面向量1、2、3的和1+2+3=0.如果向量1、2、,满足|i|=2|i|,且i顺时针旋转30°后与i同向,其中i=1,2,3,3则()A.﹣1+2+3=0 B.1﹣2+3=0 C.1+2﹣3=0 D.1+2+3=010.(5分)设{a n}是公差为正数的等差数列,若a1+a2+a3=15,a1a2a3=80,则a11+a12+a13=()A.120 B.105 C.90 D.7511.(5分)用长度分别为2、3、4、5、6(单位:cm)的5根细木棒围成一个三角形(允许连接,但不允许折断),能够得到的三角形的最大面积为()A.B.C.D.20cm212.(5分)设集合I={1,2,3,4,5}.选择I的两个非空子集A和B,要使B中最小的数大于A中最大的数,则不同的选择方法共有()A.50种B.49种C.48种D.47种二、填空题(共4小题,每小题4分,满分16分)13.(4分)已知正四棱锥的体积为12,底面对角线长为,则侧面与底面所成的二面角等于°.14.(4分)设z=2y﹣x,式中变量x、y满足下列条件:,则z的最大值为.15.(4分)安排7位工作人员在5月1日至5月7日值班,每人值班一天,其中甲、乙二人都不安排在5月1日和2日.不同的安排方法共有种(用数字作答).16.(4分)设函数.若f(x)+f′(x)是奇函数,则φ=.三、解答题(共6小题,满分74分)17.(12分)ABC的三个内角为A、B、C,求当A为何值时,取得最大值,并求出这个最大值.18.(12分)A、B是治疗同一种疾病的两种药,用若干试验组进行对比试验.每个试验组由4只小白鼠组成,其中2只服用A,另2只服用B,然后观察疗效.若在一个试验组中,服用A有效的小白鼠的只数比服用B有效的多,就称该试验组为甲类组.设每只小白鼠服用A 有效的概率为,服用B有效的概率为.(Ⅰ)求一个试验组为甲类组的概率;(Ⅱ)观察3个试验组,用ξ表示这3个试验组中甲类组的个数,求ξ的分布列和数学期望.19.(12分)如图,l1、l2是互相垂直的异面直线,MN是它们的公垂线段.点A、B在l1上,C在l2上,AM=MB=MN.(Ⅰ)证明AC⊥NB;(Ⅱ)若∠ACB=60°,求NB与平面ABC所成角的余弦值.20.(12分)在平面直角坐标系xOy中,有一个以和为焦点、离心率为的椭圆,设椭圆在第一象限的部分为曲线C,动点P在C上,C在点P处的切线与x、y轴的交点分别为A、B,且向量.求:(Ⅰ)点M的轨迹方程;(Ⅱ)的最小值.21.(14分)已知函数.(Ⅰ)设a>0,讨论y=f(x)的单调性;(Ⅱ)若对任意x∈(0,1)恒有f(x)>1,求a的取值范围.22.(12分)设数列{a n}的前n项的和,n=1,2,3,…(Ⅰ)求首项a1与通项a n;(Ⅱ)设,n=1,2,3,…,证明:.2006年全国统一高考数学试卷(理科)(全国卷Ⅰ)参考答案与试题解析一、选择题(共12小题,每小题5分,满分60分)1.(5分)(2006•全国卷Ⅰ)设集合M={x|x2﹣x<0},N={x||x|<2},则()A.M∩N=∅B.M∩N=M C.M∪N=M D.M∪N=R【分析】M、N分别是二次不等式和绝对值不等式的解集,分别解出再求交集合并集.【解答】解:集合M={x|x2﹣x<0}={x|0<x<1},N={x||x|<2}={x|﹣2<x<2},∴M∩N=M,故选:B.2.(5分)(2006•全国卷Ⅰ)已知函数y=e x的图象与函数y=f(x)的图象关于直线y=x对称,则()A.f(2x)=e2x(x∈R)B.f(2x)=ln2•lnx(x>0)C.f(2x)=2e x(x∈R)D.f(2x)=lnx+ln2(x>0)【分析】本题考查反函数的概念、互为反函数的函数图象的关系、求反函数的方法等相关知识和方法.根据函数y=e x的图象与函数y=f(x)的图象关于直线y=x对称可知f (x)是y=e x的反函数,由此可得f(x)的解析式,进而获得f(2x).【解答】解:函数y=e x的图象与函数y=f(x)的图象关于直线y=x对称,所以f(x)是y=e x的反函数,即f(x)=lnx,∴f(2x)=ln2x=lnx+ln2(x>0),选D.3.(5分)(2006•全国卷Ⅰ)双曲线mx2+y2=1的虚轴长是实轴长的2倍,则m=()A.B.﹣4 C.4 D.【分析】由双曲线mx2+y2=1的虚轴长是实轴长的2倍,可求出该双曲线的方程,从而求出m的值.【解答】解:双曲线mx2+y2=1的虚轴长是实轴长的2倍,∴m<0,且双曲线方程为,∴m=,故选:A.4.(5分)(2006•全国卷Ⅰ)如果复数(m2+i)(1+mi)是实数,则实数m=()A.1 B.﹣1 C.D.【分析】注意到复数a+bi(a∈R,b∈R)为实数的充要条件是b=0 【解答】解:复数(m2+i)(1+mi)=(m2﹣m)+(1+m3)i是实数,∴1+m3=0,m=﹣1,选B.5.(5分)(2006•全国卷Ⅰ)函数的单调增区间为()A.B.(kπ,(k+1)π),k∈ZC.D.【分析】先利用正切函数的单调性求出函数单调增时x+的范围i,进而求得x的范围.【解答】解:函数的单调增区间满足,∴单调增区间为,故选C6.(5分)(2006•全国卷Ⅰ)△ABC的内角A、B、C的对边分别为a、b、c,若a、b、c成等比数列,且c=2a,则cosB=()A.B.C. D.【分析】根据等比数列的性质,可得b=a,将c、b与a的关系结合余弦定理分析可得答案.【解答】解:△ABC中,a、b、c成等比数列,则b2=ac,由c=2a,则b=a,=,故选B.7.(5分)(2006•全国卷Ⅰ)已知各顶点都在一个球面上的正四棱柱高为4,体积为16,则这个球的表面积是()A.16πB.20πC.24πD.32π【分析】先求正四棱柱的底面边长,然后求其对角线,就是球的直径,再求其表面积.【解答】解:正四棱柱高为4,体积为16,底面积为4,正方形边长为2,正四棱柱的对角线长即球的直径为2,∴球的半径为,球的表面积是24π,故选C.8.(5分)(2006•全国卷Ⅰ)抛物线y=﹣x2上的点到直线4x+3y﹣8=0距离的最小值是()A.B.C.D.3【分析】设抛物线y=﹣x2上一点为(m,﹣m2),该点到直线4x+3y ﹣8=0的距离为,由此能够得到所求距离的最小值.【解答】解:设抛物线y=﹣x2上一点为(m,﹣m2),该点到直线4x+3y﹣8=0的距离为,分析可得,当m=时,取得最小值为,故选B.9.(5分)(2006•全国卷Ⅰ)设平面向量1、2、3的和1+2+3=0.如果向量1、2、3,满足|i|=2|i|,且i顺时针旋转30°后与i同向,其中i=1,2,3,则()A.﹣1+2+3=0 B.1﹣2+3=0 C.1+2﹣3=0 D.1+2+3=0 【分析】三个向量的和为零向量,在这三个向量前都乘以相同的系数,我们可以把系数提出公因式,括号中各项的和仍是题目已知中和为零向量的三个向量,当三个向量都按相同的方向和角度旋转时,相对关系不变.