高二数学综合练习题
- 格式:doc
- 大小:1.17 MB
- 文档页数:12
高二上学期数学练习题(5)(圆与方程)班级 姓名 学号一.选择填空1. 已知实数x ,y 满足x 2+y 2-2x +4y -20=0,则x 2+y 2的最小值是( )A .30-10 5B .5-5C .5D .252.函数 y =|x | 的图象和圆x 2+y 2=4所围成的较小的面积是( )A .π4B .3π4C .3π2D .π3. 点P 是直线2x +y +10=0上的动点,直线P A 、PB 分别与圆x 2+y 2=4相切于A 、B 两点, 则四边形P AOB (O 为坐标原点)的面积的最小值等于( ) A .24 B .16 C .8 D .44. 方程1-x 2=x +k 有唯一解,则实数k 的范围是( )A .k =-2B .k ∈(-2,2)C .k ∈[-1,1)D .k =2或-1≤k <1 5.在平面直角坐标系中,A ,B 分别是x 轴和y 轴上的动点,若以AB 为直径的圆C 与直线2x +y -4=0 相切,则圆C 面积的最小值为( )A .45πB .34πC .(6-25)πD .54π6. 圆x 2+2x +y 2+4y -3=0上到直线x +y +1=0的距离为2的点共有( )A .4个B .3个C .2个D .1个7. 已知点A (x,1,2)和点B (2,3,4),且|AB |=26,则实数x 的值是( )A .-3或4B .6或2C .3或-4D .6或-28. 当a 为任意实数时,直线(a -1)x -y +a +1=0恒过定点C ,则以C 为圆心,5为半径的圆的方程为( ) A .x 2+y 2-2x +4y =0 B .x 2+y 2+2x +4y =0 C .x 2+y 2+2x -4y =0D .x 2+y 2-2x -4y =09. 直线l 1:y =x +a 和l 2:y =x +b 将单位圆C :x 2+y 2=1分成长度相等的四段弧,则a 2+b 2=( ) A . 2 B .2 C .1D .310. 直线y =kx +1与圆x 2+y 2=1相交于P ,Q 两点,且∠POQ =120°(其中O 为原点),则k 的值为( )A .-3或 3B .3C .-2或 2D . 211. 已知三点A (1,0),B (0,3),C (2,3),则△ABC 外接圆的圆心到原点的距离为( )A .53B .213C .253D .4312. 过点(3,1)作圆(x -1)2+y 2=1的两条切线,切点分别为A ,B ,则直线AB 的方程为( ) A .2x +y -3=0 B .2x -y -3=0 C .4x -y -3=0 D .4x +y -3=0二.填空题13.已知实数x ,y 满足x 2+y 2=1,则y +2x +1的取值范围为__________14.已知M ={(x ,y )|y =9-x 2,y ≠0},N ={(x ,y )|y =x +b },若M ∩N ≠∅,则实数b 的取值范围是________. 15.设集合A ={(x ,y )|(x -4)2+y 2=1},B ={(x ,y )|(x -t )2+(y -at +2)2=1},若存在实数t ,使得A∩B≠∅,则实数a的取值范围是________ .16.过点A(1,2)的直线l将圆(x-2)2+y2=4分成两段弧,当劣弧所对的圆心角最小时,直线l的斜率k=17.平面直角坐标系xOy中,以点(1,0)为圆心且与直线mx-y-2m-1=0(m∈R)相切的所有圆中,半径最大的圆的标准方程为__________18.已知点A(1,2,3),B(2,-1,4),点P在y轴上,且|P A|=|PB|,则点P的坐标是______三.解答题19.已知过点A(-1,0)的动直线l与圆C:x2+(y-3)2=4相交于P,Q两点,M是PQ的中点,l与直线m:x+3y+6=0相交于N.(1)求证:当l与m垂直时,l必过圆心C;(2)当|PQ|=23时,求直线l的方程.20.已知点(0,1),(3+22,0),(3-22,0)在圆C上.(1)求圆C的方程;(2)若圆C与直线x-y+a=0交于A,B两点,且OA⊥OB,求a的值.21.如下图,在平面直角坐标系xOy中,点A(0,3),直线l:y=2x-4.设圆C的半径为1,圆心在l上.(1)若圆心C也在直线y=x-1上,过点A作圆C的切线,求切线的方程;(2)若圆C上存在点M,使MA=2MO,求圆心C的横坐标a的取值范围.22.已知曲线C:x2+y2+2kx+(4k+10)y+10k+20=0,其中k≠-1.(1)求证:曲线C表示圆,并且这些圆心都在同一条直线上;(2)证明曲线C过定点;(3)若曲线C与x轴相切,求k的值.高二上学期数学练习题(5)(圆与方程)参考答案班级 姓名 学号 (第5—11页,共7页) 一.选择填空1. 已知实数x ,y 满足x 2+y 2-2x +4y -20=0,则x 2+y 2的最小值是( )A .30-10 5B .5-5C .5D .25[答案] A[解析]x 2+y 2为圆上一点到原点的距离.圆心(1,-2)到原点的距离d =5,已知园的半径为5,所以最小值为(5-5)2=30-10 5.2. y =|x |的图象和圆x 2+y 2=4所围成的较小的面积是( )A .π4B .3π4C .3π2 D .π[答案] D[解析] 数形结合,所求面积是圆x 2+y 2=4面积的14.3. 点P 是直线2x +y +10=0上的动点,直线P A 、PB 分别与圆x 2+y 2=4相切于A 、B 两点, 则四边形P AOB (O 为坐标原点)的面积的最小值等于( )A .24B .16C .8D .4[答案] C [解析] ∵四边形PAOB 的面积S =2×12|PA |×|OA |=2PA =2OP 2-OA 2=2OP 2-4,∴当直线OP 垂直直线2x +y +10=0时,其面积S 最小 4. 方程1-x 2=x +k 有唯一解,则实数k 的范围是( )A .k =-2B .k ∈(-2,2)C .k ∈[-1,1)D .k =2或-1≤k <1 [答案] D [解析] 由题意知,直线y =x +k 与半圆x 2+y 2=1(y ≥0只有一个交点. 结合图形易得-1≤k <1或k = 2.5.在平面直角坐标系中,A ,B 分别是x 轴和y 轴上的动点,若以AB 为直径的圆C 与直线2x +y -4=0 相切,则圆C 面积的最小值为( )A .45πB .34πC .(6-25)πD .54π[答案] A [解析] 原点O 到直线240x y +-=的距离为d ,则d =45,园C 圆心C 到直线2x +y -4=0的距离是圆的半径r ,由题知圆心C 是线段AB 的中点,又以斜边AB 为直径的圆过直角顶点,则在直角△AOB 中,圆C 过原点O ,即|OC |=r ,所以2r ≥d ,∴2d r ≥,所以r 最小为2d ==25,面积最小为4π5,故选A6. 圆x 2+2x +y 2+4y -3=0上到直线x +y +1=0的距离为2的点共有( )A .4个B .3个C .2个D .1个[答案] B[解析] 将圆的方程化为标准方程为(x +1)2+(y +2)2=(22)2,圆心(-1,-2)到直线x +y +1=0 的距离d =|-1-2+1|2=2,则到直线x +y +1=0的距离为2的两条平行线与圆的公共点的个数即为所求.由于圆的半径为22,所以到直线x +y +1=0的距离为2的平行线一条过圆心,另一条与圆相切,故这两条直线与圆有3个交点.7. 已知点A (x,1,2)和点B (2,3,4),且|AB |=26,则实数x 的值是( )A .-3或4B .6或2C .3或-4D .6或-2[答案] D[解析] 由空间两点间的距离公式得(x -2)2+(1-3)2+(2-4)2=26,解得x =6或x =-2. 8. 当a 为任意实数时,直线(a -1)x -y +a +1=0恒过定点C ,则以C 为圆心,5为半径的圆的方程为( ) A .x 2+y 2-2x +4y =0 B .x 2+y 2+2x +4y =0 C .x 2+y 2+2x -4y =0D .x 2+y 2-2x -4y =0[答案] C[解析] 由(a -1)x -y +a +1=0得a (x +1)-(x +y -1)=0,所以直线恒过定点(-1,2), 所以圆的方程为(x +1)2+(y -2)2=5,即x 2+y 2+2x -4y =0.9. 直线l 1:y =x +a 和l 2:y =x +b 将单位圆C :x 2+y 2=1分成长度相等的四段弧,则a 2+b 2=( ) A . 