转炉设计参数选择
- 格式:doc
- 大小:205.50 KB
- 文档页数:6
1 转炉炉型选型设计及相关参数计算1转炉炉型设计1.1.1炉型选择氧气顶底复吹转炉是20世纪70年代中、后期,开始研究的一项新炼钢工艺。
其优越性在于炉子的高宽比略小于顶吹转炉却又大于底吹转炉,略呈矮胖型;炉底一般为平底,以便设置底部喷口。
综合以上特点选用转炉炉型为锥球型(适用于中小型转炉见图1-1)。
图1-1 常见转炉炉型(a)筒球型; (b)锥球型; (c)截锥型1.1.2主要参数的确定本设计选用氧气顶吹转炉(公称容量50t)。
(1) 炉容比炉容比系指转炉有效容积与公称容量之比值。
转炉炉容比主要与供氧强度有关,与炉容量关系不大。
从目前实际情况来看,转炉炉容比一般取0.9~1.05m3/t。
本设计取炉容比为1.05m3/t。
(2) 高径比转炉高径比,通常取 1.35~1.65。
小炉子取上限,大炉子取下限。
本设计取高径比:1.40。
(3) 熔池直径D 可按以下经验公式确定:tGKD = (1-1) 式中 D ——熔池直径,m ;G ——新炉金属装入量,t ,可取公称容量; K ——系数,参见表1-1;t ——平均每炉钢纯吹氧时间,min ,参见表1-2。
注:括号内数系吹氧时间参考值。
设计中转炉的公称容量为50t ,取K 为1.85,t 取15min 。
可得:38.3155085.1==D m (4) 熔池深度h锥球型熔池倒锥度一般为12°~30°,当球缺体半径R=1.1D 时,球缺体高h 1=0.09D 的设计较多。
熔池体积和熔池直径D 及熔池深度h 有如下的关系:23665.0033.0D D V h +=池 (1-2)由池V G 1ρ=可得:09.705.7501===ρGV 池(m 3) 将池V 代入式(7-2)得:98.038.3665.038.3033.009.7665.0033.02323=⨯⨯+=+=D D V h 池(m)(5) 炉身高度身H转炉炉帽以下,熔池面以上的圆柱体部分称为炉身。
第二章 转炉炉型设计炉型设计的任务是确定所选炉型各部位的主要参数和尺寸,据此再绘出工程图。
2.1 转炉炉型的选择本设计为230t 的大型转炉,选用筒球型转炉。
2.2 转炉炉容比与高宽比2.2.1 炉容比(V/T , m 3/t )炉容比是转炉有效容积与公容量的比值,主要与供氧强度有关。
选取炉容比为0.90.2.2.2 高宽比高宽比是指转炉炉壳总高度与炉壳外径的比值,是作为炉型设计的校核数据。
取1.55.2.3 转炉主要尺寸的确定 2.3.1 熔池尺寸(1)熔池直径D熔池直径是指转炉熔池在平静状态时金属液面的直径。
可根据公式/D K G t =求得,其中:G ——新炉金属装入量,取公称容量,230t ,由前面计算可得; t ——吹氧时间,取20min ; K ——比例系数,取1.50; 则熔池直径D = 5.09m 。
(2) 熔池深度h 0熔池深度是指转炉熔池在平静状态时,从金属液面到炉底的深度。
对于筒球型熔池,取球缺体半径R = 1.1D =4.02m ,此时熔池体积C V 与熔池直径存在如下关系:230.7900.046C V hD D =-,即320(0.046)/0.79C h V D D =+。
熔池体积C V = 230/7.6= 30.263m ; 则熔池深度h 0=1.77m 。
2.3.2 炉帽尺寸(1) 炉帽倾角α倾角过小,炉帽内衬不稳定,容易倒塌;过大则出钢时容易钢渣混出和从炉口大量流渣。
在本设计中取α = 62°。
(2) 炉口直径d 0本设计中取取炉口直径为熔池直径的45%,即d 0 = 5.09×45% =2.29m(3) 炉帽高度H帽取炉口上部直线段高度H口 =350mm ,则炉帽高度为:H 帽 =1/200()tan D d H α-+= 1/2(5.09—2.29)tan62°+ 0.35 = 2.98m 2.3.3 炉身尺寸(1) 炉身直径转炉炉帽以下,熔池面以上的圆柱体部分称为炉身。
3、转炉本体主要技术参数:3.1 转炉基本参数3.1.1 转炉型式:顶底复吹转炉;3.1.2 转炉公称容量:120t;3.1.3 转炉平均出钢量:125t;3.1.4 转炉最大出钢量:135t。
3.2、转炉炉壳:3.2.1 炉壳型式:整体式;3.2.2 炉壳高度/直径/厚度:9000/Φ6450/70;3.2.3 炉口型式:水冷铸造炉口,4块独立进、出水回路;3.2.4 炉壳与托圈:采用下悬挂联接形式;3.2.5 主要材料:16MnR。
3.3 转炉倾动机构:3.3.1 型式:全悬挂四点传动;3.3.2驱动电机:YZP355M1-10 132Kw交流变频;3.3.3 电机数量:4台;3.3.4制动器:4台(河南焦作制动器厂);3.3.5一次减速机数量:4台;3.3.6二次减速机数量:1台;3.3.7扭力杆装置:1台;3.3.8多重显示倾动位置:绝对型编码器(或增量型)和主令控制器(欧姆龙);3.3.9 润滑方式:集中稀油润滑。
稀油站冷却器材质要求:热交换部分的材质为不锈钢316L,板式换热形式;管式冷却器材质为B10镍铜合金管。
集中稀油润滑站必须要有加热器、冷却器、液位计(流量超过250L用)、空气滤清器、回油过滤器等附件。
必须具备完整性。
选用螺杆泵(黄山、天津厂)。
