常微分方程第四章考试卷1
- 格式:doc
- 大小:141.50 KB
- 文档页数:7
《常微分方程》考试参考答案(A卷)《常微分方程》考试参考答案(A 卷)一、填空题(每空2分,共30分)1、()dy y g dx x = ln y x c x=+ 2、()()dy f x y dx= 2x y e = 3、2222M N y x= 4、1212(,)(,)f x y f x y L y y -≤-5、存在不全为0的常数12,k c c c ,使得恒等式11()()0k k c x tc x t +=对于所有[,]t a b ∈ 都成立()0w t ≡6、412341011i i λλλλλ-===-==- 1234cos sin t t x c e c e c tc t -=+++7、322x xy y c -+=二、判断题(每题2分,共10分)1、√2、×3、×4、√5、√三、计算题(每题15分,共60分)1、解:231()dy y dx x x y +=+ 变量分离231y dx dy y x x =++ 两边积分2221(1)1211y x dx dx y x xλ+=-++ 2211ln 1ln ln 122y x x +=-+ 22ln(1)(1)2ln ||y x x ++=从而解得通解为:222(1)(1)x y cx ++=2、解:先求30dx x dt+=的通解:33dt t x ce ce --?== 利用常数变易法,令原方程解为3()t x c t e -= 解得:3223551()5dt t t t t t c t e e dt c e e dt c e dt c e c --?=+=+=+=+ ∴原方程的通解为:533211()55t t t t x e c e ce e --=+=+3、解:先求对应齐线性方程:(4)20x x x ''-+=的通解特征函数42()210F λλλ=-+= 123411λλ==-从而通解为:1234()()t t x c c t e c c t e -=+++ 现求原方程一个特解,这里:2()30f t t λ=-= 0λ=不是特征根,即原方程有形如:2x At Bt c =++的特解把它代入原方程有:2243A At Bt C t -+++=- 解得101A B C ===21x t =+ ∴原方程通解为:21234()()1t t x e c c t e c c t t -=+++++4、解:令cos sin y p t x t '==?=2cos dy pdx tdt == 原方程的通解为:11sin 242y t t c =++ 5、解:由111x y +≤≤得112011a b x y ==-≤≤-≤≤ 从而()(,)4222x y Rf M max f x y y y L y -∈?===-=≤=?∴11min(,)min(1,)44b h a M === 从而解存在区间为114x +≤ 231123221327()011()3311()[()]3311111139186342o o x x x y x x dx x x x x dx x x x x --====+=-+=---+?? 2(21)1(21)!24o ML y y h +-≤=+。
第四章 高阶微分方程§4.1 线性微分方程的一般理论习题4.11.设)(t x 和)(t y 是区间[]b a ,上的连续函数,证明:若在区间[]b a ,上有≠)()(t y t x 常数或≠)()(t x t y 常数,则)(t x 和)(t y 在区间[]b a ,上线性无关.(提示:用反证法) 证明 )(t x 和)(t y 是区间[]b a ,上线性相关,则存在不全为0的常数21,c c 使得0)()(21≡+t y c t x c ,[]b a t ,∈,若)0(,021≠≠c c 或得12)()(c c t y t x -≡(或21)()(c c t x t y -≡)[]b a t ,∈∀成立。
与假设矛盾,故)(t x 和)(t y 在区间[]b a ,上线性无关.2.证明非齐次线性方程的叠加原理:设)(1t x ,)(2t x 分别是非齐次线性方程)()()(1111t f x t a dt xd t a dt x d n n n n n =+++-- (1) )()()(2111t f x t a dtxd t a dt x d n n n nn =+++-- (2) 的解,则)()(21t x t x +是方程)()()()(21111t f t f x t a dtxd t a dt x d n n n n n +=+++-- (3) 的解.证明 因为)(1t x ,)(2t x 分别是方程(1)、(2)的解,所以)()()(1111111t f x t a dt x d t a dt x d n n n n n =+++-- , )()()(2212112t f x t a dtx d t a dt x d n n n nn =+++-- , 二式相加得,)()())(()()()(21211211121t f t f x x t a dt x x d t a dt x x d n n n n n +=++++++-- ,即)()(21t x t x +是方程(3)的解.3.(1).试验证022=-x dt x d 的基本解组为tt e e -,,并求方程t x dtx d cos 22=-的通解。
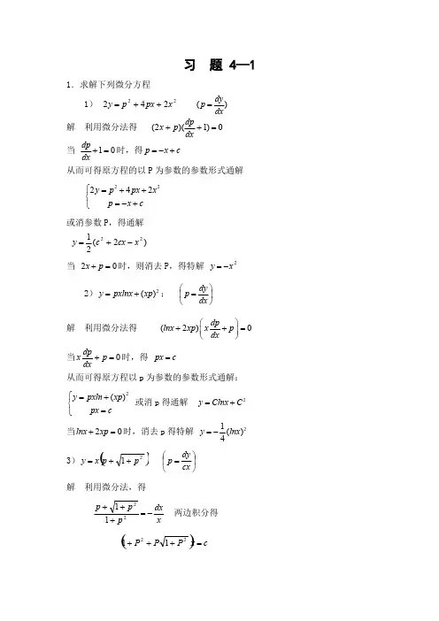
习 题 4—11.求解下列微分方程1) 22242x px p y ++=(dxdy p =解 利用微分法得 0)1)(2(=++dx dpp x 当时,得10dpdx+=p x c =-+从而可得原方程的以P 为参数的参数形式通解22242y p px x p x c ⎧=++⎨=-+⎩或消参数P ,得通解)2(2122x cx c y -+=当 时,则消去P ,得特解 20x p +=2x y -=2); 2()y pxlnx xp =+⎪⎭⎫ ⎝⎛=dx dy p 解 利用微分法得(2)0dplnx xp x p dx⎛⎫++= ⎪⎝⎭当时,得 0=+p dxdpxc px =从而可得原方程以p 为参数的参数形式通解:或消p 得通解 2()y pxln xp px c ⎧=+⎨=⎩2y Clnx C =+当时,消去p 得特解 20lnx xp +=21()4y lnx =-3) ()21p p x y ++=⎪⎭⎫ ⎝⎛=cx dy p 解 利用微分法,得两边积分得xdxp p p -=+++2211()cx P P P=+++2211由此得原方程以P 为参数形式的通解: ,21(p p x y ++=().11222c x p p p =+++或消去P 得通解222)(C C X y =-+1.用参数法求解下列微分方程1)45222=⎪⎭⎫⎝⎛+dx dy y 解 将方程化为令221542=⎪⎭⎫ ⎝⎛+dx dy yy t=dy t dx =由此可推出从而得)dx t===ct x +=25因此方程的通解为,x c =+y t =消去参数t ,得通解)y x C =-对于方程除了上述通解,还有,,显然2±=y 0=dxdy和是方程的两个解。
2=y 2-=y 2)223()1dy x dx-=解:令,u x csc =u dx dy cot 31-=又令 则tan 2ut =tt u x 21sin 12+==活。
国家开放大学电大本科《常微分方程》网络课形考任务1-6试题及答案国家开放大学电大本科《常微分方程》网络课形考任务1-6试题及答案100%通过考试说明:2020年秋期电大把该网络课纳入到“国开平台”进行考核,该课程共有6个形考任务,针对该门课程,本人汇总了该科所有的题,形成一个完整的标准题库,并且以后会不断更新,对考生的复习、作业和考试起着非常重要的作用,会给您节省大量的时间。