2 B .2 C .1D .3[答案] B[解析] 依题意,圆心(0,0)到两条直线的距离相等,且每段弧的长度都是圆周的14,即|a |2=|b |2,|a |2=1×cos45°=22,所以a 2=b 2=1,故a 2+b 2=2.10. 直线y =kx +1与圆x 2+y 2=1相交于P ,Q 两点,且∠POQ =120°(其中O 为原点),则k 的值为( )A .-3或 3B .3C .-2或 2D . 2[答案] A[解析] 方法1:∵|PQ |=2×1×sin60°=3(需作出弦心距), 圆心到直线的距离d =1-(32)2=12, ∴1k 2+1=12(注:用点到直线的距离公式表示弦心距),解得k =±3. 方法2:利用数形结合.如图所示,∵直线y =kx +1过定点(0,1),而点(0,1)在圆x 2+y 2=1上,故不妨设P (0,1),在等腰三角形POQ 中,∠POQ =120°,∴∠QPO =30°,故∠P AO =60°,∴k =3,即直线P A 的斜率为 3.同理可求得直线PB 的斜率为- 3.11. 已知三点A (1,0),B (0,3),C (2,3),则△ABC 外接圆的圆心到原点的距离为( )A .53B .213C .253D .43[答案] B[解析] △ABC 外接圆圆心在直线BC 垂直平分线上即在直线x =1上,设圆心D (1,b ),由DA =DB 得|b |=1+(b -3)2,解之得b =223,所以圆心到原点的距离d =12+(223)2=213.故选B .12. 过点(3,1)作圆(x -1)2+y 2=1的两条切线,切点分别为A ,B ,则直线AB 的方程为( ) A .2x +y -3=0 B .2x -y -3=0 C .4x -y -3=0 D .4x +y -3=0[答案] A[解析] 根据平面几何知识,直线AB 一定与点(3,1),(1,0)的连线垂直,这两点连线的斜率为12,故直线AB 的斜率一定是-2,只有选项A 中直线的斜率为-2.二.填空题13.已知实数x ,y 满足x 2+y 2=1,则y +2x +1的取值范围为__________[答案] [34,+∞)[解析] 设P (x ,y )是圆x 2+y 2=1上的点,则y +2x +1表示过P (x ,y )和Q (-1,-2)两点的直线PQ 的斜率,过点Q 作圆的两条切线QA ,QB ,由图可知QB ⊥x 轴,k QB 不存在,且k QP ≥k QA .。
高二理科选修2-2、2-3综合练习题一、选择题1.已知|z |=3,且z +3i 是纯虚数,则z =( )A .-3iB .3iC .±3i D.4i 2.函数y=x 2cosx 的导数为( ) (A) y ′=2xcosx -x 2sinx(B) y ′=2xcosx+x 2sinx (C) y ′=x 2cosx -2xsinx(D) y ′=xcosx -x 2sinx3.若x 为自然数,且x<55,则(55-x)(56–x)…(68–x )( 69–x )= ( )A 、x x A --5569B 、1569x A -C 、1555x A -D 、1455x A -4.一边长为6的正方形铁片,铁片的四角截去四个边长均为x 的小正方形,然后做成一个无盖方盒,为使方盒的容积最大,x 应取( ) .A 、1B 、2C 、3D 、45、工人制造机器零件尺寸在正常情况下,服从正态分布2(,)N μσ.在一次正常实验中,取1000个零件时,不属于(3,3)μσμσ-+这个尺寸范围的零件个数可能为( ) A .3个 B .6个 C .7个 D .10个 6、用反证法证明命题“三角形的内角至多有一个钝角”时,假设正确的是( )A.假设至少有一个钝角 B .假设至少有两个钝角C.假设没有一个钝角D.假设没有一个钝角或至少有两个钝角7.4名学生被中大、华工、华师录取,若每所大学至少要录取1名,则共有不同的录取方法( ).A 、72种B 、36种C 、24种D 、12种8、随机变量ξ服从二项分布ξ~()p n B ,,且,200,300==ξξD E 则p 等于( )A. 32B. 31C. 1D. 09.若4)31(22+-=⎰dx x a ,且naxx )1(+的展开式中第3项的二项式系数是15,则展开式中所有项系数之和为( ) A .164-B .132C .164 D .112810.给出以下命题:⑴若 ,则f(x)>0; ⑵ ; ⑶f(x)的原函数为F(x),且F(x)是以T 为周期的函数,则 ; 其中正确命题的个数为( )(A)1 (B)2 (C)3 (D)0 二、填空题11、已知函数f(x) =32(6)1x ax a x ++++在R 上有极值,则实数a 的取值范围是 .12.观察下式1=12,2+3+4=32,3+4+5+6+7=52,4+5+6+7+8+9+10=72,……,则可得出一般性结论:________13.已知X 的分布列如图,且,则a 的值为____14.对于二项式(1-x)1999,有下列四个命题:①展开式中T 1000= -C 19991000x999;②展开式中非常数项的系数和是1;③展开式中系数最大的项是第1000项和第1001项; ④当x=2000时,(1-x)1999除以2000的余数是1.其中正确命题的序号是__________. (把你认为正确的命题序号都填上)15.设)(x f 是定义在R 上的可导函数,且满足0)()('>+x xf x f .则不等式)1(1)1(2-->+x f x x f 的解集为____________.20sin 4xdx =⎰π()0ba f x dx >⎰0()()aa TTf x dx f x dx +=⎰⎰三、解答题16.(12分)已知1z i a b =+,,为实数.(1)若234z z ω=+-,求ω;(2)若2211z az b i z z ++=--+,求a ,b 的值.17、(12分) 20()(28)(0)xF x t t dt x =+->⎰.(1)求()F x 的单调区间; (2)求函数()F x 在[13],上的最值.18、(12分)已知数列{}n a 的前n 项和*1()n n S na n =-∈N .(1)计算1a ,2a ,3a ,4a ;(2)猜想n a 的表达式,并用数学归纳法证明你的结论.19、(12分)某次有奖竞猜活动中,主持人准备了A 、B 两个相互独立的问题, 并且宣布:观众答对问题A 可获奖金a 元,答对问题B 可获奖金2a 元;先答哪个题由观众自由选择;只有第一个问题答对,才能再答第二个问题,否则终止答题.设某幸运观众答对问题A 、B 的概率分别为31、14.你觉得他应先回答哪个问题才能使获得奖金的期望较大?说明理由.20、(13分)某宾馆有50个房间供游客居住,当每个房间定价为每天180元时,房间会全部住满;房间单价增加10元,就会有一个房间空闲,如果游客居住房间,宾馆每间每天需花费20元的各种维护费用。
高二数学练习题库一、选择题1. 在直角三角形ABC中,∠B=90°,AB=12,AC=5,则BC等于:A) 13 B) 11 C) 17 D) 202. 若a,b为任意实数,且a^2 + b^2 = 5, a - b = 1,则a + b的值是:A) 2 B) 4 C) 2√5 D) 4√53. 设函数f(x)=3x^2 - 4x + 1,则f(-1)的值是:A) -2 B) -6 C) 3 D) 114. 一边长为2的正方形与一边长为3的正方形的面积之比是:A) 2:3 B) 3:2 C) 4:9 D) 9:45. 在△ABC中,AB=12,AC=9,∠BAC=60°,则BC的长度是:A) 6 B) 3√3 C) 6√3 D) 3二、填空题1. 一个等差数列的首项是3,公差是4,第7项是__。
2. 若x = 2/3,则x的倒数是__。
3. 设y = 2^x,已知y = 8,求x = __。
4. 若f(x) = x^2 + bx + c,当x = 1时,f(x)的值为2,当x = 2时,f(x)的值为5,则b + c = __。
5. 若x^2 + y^2 = 25,且y = -3,则x = __。
三、解答题1. 计算:12 × 5 + 8 ÷ 2 - 4^2。
2. 解方程:2(x^2 - 3) = x + 4。
3. 已知△ABC中,∠A = 90°,AB = 5,BC = 12,求AC的长度。
4. 设函数f(x) = x^2 + 3x + 2,求f(-1)的值。
5. 解方程:3(2x - 5) = 2(3x + 1) - 4。
四、应用题1. 小明有一张正方形纸片,边长为x cm。
他将纸片剪成4个形状相同的小正方形,再将其中3个小正方形依次剪成边长为x/2 cm的小正方形。
求剪成x/2 cm边长小正方形的纸片的总面积。
