七年级(下册)数学计算题汇总
- 格式:doc
- 大小:163.00 KB
- 文档页数:10
七年级下册数学计算题30道一、计算题30道(其中20道带解析)1. 计算:(-2)+3 - (-5)- 解析:- 首先去括号,根据去括号法则,-(-5)=5。
- 则原式变为-2 + 3+5。
- 按照从左到右的顺序计算,-2+3 = 1,1 + 5=6。
2. 计算:4 - 5×(-(1)/(2))^3- 解析:- 先计算指数运算,(-(1)/(2))^3=-(1)/(8)。
- 再计算乘法运算,5×(-(1)/(8))=-(5)/(8)。
- 最后计算减法运算,4-(-(5)/(8)) = 4+(5)/(8)=(32 + 5)/(8)=(37)/(8)=4(5)/(8)。
3. 计算:(-3)×(-4)÷(-6)- 解析:- 先计算乘法,(-3)×(-4)=12。
- 再计算除法,12÷(-6)= - 2。
4. 计算:((1)/(2)-(2)/(3)+(5)/(6))×(-18)- 解析:- 根据乘法分配律a(b + c+d)=ab+ac + ad,这里a=-18,b=(1)/(2),c =-(2)/(3),d=(5)/(6)。
- 则(1)/(2)×(-18)=-9,-(2)/(3)×(-18)=12,(5)/(6)×(-18)=-15。
- 所以原式=-9 + 12-15=-12。
5. 计算:-2^2-(-3)^3÷(-1)^2n + 1(n为整数)- 解析:- 先计算指数运算,-2^2=-4,(-3)^3=-27,(-1)^2n + 1=-1(因为2n+1是奇数)。
- 则原式=-4-(-27)÷(-1)=-4 - 27=-31。
6. 计算:(2x - 3y)+(5x + 4y)- 解析:- 去括号得2x-3y + 5x+4y。
- 合并同类项,(2x + 5x)+(-3y+4y)=7x + y。
七年级下册数学计算题大全1. 四则运算1.1 加法1.求解:3 + 7 = ?2.求解:12 + 5 = ?3.求解:-8 + 4 = ?4.求解:0 + 14 = ?1.2 减法1.求解:10 - 4 = ?2.求解:15 - 7 = ?3.求解:-6 - 3 = ?4.求解:0 - 10 = ?1.3 乘法1.求解:3 × 4 = ?2.求解:8 × 5 = ?3.求解:-2 × 6 = ?4.求解:0 × 7 = ?1.4 除法1.求解:12 ÷ 3 = ?2.求解:20 ÷ 4 = ?3.求解:-21 ÷ 7 = ?4.求解:0 ÷ 8 = ?2. 小数运算2.1 加法1.求解:1.2 + 0.8 = ?2.求解:3.5 + 1.7 = ?3.求解:-2.3 +4.5 = ?4.求解:0.9 + 0.1 = ?2.2 减法1.求解:5.8 -2.3 = ?3.求解:-3.2 - 1.5 = ?4.求解:0.8 - 0.4 = ?2.3 乘法1.求解:1.5 × 2 = ?2.求解:3.2 × 0.5 = ?3.求解:-2.5 × 4 = ?4.求解:0.3 × 6 = ? 2.4 除法1.求解:6 ÷2.5 = ?2.求解:7.2 ÷ 1.2 = ?3.求解:-10.5 ÷ 3 = ?4.求解:0.6 ÷ 0.2 = ?3. 分数运算3.1 加法1.求解:1/4 + 1/8 = ?2.求解:3/5 + 2/5 = ?3.求解:-1/3 + 2/3 = ?4.求解:2 + 1/2 = ? 3.2 减法1.求解:5/6 - 1/3 = ?2.求解:7/8 - 2/8 = ?3.求解:-3/5 - 1/5 = ?4.求解:4 - 1/3 = ? 3.3 乘法1.求解:2/3 × 3/4 = ?2.求解:5/6 × 2/5 = ?3.求解:-4/7 × 3/4 = ?4.求解:2 × 3/8 = ? 3.4 除法1.求解:2/3 ÷ 3/4 = ?2.求解:5/8 ÷ 4/5 = ?4.求解:4 ÷ 2/7 = ?4. 混合运算1.求解:3 × (4 + 2) ÷ 2 - 1 = ?2.求解:(5 - 3) ÷ (2 + 1) × 4 = ?3.求解:3/4 + 1/5 - 2/7 = ?4.求解:2 × (1/2 + 3/4) ÷ 4 = ?以上是七年级下册数学计算题的一部分,希望对你的学习有所帮助。
七年级下册数学计算题汇总第六章《实数》计算题13.计算题:(7^)'石七—a 125+&-4),■卜E I . (2):1+| :■:- 1| - (一 :+1).16. 计算: (1) (-. ■) 2--^.1 ■' + 一 4-| - 6|(2) |1-逅|+| 近-V31+^3- 2| . (3) 4 (x+3) 2 - 16=0 (4) 27 (x -3) 3=-8. 17. 把下列各数分别填在相应的括号内:!,- 3, 0,0.3,〒,-1.732,「「| 一| , 「丄,’.” 0.1010010001 … 整数{ _____________________ };1 •计算: (1)丨.J+P 1| —丨3- 」 ⑵-一:.堆十. -2. 计算:- I 2-应I -寻叨-3.4.5.6. (1)计算:.一」,+----- + ― 计算:-32+L ■- 3|+ I.. 计算寸 -+|3 - .||+,::卡■- -.「.]_ 计算:.+| - 2|+ 打_. + ( - 1) (2) (x- 1) 2二20157.8. 9. 计算:(-1) 2015+- F|1- :-| -.':. 解方程 (1) 5x 3= 求下列各式中x 的值: 10. 求下列各式中的x 11. 求下列各式中x 的值 12. 计算(1) - ■+(:;) 40 ①4貳=25 (1) 4/=81; (1) (x+1) 2 2+一「 (2) 4 (x - 1) 2=9. ②27 (x - 1) 3-8=0.(2) (2x+10) 3=-27.3=0;(2) 30+4=- 20.(2)+「-丨1-: ;I14.计算 (1^4 ^25-石帀;七年级下册数学计算题汇总3分数;{ 正数{ 负数{ 有理数{ 无理数{ 18. 将下列各数填入相应的集合内.-7, 0.32 , — , 0 ,::,① 有理数集合{ ② 无理数集合{ ③ 负实数集合{19.把下列各数按要求填入相应的大括号里:整数集合: 分数集合: 自然数集合:{ ___ }; 正有理数集合:{ ___ }.(-6),非正整数集合:{ ___ ••} 负分数集合:{ _…} 无理数集合:{ —••}.无理数集合:{ 负有理数集合: 正分数集合:{-10, 4.5,20 ,0, -( - 3), 2.10010001 …,42 , - 2n ,,- —:,n, 0.1010010001 …••} ••} ••}.20.把下列各数分别填入相应的大括号 22 -5 , | -|| , 0, - 3.14,耳,-12, 0.1010010001 …,+1.5, -30% ,正有理数集合:{…}21.将下列各数填入相应的集合中.1 22丄,-2.55555…,3.01, +9, 4.020020002…, +10% , - 2 n.七年级下册数学计算题汇总非负整数集合:{} 22 •把下列各数分别填在相应的集合里:-11,军,0.3, 0,— 1.7, 21,—2, 1.01001, +6, n(1)整数集合{(2)正分数集合{(3)无理数集合{…}…}••}-第八章《二元一次方程组》计算题1. 2.3. 用指定的方法解下列方程组: (1)(代入法)(2) 『跻5旦(加减法)、4y-3i=-l 04. 计算:(1) 计算:届+眉币—|1—血I ; (2) 解方程组严却1. 5. 解下列方程组: (1) 严 T3x+2y=8(2).2x+2y=56.(1)计算:-—| f . ;|+ ;「+―12.解方程组: (1) 『心 13x+2y=8 (2) (用加减法解)(2)解方程组: 鬥 [2(1-4)-3(y-l)=3 7. 8. 9. 10. 11. 解方程组 解方程组:解方程组 (2x-y —4 l4x-5y=-23 |3x-2y=10 解方程组 解方程组:x+2y=7 2x+y=2 f3^-71 x+3y=-lr 5x+2y=25|3x+4y=15解方程组:13. 解方程组:(1) (心皿 ,3x+y=l (2) 『跻妒I4x-5y=3 14. 解方程(组): 2rFl . -1+x:2(1) 2- r3x-5y=3 (2)[ x y ——-1 ^23 15. 解方程组: 16. 解方程组: 3nd-b=ll Tirrb二11 4x+y=5 x-2y=8 17.用适当方法解下列方程组. (1) 产皿 (2) 件喇.4x+5y=27 18.