科学和工程计算复习题2014.
- 格式:doc
- 大小:546.50 KB
- 文档页数:11
科学和工程计算基础复习题一、 填空题:1. :2. 计算机计费的主要依据有两项:一是使用要由算数运算的次数决定;二是占据存储器的空间,3. 用计算机进行数值计算时,4. ,则称该算法是5. 函数求值问题()x f y =的条件数定义为:)()())(()(x f x f x x f cond x C '==6. 单调减且有 下界 的数列一定存在极限; 单调增且有 上界 的数列一定存在极限. 7. 方程实根的存在唯一性定理:设],[)(b a C x f ∈且0)()(<b f a f ,则至少存在一点()b a ,∈ξ使()0=ξf .当()x f '在()b a ,,方程在[]b a ,内有唯一的实根.8. 函数()y x f ,在有界闭区域D 上对y 满足Lipschitz 条件,是指对于D 上的任意一对点()1,y x 和()2,y x 成立不等式:2121),(),(y y L y x f y x f -≤-.其中常数L 只依赖于区域D .9. 设n i R A i n n ,,2,1,, =∈⨯λ为其特征值,则称i ni A λρ≤≤=1max )(为矩阵A 的谱半径.10. 设1-A 存在,则称数A AA cond 1)(-=为矩阵A 的条件数,其中⋅是矩阵的算子范数. 11. 方程组f xB x +=,对于任意的初始向量()0x 和右端项f ,迭代法()()f x B x k k+=+1收敛的充分必要条件是选代矩阵B 的 谱半径1)(<B ρ. 12. 设被插函数()x f 在闭区间[]b a ,上n 阶导数连续,()()x fn 1+在开区间()b a ,上存在.若{}ni i x 0=为[]b a ,上的1+n 个互异插值节点,并记()()∏=+-=ni in x x x 01ω,则插值多项式()()()()()∑=++'-=nk k n k n k n x x x x x f x L 011ωω的余项为)()!1()()()()(1)1(x n f x L x f x R n x n n n +++=-=ωξ,其中),()(b a x x ∈=ξξ.13. 若函数组(){}[]b a C x n k k ,0⊂=ϕ满足⎩⎨⎧=≠≠=l k lk l k ,0,0),(ϕϕ k,l =0,1,2,…,n ,则称(){}nk k x 0=ϕ为正交函数序列. 14. 复化梯形求积公式⎰∑⎥⎦⎤⎢⎣⎡+++=≈-=ban k n b f kh a f a f h f T dx x f 11)()(2)(2)()(,其余项为),(),(12)(2b a f h a b R nT∈''--=ηη15. 复化Simpson 求积公式⎰∑∑⎥⎦⎤⎢⎣⎡++++++=≈-=-=ban k n k n b f kh a f h k a f a f h f S dx x f 1011)()2(2))12((4)(3)()(,其余项为),(),(180)()4(4b a f h a b R nS∈--=ηη16. 选互异节点n x x x ,,,10 为Gauss 点,则Gauss 型求积公式的代数精度为2n+1 .17. 如果给定方法的局部截断误差是()11++=p n h O T ,其中1≥p 为整数,则称该方法是 P 阶的或具有P 阶精度 .18. 微分方程的刚性现象是指快瞬态解严重影响 数值解的稳定性和精度 ,给数值计算造成很大的实质性困难的现象. 19. 迭代序列{}[]b a x k k ,0⊂∞=终止准则通常采用11k k kx x x ε--<+,其中的0>ε为 相对误差20.二、 选择题1. 下述哪个条件不是能使高斯消去法顺利实现求解线性代数方程组(),ijn nAx b A a ⨯==的充分条件? ( D )A. 矩阵A 的各阶顺序主子式均不为零;B. A 对称正定;C. A 严格对角占优;D. A 的行列式不为零.2. 高斯消去法的计算量是以下述哪个数量级的渐近速度增长的? ( B ) A.313n ; B. 323n ; C. 314n ; D. 334n .3. 对于任意的初始向是()0x和右端项f ,求解线性代数方程组的迭代法()()1k kx Bx f +=+收敛的充分必要条件是( A ). A.()1B ρ<; B. 1B <; C. ()det 0B ≠; D. B 严格对角占优.4. 下述哪个条件不是能使求解线性代数方程组(),ijn nAx b A a ⨯==的Gauss-Seidel 迭代法收敛的充分条件? ( C )A. A 为严格对角占优阵;B. A 为不可约弱对角占优阵;C. A 的行列式不为零;D. A 为对称正定阵.5. 设()[]2,f x C a b =,并记()2m a x a xbM f x ≤≤''=,则函数()f x 的过点()()()(),,,a f a b f b 的线性插值余项()1R x ,[],x a b ∀∈满足( A ). A. ()()2218M R x b a ≤-; B. ()()2218M R x b a <-; C. ()()2216M R x b a ≤-; D. ()()2216M R x b a <-.6. 设()n x ϕ是在区间[],a b 上带权()x ρ的首项系数非零的n 次正交多项式()1n ≥,则()n x ϕ的n 个根( A ).A. 都是单实根;B. 都是正根;C. 有非负的根;D. 存在重根7. Legendre 多项式是( )的正交多项式.( B )A. 区间[]1,1-上带权()x ρ=B. 区间[]1,1-上带权()1x ρ=;C. 区间[],-∞∞上带权()2x x e ρ-=; D. 区间[]0,1上带权()1x ρ=8. 离散数据的曲线拟合的线性最小二乘法的Gram 矩阵与( D )无关?A. 基函数(){}n k k x ϕ=; B. 自变量序列{}0mi i x =;C. 权数{}0mi i w =; D. 离散点的函数值{}0mi i y =. 9. Simpson 求积公式的余项是( B ).A. ()()()3,,12h R f f a b ηη''=-∈;B. ()()()()54,,90h R f f a b ηη=-∈; C. ()()()()2,,12h b a R f f a b ηη-''=-∈; D. ()()()()()44,,90h b a R f f a b ηη-=-∈ 10. n 个互异节点的Gauss 型求积公式具有( D )次代数精确度.A. n ;B. 1n +;C. 21n +;D. 21n -.11. 一阶导数的数值计算公式中,中心差商公式的精度为( B ).A. ()O h ;B. ()2O h ;C. ()2o h ; D. ()32O h .12. 对于用插值法建立的数值求导公式,通常导数值的精确度比用插值公式求得的函数值的精度( B ).A. 高; B, 低; C. 相同; D. 不可比.13. 在常微分方程初值问题的数值解法中, 梯形公式是显式Euler 公式和隐式Euler 公式的( A ).A. 算术平均;B. 几何平均;C. 非等权平均;D. 和. 14. 当( B )时,求解(),0y y λλ'=<的显式Euler 方法是绝对稳定的. A. 11h λ-≤≤; B. 20h λ-≤≤; C. 01h λ≤≤; D. 22h λ-≤≤ 15. 求解(),0y y λλ'=<的经典R-K 公式的绝对稳定条件是( C ): A .20h λ-≤≤; B.()2112h h λλ++≤;C.()()()2341123!4!h h h h λλλλ++++≤; D.()()22121211212h h h h λλλλ++≤-+.16. 