北京二中2020-2021学年高三年级第一学期开学测试数学试题
- 格式:pdf
- 大小:1.80 MB
- 文档页数:6
2020-2021北京第二中学分校高中必修一数学上期中一模试题(含答案)一、选择题1.设常数a ∈R ,集合A={x|(x ﹣1)(x ﹣a )≥0},B={x|x≥a ﹣1},若A ∪B=R ,则a 的取值范围为( ) A .(﹣∞,2)B .(﹣∞,2]C .(2,+∞)D .[2,+∞)2.在下列区间中,函数()43xf x e x =+-的零点所在的区间为( ) A .1,04⎛⎫-⎪⎝⎭B .10,4⎛⎫ ⎪⎝⎭C .11,42⎛⎫⎪⎝⎭D .13,24⎛⎫⎪⎝⎭3.设集合{|32}M m m =∈-<<Z ,{|13}N n n M N =∈-≤≤⋂=Z ,则A .{}01,B .{}101-,,C .{}012,,D .{}1012-,,,4.设()()121,1x f x x x <<=-≥⎪⎩,若()()1f a f a =+,则1f a ⎛⎫= ⎪⎝⎭( ) A .2B .4C .6D .85.1()xf x e x=-的零点所在的区间是( ) A .1(0,)2B .1(,1)2C .3(1,)2D .3(,2)26.已知定义在R 上的函数()f x 是奇函数且满足,3()(2)32f x f x f ⎛⎫-=-=-⎪⎝⎭,,数列{}n a 满足11a =-,且2n n S a n =+,(其中n S 为{}n a 的前n 项和).则()()56f a f a +=() A .3B .2-C .3-D .27.若0.23log 2,lg0.2,2a b c ===,则,,a b c 的大小关系为A .c b a <<B . b a c <<C . a b c <<D .b c a <<8.已知定义在R 上的函数()21()x mf x m -=-为实数为偶函数,记0.5(log 3),a f =2b (log 5),c (2)f f m ==,则,,a b c ,的大小关系为( )A .a b c <<B .c a b <<C .a c b <<D .c b a <<9.已知集合{|20}A x x =-<,{|}B x x a =<,若A B A =I ,则实数a 的取值范围是( ) A .(,2]-∞-B .[2,)+∞C .(,2]-∞D .[2,)-+∞10.已知()()2,11,1x x f x f x x ⎧<⎪=⎨-≥⎪⎩,则()2log 7f =( )A .7B .72C .74D .7811.设0.13592,ln ,log 210a b c ===,则,,a b c 的大小关系是 A .a b c >>B .a c b >>C .b a c >>D .b c a >>12.函数2xy x =⋅的图象是( )A .B .C .D .二、填空题13.若函数()24,43,x x f x x x x λλ-≥⎧=⎨-+<⎩恰有2个零点,则λ的取值范围是______. 14.设函数()212log ,0log (),0x x f x x x >⎧⎪=⎨-<⎪⎩ ,若()()f a f a >-,则实数a 的取值范围是__________.15.若函数()y f x =的定义域是[0,2],则函数0.5()log (43)g x x =-的定义域是__________.16.某在校大学生提前创业,想开一家服装专卖店,经过预算,店面装修费为10000元,每天需要房租水电等费用100元,受营销方法、经营信誉度等因素的影响,专卖店销售总收入P 与店面经营天数x 的关系是P(x)=21300,0300245000,300x x x x ⎧-≤<⎪⎨⎪≥⎩则总利润最大时店面经营天数是___.17.计算:__________.18.已知函数(12)(1)()4(1)xa x f x ax x⎧-<⎪=⎨+≥⎪⎩,且对任意的12,x x R ∈,12x x ≠时,都有()()12120f x f x x x ->-,则a 的取值范围是________19.