解方程组: (1) 5x+2y=8(2) 1 ■ ‘2ird-3n=12 19.解方程组 (1) (2) 乜曲卢7 2x-y=3Wn=7 、3m-5nP-3 20.解下列方程组 (1) (2)r 2jr-y=Ex-l=Y®y-l) ^x+2y=l2x-3y=5 21.解下列方程组: f ^+1 _ (1)[K 十T22.解方程组 P y=3i-75x+2y=8 px-2y=4 12x+3y=725.解下列方程组 ^x-2y=7J3xi-4y=-lr3〔妙y) -4 (s-y ) = 4i , K~y ,| 2 _1(2)卫y+5沪2二 4y-3i=-l0 23. (1) f 3K =1-2y i5x-4y=31 (2)4(K-y-l)=S Cl -7) -224. r3K +2y=l [4x+3y=2(1) (2)(1)(2)第九章《一元一次不等式》计算题1 •解下列不等式,并把它的解集在数轴上表示出来.4- 2 (x—3)>4 (x+1)2.解不等式,并把解集在数轴上表示出来: 2 (x+1)>x.3.解不等式寺-K7-x,并把解集在数轴上表示出来.-5-4-3-2-10 1 2 3 4 54 •解不等式组:丄5.解不等式组3 6 2 L2Z-T<3(K-1)fx-2>0® 卜2計&>0②,并把解集在数轴上表示出来.6 .7 .8 . 解不等式组:解不等式组:解不等式组a卜-3(罠-2) >4①r^3(u-2)>4| 2耳-].1. §3x-l<5并将解集在数轴上表示出来.J-2~^1 01 ~2~F"r s-l>-29.解不等式组: ,并把它的解集在数轴上表示出来. 10.解不等式组:11 .解不等式组:f5s+7>3(KH)2K-6^5^+G3K< 2x^1并在数轴上表示解集.12 .解不等式组:3F4(x-l) >113.解不等式组:14 .解不等式组:3〔时5x 討£申' 3-4(K-n<i..5-4-3-2-10123422. (1)计算 7(切? + 3V-8^V25+ 11 -忑 If3Cx+y)-2(2a-y)=3(2) 解方程组、乙、'\ 3^1~=^12 I-3 (直-1) W 7 (3) 解不等式组2—5区厂解不等式5x+15>0,并将解集在数轴上表示出来.[IIIIIr27.解不等式,并把解集表示在数轴上.2x-l 9號42才3 6 7-4 -3 -2 -1 0 1 2 3 4 515. > 4,并将其解集在数轴上表示出来.16. 解不等式2x-l>-1 (把解集在数轴上表示出来)17. 解不等式: 18. 解不等式组 19. 解不等式组:x_ 二 v 2x 』.7I*. I f5s-6<2(x43)邑迂L并把其解集在数轴上表示出来.20. 解不等式组,并在数轴上将解集表示出来.21. (1)解不等式: (2)解不等式组:2时3 31S-7K <10-3K .vx+2; 并把它的解集在数轴上表示出来. 23. 24. r2-3x>-2解不等式2x - 7 v 5 -2x. 求不等式组的所有整数解.25. 解不等式:26.35.解下列不等式(组),并把解集在数轴上表示出来. (1) 3 (1-x )- 2 (4 - 2x )< 028 .求不等式2x - 3 >x 的解集29.解下列不等式(组),并把解集表示在数轴上. (1) (2)2x-l 14-x —>X[譽海I X-3G-1X530.解下列不等式组,并把不等式组的解集表示在数轴上If2x-l>l (1)(2)31 .解下列不等式(组): >^- 1;3 , 7Cx-5)+2(x+l )>-lE 3 ~ Z32.解不等式(组)并在数轴上表示解集 (2)(1) (x+2) (x -2) +5>(x - 5) (x+1)>4g-L .(2)33.解不等式(组)(1)3 (1-x )v 2 (x+9); (2)[計呂W 分-「34.解不等式(组) (1) (2)1 <L'X L~~T(1)冷X解不等式(组),并把解集在数轴上表示出来. 5 (x — 1)> 6x — 10 2只~1 5 蛊+1 ~~3 勺.Sx-l-^C 3(z+l)r5(K+l)+2<5K+3求孟-1 、-.的自然数解. 解不等式:—解下列不等式,并把解集在数轴上表示出来:3 (x+2)— 8> 1 — 2 (x — 1);x-3 1>x "523(2) 36. (1) (2)37. 38.39.(1) (2)40.解不等式组:。
七年级下册计算题100题强化训练1、 计算: 2014201(1)()(3.14)2π--+---2、计算: ()()222223366m m n m n m -÷--3、先化简再求值 (5x 2y 3﹣4x 3y 2+6x )÷6x ,其中x=﹣2,y=24、计算:()()()2211x x x +--+5、若2(3)(4)mx x x -+的积中不含2x 项,求m 的值.6、化简再求值:()()x x y x x 2122++-+,其中251=x ,25-=y 。
7、若4=m x ,8=n x ,求n m n m x x +-23和的值。
8、计算:);12(6)2(23-+-x x x x9、计算:(﹣4)2007×(﹣0.25)200810、计算:5 (a 2b -3ab 2)-2(a 2b -7ab 2)11、化简求值:.12、计算:()()x y x y -+-2(x-y ))4)(()2(2b a b a b a ---+2012=b13、化简求值:2(21)4(1)(2)x x x --+-,其中2x =14、计算:()()22012011 3.142π-⎛⎫-+--- ⎪⎝⎭15、计算:()()()2112+--+x x x16、化简并求值:()()()()2212+++---a b a b a b a ,其中12a =,2-=b 。
17、计算:4562﹣457×455.18、计算:(x ﹣y )3÷(y ﹣x )219、计算:a 2•a 4+(﹣a 2)320、化简并求值:[(3x+2y )(3x ﹣2y )﹣(x+2y )(5x ﹣2y )]÷4x21、化简并求值:(3a ﹣b )2﹣3(2a+b )(2a ﹣b )+3a 2,其中a=﹣1,b=2.22、计算:()()223222xy y x ÷-23、计算:)3()()3(24322b a ab b a ÷⨯24、计算:()()232021211981-+⎪⎭⎫ ⎝⎛-+----π25、计算:)3)(2(2)2(2-+--x x x26、计算:()22231231⎪⎭⎫ ⎝⎛÷-⎪⎭⎫ ⎝⎛ab ab a ab27、 计算: 2)12()23)(23(--+-mn mn mn28、先化简再求值: ()()()()212152323-----+x x x x x ,其中31-=x 。
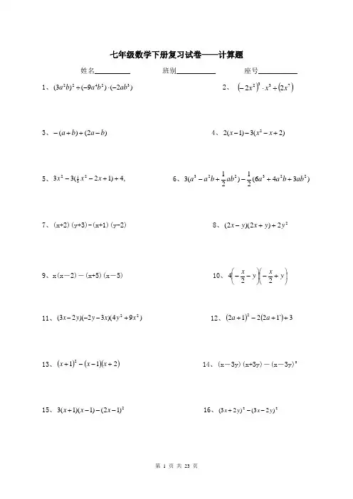
七年级数学下册复习试卷——计算题&解答题姓名__________ 班别___________ 座号___________一、计算题:1、)2()9()3(32422ab b a b a -⋅-÷2、 ()()733222x x x ÷⋅-3、)2()(b a b a -++-4、22(1)3(2)x x x ---+5、,4)12(332312++--x x x 6、)346(21)21(3223223ab b a a ab b a a ++-+-7、(x+2)(y+3)-(x+1)(y-2) 8、22)2)(2(y y x y x ++-9、x(x -2)-(x+5)(x -5) 10、⎪⎭⎫⎝⎛+-⎪⎭⎫ ⎝⎛--y x y x 22411、)94)(32)(23(22x y x y y x +--- 12、()()3`122122++-+a a13、()()()2112+--+x x x 14、(x -3y)(x+3y)-(x -3y)215、23(1)(1)(21)x x x +--- 16、22)23()23(y x y x --+17、22)()(y x y x -+ 18、x y y x ÷-+])3[(2219、0.125100×810020、()xyxy xy y x 183********÷--21、3022)2(21)x (4554---÷⎪⎭⎫ ⎝⎛--π-+⎪⎭⎫ ⎝⎛-÷⎪⎭⎫ ⎝⎛ 22、(1211200622332141)()()()-⨯+----二、用乘法公式计算下列各题:23、999×1001 24、1992-25、298 26、2010200820092⨯-三、解答题::27、化简求值:)4)(12()12(2+-+-a a a ,其中2-=a 。
28、化简求值2(2)2()()2(3)x y x y x y y x y +--++-,其中12,2x y =-=。