在非线性方程的数值解法中,只要()()***1,()x x x ϕϕ'≠=,那么不管原迭代法()()1,0,1,2,k k x x k ϕ+==是否收敛,由它构成的Steffensen 迭代法的局部收敛的阶是( D )阶的.A. 1;B. 0;C. 2<;D. 2≥.17. 在非线性方程的数值解法中,Newton 迭代法的局部收敛的阶是( D )阶的. A. 1; B. 0; C. 2<; D. 2≥.18. 在非线性方程的数值解法中,离散Newton 迭代法的局部收敛的阶是( C )阶的.A. 1;B.C.; D. 2. 19. 在求解非线性方程时,迭代终止准则通常采用( A ),其中的0ε>为给定的相对误差容限. A.11k k kx x x ε--<+; B.1k k kx x x ε--<; C. 1k k x x ε--<; D.111k k k x x x ε---<+.20. 在求解非线性方程组时,加进阻尼项的目的,是使线性方程组的( C ).A. 系数矩阵非奇异;B. 系数矩阵的行列式不等于零;C. 系数矩阵非奇异并良态;D. 系数矩阵可逆.三、 判断题1. 在用计算机求数学问题的数值解就是构造算法的构造问题.( × )2. 用计算机进行数值计算时,所有的函数都必须转化成算术运算;在作加减法时,应避免接近的两个数相减;在所乘除法时,计算结果的精度不会比原始数据的高.( √ ) 3. 用计算机作加减法时,交换律和结合律成立.( × ) 4. 单调减且有下界的数列一定存在极限。
用有效数字的运算法则计算下列各题有效数字是指用来表示测量结果的数字,它们反映了测量结果的精度和不确定性。
在科学和工程领域,有效数字的运算法则是非常重要的。
下面,我们将通过以下几个问题来探讨有效数字的运算法则。
1. 问题描述:在化学实验中,测得溶液的体积为25.0毫升,浓度为0.125 mol/L。
求出溶质的物质的量。
解决方法:根据有效数字的运算法则,我们首先要确定各个数据的有效数字个数。
25.0毫升的有效数字为3个,0.125 mol/L的有效数字为3个。
在这两个数中,小数点后面的0都是有效数字。
我们可以得到如下运算:\[物质的量=25.0毫升×0.125 mol/L=3.125 mol\]根据有效数字运算法则,我们要保留最少有效数字个数的位数。
在这个例子中,25.0毫升有3个有效数字,0.125 mol/L有3个有效数字,因此结果应该保留3个有效数字。
最终结果为3.13 mol。
2. 问题描述:某学生用螺线测微米螺距,所测得一周期的长度为0.43毫米,问相邻两径向测量点的距离应用有效数字的规则应取几位?解决方法:在这个问题中,测得的周期长度为0.43毫米。
有效数字的个数为2个。
根据有效数字的运算法则,我们应该保留最少有效数字个数的位数,所以相邻两径向测量点的距离应该取2位有效数字。
这样可以保证我们的测量结果更加准确。
通过以上两个问题的探讨,我们可以总结出使用有效数字的运算法则在科学实验和工程测量中的重要性。
在实际应用中,我们需要根据具体情况来灵活运用有效数字的运算法则,以保证实验数据和测量结果的准确性和可靠性。
个人观点:有效数字的运算法则在科学研究和工程领域中具有非常重要的作用,它可以帮助我们准确地进行实验数据的处理和结果的分析,为科学研究和工程实践提供可靠的支持。
我们在进行实验和测量时,一定要严格遵守有效数字的运算法则,以保证我们的科研成果和工程成果的准确性和可靠性。
总结回顾:通过本文的讨论,我们了解了在科学和工程领域中使用有效数字的运算法则的重要性。
科学和工程计算基础复习题一、 填空题:1. :2. 计算机计费的主要依据有两间,主要由决定;二是占据存储器的空间,3. 用计算机进行数值计算时,4. ,则称该算法5. 函数求值问题()x f y =的条件数定义为:6. 单调减且有 的数列一定存在极限; 单调增且有 的数列一定存在极限. 7. 方程实根的存在唯一性定理:设 且 ,则至少存在一点()b a ,∈ξ使()0=ξf .当()x f '在()b a ,,方程在[]b a ,内有唯一的实根. 8. 函数()y x f ,在有界闭区域D 上对y 满足Lipschitz 条件,是指对于D 上的任意一对点()1,y x 和()2,y x 成立不等式: .其中常数L .9. 设n i R A i n n ,,2,1,, =∈⨯λ为其特征值,则称 为矩阵A 的谱半径. 10. 设1-A 存在,则称数 为矩阵A 的条件数,其中⋅是矩阵的算子范数.11. 方程组f x B x +=,对于任意的初始向量()0x 和右端项f ,迭代法()()f x B x k k+=+1收敛的充分必要条件是选代矩阵B 的 . 12. 设被插函数()x f 在闭区间[]b a ,上n 阶导数连续,()()x fn 1+在开区间()b a ,上存在.若{}ni i x 0=为[]b a ,上的1+n 个互异插值节点,并记()()∏=+-=ni in x x x 01ω,则插值多项式()()()()()∑=++'-=nk k nk n k n x x x x x f x L 011ωω的余项为 ,其中 .13. 若函数组(){}[]b a C x nk k ,0⊂=ϕ满足 ,则称(){}nk k x 0=ϕ为正交函数序列.14. 复化梯形求积公式 ,其余项为15. 复化Simpson 求积公式 ,其余项为 16. 选互异节点n x x x ,,,10 为Gauss 点,则Gauss 型求积公式的代数精度为 .17. 如果给定方法的局部截断误差是()11++=p n h O T ,其中1≥p 为整数,则称该方法是 .18. 微分方程的刚性现象是指快瞬态解严重影响 ,给数值计算造成很大的实质性困难的现象. 19. 迭代序列{}[]b a x k k ,0⊂∞=终止准则通常采用 ,其中的0>ε20.二、 选择题1. 下述哪个条件不是能使高斯消去法顺利实现求解线性代数方程组(),ijn nAx b A a ⨯==的充分条件? ( )A. 矩阵A 的各阶顺序主子式均不为零;B. A 对称正定;C. A 严格对角占优;D. A 的行列式不为零.2. 高斯消去法的计算量是以下述哪个数量级的渐近速度增长的? ( ) A. 313n ; B. 323n ; C. 314n ; D. 334n .3. 对于任意的初始向是()0x和右端项f ,求解线性代数方程组的迭代法()()1k kxBx f +=+收敛的充分必要条件是( ). A.()1B ρ<; B. 1B <; C. ()det 0B ≠; D. B 严格对角占优.4. 下述哪个条件不是能使求解线性代数方程组(),ijn nAx b A a ⨯==的Gauss-Seidel 迭代法收敛的充分条件? ( )A. A 为严格对角占优阵;B. A 为不可约弱对角占优阵;C. A 的行列式不为零;D. A 为对称正定阵. 5. 设()[]2,f x Ca b =,并记()2m a x a xbM f x ≤≤''=,则函数()f x 的过点()()()(),,,a f a b f b 的线性插值余项()1R x ,[],x a b ∀∈满足( ). A. ()()2218M R x b a ≤-; B. ()()2218M R x b a <-;C. ()()2216M R x b a ≤-; D. ()()2216M R x b a <-. 6. 设()n x ϕ是在区间[],a b 上带权()x ρ的首项系数非零的n 次正交多项式()1n ≥,则()n x ϕ的n 个根( ).A. 都是单实根;B. 都是正根;C. 有非负的根;D. 存在重根7. Legendre 多项式是( )的正交多项式.( )A. 区间[]1,1-上带权()x ρ=B. 区间[]1,1-上带权()1x ρ=;C. 区间[],-∞∞上带权()2x x e ρ-=; D. 区间[]0,1上带权()1x ρ=8. 离散数据的曲线拟合的线性最小二乘法的Gram 矩阵与( )无关?A. 基函数(){}n k k x ϕ=; B. 