【解答】解:向量1、2、3的和1+2+3=0,向量1、2、3顺时针旋转30°后与1、2、3同向,且|i|=2|i|,∴1+2+3=0,故选D.10.(5分)(2006•全国卷Ⅰ)设{a n}是公差为正数的等差数列,若a1+a2+a3=15,a1a2a3=80,则a11+a12+a13=()A.120 B.105 C.90 D.75【分析】先由等差数列的性质求得a2,再由a1a2a3=80求得d即可.【解答】解:{a n}是公差为正数的等差数列,∵a1+a2+a3=15,a1a2a3=80,∴a2=5,∴a1a3=(5﹣d)(5+d)=16,∴d=3,a12=a2+10d=35∴a11+a12+a13=105故选B.11.(5分)(2006•全国卷Ⅰ)用长度分别为2、3、4、5、6(单位:cm)的5根细木棒围成一个三角形(允许连接,但不允许折断),能够得到的三角形的最大面积为()A.B.C.D.20cm2【分析】设三角形的三边分别为a,b,c,令p=,则p=10.海伦公式S=≤=故排除C,D,由于等号成立的条件为10﹣a=10﹣b=10﹣c,故“=”不成立,推测当三边长相等时面积最大,故考虑当a,b,c三边长最接近时面积最大,进而得到答案.【解答】解:设三角形的三边分别为a,b,c,令p=,则p=10.由海伦公式S=知S=≤=<20<3由于等号成立的条件为10﹣a=10﹣b=10﹣c,故“=”不成立,∴S<20<3.排除C,D.由以上不等式推测,当三边长相等时面积最大,故考虑当a,b,c三边长最接近时面积最大,此时三边长为7,7,6,用2、5连接,3、4连接各为一边,第三边长为7组成三角形,此三角形面积最大,面积为,故选B.12.(5分)(2006•全国卷Ⅰ)设集合I={1,2,3,4,5}.选择I的两个非空子集A和B,要使B中最小的数大于A中最大的数,则不同的选择方法共有()A.50种B.49种C.48种D.47种【分析】解法一,根据题意,按A、B的元素数目不同,分9种情况讨论,分别计算其选法种数,进而相加可得答案;解法二,根据题意,B中最小的数大于A中最大的数,则集合A、B 中没有相同的元素,且都不是空集,按A、B中元素数目这和的情况,分4种情况讨论,分别计算其选法种数,进而相加可得答案.【解答】解:解法一,若集合A、B中分别有一个元素,则选法种数有C52=10种;若集合A中有一个元素,集合B中有两个元素,则选法种数有C53=10种;若集合A中有一个元素,集合B中有三个元素,则选法种数有C54=5种;若集合A中有一个元素,集合B中有四个元素,则选法种数有C55=1种;若集合A中有两个元素,集合B中有一个元素,则选法种数有C53=10种;若集合A中有两个元素,集合B中有两个元素,则选法种数有C54=5种;若集合A中有两个元素,集合B中有三个元素,则选法种数有C55=1种;若集合A中有三个元素,集合B中有一个元素,则选法种数有C54=5种;若集合A中有三个元素,集合B中有两个元素,则选法种数有C55=1种;若集合A中有四个元素,集合B中有一个元素,则选法种数有C55=1种;总计有49种,选B.解法二:集合A、B中没有相同的元素,且都不是空集,从5个元素中选出2个元素,有C52=10种选法,小的给A集合,大的给B集合;从5个元素中选出3个元素,有C53=10种选法,再分成1、2两组,较小元素的一组给A集合,较大元素的一组的给B集合,共有2×10=20种方法;从5个元素中选出4个元素,有C54=5种选法,再分成1、3;2、2;3、1两组,较小元素的一组给A集合,较大元素的一组的给B集合,共有3×5=15种方法;从5个元素中选出5个元素,有C55=1种选法,再分成1、4;2、3;3、2;4、1两组,较小元素的一组给A集合,较大元素的一组的给B 集合,共有4×1=4种方法;总计为10+20+15+4=49种方法.选B.二、填空题(共4小题,每小题4分,满分16分)13.(4分)(2006•全国卷Ⅰ)已知正四棱锥的体积为12,底面对角线长为,则侧面与底面所成的二面角等于60°.【分析】先根据底面对角线长求出边长,从而求出底面积,再由体积求出正四棱锥的高,求出侧面与底面所成的二面角的平面角的正切值即可.【解答】解:正四棱锥的体积为12,底面对角线的长为,底面边长为2,底面积为12,所以正四棱锥的高为3,则侧面与底面所成的二面角的正切tanα=,∴二面角等于60°,故答案为60°14.(4分)(2006•全国卷Ⅰ)设z=2y﹣x,式中变量x、y满足下列条件:,则z的最大值为11.【分析】先根据约束条件画出可行域,再利用几何意义求最值,z=2y ﹣x表示直线在y轴上的截距,只需求出可行域直线在y轴上的截距最大值即可.【解答】解:,在坐标系中画出图象,三条线的交点分别是A(0,1),B(7,1),C(3,7),在△ABC中满足z=2y﹣x的最大值是点C,代入得最大值等于11.故填:11.15.(4分)(2006•全国卷Ⅰ)安排7位工作人员在5月1日至5月7日值班,每人值班一天,其中甲、乙二人都不安排在5月1日和2日.不同的安排方法共有2400种(用数字作答).【分析】本题是一个分步计数问题,先安排甲、乙两人在假期的后5天值班,有A52种排法,其余5人再进行排列,有A55种排法,根据分步计数原理得到结果.【解答】解:由题意知本题是一个分步计数问题,首先安排甲、乙两人在假期的后5天值班,有A52=20种排法,其余5人再进行排列,有A55=120种排法,∴根据分步计数原理知共有20×120=2400种安排方法.故答案为:240016.(4分)(2006•全国卷Ⅰ)设函数.若f(x)+f′(x)是奇函数,则φ=.【分析】对函数求导结合两角差的正弦公式,代入整理可得,,根据奇函数的性质可得x=0时函数值为0,代入可求φ的值【解答】解:,则f(x)+f′(x)=,为奇函数,令g(x)=f(x)+f′(x),即函数g(x)为奇函数,g(0)=0⇒2sin(φ)=0,∵0<φ<π,∴φ=.故答案为:.三、解答题(共6小题,满分74分)17.(12分)(2006•全国卷Ⅰ)ABC的三个内角为A、B、C,求当A 为何值时,取得最大值,并求出这个最大值.【分析】利用三角形中内角和为π,将三角函数变成只含角A,再利用三角函数的二倍角公式将函数化为只含角,利用二次函数的最值求出最大值【解答】解:由A+B+C=π,得=﹣,所以有cos=sin.cosA+2cos=cosA+2sin=1﹣2sin2+2sin=﹣2(sin﹣)2+当sin=,即A=时,cosA+2cos取得最大值为故最大值为18.(12分)(2006•全国卷Ⅰ)A、B是治疗同一种疾病的两种药,用若干试验组进行对比试验.每个试验组由4只小白鼠组成,其中2只服用A,另2只服用B,然后观察疗效.若在一个试验组中,服用A有效的小白鼠的只数比服用B有效的多,就称该试验组为甲类组.设每只小白鼠服用A有效的概率为,服用B有效的概率为.