2. 某商店举办打折促销活动,一件原价200元的衣服打了2折,另一件原价300元的衣服打了3折。
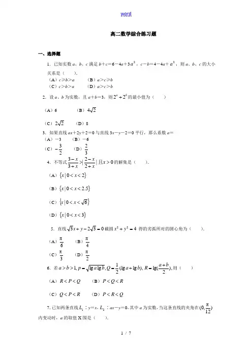
高二数学综合练习题一、选择题1.已知实数a 、b 、c 满足b +c =6-4a +32a ,c -b =4-4a +2a ,则a 、b 、c 的大小 关系是( ).(A )c ≥b >a (B )a >c ≥b (C )c >b >a (D )a >c >b2.设a 、b 为实数,且a +b =3,则b a 22+的最小值为( ) (A )6 (B )24 (C )22 (D )83.如果直线ax +2y +2=0与直线3x -y -2=0平行,那么系数a = (A )-3 (B )-6 (C )23-(D )32 4.不等式0|22|33>+->+-x xxx x 且的解集是( ). (A ){}20|<<x x (B ){}5.20|<<x x (C ){}60|<<x x(D ){}30|<<x x5.直线0323=-+y x 截圆 422=+y x 得的劣弧所对的圆心角为( ).(A )6π (B )4π(C )3π (D )2π6.若),lg (lg 21,lg lg ,1b a Q b a p b a +==>>),2lg(ba R +=则( )(A )Q P R << (B )R Q P << (C )R P Q << (D )Q R P <<7.已知两条直线1L ∶y =x ,2L ∶ax -y =0,其中a 为实数,当这条直线的夹角在)12π,0(内变动时,a 的取值X 围是( ).(A )(0,1) (B ))3,33((C ))3,1()1,33((D ))3,1(8.直线231+-=x y 的倾斜角是( ). (A ))31arctan(-(B )31arctan(C ))31arctan(π-+(D ))31arctan(--π9.两圆0222=-+x y x 与0422=++y y x 的位置关系是( ). (A )相离 (B )外切 (C )相交 (D )内切10.11lg 9lg ⋅与1的大小关系是( ). (A )111lg 9lg >⋅ (B )111lg 9lg =⋅ (C )111lg 9lg <⋅ (D )不能确定11.已知椭圆的长轴、短轴、焦距长度之和为8,则长半轴的最小值是( ). (A )4 (B )24 (C ))12(4- (D ))12(2-12.过抛物线)0(2>=a ax y 的焦点F 作一直线交抛物线于P 、Q 两点,若线段PF 与FQ 的长分别是p 、q ,则qp 11+等于( ). (A )2a (B )a 21 (C )4a (D )a4二、填空题13.不等式5|2||1|<+++x x 的解集是.14.若正数a 、b 满足ab =a +b +3,则ab 的取值X 围是.15.设双曲线)0(12222b a by a x <<=-的半焦距为c ,直线过(a ,0)、(0,b )两点,已知原点到直线L 的距离为c 43,则双曲线的离心率为. 16.过点P (2,1)的直线L 交x 轴、y 轴的正向于A 、B 则||||PB PA ⋅最小的直线L 的方程是. 三、解答题17.解不等式1|43|2+>--x x x .18.自点(-3,3)发出的光线L 射到x 轴上,被x 轴反射,其反射线所在直线与圆074422=+--+y x y x 相切,求光线L 所在直线方程.19.已知)R ,10(log )(+∈≠>=x a a x x f a 且.若1x 、+∈R 2x 试比较)]()([2121x f x f +与)2(21xx f +的大小,并加以证明.20.抛物线的顶点在原点,焦点在x 轴,而且被直线2x -y +1=0所截弦长为15,求抛物线的方程.21.在平面直角坐标系中,在y 轴的正半轴上给定A 、B 两点,在x 轴正半轴上求一点C ,使∠ACB 取得最大值.22.在面积为1的PMN ∆,,21tan =M ,2tan -=N 求出以M 、N 为焦点且过点P 的椭圆的方程.参考答案一、选择题ABBCC BCCCC CC 二、填空题13.{};14|<<-x x 14.[9,+∞];15.2;16.x +y -3=0. 三、解答题17.原不等式等价于(Ⅰ)⎪⎩⎪⎨⎧+>--≥--.143,04322x x x x x或(Ⅱ)⎪⎩⎪⎨⎧+>---<--.1)43(,04322x x x x x⎩⎨⎧<<-<<-⎩⎨⎧-<>≤≥⇒.31,41,15,14x x x x x x 或或或 .13135-≠<<-<>⇒x x x x 且或或∴ 原不等式的解集为}{1.3135|-≠<<-<>x x x x x 且或或.18.已知圆的标准方程是,1)2()2(22=-+-y x 它关于x 轴的对称圆的方程是.1)2()2(22=++-y x设光线L 所在直线方程是).3(3+=-x k y由题设知对称圆的圆心C ′(2,-2)到这条直线的距离等于1,即11|55|2=++=kk d .整理得,01225122=++k k 解得3443-=-=k k 或. 故所求的直线方程是)3(433+-=-x y ,或)3(343+-=-x y , 即3x +4y -3=0,或4x +3y +3=0.19.2121log log )()(x x x f x f a a +=+2log )2(),(log 12121xx x x f x x a a +=+=. ∵1x 、+∈R x 2, ∴22121)2(x x x x +≤.当且仅当1x =2x 时,取“=”号. 当1>a 时,有)2(log )(log 2121x x x x a a +≤. ∴≤)(log 2121x x a )2(log 21x x a +≤.)2(log ]log [log 212121x x x x a a a +≤+. 即)2()]()([212121x x f x f x f +≤+. 当10<<a 时,有a a x x log )(log 21≥⋅221)2(x x +. 即).2()]()([212121x x f x f x f +≥+ 20.设抛物线的方程为ax y =2,则⎩⎨⎧+==.12,2x y ax y 把②代入①化简得01)4(42=+-+x a x ③设弦AB 的端点),(11y x A 、),(22y x B ,则1x 、2x 是方程③的两实根,由韦达定理,得41,442121=-=+x x a x x . ∵2=k ,由公式2212)(1x x k d -⋅-=∴212214)(515x x x x -+⋅==414)44(52⨯--⋅a . 化简整理,得048-8-2=a a ,解得1a =12,2a =-4.故抛物线的方程为2y =12x ,或2y =-4x .21.设βα=∠=∠BCO ACB ,,再设),0(a A 、B (0,b )、C (x ,0).则,)tan(xa=+βα ①②xb =βtan . ])tan[(tan ββαα-+=21tan )tan(1tan )tan(x abx b x a +-=⋅++-+=ββαββα ab ba xab x b a x ab x b a 22-=⋅-≤+-=. 当且仅当,x abx =∵ ,∴,时ab x =αtan 有最大值,最大值为abb a 2-, ∴x y tan =在)2π,0(内为增函数.∴ 角α的最大值为abb a 2arctan-.此时C 点的做标为).0,(ab图1 图222.以M 、N 所在直线为x 轴,以线段MN 的垂直平分线为y 轴建立直角坐标系.设所求椭圆方程为,12222=+by a x 分别记M 、N 、P 的坐标为M (-c ,0)、N (c ,0)、P(0x ,0y ).∵)πtan(tan PNM ∠-=α21tan ,2)2(tan ==--=∠-=M PNM . 则得c x c y c x c y +=--=-0000)(2)(2和.由此 解得c y c x 34,3500==. 又由,2||c MN =求得△MNP 在MN 上的高为c 34,从而由1=∆MNP S 可得23=c ,于是)0,23(-M 、)0,23(N 、)332,635(P ,易得315||,3152||==PN PM . 由椭圆的定义,得,2||||a PN PM =+∴215|)||(|21=+=PN PM a ∴4152=a , 易得32=b .故所求椭圆的方程为315422y x +1=.。
挑战思维极限突破数学困境高二数学下册综合算式专项练习题解析与优化数学作为一门理科学科,对于很多学生来说常常是一个令人头疼的难题。