自变量序列{}0mi i x =;C. 权数{}0mi i w =; D. 离散点的函数值{}0mi i y =. 9. Simpson 求积公式的余项是( ).A. ()()()3,,12h R f f a b ηη''=-∈;B. ()()()()54,,90h R f f a b ηη=-∈; C. ()()()()2,,12h b a R f f a b ηη-''=-∈; D. ()()()()()44,,90h b a R f f a b ηη-=-∈ 10. n 个互异节点的Gauss 型求积公式具有( )次代数精确度.A. n ;B. 1n +;C. 21n +;D. 21n -. 11. 一阶导数的数值计算公式中,中心差商公式的精度为( ).A. ()O h ;B. ()2O h ;C. ()2o h ; D. ()32O h .12. 对于用插值法建立的数值求导公式,通常导数值的精确度比用插值公式求得的函数值的精度( ).A. 高; B, 低; C. 相同; D. 不可比.13. 在常微分方程初值问题的数值解法中, 梯形公式是显式Euler 公式和隐式Euler 公式的( ).A. 算术平均;B. 几何平均;C. 非等权平均;D. 和. 14. 当( )时,求解(),0y y λλ'=<的显式Euler 方法是绝对稳定的. A. 11h λ-≤≤; B. 20h λ-≤≤; C. 01h λ≤≤; D. 22h λ-≤≤ 15. 求解(),0y y λλ'=<的经典R-K 公式的绝对稳定条件是( ): A .20h λ-≤≤; B.()2112h h λλ++≤;C.()()()2341123!4!h h h h λλλλ++++≤; D.()()22121211212h h h h λλλλ++≤-+.16. 在非线性方程的数值解法中,只要()()***1,()x x x ϕϕ'≠=,那么不管原迭代法()()1,0,1,2,k k x x k ϕ+== 是否收敛,由它构成的Steffensen 迭代法的局部收敛的阶是( )阶的.A. 1;B. 0;C. 2<;D. 2≥.17. 在非线性方程的数值解法中,Newton 迭代法的局部收敛的阶是( )阶的. A. 1; B. 0; C. 2<; D. 2≥.18. 在非线性方程的数值解法中,离散Newton 迭代法的局部收敛的阶是( )阶的.A. 1;B.C.; D. 2. 19. 在求解非线性方程时,迭代终止准则通常采用( ),其中的0ε>为给定的相对误差容限. A.11k k kx x x ε--<+; B.1k k kx x x ε--<; C. 1k k x x ε--<; D.111k k k x x x ε---<+.20. 在求解非线性方程组时,加进阻尼项的目的,是使线性方程组的( ).A. 系数矩阵非奇异;B. 系数矩阵的行列式不等于零;C. 系数矩阵非奇异并良态;D. 系数矩阵可逆.三、 判断题1. 在用计算机求数学问题的数值解就是构造算法的构造问题.( )2. 用计算机进行数值计算时,所有的函数都必须转化成算术运算;在作加减法时,应避免接近的两个数相减;在所乘除法时,计算结果的精度不会比原始数据的高.( ) 3. 用计算机作加减法时,交换律和结合律成立.( ) 4. 单调减且有下界的数列一定存在极限。
科学与工程计算基础复习题一、 填空题:1. 评价一个数值计算方法的好坏主要有两条标准:2. 计算机计费的主要依据有两项:一就是使用中央处理器(CPU)的时间,主要由算数运算的次数决定;二就是占据存储器的空间, 3. 用计算机进行数值计算时,4. 对于某个算法,若输入数据的误差在计算过程中迅速增长而得不到控制,则称该算法就是5. 函数求值问题()x f y =的条件数定义为:)()())(()(x f x f x x f cond x C '==6. 单调减且有 下界 的数列一定存在极限; 单调增且有 上界 的数列一定存在极限、 7. 方程实根的存在唯一性定理:设],[)(b a C x f ∈且0)()(<b f a f ,则至少存在一点()b a ,∈ξ使()0=ξf 、当()x f '在()b a ,,方程在[]b a ,内有唯一的实根、8. 函数()y x f ,在有界闭区域D 上对y 满足Lipschitz 条件,就是指对于D 上的任意一对点()1,y x 与()2,y x 成立不等式:2121),(),(y y L y x f y x f -≤-、其中常数L 只依赖于区域D 、 9. 设n i RA i nn ,,2,1,,Λ=∈⨯λ为其特征值,则称i ni A λρ≤≤=1max )(为矩阵A 的谱半径、10. 设1-A 存在,则称数A A A cond 1)(-=为矩阵A 的条件数,其中⋅就是矩阵的算子范数、11. 方程组f x B x ρρρ+=,对于任意的初始向量()0x ρ与右端项f ρ,迭代法()()f x B xk k ρρρ+=+1收敛的充分必要条件就是选代矩阵B 的 谱半径1)(<B ρ、 12. 设被插函数()x f 在闭区间[]b a ,上n 阶导数连续,()()x fn 1+在开区间()b a ,上存在、若{}ni i x 0=为[]b a ,上的1+n 个互异插值节点,并记()()∏=+-=ni in x x x 01ω,则插值多项式()()()()()∑=++'-=nk k nk n k n x x x x x f x L 011ωω的余项为)()!1()()()()(1)1(x n f x L x f x R n x n n n +++=-=ωξ,其中),()(b a x x ∈=ξξ、13. 若函数组(){}[]b a C x n k k ,0⊂=ϕ满足⎩⎨⎧=≠≠=lk lk l k ,0,0),(ϕϕ k,l =0,1,2,…,n ,则称(){}nk k x 0=ϕ为正交函数序列、 14. 复化梯形求积公式⎰∑⎥⎦⎤⎢⎣⎡+++=≈-=ban k n b f kh a f a f h f T dx x f 11)()(2)(2)()(,其余项为),(),(12)(2b a f h a b R nT∈''--=ηη15. 复化Simpson 求积公式⎰∑∑⎥⎦⎤⎢⎣⎡++++++=≈-=-=ban k n k n b f kh a f h k a f a f h f S dx x f 1011)()2(2))12((4)(3)()(,其余项为),(),(180)()4(4b a f h a b R nS∈--=ηη16. 选互异节点n x x x ,,,10Λ为Gauss 点,则Gauss 型求积公式的代数精度为2n+1 、17. 如果给定方法的局部截断误差就是()11++=p n h O T ,其中1≥p 为整数,则称该方法就是P 阶的或具有P 阶精度 、18. 微分方程的刚性现象就是指快瞬态解严重影响 数值解的稳定性与精度 ,给数值计算造成很大的实质性困难的现象、 19. 迭代序列{}[]b a x k k ,0⊂∞=终止准则通常采用11k k kx x x ε--<+,其中的0>ε为 相对误差20.