3.4 一次减速机:3.4.1 精度:6级;3.4.2 齿面硬度:硬齿面;3.4.3齿轮主材料:20CrNi2MoA;3.4.4箱体:焊接式;3.4.5轴承:双列圆锥滚子轴承(瓦轴);单列深沟球轴承(瓦轴)。
3.5 二次减速机:3.5.1 精度:7级;3.5.2齿面硬度:中硬齿面;3.5.3齿轮:焊接式;3.5.4 齿圈材料:35CrMo;3.5.5箱体:焊接式;3.5.6轴承:单列圆柱滚子轴承()NU18/1250CC540(φ1500/φ1250/112);X圆柱滚子轴承(瓦轴)1250 DXRO--CA(φ1480/φ1250/70)。
180t 顶底复吹转炉设计一、转炉炉型设计原始条件: 炉子平均出钢量180t 。
金属收得率取92%,最大废钢比取20%,采用废钢矿石冷却,铁水采用P08低磷生铁{w (si )≤0.85%,w (p )≤0.2%,w (s )≤0.05%}1、熔池形状确定转炉炉型有筒球型、锥球型、截锥型,熔池形状选用截锥型。
为了满 足顶底复吹的要求,炉型趋于矮胖型,由于在炉底上要设置底吹喷嘴,炉底为平底,所以熔池为截锥形。
2、炉容比确定炉容比系指转炉有效容积t V 与公称容量T 之比值。
t V 系炉帽体积帽V 、炉身体积身V 、和容池体积c V 三个内腔容积之和。
由于顶底复吹转炉吹炼过程比较平稳,产生泡沫渣的量比顶吹转炉要少得多,喷溅较少,因此其炉容比比顶吹转炉小,但比底吹转炉要大。
根据冶炼条件取炉容比为0.95m 3/t 。
3、熔池尺寸的确定熔池是容纳金属并进行一系列复杂物理化学反应的过程,其主要尺寸有熔池 直径和熔池深度。
设计时,应根据装入量、供氧强度、喷嘴类型、冶金动力学条件以及炉衬蚀损的影响综合考虑。
截锥型熔池尺寸如图(1)所示:则其体积为: )(12h2112d Dd D V ++=π熔(1) 熔池直径D :熔池直径通常指熔池处于平静状态时金属液面的直径。
D=Kt G =1.63×15180=5.646m 式中G ——炉子公称容量,180t ;t ——平均每炉钢纯吹氧时间,取15分钟; K ——比例系数,根据炉子容量取1.63; (2)熔池深度h :根据经验,取D d 7.01== 3.952m其中熔池体积38.268.6180m GV c ===ρ故熔池深度: 20.574c V h D == 2646.5574.08.26⨯=1.465m校核26.0646.5465.1/==D h 符合要求 4、炉帽尺寸的确定(1)炉帽倾角θ:本计算中取θ=65度(2)炉口直径d :炉口直径为熔池直径的43~53%,本计算中取48%则 d=48%D=0.48×5.646=2.710m(3)炉帽高度H 帽:炉帽高度是截椎体高度与炉口直线段高度值和。
转炉炉型设计转炉是转炉炼钢车间的核心设备。
转炉炉型及其主要参数对转炉炼钢的生产率、金属收得率、炉龄等经济指标都有直接的影响,其设计是否合理也关系到冶炼工艺能否顺利进行,车间主厂房高度和转炉配套的其他相关设备的选型。
2.1 炉型的选择本设计为150t的中型转炉,选用筒球型转炉。
2.2 炉容比与高宽比2.2.1 炉容比(V/T , m3/t)炉容比是转炉有效容积与公容量的比值,主要与供氧强度有关,本设计选取炉容比为0.932.2.2 高宽比高宽比是指转炉炉壳总高度与炉壳外径的比值,是作为炉型设计的校核数据。
在1.25-1.45之间。
2.3 转炉主要尺寸的确定2.3.1 熔池尺寸(1)熔池直径D熔池直径是指转炉熔池在平静状态时金属液面的直径。
可根据公式D?KG ——新炉金属装入量,t;(取公称容量) t ——吹氧时间,min,取16min K——比例系数,取1.70则熔池直径D?K1.7×√(150÷16)=5.21m熔池深度是指转炉熔池在平静状态时,从金属液面到炉底的深度。
对于筒球型熔池,取球缺体半径R = 1.1D = 5726mm,此时熔池体积VC与熔池直径存在如下关系:VC?0.790hD?0.046D,即h0?23VC?0.046D0.79D23。
熔池体积VC = 装入量/比重 =150/5.0 = 30m3 则熔池深度h0?VC?0.046D0.79D23=(30+0.046×5.21)/(0.790×5.21)=1.70m322.3.2 炉帽尺寸(1)炉帽倾角?倾角过小,炉帽内衬不稳定,容易倒塌;过大则出钢时容易钢渣混出和从炉口大量流渣。
在本设计中取? = 60°.(2)炉口直径d0本设计中取炉口直径为熔池直径的48%,即d0 = 5.21×48% = 2.5m =2500mm (3) 炉帽高度H帽口 = 350 mm,则炉帽高度为:取炉口上部直线段高度HH帽 = ?(D?d)tan??H= 1/2(5.21 — 2.5)tan60°+ 0.35 = 2.70m 0022.3.3 炉身尺寸(1)炉身直径转炉炉帽以下,熔池面以上的圆柱体部分称为炉身。
For personal use only in study and research;not for commercial use炼钢厂转炉技术参数倾动方式:全悬挂四点啮合柔性传动;倾动力矩:max 1220KN.m;倾动速度:0.1~1r/min;传动比:559.58。