由于数学题的字符是要输入的,因此无法计算题目字符数量。
我可以为您提供一些数学题,但无法保证您要求的数量。
以下是一些七年级下册的数学题:1.计算:18+4÷2=2.简化:12÷6×4=3.求解:3x+5=14,求x的值。
4.计算:32-17÷3=5.简化:24÷8×2=6.求解:4y-6=10,求y的值。
7.计算:15+8-6=8.简化:18÷9×5=9.求解:2m+9=25,求m的值。
10.计算:75-12+9=11.简化:36÷6×7=12.求解:5n-8=22,求n的值。
13.计算:18-3×2=14.简化:9÷3×5=15.求解:7p+4=25,求p的值。
16.计算:24-5+3=17.简化:45÷9×6=18.求解:8q+7=39,求q的值。
19.计算:32÷8×4=20.简化:28÷7×3=21.求解:6r+2=20,求r的值。
22.计算:28-4×3=23.简化:48÷6×2=24.求解:9s+6=33,求s的值。
25.计算:54-7+8=26.简化:63÷9×5=27.求解:7t+3=38,求t的值。
28.计算:36-4×5=29.简化:72÷9×4=30.求解:4u+14=42,求u的值。
这只是其中的一部分题目,如果您还需要更多题目,请告知我需要的数量。
七年级数学下册复习试卷——计算题姓名__________ 班别___________ 座号___________1、)2()9()3(32422ab b a b a -⋅-÷2、 ()()733222x x x ÷⋅-3、)2()(b a b a -++-4、22(1)3(2)x x x ---+5、,4)12(332312++--x x x6、)346(21)21(3223223ab b a a ab b a a ++-+-7、(x+2)(y+3)-(x+1)(y-2) 8、22)2)(2(y y x y x ++-9、x(x -2)-(x+5)(x -5) 10、⎪⎭⎫⎝⎛+-⎪⎭⎫ ⎝⎛--y x y x 22411、)94)(32)(23(22x y x y y x +--- 12、()()3`122122++-+a a13、()()()2112+--+x x x 14、(x -3y)(x+3y)-(x -3y)215、23(1)(1)(21)x x x +--- 16、22)23()23(y x y x --+17、22)()(y x y x -+ 18、x y y x ÷-+])3[(2219、0.125100×8100 20、()xy xy xy y x 18361085422÷--21、3022)2(21)x (4554---÷⎪⎭⎫ ⎝⎛--π-+⎪⎭⎫ ⎝⎛-÷⎪⎭⎫ ⎝⎛ 22、(1211200622332141)()()()-⨯+----用乘法公式计算下列各题:23、999×1001 24、1992-25、298 26、2010200820092⨯-27、化简求值:)4)(12()12(2+-+-a a a ,其中2-=a 。
28、化简求值2(2)2()()2(3)x y x y x y y x y +--++-,其中12,2x y =-=。
七年级下册数学计算题300道一、整数的加减法1. (-4) + 3 = ?2. (-5) - (-2) = ?3. 7 + (-8) = ?4. (-3) - 6 = ?5. 9 + (-11) = ?6. (-2) + 5 + (-7) = ?7. 8 + (-4) - 3 = ?8. (-6) - (-9) + 2 = ?9. 5 - (-6) + (-2) = ?10. (-8) + 4 - (-3) = ?二、正数的乘除法1. 7 × 9 = ?2. 12 ÷ 6 = ?3. 20 ÷ 4 × 5 = ?4. 36 ÷ 3 - 4 = ?5. 15 ÷ 5 × 3 = ?6. 48 ÷ 6 × 4 = ?7. 10 × 5 - 25 ÷ 5 = ?8. 24 ÷ 8 × 3 = ?9. 16 ÷ 4 + 6 × 2 = ?10. 25 - 15 ÷ 3 × 2 = ?三、分数的加减法1. 1/3 + 2/3 = ?2. 1/4 + 3/4 = ?3. 2/5 - 1/5 = ?4. 3/8 - 1/8 = ?5. 2/3 + 1/6 = ?6. 3/5 + 1/5 = ?7. 5/6 - 2/6 = ?8. 2/3 - 1/3 = ?9. 1/2 + 1/4 + 1/8 = ?10. 3/8 - 1/4 + 1/2 = ?四、分数的乘除法1. 1/4 × 3/5 = ?2. 3/8 ÷ 1/4 = ?3. 2/3 × 3/4 = ?4. 1/2 ÷ 2/3 = ?5. 5/6 × 4/5 ÷ 3/4 = ?6. 3/4 ÷ 6/8 × 2/3 = ?7. 2/5 × 2/7 ÷ 3/10 = ?8. 2/3 × 3/5 + 1/4 = ?9. 5/8 ÷ 1/4 - 2/3 = ?10. 3/5 × 2/3 - 1/4 = ?五、小数运算1. 0.5 + 0.25 = ?2. 0.7 - 0.4 = ?3. 2.5 - 0.75 = ?4. 3.2 + 1.8 - 1.9 = ?5. 1.5 × 2.5 = ?6. 2.4 ÷ 1.2 = ?7. 3.6 + 0.3 × 2.5 = ?8. 4.8 ÷ 0.6 + 2.4 = ?9. 1.5 - 0.7 ÷ 0.5 = ?10. 2.5 × 0.8 - 1.4 ÷ 0.7 = ?六、比例运算1. 若2∶5=4∶m,则m等于多少?2. 若7∶10=9∶m,则m等于多少?3. 若x∶3=6∶9,则x等于多少?4. 若3∶x=15∶30,则x等于多少?5. 若3∶4=x∶6,则x等于多少?6. 若3∶4=x∶12,则x等于多少?7. 若3∶x=16∶24,则x等于多少?8. 若3∶5=x∶15,则x等于多少?9. 若5∶m=8∶10,则m等于多少?10. 若2∶3=x∶20,则x等于多少?七、百分数运算1. 将70%化为小数。
七年级下册数学计算题库及答案以下是七年级下册数学计算题库及答案:一、整数的加减乘除1. 计算:-5+8-(-9)=?答案:122. 计算:-7-(-10)+2-(-5)=?答案:63. 如果a=5,b=-3,c=-2,则(a-b)(a+c)+(a-b)(-b+c)的值为多少?答案:-324. 计算-7÷(4-3)×2=?答案:-14二、小数的加减乘除1. 计算:0.65+0.24-0.56=?答案:0.332. 计算:0.16-0.08+0.5=?答案:0.583. 用两个不同的小数表示21.6,并求它们的和。
答案:12.3+9.3=21.64. 线段长度为10.62厘米,将它分为4段,每段长度保留一位小数,求每段长度。
答案:2.7厘米、2.7厘米、2.6厘米、2.6厘米三、分数的加减乘除1. 计算:2/3-1/4+5/6=?答案:12. 计算:3/4÷2/3=?答案:9/8或1又1/83. 计算:1/3+1/5-1/2=?答案:-1/15或-0.0674. 计算(2/5)×(1/3)×(5/6)=?答案:1/9或0.111四、百分数的运算1. 用百分数表示:5/8答案:62.5%2. 计算:40%-20%+15%=?答案:35%3. 将72%转换为分数。
答案:18/254. 将1 1/4转换为百分数。
答案:125%五、有理数的比大小1. 将-3、-1.5、-2/3、0、1/2、2/3从小到大排列。
答案:-3、-1.5、-2/3、0、1/2、2/32. 对于以下四个数:-1.25,-1 1/2,-1.2,-1.5,其中哪两个相等?答案:-1.25和-1.23. 对于两个有理数a和b,如果a+b=0且a>b,则a和b的大小关系是什么?答案:a>-1/2,b<-1/24. 在数轴上标出以下三个数的位置大小关系:-0.5,0,|-0.5|答案:|-0.5|<0<-0.5六、数学问题的解法1. 一个整数加上2再乘以3的结果为12,这个整数是多少?答案:22. 平均年龄为15岁的一家4口,其中3个人的年龄分别为13岁、15岁、17岁,则另外一个人的年龄是多少?答案:19岁3. Lisa和Lucy去购物,两人分别花了自己的钱和父母给的钱。