(Ⅰ)求一个试验组为甲类组的概率;(Ⅱ)观察3个试验组,用ξ表示这3个试验组中甲类组的个数,求ξ的分布列和数学期望.【分析】(1)由题意知本题是一个独立重复试验,根据所给的两种药物对小白鼠有效的概率,计算出小白鼠有效的只数的概率,对两种药物有效的小白鼠进行比较,得到甲类组的概率.(2)由题意知本试验是一个甲类组的概率不变,实验的条件不变,可以看做是一个独立重复试验,所以变量服从二项分布,根据二项分布的性质写出分布列和期望.【解答】解:(1)设A i表示事件“一个试验组中,服用A有效的小鼠有i只“,i=0,1,2,B i表示事件“一个试验组中,服用B有效的小鼠有i只“,i=0,1,2,依题意有:P(A1)=2××=,P(A2)=×=.P(B0)=×=,P(B1)=2××=,所求概率为:P=P(B0•A1)+P(B0•A2)+P(B1•A2)=×+×+×=(Ⅱ)ξ的可能值为0,1,2,3且ξ~B(3,).P(ξ=0)=()3=,P(ξ=1)=C31××()2=,P(ξ=2)=C32×()2×=,P(ξ=3)=()3=∴ξ的分布列为:∴数学期望Eξ=3×=.19.(12分)(2006•全国卷Ⅰ)如图,l1、l2是互相垂直的异面直线,MN是它们的公垂线段.点A、B在l1上,C在l2上,AM=MB=MN.(Ⅰ)证明AC⊥NB;(Ⅱ)若∠ACB=60°,求NB与平面ABC所成角的余弦值.【分析】(1)欲证AC⊥NB,可先证BN⊥面ACN,根据线面垂直的判定定理只需证AN⊥BN,CN⊥BN即可;(2)易证N在平面ABC内的射影H是正三角形ABC的中心,连接BH,∠NBH为NB与平面ABC所成的角,在Rt△NHB中求出此角即可.【解答】解:(Ⅰ)由已知l2⊥MN,l2⊥l1,MN∩l1=M,可得l2⊥平面ABN.由已知MN⊥l1,AM=MB=MN,可知AN=NB且AN⊥NB.又AN为AC在平面ABN内的射影.∴AC⊥NB(Ⅱ)∵AM=MB=MN,MN是它们的公垂线段,由中垂线的性质可得AN=BN,∴Rt△CAN≌Rt△CNB,∴AC=BC,又已知∠ACB=60°,因此△ABC为正三角形.∵Rt△ANB≌Rt△CNB,∴NC=NA=NB,因此N在平面ABC内的射影H是正三角形ABC的中心,连接BH,∠NBH为NB与平面ABC所成的角.在Rt△NHB中,cos∠NBH===.20.(12分)(2006•全国卷Ⅰ)在平面直角坐标系xOy中,有一个以和为焦点、离心率为的椭圆,设椭圆在第一象限的部分为曲线C,动点P在C上,C在点P处的切线与x、y轴的交点分别为A、B,且向量.求:(Ⅰ)点M的轨迹方程;(Ⅱ)的最小值.【分析】(1)利用相关点法求轨迹方程,设P(x0,y0),M(x,y),利用点M的坐标来表示点P的坐标,最后根据x0,y0满足C的方程即可求得;(2)先将用含点M的坐标的函数来表示,再利用基本不等式求此函数的最小值即可.【解答】解:(I)椭圆方程可写为:+=1式中a>b>0,且得a2=4,b2=1,所以曲线C的方程为:x2+=1(x>0,y>0).y=2(0<x<1)y'=﹣设P(x 0,y0),因P在C上,有0<x0<1,y0=2,y'|x=x0=﹣,得切线AB的方程为:y=﹣(x﹣x0)+y0.设A(x,0)和B(0,y),由切线方程得x=,y=.由=+得M的坐标为(x,y),由x0,y0满足C的方程,得点M 的轨迹方程为:+=1(x>1,y>2)(Ⅱ)||2=x2+y2,y2==4+,∴||2=x2﹣1++5≥4+5=9.且当x2﹣1=,即x=>1时,上式取等号.故||的最小值为3.21.(14分)(2006•全国卷Ⅰ)已知函数.(Ⅰ)设a>0,讨论y=f(x)的单调性;(Ⅱ)若对任意x∈(0,1)恒有f(x)>1,求a的取值范围.【分析】(Ⅰ)根据分母不为0得到f(x)的定义域,求出f'(x),利用a的范围得到导函数的正负讨论函数的增减性即可得到f(x)的单调区间;(Ⅱ)若对任意x∈(0,1)恒有f(x)>1即要讨论当0<a≤2时,当a>2时,当a≤0时三种情况讨论得到a的取值范围.【解答】解:(Ⅰ)f(x)的定义域为(﹣∞,1)∪(1,+∞).对f (x)求导数得f'(x)=e﹣ax.(ⅰ)当a=2时,f'(x)=e﹣2x,f'(x)在(﹣∞,0),(0,1)和(1,+∞)均大于0,所以f(x)在(﹣∞,1),(1,+∞)为增函数.(ⅱ)当0<a<2时,f'(x)>0,f(x)在(﹣∞,1),(1,+∞)为增函数.(ⅲ)当a>2时,0<<1,令f'(x)=0,解得x1=,x2=.当x变化时,f′(x)和f(x)的变化情况如下表:f (x )在(﹣∞,),(,1),(1,+∞)为增函数,f (x )在(,)为减函数. (Ⅱ)(ⅰ)当0<a ≤2时,由(Ⅰ)知:对任意x ∈(0,1)恒有f (x )>f (0)=1.(ⅱ)当a >2时,取x 0=∈(0,1),则由(Ⅰ)知f (x 0)<f (0)=1(ⅲ)当a ≤0时,对任意x ∈(0,1),恒有>1且e﹣ax ≥1,得f (x )=e ﹣ax ≥>1. 综上当且仅当a ∈(﹣∞,2]时,对任意x ∈(0,1)恒有f (x )>1.22.(12分)(2006•全国卷Ⅰ)设数列{a n }的前n 项的和,n=1,2,3,…(Ⅰ)求首项a 1与通项a n ;(Ⅱ)设,n=1,2,3,…,证明:.【分析】对于(Ⅰ)首先由数列{a n }的前n 项的和求首项a 1与通项a n ,可先求出S n ﹣1,然后有a n =S n ﹣S n ﹣1,公比为4的等比数列,从而求解;对于(Ⅱ)已知,n=1,2,3,…,将a n=4n﹣2n代入S n=a n﹣×2n+1+,n=1,2,3,得S n=×(4n﹣2n)﹣×2n+1+=×(2n+1﹣1)(2n+1﹣2)然后再利用求和公式进行求解.【解答】解:(Ⅰ)由S n=a n﹣×2n+1+,n=1,2,3,①得a1=S1=a1﹣×4+所以a1=2.再由①有S n﹣1=a n﹣1﹣×2n+,n=2,3,4,将①和②相减得:a n=S n﹣S n﹣1=(a n﹣a n﹣1)﹣×(2n+1﹣2n),n=2,3,整理得:a n+2n=4(a n﹣1+2n﹣1),n=2,3,因而数列{a n+2n}是首项为a1+2=4,公比为4的等比数列,即:a n+2n=4×4n﹣1=4n,n=1,2,3,因而a n=4n﹣2n,n=1,2,3,(Ⅱ)将a n=4n﹣2n代入①得S n=×(4n﹣2n)﹣×2n+1+=×(2n+1﹣1)(2n+1﹣2)=×(2n+1﹣1)(2n﹣1)T n==×=×(﹣)所以,=﹣)=×(﹣)<(1﹣)。
2006年全国统一高考数学试卷(理科)(全国卷一)及答案2006年全国统一高考数学试卷(理科)(全国卷Ⅰ)一、选择题(共12小题,每小题5分,满分60分)1.设集合 $M=\{x|x^2-x<0\}$,$N=\{x||x|<2\}$,则()。