炉体的技术参数:炉壳最大直径:φ5000(内径)钢板厚度:55mm 材质:16Mn炉体高度:7310mm 炉壳重量:70160Kg托圈的技术参数托圈内径:φ5410 托圈外径:φ6610托圈高度:2770mm 托圈重量:70444Kg二端轴径:φ850供氧设备系统的技术参数吹氧管外径:φ194 长度:17993 重量:1487.5Kg氧枪小车升降行程:14500 有效长度:14700 升降小车上极限+36.105升降小车下极限:+21.05 升降速度:快~40m/min 慢~8m/min重量:17997 Kg氧气压力≥1.0Mpa,氮气压力≥0.7Mpa,回水流量不低于60m3/h以下无正文仅供个人用于学习、研究;不得用于商业用途。
толькодля людей, которые используются для обучения, исследований и не должны использоваться в коммерческих целях.For personal use only in study and research; not for commercial use.Nur für den persönlichen für Studien, Forschung, zu kommerziellen Zwecken verwendet werden.Pour l 'étude et la recherche uniquement à des fins personnelles; pas à des fins commerciales.For personal use only in study and research; not for commercial use。
转炉座数和大小的确定设计年产400万吨合格铸坯的转炉炼钢系统。
由金属平衡表计算可知,所需的转炉钢水年产量为436.91万吨。
每一座吹炼转炉的年出钢炉数N 为:112T 3651440T T 1440N η⨯=⨯=炉6.1103740%843651440=⨯⨯= (2-1) 式中: T 1—每炉钢的平均冶炼时间,min ;T 2—一年的有效作业天数,d ; 1440—一天的日历时间,min ; 365—一年的日历天数,d ; η—转炉的作业率,取84%;转炉车间年产钢水量:W=n×N×q (2-2)式中: W —转炉车间年产钢水量,t ;n —转炉车间经常吹炼炉子座数; N —每一座吹炼炉的年出钢炉数; q —转炉公称容量,t 。
n×q=4369100÷11037.6=395.84吨 所以,取n= 2,则q=200t 所以:本设计选两座200吨的转炉进行炼钢。
3.1 转炉炉型选择及计算转炉炉型选筒球形,其中球缺体半径取R=1.1D 。
3.1.1 转炉主要尺寸参数的确定和计算(1)炉容比 炉容比取0.90m 3/t (2)熔池尺寸计算 ① 熔池直径D3.5303162000.51t G K D =⨯=⨯=㎜ (3-1) 式中: G —新炉金属装入量,取公称容量200t ;t —平均每炉钢纯吹氧时间,min ,(取16min ); K —系数(取1.50) D —熔池直径,mm ;② 熔池深度h)池3(m 29.41200/6.8G/T V === (3-2) )池(mm 1632.36D 9.70D 46.00V h 23=+= (3-3) 式中: V 池—转炉熔池有效容积,m 3 ;T —转炉内钢水密度,取6.8t/m 3 ;(3) 炉帽尺寸计算 ① 炉帽倾角θ:取θ=60◦ ② 炉口直径d 口:d 口=(0.43~0.53)D (3-4)本设计取d 口=0.43D=0.43×5929.3=2549.6mm ③ 炉帽高度H 帽:89.2917H tan d -D 21H =+=口口帽)(θ㎜ (3-5)式中H 口—炉口直线段高度,取H 口=300㎜: ④ 炉帽总容积V 帽:35.32H d 4d Dd D H H 12V 222=+++⨯-=口口口口口帽帽)()(ππm 3 (3-6)(4) 炉身尺寸计算 ① 炉身体积V 身:取炉容比为0.90m 3/tV T =0.90×T=0.90×200=180m 3 (3-7) V 身=V T -V 帽-V 池=118.24m 3 (3-8)式中:V T —转炉有效容积,m 3; ② 炉身高度H 身:5355.5D V V -V 4D V 4H 2T 2=-==ππ)(池帽身身㎜ (3-9)(5)出钢口尺寸的确定① 出钢口中心线水平倾角θ1:取θ1=0°; ② 出钢口直径d 出:22.203G 75.163d =+=出㎜ (3-10)(6)转炉有效高度H 内:H 内= h+H 身+H 帽=1632.36+5355.5+2917.89=9905.75㎜ (3-11)(7)转炉总高H 总:H总=H内+H衬+δ底+δ帽=9905.75+1060+130=11095.75㎜(3-12)(8)炉壳直径D壳:D壳=D+D衬+2δ身=5929.3+2020+160=8109.3㎜(3-13) 式中:δ身—炉身钢板厚度,取80㎜;D衬—炉身处两侧炉衬的厚度;(9) 高宽比核定:H总/D壳=11276.23/8109.3=1.39 (在1.2~1.4范围内)所以设计合格。
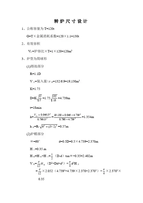