特别是在高二数学下册的学习中,综合算式的解析和优化可能会给很多学生带来困惑。
在本文中,我们将针对综合算式专项练习题进行深入解析和优化,帮助大家突破数学困境,挑战思维极限。
一、整式的乘法展开在高二数学下册中,整式的乘法展开是一个常见的考点。
这类题目的解答方式大多数是按照乘法公式进行展开。
我们以一个示例题为例进行解析和优化。
示例题:将(x+y)³展开。
解析:根据乘法公式,我们有(x+y)³ = (x+y)·(x+y)·(x+y) =(x²+2xy+y²)·(x+y)。
然后,我们可以使用分配律进行展开,得到:x²·(x+y)+2xy·(x+y)+y²·(x+y)。
继续化简,我们得到:x³+xy²+2x²y+2xy²+y³。
优化:在优化这类题目时,我们可以选择使用二项式定理来展开。
根据二项式定理,我们有(x+y)³ = C³₀・x³+y³ + C³₁・x²・y¹ + C³₂・x¹・y² + C³₃・x⁰・y³。
其中,C³₀、C³₁、C³₂、C³₃分别表示组合数。
化简一下,我们可以得到:x³+3x²y+3xy²+y³。
通过使用二项式定理,我们可以更快速地展开整式,减少繁琐的计算过程。
二、函数图像与性质高二数学下册中,函数图像与性质是一个重要的内容。
理解函数图像与性质不仅可以帮助我们掌握函数的基本概念,还可以为解题提供更多的思路和方法。
数学练习题及答案高二第一节:选择题1. 若函数 f(x) = ax^2 + bx + c 的图象开口向上,且在点 P(-1, 3) 有极值,那么 a, b, c 的关系是()(A) a ≠ 0, b = 0, c ≠ 0;(B) a ≠ 0, b ≠ 0, c ≠ 0;(C) a ≠ 0, b ≠ 0, c = 0;(D) a ≠ 0, b = 0, c = 0;答案:(A)解析:由题可知,函数图象开口向上,所以a ≠ 0。
又因为在点 P(-1, 3) 有极值,极值对应的 x 坐标为 -1,代入函数可得 f(-1) = -a + b - c。
由于函数开口向上,所以该极值为极小值,即 f(-1) = -a + b - c > 0。
再结合a ≠ 0,可以得出 b = 0,因为如果b ≠ 0,则在 x = -1 附近 f(-1)不可能为正值。
所以,a ≠ 0,b = 0,c ≠ 0。
2. 已知函数 y = 2x^2 + 3x - 2 的图象与 x 轴交于点 A、B两个地方,那么点 A、B 的纵坐标分别是()(A) 0,-3;(B) -2,0;(C) 0,-2;(D) -3,0;答案:(C)解析:当函数与 x 轴交于点 A、B 时,函数值 y = 2x^2 + 3x - 2 = 0。
可以通过因式分解或二次方程求根公式来解。
将方程 2x^2 + 3x - 2 = 0 因式分解为 (2x + 1)(x - 2) = 0,得到两个解:x = -1/2,x = 2。
所以,点 A 的纵坐标为 y(A) = 2(-1/2)^2 + 3(-1/2) - 2 = -2,点 B 的纵坐标为 y(B) = 2(2)^2 + 3(2) - 2 = -2。
因此,点 A、B 的纵坐标分别是 0、-2。
第二节:填空题1. 给定矩阵 A = [1 2 3; -1 0 1],则 A 的转置矩阵为 ______。
答案:[1 -1; 2 0; 3 1]解析:矩阵的转置就是将原矩阵的行变为列,列变为行。
江苏省南京市中华中学2023-2024学年高二上学期12月综合练习数学试题一、单选题1.在等比数列{}n a 中,371,9a a ==,则5a =( ) A .-3B .3C .3或-3D .13或13-2.双曲线C 与椭圆22194x y +=有相同的焦点,一条渐近线的方程为20x y -=,则双曲线C的标准方程为( ) A .2214x y -=B .221936y x -=C .221936x y -=D .2214y x -=3.两圆222690x y x y +--+=和22126190x y x y +++-=的位置关系是( ) A .外离B .外切C .相交D .内切4.已知()()2,3,3,2A B ---,直线l 过()1,1P 且与线段AB 相交,则直线l 的斜率k 的取值范围是( ) A .34k ≥或4k ≤- B .344k -≤≤C .344k -≤≤D .以上都不对5.已知等差数列{}n a 的前n 项和为n S ,60a <,490a a +>,则使得不等式0n S <成立的最大的n 的值为( ) A .9B .10C .11D .126.点(2,1)P --到直线:(13)(1)240(R)l x y λλλλ+++--=∈的距离最大时,其最大值以及此时的直线方程分别为( )A 3250x y +-=B 3250x y +-=C 2310x y -+=D 2310x y -+=7.如图,已知1F ,2F 是双曲线C :22221x y a b -=的左、右焦点,P ,Q 为双曲线C 上两点,满足12//F P F Q ,且22125F Q F P F P ==,则双曲线C 的离心率为( )A B C 2D 8.已知M e :222220x y x y +---=,直线l :220x y ++=,P 为l 上的动点,过点P 作M e 的切线,PA PB ,切点为A 、B ,当AB 弦长最小时,则直线AB 的方程为( ) A .210x y --= B .210x y +-=C .210x y ++=D .210x y -+=二、多选题9.到直线210x y ++= ) A .210x y +-= B .220x y +-= C .20x y +=D .220x y ++=10.已知数列{}n a 的前n 项和24n S n n =-,则( )A .{}n a 不是等差数列B .25n a n =-C .数列 n S n ⎧⎫⎨⎬⎩⎭是等差数列D .121067a a a +++=L11.已知抛物线28y x =的焦点为F ,过点F 的直线l 交抛物线于M ,N 两点,则下列结论正确的是( )A .抛物线的焦点坐标是()2,0-B .焦点到准线的距离是4C .若点P 的坐标为()4,3,则MP MF +的最小值为5D .若Q 为线段MN 中点,则Q 的坐标可以是()6,412.已知数列{}n a :1121241241,,,,,,,,,,,,,8248,16,L ,其中第一项是02,接下来的两项是02,12,再接下来的三项是02,12,22,以此类推.记数列{}n a 的前n 项和为n S ,则( )A .20120S =B .5016a =C .若1000n S >,则n 的最小值为45D .若200n >且存在m *∈N ,使得21m n S =+,则m n +的最小值为440三、填空题13.已知等比数列{}n a 的前n 项和满足n S ,满足30m S =,290m S =,则3m S =. 14.已知等差数列{}n a ,{}n b 的前n 项和分别为n S ,n T ,若325n n S nT n =+,则88a b =. 15.已知直线l 经过点()1,4,且点()()2,2,4,2A B --到直线l 的距离相等,则直线l 的方程为. 16.已知直线1l :10tx y t +++=与直线2l :10x ty t -+-=相交于点P ,动点A ,B 在圆C :22142470x y x y +-++=上,且2AB =,则PA PB +u u u r u u u r的取值范围是.四、解答题17.已知ABC V 的三个顶点为()()()4,0,0,2,2,6A B C . (1)求AC 边上的高BD 所在直线的方程; (2)求BC 边上的中线AE 所在直线的方程.18.已知数列{}n a 是等差数列,且225a =-,35250a a +=-. (1)求{}n a 的通项公式;(2)若数列{}n a 的前n 项和为n S ,求n S 及其最小值.19.已知抛物线()2:20C y px p =>上横坐标为4的点到其焦点的距离是6.(1)求C 的方程;(2)设直线()0x my a a =+>交C 于A ,B 两点,若OA OB ⊥(O 为坐标原点),求a 的值. 20.已知圆C 的圆心在直线220x y --=上,且圆C 过点(3,1),(6,4). (1)求圆C 的标准方程;(2)过点(1,1)P 的直线l 与圆C 相交于A ,B两点,当AB =l 的方程.21.设{}n a 的前n 项和为()*N n S n ∈,且22n n S a =-,数列{}n b 的通项公式为n b n =.(1)求{}n a 的通项公式;(2)设n n n d a b =+,数列{}n d 的前n 项和为()*N n T n ∈,求满足121n n T +>+成立的n 的最小值;(3)对任意的正整数n ,设()2,32,n n n n n n n a b n c b a n b b+⎧⎪=-⎨⎪⎩为奇数为偶数,求数列{}n c 的前2n 项和.22.椭圆C 与双曲线22221x y -=有相同的焦点,且过31,2⎛⎫ ⎪⎝⎭.(1)求椭圆C 的方程;(2)如图所示,记椭圆的左、右顶点分别为A ,B ,当动点M 在定直线4x =上运动时,直线AM ,BM 分别交椭圆于两点P ,Q .(i )证明:点B 在以PQ 为直径的圆内; (ii )求四边形APBQ 面积的最大值.。