做考题时,利用本文档中的查找工具,把考题中的关键字输到查找工具的查找内容框内,就可迅速查找到该题答案。
本文库还有其他网核及教学考一体化答案,敬请查看。
课程总成绩=形成性考核×50%+终结性考试×50%形考任务1题目1本课程的教学内容共有五章,其中第三章的名称是().选择一项:A.一阶线性微分方程组B.定性和稳定性理论简介C.初等积分法D.基本定理题目2本课程安排了6次形成性考核任务,第2次形成性考核作业的名称是().选择一项:A.第一章至第四章的单项选择题B.第二章基本定理的形成性考核书面作业C.初等积分法中的方程可积类型的判断D.第一章初等积分法的形成性考核书面作业题目3网络课程主页的左侧第3个栏目名称是:().选择一项:A.课程公告B.自主学习C.课程信息D.系统学习题目4网络课程的“系统学习”栏目中第一章初等积分法的第4个知识点的名称是().选择一项:A.一阶隐式微分方程B.分离变量法C.全微分方程与积分因子D.常数变易法题目5网络课程的“视频课堂”栏目中老师讲课的电视课共有()讲.选择一项:A.18B.20C.19D.17题目6网络课程主页的左侧“考试复习”版块中第二个栏目名称是:().选择一项:A.考核说明B.复习指导C.模拟测试D.各章练习汇总题目7请您按照课程的学习目标、学习要求和学习方法设计自己的学习计划,并在下列文本框中提交,字数要求在100—1000字.答:常微分方程是研究自然现象,物理工程和工程技术的强有力工具,熟练掌握常微分方程的一些基本解法是学习常微分方程的主要任务,凡包含自变量,未知函数和未知函数的导数的方程叫做微分方程。
常微分方程试卷1一、填空题(每题3分,共15分)1.一阶微分方程的通解的图像是 维空间上的一族曲线.2.二阶线性齐次微分方程的两个解)(),(21x y x y 为方程的基本解组充分必要条件是3.方程02=+'-''y y y 的基本解组是 .4.一个不可延展解的存在在区间一定是 区间. 5.方程21d d y xy-=的常数解是 . 二、单项选择题(每题3分,共15分)6.方程y x xy+=-31d d 满足初值问题解存在且唯一定理条件的区域是( ).(A )上半平面 (B )xoy 平面 (C )下半平面 (D )除y 轴外的全平面 7. 方程1d d +=y xy ( )奇解.(A )有一个 (B )有两个 (C )无 (D )有无数个8.)(y f 连续可微是保证方程)(d d y f xy=解存在且唯一的( )条件. (A )必要 (B )充分 (C )充分必要 (D )必要非充分9.二阶线性非齐次微分方程的所有解( ).(A )构成一个2维线性空间 (B )构成一个3维线性空间 (C )不能构成一个线性空间 (D )构成一个无限维线性空间10.方程323d d y xy=过点(0, 0)有( ).(A) 无数个解 (B) 只有一个解 (C) 只有两个解 (D) 只有三个解三、计算题(每题6分,共30分) 求下列方程的通解或通积分:11.y y x yln d d = 12. x yx y x y +-=2)(1d d13. 5d d xy y xy+=14.0)d (d 222=-+y y x x xy 15.32y y x y '+'=四、计算题(每题10分,共20分) 16.求方程255x y y -='-''的通解. 17.求下列方程组的通解.⎪⎪⎩⎪⎪⎨⎧-=+=x ty ty t x d d sin 1d d五、证明题(每题10分,共20分)18.设)(x f 在),0[∞+上连续,且0)(lim =+∞→x f x ,求证:方程)(d d x f y xy=+ 的一切解)(x y ,均有0)(lim =+∞→x y x .19.在方程0)()(=+'+''y x q y x p y 中,)(),(x q x p 在),(∞+-∞上连续,求证:若)(x p 恒不为零,则该方程的任一基本解组的朗斯基行列式)(x W 是),(∞+-∞上的严格单调函数.常微分方程试卷1答案及评分标准一、填空题(每题3分,共15分) 1.22.线性无关(或:它们的朗斯基行列式不等于零)3.x x x e ,e 4.开5.1±=y二、单项选择题(每题3分,共15分) 6.D 7.C 8.B 9.C 10.A 三、计算题(每题6分,共30分)11.解 当0≠y ,1≠y 时,分离变量取不定积分,得 C x y y y+=⎰⎰d ln d (3分)通积分为x C y e ln = (6分)12.解 令xu y =,则xu x u x y d d d d +=,代入原方程,得 21d d u xux-= (3分)分离变量,取不定积分,得 C xxu u ln d 1d 2+=-⎰⎰(0≠C )通积分为: Cx xyln arcsin= (6分)13.解 方程两端同乘以5-y ,得x y xyy +=--45d d 令 z y =-4,则xzx y y d d d d 45=--,代入上式,得 x z xz=--d d 41(3分) 通解为41e 4+-=-x C z x 原方程通解为41e 44+-=--x C y x (6分)14.解 因为xNx y M ∂∂==∂∂2,所以原方程是全微分方程. (2分)取)0,0(),(00=y x ,原方程的通积分为C y y x xy yx=-⎰⎰020d d 2(4分)即C y y x =-3231 (6分)15.解 原方程是克莱洛方程,通解为32C Cx y += (6分)四、计算题(每题10分,共20分)16.解 对应齐次方程的特征方程为052=-λλ,特征根为01=λ,52=λ,齐次方程的通解为x C C y 521e += (4分)因为0=α是特征根。
常微分方程试题库(四)、计算题, (每小题10分)1. 解方程组: y x y y x x 2,32-='-=';2. 解方程组:x y y y x x 23,-='+=';3. 解方程组:y x y y x x -='-=',2;4. 解方程组:2,2t x y e y xt +=+= ; 5. 解方程组:z x z y x y z y x +='+='-=',,; 6. 解方程组:y y y x x 3,3='+=';7. 解方程组:z x z y x y z y x 3,35,5-='+-='-='; 8. 解方程组:t x y y x x sin 5,2-='+=';9. 解方程组:t y x y e y x x t+-='+-='2,232;10. 解方程组:t y x y t y x x sin ,cos 2--='+-=';11. 解方程组:te z y x z z y y x -+---='='='6116,,;12. 解方程:02=+'-''x x t x t ;13. 解方程:0952=+'-''x x t x t14. 解方程:2)1(22+=+t x D ;15. 解方程:t e x D D =+-)12(2 ;16. 解方程:t x D D 2cos )4(2=+ ; 17. 解方程:t te x D D 223)43(=+- ;18. 解方程:26)34(23-=+-t x D D D ; 19. 解方程:t t x D 4cos 2cos )4(2+=+; 20. 解方程:t t x Dsin 2)1(2=- ;21. 解方程:222)44(te x D D t=+-;22. 解方程:tt t e e e x D D D -++=-+-32)485(223;23. 解方程:0222=+'-''x x t x t24. 解方程:023='-'''x t x t ;25. 解方程:03=-'+'''x x t x t ;26. 解方程组:x y x 45+=',x y y 54+=';27. 解方程组:y ax dt dx β+=,y a x dtdy+-=β;28. 解方程组:t y x x532++= ,t e y x y 823++= ; 29. 解方程组:333222112,2,2y y y y y y y y ='+='+='; 30. 解方程:tee x D D=++)23(2;选题说明:每套试题选3个题为宜。