七年级下册数学《第六章实数》专题实数的运算计算题(共45小题)1.(2022秋•招远市期末)计算:(1)(5)2+(−3)2+3−8;(2)(﹣2)3×18−327×(−【分析】(1)原式利用平方根及立方根定义计算即可求出值;(2)原式利用乘方的意义,算术平方根及立方根定义计算即可求出值.【解答】解:(1)原式=5+3+(﹣2)=8﹣2=6;(2)原式=(﹣8)×18−3×(−13)=(﹣1)﹣(﹣1)=﹣1+1=0.【点评】此题考查了实数的运算,熟练掌握运算法则是解本题的关键.2.(2022•庐江县二模)计算:0.04+3−8−【分析】先计算被开方数,再开方,最后加减.【解答】解:原式=0.2﹣2−=0.2﹣2−45=0.2﹣2﹣0.8=﹣2.6.【点评】本题考查了实数的混合运算,掌握开方运算是解决本题的关键.3.(2022春•上思县校级月考)计算:(1)−12+16+|2−1|+3−8;(2)23+|3−2|−364+9.【分析】(1)直接利用算术平方根的性质、绝对值的性质、立方根的性质分别化简,进而计算得出答案;(2)直接利用算术平方根的性质、绝对值的性质、立方根的性质分别化简,进而计算得出答案.【解答】解:(1)−12+16+|2−1|+3−8;=﹣1+4+2−1﹣2=2;(2)原式=23+2−3−4+3=3+1.【点评】此题主要考查了实数的运算,正确化简各数是解题关键.4.(2022春•渝中区校级月考)实数的计算:(1)16+(−3)2+327;(2)3−3+|1−33|﹣(−3)2.【分析】(1)先计算平方根和立方根,再计算加减;(2)先计算平方根、立方根和绝对值,再计算加减;【解答】解:(1)16+(−3)2+327=4+3+3=10;(2)3−3+|1−33|﹣(−3)2=−33+33−1﹣3=﹣4.【点评】此题考查了实数的混合运算能力,关键是能准确理解运算顺序,并能进行正确地计算.5.(2022秋•原阳县月考)计算:(1)3−8+4−(−1)2023;(2)(−9)2−364+|−5|−(−2)2.【分析】(1)先化简各式,然后再进行计算即可解答;(2)先化简各式,然后再进行计算即可解答.【解答】解:(1)3−8+4−(−1)2023=﹣2+2﹣(﹣1)=0+1=1;(2)(−9)2−364+|−5|−(−2)2=9﹣4+5﹣4=6.【点评】本题考查了实数的运算,准确熟练地化简各式是解题的关键.6.(2022春•牡丹江期中)计算:(1)−12−0.64+3−27−125(2)3+(−5)2−3−64−|3−5|.【分析】(1)先计算平方、平方根和立方根,再进行加减运算;(2)先计算平方根、立方根和绝对值,再进行加减运算.【解答】解(1)−12−0.64+3−27−=﹣1﹣0.8﹣3﹣0.2=﹣5;(2)3+(−5)2−3−64−|3−5|=3+5+4+3−5=23+4.【点评】此题考查了运用平方根和立方根进行有关运算的能力,关键是能准确理解并运用以上知识.7.(2022秋•南关区校级期末)计算:16−(−1)2022−327+|1−2|.【分析】直接利用有理数的乘方运算法则、绝对值的性质、平方根的性质分别化简,进而得出答案.【解答】解:原式=4﹣1﹣3+2−1=2−1.【点评】此题主要考查了实数的运算,正确化简各数是解题关键.8.(2022秋•成武县校级期末)计算:﹣12022−364+|3−2|.【分析】这里,先算﹣12022=﹣1,364=4,|3−2|=2−3,再进行综合运算.【解答】解:﹣12022−364+|3−2|=﹣1﹣4+2−3=﹣3−3.【点评】本题考查了实数的综合运算,计算过程中要细心,注意正负符号,综合性较强.9.(2022春•昌平区校级月考)3125+(−3)2−【分析】先化简各式,然后再进行计算即可解答.【解答】解:3125+(−3)2−=5+3−27=5+3﹣(−23)=5+3+23=823.【点评】本题考查了实数的运算,准确熟练地化简各式是解题的关键.10.(2022春•舒城县校级月考)计算:3−27|−2|+1.【分析】首先计算开方、开立方和绝对值,然后计算乘法,最后从左向右依次计算,求出算式的值即可.【解答】解:3−27|−2|+1=﹣3+12×4+2+1=﹣3+2+2+1=2.【点评】此题主要考查了实数的运算,解答此题的关键是要明确:在进行实数运算时,和有理数运算一样,要从高级到低级,即先算乘方、开方,再算乘除,最后算加减,有括号的要先算括号里面的,同级运算要按照从左到右的顺序进行.另外,有理数的运算律在实数范围内仍然适用.11.(2022春•舒城县校级月考)计算:﹣12+|﹣2|+3−8+(−3)2.【分析】先化简各式,然后再进行计算即可解答.【解答】解:﹣12+|﹣2|+3−8+(−3)2=﹣1+2+(﹣2)+3=﹣1+2﹣2+3=2.【点评】本题考查了实数的运算,准确熟练地化简各式是解题的关键.12.(2021秋•镇巴县期末)计算:(−1)10+|2−2|+49+3(−3)3.【分析】按照实数的运算顺序进行运算即可.【解答】解:原式=1+2−2+7−3=7−2.【点评】本题考查了实数的运算,掌握对值,立方根以及平方根的运算法则是关键.13.(2022春•阳新县期末)计算:|3−2|+3−8×12+(−3)2.【分析】先算开方和乘方,再化简绝对值算乘法,最后加减.【解答】解:原式=2−3+(﹣2)×12+3=2−3−1+3=4−3.【点评】本题考查了实数的运算,掌握乘方、开方及绝对值的意义是解决本题的关键.14.(2022春•十堰期中)计算:﹣12022+(−4)2+38+【分析】先算乘方、开方,再算乘法,最后算加减.【解答】解:原式=﹣1+4+2+10×35=﹣1+4+2+6=11.【点评】本题考查了实数的混合运算,掌握实数的运算法则、实数的运算顺序是解决本题的关键.15.(2021秋•峨边县期末)计算:|5−3|+(−2)2−3−8+5.【分析】直接利用绝对值的性质以及立方根的性质分别化简,进而得出答案.【解答】解:原式=3−5+2+2+5=7.【点评】此题主要考查了实数的运算,正确化简各数是解题关键.16.(2021秋•乳山市期末)计算:(−3)2−2×+52×3−0.027.【分析】应用实数的运算法则:先算乘方、开方,再算乘除,最后算加减,有括号的要先算括号里面的,同级运算要按照从左到右的顺序进行,进行计算即可得出答案.【解答】解:原式=3﹣2×32+52×(﹣0.3)=3﹣3−52×310=0−34=−34.【点评】本题主要考查了实数的运算,熟练掌握实数的运算进行求解是解决本题的关键.17.(2022秋•横县期中)计算:(﹣1)2022+9−(2﹣3)÷12.【分析】先计算乘方与开方和小括号里的,再计算除法,最后计算加减即可.【解答】解:原式=1+3﹣(﹣1)×2=4+2=6.【点评】此题考查的实数的运算,掌握其运算法则是解决此题的关键.18.(2022秋•儋州校级月考)计算:(1)364−81+3125+3;(2)|−3|−16+38+(−2)2.【分析】(1)直接利用立方根的性质、平方根的性质分别化简,进而计算得出答案;(2)直接利用立方根的性质、平方根的性质、绝对值的性质分别化简,进而计算得出答案.【解答】解:(1)原式=4﹣9+5+3=3;(2)原式=3﹣4+2+4=5.【点评】此题主要考查了实数的运算,正确化简各数是解题关键.19.(2022秋•海曙区校级期中)计算:(1)﹣23+3−27−(﹣2)2+1681(2)(﹣3)2×(﹣2)+364+9.【分析】(1)先计算乘方、立方根和平方根,再计算加减;(2)先计算乘方、立方根和平方根,再计算乘法,最后计算加减.【解答】解:(1)﹣23+3−27−(﹣2)2=﹣8﹣3﹣4+49=﹣1459;(2)(﹣3)2×(﹣2)+364+9=﹣9×2+4+3=﹣18+4+3=﹣11.【点评】此题考查了实数的混合运算能力,关键是能准确确定运算顺序和方法.20.(2022秋•安岳县校级月考)计算:(1)(3)2−163−8;(2)(﹣2)3×)2013−327;(3)(−4)2+32+42.【分析】(1)先化简各式,然后再进行计算即可解答;(2)先化简各式,然后再进行计算即可解答;(3)先化简各式,然后再进行计算即可解答.【解答】解:(1)(3)2−16+3−8=3﹣4+(﹣2)=﹣3;(2)(﹣2)3×+(﹣1)2013−327=﹣8×112+(﹣1)﹣3=﹣44﹣1﹣3=﹣48;(3)(−4)2+32+42=4+32+32−5=2.【点评】本题考查了实数的运算,准确熟练地化简各式是解题的关键.21.(2022秋•隆昌市校级月考)计算:(1)|−3|−16+3−8+(−2)2;(2)3−27+|2−3|−(−16)+23.【分析】(1)首先计算乘方、开平方、开立方和绝对值,然后从左向右依次计算,求出算式的值即可.(2)首先计算开平方、开立方和绝对值,然后从左向右依次计算,求出算式的值即可.【解答】解:(1)|−3|−16+3−8+(−2)2=3﹣4+(﹣2)+4=1.(2)3−27+|2−3|−(−16)+23=﹣3+(2−3)﹣(﹣4)+23=﹣3+2−3+4+23=3+3.【点评】此题主要考查了实数的运算,解答此题的关键是要明确:在进行实数运算时,和有理数运算一样,要从高级到低级,即先算乘方、开方,再算乘除,最后算加减,有括号的要先算括号里面的,同级运算要按照从左到右的顺序进行.22.