直线的一般式方程要点一、直线方程的一般式关于x和y的一次方程都表示一条直线.我们把方程写为Ax+By+C=0,这个方程(其中A、B不全为零)叫做直线方程的一般式.注意:1.A、B不全为零才能表示一条直线,若A、B全为零则不能表示一条直线.当B≠0时,方程③可变形为A Cy xB B=--,它表示过点0,CB⎛⎫-⎪⎝⎭,斜率为AB-的直线.当B=0,A≠0时,方程③可变形为Ax+C=0,即CxA=-,它表示一条与x轴垂直的直线.由上可知,关于x、y的二元一次方程,它都表示一条直线.2.在平面直角坐标系中,一个关于x、y的二元一次方程对应着唯一的一条直线,反过来,一条直线可以对应着无数个关于x、y的一次方程(如斜率为2,在y轴上的截距为1的直线,其方程可以是2x―y+1=0,也可以是1122x y-+=,还可以是4x―2y+2=0等.)要点二、直线方程的不同形式间的关系注意:在直线方程的各种形式中,点斜式与斜截式是两种常用的直线方程形式,要注意在这两种形式中都要求直线存在斜率,两点式是点斜式的特例,其限制条件更多(x1≠x2,y1≠y2),应用时若采用(y2―y1)(x―x1)―(x2―x1)(y―y1)=0的形式,即可消除局限性.截距式是两点式的特例,在使用截距式时,首先要判断是否满足“直线在两坐标轴上的截距存在且不为零”这一条件.直线方程的一般式包含了平面上的所有直线形式.一般式常化为斜截式与截距式.若一般式化为点斜式,两点式,由于取点不同,得到的方程也不同.要点三、直线方程的综合应用1.已知所求曲线是直线时,用待定系数法求.2.根据题目所给条件,选择适当的直线方程的形式,求出直线方程.对于两直线的平行与垂直,直线方程的形式不同,考虑的方向也不同.(1)从斜截式考虑已知直线111:b x k y l +=,222:b x k y l +=,12121212//()l l k k b b αα⇒=⇒=≠;12121211221tan cot 12l l k k k k παααα⊥⇒-=⇒=-⇒=-⇒=- 于是与直线y kx b =+平行的直线可以设为1y kx b =+;垂直的直线可以设为21y x b k=-+. (2)从一般式考虑:11112222:0,:0l A x B y C l A x B y C ++=++=1212120l l A A B B ⊥⇔+=121221//0l l A B A B ⇔-=且12210A C A C -≠或12210B C B C -≠,记忆式(111222A B C A B C =≠) 1l 与2l 重合,12210A B A B -=,12210A C A C -=,12210B C B C -=于是与直线0Ax By C ++=平行的直线可以设为0Ax By D ++=;垂直的直线可以设为0Bx Ay D -+=.类型一:直线的一般式方程例1.根据下列条件分别写出直线的方程,并化为一般式方程.(1)斜率是12-,经过点A (8,―2); (2)经过点B (4,2),平行于x 轴; (3)在x 轴和y 轴上的截距分别是32,―3; (4)经过两点P 1(3,―2),P 2(5,―4).【变式1】已知直线l 经过点(3,1)B -,且倾斜角是30︒,求直线的点斜式方程和一般式方程.例2.ABC ∆的一个顶点为(1,4)A --,B ∠、C ∠ 的平分线在直线10y +=和10x y ++=上,求直线BC 的方程.例3.求与直线3x+4y+1=0平行且过点(1,2)的直线l 的方程.【变式1】已知直线1l :3mx+8y+3m-10=0 和 2l :x+6my-4=0 .问 m 为何值时:(1)1l 与2l 平行(2)1l 与2l 垂直.【变式2】 求经过点A (2,1),且与直线2x+y ―10=0垂直的直线l 的方程.例4.已知直线l 的倾斜角的正弦值为35,且它与坐标轴围成的三角形的面积为6,求直线l 的方程.【总结升华】(1)本例中,由于已知直线的倾斜角(与斜率有关)及直线与坐标轴围成的三角形的面积(与截距有关),因而可选择斜截式直线方程,也可选用截距式直线方程,故有“题目决定解法”之说.(2)在求直线方程时,要恰当地选择方程的形式,每种形式都具有特定的结论,所以根据已知条件恰当地选择方程的类型往往有助于问题的解决.例如:已知一点的坐标,求过这点的直线方程,通常选用点斜式,再由其他条件确定该直线在y 轴上的截距;已知截距或两点,选择截距式或两点式.在求直线方程的过程中,确定的类型后,一般采用待定系数法求解,但要注意对特殊情况的讨论,以免遗漏.【变式1】如下图,射线OA 、OB 分别与x 轴正半轴成45°、30°.过点P (1,0)作直线AB 分别交OA 、OB 于点A 、B .当AB 的中点C 恰好落在直线12y x =上时,求直线AB 的方程.例5.过点P(2,1)作直线l 与x 轴、y 轴正半轴交于A 、B 两点,求△AOB 面积的最小值及此时直线l 的方程【变式1】已知a ∈(0,2),直线l 1:ax ―2y ―2a+4=0和直线l 2:2x+a 2y ―2a 2―y ―2=0与坐标轴围成一个四边形,要使此四边形面积最小,求a 的值.类型三:直线方程的实际应用例6.一条光线从点(3,2)A 出发,经x 轴反射,通过点(1,6)B -,求入射光线和反射光线所在直线的方程.【思路点拨】利用对称的知识来求解。
最难高二数学练习题高中数学对于很多学生来说是一个挑战。
尤其是在高二的时候,学习内容逐渐深入,难度也相应增加。
而在这里,我将为大家介绍一道被认为是最难的高二数学练习题。
这道题目是一个由多个知识点组合而成的综合题,要求学生在运用多个数学概念的基础上进行解答。
下面我们一起来看看这道题目的内容和解题思路。
题目如下:已知函数f(x) = (x-1) ^ 2 + 1,g(x) = e ^ (ax + b) 的图像经过坐标点(2, 5) 和 (3, 10)。
求函数g(x) 的解析式。
解析:首先,我们要解决的是函数g(x) 的解析式。
根据题目给出的信息,我们可以得到以下两个方程:(1)当x = 2 时,g(2) = 5(2)当x = 3 时,g(3) = 10将这两个点带入函数g(x) 的表达式中,得到以下两个等式:(3)5 = e ^ (2a + b)(4)10 = e ^ (3a + b)现在我们有了两个方程,我们需要解这个方程组以求得a 和b 的值。
我们可以利用方程(3)和(4)进行消元。
首先将方程(3)乘以2得到6a + 2b = ln 5,然后将方程(4)减去方程(3)得到 e ^ (3a + b) - e ^ (2a + b) = 5。
我们可以观察到e ^ (2a + b) 作为一个整体,用u 来代替,那么上面的方程可以写为 e ^ u - u = 5。
这是一个非线性方程,其解并不容易得出。
我们需要借助数值计算方法来求解。
我们可以使用牛顿迭代法进行计算,不断迭代,直到找到满足方程的u 值为止。
在进行迭代计算后,我们得到了u 的值,然后可以带回方程(3)或(4)中求得a 和b 的值。
综上所述,我们可以利用牛顿迭代法来求解函数g(x) 的解析式。
高二数学题集合练习题1. 解方程组:方程组1:2x + 3y = 74x + 5y = 11方程组2:3x - 5y = 47x + 2y = 1方程组3:x + 2y - z = 33x - y + z = -54x + y + z = 12. 求以下函数的导数:函数1:f(x) = 3x^2 + 4x - 2函数2:g(x) = sin(x) + cos(x)函数3:h(x) = e^(2x) + ln(x)3. 已知函数f(x) = ax^2 + bx + c,其中 a、b、c 均为常数,求函数的极值点和极值。
4. 计算以下不定积分:∫(3x^2 - 2x + 5)dx∫(cos(x) + e^x)dx∫(3sec^2(x) - 2csc(x))dx5. 求以下函数的定积分:∫[0, 2π] sin(x)dx∫[1, 4] (3x^2 - 2x + 5)dx∫[0, π/2] e^x(cos(x) + sin(x))dx6. 已知三角形ABC的边长分别为a、b、c,求其面积S和三个内角A、B、C的余弦值cosA、cosB、cosC之间的关系。