《常微分方程》测试题 1 答案一、填空题(每空5分)12、 z=34、5、二、计算题(每题10分)1、这是n=2时的伯努利不等式,令z=,算得代入原方程得到,这是线性方程,求得它的通解为z=带回原来的变量y,得到=或者,这就是原方程的解。
此外方程还有解y=0.2、解:积分:故通解为:3、解:齐线性方程的特征方程为,,故通解为不是特征根,所以方程有形如把代回原方程于是原方程通解为4、解三、证明题(每题15分)1、证明:令的第一列为(t)= ,这时(t)==(t)故(t)是一个解。
同样如果以(t)表示第二列,我们有(t)== (t)这样(t)也是一个解。
因此是解矩阵。
又因为det=-t故是基解矩阵。
2、证明:(1),(t- t)是基解矩阵。
(2)由于为方程x=Ax的解矩阵,所以(t)也是x=Ax的解矩阵,而当t= t时,(t)(t)=E, (t- t)=(0)=E. 故由解的存在唯一性定理,得(t)=(t- t)《常微分方程》测试题2 答案一、填空题:(每小题3分,10×3=30分)1. 2. 3 3.4. 充分条件5. 平面6. 无7. 1 8. 9.10. 解组线性无关二. 求下列微分方程的通解:(每小题8分,8×5=40分)1、解:将方程变形为………(2分)令,于是得……(2分)时,,积分得从而…(2分)另外,即也是原方程的解………(2分)2、解:由于……………………(3分)方程为恰当方程,分项组合可得…………(2分)故原方程的通解为……(3分)3、解:齐线性方程的特征方程为特征根…(2分)对于方程,因为不是特征根,故有特解…(3分)代入非齐次方程,可得.所以原方程的解为…(3分)4、解:线性方程的特征方程,故特征根…………………(2分)对于,因为是一重特征根,故有特解,代入,可得……(2分)对于,因为不是特征根,故有特解,代入原方程,可得…(2分)所以原方程的解为…(2分)5、解:当时,方程两边乘以,则方程变为…(2分),即于是有,即……(3分)故原方程的通解为另外也是原方程的解. …(3分)三、解:, ,解的存在区间为…(3分)即令……(4分)又误差估计为:(3分)四、解:方程组的特征方程为特征根为,(2分)对应的特征向量应满足可解得类似对应的特征向量分量为…(3分)原方程组的的基解矩阵为…………………(2分)………(3分)五、证明题:(10分)证明:设,是方程的两个解,则它们在上有定义,其朗斯基行列式为…………………(3分)由已知条件,得…………………(2分)故这两个解是线性相关的.由线性相关定义,存在不全为零的常数,使得,由于,可知.否则,若,则有,而,则,这与,线性相关矛盾.(3分)故(2分)《常微分方程》测试题3答案1.辨别题(1)一阶,非线性(2)一阶,非线性(3)四阶,线性(4)三阶,非线性(5)二阶,非线性(6)一阶,非线性2.填空题(1).(2).(3).(4).3.单选题(1).B (2).C (3).A (4).B (5). A (6). B 7. A 4. 计算题(1).解当时,分离变量得等式两端积分得即通解为(2).解齐次方程的通解为令非齐次方程的特解为代入原方程,确定出原方程的通解为+(3).解由于,所以原方程是全微分方程.取,原方程的通积分为即(4). 令,则,代入原方程,得,当时,分离变量,再积分,得,即:5. 计算题令,则原方程的参数形式为由基本关系式,有积分得得原方程参数形式通解为5.计算题解方程的特征根为,齐次方程的通解为因为不是特征根。
常微分方程试题一、填空题(每小题3分,共39分)1.常微分方程中的自变量个数是________.2.路程函数S(t)的加速度是常数a,则此路程函数S(t)的一般形式是________.3.微分方程=g( )中g(u)为u的连续函数,作变量变换________,方程可化为变量分离方程.4.微分方程F(x,y′)=0中令P=y′,若x、P平面上的曲线F(x,P)=0的参数形式为x= (t),P=ψ(t),t为参数,则方程参数形式的通解为________.5.方程=(x+1)3的通解为________.6.如果函数f(x,y)连续,y= (x)是方程=f(x,y)的定义于区间x0≤x≤x0+h上,满足初始条件 (x0)=y0的解.则y= (x)是积分方程________定义于x0≤x≤x0+h 上的连续解.7.方程=x2+xy,满足初始条件y(0)=0的第二次近似解是________.8.方程+a1(t) +…+a n-1(t) +a n(t)x=0中a i(t) i=1,2,…,n是〔a,b〕上的连续函数,又x1(t),x2(t),…,x n(t)为方程n 个线性无关的解,则其伏朗斯基行列式W(t) 应具有的性质是:________.9.常系数线性方程x(4)(t)-2x″(t)+x(t)=0的通解为________.10.设A(t)是区间a≤t≤b上的连续n×n矩阵,x1(t),x2(t),…,x n(t)是方程组x′=A(t)x的n个线性无关的解向量.则方程组的任一解向量x(t)均可表示为:x(t)=________的形式.11.初值问题(t)+2x″(t)-tx′(t)+3x(t)=e-t,x(1)=1,x′(1)=2,x″(1)=3 可化为与之等价的一阶方程组________.12.如果A是3×3的常数矩阵,-2为A的三重特征值,则方程组x′=Ax的基解矩阵exp A t=________.13.方程组的奇点类型是________.二、计算题(共45分)1.(6分)解方程= .2.(6分)解方程x″(t)+ =0.3.(6分)解方程(y-1-xy)dx+xdy=0.4.(6分)解方程5.(7分)求方程:S″(t)-S(t)=t+1满足S(0)=1, (0)=2的解.6.(7分)求方程组的基解矩阵Φ(t).7.(7分)验证方程:有奇点x1=1, x2=0,并讨论相应驻定方程的解的稳定性.三、证明题(每小题8分,共16分)1.设f(x,y)及连续,试证方程dy-f(x,y)dx=0为线性方程的充要条件是它有仅依赖于x的积分因子.2.函数f(x)定义于-∞<x<+∞,且满足条件|f(x1)-f(x2)|≤N|x1-x2|,其中0<N<1,证明方程x=f(x)存在唯一的一个解.常微分方程试题参考答案一、填空题(每小题3分,共39分)1.12. 2+c1t+c23.u=4. c为任意常数5.y= (x+1)4+c(x+1)26.y=y0+7. (x)=8.对任意t9.x(t)=c1e t+c2te t+c3e-t+c4te-t10.x(t)=c1x1(t)+c2x2(t) +c n x n(t)11. x1(1)=1,x2(1)=2, x3(1)=312.expAt=e-2t[E+t(A+2E)+ ]13.焦点二、计算题(共45分)1.解:将方程分离变量为改写为等式两边积分得y-ln|1+y|=ln|x|-即y=ln 或e y=2.解:令则得=0当0时-arc cosy=t+c1y=cos(t+c1) 即则x=sin(t+c1)+c2当=0时y= 即x3.解:这里M=y-1-xy, N=x令u=xye-xu关于x求偏导数得与Me-x=ye-x-e-x-xye-x 相比有则因此u=xye-x+e-x方程的解为xye-x+e-x=c4.解:方程改写为这是伯努利方程,令z=y1-2=y-1 代入方程得解方程z==于是有或5.特征方程为特征根为对应齐线性方程的通解为s(t)=c1e t+c2e-tf(t)=t+1, 不是特征方程的根从而方程有特解=(At+B),代入方程得-(At+B)=t+1两边比较同次幂系数得A=B=-1故通解为S(t)=c1e t+c2e-t-(t+1)据初始条件得c1=因此所求解为:S(t)=6.解:系数矩阵A=则,而det特征方程det( )=0, 有特征根对对对因此基解矩阵7.解:因故x1=1,x2=0是方程组奇点令X1=x1-1, X2=x2, 即x1=X1+1,x2=X2代入原方程,得化简得*这里R(X)= , 显然(当时)方程组*中,线性部分矩阵det(A- )=由det(A- )=0 得可见相应驻定解渐近稳定三、证明题(每小题8分,共16分)1.证明:若dy-f(x,y)dx=0为线性方程则f(x,y)=因此仅有依赖于x的积分因子反之,若仅有依赖于x的积分因子。