(2021秋•泉州期末)计算:(−3)2×−(12)2+(−1)2022.【分析】先算乘方和开方,再算乘法,最后算加减.【解答】解:原式=3×(−12)−14+1=−32−14+1=−12−14=−34.【点评】本题主要考查了实数的运算,掌握平方根的性质、乘方运算、开方运算是解决本题的关键.23.(2022秋•新野县期中)计算:3−8+9−(−1)2022+|1−2|.【分析】利用立方根的定义,算术平方根的定义,乘方运算,绝对值的定义计算即可.【解答】解:3−8+9−(−1)2022+|1−2|.=﹣2+3−54+1+2−1=−14+2.【点评】本题考查了实数的运算,解题的关键是掌握立方根的定义,算术平方根的定义,乘方运算,绝对值的定义.24.(2021秋•新兴区校级期末)计算下列各题:(11+−1);(2)35−|−35|+23+33.【分析】(1)先化简各式,然后再进行计算即可解答;(2)先化简各式,然后再进行计算即可解答.【解答】解:(1+=27+=23+34=1712;(2)35−|−35|+23+33=35−35+23+33=53.【点评】本题考查了实数的运算,准确熟练地化简各式是解题的关键.25.(2022秋•绥德县期中)计算:2(3−1)−|3−2|−364.【分析】先去括号,化简绝对值,开立方,再计算加减即可.【解答】解:原式=23−2﹣(2−3)﹣4=23−2﹣2+3−4=33−8.【点评】本题考查实数的混合运算,平方根加法,熟练掌握实数的混合运算法则是解题的关键.26.(2022秋•义乌市校级期中)计算:﹣22×(﹣112)2−3−64−|﹣3|.【分析】先算乘方,再算乘法,后算加减,即可解答.【解答】解:﹣22×(﹣112)2−3−64−×|﹣3|=﹣4×94−(﹣4)−43×3=﹣9+4﹣4=﹣9.【点评】本题考查了实数的运算,准确熟练地进行计算是解题的关键.27.(2022秋•西湖区校级期中)计算:(1)|7−2|﹣|2−π|−(−7)2;(2)﹣22×(−4)2+3(−8)3×(−12)−327.【分析】(1)先化简绝对值和平方根,再计算加减;(2)先算乘方和根式,再计算乘法,最后加减.【解答】解:(1)|7−2|﹣|2−π|−(−7)2=7−2−(π−2)﹣7=7−2−π+2−7=﹣π;(2)﹣22×(−4)2+3(−8)3×(−12)−327=﹣4×4+(﹣8)×(−12)﹣3=﹣16+4﹣3=﹣15.【点评】本题考查了实数的混合运算,实数混合运算顺序:先算乘方,再算乘除,最后算加减;同级运算,应按从左到右的顺序进行计算;如果有括号,要先做括号内的运算.进行实数的混合运算时,注意各个运算律的运用,使运算过程得到简化.28.(2022秋•沈丘县校级月考)计算:0.01×121+0.81.【分析】直接利用平方根的性质、立方根的性质分别化简,进而得出答案.【解答】解:原式=0.1×11−15−0.9=1.1﹣0.2﹣0.9=0.【点评】此题主要考查了实数的运算,正确化简各数是解题关键.29.(2022春•西山区校级期中)计算:5−2×(7−2)+3−8+|3−2|.【分析】直接利用立方根的性质、绝对值的性质分别化简,进而计算得出答案.【解答】解:原式=5﹣27+4﹣2+2−3=9﹣27−3.【点评】此题主要考查了实数的运算,正确化简各数是解题关键.30.(2022春•东莞市期中)计算:(−3)2+(﹣1)2020+3−8+|1−2|【分析】先化简各式,然后再进行计算即可解答.【解答】解:(−3)2+(﹣1)2020+3−8+|1−2|=3+1+(﹣2)+2−1=3+1﹣2+2−1=1+2.【点评】本题考查了实数的运算,准确熟练地化简各式是解题的关键.31.(2022秋•安溪县月考)计算:16+3−27−3−|3−2|+(−5)2.【分析】直接利用立方根的性质、绝对值的性质算术平方根的性质分别化简,进而合并得出答案.【解答】解:原式=4﹣3−3−2+3+5=4.【点评】此题主要考查了实数的运算,正确化简各数是解题关键.32.(2022(−4)2×(−12)3−|1−3|.【分析】先化简各式,然后再进行计算即可解答.−(−4)2×(−12)3−|1−3|=−23+4×(−18)﹣(3−1)=−23+(−12)−3+1=−76−3+1=−16−3.【点评】本题考查了实数的运算,准确熟练地进行计算是解题的关键.33.(2022春•海淀区校级期中)计算:81+3−27−2(3−3)−|3−2|.【分析】本题涉及去掉绝对值、根式化简考点.在计算时,需要针对每个考点分别进行计算,然后根据实数的运算法则求得计算结果.【解答】解:原式=9﹣3﹣23+6﹣(2−3)=6﹣23+6﹣2+3=10−3.【点评】本题主要考查了实数的综合运算能力,解决此类题目的关键是准确熟练地化简各式是解题的关键.34.(2022春•梁平区期中)计算:3(−1)3+3−27+(−2)2−|1−3|.【分析】利用算术平方根,立方根和绝对值的意义化简运算即可.【解答】解:原式=﹣1+(﹣3)+2﹣(3−1)=﹣1﹣3+2−3+1=﹣1−3.【点评】本题主要考查了实数的运算,算术平方根,立方根和绝对值的意义,正确利用上述法则与性质化简运算是解题的关键.35.(2022春•东莞市校级期中)计算:﹣12020+(−2)2−364+|3−2|.【分析】直接利用有理数的乘方运算法则、平方根的性质、立方根的性质、绝对值的性质分别化简,进而计算得出答案.【解答】解:原式=﹣1+2﹣4+2−3=﹣1−3.【点评】此题主要考查了实数的运算,正确化简各数是解题关键.36.计算下列各题:(1)1+3−27−30.125+(2)|7−2|﹣|2−|−(−7)2【分析】(1)原式利用平方根、立方根定义计算即可求出值;(2)原式利用绝对值的代数意义计算即可求出值.【解答】解:(1)原式=1﹣3−12+0.5+18=−178;(2)原式=7−2−π+2−7=﹣π.【点评】此题考查了实数的运算,熟练掌握运算法则是解本题的关键.37.计算:30.008×172−82÷【分析】首先计算开方、乘法和除法,然后计算减法,求出算式的值是多少即可.【解答】解:30.008×−172−82÷=0.2×54−15÷(−15)=14+75=7514【点评】此题主要考查了实数的运算,要熟练掌握,解答此题的关键是要明确:在进行实数运算时,和有理数运算一样,要从高级到低级,即先算乘方、开方,再算乘除,最后算加减,有括号的要先算括号里面的,同级运算要按照从左到右的顺序进行.另外,有理数的运算律在实数范围内仍然适用.38.计算:33−2(1+3)+(−2)2+|3−2|【分析】首先利用去括号法则以及绝对值的性质和算术平方根的定义分别化简得出答案.【解答】解:原式=33−2﹣23+2+2−3=2.【点评】此题主要考查了实数运算,正确化简各数是解题关键.39.计算:(1)(−2)2×3(−8)(2)9+|1−2|−×(−3)2+|40.25−2|【分析】(1)首先计算开方和乘法,然后计算减法,求出算式的值是多少即可.(2)首先计算开方和乘法,然后从左向右依次计算,求出算式的值是多少即可.【解答】解:(1)16+32+3−8=4+3﹣2=5(2)(−2)2×23×=2×32−8×14=3﹣2=1(3)9+|1−2|−27×(−3)2+|40.25−2|=3+2−1−53×3+2−2=﹣1【点评】此题主要考查了实数的运算,要熟练掌握,解答此题的关键是要明确:在进行实数运算时,和有理数运算一样,要从高级到低级,即先算乘方、开方,再算乘除,最后算加减,有括号的要先算括号里面的,同级运算要按照从左到右的顺序进行.另外,有理数的运算律在实数范围内仍然适用.40.计算:(﹣2)2×|3−8|+2×(﹣1)2022【分析】原式利用平方根、立方根定义,绝对值的代数意义,以及乘方的意义计算即可得到结果;【解答】解:原式=2+2+2=4+2;【点评】此题考查了实数的运算,平方根、立方根,熟练掌握各自的性质是解本题的关键.41.计算:﹣22+16+38+1014×934.【分析】原式第一项利用乘方的意义计算,第二项利用算术平方根定义计算,第三项利用立方根定义计算,最后一项利用乘法法则计算即可得到结果.【解答】解:原式=﹣4+4+2+414×394=2+159916=1011516.【点评】此题考查了实数的运算,熟练掌握运算法则是解本题的关键.42.计算:|﹣5|−327+(﹣2)2+4÷(−23).【分析】根据绝对值的性质、立方根的性质以及实数的运算法则化简计算即可;【解答】解:原式=5﹣3+4﹣6=0【点评】本题考查实数的混合运算,解题的关键是:掌握先乘方,再乘除,后加减,有括号的先算括号里面的,在同一级运算中要从左到右依次运算,无论何种运算,都要注意先定符号后运算.43.