7. 已知二次函数f(x) = ax^2 + bx + c的图像经过一点P(-2, 5),并且开口朝上,求函数的表达式。
8. 求以下等差数列的和:1 + 3 + 5 + 7 + ... + 99-2 + 2/3 - 2/9 + 2/27 - ... + 2/2439. 求以下等比数列的和:3 + 1 + 1/3 + 1/9 + ... + (1/3)^n (n为自然数)4 - 12 + 36 - 108 + ... + (-3)^n (n为自然数)10. 解三角函数方程:sin(x) = 1/2cos(2x) = 1/2tan(x) + cot(x) = 2注意:以上题目仅为示例,实际文章中应根据需要设置合适的字数及格式,以满足要求。
高二数学(理)综合训练(二)一.填空题(每小题5分)1、计算:2(12)1i i+=-______2、已知如下结论:“等边三角形内任意一点到各边的距离之和等于此三角形的高”,将此结论拓展到空间中的正四面体(棱长都相等的三棱锥),可得出的正确结论是:3、若1()n x x+展开式的二项式系数之和为64,则展开式的常数项为4、★若随机变量X 的分布表如图, 若E (X )=2.5,则a=_______ b= .5、从1,2,……,9这九个数中,随机抽取3个不同的数,则这3个数的和为偶数的概率是6、设2921101211121222()()()()()x x a a x a x a x ++=+++++++ ,则01211++++ a a a a 的值为7、已知实数x,y 满足条件⎪⎩⎪⎨⎧≤≥+≥+-3005x y x y x ,i yi x z (+=为虚数单位),则|21|i z +-的最大值和最小值分别是 .8、电子钟一天显示的时间是从00:00到23:59,每一时刻都由四个数字组成,则一天中任一时刻显示的四个数字之和为23的概率为9、四名优等生保送到三所学校去,每所学校至少得一名,则不同的保送方案的总数是_________10、若()f n 为21n +*()n N ∈的各位数字之和,如2141197+=,19717++=,则(14)17f =;记1()()f n f n =,21()(())f n f f n =,…,1()(())k k f n f f n +=,*k N ∈,则2008(8)f = ;二.解答题(每题15分)15、已知n k x x x f )()(1+=,且正整数n 满足53n n C C =,},2,1,0{n A = (1)求n ;(2)若A j i ∈、,是否存在j ,当j i ≥时,j n i n C C ≤恒成立。
若存在,求出最小的j ;若不存在,试说明理由。
高二数学练习题及答案解析[注意:本文只提供题目及答案解析,不提供排版格式,文章体裁为说明文]一、选择题1.设函数f(x)=2x^3-3x^2-2x+1,下列命题正确的是()A.函数f(x)为奇函数B.函数f(x)为偶函数C.函数f(x)的奇次项系数之和为0D.函数f(x)的偶次项系数之和为0答案与解析:B. 函数f(x)为偶函数对于任意实数x,有f(-x)=2(-x)^3-3(-x)^2-2(-x)+1=2x^3-3x^2+2x+1=f(x)。
因此,f(x)满足f(-x)=f(x),即为偶函数。
2.已知等差数列{an}的前n项和Sn=n^2+3n,则其第一项a1等于()A. 3B. 4C. 5D. 6答案与解析:B. 4设等差数列的公差为d,根据前n项和公式Sn=n(a1+an)/2,代入已知条件可以得到n(2a1+(n-1)d)/2=n^2+3n。
化简可得2a1+(n-1)d=2n+6,由此可知,对于任意n,2a1+(n-1)d都是一个等差数列的前n项和。
观察等式两边的系数,可以发现2n+6的系数是2,即2a1+(n-1)d的系数也是2。
因此,等差数列的公差d=2。
代入已知条件Sn=n^2+3n,可以得到n^2+3n=n(a1+an)/2=na1+n(n-1)d/2=n[a1+(n-1)d]/2。
化简可得n^2+3n=4n^2-2n,整理得到3n=3n^2-2n,解得n=2。
此时Sn=2^2+3*2=10。
又因为Sn=na1+n(n-1)d/2=2a1+2(a1+d)=4a1+2d。
代入Sn=10和d=2,解得a1=4。
二、填空题1.已知函数f(x)=x^3+ax^2+bx+c,若f(1)=12,f(2)=9,f(3)=6,则a+b+c=()。
答案与解析:-6代入f(1)=12,可以得到1^3+a+b+c=12,化简得到a+b+c=12-1=11。
代入f(2)=9,可以得到2^3+2^2a+2b+c=9,化简得到8+4a+2b+c=9。
高二数学练习题目1. 练习题目:1. 求下列方程的解:a) 2x + 5 = 9b) 3(x - 4) = 6c) 2(x + 3) - 5x = 4 - (x + 1)d) 3(2x - 1) = 2(3x + 4) - 52. 解下列不等式,并用数轴表示解集:a) x - 2 > 3b) 2x + 5 < 13c) 4 - 3x > x + 6d) 2(x - 3) ≥ 53. 计算下列简单的函数值:a) f(x) = 2x + 3, 求 f(5)b) g(x) = 3x^2 - 2x + 1, 求 g(-1)c) h(x) = (x + 2)^2 - 4, 求 h(0)d) k(x) = 5/x, 求 k(2)4. 解下列方程组:a) { 2x + y = 7,x - y = 3 }b) { 3x + 2y = 4,4x - 3y = 10 }c) { 2x - 3y = 1,4x + 2y = 8 }d) { 6x - 4y + 3z = 7,9x + 2y - z = 2,-3x + 3y + 2z = 5 }5. 已知函数 f(x) = 2x^3 + x^2 - 3x + 5,请回答以下问题:a) 求 f(2)b) 求 f(-1)c) 解方程 f(x) = 0d) 求 f(x) 的最小值2. 解答1. 求下列方程的解:a) 2x + 5 = 9解:将方程两边同时减去5,得到2x = 4,再除以2,最后得到x = 2。
解:先将括号内的表达式进行运算,得到3x - 12 = 6,然后将方程两边同时加上12,得到3x = 18,再除以3,最后得到x = 6。
c) 2(x + 3) - 5x = 4 - (x + 1)解:先将方程两边的括号内的表达式进行运算,得到2x + 6 - 5x = 4 - x - 1,然后将同类项合并,得到-x + 6 - 5x = 3 - x,继续合并同类项,得到-6x + 6 = 3 - x,再将方程两边同时减去6,得到-6x = -3 - x,最后将方程两边同时加上x,得到-5x = -3,再除以-5,最终得到x = 0.6。
高二数学练习题及答案在高二数学的学习过程中,练习题是巩固知识点和提高解题能力的重要手段。
以下是一些高二数学的练习题及答案,供同学们练习使用。
练习题1:函数与方程已知函数\( f(x) = 3x^2 - 5x + 2 \),求:1. 函数的顶点坐标;2. 函数的值域。
答案1:1. 函数\( f(x) = 3x^2 - 5x + 2 \)的顶点坐标可以通过顶点公式\( x = -\frac{b}{2a} \)求得,其中\( a = 3 \),\( b = -5 \)。
代入得\( x = \frac{5}{6} \)。
将\( x \)值代入原函数求得\( y \)值,\( y = 3\left(\frac{5}{6}\right)^2 -5\left(\frac{5}{6}\right) + 2 = -\frac{1}{12} \)。
所以顶点坐标为\( \left(\frac{5}{6}, -\frac{1}{12}\right) \)。
2. 由于\( a = 3 > 0 \),函数开口向上,最小值即为顶点的\( y \)坐标,即值域为\[ [-\frac{1}{12}, +\infty) \]。
练习题2:三角函数已知\( \sin\theta + \cos\theta = \frac{1}{5} \),求\( \sin\theta \cdot \cos\theta \)的值。
答案2:将已知等式两边平方,得到\( (\sin\theta + \cos\theta)^2 =\left(\frac{1}{5}\right)^2 \),即\( \sin^2\theta +2\sin\theta\cos\theta + \cos^2\theta = \frac{1}{25} \)。