常微分方程第四章测验试卷(1)班级 姓名 学号 得分 一、 填空(30分)1、如果),...,2,1)((n i t x i =为齐线性方程的n 个线性无关解,则这 一齐线性方程的所有解可表为————————————————。
2、形如————————————————的方程称为欧拉方程。
3、如果),...,2,1)((n i t x i =为齐线性方程的一个基本解组,)(t x i 为非齐线性方程的一个特解,则非齐线性方程的所有解可表为————————————。
4、设0)(1≠t x 是二阶齐线性方程021=+'+''x a x a x 的一个解,则方程的通解可表为—————————————————————。
5、微分方程tx x 3sin 1=+''的基本解组为——————————。
6、函数组t t t e e e 2,,-的伏朗基行列式为—————————。
7、若),...,2,1)((n i t x i =b t a ≤≤上线性相关,则伏朗基行列式满足——————。
8、解线性方程的常用方法有————、————、————、————。
9、n 阶齐线性方程的线性无关解的最大个数为————。
二、 计算(50分)1、 求32254+=-'+''-'''t x x x x 的通解。
2、 求方程0)()(32='+'-''x x x x3已知。
的解,试求方程的通解是0sin 2=+'+''=x x x ttx t 4、求方程t t x x t x t ln 22=+'-''的通解。
5、的解。
求方程1)0()0()0()0(,2)4(='''=''='==+x x x x e x x t 三、 证明题(20分)1、 ),...,2,1)((n i t x i =是齐次线性方程组的n 个解,则有:当)()......,(1t x t x n 在[a,b]上线性无关时,伏朗斯基行列式w(t)≠0,t ],[b a ∈.2、若()(1,2)i x t i =是非齐次线性方程43sin x x x x ''''''++=的2个解,则有:当12lim()()n x t x t →∞-存在。
常微分方程习题4.2 2、解下列方程 (1)045)4(=+''-x x x解:特征方程1122045432124-==-===+-λλλλλλ,,,有根故通解为x=t t t te c e c e c e c --+++432221(2)03332=-'+''-'''x a x a x a x解:特征方程0333223=-+-a a a λλλ有三重根a =λ故通解为x=at at at e t c te c e c 2321++ (3)04)5(=''-x x解:特征方程0435=-λλ有三重根0=λ,=4λ2,=5λ-2故通解为54232221c t c t c e c e c x t t ++++=-(4)0=+'+''x x x解:特征方程012=++λλ有复数根=1λ,231i +-=2λ,231i-- 故通解为t e c t ec xt t 23sin 23cos 212211--+=(5) 12+=-''t s a s解:特征方程022=-a λ有根=1λa,=2λ-a当0≠a 时,齐线性方程的通解为s=atat e c e c -+21Bt A s +=~代入原方程解得21aB A -== 故通解为s=atat e c e c -+21-)1(12-t a当a=0时,)(~212γγ+=t t s 代入原方程解得21,6121==γγ故通解为s=t c c 21+-)3(612+t t (6) 32254+=-'+''-'''t x x x x解:特征方程025423=-+-λλλ有根=1λ2,两重根=λ 1 齐线性方程的通解为x=t t t te c e c e c 3221++又因为=λ0不是特征根,故可以取特解形如Bt A x +=~代入原方程解得A=-4,B=-1 故通解为x=t t t te c e c e c 3221++-4-t (7) 322)4(-=+''-t x x x解:特征方程121201224-===+-λλλλ重根,重根有 故齐线性方程的通解为x=t t t t te c e c te c e c --+++4321 取特解形如c Bt At x ++=2~代入原方程解得A=1,B=0,C=1 故通解为x=t t t t te c e c te c e c --+++4321+12+t (8)t x x cos =-'''解:特征方程013=-λ有复数根=1λ,231i +-=2λ,231i--13=λ 故齐线性方程的通解为t t t e c t e c t ec x 321221123sin 23cos ++=--取特解形如t B t A x sin cos ~+=代入原方程解得A=21,21-=B 故通解为t t t e c t e c t ec x 321221123sin 23cos ++=--)sin (cos 21t t +-(9) t x x x 2sin 82=-'+''解:特征方程022=-+λλ有根=1λ-2,=2λ 1 故齐线性方程的通解为x=tte c e c 221-+因为+-2i 不是特征根取特解形如t B t A x 2sin 2cos ~+=代入原方程解得A=56,52-=-B 故通解为x=tte c e c 221-+t t 2sin 562cos 52--(10)t e x x =-'''解:特征方程013=-λ有复数根=1λ,231i +-=2λ,231i--13=λ 故齐线性方程的通解为t t t e c t e c t ec x 321221123sin 23cos ++=-- =λ1是特征方程的根,故t Ate x =~代入原方程解得A=31 故通解为t t t e c t e c t ec x 321221123sin 23cos ++=--+t te 31(11)t e s a s a s =+'+''22解:特征方程0222=++a a λλ有2重根=λ-a 当a=-1时,齐线性方程的通解为s=t t te c e c 21+,=λ1是特征方程的2重根,故t e At x 2~=代入原方程解得A=21通解为s=22121t te c e c t t ++, 当a ≠-1时,齐线性方程的通解为s=at at te c e c --+21,=λ1不是特征方程的根,故t Ae x =~代入原方程解得A=2)1(1+a故通解为s=at at te c e c --+21+te a 2)1(1+ (12)t e x x x 256=+'+''解:特征方程0562=++λλ有根=1λ-1,=2λ-5 故齐线性方程的通解为x=tte c ec 521--+=λ2不是特征方程的根,故t Ae x 2~=代入原方程解得A=211故通解为x=t te c ec 521--++te 2211 (13)t e x x x t cos 32-=+'-''解:特征方程0322=+-λλ有根=1λ-1+2i,=2λ-1-2i 故齐线性方程的通解为t e c t e c x t t 2sin 2cos 21+=i ±-1 不是特征方程的根, 取特解行如t e t B t A x -+=)sin cos (~代入原方程解得A=414,415-=B 故通解为t e c t e c x t t 2sin 2cos 21+=+t e t t --)sin 414cos 415( (14) t t x x 2cos sin -=+''解:特征方程012=+λ有根=1λi,=2λ- i 故齐线性方程的通解为t c t c x sin cos 21+= 对于t x x sin =+'',=1λi,是方程的解, 设)sin cos (~t B t A t x +=代入原方程解得A=21-B=0 故t t x cos 21~-=对于t x x 2cos -=+'' ,设t B t A x 2sin 2cos ~+=代入原方程解得A=31 B=0 故t x 2cos 31~= 故通解为t c t c x sin cos 21+=t t cos 21-t 2cos 31+ 15)1442++=+'-''ttee x x x解:0442=+-λλ,22,1=λ,齐次方程的通解为)()(212t C C e t x t +=。