(2022秋•城关区校级期中)计算:(1)12+(3)2+−913(2)(−3)2+(−1)2022+38+|1−2|.【分析】(1)直接利用平方根的性质分别化简,进而计算得出答案;(2)直接利用平方根的性质、有理数的乘方运算法则、立方根的性质、绝对值的性质分别化简,进而计算得出答案.【解答】解:(1)原式=23+3+14×43−9=23+3+3−33=3;(2)原式=3+1+2+2−1=5+2.【点评】此题主要考查了实数的运算,正确化简各数是解题关键.44.(2021春•濉溪县期末)计算:49−327+|1−2|+【分析】原式第一项利用算术平方根定义计算,第二项利用立方根定义计算,第三项利用绝对值的代数意义化简,最后一项利用平方根性质化简即可得到结果.【解答】解:原式=7﹣3+2−1+13=103+2.【点评】此题考查了实数的运算,熟练掌握运算法则是解本题的关键.45.(2022秋•岳麓区校级月考)计算−12022+(12)2+|2−3|−(−3)2.【分析】根据乘方,绝对值的意义,平方根的性质将原式进行化简,然后根据实数运算法则进行计算即可.【解答】解:原式=−1+14+3−2−3,=−34−2.【点评】本题考查了乘方,绝对值的意义,平方根的性质,掌握相关运算法则是关键.。
七年级下册数学计算题300道七年级数学下册复习试卷——计算题姓名__________ 班别___________ 座号___________332224732 21、、)?)(3a(b)??(?9a2bab x?2x2?x?2、、 432)3(xx2(x?1))b?(a?b)?(2a?1132322222、、65,1)?43x3?(xx?2?)abb6a??3(a?a4b?aab)?3(13222y)?2)(2x?yy(2x?、7、(x+2)(y+3)-(x+1)(y-2) 8xx、--、9x(x-2)(x+5)(x5) 10y4??y22222)?2)(2x(3?y?y3?9xy4x)(、、11 123?2a?12a?1`?222-(x3y) -13、、(x3y)(x+3y)- 142x1x1?x21)x?x3(1)(x(2?1)?? 16、、1522)y2?x3(?)y2?x3(22[(3x?y)?y]?x22 18、、17)(x??y)y(x22xy1836xy?54xy?108xy? 100 、 20、×8192?20321145200611?21203?、(22)?)?(??)(?(?1))(?2)(?x?、21 245234:用乘法公式计算下列各题2 1001 24、、999×231?9922 26、25、2010?2008982009?2?(2a?1)(aa(2?1)?4),其中27、化简求值:。
2?a?12)yx?32?y)(xy)?y(?2(y?(x2)?x。
其中、化简求值28 ,?y2,?x?2122,其中。
29、化简求值)?(2xxyy4?]xy[(?2)(xy?2)4,yx?4222。
30、若x+y=1,的值,?3求y求xx?y?1222006的值。
,求31、已知?a0?10a??b??2a6b b32÷;5)﹣(﹣3))﹣15; 33、﹣1+2×(﹣+32、 12﹣(﹣8)(﹣722.4(3﹣8a+2a)﹣)3y)+(5x+4y;35、(5a+2a1)﹣(34、2x﹣2).2(3a﹣2b)﹣(a﹣3b 37)、计算:364+(﹣2×2﹣(﹣36)÷4;化简:3计算:2222222;])b﹣a)﹣(+ba([﹣3b﹣4ab)2(39;)x+3﹣2x(2)﹣2﹣x(7x+4)1(38.22).3(a﹣145mn);41()2a+2(a+1)﹣)﹣(40(3)(3mn﹣5m3m﹣4.化简232322+4x)﹣(3xx+2x﹣1)(﹣1()2(2a+9b)+35a﹣4b) 43(23(42)﹣2x=2.,其中x44(2009?柳州)先化简,再求值:3(﹣1)﹣(x﹣5))+4(x+y)﹣6)的值.(x+y(,45.已知x=5y=3,求代数式3x+y2222,.已知46A=x﹣3yB=x﹣y.﹣,求解2AB22,﹣M=x47.若已知+3x5N=3x.x,求46M=2N,并且+5﹣22,求:﹣4a+4ab48.已知A=5a﹣2ab,B=,B=1.B),其中A=﹣2)﹣﹣B;(3)先化简,再求值:3(A+B2(2A﹣)(1A+B;(2)2A1.﹣7x+3,c=21x﹣a=14x49.设﹣6,b=c)的值.a﹣(b﹣b﹣c)的值;(2)当x=时,求a (1)求﹣(2)(﹣3a+2b(a﹣4b)+2)=0|a﹣2|+(b+1),求代数式2(2a﹣3b﹣b化简求值:50.已知a、满足:的值.222)的值.)﹣(,求2(xy﹣5xy3xy﹣xy﹣.已知(51x+1)+|y1|=032)÷;5 537852①12﹣(﹣)+(﹣)﹣15;②﹣1+2×(﹣)﹣(﹣322+2a④(;5x+4y+3y2x54③(﹣)()555a﹣﹣34)﹣1()8a+2a..化简22﹣4b)2a+9b)+3(﹣5a56(1)2(2323﹣2))﹣((2)3(x+2x﹣13x+4x572)÷4;)58(1)计算:4+(﹣2×2﹣(﹣36)﹣2b2(a﹣3b).(592)化简:3(3a﹣计算:22x+3);260(1)7x+4(x﹣)﹣2(2x﹣22222﹣;b)]+b﹣)61(24ab﹣3b[(a)﹣(a22(623)(;3m)﹣(﹣5mn)5m3mn﹣1).﹣()﹣()(6342a+2a+13a.x=2,其中)5﹣x)﹣(1﹣x(3(2009?柳州)先化简,再求值:64.65.已知x=5,y=3,求代数式3(x+y)+4(x+y)﹣6(x+y)的值.2222,求解y2A﹣B.66.已知A=x﹣3y,B=x﹣22x.N=3x﹣5,+5,并且6M=2N﹣4,求67.若已知M=x+3x.,b=﹣7x+3,c=21x﹣1a=14x68.设﹣6a1)求﹣(b﹣c)的值;(c)的值.﹣(b﹣a69(2)当x=时,求2)(a﹣4b)+2(﹣3a+2b﹣2a,(满足:已知70.化简求值:a、b|a﹣2|+b+1)=0求代数式2(﹣3b)的值.222)的值.﹣﹣xy5xy)﹣(3xyxy(,求﹣).已知(71x+1+|y1|=0272. 73. (x+2)(y+3)-(x+1)(y-2))b?a2(?)b?a(?74 75. x(x-2)-(x+5)(x-5)2y?2x2?y)(2x?y)( xx 77. 76.22)?9x)(4yx?x(3?2y)(?2y3y?y422???? 78. 79. 222?x1x2a?1`?3??1?12a?x2?2 81. (x--3y)80. (x-3y)(x+3y)21)x?(2?x3(?1)(x?1)82. 83. 22)?y?)y(x(x22)2x(y?3(x2)?3?y100 ×84. 886. (85. 121120062?30?)(?(1(?)??)??))()(?x?2?254243 02?212314516—19题用乘法公式计算87. 999×1001 88. 2199?88. 89. 222010?98?2008200990.化简求值:,其中。
七年级下册数学计算题1000道及答案18x+23y=230374x-y=1998答案:x=27 y=7944x+90y=779644x+y=3476答案:x=79 y=4876x-66y=408230x-y=2940答案:x=98 y=5167x+54y=854671x-y=5680答案:x=80 y=5942x-95y=-141021x-y=1575答案:x=75 y=4847x-40y=85334x-y=2006答案:x=59 y=4819x-32y=-178675x+y=4950答案:x=66 y=9597x+24y=7202 58x-y=2900答案:x=50 y=98 )42x+85y=636263x-y=1638答案:x=26 y=62 85x-92y=-251827x-y=486答案:x=18 y=44 79x+40y=2419 56x-y=1176答案:x=21 y=19 80x-87y=215622x-y=880答案:x=40 y=12 91x+70y=5845 95x-y=4275答案:x=45 y=25 29x+44y=5281 88x-y=3608答案:x=41 y=93 25x-95y=-435540x-y=2000答案:x=50 y=59 54x+68y=328478x+y=1404答案:x=18 y=34 48x-54y=-318624x+y=1080答案:x=45 y=99 36x+77y=761947x-y=799答案:x=17 y=91 13x-42y=-271731x-y=1333答案:x=43 