A。
$M\cap N=\varnothing$B。
$M\cap N=M$C。
$M\cup N=\mathbb{R}$XXX2.已知函数 $y=e^x$ 的图象与函数 $y=f(x)$ 的图象关于直线 $y=x$ 对称,则()。
A。
$f(2x)=e^{2x}$($x\in\mathbb{R}$)B。
$f(2x)=\ln2\cdot\ln x$($x>0$)C。
$f(2x)=2e^x$($x\in\mathbb{R}$)D。
$f(2x)=\ln x+\ln 2$($x>0$)3.双曲线 $mx^2+y^2=1$ 的虚轴长是实轴长的2倍,则$m=$()。
A。
$\dfrac{3}{4}$B。
$1$C。
$-4$D。
$4$4.如果复数 $(m^2+i)(1+mi)$ 是实数,则实数 $m=$()。
A。
$1$B。
$-1$C。
$0$D。
不存在实数 $m$ 满足条件。
5.函数$y=\dfrac{\sin x}{1+\cos x}$ 的单调增区间为()。
A。
$(2k\pi,(2k+1)\pi)$,$k\in\mathbb{Z}$B。
$(2k\pi,(2k+1)\pi)$,$k\in\mathbb{N}$C。
$(2k\pi+\pi,(2k+1)\pi)$,$k\in\mathbb{Z}$D。
$(2k\pi+\pi,(2k+1)\pi+\pi)$,$k\in\mathbb{Z}$6.$\triangle ABC$ 的内角 $A$、$B$、$C$ 的对边分别为$a$、$b$、$c$,若 $a$、$b$、$c$ 成等比数列,且 $c=2a$,则 $\cos B=$()。
2006全国高考试题(江西卷)英语试题第一卷(选择题共115分)第一部分听力(共两节,满分30分)做题时,先将答案标在试卷上。
录音内容结束后,你将有两分钟的时间将试卷上的答案转涂到答题卡上。
第一节(共5小题;每小题1.5分,满分7.5分)听下面5段对话。
每段对话后有一个小题,从题中所给的A、B、C三个选项中选出最佳选项,并标在试卷的相应位置。
听完每段对话后,你都有10秒钟的时间来回答有关小题和阅读下一小题。
每段对话仅读一遍。
例:How much is the thirt?A.£19.15.B.£9.15.C.£9.18.答案是B。
1.How much will the may pay for the thickets?A.£7. 5.B.£15.C.£50.2.Which is the right gate for the man’s flight?A.Gate16.B. Gate22.C. Gate25.3.How does the man feel about going to school by bike?A. Happy.B. Tired.C. Worried.4.When can the woman get the computers?A. On Tuesday.B. On Wednesday.C. On Thursday.5.What does the woman think of the shirt for the party?A. The size is not large enough.B. The material is not good.C. The color is not suitable.第二节(共15小题;每小题1.5分,满分22.5分)听下面5段对话。
每段对话后有几个小题,从题中所给的A、B、C三个选项中选出最佳选项,并标在试卷的相应位置。
听每段对话前,你将有时间阅读各个小题,每小题5秒钟;听完后,各小题将给出5秒钟的作答时间。
2006年全国统一高考数学试卷(理科)(全国卷Ⅰ)一、选择题(共12小题,每小题5分,满分60分)1.(5分)设集合M={x|x2﹣x<0},N={x||x|<2},则()A.M∩N=∅ B.M∩N=M C.M∪N=M D.M∪N=R2.(5分)已知函数y=e x的图象与函数y=f(x)的图象关于直线y=x对称,则()A.f(2x)=e2x(x∈R)B.f(2x)=ln2•lnx(x>0)C.f(2x)=2e x(x∈R)D.f(2x)=lnx+ln2(x>0)3.(5分)双曲线mx2+y2=1的虚轴长是实轴长的2倍,则m=()A.B.﹣4 C.4 D.4.(5分)如果复数(m2+i)(1+mi)是实数,则实数m=()A.1 B.﹣1 C.D.5.(5分)函数的单调增区间为()A.B.(kπ,(k+1)π),k∈ZC.D.6.(5分)△ABC的内角A、B、C的对边分别为a、b、c,若a、b、c成等比数列,且c=2a,则cosB=()A.B.C.D.7.(5分)已知各顶点都在一个球面上的正四棱柱高为4,体积为16,则这个球的表面积是()A.16πB.20πC.24πD.32π8.(5分)抛物线y=﹣x2上的点到直线4x+3y﹣8=0距离的最小值是()A.B.C.D.39.(5分)设平面向量1、2、3的和1+2+3=0.如果向量1、2、3,满足|i|=2|i|,且i顺时针旋转30°后与i同向,其中i=1,2,3,则()A.﹣1+2+3=0 B.1﹣2+3=0 C.1+2﹣3=0 D.1+2+3=010.(5分)设{a n}是公差为正数的等差数列,若a1+a2+a3=15,a1a2a3=80,则a11+a12+a13=()A.120 B.105 C.90 D.7511.(5分)用长度分别为2、3、4、5、6(单位:cm)的5根细木棒围成一个三角形(允许连接,但不允许折断),能够得到的三角形的最大面积为()A.B.C.D.20cm212.(5分)设集合I={1,2,3,4,5}.选择I的两个非空子集A和B,要使B 中最小的数大于A中最大的数,则不同的选择方法共有()A.50种B.49种C.48种D.47种二、填空题(共4小题,每小题4分,满分16分)13.(4分)已知正四棱锥的体积为12,底面对角线长为,则侧面与底面所成的二面角等于°.14.(4分)设z=2y﹣x,式中变量x、y满足下列条件:,则z的最大值为.15.(4分)安排7位工作人员在5月1日至5月7日值班,每人值班一天,其中甲、乙二人都不安排在5月1日和2日.不同的安排方法共有种(用数字作答).16.(4分)设函数.若f(x)+f′(x)是奇函数,则φ=.三、解答题(共6小题,满分74分)17.(12分)ABC的三个内角为A、B、C,求当A为何值时,取得最大值,并求出这个最大值.18.(12分)A、B是治疗同一种疾病的两种药,用若干试验组进行对比试验.每个试验组由4只小白鼠组成,其中2只服用A,另2只服用B,然后观察疗效.若在一个试验组中,服用A有效的小白鼠的只数比服用B有效的多,就称该试验组为甲类组.设每只小白鼠服用A有效的概率为,服用B有效的概率为.(Ⅰ)求一个试验组为甲类组的概率;(Ⅱ)观察3个试验组,用ξ表示这3个试验组中甲类组的个数,求ξ的分布列和数学期望.19.