爱启航在线考研第四章常微分方程4.1答案:应选(C )解析:原方程写成23e 0+'+=yxyy ,分离变量有23e d =e d y x y y x --,积分得232e 3e --=x y C ,其中C 为任意常数.4.2答案:应填sin e=C xy ,其中C 为任意常数.解析:原方程分离变量,有d cos d ln sin =y xx y y x,积分得1ln |ln |ln |sin |ln =+y x C ,通解为ln sin =y C x 或sin e=C x y ,其中C 为任意常数.4.3答案:应填()2112e-=x y x 解析:原方程化为d 1d ⎛⎫=- ⎪⎝⎭y x x y x .积分得通解211ln ||ln ||2y C x x =-,即122ex y Cx -=.由初值(1)1=y 解出12e C =得特解.故答案为:()2112e-=x y x .4.4答案:应选(B )解析:原方程求导得()2()'=f x f x ,即()2()'=f x f x ,积分得2()e =x f x C ,又(0)ln 2=f ,故ln 2=C ,从而2()e ln 2=x f x .故应选(B ).4.5解:曲线()=y f x 在点(,)x y 处的切线方程为()'-=-Y y y X x ,令0=X ,得到切线在y 轴截距为'=-xy y xy ,即(1)'=-xy y x .此为一阶可分离变量的方程,于是d 11d ⎛⎫=- ⎪⎝⎭y x y x ,两边积分有1ln ||ln =-y C x x ,得爱启航线考研到e =x Cx y .又()11e y -=,故1=C ,于是曲线方程为e =xx y .4.6解:22d d 11+y y y x x x x =∆=+,得2d d 1=+y y x x ,变量分离2d 1d 1=+y x y x.两边积分得1ln arctan y x C =+.可得arctan exy C =又()0y =π,则C =π.所以arctan πexy =,()πarctan141πeπe y ==.4.7解:令=yu x,即=y ux ,则y u x u ''=+,又由题给表达式可得2y u u '=,即有u x u '+2u u =-d 1d 22=-x xu u ,两边积分得1ln 1ln ln u x C -=+,即ln(1ln ln 1=-+⇒-=⇒-=y Cu x C x xy C x x.4.8答案:应填2(ln ||)=+x y y C 解析:将x 看成未知函数,原方程改写为2d 1d 222+==+x x y x y xy y x这是一个伯努利方程,令2=z x ,有d 1d -=z z y y ,得11d d 2e ed (ln ||)-⎛⎫⎰⎰==+=+ ⎪ ⎪⎝⎭⎰y y y y x z y C y y C .故答案为:2(ln ||)=+x y y C ,其中C 为任意常数.4.9答案:应填()cos +x C x解析:属于一阶非齐次线性方程,直接根据一阶非齐次线性微分方程的通解公式即可得出答案.故答案为:()cos +x C x ,其中C 为任意常数.4.10答案:应填1爱启航在线考研解析:()2d 2d 22e 4e d e4ed x x xxy x x C x x C--⎛⎫⎰⎰=+=+ ⎪⎝⎭⎰⎰222e (21)e (21)e x x xx C x C --⎡⎤=-+=-+⎣⎦.当0=x 时,1=-y ,则0=C .可得21=-y x ,则()11=y .故答案为1.4.11答案:应填1解析:由11()()'+=y P x y Q x 及22()()'+=y P x y Q x 得()()1212()()()αββαβ'+++=+y y P x ay y Q x .又因12αβ+y y 满足原方程,故应有()()()β+=a Q x Q x ,即1αβ+=.故答案为1.4.12解:()sin d sin d e cos e d -⎛⎫⎰⎰=+ ⎪⎝⎭⎰x xx x gx x x C ()cos cos e cos ed -=+⎰xxx x C又()00g =,故()()cos cos cos 0e cos ed cos ed limlime lim xxxx x x x x Cx x Cg x xxx--→→→++==⋅=⎰⎰cos 0e lim cos e 1x x x -→⋅=.4.13解:2d 1d 2y x x y =-,则2d 2d x x y y =-,即2d 2d x x yy-=-()()2d 2d 222222111e e d e e d e 224yy y y y x y y C y y C y y C --⎛⎫⎰⎰⎡⎤=-+=-+=+++ ⎪⎣⎦⎝⎭⎰⎰.4.14解:令=tx u ,则u t x d d =,则代入到题给表达式101()d ()d xf tx t f u u x =⎰⎰,可得20()d 2()xf u u xf x x =+⎰.两边求导得()2()2()2f x f x xf x x '=++,则()2()2f x xf x x '+=-.从而11131d d 2222222()e (1)ed 33x x x x f x x C x x C x Cx ---⎛⎫⎛⎫⎰⎰=-+-+=-+ ⎪⎝ ⎝⎭=⎪⎭⎰.爱启航在线考研4.15解:将原方程改写成211cos sin y x x yy '+=-,并令1z y =,则21z y y ''=-,且原方程化为sin cos z z x x '-=-.d de (sin cos )e d x x z x x x C -⎡⎤⎰⎰=-+⎢⎥⎣⎦⎰e (sin cos )e d x x x x x C -⎡⎤=-+⎣⎦⎰()e sin ed cose d xxx x x x x C --=-+⎰⎰,其中()sin e d sin d e sin e e cos d x x x x x x x x x x ----=-=-+⎰⎰⎰,故()e sin e e sin x x x z x C C x -=-+=-,即1e sin x C x y=-为所求通解.4.16答案:应选(C )解析:因原方程阶数为2,通解中应包含两个任意常数(可求出通解为3126++x C C x );特解中不含有任意常数(3*6=x y 为特解);36+x Cx 满足原方程,为原方程的解,故选项(A ),(B ),(C )都不对,应选(C ).4.17解:(1)令y p '=,则d d p y x ''=,从而2d 1d pp x=+,则2d d 1p x p =+积分得p arctan 1arctan p x C =+,故()1d tan d yp x C x=+=,则两边对x 积分1d tan()d y x C x =+⎰⎰,得()1121sin()d ln cos cos()x C y x x C C x C +==-+++⎰.