y=78 (24) 28x+28y=3332 52x-y=4628答案:x=89 y=30 62x-98y=-256446x-y=2024答案:x=44 y=54 79x-76y=-438826x-y=832答案:x=32 y=91 63x-40y=-82142x-y=546答案:x=13 y=41 69x-96y=-120942x+y=3822答案:x=91 y=78 85x+67y=7338 11x+y=308答案:x=28 y=74 78x+74y=12928 14x+y=1218答案:x=87 y=83 39x+42y=533159x-y=5841答案:x=99 y=35 29x+18y=1916 58x+y=2320答案:x=40 y=42 40x+31y=604345x-y=3555答案:x=79 y=9345x+y=3780答案:x=84 y=93 45x-30y=-145529x-y=725答案:x=25 y=86 11x-43y=-1361 47x+y=799答案:x=17 y=36 33x+59y=3254 94x+y=1034答案:x=11 y=49 89x-74y=-2735 68x+y=1020答案:x=15 y=55 94x+71y=751778x+y=3822答案:x=49 y=41 28x-62y=-493446x+y=552答案:x=12 y=85 75x+43y=8472答案:x=82 y=54 41x-38y=-118029x+y=1450答案:x=50 y=85 22x-59y=82463x+y=4725答案:x=75 y=14 95x-56y=-401 90x+y=1530答案:x=17 y=36 93x-52y=-852 29x+y=464答案:x=16 y=45 93x+12y=882354x+y=4914答案:x=91 y=30 21x-63y=8420x+y=1880答案:x=94 y=30 48x+93y=975638x-y=950答案:x=25 y=9299x-67y=401175x-y=5475答案:x=73 y=48(x^4-2x²+1)÷(x²+2x+1)答案:(x-1)²18x+23y=230374x-y=1998答案:x=27 y=7944x+90y=779644x+y=3476答案:x=79 y=4876x-66y=408230x-y=2940答案:x=98 y=5167x+54y=854671x-y=5680答案:x=80 y=5942x-95y=-141021x-y=1575答案:x=75 y=4834x-y=2006答案:x=59 y=48 19x-32y=-1786 75x+y=4950答案:x=66 y=95 97x+24y=7202 58x-y=2900答案:x=50 y=98 )42x+85y=636263x-y=1638答案:x=26 y=62 85x-92y=-251827x-y=486答案:x=18 y=44 79x+40y=2419 56x-y=1176答案:x=21 y=19 80x-87y=215622x-y=880答案:x=40 y=12 91x+70y=5845答案:x=45 y=25 29x+44y=528188x-y=3608答案:x=41 y=93 25x-95y=-435540x-y=2000答案:x=50 y=59 54x+68y=328478x+y=1404答案:x=18 y=34 48x-54y=-318624x+y=1080答案:x=45 y=99 36x+77y=761947x-y=799答案:x=17 y=91 13x-42y=-271731x-y=1333答案:x=43 y=78 (24) 28x+28y=3332 52x-y=4628答案:x=89 y=30 62x-98y=-2564 46x-y=2024答案:x=44 y=54 79x-76y=-4388 26x-y=832答案:x=32 y=91 63x-40y=-82142x-y=546答案:x=13 y=41 69x-96y=-120942x+y=3822答案:x=91 y=78 85x+67y=7338 11x+y=308答案:x=28 y=74 78x+74y=12928 14x+y=1218答案:x=87 y=83 39x+42y=533159x-y=5841答案:x=99 y=3529x+18y=1916 58x+y=2320答案:x=40 y=42 40x+31y=604345x-y=3555答案:x=79 y=93 47x+50y=859845x+y=3780答案:x=84 y=93 45x-30y=-145529x-y=725答案:x=25 y=86 11x-43y=-1361 47x+y=799答案:x=17 y=36 33x+59y=3254 94x+y=1034答案:x=11 y=49 89x-74y=-2735 68x+y=1020答案:x=15 y=55 94x+71y=751778x+y=3822答案:x=49 y=41 28x-62y=-493446x+y=552答案:x=12 y=85 75x+43y=847217x-y=1394答案:x=82 y=54 41x-38y=-118029x+y=1450答案:x=50 y=85 22x-59y=82463x+y=4725答案:x=75 y=14 95x-56y=-401 90x+y=1530答案:x=17 y=36 93x-52y=-852 29x+y=464答案:x=16 y=45 93x+12y=882354x+y=4914答案:x=91 y=3021x-63y=8420x+y=1880答案:x=94 y=3048x+93y=975638x-y=950答案:x=25 y=9299x-67y=401175x-y=5475答案:x=73 y=48(x^4-2x²+1)÷(x²+2x+1) 答案:(x-1)²。
人教版七年级下册数学计算题300道七年级数学下册复试卷——计算题1、(3a^2b)^2÷(-9a^4b^2)·(-2ab^3)^2、-2x^2·x^3÷2x^73、-(a+b)+(2a-b)^45、3x^2-3(1x^2/3-2x+1)+4,67、(x+2)(y+3)-(x+1)(y-2)9、x(x-2)-(x+5)(x-5)11、(3x-2y)(-2y-3x)(4y^2+9x^2)13、(x+1)^2-(x-1)(x+2)15、3(x+1)(x-1)-(2x-1)^2/617、2(x-1)-3(x^2-x+2)19、3(a^3-a^2b+1/2ab^2)-(1/2)(6a^3+4a^2b+3ab^2)21、(2x-y)(2x+y)+2y^2/423、999×100124、992-125、98226、-2008×201027、化简求值:(2a-1)^2+(2a-1)(a+4),其中a=-2.28、化简求值(x+2y)^2-2(x-y)(x+y)+2y(x-3y),其中x=-2,y=1/2.29、化简求值[(xy+2)(xy-2)-2x^2y^2+4]÷(xy),其中x=4,y=-1.30、若x+y=1,求x^2+y^2=3,求(x-y)的值。
31、已知a^2+b^2-2a+6b+10=1,求a^2006的值。
32、计算:32.33、计算:-12+2×(-5)-(-3)÷3.34、计算:XXX。
35、化简:5a^2+2a^-1-12+32a-8a^2.36、计算:-28.37、化简:7a-8b。
38、计算:-2x^2+11x-2.39、化简:-a^2+5ab-3b^2.40、化简:-2m^2+8mn。
41、化简:-a+2.42、化简:-16a+3b。
43、化简:-x^3+2x^2-3.44、计算:-2.45、计算:30.46、求解:3x^2-6y^2.47、求解:x=1或x=-5/3.48、(1)求解:a+b;(2)求解:12a-3b;(3)计算:-14.49、(1)求解:35x-24;(2)求解:-21.50、计算:-6.51、计算:-2.52、计算:-12.53、计算:-7.54、计算:7x+1y。
七年级下册数学计算题300道七年级数学下册复试卷——计算题1、简化并计算:$\frac{(3a^2b)^2}{(-9a^4b^2)\cdot(-2ab^3)}$,$-\frac{2x^2\cdot x^3}{2x^7}$。
2、计算:$(3^3\cdot2^2\cdot5)\div(2^3\cdot5^2)$。
3、计算:$-\left(a+b-(2a-b)\right)\div4$。
4、计算:$\frac{3}{2}-3\left(\frac{1}{x^2}-\frac{2x+1}{3x^2}\right)+\frac{4}{6}$。