(12分)如图,l1、l2是互相垂直的异面直线,MN是它们的公垂线段.点A、B在l1上,C在l2上,AM=MB=MN.(Ⅰ)证明AC⊥NB;(Ⅱ)若∠ACB=60°,求NB与平面ABC所成角的余弦值.20.(12分)在平面直角坐标系xOy中,有一个以和为焦点、离心率为的椭圆,设椭圆在第一象限的部分为曲线C,动点P在C上,C在点P处的切线与x、y轴的交点分别为A、B,且向量.求:(Ⅰ)点M的轨迹方程;(Ⅱ)的最小值.21.(14分)已知函数.(Ⅰ)设a>0,讨论y=f(x)的单调性;(Ⅱ)若对任意x∈(0,1)恒有f(x)>1,求a的取值范围.22.(12分)设数列{a n}的前n项的和,n=1,2,3,…(Ⅰ)求首项a1与通项a n;(Ⅱ)设,n=1,2,3,…,证明:.2006年全国统一高考数学试卷(理科)(全国卷Ⅰ)参考答案与试题解析一、选择题(共12小题,每小题5分,满分60分)1.(5分)(2006•全国卷Ⅰ)设集合M={x|x2﹣x<0},N={x||x|<2},则()A.M∩N=∅ B.M∩N=M C.M∪N=M D.M∪N=R【分析】M、N分别是二次不等式和绝对值不等式的解集,分别解出再求交集合并集.【解答】解:集合M={x|x2﹣x<0}={x|0<x<1},N={x||x|<2}={x|﹣2<x<2},∴M∩N=M,故选:B.2.(5分)(2006•全国卷Ⅰ)已知函数y=e x的图象与函数y=f(x)的图象关于直线y=x对称,则()A.f(2x)=e2x(x∈R)B.f(2x)=ln2•lnx(x>0)C.f(2x)=2e x(x∈R)D.f(2x)=lnx+ln2(x>0)【分析】本题考查反函数的概念、互为反函数的函数图象的关系、求反函数的方法等相关知识和方法.根据函数y=e x的图象与函数y=f(x)的图象关于直线y=x对称可知f(x)是y=e x 的反函数,由此可得f(x)的解析式,进而获得f(2x).【解答】解:函数y=e x的图象与函数y=f(x)的图象关于直线y=x对称,所以f(x)是y=e x的反函数,即f(x)=lnx,∴f(2x)=ln2x=lnx+ln2(x>0),选D.3.(5分)(2006•全国卷Ⅰ)双曲线mx2+y2=1的虚轴长是实轴长的2倍,则m=()A.B.﹣4 C.4 D.【分析】由双曲线mx2+y2=1的虚轴长是实轴长的2倍,可求出该双曲线的方程,从而求出m的值.【解答】解:双曲线mx2+y2=1的虚轴长是实轴长的2倍,∴m<0,且双曲线方程为,∴m=,故选:A.4.(5分)(2006•全国卷Ⅰ)如果复数(m2+i)(1+mi)是实数,则实数m=()A.1 B.﹣1 C.D.【分析】注意到复数a+bi(a∈R,b∈R)为实数的充要条件是b=0【解答】解:复数(m2+i)(1+mi)=(m2﹣m)+(1+m3)i是实数,∴1+m3=0,m=﹣1,选B.5.(5分)(2006•全国卷Ⅰ)函数的单调增区间为()A.B.(kπ,(k+1)π),k∈ZC.D.【分析】先利用正切函数的单调性求出函数单调增时x+的范围i,进而求得x 的范围.【解答】解:函数的单调增区间满足,∴单调增区间为,故选C6.(5分)(2006•全国卷Ⅰ)△ABC的内角A、B、C的对边分别为a、b、c,若a、b、c成等比数列,且c=2a,则cosB=()A.B.C.D.【分析】根据等比数列的性质,可得b=a,将c、b与a的关系结合余弦定理分析可得答案.【解答】解:△ABC中,a、b、c成等比数列,则b2=ac,由c=2a,则b=a,=,故选B.7.(5分)(2006•全国卷Ⅰ)已知各顶点都在一个球面上的正四棱柱高为4,体积为16,则这个球的表面积是()A.16πB.20πC.24πD.32π【分析】先求正四棱柱的底面边长,然后求其对角线,就是球的直径,再求其表面积.【解答】解:正四棱柱高为4,体积为16,底面积为4,正方形边长为2,正四棱柱的对角线长即球的直径为2,∴球的半径为,球的表面积是24π,故选C.8.(5分)(2006•全国卷Ⅰ)抛物线y=﹣x2上的点到直线4x+3y﹣8=0距离的最小值是()A.B.C.D.3【分析】设抛物线y=﹣x2上一点为(m,﹣m2),该点到直线4x+3y﹣8=0的距离为,由此能够得到所求距离的最小值.【解答】解:设抛物线y=﹣x2上一点为(m,﹣m2),该点到直线4x+3y﹣8=0的距离为,分析可得,当m=时,取得最小值为,故选B.9.(5分)(2006•全国卷Ⅰ)设平面向量1、2、3的和1+2+3=0.如果向量、2、3,满足|i|=2|i|,且i顺时针旋转30°后与i同向,其中i=1,2,3,1则()A.﹣1+2+3=0 B.1﹣2+3=0 C.1+2﹣3=0 D.1+2+3=0【分析】三个向量的和为零向量,在这三个向量前都乘以相同的系数,我们可以把系数提出公因式,括号中各项的和仍是题目已知中和为零向量的三个向量,当三个向量都按相同的方向和角度旋转时,相对关系不变.【解答】解:向量1、2、3的和1+2+3=0,向量1、2、3顺时针旋转30°后与1、2、3同向,且|i|=2|i|,∴1+2+3=0,故选D.10.(5分)(2006•全国卷Ⅰ)设{a n}是公差为正数的等差数列,若a1+a2+a3=15,a1a2a3=80,则a11+a12+a13=()A.120 B.105 C.90 D.75【分析】先由等差数列的性质求得a2,再由a1a2a3=80求得d即可.【解答】解:{a n}是公差为正数的等差数列,∵a1+a2+a3=15,a1a2a3=80,∴a2=5,∴a1a3=(5﹣d)(5+d)=16,∴d=3,a12=a2+10d=35∴a11+a12+a13=105故选B.11.(5分)(2006•全国卷Ⅰ)用长度分别为2、3、4、5、6(单位:cm)的5根细木棒围成一个三角形(允许连接,但不允许折断),能够得到的三角形的最大面积为()A.B.C.D.20cm2【分析】设三角形的三边分别为a,b,c,令p=,则p=10.海伦公式S=≤=故排除C,D,由于等号成立的条件为10﹣a=10﹣b=10﹣c,故“=”不成立,推测当三边长相等时面积最大,故考虑当a,b,c三边长最接近时面积最大,进而得到答案.【解答】解:设三角形的三边分别为a,b,c,令p=,则p=10.由海伦公式S=知S=≤=<20<3由于等号成立的条件为10﹣a=10﹣b=10﹣c,故“=”不成立,∴S<20<3.排除C,D.由以上不等式推测,当三边长相等时面积最大,故考虑当a,b,c三边长最接近时面积最大,此时三边长为7,7,6,用2、5连接,3、4连接各为一边,第三边长为7组成三角形,此三角形面积最大,面积为,故选B.12.(5分)(2006•全国卷Ⅰ)设集合I={1,2,3,4,5}.