(2)()10xy xy C '''=⇒=,即1y xC '=,故12ln y C x C =+.4.18解:由21e x y =,得212e x y x '=,()22124e x y x ''=+;由22e x y x =,得222(12)e x y x '=+,()22364e x y x x ''=+.因爱启航在线考研()()()22222211144224e 42e 42e 0x x x y xy x y x x x x '''-+-=+-⋅+-=.()()()()222232222244264e 412e 42e 0x x x y xy x y x x x x x x '''-+-=+-++-=.故1y 与2y 都是方程的解.又因21y x y =不等于常数,故1y 与2y 线性无关.于是方程的通解为()2112212e x y C y C y C C x =+=+.4.19答案:应选(A )解析:根据高阶线性微分方程根的形式可知,选(A ).4.20答案:应选(B )解析:由题意可知,-1是特征方程二重特征根,1是特征方程的特征根,故特征方程为()()2110+-=r r ,即3210+--=r r r .故三阶常系数齐次线性方程为0y y y y ''''''+--=.故选(B ).4.21答案:应选(C )解析::特征方程为2220++=r r 即2(1)1+=-r ,解得特征根为1,21i r =-±.而()e sin x f x x -=,i 1i w ±=-±λ是特征根,故特解的形式为*e (cos sin )x y x a x b x -=+.4.22答案:应填()*22e xy x ax bx c dx =+++解析:特征方程为220-=r r ,特征根10r =,22r =.对21()1=+f x x ,10λ=是特征根,所以()*21y x ax bx c =++.对22()exf x =,22λ=也是特征根,故有*22e =x y dx .从而***12=+y y y 就是特解.故答案为()*22e x y x ax bx c dx =+++.4.23解:所给微分方程的特征方程为256(2)(3)0++=++=r r r r ,特征根为12=-r ,23=-r .于是,对应齐次微分方程的通解为2312)e e xx y x C C --=+.爱启航在线考研设所给非齐次方程的特解为*e xy A -=.将*()y x 代入原方程,可得1A =.由此得所给非齐次方程得特解*e xy -=.从而,所给微分方程得通解为2312()e e e xx x y x C C ---=++,其中1C ,2C 为任意常数.4.24答案:应选(C )解析:将()()000y y '==代入3e xy py qy '''++=,得()01''=y .()()()()()22000ln 122limlimlimlim 2x x x x x x x y x y x y x y x →→→→+===='''.故选C.4.25答案:应填12e(cos sin )e xxC x C x ++解析:所给微分方程的特征方程为22201i -+=⇒=±r r r ,从而齐次通解为12e (cos sin )x C x C x +,设特解为e x A ,代入方程得e 2e 2e e 1x x x x A A A A -+=⇒=,即得特解为e x .非齐次通解为12e(cos sin )e xx C x C x ++.。
常微分方程试题6一,填空题(每题三分)1,当_________时,方程0),(),(=+dy y x N dx y x M 称为恰当方程,或称全微分方程。
2,函数),(y x f 称为在矩形域R 上关于y 满足利普希兹条件,如果______________。
3,方程22y x dx dy+=定义在矩形区域R :22,22≤≤-≤≤-y x 上 ,则经过点)0,0(的解的存在区间是 _____________。
4,函数组t t te e e 2,,-的伏朗斯基行列式为 _______ 。
5.若ϕ(t )和ψ(t )都是x ˊ= A(t) x 的 基解矩阵,则ϕ(t )与ψ(t )具有关系:二,选择题(每题三分)1,方程0d )ln (d ln =-+y y x x y y 是( ).(A)可分离变量方程 (B )线性方程 (C)全微分方程 (D )贝努利方程 2,方程x (y 2-1)d x+y (x 2-1)d y =0的所有常数解是( ). (A)y =±1, x =±1, (B) y =±1 (C) x =±1 (D) y =1, x =1 3,n 阶线性齐次方程的所有解构成一个( )线性空间. (A)n 维 (B )1+n 维 (C )1-n 维 (D )2+n 维4. 已知12(),()X t X t 分别是方程组122120()(),()()310312X t X t X t X t ⎡⎤⎡⎤⎡⎤⎡⎤''=+=-⎢⎥⎢⎥⎢⎥⎢⎥⎣⎦⎣⎦⎣⎦⎣⎦的解,则下列函数为方程组122()()312X t X t ⎡⎤⎡⎤'=+⎢⎥⎢⎥-⎣⎦⎣⎦的解是 ( ) . (A )12()()X t X t - (B )122()2()X t X t - ( C ) 12()()X t X t + ( D )122()2()X t X t + 5,下列函数组中为方程032=-'+''y y y 的基本解组的是 ( )(A)x xe e3, (B )x x e e 3,- (C )x x e e 3,- (D )xxee 3,--三,计算题(每题六分)1,21d d x x y x y += 2,0 )d ( d )(3223=+++y y y x x xy x 3,1)ln (='-'y x y 4,1442'''++=+-tte e x x x5,x y y 5sin 5='-''四,若2114A ⎡⎤=⎢⎥-⎣⎦试求方程组x Ax '=的解12(),(0)t ηϕϕηη⎡⎤==⎢⎥⎣⎦并求expAt 。
【单选题】n 阶齐次线性微分方程的基本解组中所含解的个数恰好是________个.A 、n -1;B 、n ;C 、n +1;D 、n +2.答案:B【单选题】下了判断正确的是_______________.A 、一阶线性非齐次微分方程组的任意两个解之差不是对应齐次微分方程组的解;B 、一阶线性非齐次微分方程组的任意两个解之差是对应齐次微分方程组的解;C 、一阶线性非齐次微分方程组的任意两个解之和还是该非齐次微分方程组的解;D 、一阶线性非齐次微分方程组的任意两个解之和是对应齐次微分方程组的解.答案:B【计算题】解微分方程'''1211,,11t t x x x t x t x e t t+-=-==--. 答案:常数变易法令12()()t x c t t c t e =+是原方程的解,并代入原方程得''12''12()()0()()1t t c t t c t e c t c t e t ⎧+=⎨+=-⎩, 解得''12()1,()t c t c t te -=-=,所以1122(),()(1)t c t t c c t t e c -=-+=-++ 因此原方程的通解为2121t x c t c e t =+-- 其中21,c c 是任意常数. 【计算题】解微分方程2'''2312ln 4636,,t t x tx x x t x t t-+===. 答案:常数变易法 令2312()()x c t t c t t =+是原方程的解,并代入原方程得'2'312'2'123()()0ln 2()3()36c t t c t t t tc t t c t t ⎧+=⎪⎨+=⎪⎩, 解得334411229()412ln ,()9ln 4c t t t t c c t t t t c ----=++=--+ 因此原方程的通解为23111273ln 4x c t c t t t t --=+++ 其中21,c c 是任意常数 . 