转炉尺寸设计1、公称容量为T=120tG=T ×金属消耗系数=120×1.1=130t 2、有效容积V t =炉容比×T=1×120=120m 3 3、炉型为筒球形 (1)熔池部分R=1.1DV 总=装入量/ρ钢=132/6.9=19,130m 3 K=1.75D=KT G =1.7518132=4.739m t=18min h=23790.0046.0D D V +总=23739.4790.0739.4046.0130.19⨯⨯+=1.354m h 缺=R-22)2/(D R +=0.57m (2)炉帽部分Θ=60° d=0.5D=0.5×4.739=2.370mH 口=0.35 mH 帽=H 锥+H 口=21(D-d )tan Θ+0.35=2.402mV 帽=锥H 12π(D 2+Dd+d 2)+4πd 2H 直 =12π×2.052(4.7392+4.739×2.370+2.3702)+4π×2.3702×0.35=22.646m 3 (3)炉身部分V 身=V 总-V 帽-V 池=120-22.646-19.130=78.224m 3 H 身=2D 4π身V =2739.414.3224.6784⨯⨯=4.437m 3(4)出钢口 α=20°d 出=T 75.163+=16.523cm (5)炉衬厚度H 总=H 帽+H 身+h+H 底=2.402+4.437+1.354+1.140 =9.333mD 壳=D+2×(炉身炉衬厚度)=4.739+2×(980/100)=6.699m H 总/D 壳=9.333/6.699=1.39氧气转炉车间设计一、 车间生产能力转炉座数为三座,采用三吹三。
根据客户要求产量选取为120t 。
(1)每座转炉年出钢炉数 N=121400T T =13651400T η⨯=368.03651400⨯⨯=11680炉T1—--平均每炉钢冶炼时间 T2—--一年有效作业天数 1400—一天的日历时间min η----转炉作业率,约75%-80% (2)年产钢量W=nNq=3×11680×120=4204800t W----车间年产钢水量t n----经常吹炼转炉数 N----每座转炉年出钢炉数 q----公称容量t 三、车间类型选择中型车间(由产量决定)高架式(为了节省劳动力,提高利用率) 多跨式二、 多跨车间的工艺布置依次为:加料跨、转炉跨、精炼及铁水接受跨、连铸跨、出坯跨,这样可保证物料运输距离短,物流顺畅,相互干扰少。
3.1 转炉炉型设计3.1.1 转炉炉型设计概述(1)公称容量及其表示方法公称容量(T),对转炉容量大小的称谓,即平时所说的转炉的吨位。
它是转炉生产能力的主要标志和炉型设计的重要依据。
目前国内外对公称容量的含义的解释还很不统一,归纳起来,大体上有以下三种表示方法:1)以平均金属装入量(t)表示;2)以平均出钢量(t)表示;3)以平均炉产良坯量(t)表示。
在一个炉役期内,炉役前期和后期的装入量或出钢量不同,随着吹炼的进行,炉衬不断地受到侵蚀,熔池不断扩大,装入量增大,所以三种表示方法都是以其平均容量来表示。
这三种表示方法各有其优缺点,以平均金属装入量表示公称容量,便于进行物料平衡和热平衡计算,换算成新炉装入量时也比较方便。
以平均炉产良坯量表示公称容量,便于车间生产规模和技术经济指标的比较,但是在进行炉型设计时需做较复杂的换算。
以平均出钢量表示公称容量则介于两者之间,其产量不受操作方法和浇铸方法的影响,便于炼钢后步工序的设计,也比教容易换算成平均金属装入量和平均炉产良坯量。
设计的公称容量与实际生产的炉产量基本一致。
所以在进行炉型设计时采用以平均出钢量表示公称容量比较合理。
(2)炉型的定义:转炉炉型是指转炉炉膛的几何形状,亦即指由耐火材料砌成的炉衬内形。
(3)炉型设计的意义转炉是转炉炼钢车间的核心设备,炉型及其主要参数对转炉炼钢的生产率、金属收得率、炉龄等技术经济指标都有着直接的影响,炉型设计的是否合理关系到冶炼工艺能否顺利进行的问题,如喷溅问题,除与操作因素有关外,炉型设计是否合理也是个重要因素,并且车间的主厂房高度以及主要设备,像除尘设备,倾动机构设备等都与炉型尺寸密切相关。
而且转炉一旦投产使用,炉型尺寸就很难再作改动,因为不论变动直径还是高度都牵涉到耳轴位置,它是与转炉基础联系在一起的,一般不能随意变动。
所以说,设计一座炉型结构合理,满足工艺要求的转炉是保证车间正常生产的前提。
而炉型设计又是整个转炉设计的关键。
基于转炉与连铸流程匹配的炉机参数选择在转炉与连铸流程中,炉机参数的选择对于钢铁冶炼的质量和效率具有重要的影响。
合理选择炉机参数能够确保冶炼过程的稳定性、提高产量和节约能源。
本文将基于转炉与连铸流程匹配的要求,探讨炉机参数选择的方法和注意事项。
一、转炉与连铸流程的基本要求转炉与连铸流程是钢铁冶炼中常用的工艺路线,其基本要求包括:1. 转炉炼钢要求:确保废钢和生铁的合理配比、适当的温度和氧气喷吹量,控制合金的加入和渣中元素的去除,以实现钢水的理想成分。
2. 连铸结晶器冷却要求:控制结晶器内壁的温度分布,使其适合结晶的过程,避免浇注速度过快或过慢,保证铸坯的内部和外部质量均匀。
3. 连铸结晶器渣层控制要求:确保渣层的良好附着性,保护结晶器内壁及浇注口,防止结晶器内壁的侵蚀、结晶器渣层的脱落和煤气的进入。
4. 连铸机机械参数要求:确保连铸机的拉坯速度、摇摆幅度和冷却水流量的合理选择,以满足铸坯的尺寸和凝固过程的要求。
二、转炉与连铸流程匹配的炉机参数选择2.1 转炉参数选择转炉参数的选择对冶炼过程的控制非常重要,包括氧气喷吹量、加料方式、冶炼时间等。
1. 氧气喷吹量的选择:根据冶炼质量和能源消耗的平衡,合理调整氧气喷吹量。
氧气喷吹量过大会增加氧气消耗和气体流速,对转炉炼钢影响较大;氧气喷吹量过小会导致炉中温度下降、燃烧不充分。