二、 选择题1、 下述哪个条件不就是能使高斯消去法顺利实现求解线性代数方程组(),ijn nAx b A a ⨯==的充分条件? ( D )A 、 矩阵A 的各阶顺序主子式均不为零;B 、 A 对称正定;C 、 A 严格对角占优;D 、 A 的行列式不为零、2、 高斯消去法的计算量就是以下述哪个数量级的渐近速度增长的? ( B ) A 、313n ; B 、 323n ; C 、 314n ; D 、 334n 、 3、 对于任意的初始向就是()0x 与右端项f ,求解线性代数方程组的迭代法()()1k kxBx f+=+收敛的充分必要条件就是( A )、 A 、()1B ρ<; B 、 1B <; C 、 ()det 0B ≠; D 、 B 严格对角占优、4、 下述哪个条件不就是能使求解线性代数方程组(),ijn nAx b A a ⨯==的Gauss-Seidel 迭代法收敛的充分条件? ( C )A 、 A 为严格对角占优阵;B 、 A 为不可约弱对角占优阵;C 、 A 的行列式不为零;D 、 A 为对称正定阵、5、 设()[]2,f x C a b =,并记()2max a x bM f x ≤≤''=,则函数()f x 的过点()()()(),,,a f a b f b 的线性插值余项()1R x ,[],x a b ∀∈满足( A )、A 、 ()()2218M R x b a ≤-; B 、 ()()2218M R x b a <-; C 、 ()()2216M R x b a ≤-; D 、 ()()2216M R x b a <-、6、 设()n x ϕ就是在区间[],a b 上带权()x ρ的首项系数非零的n 次正交多项式()1n ≥,则()n x ϕ的n 个根( A )、A 、 都就是单实根;B 、 都就是正根;C 、 有非负的根;D 、 存在重根7、 Legendre 多项式就是( )的正交多项式、( B )A 、 区间[]1,1-上带权()x ρ=B 、 区间[]1,1-上带权()1x ρ=;C 、 区间[],-∞∞上带权()2x x e ρ-=; D 、 区间[]0,1上带权()1x ρ=8、 离散数据的曲线拟合的线性最小二乘法的Gram 矩阵与( D )无关?A 、 基函数(){}n k k x ϕ=; B 、 自变量序列{}0mi i x =;C 、 权数{}0mi i w =; D 、 离散点的函数值{}0mi i y =、 9、 Simpson 求积公式的余项就是( B )、A 、 ()()()3,,12h R f f a b ηη''=-∈;B 、 ()()()()54,,90h R f f a b ηη=-∈; C 、 ()()()()2,,12h b a R f f a b ηη-''=-∈; D 、 ()()()()()44,,90h b a R f f a b ηη-=-∈ 10、 n 个互异节点的Gauss 型求积公式具有( D )次代数精确度、A 、 n ;B 、 1n +;C 、 21n +;D 、 21n -、 11、 一阶导数的数值计算公式中,中心差商公式的精度为( B )、 A 、 ()O h ; B 、 ()2O h; C 、 ()2o h ; D 、 ()32O h 、12、 对于用插值法建立的数值求导公式,通常导数值的精确度比用插值公式求得的函数值的精度( B )、A 、 高; B, 低; C 、 相同; D 、 不可比、13、 在常微分方程初值问题的数值解法中, 梯形公式就是显式Euler 公式与隐式Euler 公式的( A )、A 、 算术平均;B 、 几何平均;C 、 非等权平均;D 、 与、 14、 当( B )时,求解(),0y y λλ'=<的显式Euler 方法就是绝对稳定的、 A 、 11h λ-≤≤; B 、 20h λ-≤≤; C 、 01h λ≤≤; D 、 22h λ-≤≤ 15、 求解(),0y y λλ'=<的经典R-K 公式的绝对稳定条件就是( C ): A.20h λ-≤≤; B 、()2112h h λλ++≤;C 、()()()2341123!4!h h h h λλλλ++++≤; D 、()()22121211212h h h h λλλλ++≤-+、16、 在非线性方程的数值解法中,只要()()***1,()x x x ϕϕ'≠=,那么不管原迭代法()()1,0,1,2,k k x x k ϕ+==L 就是否收敛,由它构成的Steffensen 迭代法的局部收敛的阶就是( D )阶的、A 、 1;B 、 0;C 、 2<;D 、 2≥、17、 在非线性方程的数值解法中,Newton 迭代法的局部收敛的阶就是( D )阶的、 A 、 1; B 、 0; C 、 2<; D 、 2≥、18、 在非线性方程的数值解法中,离散Newton 迭代法的局部收敛的阶就是( C )阶的、A 、 1;B 、;C 、12; D 、 2、 19、 在求解非线性方程时,迭代终止准则通常采用( A ),其中的0ε>为给定的相对误差容限、A 、 11k k k x x x ε--<+;B 、 1k k k x x x ε--<;C 、 1k k x x ε--<;D 、 111k k k x x x ε---<+、20、 在求解非线性方程组时,加进阻尼项的目的,就是使线性方程组的( C )、 A 、 系数矩阵非奇异; B 、 系数矩阵的行列式不等于零; C 、 系数矩阵非奇异并良态; D 、 系数矩阵可逆、三、 判断题1. 在用计算机求数学问题的数值解就就是构造算法的构造问题、( × )2. 用计算机进行数值计算时,所有的函数都必须转化成算术运算;在作加减法时,应避免接近的两个数相减;在所乘除法时,计算结果的精度不会比原始数据的高、( √ ) 3. 用计算机作加减法时,交换律与结合律成立、( × ) 4. 单调减且有下界的数列一定存在极限。
1. 3 40.510-⨯(或0.00005) 2. 4 3. 22sin 1(或2sin 21cos 2+4. 55. 2537623x x +- 4x 6. 是 7. 1 1/2 8.13 59. ()1B ρ<(或答B 的谱半径小于1) 10. 发散 11.线性(或1阶)3312217217()33k k k k k kx x x x x x +-+=-或 12. 2 2()O h 1. × 2. × 3.√ 4. √ 5. ×34()122(1)(1)(2)3N x x x x x =++-+-----2分N(1.5)=5---2分2、建立法方程组42122 1.2 6.68a b ⎛⎫⎛⎫⎛⎫= ⎪⎪ ⎪⎝⎭⎝⎭⎝⎭--------10分 解得a=1.3 b=3.4 ------4分 Y=1.3+3.4x---------1分3.11110.5(1)(40.25(11)4k k k k k k k k k k y y x y y y x y x y ++++=+⋅+---------⎧⎨=++-++----⎩分)(分)1 1.6250.6250.5(3)k k k y y x +=+-----分12(0.5)0.5(2);(1)1(2)y y y y ≈=-------≈=---------分分4. 12341242621123121363321119212312122332147(9,5,3,1)(0.5,2,3,1)TTA y y LY b y y Y UX Y X ⎛⎫⎛⎫⎪⎪⎪⎪= ⎪⎪⎪⎪⎝⎭⎝⎭⎛⎫⎛⎫⎛⎫ ⎪⎪ ⎪ ⎪ ⎪ ⎪== ⎪ ⎪ ⎪⎪⎪ ⎪⎝⎭⎝⎭⎝⎭=-==-求解即得求解得 5.022:101 --4 00---2220()01---2J J J Jacobi B I B B Jacobi λλρ-⎛⎫⎪=-=⇒= ⎪⎪⎝⎭∴=<∴分分迭代法收敛分1-112100022:()110 - =(D-L)02144210862202100286()21--G G G G S D L B U I B B G S λλλλλλρ--⎛⎫⎛⎫ ⎪ ⎪--==- ⎪ ⎪ ⎪ ⎪-⎝⎭⎝⎭--=-=⇒==-±-+∴=+∴-分分迭代法发散2分6.021233345514,33()1,,11()0,0332(),3A A a A af x x x f x x a a a a f x x a a=======⨯-⨯===时等式均成立时,左边右边2时左边=,右边5 7.47(4)24;2(2)24(2)617.3321 (1)15()(1)168150.0416718016n h hS f x x R -==--------=⋅+⋅--=--=-----≈⋅≈---分分分分(2)分 8. 