选择I的两个非空子集A和B,要使B中最小的数大于A中最大的数,则不同的选择方法共有()A.50种B.49种C.48种D.47种【分析】解法一,根据题意,按A、B的元素数目不同,分9种情况讨论,分别计算其选法种数,进而相加可得答案;解法二,根据题意,B中最小的数大于A中最大的数,则集合A、B中没有相同的元素,且都不是空集,按A、B中元素数目这和的情况,分4种情况讨论,分别计算其选法种数,进而相加可得答案.【解答】解:解法一,若集合A、B中分别有一个元素,则选法种数有C52=10种;若集合A中有一个元素,集合B中有两个元素,则选法种数有C53=10种;若集合A中有一个元素,集合B中有三个元素,则选法种数有C54=5种;若集合A中有一个元素,集合B中有四个元素,则选法种数有C55=1种;若集合A中有两个元素,集合B中有一个元素,则选法种数有C53=10种;若集合A中有两个元素,集合B中有两个元素,则选法种数有C54=5种;若集合A中有两个元素,集合B中有三个元素,则选法种数有C55=1种;若集合A中有三个元素,集合B中有一个元素,则选法种数有C54=5种;若集合A中有三个元素,集合B中有两个元素,则选法种数有C55=1种;若集合A中有四个元素,集合B中有一个元素,则选法种数有C55=1种;总计有49种,选B.解法二:集合A、B中没有相同的元素,且都不是空集,从5个元素中选出2个元素,有C52=10种选法,小的给A集合,大的给B集合;从5个元素中选出3个元素,有C53=10种选法,再分成1、2两组,较小元素的一组给A集合,较大元素的一组的给B集合,共有2×10=20种方法;从5个元素中选出4个元素,有C54=5种选法,再分成1、3;2、2;3、1两组,较小元素的一组给A集合,较大元素的一组的给B集合,共有3×5=15种方法;从5个元素中选出5个元素,有C55=1种选法,再分成1、4;2、3;3、2;4、1两组,较小元素的一组给A集合,较大元素的一组的给B集合,共有4×1=4种方法;总计为10+20+15+4=49种方法.选B.二、填空题(共4小题,每小题4分,满分16分)13.(4分)(2006•全国卷Ⅰ)已知正四棱锥的体积为12,底面对角线长为,则侧面与底面所成的二面角等于60°.【分析】先根据底面对角线长求出边长,从而求出底面积,再由体积求出正四棱锥的高,求出侧面与底面所成的二面角的平面角的正切值即可.【解答】解:正四棱锥的体积为12,底面对角线的长为,底面边长为2,底面积为12,所以正四棱锥的高为3,则侧面与底面所成的二面角的正切tanα=,∴二面角等于60°,故答案为60°14.(4分)(2006•全国卷Ⅰ)设z=2y﹣x,式中变量x、y满足下列条件:,则z的最大值为11.【分析】先根据约束条件画出可行域,再利用几何意义求最值,z=2y﹣x表示直线在y轴上的截距,只需求出可行域直线在y轴上的截距最大值即可.【解答】解:,在坐标系中画出图象,三条线的交点分别是A(0,1),B(7,1),C(3,7),在△ABC中满足z=2y﹣x的最大值是点C,代入得最大值等于11.故填:11.15.(4分)(2006•全国卷Ⅰ)安排7位工作人员在5月1日至5月7日值班,每人值班一天,其中甲、乙二人都不安排在5月1日和2日.不同的安排方法共有2400种(用数字作答).【分析】本题是一个分步计数问题,先安排甲、乙两人在假期的后5天值班,有A52种排法,其余5人再进行排列,有A55种排法,根据分步计数原理得到结果.【解答】解:由题意知本题是一个分步计数问题,首先安排甲、乙两人在假期的后5天值班,有A52=20种排法,其余5人再进行排列,有A55=120种排法,∴根据分步计数原理知共有20×120=2400种安排方法.故答案为:240016.(4分)(2006•全国卷Ⅰ)设函数.若f(x)+f′(x)是奇函数,则φ=.【分析】对函数求导结合两角差的正弦公式,代入整理可得,,根据奇函数的性质可得x=0时函数值为0,代入可求φ的值【解答】解:,则f(x)+f′(x)=,为奇函数,令g(x)=f(x)+f′(x),即函数g(x)为奇函数,g(0)=0⇒2sin(φ)=0,∵0<φ<π,∴φ=.故答案为:.三、解答题(共6小题,满分74分)17.(12分)(2006•全国卷Ⅰ)ABC的三个内角为A、B、C,求当A为何值时,取得最大值,并求出这个最大值.【分析】利用三角形中内角和为π,将三角函数变成只含角A,再利用三角函数的二倍角公式将函数化为只含角,利用二次函数的最值求出最大值【解答】解:由A+B+C=π,得=﹣,所以有cos=sin.cosA+2cos=cosA+2sin=1﹣2sin2+2sin=﹣2(sin﹣)2+当sin=,即A=时,cosA+2cos取得最大值为故最大值为18.(12分)(2006•全国卷Ⅰ)A、B是治疗同一种疾病的两种药,用若干试验组进行对比试验.每个试验组由4只小白鼠组成,其中2只服用A,另2只服用B,然后观察疗效.若在一个试验组中,服用A有效的小白鼠的只数比服用B有效的多,就称该试验组为甲类组.设每只小白鼠服用A有效的概率为,服用B 有效的概率为.(Ⅰ)求一个试验组为甲类组的概率;(Ⅱ)观察3个试验组,用ξ表示这3个试验组中甲类组的个数,求ξ的分布列和数学期望.【分析】(1)由题意知本题是一个独立重复试验,根据所给的两种药物对小白鼠有效的概率,计算出小白鼠有效的只数的概率,对两种药物有效的小白鼠进行比较,得到甲类组的概率.(2)由题意知本试验是一个甲类组的概率不变,实验的条件不变,可以看做是一个独立重复试验,所以变量服从二项分布,根据二项分布的性质写出分布列和期望.【解答】解:(1)设A i表示事件“一个试验组中,服用A有效的小鼠有i只“,i=0,1,2,B i表示事件“一个试验组中,服用B有效的小鼠有i只“,i=0,1,2,依题意有:P(A1)=2××=,P(A2)=×=.P(B0)=×=,P(B1)=2××=,所求概率为:P=P(B0•A1)+P(B0•A2)+P(B1•A2)=×+×+×=(Ⅱ)ξ的可能值为0,1,2,3且ξ~B(3,).P(ξ=0)=()3=,P(ξ=1)=C31××()2=,P(ξ=2)=C32×()2×=,P(ξ=3)=()3=∴ξ的分布列为:∴数学期望Eξ=3×=.19.(12分)(2006•全国卷Ⅰ)如图,l1、l2是互相垂直的异面直线,MN是它们的公垂线段.点A、B在l1上,C在l2上,AM=MB=MN.(Ⅰ)证明AC⊥NB;(Ⅱ)若∠ACB=60°,求NB与平面ABC所成角的余弦值.【分析】(1)欲证AC⊥NB,可先证BN⊥面ACN,根据线面垂直的判定定理只需证AN⊥BN,CN⊥BN即可;(2)易证N在平面ABC内的射影H是正三角形ABC的中心,连接BH,∠NBH 为NB与平面ABC所成的角,在Rt△NHB中求出此角即可.【解答】解:(Ⅰ)由已知l2⊥MN,l2⊥l1,MN∩l1=M,可得l2⊥平面ABN.由已知MN⊥l1,AM=MB=MN,可知AN=NB且AN⊥NB.又AN为AC在平面ABN内的射影.