【计算题】已知方程220d x x dt-=有基本解组 ,t t e e -,试求此方程适合初值条件'(0)1,(0)0x x ==及'(0)0,(0)1x x ==的基本解组.答案:由题意知通解为12t t x c e c e -=+ ,则'12t t x c e c e -=-,分别把初值条件代入得121111(),()2222t t t t x t e e x t e e --=+=-.因此方程的标准基本解组为 121111(),()2222t t t t x t e e x t e e --=+=-.【证明题】证明n 阶非齐次线性微分方程1111()()()()n n n n n n d x d x dx a t a t a t x f t dt dtdt---++++= 存在且最多存在1n +个线性无关的解. 答案:设齐次线性微分方程的n 个线性无关的解为12,,,n x x x ,设满足某初值条件的非齐次线性微分方程的解为x ,则显然12,,,,n x x x x x x x +++为非齐次微分方程的+1n 个解。
1习题 4.11.求齐次线性方程的实通解:(1)d 2x dt 2+4x =0.(2)d 3x dt 3−d 2x dt 2+2dx dt −2x =0.(3)d 4x dt 4+4x =0.(4)d 4xdt 4−2d 3x dt 3+2dx dt −x =0.解:(1)该方程的特征多项式为λ2+4,因此特征根为±2i .故原方程有实基本解组cos 2t ,sin 2t .由此得实通解x (t )=C 1cos 2t +C 2sin 2t,其中C 1,C 2为任意常数.(2)该方程的特征多项式为λ3−λ2+2λ−2=(λ−1)(λ2+2),因此特征根为1,±√2i .故原方程有实基本解组e t ,cos √2t ,sin √2t .由此得实通解x (t )=C 1e t +C 2cos √2t +C 3sin √2t,其中C 1,C 2,C 3为任意常数.(3)该方程的特征多项式为λ4+4,因此特征根为1±i ,−1±i .故原方程有实基本解组e t cos t ,e t sin t ,e −t cos t ,e −t sin t .由此得实通解x (t )=e t (C 1cos t +C 2sin t )+e −t (C 3cos t +C 4sin t ),其中C 1,C 2,C 3,C 4为任意常数.(4)该方程的特征多项式为λ4−2λ3+2λ−1=(λ−1)3(λ+1),因此特征根为1(三重根),−1.故原方程有实基本解组e t ,te t ,t 2e t ,e −t .由此得实通解x (t )=e t (C 1+C 2t +C 3t 2)+C 4e −t ,其中C 1,C 2,C 3,C 4为任意常数.3∗.分析振动方程d 2x dt 2+2δdx dt+ω2x =0的特征根并给出通解.这里δ≥0,ω>0.解:从该振动方程的特征方程λ2+2δλ+ω2=0求得特征根为λ1,2=−δ± δ2−ω2.根据δ2−ω2的符号可分为如下三种情况:2(i)当δ>ω时,有二个相异实特征根−δ±√δ2−ω2,方程的实通解为x (t )=e−δt (C 1e √δ2−ω2t +C 2e −√δ2−ω2t ),其中C 1,C 2为任意常数.(ii)当δ=ω时,有一个实二重特征根−δ,方程的实通解为x (t )=e −δt (C 1+C 2t ),其中C 1,C 2为任意常数.(iii)当δ<ω时,有一对共轭复特征根−δ±√ω2−δ2i ,方程的实通解为x (t )=e −δt (C 1cos ω2−δ2t +C 2sin ω2−δ2t ),其中C 1,C 2为任意常数.。
常微分方程第四章答案【篇一:常微分方程习题及评分标准答案】一、选择题(每题3分)第一章:1.微分方程y?xy2?y?0的直线积分曲线为()(a)y?1和y?x?1 (b)y?0和y?x?1 (c)y?0和y?x?1 (d)y?1和y?x?1 第二章:2.下列是一阶线性方程的是()(a)dydx?x2?y (b)d2ydy3dx2?(dx)?xy?0(c)(dy2dydydx)?xdx?xy2?0(d)dx?cosy 3.下列是二阶线性方程的是()(a)d2ydydx2?xdx?x2?y (b)(dydx)3?(dydx)2?xy?0 (c)(x?1)dy2d2ydx?xy?0 (d)dx2?cosycosx4.下列方程是3阶方程的为()(a)y?x2?y3 (b)(dydx)3?xy?0 (c)(dydx)2?xd3ydydx3?y2?0(d)dx?cosy3 5.微分方程(dydx)4?x(dydx)3?dydx?0的阶数为()(a)1(b)2(c)3 (d)46.方程(dydx)3?xd2ydx2?2y4?0的阶数为()(a)1 (b)2 (c)3(d)4 7.针对方程dydx?x?yx?y,下列说法错误的是().(a)方程为齐次方程1(b)通过变量变换u?yx可化为变量分离方程(c)方程有特解y?0(d)可以找到方程形如y?kx的特解y?(?1x 8.针对方程y??sin2(x?y?1),下列说法错误的是().(a)为一阶线性方程?2(d)方程的通解为tan(x?y?1)?x?c 9.伯努利方程dy?p(x)y?q(x)yndx,它有积分因子为()(a)e?(n?1)p(x)dx(b)e?np(x)dx (c)xe?(n?1)p(x)dx(d)xe?np(x)dx10.针对方程dydx?y?y2(cosx?sinx),下列说法错误的是().(a)方程为伯努利方程(b)通过变量变换z?y2可化为线性方程(c)方程有特解y?0 (d)方程的通解为y?1cex?sinx11.方程dydx?xf(yx2)经过变量变换()可化为变量分离方程。
常微分方程第四章测验试卷(1)班级 姓名 学号 得分 一、 填空(30分)1、如果),...,2,1)((n i t x i =为齐线性方程的n 个线性无关解,则这 一齐线性方程的所有解可表为————————————————。
2、形如————————————————的方程称为欧拉方程。
3、如果),...,2,1)((n i t x i =为齐线性方程的一个基本解组,)(t x i 为非齐线性方程的一个特解,则非齐线性方程的所有解可表为————————————。
4、设0)(1≠t x 是二阶齐线性方程021=+'+''x a x a x 的一个解,则方程的通解可表为—————————————————————。
5、微分方程tx x 3sin 1=+''的基本解组为——————————。
6、函数组t t t e e e 2,,-的伏朗基行列式为—————————。
7、若),...,2,1)((n i t x i =b t a ≤≤上线性相关,则伏朗基行列式满足——————。
8、解线性方程的常用方法有————、————、————、————。
9、n 阶齐线性方程的线性无关解的最大个数为————。
二、 计算(50分)1、 求32254+=-'+''-'''t x x x x 的通解。
2、 求方程0)()(32='+'-''x x x x3已知。
的解,试求方程的通解是0sin 2=+'+''=x x x ttx t 4、求方程t t x x t x t ln 22=+'-''的通解。
5、的解。
求方程1)0()0()0()0(,2)4(='''=''='==+x x x x e x x t 三、 证明题(20分)1、 ),...,2,1)((n i t x i =是齐次线性方程组的n 个解,则有:当)()......,(1t x t x n 在[a,b]上线性无关时,伏朗斯基行列式w(t)≠0,t ],[b a ∈.2、若()(1,2)i x t i =是非齐次线性方程43sin x x x x ''''''++=的2个解,则有:当12lim()()n x t x t →∞-存在。