令1y'= y a b x'=+--------------------(2分) 建立法方程组:27199274b ⎛⎫⎛⎫⎛⎫= ⎪⎪ ⎪⎝⎭⎝⎭⎝⎭------------------(3分)解得: 3.23496250.9379699a b ==--------(2分)9. 1011210101L ⎛⎫ ⎪⎪= ⎪ ⎪⎝⎭---(2分) 1020101212U ⎛⎫ ⎪ ⎪= ⎪ ⎪⎝⎭-----(2分) ,Ly b Ux y ==,(5,3,6,4)T y =---(2分)(1,1,2,2)T x =---(2分)10.Jacobi 方法:1002/3()001/211/20J B D L U -⎛⎫ ⎪=+=- ⎪ ⎪-⎝⎭-----(2分)120,,()1J B λλρ===<-------(2分) Gauss-Seidel 方法:1002/3()001/20011/12J B D L U --⎛⎫ ⎪=-= ⎪ ⎪-⎝⎭-----(2分)120,11/12,()11/121J B λλρ===<------(2分)Gauss-Seidel 方法快-----------------------(1分)11.123423421()(()())(4()()3())2411()()()()()23!1111()[()()()()()]2223!1 [4(()()42n n n n n n n n n n n n n n n n n n hT y x h y x y x h y x h y x y x h y x hy x h y x h y x O h y x y x hy x h y x h y x O h h y x hy x h +'''=+-+--+-+-''''''=++++''''''---+-+''''''-++32334()())()13(()()()())]25()()8n n n n n n y x O h y x y x hy x h y x O h h y x O h '+-+''''''-++'''=-+------(6分)其中,写出Tn+12分;写出泰勒展开式2分;计算合并给出结果2分;故方法是二阶的,局部截断误差的主项为35()8n h y x '''-----(3分)12.、证:Jacobi 迭代矩阵为1211121220a a B a a ⎡⎤-⎢⎥⎢⎥=⎢⎥-⎢⎥⎣⎦,其谱半径为1()B ρ= 而G-S 迭代矩阵为121121221112200a a B a a a a ⎡⎤-⎢⎥⎢⎥=⎢⎥⎢⎥⎣⎦,其谱半径为122121122().a a B a a ρ=显然1()B ρ与2()B ρ同时小于1、等于或大于1,因而雅可比和高斯-赛德尔法具有相同的敛散性。
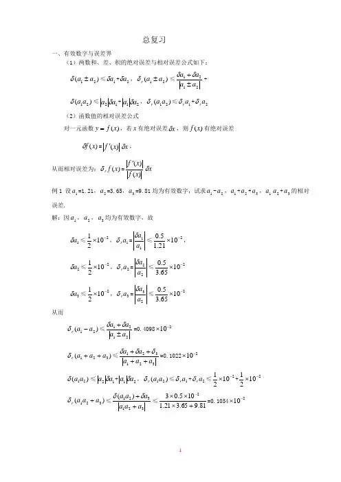
总复习一、有效数字与误差界(1)两数和、差、积的绝对误差与相对误差公式如下:)(21a a ±δ≤1a δ+2a δ,)(21a a r ±δ≤2121a a a a ±+δδ+)(21a a δ≤12a a δ+21a a δ,)(21a a r δ≤1a r δ+2a r δ(2)函数值的相对误差公式对一元函数)(x f y =,若x 有绝对误差x δ,则)(x f 有绝对误差 )(x f δ=)(x f 'x δ, 从而相对误差为:)(x f r δ=)()(x f x f 'x δ例1 设1a =1.21,2a =3.65,3a =9.81均为有效数字,试求1a -2a ,1a +2a +3a ,1a 2a +3a 的相对误差.解:因1a ,2a ,3a 均为有效数字,故1a δ≤21021-⨯,1a r δ=11a a δ≤21021.15.0-⨯, 2a δ≤21021-⨯,2a r δ=22a a δ≤21065.35.0-⨯ 3a δ≤21021-⨯,3a r δ=23a a δ≤21065.35.0-⨯ 从而)(21a a r -δ≤2121a a a a ±+δδ=0.4098210-⨯)(321a a a r ++δ≤321321a a a a a ++++δδδ=0.1022210-⨯)(21a a δ≤12a a δ+21a a δ,)(21a a r δ≤1a r δ+2a r δ≤21021-⨯+21021-⨯)(321a a a r +δ≤321321)(a a a a a a ++δδ≤81.965.321.1105.032+⨯⨯⨯-=0.1054210-⨯例2 设计算球体积允许其相对误差限为1%,问测量球半径的相对误差限最大为多少? 解:记球的半径为R ,体积为V ,则V r δ≤1%.由公式:V =334R π,得到V '=24R πV r δ=VV 'R δ=32344R R ππR δ=3R R δ≤1%⇒R R δ≤31%=0.33%. 二、线性方程组的追赶法及迭代的收敛性1. 追赶法对一个三对角矩阵(33⨯阶)A =⎥⎥⎥⎦⎤⎢⎢⎢⎣⎡3322211b a c b a c b 如果我们要将它分解成一个单位下三角阵与一个上三角矩阵的积,即⎥⎥⎥⎦⎤⎢⎢⎢⎣⎡3322211b ac b a c b =⎥⎥⎥⎦⎤⎢⎢⎢⎣⎡11132l l ⨯⎥⎥⎥⎦⎤⎢⎢⎢⎣⎡32211u d u d u =L ⨯U 则系数2132132,,,,,,d d u u u l l 满足如下关系:1d =1c ,2d =2c 1u =1b ;2l =12u a ;2u =2b -2l 1c ;3l =23u a ;3u =3b -3l 2c 例3 用追赶法求解线性方程组,并写出矩阵L 和U .⎪⎪⎪⎭⎫ ⎝⎛-=⎪⎪⎪⎭⎫ ⎝⎛⎪⎪⎪⎭⎫ ⎝⎛----113210*********x x x 解:设A ⎪⎪⎪⎭⎫ ⎝⎛----210121012,L =⎥⎥⎥⎦⎤⎢⎢⎢⎣⎡11132l l ,U =⎥⎥⎥⎦⎤⎢⎢⎢⎣⎡32211u d u d u ,b =⎪⎪⎪⎭⎫⎝⎛-113 因1b =2b =3b =2,1a =2a =1c =2c =-1,由追赶法得 1d =2d =-1,1u =2,2l =12u a =21-,2u =2b -2l 1c =2-)1(21-⨯-=23,3l =23u a =231-=32- 3u =3b -3l 2c =2-)1(32-⨯-=34即L =⎥⎥⎥⎥⎥⎥⎦⎤⎢⎢⎢⎢⎢⎢⎣⎡--1321211,U=⎥⎥⎥⎥⎥⎥⎦⎤⎢⎢⎢⎢⎢⎢⎣⎡--3412312由L y =b ⇒⎥⎥⎥⎦⎤⎢⎢⎢⎣⎡⎥⎥⎥⎥⎥⎥⎦⎤⎢⎢⎢⎢⎢⎢⎣⎡--3211321211y y y =⎥⎥⎥⎦⎤⎢⎢⎢⎣⎡-113⇒⎥⎥⎥⎦⎤⎢⎢⎢⎣⎡321y y y =⎥⎥⎥⎥⎥⎥⎦⎤⎢⎢⎢⎢⎢⎢⎣⎡34213由U x =y ⇒⎥⎥⎥⎥⎥⎥⎦⎤⎢⎢⎢⎢⎢⎢⎣⎡--3412312⎥⎥⎥⎦⎤⎢⎢⎢⎣⎡321x x x =⎥⎥⎥⎥⎥⎥⎦⎤⎢⎢⎢⎢⎢⎢⎣⎡34213⇒⎥⎥⎥⎦⎤⎢⎢⎢⎣⎡321x x x =⎥⎥⎥⎦⎤⎢⎢⎢⎣⎡1122. 关于迭代的收敛性问题对迭代格式f Bx x k k +=+)()1( 则(1)上述迭代格式产生的向量序列收敛于方程组f Bx x +=的精确解*x 的充要条件是迭代矩阵B 的谱半径1)(<B ρ利用性质B B ≤)(ρ,可以得到收敛的一个充分条件是:(2) 若有1<B ,则由上述迭代格式产生的向量序列收敛于方程组f Bx x +=的精确解*x且有误差估计式:)1()(*)(1---≤-k k k x x BB x x 及)0()(*)(1x x BBx x k kk --≤-记*)(x x e k k -=,)0()(0x x e k -=,上式可以写成01e BBe kk -≤或者BBe e kk -≤10从中可以求出满足一定精度所需的迭代次数.例 4 设*x 表示线性方程组b Ax =精确解,现用迭代格式f Bx x k k +=+)()1(进行求解,其中8.0)(=B ρ,记误差向量*)(x x e k k -=,如果要求计算精度达到6010-≤e e k,试估计大约需要进行多少次迭代. 解:要使6010-≤e e k,因BBe e kk -≤10及)(B ρB ≤将B 近似地用谱半径)(B ρ代替则如果)(1)(B B kρρ-610-≤,那么6010-≤e e k .由)(1)(B B kρρ-610-≤得到 k )8.0(610)8.01(-⨯-≤算得k ≥70.即至少需要70次迭代才能满足要求.例5 设有线性方程组⎪⎪⎪⎭⎫ ⎝⎛=⎪⎪⎪⎭⎫ ⎝⎛⎪⎪⎪⎭⎫ ⎝⎛--111211111112321x x x 试证明:在迭代求解时,用-J 迭代发散,而用-GS 迭代收敛。