∴AC⊥NB(Ⅱ)∵AM=MB=MN,MN是它们的公垂线段,由中垂线的性质可得AN=BN,∴Rt△CAN≌Rt△CNB,∴AC=BC,又已知∠ACB=60°,因此△ABC为正三角形.∵Rt△ANB≌Rt△CNB,∴NC=NA=NB,因此N在平面ABC内的射影H是正三角形ABC的中心,连接BH,∠NBH为NB与平面ABC所成的角.在Rt△NHB中,cos∠NBH===.20.(12分)(2006•全国卷Ⅰ)在平面直角坐标系xOy中,有一个以和为焦点、离心率为的椭圆,设椭圆在第一象限的部分为曲线C,动点P在C上,C在点P处的切线与x、y轴的交点分别为A、B,且向量.求:(Ⅰ)点M的轨迹方程;(Ⅱ)的最小值.【分析】(1)利用相关点法求轨迹方程,设P(x0,y0),M(x,y),利用点M 的坐标来表示点P的坐标,最后根据x0,y0满足C的方程即可求得;(2)先将用含点M的坐标的函数来表示,再利用基本不等式求此函数的最小值即可.【解答】解:(I)椭圆方程可写为:+=1式中a>b>0,且得a2=4,b2=1,所以曲线C的方程为:x2+=1(x>0,y>0).y=2(0<x<1)y'=﹣设P(x0,y0),因P在C上,有0<x0<1,y0=2,y'|x=x0=﹣,得切线AB的方程为:y=﹣(x﹣x0)+y0.设A(x,0)和B(0,y),由切线方程得x=,y=.由=+得M的坐标为(x,y),由x0,y0满足C的方程,得点M的轨迹方程为:+=1(x>1,y>2)(Ⅱ)||2=x2+y2,y2==4+,∴||2=x2﹣1++5≥4+5=9.且当x2﹣1=,即x=>1时,上式取等号.故||的最小值为3.21.(14分)(2006•全国卷Ⅰ)已知函数.(Ⅰ)设a>0,讨论y=f(x)的单调性;(Ⅱ)若对任意x∈(0,1)恒有f(x)>1,求a的取值范围.【分析】(Ⅰ)根据分母不为0得到f(x)的定义域,求出f'(x),利用a的范围得到导函数的正负讨论函数的增减性即可得到f(x)的单调区间;(Ⅱ)若对任意x∈(0,1)恒有f(x)>1即要讨论当0<a≤2时,当a>2时,当a≤0时三种情况讨论得到a的取值范围.【解答】解:(Ⅰ)f(x)的定义域为(﹣∞,1)∪(1,+∞).对f(x)求导数得f'(x)=e﹣ax.(ⅰ)当a=2时,f'(x)=e﹣2x,f'(x)在(﹣∞,0),(0,1)和(1,+∞)均大于0,所以f(x)在(﹣∞,1),(1,+∞)为增函数.(ⅱ)当0<a <2时,f'(x )>0,f (x )在(﹣∞,1),(1,+∞)为增函数. (ⅲ)当a >2时,0<<1,令f'(x )=0, 解得x 1=,x 2=.当x 变化时,f′(x )和f (x )的变化情况如下表:f (x )在(﹣∞,),(,1),(1,+∞)为增函数,f (x )在(,)为减函数. (Ⅱ)(ⅰ)当0<a ≤2时,由(Ⅰ)知:对任意x ∈(0,1)恒有f (x )>f (0)=1.(ⅱ)当a >2时,取x 0=∈(0,1),则由(Ⅰ)知f (x 0)<f (0)=1 (ⅲ)当a ≤0时,对任意x ∈(0,1),恒有>1且e ﹣ax ≥1,得f (x )=e ﹣ax ≥>1.综上当且仅当a ∈(﹣∞,2]时,对任意x ∈(0,1)恒有f (x )>1.22.(12分)(2006•全国卷Ⅰ)设数列{a n }的前n 项的和,n=1,2,3,…(Ⅰ)求首项a 1与通项a n ;(Ⅱ)设,n=1,2,3,…,证明:. 【分析】对于(Ⅰ)首先由数列{a n }的前n 项的和求首项a 1与通项a n ,可先求出S n,然后有a n=S n﹣S n﹣1,公比为4的等比数列,从而求解;﹣1对于(Ⅱ)已知,n=1,2,3,…,将a n=4n﹣2n代入S n=a n﹣×2n+1+,n=1,2,3,得S n=×(4n﹣2n)﹣×2n+1+=×(2n+1﹣1)(2n+1﹣2)然后再利用求和公式进行求解.【解答】解:(Ⅰ)由S n=a n﹣×2n+1+,n=1,2,3,①得a1=S1=a1﹣×4+所以a1=2.=a n﹣1﹣×2n+,n=2,3,4,再由①有S n﹣1将①和②相减得:a n=S n﹣S n﹣1=(a n﹣a n﹣1)﹣×(2n+1﹣2n),n=2,3,整理得:a n+2n=4(a n﹣1+2n﹣1),n=2,3,因而数列{a n+2n}是首项为a1+2=4,公比为4的等比数列,即:a n+2n=4×4n﹣1=4n,n=1,2,3,因而a n=4n﹣2n,n=1,2,3,(Ⅱ)将a n=4n﹣2n代入①得S n=×(4n﹣2n)﹣×2n+1+=×(2n+1﹣1)(2n+1﹣2)=×(2n+1﹣1)(2n﹣1)T n==×=×(﹣)所以,=﹣)=×(﹣)<(1﹣)。
南昌二中 2006届高三(理科)数学第一次考试题命题人:陶学明一、选择题:(每题5分,共60分)1.样本容量是指( )(A )样本的个数(B )样本中所包含的个体的个数(C )总体中所包含的个体的个数 (D )以上都不正确2.设函数⎪⎩⎪⎨⎧>≤-=-)0()0(12)(21x xx x f x 若00,1)(x x f 则>的取值范围是( )A .(-1,1)B .(-1,+∞)C .),0()2,(+∞--∞D .),1()1,(+∞--∞3.已知函数x x f 2)(=的反函数)(1x f -,若4)()(11=+--b f a f ,则ba 11+的最小值为( ) A .1 B .21 C .31 D .41 4.设)(),(x g x f 分别是定义在R 上的奇函数和偶函数,当0<x 时,,0)()()()(>'+'x g x f x g x f 且,0)3(=-g 则不等式0)()(<x g x f 的解集是( )A .),3()0,3(+∞⋃-B .)3,0()0,3(⋃-C .),3()3,(+∞⋃--∞D .)3,0()3,(⋃--∞5.已知集合{}3,2,1=A ,{}2,1--=B ,设映射B A f →:,如果集合B 中的元素都是A 中元素在映射f 下的象,那么,这样的映射存在( ).A .3个B .4个C .6个D .8个 6.已知数据n x x x ,,, 21的平均数为5=x ,方差为42*=S,则数据731+x ,732+x ,…,73+n x 的平均数和方差分别为( )A .22,36B .15,36C .15,12D .22,127 7. 已知随机变量ξ服从二项分布ξξ~()()B p 6132,,则==( ) A.316B.4243C.13243D.802438.⎩⎨⎧<⋅<<+<3042y x y x 是⎩⎨⎧<<<<3210y x 的( ).A .充分非必要条件B .必要非充分条件C .充分必要条件D .既非充分又非必要条件9.极限)11141131121(lim 2222-++-+-+-∞→n n 的值是( ) A .-1 B .1 C .43 D .2310.已知0>c ,设p :函数xc y =在R 上单调递减。