由于\( \sin^2\theta + \cos^2\theta = 1 \),可得\( 2\sin\theta\cos\theta = \frac{1}{25} - 1 = -\frac{24}{25} \)。
高二数学练习题大题带答案一、选择题1. 已知函数f(x)=3x^2+2x-1,则f(-2)的值为A. -17B. -11C. 1D. 7答案:B. -112. 若三角形ABC中,∠B=60°,且AB=AC,则下列结论中错误的是A. ∠A=60°B. ∠C=60°C. AB=BCD. ∠BAC=180°答案:D. ∠BAC=180°3. 已知等差数列的首项为-2,公差为4,则该数列的前n项和为Sn=2n^2+7n,则n的值为A. 0B. 1/2C. 2D. 4答案:C. 2二、填空题1. 二次函数y=ax^2+bx+c(a≠0),若图象与x轴交于点(3,0),且顶点坐标为(2,3),则a的值为______,b的值为______。
答案:a=1,b=-62. 若a、b、c为互不相等的实数,且满足等式a^2+b^2+c^2=1,则a+b+c=______。
答案:0三、解答题1. 解下列方程组:x+y=4x-y=2解答:将两个方程相加得:2x=6,解得x=3将x=3代入第一个方程得:3+y=4,解得y=1所以方程组的解为x=3,y=1。
2. 某工程队需要10天完成一项工程,现在工程队决定增加人手,如果增加4人则可提前2天完成工程。
求原来工程队的人数。
解答:设原来工程队的人数为x人。
根据题意可得以下方程:10x = 8(x + 4)解方程可得:10x = 8x + 32化简后得:2x = 32解得x = 16所以原来工程队的人数为16人。
四、简答题1. 什么是函数?答:函数是一个集合的输入和输出之间的对应关系。
对于函数而言,每个输入都有唯一的输出。
2. 什么是等差数列?请给出一个等差数列的例子。
答:等差数列是指一个数列中,从第二个数起,每个数与前一个数的差等于同一个常数。
例如:1, 4, 7, 10, 13就是一个等差数列,其中公差为3。
五、证明题证明:两个互余的角相加等于90°。
高二数学函数综合练习题1. 函数f(x)满足条件f(1)=3 且f'(x)=(x-1)e^x。
求f(2)的值。
解析:根据题意,f(1)=3,代入函数的导数f'(x)=(x-1)e^x中,可得:f'(1)=(1-1)e^1=0函数的导数f'(x)=(x-1)e^x为连续函数,且f'(1)=0,因此函数在x=1处有一个驻点。
由于f(1)=3,因此此驻点为极小值点。
根据导函数和原函数的关系,可得f(x)=(x-1)e^x在x=1处有一个极小值点,即f(x)在x=1处取得最小值。
但是本题并不需要求解此最小值。
要求f(2)的值,根据题意可知函数f(x)=(x-1)e^x的导函数是f'(x)=(x-1)e^x。
因此可以利用积分的反函数求解。
将f'(x)关于x的不定积分记为F(x),即F'(x)=(x-1)e^x,求解得到F(x)=xe^x+C。
根据初值条件f(1)=3,代入F(x)=xe^x+C,得到C=-2。
因此,F(x)=xe^x-2。
要求f(2)的值,即求解F(x)在[1,2]区间上的定积分。
计算如下:∫(1,2)F(x)dx=[F(x)](1,2)=(2e^2-2e)-(e^2-2)=(e^2-2e+2)-(e^2-2)=2-2e因此,f(2)=2-2e。
经过计算,得到f(2)的值为2-2e。
所以,f(2)的值为2-2e。
2. 学校从今年开始每年的招生人数都将比上一年增加20%。
假设今年招生人数为a人,请写出后三年的招生人数的函数表达式。
解析:设今年招生人数为a人,则下一年招生人数为a+0.2a=1.2a人,再下一年招生人数为(1.2a)+0.2(1.2a)=1.2a+0.24a=1.44a人,再下一年招生人数为(1.44a)+0.2(1.44a)=1.44a+0.288a=1.728a人。
因此,后三年的招生人数的函数表达式为:f(n) = a(1+0.2)^n其中,f(n)表示第n年的招生人数,n为整数,n≥0。
高二数学选择性必修一第一章综合练习-、单项选择题:1.在空间直角坐标系中,点()1,2,3P 关于xOy 平面对称的点的坐标是( ) A .()1,2,3-B .()1,2,3-C .()1,2,3-D .()1,2,3--2.已知直线l 的方向向量是()3m =--,平面α的法向量是13,3n ⎛⎫=--- ⎪⎝⎭,则直线l 与平面α的位置关系是( ) A .l α⊥ B .l α C .l 与α相交但不垂直 D .l α或l α⊂3.在棱长为1的正方体1111ABCD A B C D -中,设AB a =,AD b =,1AA c =,则向量a b +与向量b c -的夹角的大小为( ) A .4πB .3πC .2πD .23π4.如图,在正方体1111ABCD A B C D -中,与平面11A BC 垂直的向量是( )A .1ABB .BCC .1ACD .1B D5.如图,在正四棱锥P ABCD -中,2PA =,AB E 为BC 的中点,则异面直线BD与PE 所成角的余弦值为( )A B C D6.如图,在三棱锥P ABC -中,PC ⊥底面ABC ,90BAC ∠=︒,2AB AC ==,tan PBC ∠则点C 到平面PAB 的距离是( )A BCD .45二、多项选择题。
7.已知向量()1,2,1a =--,()2,4,2b =-,则下列结论中正确的是( ) A .()1,2,1a b +=-B .abC .10a b ⋅=-D .26a=8.如图,在正方体1111ABCD A B C D -中,14AA =,点M ,N 分别在棱AB 和1BB 上运动(不含端点),若1D M MN ⊥,则下列命题正确的是( )A .1 MN A M ⊥B .MN ⊥平面1D MCC .线段BN 长度的最大值为1D .三棱锥111C A D M -体积不变三、填空题:本题共2小题。
9.已知()1,1,0a =,()1,1,0b =-,()0,0,3c =-分别是平面α,β,γ的法向量,则α,β,γ 三个平面中互相垂直的有________对.10.如图,在三棱锥A BCD -中,AD ⊥平面BCD ,2AD CD ==,BD =,135BDC ∠=︒,则平面ABD 与平面ABC 夹角的余弦值为________.四、解答题:本题共2小题。
高二数学练习题1. 设2log (21)log 2 1x x x x +->-,则x 的取值范围为A.112x << B.1, 12x x >≠且 C.1x > D.01x << 2. 若集合{}012M =,,,{}()210210N x y x y x y x y M =-+--∈,≥且≤,,,则N中元素的个数为 A.9 B.6C.4D.23. 已知xy <0,则代数式xyy x 22+A.有最小值2B.有最大值-2C.有最小值-2D.不存在最值 4. 已知a 、b 、c 满足c b a <<,且ac <0,那么下列选项中不一定成立的是 A.ab ac > B.c b a ()-<0 C.cb ab 22< D.0)(<-c a ac 5. 设m 、n 是不同的直线,α、β、γ是不同的平面,有以下四个命题: ①//////αββγαγ⎫⇒⎬⎭ ② //m m αββα⊥⎫⇒⊥⎬⎭③//m m ααββ⊥⎫⇒⊥⎬⎭ ④////m n m n αα⎫⇒⎬⊂⎭,其中为真命题的是 A.①④ B.②③ C.①③ D.②④6. 使不等式2||≤x 成立的一个必要但不充分条件是 A.3|1|≤+x B.2|1|≤-x C.1)1(log 2≤+x D.21||1≥x 7. 命题p :存在实数m ,使方程x 2+mx +1=0有实数根,则“非p ”形式的命题是 A.存在实数m ,使得方程x 2+mx +1=0无实根 B.不存在实数m ,使得方程x 2+mx +1=0有实根 C.对任意的实数m ,使得方程x 2+mx +1=0有实根 D.至多有一个实数m ,使得方程x 2+mx +1=0有实根8. “用反证法证明命题“如果x<y ,那么51x <51y ”时,假设的内容应该是 A.51x =51yB.51x <51yC.51x =51y 且51x <51yD.51x =51y 或51x >51y9. 函数1)(3++=x ax x f 有极值的充要条件是 A.0≥aB.0>aC.0≤aD.0<a10. 若曲线4y x =的一条切线l 与直线480x y +-=垂直,则l 的方程为 A.430x y --= B.450x y +-= C.430x y -+= D.430x y ++= 11. 