1热工基础习题解答第二章:传热学2-1某窑炉炉墙由耐火粘土砖、硅藻土砖与红砖砌成,硅藻土砖与红砖的厚度分别为40mm 和250mm,导热系数分别为0.13和0.39W/m℃,如果不用硅藻土层,但又希望炉墙的散热维持原状,则红砖必须加厚到多少毫米?(1)解得即红砖的厚度应增加到370mm 才能维持原散热热流密度不变。
2-2某厂蒸汽管道为Ø175×5的钢管,外面包了一层95mm厚的石棉保温层,管壁和石棉的导热系数分别为50、0.1w/m.℃,管道内表面的温度为300℃,保温层外表面温度为50℃。
试求每米管长的散热损失。
在计算中能否略去钢管的热阻,为什么?解:石棉保温层和钢管在每米长度方向上产生的热阻分别为:2-3试求通过如图3-108所示的复合壁的热流量。
假设热流是一维的;已知各材料的导热系数为:λA=1.2、λB=0.6、λC=0.3、λD=0.8w/m・℃。
2-4平壁表面温度tw1=450℃,采用石棉作为保温层的热绝缘材料,导热系数λ=0.094+0.000125t,保温层外表面温度tw2=50℃,若要求热损失不超过340w/m2℃,则保温层的厚度应为多少?解:平壁的平均温度为:即保温层的厚度应至少为147mm。
2-5浇注大型混凝土砌块时,由于水泥的水化热使砌块中心温度升高而导致开裂,因此,砌块不能太大。
现欲浇注混凝土墙,水泥释放水化热为100w/m3,混凝土导热系数为1.5W/m℃,假设两壁温度为20℃,限制墙中心温度不得超过50℃。
试问墙厚不得超过多少米?解:由于墙的两侧温度相等,所以墙内的温度分布为2-6一电炉炉膛长×宽×高=250×150×100mm,炉衬为230mm厚的轻质粘土砖(密度为800kg/m3)。
已知内壁平均温度为900℃,炉体外表面温度为80℃。
试求此电炉的散热量。
解:通过该电炉的散热量可以表示为:将该电炉视为中空长方体,则其核算面积为:2-7有两根用同样材料制成的等长度水平横管,具有相同的表面温度,在空气中自然散热,第一根管子的直径是第二根管子直径的10倍,如果这两根管子的(GrPr)值均在103~109之间,且可用准数方程式Nub=0.53Grb。
计算机在材料科学与工程中的应用题集一、选择题1. 在材料科学中,正交实验设计主要用于:A. 预测材料性能B. 单一变量研究C. 复杂系统建模D. 多因素交互作用分析答案: D. 多因素交互作用分析2. 正交表在正交实验设计中的主要作用是:A. 确定实验次数B. 预测实验结果C. 安排实验因素水平D. 评估实验误差答案: C. 安排实验因素水平3. 下列哪项不是正交实验设计的优点?A. 减少实验次数B. 提高实验效率C. 精确控制单一变量D. 便于分析多因素交互效应答案: C. 精确控制单一变量(正交实验设计主要关注多因素交互,而非单一变量)4. 在使用正交实验设计软件时,首先需要:A. 设定实验结果预期B. 确定实验因素及水平C. 分析历史数据D. 选择合适的正交表答案: B. 确定实验因素及水平5. 正交实验设计中的“水平”指的是:A. 实验的重复次数B. 实验因素的不同取值C. 实验结果的精确度D. 实验设备的型号答案: B. 实验因素的不同取值6. 下列哪项是分析正交实验结果时常用的方法?A. 方差分析B. 回归分析C. 因子分析D. 以上都是答案: D. 以上都是7. 正交实验设计能够有效减少实验次数,主要是因为:A. 减少了实验误差B. 简化了实验流程C. 利用正交表合理安排实验D. 提高了实验结果的可靠性答案: C. 利用正交表合理安排实验8. 正交实验设计中,如果某个因素有3个水平,另一个因素有2个水平,那么至少需要进行的实验次数是:A. 2B. 3C. 5D. 6答案: D. 6(正交表的选择会基于各因素的最大水平数,通常需要选择能容纳所有因素及其水平的最小正交表)9. 在分析正交实验结果时,如果某个因素的极差(Range)最大,说明:A. 该因素对实验结果影响最小B. 该因素对实验结果影响最大C. 该因素与其他因素无交互作用D. 实验结果完全由该因素决定答案: B. 该因素对实验结果影响最大10. 正交实验设计的结果分析不包括以下哪项内容?A. 计算各因素的极差B. 绘制因素与指标的关系图C. 预测未来实验结果D. 分析多因素间的交互作用答案: C. 预测未来实验结果(正交实验设计主要用于分析现有实验数据,而非预测未来结果)11. 在选择正交表时,以下哪个因素不是主要考虑的?A. 实验因素的数量B. 各因素的水平数C. 实验结果的精确度要求D. 实验人员的个人喜好答案: D. 实验人员的个人喜好(正交表的选择应基于实验设计的科学性和统计要求)12. 正交实验设计在材料改性研究中,常用于:A. 确定最佳改性条件B. 评估改性材料的市场价值C. 预测改性材料的寿命D. 分析改性材料的微观结构答案: A. 确定最佳改性条件13. 当正交实验设计的结果显示两个因素之间存在显著的交互作用时,应进一步:A. 忽略该交互作用B. 仅分析其中一个因素C. 进行交互作用图的绘制与分析D. 增加实验次数以确认结果答案: C. 进行交互作用图的绘制与分析14. 在材料科学研究中,采用正交实验设计后,通常需要进一步进行:A. 重复实验验证B. 单一变量补充实验C. 数据拟合分析D. 以上都是答案: D. 以上都是15. 在材料力学分析中,用于模拟复杂应力状态下材料行为的常用数值方法是?A. 有限元法B. 有限差分法C. 蒙特卡洛模拟D. 分子动力学模拟答案: A. 有限元法16. 哪种软件常用于材料科学中的三维结构模拟与优化?A. MATLABB. SolidWorksC. COMSOL MultiphysicsD. Autodesk Inventor答案: C. COMSOL Multiphysics17. 在进行材料断裂力学分析时,主要关注的是哪个参数?A. 弹性模量B. 应力强度因子C. 泊松比D. 屈服强度答案: B. 应力强度因子18. 下列哪项技术可用于预测材料在极端条件下的性能变化?A. 密度泛函理论B. X射线衍射分析C. 分子动力学模拟D. 扫描电子显微镜答案: C. 分子动力学模拟19. 在材料结构分析中,哪种方法能够直接观察材料的内部微观结构?A. 有限元分析B. 透射电子显微镜C. 数值模拟D. 红外光谱分析答案: B. 透射电子显微镜20. 材料科学中,用于模拟材料在加载条件下应力分布的软件通常是?A. AutoCADB. ANSYSC. OriginD. SPSS答案: B. ANSYS21. 哪种分析技术可以评估复合材料中各组分间的界面结合强度?A. 纳米压痕测试B. 扫描隧道显微镜C. 微观力学模型D. 拉曼光谱分析答案: C. 微观力学模型22. 在材料疲劳分析中,为了评估材料的寿命,常用的方法是?A. 应力-应变曲线分析B. 疲劳裂纹扩展速率测试C. 硬度测试D. 热重分析答案: B. 疲劳裂纹扩展速率测试23. 下列哪个软件常用于材料的相图计算和热力学模拟?A. MATLABB. Thermo-CalcC. SolidWorksD. Gaussian答案: B. Thermo-Calc24. 在进行材料的热应力分析时,主要考虑的是材料的哪项性质?A. 导热系数B. 弹性模量C. 密度D. 熔点答案: A. 导热系数25. 