因此,需要根据具体冶炼工艺和炉型来选择适宜的氧气喷吹量。
2. 加料方式的选择:根据生铁质量和炼钢工艺要求,可以选择湿法或干法加料方式。
湿法加料可以提高温度,适用于高温冶炼;干法加料可以降低温度,适用于低温冶炼。
3. 冶炼时间的控制:根据转炉的特点和生铁质量,选择合适的冶炼时间。
冶炼时间过长会导致转炉吞吐量下降,增加能源消耗;冶炼时间过短则不利于钢水的净化和煤气的排放。
2.2 连铸参数选择连铸参数的选择对于提高铸坯的质量和生产效率至关重要,包括结晶器冷却参数、渣层控制参数和机械参数等。
转炉基础设计方案转炉是一种用于炼钢的重要设备,其基础设计方案的合理性和可靠性直接关系到整个冶金过程的正常进行和生产效益的提高。
下面给出一份转炉基础设计方案的700字示例:一、设计目标:该转炉设计旨在提高钢水质量和生产效率,并减少能源消耗和环境污染。
主要目标包括提高炉后合格品质率、降低转炉喷吹时间、增加钢水温度的恒定性和提高炉后脱氧效果。
二、转炉型号选择:根据生产工艺和产能需求,选用50吨中倾转炉作为目标型号。
该型号具有适中的产能和灵活的操作性能,能够满足生产需求。
三、结构设计:转炉底本身使用整体浇铸,底部设计防爆口,以应对突发情况。
炉身采用钢筋混凝土结构,增加了稳定性和耐磨性。
炉盖采用活动式结构,方便装卸料和维护。
四、吹氧系统设计:吹氧系统采用双面吹氧,以提高氧气利用率和搅拌效果。
吹风系统要求高压、大流量、稳定性好,并配备过滤装置,防止炉衬堵塞。
同时,安装可调节喷嘴,以便根据不同炼钢工艺的需要进行调整。
五、钢渣处理系统设计:为了提高钢渣处理效率,设计采用双辊倾转混渣机,以提高钢渣的处理速度和均匀度。
同时增加钢渣铺垫泥石圈,以提高钢渣的液流性和隔热性,减少热损失。
六、自动化控制系统设计:为了提高生产效率和产品质量,设计采用现代化的自动化控制系统。
通过温度传感器、压力传感器和氧气含量传感器等监控设备,及时获取各个指标的数据,并通过计算机控制中心进行集中处理,实现转炉的自动化操作。
七、安全防护措施设计:为了保障生产人员的安全,设计要求安装爆炸防护装置,实时监测转炉内部的温度和压力,并在超过设定值时及时报警。
此外,还要配备火焰探测器和自动灭火系统,以应对火灾和爆炸等紧急情况。
这是一份转炉基础设计方案的示例,能够满足提高钢水质量和生产效率的要求,并符合安全防护标准。
当然,实际设计还需根据具体情况进行细化和优化。
265吨转炉设计摘要:一、转炉设计概述1.转炉类型2.设计吨位3.设计背景与意义二、转炉主要技术参数1.炉膛容量2.炉体尺寸3.设备配置4.耐火材料选择三、转炉生产工艺1.冶炼过程2.操作方式3.冶炼效果评估四、环保与节能措施1.废气处理2.废弃物处理3.节能措施五、转炉的应用前景1.我国钢铁行业的需求2.技术与经济优势3.国内外市场前景正文:我国钢铁行业在近年来取得了飞速发展,对炼钢设备的需求也日益增加。
在这样的背景下,一款设计精良、性能优越的转炉显得尤为重要。
本文将为您介绍一款265吨转炉的设计方案。
一、转炉设计概述转炉是一种重要的炼钢设备,用于将铁水与废钢、合金等原料进行熔化、精炼。
这款265吨转炉的设计吨位适中,能够满足大部分钢铁企业的需求。
它的设计充分考虑了我国钢铁行业的现状和发展趋势,具有较高的实用性和推广价值。
二、转炉主要技术参数1.炉膛容量:265吨,能够满足各种规模的钢铁企业的生产需求。
2.炉体尺寸:根据实际生产需要进行设计,保证了良好的熔化效果。
3.设备配置:采用先进的自动化控制系统,实现冶炼过程的实时监控和调整。
4.耐火材料选择:选用高品质耐火材料,保证炉体的使用寿命和安全性。
三、转炉生产工艺1.冶炼过程:采用三段式冶炼工艺,实现对铁水、废钢等原料的充分熔化、精炼。
2.操作方式:采用自动化控制,提高生产效率,降低工人劳动强度。
3.冶炼效果评估:通过对冶炼过程中的各项指标进行实时监测,确保冶炼质量。
四、环保与节能措施1.废气处理:采用高效除尘设备,减少废气排放,保护环境。
2.废弃物处理:对生产过程中产生的废渣、废料等进行分类处理,实现资源化利用。
3.节能措施:采用先进的保温措施,降低能耗,提高热效率。
五、转炉的应用前景1.我国钢铁行业的需求:随着我国经济的持续发展,钢铁需求不断增加,265吨转炉具有广泛的市场需求。
2.技术与经济优势:该转炉设计先进,性能优越,能够在保证生产效率的同时降低生产成本,具有较高的经济效益。
设计一座公称容量350t 的转炉1、转炉炉型设计1.1、炉型设计氧气顶底复吹转炉呈矮胖型,由于底部要吹气体,故应设置喷口,加之公称容量较大,本设计选用转炉炉型为筒球型。
1.2、主要参数的确定 (1)、炉容比:是指新炉时转炉的炉膛有效容积与公称容量之比。
转炉的炉容比一般取0.9~1.05m ³/t ,本设计取炉容比为0.95m ³/t ,原因是大炉顶底复吹,可减少喷溅、化渣不利等因素,故选取炉容比较小值。
(2)、高径比:(高宽比)高径比取值范围在1.35~1.65之间,本设计取1.35,原因是同样的供氧强度,使搅拌更充分、反应更快,可缩短吹氧时间,过小会增加吹氧时间。
(3)、熔池直径D :熔池处于平静状态时金属液面的直径。
D=tG KD —熔池直径,m;K —系数,见表1;G —新炉金属装入量,t ,取公称容量;t —平均每炉钢纯吹氧时间,min ,见表2;D=1.5×20350=6.27m(4)、熔池深度h :熔池处于平静状态时金属液面到炉底的深度。