2006年普通高等学校招生全国统一考试
理科数学(江西卷)
一、选择题:本题共12小题,每小题5分,共60分.在每小题给出的四个选项中,只有一项是符合题目要求的. 1.已知集合3
{0}(1)
x
M x
x =≥-,2{31,}N x y x x R ==+∈,则M N =
A .∅ B.{1}x x ≥ C.{1}x x > D.{01}x x x <≥或
2.已知复数z 满足3)3i z i =,则z =
A .322- B.344i - C.322i + D.344
+ 3.若0a >,0b >,则不等式1
b a x
-<
<等价于 A.10x b -<<或10x a << B.11x a b
-<<
C.1x a <-或1x b >
D.1x b <-或1
x a
>
4.设O 为坐标原点,F 为抛物线24y x =的焦点,A 是抛物线上一点,若OA AF ⋅
4=-,则点A 的坐标是
A .(2,± B.(1,2)± C.(1,2) D.(2, 5.对于R 上可导的任意函数()f x ,若满足(1)()0x f x '-≥,则必有 A.(0)(2)2(1)f f f +< B.(0)(2)2(1)f f f +≤ C.(0)(2)2(1)f f f +≥ C.(0)(2)2(1)f f f +>
6.若不等式210x ax ++≥对于一切1
(0,)2
x ∈成立,则a 的取值范围是
A .0 B.2- C.5
2
- D.3-
7.已知等差数列{}n a 的前n 项和为n S ,若1200OB a OA a OC =+,且,,A B C 三点共线(该直线不过原点O ),则200S =
A .100 B.101 C.200 D.201
8.在2006(x -的二项展开式中,含x 的奇次幂的项之和为S ,当x =S 等
于
A.23008
B.23008-
C.23009
D.23009-
9.P 是双曲线22
1916x y -
=的右支上一点,M 、N 分别是圆22(5)4x y ++=和 22(5)1x y -+=上的点,则PM PN -的最大值为
A.6
B.7
C.8
D.9
10.将7个人(含甲、乙)分成三个组,一组3人,另两组2人,不同的分组数为
a ,甲、乙分到同一组的概率为p ,则a 、p 的值分别为
A.105a =,521p =
B.105a =,421p =
C.210a =,521p =
D.210a =,4
21
p =
11.如图,在四面体ABCD 中,截面AEF 经过四面体的内切球(与四个面都相切的球)球心O ,且与BC ,DC 分别截于E 、F ,如果截面将四面体分成体积相等的两部分,设四棱锥A BEFD -与三棱锥A EFC -的表面积分别是1S ,2S ,则必有
A.12S S <
B.12S S >
C.12S S =
D.1S ,2S 的大小关系不能确定
12.某地一年的气温()Q t (单位:C )与时间t (月份)之间的关系如图(1)所示,已知该年的平均气温为10C ,令()G t 表示时间段[0,]t 的平均气温,()G t 与t 之间的函数关系用下列图象表示,则正确的应该是
10C
二、填空题:本大题共4小题,每小题4分,共16分.
13.数列21
{}41
n -的前n 项和为n S ,则n lim n S →∞= .
14.设3()log (6)f x x =+的反函数为1()f x -,若11[()6][()6]27f m f n --++=,则
()f m n += .
15.如图,在直三棱柱111ABC A B C -中,底面为直角三角形,90ACB ∠=,6AC =,
1BC CC ==,P 是1BC 上一动点,则1CP PA +的最小值是 .
16.已知圆M :2
2
(cos )(sin )1x y θθ++-=, 直线l :y kx =,下面四个命题:
A.对任意实数k 与θ,直线l 和圆M 相切;
10C
10C
10C
C
(G t A
B
C
P
A 1
B 1
C 1
B.对任意实数k 与θ,直线l 和圆M 有公共点;
C.对任意实数θ,必存在实数k ,使得直线l 与和圆M 相切
D.对任意实数k ,必存在实数θ,使得直线l 与和圆M 相切 其中真命题的代号是 .(写出所有真命题的代号)
三、解答题:本大题共6小题,共74分,解答应写出文字说明、证明过程或演算步骤.
17.(本小题满分12分)
已知函数32()f x x ax bx c =+++在2
3
x =-与1x =时都取得极值.
(Ⅰ)求a 、b 的值与函数()f x 的单调区间;
(Ⅱ)若对[1,2]x ∈-,不等式2()f x c <恒成立,求c 的取值范围. 18.(本小题满分12分)
某商场举行抽奖促销活动,抽奖规则是:从装有9个白球,1个红球的箱子中每次随机地摸出一个球,记下颜色后放回,摸出一个红球可获得奖金10元;摸出2个红球可获得奖金50元.现有甲,乙两位顾客,规定:甲摸一次,乙摸两次,令
ξ表示甲,乙摸球后获得的奖金总额.求: (Ⅰ)ξ的分布列; (Ⅱ)ξ的的数学期望. 19.(本小题满分12分)
如图,已知ABC ∆是边长为1的正三角形,M 、N 分别是边AB 、AC 上的点,
线段MN 经过ABC ∆的中心G ,设MGA α∠=(233ππ
α≤≤).
(Ⅰ)试将AGM ∆、AGN ∆的面积(分别记为1S 与2S ),表示为α的函数; (Ⅱ)求2212
11
y S S =+的最大值与最小值
.
20.(本小题满分12分)
如图,在三棱锥A BCD -中,侧面ABD 、ACD 是全等的直角三角形,AD 是公共的斜边,且AD =1BD CD ==,另一个侧面是正三角形
A
B C
D
M
N
α
(Ⅰ)求证:AD BC ⊥; (Ⅱ)求二面角B AC D --的大小
(Ⅲ)在直线AC 上是否存在一点E ,使ED 与面BCD 成30角?若存在,确定E 的位置;若不存在,说明理由.
21.(本大题满分12分)
如图,椭圆Q :22
221x y a b
=+(0a b >>)的右焦点(,0)F c ,过点
F 的一动直线m
绕点F 转动,并且交椭圆于A 、B 两点,P 是线段AB 的中点. (Ⅰ)求点P 的轨迹H 的方程.
(Ⅱ)在Q 的方程中,令21cos sin a θθ=++,2sin b θ=(02
π
θ<<
),确定θ的
值,使原点距椭圆的右准线l 最远,此时,设l 与x 轴交点为D ,当直线m 绕点F 转动到什么位置时,三角形ABD 的面积最大?
22、(本大题满分14已知数列{}n a 满足:13
2
a =
,且11321n n n na a a n --=+-,2n ≥,n N *∈.
(Ⅰ)求数列{}n a 的通项公式;
(Ⅱ)证明:对于一切正整数n ,不等式122!n a a a n ⋅⋅
<⋅.
A
B
C
D。