已知i z i -=+⋅)1(那么复数z 对应的点位于复平面内的 A.第一象限 B.第二象限C.第三象限D.第四象限12. 设复数ωω++-=1,2321则i = A.ω- B.2ω C.ω1-D.21ω13. 的值为则而得到逆时针方向旋转绕原点由向量复数2z z arg ,3O OZ z ,1z 12121-π= 34D. 32C. 3B. 6.A ππππ 14. 若0a b <<,则下列不等关系中不能成立的是A.11a b> B.11a b a >- C.a b > D.22a b > 15. 已知不等式①0342<+-x x ②0862<+-x x③0922<+-m x x 要使同时满足①②的x 也满足③则m 满足. A.m>9 B.m=9 C.0<m ≤9 D.m ≤916. 关于方程x 2sinα+y 2cosα=tanα(α是常数且α≠kπ2,k ∈Z ),以下结论中不正确的是A .可以表示双曲线B .可以表示椭圆C .可以表示圆D .可以表示直线17. 抛物线x y 42-=上有一点P ,P 到椭圆1151622=+y x 的左顶点的距离的最小值为 A.32 B.2+3 C.3 D.32-18. 二次曲线1422=+my x ,当m ∈[-2,-1]时,该曲线的离心率e 的取值范围是A.[2,2]B.[2,2C.[2,2D.[2,2第Ⅱ卷(非选择题 共12道填空题12道解答题) 请将你认为正确的答案代号填在下表中 1 2 3 4 5 6 7 8 9 10 11 12 13 1415 16 17 1819. 已知实数x ,y 满足约束条件⎪⎩⎪⎨⎧≥+≥≥1 01- y x y x 则(x +2)2+ y 2最小值为____________。
20. 已知,,,a b x y ∈R ,224a b +=,6ax by +=,则22x y +的最小值为 .21. 不等式31≤-+x x 的解集是_______.22. 已知命题p :函数)2(log 25.0a x x y ++=的值域为R.命题q :函数xa y )25(--=是R 上的减函数.若p 或q 为真命题,p 且q 为假命题,则实数a 的取值范围是 23. x ≠1且x ≠2是x -11-≠x 的__________条件,而-2<m <0且0<n <1是关于x 的方程x 2+mx +n =0有两个小于1的正根的__________条件.24. “△ABC 中,若∠C=90°,则∠A.∠B 都是锐角”的否命题为: _______________,否定形式是_____________- 25. 给出下列四个命题:①命题“x x R x 31,2>+∈∃”的否定是“2,13x R x x ∀∈+>”;②在空间中,m 、n 是两条不重合的直线,α、β是两个不重合的平面,如果αβ⊥,n αβ=I ,m n ⊥,那么m β⊥;③将函数x y 2cos =的图象向右平移3π个单位,得到函数sin(2)6y x π=-的图象; ④函数()f x 的定义域为R ,且21(0)()(1)(0)x x f x f x x -⎧-≤=⎨->⎩,若方程()f x x a =+有两个不同实根,则a 的取值范围为(,1)-∞. 其中正确命题的序号是____________.26. 如图,正方体1AC 的棱长为1,过点作平面1A BD 的垂线,垂足为点H .有下列四个命题A.点H 是1A BD △的垂心B.AH 垂直平面11CB DC.二面角111C B D C --D.点H 到平面1111A B C D 的距离为34其中真命题的代号是___________.(写出所有真命题的代号) 27. 曲线在153123=+-=x x x y 在处的切线的倾斜角为 . 28. 若函数321()(1)53f x x f x x '=-++,则(1)f '=_____29.x m =+无解,则实数m 的取值范围是__________________30. 动点P 到定点F (2,0)的距离与到定直线x =8的距离比是1∶2,则此点P 的轨迹方程是______. 31. 已知函数1()ln(1),(1)nf x a x x =+--其中n ∈N*,a 为常数. (1)当n =2时,求函数f (x )的极值;(2)当a =1时,证明:对任意的正整数n ,当x ≥2时,有f (x )≤x -1.111B32. 用总长44.8m 的钢条制做一个底面是等腰三角形的直三棱柱容器的框架,如果所制做容器的底面的腰长比底边长的一半长1m ,那么底面的底边,腰及容器的高为多少时容器的容积最大?(参考数据2.662=7.0756,3.342=11.1556)33. 已知函数f (x ) =bx ax +-26的图象在点M (-1,f (-1))处的切线方程为x + 2y + 5 = 0.(1)求函数y = f (x )的解析式; (2)求函数y = f (x )的单调区间.34. 已知命题P :复数22lg(22)(32)z m m m m i =--+++对应的点落在复平面的第二象限;命题Q :以m 为首项,公比为q 的等比数列的前n 项和极限为2.若命题“P 且Q ”是假命题,“P 或Q ”是真命题,求实数m 的取值范围.35. , 0 ,0212:2有无实根试判断方程满足不等式已知实数=+<++5-p -2z z x x p 2并给出证明.36. 在复数范围内解方程iii z z z +-=++23)(2(i 为虚数单位)37. 已知a >0,b >0,c >0,abc =1,试证明:23)(1)(1)(1222≥+++++b a c c a b c b a .38. 某学校拟建一块周长为400m 的操场如图所示,操场的两头是半圆形,中间区域是矩形,学生做操一般安排在矩形区域,为了能让学生的做操区域尽可能大,试问如何设计矩形的长和宽?39. 已知集合}312|{≤≤+=x x P ,}0)1(|{2≤++-=a x a x x M ,x x y y N 2|{2-==,}P x ∈,且N N M =Y ,求实数a 的取值范围40. 某人上午7时,乘摩托艇以匀速v 海里/时(4≤v ≤20)从A 港出发到距50海里的B 港去,然后乘汽车以w 千米/时(30≤w ≤100)自B 港向距300千米的C 市驶去,应该在同一天下午4至9点到达C 市.设汽车、摩托艇所需的时间分别是x 、y 小时. (1)作图表示满足上述条件x 、y 的范围;(2)如果已知所需的经费p =100+3(5-x )+2(8-y )(元),那么v 、w 分别是多少时走得最经济?此时需花费多少元?41. 在以O 为原点的直角坐标系中,点A (4,-3)为△OAB 的直角顶点.已知|AB|=2|OA|,且点B 的纵坐标大于零. (1)求向量的坐标;(2)求圆02622=++-y y x x 关于直线OB 对称的圆的方程;(3)是否存在实数a ,使抛物线12-=ax y 上总有关于直线OB 对称的两个点?若不存在,说明理由:若存在,求a 的取值范围.42. 设,i j r r分别为直角坐标平面内x ,y 轴正方向的单位向量,若向量a =m x )(-+y ,()b x m i y j =++r r r,且 |a |+|b |=6,0<m <3,x >0,y ∈R 。
(1)求动点P (x ,y )的轨迹方程; (2)已知点A (-1,0),设直线1233y x =-与点P 的轨迹交于B ,C 两点,问是否存在实数m 使得•31=?若存在,求出m 的值;若不存在,试说明理由。
第( )单元检测题参考答案(仅供参考) 1 2 3 4 5 6 7 8 910 11 12 13 14 15 B CB C C A B DD A C C C B D 16 17 18 D A C1. 因为20,1210x x x x >≠⎧⎨+->⎩,解得 1,12x x >≠. 由2log (21)log 2 1x x x x +->- 32log (2)log 2x x x x x ⇒+-> 320122x x x x <<⎧⇒⎨+-<⎩解得 01x <<; 或 32122x x x x >⎧⎨+->⎩ 解得 1x >,所以x 的取值范围为 1, 12x x >≠且 10. 与直线480x y +-=垂直的直线l 为40x y m -+=,即4y x =在某一点的导数为4,而34y x '=,所以4y x =在(1,1)处导数为4,此点的切线为430x y --=,故选A 15. 同时满足①②的解为,32<<x 记()m x x x f +-=922,若同时满足①②的解也满足()0<x f ,则()02≤f 且(),03≤f 解得.9≤m二.简答题答案: 19. ∅20. 921. {x |0≤x ≤4} 22. 1<a<223. 充要,必要不充分。