V 金=G /ρ金=350/6.8=51.5m ³ h=(V 金+0.046D ³)/(0.79D ²)=(51.5+0.046×6.27³)/0.79×6.27 ²=2.02m(5)、炉帽尺寸的确定:①炉口直径d0=0.43D=0.43×6.27=2.70m;取值原因:炉口略大可增加进氧量,促进二次燃烧。
②炉帽倾角θ:取θ=60 º;取之原因:可增加出钢时钢液深度,防止下渣。
③炉帽高度H缝:H缝=1/2(D-d0)tanθ=1/2(6.27-2.70) tan60 º=3.09m; 取H口=400mm,则整个炉帽高度为:H缝+H口=3.09+0.40=3.49m;炉帽部分容积为:V帽=(π/12)H缝(D ²+Dd0+d0²)+(π/4)d0²H口=(3.14/12)×3.09×(6.27 ²+6.27×2.70+2.70 ²)+3.14/4×2.70 ²×0.4=51.37+2.29=53.66m ³;(6)、炉身高尺寸确定:①炉堂直径D堂=D;②根据选定的炉容比为0.95,可求出炉子的总容积为V总=0.95×350=332.5m ³;V身=V总﹣V池﹣V帽=332.5﹣51.5﹣53.66=227.34m ³;③炉身高度H身=V身/(πD ²/4)=227.34/30.86=7.37m;则炉型内高H内=h+H帽+H身=2.02+3.49+7.37=12.88m;(7)、熔池其他尺寸确定:球冠的弓形高度:h冠=0.15D=0.15×6.27=0.941m;炉底球冠的曲率半径:R=0.91D=0.92×6.27=5.71m;(8)、出钢口尺寸的确定:①出钢口直径d T=T63+=350.175+=0.26m;63∙.175②出钢口衬砖外径d ST=6d T=6×0.26=1.56m;③出钢口长度:L T=7d T=7×0.26=1.82m;④出钢口倾角β:为了缩短出钢口长度,以利维修和减少钢液二次氧化及热损失,θ一般取15 º~20 º,本设计取β=15 º;1.3、底部供气构件的设计(1)、底气用量:底部供给惰性气体,吹炼期供N2,后期改换为氩气,供气强度在0.03 ~0.12m ³/﹙t •min)范围;(2)、供气构件:本设计选择砖型供气元件,弥散型透气砖。
转炉设计1.1转炉炉型设计1.1.1转炉炉型设计概述(1)公称容量及其表示方法公称容量(T),对转炉容量大小的称谓。
即平时所说的转炉的吨位。
(2)炉型的定义转炉炉型是指转炉炉膛的几何形状,亦即指由耐火材料切成的炉衬内形。
炉型设计内容包括:炉型种类的选择;炉型主要参数的确定;炉型尺寸设计计算;炉衬和炉壳厚度的确定;顶底复吹转炉设计。
1.1.2炉型种类及其选择(1)炉型种类根据熔池(容纳金属液的那部分容积)的形状不同来区分,炉帽、炉身部位都相同,大体上归纳为以下三种炉型:筒球形、锥球形和截锥形。
①筒球形炉型:该炉型的熔池由一个圆筒体和一个球冠体两部分组成,炉帽为截锥体,炉身为圆筒形。
其特点是形状简单,砌砖简便,炉壳容易制造。
在相同的熔池直径D和熔池深度h的情况下,与其他两种炉型相比,这种炉型熔池的容积大,金属装入量大,其形状接近于金属液的循环运动轨迹,适用于大型转炉。
②锥球形炉型(国外又叫橄榄形):该炉型的熔池由一个倒置截锥体和一个球冠体两部分组成,炉帽和炉身与圆筒形形炉相同。
其特点是,与同容量的其他炉膛相比,在相同熔池深度h下,其反应面积大,有利于钢、渣之间的反应,适用于吹炼高磷铁水。
③截锥体炉型:该炉型的熔池有一个倒置的截锥体组成。
其特点是,形状简单,炉底砌筑简便,其形状基本上能满足于炼钢反应的要求。
与相同容量的其他炉型相比,在熔池直径相同的情况下,熔池最深,适用于小型转炉。
结合中国已建成的转炉的设计经验,在选择炉型时,可以考虑:100~200t以上的大型转炉,采用筒球形炉型;50~80t的中型转炉,采用锥球形转炉;30t以下的小型转炉,采用截锥体转炉。
1.1.3转炉炉型主要参数的确定迄今为止,国内外还没有一套完整的转炉炉型的理论计算公式,不能完全从理论上确定一个理想的转炉炉型和炉型各部分尺寸参数。
现有的公式都属于经验公式。
目前国内各厂进行转炉炉型设计时,一般都是采用“依炉建炉”的设计方法。
即通过考察和总结同类转炉的长期生产情况和较先进的技术经济指标,结合采用经验公式和进行可行的模拟试验,再结合当地的条件做适当的修改,来确定转炉的炉型尺寸。
第二部分200吨转炉炉型设计计算(一)转炉炉型及主要参数一、转炉三种炉型介绍转炉炉型应能适应炉内钢液、溶渣和高温气的循环运动规律,达到反应快、喷溅少和炉龄高等目的。
内型应与残余炉衬的轮廓接近,以利减少炉衬的局部侵蚀和降低耐火材料的消耗,此外还要容易砌筑。
目前,氧气顶吹转炉金属熔池形状可分为三种炉型:1.筒球形炉型这种炉子形状简单、砌砖方便、炉壳容易制造。
球形底可使散热面积小,倒渣时炉底形成拱顶而强度相对要大。
球底熔池的形状接近金属液的循环轨迹。
.常用于≧50吨的炉子。
2.锥球形炉型这种炉子的熔池形状更符合钢流循环的要求,且与筒球形相比,当熔池深度相同时,熔池直径与反应而积均可稍大而有利于去磷反应的进行(见式2-6和式2-6)。
常用于20~80吨的炉子。
3.截锥形炉型熔池循环有死角,故适用于≧30吨的炉子。