材料科学中,模拟材料在腐蚀环境下的行为常用哪种方法?A. 蒙特卡洛模拟B. 有限元腐蚀模拟C. 电化学测试D. 密度泛函理论答案: B. 有限元腐蚀模拟(注意:虽然实际中“有限元腐蚀模拟”不是标准术语,但这里为了题目设计而使用,意在表达使用有限元方法进行腐蚀行为的模拟)26. 在材料科学研究中,为了分析材料的微观缺陷,常用的技术是?A. 超声波检测B. 透射电子显微镜C. 红外热成像D. 激光粒度分析答案: B. 透射电子显微镜27. 在进行材料的力学性能测试时,用于评估材料韧性的主要指标是?A. 硬度B. 弹性模量C. 冲击韧性D. 屈服强度答案: C. 冲击韧性28. 在模拟材料的高温蠕变行为时,关键考虑的是材料的哪个性质?A. 弹性模量B. 蠕变极限C. 断裂韧性D. 熔点答案: B. 蠕变极限29. 下列哪种技术用于分析材料在加载过程中的变形和应力分布?A. 扫描电子显微镜B. 数字图像相关法(DIC)C. 红外光谱D. 能量色散X射线光谱(EDS)答案: B. 数字图像相关法(DIC)30. 在材料科学中,为了模拟材料的热传导过程,常用的软件是?A. ANSYSB. GaussianC. MATLABD. AutoCAD答案: A. ANSYS31. 第一性原理计算中,用于描述材料电子结构的理论框架主要是?A. 密度泛函理论B. 经典力学C. 统计力学D. 量子力学答案: D32. 在第一性原理计算中,哪个参数对于描述固体的能带结构至关重要?A. 晶胞大小B. 原子间距C. 离子电荷D. 布里渊区答案: D33. 下列哪个软件常用于第一性原理计算的密度泛函理论模拟?A. MATLABB. AutoCADC. GaussianD. VASP答案: D34. 第一性原理计算中,用于近似处理多电子体系中电子间相互作用的常见方法是?A. 玻尔模型B. 哈特里-福克方法C. 密度矩阵方法D. 局域密度近似(LDA)或广义梯度近似(GGA)答案: D35. 哪种类型的计算在第一性原理模拟中通常用于研究材料的表面和界面性质?A. 分子动力学模拟B. 蒙特卡洛模拟C. 量子蒙特卡洛模拟D. 平板模型计算答案: D36. 在第一性原理计算中,为了获得更准确的电子结构信息,经常需要优化哪个参数?A. 原子质量B. 离子半径C. 晶格常数D. 截断能答案: D37. 下列哪个物理量在第一性原理计算中通常用于描述材料的磁性?A. 电导率B. 介电常数C. 热导率D. 磁矩答案: D38. 在进行第一性原理计算时,哪个步骤通常涉及求解Kohn-Sham方程?A. 初始化参数B. 能量最小化C. 自治场迭代D. 能带结构分析(尽管不直接求解K-S方程,但C项更接近实际求解过程)答案: C(注意:D项不直接相关,但C项是求解K-S方程的核心步骤)39. 第一性原理计算中,用于描述材料光学性质的物理量通常是什么?A. 折射率B. 电阻率C. 介电函数D. 复介电常数答案: D40. 下列哪个算法在第一性原理计算中常用于处理材料的声子谱?A. 密度泛函微扰理论(DFPT)B. 分子动力学C. 蒙特卡洛方法D. 超胞法结合有限位移法答案: A(但D项也是实际操作中可能用到的方法之一,但A项更直接相关)(注意:第40题的D选项虽然在实际中可能用于计算声子谱,但A 选项的DFPT是第一性原理计算中更直接用于声子谱计算的方法。
第十讲工程问题1、甲、乙、丙三人生产一批玩具,甲生产的个数是乙、丙两人生产个数之和的21,乙生产的个数是甲、丙两人生产个数之和的31,丙生产了50个。
这批玩具共有_________个。
【答案】120【分析】甲生产的是总和的÷31,乙生产的是总和的41,那么丙生产的是总和的12541311=--,由此得到这批玩具共有)(12012550个=÷.2、要发一份资料,单用A 传真机发送,要lo 分钟;单用B 传真机发送。
要8分钟;若A 、B 同时发送,由于相互干扰,A 、B 每分钟共少发0.2页。
实际情况是由A 、B 同时发送,5分钟内传完了资料(对方可同时接收两份传真),则这份资料有__________页。
【答案】8【分析】没受干扰时传真机的合作工作效率为,40981101=+,而实际的工作效率为51,所以这份资料共有8)51409(2.0=-÷(页).3、甲、乙二人要从网上下载同一个100兆大小的软件,他们同时用各自家中的电脑开始下载,甲的网速较快。
下载速度是乙的5倍,但是当甲下载了半时。
由于网络故障出现断网的情况,而乙家的网络一直正常。
当甲的网络恢复正常后,继续下载到99兆时(已经下载的部分无须重新下载),乙已经下载完了,则甲断网期间乙下载了__________兆。
【答案】80.2【分析】在与甲下载的同时,乙下载了99÷5=l9.8(兆),则甲断网期间乙下载了100—19.8=80.2(兆).4、放满一个水池,如果同时打开1,2号阀门,则1 2分钟可以完成;如果同时打开1,3号阀门,则15分钟可以完成;如果单独打开l 号阀门,则20分钟可以完成;那么,如果同时打开l ,2,3号阀门,_____ 分钟可以完成。
【答案】10【分析】根据题意可知,1,2号阀门的效率之和为121,l ,3号阀门的效率之和为151,1号阀门 的效率为201,所以1,2,3号阀门的效率之和为101201151121=-+,所以.如果同时打开1,2,3号阀门,10分钟可以完成5、修筑一条高速公路;若甲、乙、丙合作,90天可以完工;若甲、乙、丁合作,120天可以完工;若丙、丁合作,l80天可以完工;若甲、乙合作36天后,剩下的工作由甲、乙、丙、丁合作。
科学和工程计算基础复习题一、 填空题:1. :2. 计算机计费的主要依据有两间,主要由决定;二是占据存储器的空间,3. 用计算机进行数值计算时,4. ,则称该算法5. 函数求值问题()x f y =的条件数定义为:6. 单调减且有 的数列一定存在极限; 单调增且有 的数列一定存在极限. 7. 方程实根的存在唯一性定理:设 且 ,则至少存在一点()b a ,∈ξ使()0=ξf .当()x f '在()b a ,,方程在[]b a ,内有唯一的实根. 8. 函数()y x f ,在有界闭区域D 上对y 满足Lipschitz 条件,是指对于D 上的任意一对点()1,y x 和()2,y x 成立不等式: .其中常数L .9. 设n i R A i n n ,,2,1,, =∈⨯λ为其特征值,则称 为矩阵A 的谱半径. 10. 设1-A 存在,则称数 为矩阵A 的条件数,其中⋅是矩阵的算子范数.11. 方程组f x B x +=,对于任意的初始向量()0x 和右端项f ,迭代法()()f x B x k k+=+1收敛的充分必要条件是选代矩阵B 的 . 12. 设被插函数()x f 在闭区间[]b a ,上n 阶导数连续,()()x fn 1+在开区间()b a ,上存在.若{}ni i x 0=为[]b a ,上的1+n 个互异插值节点,并记()()∏=+-=ni in x x x 01ω,则插值多项式()()()()()∑=++'-=nk k nk n k n x x x x x f x L 011ωω的余项为 ,其中 .13. 若函数组(){}[]b a C x nk k ,0⊂=ϕ满足 ,则称(){}nk k x 0=ϕ为正交函数序列.14. 复化梯形求积公式 ,其余项为15. 复化Simpson 求积公式 ,其余项为 16. 选互异节点n x x x ,,,10 为Gauss 点,则Gauss 型求积公式的代数精度为 .17. 如果给定方法的局部截断误差是()11++=p n h O T ,其中1≥p 为整数,则称该方法是 .18. 微分方程的刚性现象是指快瞬态解严重影响 ,给数值计算造成很大的实质性困难的现象. 19. 迭代序列{}[]b a x k k ,0⊂∞=终止准则通常采用 ,其中的0>ε20.二、 选择题1. 下述哪个条件不是能使高斯消去法顺利实现求解线性代数方程组(),ijn nAx b A a ⨯==的充分条件? ( )A. 