常微分方程第四章测验试卷(1)参考答案一、填空1.∑=ni i i t x c 1)(2.0 (11)111=++++----y a dx dy x a dx y d x a dx y d x n n n n n n n n3.∑=+ni i i t x t x c 1)()(4.dt x et x c t x c t x tt dss a ⎰⎰+=-21)(121101)()()(5.cost 、sint. 6tttt t ttt te e e e e e e e e 22242---- 7.w(t)=0 8.比较系数法、常数变易法、拉普拉斯变换法、复数法。
9.由积分⎰∞-=0)()(dt t f e s F st 所定义的确定于复平面)(Re σ>s 上的复变数s 的函数F(s)10、n 二、计算4)(4;1325223225232)(25)()(0210254025412321101001001001023213--++=-=-=⎩⎨⎧=-=-+=-+-+=+-+======-+-=-'+''-'''t e c te c e c t x B B B B B t B B t B t B t B B t t x B t B t x e te e x x x x t t t tt t 所以原方程的通解为:解之得故有即的同次幂系数得:比较代入原方程,的特解。
将原方程有形如不是方程的特征根所以因为、、基本解组为。
故齐线性方程的一个,,解得的特征方程为、齐线性方程λλλλλλλ2112111111112232ln 1ln 1)11(1111ln ln ln 111ln 00.00,2c t x c x c x c t x c x dt dx xc x c x c dt dxx c x c y y y x c c y y x dyy dy y x y y dy x dy y y dxdyxy c x y y y dxdyxy dx dy y x y x +=+=+=+=++=+=-=+--=-+=-==+-≠===+-=''='⎰⎰或所以原方程的通解为即即时,时,即代入原方程得则、解:令tt c t t c dt t t t c ttc dt t t e t t c t t c t x dtt cos sin sin 1sin sin sin sin sin )(32122122221+=+=⎰+=⎰⎰-示为:、解:方程的通解可表.ln sin ln cos ln ln sin )(ln cos )()(ln cos ln sin ln )(ln sin ln cos ln )(ln cos ln )(ln sin ln )(ln )ln cos ln )(sin ()ln sin ln )(cos (0ln sin )(ln cos )(.ln sin )(ln cos )()(.ln sin ,ln cos .1;102)1(0242121221121212121212t t c t t c t t t t t c t t t c t x c t t t t c c t t t t c ttt t c ttt t c t t t t t c t t t c t t t c t t c t t t c t t t c t x t t t t i k i k k k k k t x x x t x t k ++=+=++=+-=='-='⎪⎪⎩⎪⎪⎨⎧=+'+-'='+'+=-=+=⇒=+--==+'-''所以原方程的解为积分得解得:由常数变易法,设本解组为所以欧拉齐次方程的基的方程。
的解。
得到确定寻找形如的解。
这是欧拉方程,、解:先求5、.)(01)0()0()0()0()(122)(122222222222222223,2,1,0,42sin 42cos1432122sin 22422cos 22322sin 22222cos 221432144t tt t t t t t t t t t t e t x c c c c x x x x e ec ec ec e c t x A e Ae Ae t x i i ii k k i k =====⇒='''=''='=++++==⇒===-=--=+-=+==+++==+---所以由所以代入原方程得以不是方程的特征根,所;;;解:λλλλλππππλλ6、............11)0(,00)0( (2)21010++++==⇒='=⇒=++=nn n n x a x a x y a y a y x a x a a y 所以为方程的解。
解:设②............2112++++='-n n x na xa y ③ ......)1(......222+-++=''-n n x a n n a y ④②③④代入原方程中比较系数得21......0102432-====-n a a a a a n n ;;;的值代回成立。
将对一切正整数也即,!因而...)2,1,0(0!1)!1(11,......!41,03161,0,!2121298765===-=======+i a k a k k k a a a a a a i kk ②即得2...)!...!21(...!...!22421253xk k xe k x x x x k x x x x y =+++++=+++++=+三、证明 1、证明:用反证法:假设存在)(......)()(0)(......)(],[),()(.,...,0)(0)(...)()(. 0)(...)()(0)(...)()(......,,0)(],,[0)1(0012100)1(0)1(220111002201100220112100==='==++∈==⎪⎪⎩⎪⎪⎨⎧=++='+'+'=+++=∈-=---∑t x t x t x x t a dtx d t x b a t t x c t x c c c t w t x c t x c t x c t x c t x c t x c t x c t x c t x c c c c t w b a t n n n n n ni i i n n n n n n n n n n n :的解,且满足初始条件为由叠加原理,构造函数,故它就有非零解:其系数行列式的线性方程组:考虑关于使得又.0)(],[)()......(),(......,].,[,0)(......)()(],,[,0)()(.0)(......)()(021*******)1(00≠∈=+++∈≡≡==='=≡-t w b a t x t x t x c c c b a t t x c t x c t x c b a t t x t x t x t x t x x n n n n n 以上线性相关,矛盾。
所在不全为零,亦即其中即定理知:由解的存在惟一性且也满足也是齐次方程的解,并2、证明:)()()(......)(1111t f x t a dt dxt a dtx d t a dt x d n n n n n n =+++--- A设)(),()()......,()(),()()()()......(),(2121t x t x t x t x t x t x t x A t x A t x t x t x n n +++的一个解,则是个基本解组。
对应的齐线性方程的一为①均为A 的解。
同时,①是线性无关的。
事实上,假设存在常数∑∑=+=-=ni i n i iit x cc t x 111)()( ②②的坐端为非齐线性方程的解,右端为齐线性方程的解,矛盾。
从而有∑==ni ii t x c 10)(,又)......2,1)((n i t x i=为齐线性方程的基本解组,故有,0.0......121====+n n c c c c 进而有即①是线性无关的。