这种倒圆台的炉底比球形炉底易于砌筑.二.炉子各部分主要尺寸参数的确定和计算转沪的主要尺寸如[4]254图23一1所示.下面分五个部分进行讨论(I)熔池部分1.熔池直径的计算式中:G——新炉金属料装入量,T(由原始条件给出)t——吹氧时间,minK——系数>30吨炉子K=1.85~2.1系数<30吨炉子K=2.0~2.3t=33min前期出钢量[T]加废钢后耗氧量[Nm/T]供养强度[Nm/T]G[T]由表1-21可求“加废钢后每吨钢水耗氧量”=氧[kg]钢水[kg]×1000[Tkg]×332[kg]22.4[Nm]供氧强度可参表2—1,计算后,供养时间应符合表2—2的范围。
3续表2—1厂名樊纲鞍钢(西德)萨尔茨吉特(日)加古川(意)塔兰托宝钢公称容量120150200250300300喷头孔数三孔三孔三孔三孔三孔三孔供氧强度 2.5 2.454 2.63~4.4表2—2 转炉供氧时间参数表公称容量<5050~80>120供氧时间(min)12~1616~1814~202.金属熔池体积和熔池深度的计算①当取铁水密度ρ=6.8[T/m3]时则金属熔池体积V金属=G[T]×0.147[T/m3]②锥球形熔池深度h=320.0363D0.7D金属V(m)③筒球形熔池深度h=320.046D0.79D金属V(m)由:比较式2—6与式2—7可知,当深度两者相同时,锥球形熔池直径稍大而可扩大熔池的渣钢反应界面有利于去磷的反应。
关于转炉饱和蒸汽发电系统及其参数选择的研究摘要:冶金企业的产品生产会产生较多的低参数饱和蒸汽,可以通过发电系统实现蒸汽的再利用,节约能源的同时,实现清洁生产。
基于此,本文将转炉饱和蒸汽发电系统作为研究对象,从系统运行流程及参数选择两方面入手,为冶金企业合理应用低参数饱和蒸汽提供参考。
关键词:转炉;蒸汽发电;汽轮机前言:为了响应国家节能减排的号召,冶金企业需要提高对生产蒸汽的重视,利用蒸汽的余热发电,实现冶金企业的资源最大化利用,有助于冶金企业的可持续发展。
在实际的蒸汽余热发电中,技术人员应用的转炉饱和蒸汽发电系统及参数选择,会对蒸汽利用效率产生直接的影响,需要受到冶金企业的关注。
1.转炉饱和蒸汽发电系统分析转炉饱和蒸汽发电系统主要包括转炉、汽轮机和控制系统这三部分。
转炉和汽轮机被称作热力系统,其运行流程如下:转炉锅炉产生的饱和蒸汽会存储于汽包内,通过蒸汽管道输送到分汽缸中进行稳流处理,再通过主蒸汽管道运输到汽水分离器中,去除饱和蒸汽中的冷凝水,使饱和蒸汽的干度达到发电的标准要求;然后将饱和蒸汽运输到汽轮机中进行做功,结束后的饱和蒸汽被传输到冷凝器中冷凝为水,冷凝水经过除氧器处理后进行循环使用。
其中,一部分冷凝水用来调节蒸汽蓄热器的液位;一部分冷凝水传输到汽包中。
在转炉饱和蒸汽发电系统中,热力系统的运行需要控制系统进行智能控制,实现自动化发电。
一般来说,冶金企业通过采用PLC控制系统作为蒸汽发电系统的控制模块,该模块主要包括电气控制柜、调节阀以及相关仪表等器件,可以实现转炉饱和蒸汽发电系统的全面实时控制。
其中,调节阀主要负责控制热力系统中的进汽量,可以实现蒸汽发电效率的自动控制。
与此同时,PLC控制系统支持报警功能,在转炉饱和蒸汽发电系统出现异常运行状况时,PLC系统会进行报警提示,值班室的工作人员可以立即去到生产现场检查设备,保障蒸汽发电的有序开展,在保障蒸汽发电质量的同时,提升蒸汽发电的安全性[1]。
1转炉设计1.1炉型设计1. 原始条件炉子平均出钢量为100吨,钢水收得率取90.36%,最大废钢比取10%,采用废钢矿石法冷却。
铁水采用P08属于低磷生铁;氧枪采用三孔拉瓦尔型喷头.2. 炉型选择:根据原始条件采用锥球形炉型。
3. 炉容比:取V/T=1.004. 熔池尺寸的计算熔池直径: G= t B T 95.102936.01%1521002122=⨯+⨯=⋅+η (取B=15%)314.158.695.102m G V ===ρ 确定吹氧时间和吨钢耗氧量:本设计采用低磷铁水,取吨钢耗氧量为56.8)(/3钢t m 。
并取吹氧时间为12min ,则供氧强度min)]/([733.4128.563⋅==t m 取K =1.8则 )(27.51295.1028.1m D == 锥球型熔池深度的计算公式为 )(05.127.57.027.50363.014.157.00363.02323m D D V h =⨯⨯+=+= 确定D =5.27m, h =1.05m熔池其他尺寸确定球冠的弓形:)(527.027.510.010.01m D h =⨯==)(717.427.5895.0895.01m D D =⨯==炉底球冠曲率半径:)(797.527.51.11.1m D R =⨯==5. 炉帽尺寸的确定炉口直径:()m D d 530.227.548.048.00=⨯==炉帽倾角:取065=θ3) 炉帽高度帽H)(94.265tan )53.227.5(21tan 2100m d D H =-=-=θ 取mm H 400=口,则整个炉帽高度为:)(口锥帽m H H H 34.34.094.2=+=+= 由于我们采用水冷炉口炉帽部分容积为:口锥帽)(H d d Dd D H V 202002412ππ+++=)(56.384.053.24)53.253.227.527.5(94.2123222m =⨯⨯++⨯+⨯⨯=ππ6. 