矩阵A 的各阶顺序主子式均不为零;B. A 对称正定;C. A 严格对角占优;D. A 的行列式不为零.2. 高斯消去法的计算量是以下述哪个数量级的渐近速度增长的? ( ) A. 313n ; B. 323n ; C. 314n ; D. 334n .3. 对于任意的初始向是()0x和右端项f ,求解线性代数方程组的迭代法()()1k kxBx f +=+收敛的充分必要条件是( ). A.()1B ρ<; B. 1B <; C. ()det 0B ≠; D. B 严格对角占优.4. 下述哪个条件不是能使求解线性代数方程组(),ijn nAx b A a ⨯==的Gauss-Seidel 迭代法收敛的充分条件? ( )A. A 为严格对角占优阵;B. A 为不可约弱对角占优阵;C. A 的行列式不为零;D. A 为对称正定阵. 5. 设()[]2,f x Ca b =,并记()2m a x a xbM f x ≤≤''=,则函数()f x 的过点()()()(),,,a f a b f b 的线性插值余项()1R x ,[],x a b ∀∈满足( ). A. ()()2218M R x b a ≤-; B. ()()2218M R x b a <-;C. ()()2216M R x b a ≤-; D. ()()2216M R x b a <-. 6. 设()n x ϕ是在区间[],a b 上带权()x ρ的首项系数非零的n 次正交多项式()1n ≥,则()n x ϕ的n 个根( ).A. 都是单实根;B. 都是正根;C. 有非负的根;D. 存在重根7. Legendre 多项式是( )的正交多项式.( )A. 区间[]1,1-上带权()x ρ=B. 区间[]1,1-上带权()1x ρ=;C. 区间[],-∞∞上带权()2x x e ρ-=; D. 区间[]0,1上带权()1x ρ=8. 离散数据的曲线拟合的线性最小二乘法的Gram 矩阵与( )无关?A. 基函数(){}n k k x ϕ=; B. 自变量序列{}0mi i x =;C. 权数{}0mi i w =; D. 离散点的函数值{}0mi i y =. 9. Simpson 求积公式的余项是( ).A. ()()()3,,12h R f f a b ηη''=-∈;B. ()()()()54,,90h R f f a b ηη=-∈; C. ()()()()2,,12h b a R f f a b ηη-''=-∈; D. ()()()()()44,,90h b a R f f a b ηη-=-∈ 10. n 个互异节点的Gauss 型求积公式具有( )次代数精确度.A. n ;B. 1n +;C. 21n +;D. 21n -. 11. 一阶导数的数值计算公式中,中心差商公式的精度为( ).A. ()O h ;B. ()2O h ;C. ()2o h ; D. ()32O h .12. 对于用插值法建立的数值求导公式,通常导数值的精确度比用插值公式求得的函数值的精度( ).A. 高; B, 低; C. 相同; D. 不可比.13. 在常微分方程初值问题的数值解法中, 梯形公式是显式Euler 公式和隐式Euler 公式的( ).A. 算术平均;B. 几何平均;C. 非等权平均;D. 和. 14. 当( )时,求解(),0y y λλ'=<的显式Euler 方法是绝对稳定的. A. 11h λ-≤≤; B. 20h λ-≤≤; C. 01h λ≤≤; D. 22h λ-≤≤ 15. 求解(),0y y λλ'=<的经典R-K 公式的绝对稳定条件是( ): A .20h λ-≤≤; B.()2112h h λλ++≤;C.()()()2341123!4!h h h h λλλλ++++≤; D.()()22121211212h h h h λλλλ++≤-+.16. 在非线性方程的数值解法中,只要()()***1,()x x x ϕϕ'≠=,那么不管原迭代法()()1,0,1,2,k k x x k ϕ+== 是否收敛,由它构成的Steffensen 迭代法的局部收敛的阶是( )阶的.A. 1;B. 0;C. 2<;D. 2≥.17. 在非线性方程的数值解法中,Newton 迭代法的局部收敛的阶是( )阶的. A. 1; B. 0; C. 2<; D. 2≥.18. 在非线性方程的数值解法中,离散Newton 迭代法的局部收敛的阶是( )阶的.A. 1;B.C.; D. 2. 19. 在求解非线性方程时,迭代终止准则通常采用( ),其中的0ε>为给定的相对误差容限. A.11k k kx x x ε--<+; B.1k k kx x x ε--<; C. 1k k x x ε--<; D.111k k k x x x ε---<+.20. 在求解非线性方程组时,加进阻尼项的目的,是使线性方程组的( ).A. 系数矩阵非奇异;B. 系数矩阵的行列式不等于零;C. 系数矩阵非奇异并良态;D. 系数矩阵可逆.三、 判断题1. 在用计算机求数学问题的数值解就是构造算法的构造问题.( )2. 用计算机进行数值计算时,所有的函数都必须转化成算术运算;在作加减法时,应避免接近的两个数相减;在所乘除法时,计算结果的精度不会比原始数据的高.( ) 3. 用计算机作加减法时,交换律和结合律成立.( ) 4. 单调减且有下界的数列一定存在极限。
( ) 5. 设n nB R ⨯∈, 则lim 0kk B →∞=的充要条件是B 的谱半径()1B ρ<.( )6. 若n nA R⨯∈,则一定有()2AB ρ=.( )7. 求解线性代数方程组,当n 很大时,Cholesky 分解法的计算量比Gauss 消去法大约减少了一半. ( )8. 在用迭代法求解线性代数方程组时,若Jacobi 迭代矩阵为非负矩阵,则Jacobi 方法和Gauss-Seidel 方法同时收敛,或同时不收敛;若同时收敛,则Gauss-Seidel 方法比Jacobi 方法收敛快. ( ) 9. 均差(或差商)与点列(){},ni i i x f x =的次序有关. ( )10. 线性最小二乘法问题的解与所选基函数有关. ( )11. 复化梯形求积公式是2阶收敛的, 复化Simpson 求积公式是4阶收敛的. ( )12. Gauss 求积系数都是正的. ( )13. 在常微分方程初值问题的数值解法中, 因为梯形公式是显式Euler 公式和隐式Euler 公式的算术平均,而Euler 公式和隐式Euler 公式是一阶方法,所以梯形公式也是一阶方法. ( )14. 在Runge-Kutta 法中, 通常同级的隐式公式能获得比显式公式更高的阶. ( ) 15. 求解(),0y y λλ'=<的梯形公式是无条件稳定的. ( )16. 在常微分方程初值问题的数值解法中, 不论单步法还是多步法, 隐式公式比显式公式的稳定性好. ( )17. 迭代法的基本问题是收敛性、收敛速度和计算效率. ( )18. 在一元非线性方程的数值解法中,最有效的是Steffensen 迭代法和Newton 迭代法.前者不需要求导数,但不宜推广到多元的情形;后者需要求导数,但可直接推广到多元方程组. ( )19. 常微分方程边值问题的差分法,就是将解空间和微分算子离散化、组成满足边值条件的差分方程组,求解此方程组,得到边值问题在节点上函数的近似值. ( )20. 在求解非线性方程组时,在一定条件下映内性可保证不动点存在,因而也能保证唯一性.( )四、 线性代数方程组的数值解法1. 用高斯消去法求解方程组b Ax =,即123211413261225x x x ⎡⎤⎡⎤⎡⎤⎢⎥⎢⎥⎢⎥=⎢⎥⎢⎥⎢⎥⎢⎥⎢⎥⎢⎥⎣⎦⎣⎦⎣⎦(1) 列出用增广矩阵[]b A ,表示的计算过程及解向量x ;(2) 列出由此得到的Doolittle 三角分解LU A =中的三角阵L 和U ;(3) 由U 计算A det 。