5、计算:$(x+2)(y+3)-(x+1)(y-2)$。
6、计算:$x(x-2)-(x+5)(x-5)$。
7、计算:$(3x-2y)(-2y-3x)(4y^2+9x^2)$。
8、计算:$(x+1)^2-(x-1)(x+2)$。
9、计算:$3(x+1)(x-1)-(2x-1)^2$。
10、计算:$2(x-1)-3(x^2-x+2)$。
11、计算:$3(a^3-a^2b+ab^2)-\frac{1}{22}(6a^3+4a^2b+3ab^2)$。
12、计算:$(2x-y)(2x+y)+2y^2$。
13、计算:$(2a+1)^2-2(2a+1)+3$。
14、计算:$(x-3y)(x+3y)-(x-3y)^2$。
15、计算:$(3x+2y)^2-(3x-2y)^2$。
16、计算:$(x+y)^2(x-y)$。
17、计算:$\frac{(3x+y)-y}{x}$。
18、计算:$\frac{}{}$。
19、计算:$54xy-108xy-36xy\div18xy$。
20、计算:$\frac{4}{5}\div\frac{5}{4}-\frac{2}{3}\div\left(-\frac{2}{3}\right)+\frac{1}{2}$。
21、计算:$\frac{4}{5}-\frac{5}{4}\div\frac{2}{5}$。
七年级下数学计算题一、整式的运算类1. 计算:(2x + 3y)(3x - 2y)- 解析:- 根据多项式乘法法则,用一个多项式的各项去乘另一个多项式的每一项,再把所得的积相加。
- 原式=2x×3x - 2x×2y+3y×3x - 3y×2y- = 6x^2-4xy + 9xy-6y^2- =6x^2+5xy - 6y^2。
2. 计算:(3a - 2b)^2- 解析:- 根据完全平方公式(a - b)^2=a^2-2ab + b^2,这里a = 3a,b = 2b。
- 原式=(3a)^2-2×3a×2b+(2b)^2- = 9a^2-12ab + 4b^2。
3. 化简:3x(2x^2-x + 1)-2x^2(3x - 2)- 解析:- 先分别进行单项式乘多项式运算。
- 原式=3x×2x^2-3x× x+3x×1-(2x^2×3x - 2x^2×2)- = 6x^3-3x^2+3x-(6x^3-4x^2)- 去括号得6x^3-3x^2+3x - 6x^3+4x^2- 合并同类项得x^2+3x。
4. 计算:(x + 2y)(x - 2y)(x^2+4y^2)- 解析:- 先利用平方差公式(a + b)(a - b)=a^2-b^2计算前两个括号。
- 原式=(x^2-4y^2)(x^2+4y^2)- 再利用平方差公式得x^4-16y^4。
5. 化简:(2m + n - 1)(2m - n - 1)- 解析:- 把式子变形为[(2m - 1)+n][(2m - 1)-n]- 利用平方差公式得(2m - 1)^2-n^2- 再根据完全平方公式展开(2m - 1)^2=4m^2-4m + 1- 所以原式=4m^2-4m + 1 - n^2。
二、一元一次方程类6. 解方程:3x+5 = 2x - 1- 解析:- 移项,将含x的项移到等号左边,常数项移到等号右边,得3x - 2x=-1 - 5。
第六章《实数》计算题
1.计算:
(1)||+|﹣1|﹣|3|(2)﹣++.
2.计算:﹣|2﹣|﹣.
3.(1)计算:++(2)(x﹣1)2=.
4.计算:﹣32+|﹣3|+.
5.计算+|3﹣|+﹣.
6.计算:+|﹣2|++(﹣1)2015.
7.计算:(﹣1)2015++|1﹣|﹣.
8.解方程(1)5x3=﹣40(2)4(x﹣1)2=9.
9.求下列各式中x的值:①4x2=25②27(x﹣1)3﹣8=0.
10.求下列各式中的x(1)4x2=81;(2)(2x+10)3=﹣27.
11.求下列各式中x的值(1)(x+1)2﹣3=0;(2)3x3+4=﹣20.12.计算(1)+()2+(2)+﹣|1﹣|
13.计算题:.
14.计算(1)+﹣;(2)+|﹣1|﹣(+1).
15..
16.计算:
(1)(﹣)2﹣﹣+﹣|﹣6|
(2)|1﹣|+|﹣|+|﹣2|.
(3)4(x+3)2﹣16=0
(4)27(x﹣3)3=﹣8.
17.把下列各数分别填在相应的括号内:,﹣3,0,,,,﹣,,,||,,,,…整数{};
分数;{};
正数{};
负数{};
有理数{};
无理数{}.
18.将下列各数填入相应的集合内.
﹣7,,,0,,,,π,…
①有理数集合{ …}
②无理数集合{ …}
③负实数集合{ …}.19.把下列各数按要求填入相应的大括号里:
﹣10,,﹣,0,﹣(﹣3),2.…,42,﹣2π,
整数集合:{};
分数集合:{};
自然数集合:{};
正有理数集合:{}.
20.把下列各数分别填入相应的大括号
﹣5,|﹣|,0,﹣,,﹣12,…,+,﹣30%,
﹣(﹣6),﹣
正有理数集合:{…}
非正整数集合:{…}
负分数集合:{…}
无理数集合:{…}.
21.将下列各数填入相应的集合中.
﹣7,0,,﹣22,﹣…,,+9,…,+10%,﹣2π.
无理数集合:{ };
负有理数集合:{ };
正分数集合:{ };
非负整数集合:{ }.
22.把下列各数分别填在相应的集合里:
﹣1,,,0,﹣,21,﹣2,,+6,π
(1)整数集合{ …}
(2)正分数集合{ …}
(3)无理数集合{ …}.
第八章《二元一次方程组》计算题1.解方程组:.
2.解方程组.
3.用指定的方法解下列方程组:
(1)(代入法)
(2)(加减法)
4.计算:
(1)计算:+﹣|1﹣|;
(2)解方程组.
5.解下列方程组:
(1)
(2).
6.(1)计算:﹣|﹣|++
(2)解方程组:.
7.解方程组.
8.解方程组:
9.解方程组.
10.解方程组.
11.解方程组:.
12.解方程组:
(1)
(2)(用加减法解).
13.解方程组:
(1)
(2).
14.解方程(组):
(1)2﹣=
(2).
15.解方程组:.16.解方程组:.17.用适当方法解下列方程组.(1)
(2).
18.解方程组:
(1)
(2).
19.解方程组
(1)
(2).
20.解下列方程组
(1)
(2).
21.解下列方程组:
(1)
(2).
22.解方程组
(1);
(2).
23.(1)(2).24..
25.解下列方程组
(1)
(2).
第九章《一元一次不等式》计算题1.解下列不等式,并把它的解集在数轴上表示出来.
4﹣2(x﹣3)≥4(x+1)
2.解不等式,并把解集在数轴上表示出来:2(x+1)>x.
3.解不等式﹣1≤,并把解集在数轴上表示出来.
4.解不等式组:.
5.解不等式组,并把解集在数轴上表示出来.6.解不等式组:.
7.解不等式组:.
8.解不等式组并将解集在数轴上表示出来.
9.解不等式组:,并把它的解集在数轴上表示出来.10.解不等式组:并在数轴上表示解集.
11.解不等式组:
12.解不等式组:.
13.解不等式组:.
14.解不等式组:.
15.解不等式≥4,并将其解集在数轴上表示出来.16.解不等式﹣≥﹣1(把解集在数轴上表示出来)
17.解不等式:x﹣<2x+.
18.解不等式组并把其解集在数轴上表示出来.19.解不等式组:.
20.解不等式组,并在数轴上将解集表示出来.
21.(1)解不等式:<x+2;
(2)解不等式组:.
22.(1)计算
(2)解方程组
(3)解不等式组并把它的解集在数轴上表示出来.23.求不等式组的所有整数解.
24.解不等式2x﹣7<5﹣2x.
25.解不等式:>1﹣.
26.解不等式5x+15>0,并将解集在数轴上表示出来.
27.解不等式,并把解集表示在数轴上.
.
28.求不等式2x﹣3≥x的解集.
29.解下列不等式(组),并把解集表示在数轴上.(1)
(2).
30.解下列不等式组,并把不等式组的解集表示在数轴上(1).
(2).
31.解下列不等式(组):
(1)≥﹣1;
(2).
32.解不等式(组)并在数轴上表示解集
(1)(x+2)(x﹣2)+5>(x﹣5)(x+1)
(2).
33.解不等式(组)
(1)3(1﹣x)<2(x+9);
(2).
34.解不等式(组)
(1)﹣1<
(2).
35.解下列不等式(组),并把解集在数轴上表示出来.(1)3(1﹣x)﹣2(4﹣2x)≤0
(2).
36.解不等式(组),并把解集在数轴上表示出来.
(1)5(x﹣1)>6x﹣10
(2).
37.求的自然数解.
38.解不等式:.
39.解下列不等式,并把解集在数轴上表示出来:(1)3(x+2)﹣8≥1﹣2(x﹣1);
(2)﹣1>.
40.解不等式组:.。