炉身尺寸确定1) 炉膛直径D D =膛=5.27m (无加厚段)2) 根据选定的炉容比为1.00,可求出炉子总容积为)(容31000100.1m V =⨯= )(帽池总身346.438.5615.14100m V V V V =--=--= 3) 炉身高度)(3.135.27446.4422m D V H =⨯=⨯=ππ身身 4) 炉型内高m H H h H 52.813.234.305.1=++=++=身帽内7. 出钢口尺寸的确定1) 出钢口直径)(15.0)(15.5301075.16375.163m cm T d T =≈⨯+=+=2) 出钢口衬砖外径)(0.915.066m d d T ST =⨯==3) 出钢口长度)(05.115.077m d L T T =⨯==4) 出钢口倾角β:取018=β8. 炉衬厚度确定炉身工作层选600mm,永久层115mm,填充层90mm,总厚度为600+115+90=805(mm )炉壳内径为 6.882805.05.27=⨯+=壳内D炉帽和炉底工作层均选600mm,炉帽永久层为150mm,炉底永久层用标准镁砖立砌,一层230mm,粘土砖平砌三层65×3=195(mm ),则炉底衬砖总厚度为600+230+195=1025(mm ),故炉壳内形高度为)(9.545025.18.52m H =+=壳内,工作层材质全部采用镁碳砖。
设计参数选择
1 氧气转炉物料平衡与热平衡计算
氧气
半钢、废钢
矿石或铁皮
(1)收入项石灰
萤石、白云石
炉衬侵蚀
其它
炉气
喷溅
炉渣
(2)支出项铁珠
钢水
其它
1.1 计算原始条件假设:
(5)冷却剂
用废钢作冷却剂,其他成分与冶炼钢种成分的中限皆同。
(7)根据国内同类转炉的实验数据选取 ① 渣中铁珠量为渣量的8%;
② 金属中碳的氧化,其中90%的碳氧化成CO ,10%碳氧化成CO 2; ③ 喷溅铁损为铁水量的1%;
④ 炉气和烟尘量,取炉气平均温度1450℃。
炉气中自由氧含量为0.5%。
烟尘量为铁水量的1.6%,其中%77)Fe (=O ω,)O Fe (32ω=20%;
⑤ 炉衬侵蚀量为铁水量的0.5%;
⑥ 氧气成分,)O (2ϕ=99.5%、)N (2ϕ=0.5%。
2 转炉炉型主要参数
参数确定方法有两种方法:① 直接推荐法;② 推荐经验公式。
由北京钢铁设计研究总院推荐的一套经验公式。
主要包括:
(1)炉容比(V/T );(2)高宽比(H/D );(3)熔池深度直径比(h/D );(4)炉口直径比(d 0/D );(5)帽锥角(θ);(6)出钢口参数;(7)转炉的公称吨位。
3 炉型设计计算
新转炉的炉型和各部位尺寸可根据经验公式计算,结合现有转炉生产实际并通过模型试验来确定。
炉型尺寸的选择依据:生产规模、原材料条件、工艺操作方法。
① 确定所设计炉子的公称容量 ② 选择炉型
设计程序
③ 确定炉型主要设计参数 ④ 计算熔池尺寸
⑤ 确定整个炉型尺寸
(1)原始条件
① 炉子平均出钢量为120t ,钢水收得率为92.62%,则金属装入量为:
t 130562.129%62.92120G ≈== ② 原料:半钢,采用单渣不留渣操作。
③ 氧枪喷嘴采用四孔拉瓦尔喷孔, (2)熔池尺寸的计算
1)熔池直径
t
G K D = 2)熔池深度(h )本文采用筒球形熔池深度计算公式
金属熔池的体积为:
32046.079.0D hD V -=熔池 因而
2
3
79.0046.0D
D V h +=
熔池
(3)炉帽尺寸
1)炉口直径d
D d )53.0~43.0(=,本文d 取2200mm 。
2)炉帽倾角θ θ的取值范围在60°~68°。
本文取63°。
3)炉帽高度帽H
))(口直斜帽400~300(tan 2
1
+-=+=θd D H H H
炉帽容积:
直台直台帽)(H d d Dd D H V V V 2224
12
π
π
+
++=
+=
(4)炉身尺寸的计算
1)炉膛直径膛D :
对于炉衬无加厚段的转炉其炉膛直径与熔池直径相同,即 D D =膛。
2)炉身高度身H :
炉身体积 身身H D V 24
π
=
2
4D
V H π身
身=
帽池身V V V V --=
式中V —炉膛体积,由炉容比T V /和公称容量T 确定,T T V V )/(=。
(5)出钢口尺寸
出钢口主要参数包括出钢口位置、出钢口角度及出钢口直径。
1)出钢口位置设在炉帽和炉身交界处。
2)出钢口角度α取12°。
3)出钢口直径
G d 75.163+=出
4 氧枪的主要参数
本文选择四孔喷头。
4.3 喷嘴参数的选择
(1)氧气流量计算
吹氧时间
出钢量
每吨钢氧耗量氧气流量⨯=
(2)理论氧压的的确定
(3)喷嘴出口马赫数 本文取Ma =2.0 (4)喷孔夹角取12°
(5)扩张角取10°(半锥角取5°)。
扩张段长度L 可由经验公式求得:扩张段长度/出口直径=1.2~1.5。
(6)喷嘴后口的氧流量公式
11
)12(T P A K R K W K K ⨯⨯+=
-+喉 体积流量Q 为:
min /m 782.1)14.12(83.2594.143.16030
000
6T P A T P A Q ⨯=⨯⨯+=
喉喉(标态)
D 782.1T P A C Q ⨯⨯
⨯=喉实
(7)喉口段长度取7mm 。
(8)收缩段尺寸的确定 收缩段的半锥角δ取20°。
收缩段的长度取喉d L )5.1~8.0(=。
收缩段入口处的直径可由公式确定:
L
2-tan 喉口直径
径单个喷孔收缩段入口直=
δ,收缩段入口处直径,一般为喉口直
径的2倍左右。