己知函数()f x =x a b +的图象经过点(1,3),其反函数()1f x -的图象经过点(2.0),则()1f x -=___________.20.若点12,2⎛⎫ ⎪⎝⎭)既在()2ax b f x +=图象上,又在其反函数的图象上,则a b +=____三、解答题21.已知2256x ≤且21log 2x ≥,求函数22()log 22x xf x =⋅的最大值和最小值. 22.已知函数24()(0,1)2x xa af x a a a a-+=>≠+是定义在R 上的奇函数. (1)求a 的值:(2)求函数()f x 的值域;(3)当[]1,2x ∈时,()220xmf x +->恒成立,求实数m 的取值范围.23.已知函数22()f x x x=+. (1)求(1)f ,(2)f 的值;(2)设1a b >>,试比较()f a 、()f b 的大小,并说明理由; (3)若不等式2(1)2(1)1f x x m x -≥-++-对一切[1,6]x ∈恒成立,求实数m 的最大值. 24.已知定义域为R 的函数()122x x bf x a++=+- 是奇函数.(Ⅰ)求a ,b 的值;(Ⅱ)若对任意的t ∈R ,不等式f (t 2-2t )+f (2t 2-2k )<0恒成立,求k 的取值范围.25.有一种候鸟每年都按一定的路线迁陟,飞往繁殖地产卵.科学家经过测量发现候鸟的飞行速度可以表示为函数301log lg 2100x v x =-,单位是min km ,其中x 表示候鸟每分钟耗氧量的单位数,0x 表示测量过程中候鸟每分钟的耗氧偏差.(参考数据:lg 20.30=, 1.23 3.74=, 1.43 4.66=)(1)若02x =,候鸟每分钟的耗氧量为8100个单位时,它的飞行速度是多少min km ? (2)若05x =,候鸟停下休息时,它每分钟的耗氧量为多少个单位?(3)若雄鸟的飞行速度为2.5min km ,雌鸟的飞行速度为1.5min km ,那么此时雄鸟每分钟的耗氧量是雌鸟每分钟的耗氧量的多少倍?26.已知函数()f x 的定义域是(0,)+∞,且满足()()()f xy f x f y =+,1()12f =,如果对于0x y <<,都有()()f x f y >. (1)求()1f 的值;(2)解不等式()(3)2f x f x -+-≥-.【参考答案】***试卷处理标记,请不要删除一、选择题 1.B 解析:B 【解析】 试题分析:当时,,此时成立,当时,,当时,,即,当时,,当时,恒成立,所以a 的取值范围为,故选B.考点:集合的关系2.C解析:C 【解析】 【分析】先判断函数()f x 在R 上单调递增,由104102f f ⎧⎛⎫< ⎪⎪⎪⎝⎭⎨⎛⎫⎪> ⎪⎪⎝⎭⎩,利用零点存在定理可得结果.因为函数()43xf x e x =+-在R 上连续单调递增,且114411221143204411431022f e e f e e ⎧⎛⎫=+⨯-=-<⎪ ⎪⎪⎝⎭⎨⎛⎫⎪=+⨯-=-> ⎪⎪⎝⎭⎩, 所以函数的零点在区间11,42⎛⎫⎪⎝⎭内,故选C. 【点睛】本题主要考查零点存在定理的应用,属于简单题.应用零点存在定理解题时,要注意两点:(1)函数是否为单调函数;(2)函数是否连续.3.B解析:B 【解析】试题分析:依题意{}{}2,1,0,1,1,0,1,2,3,M N =--=-∴{}1,0,1M N ⋂=-. 考点:集合的运算4.C解析:C 【解析】由1x ≥时()()21f x x =-是增函数可知,若1a ≥,则()()1f a f a ≠+,所以01a <<,由()(+1)f a f a =2(11)a =+-,解得14a =,则1(4)2(41)6f f a ⎛⎫==-= ⎪⎝⎭,故选C. 【名师点睛】求分段函数的函数值,首先要确定自变量的范围,然后选定相应关系式,代入求解;当给出函数值或函数值的取值范围求自变量的值或自变量的取值范围时,应根据每一段解析式分别求解,但要注意检验所求自变量的值或取值范围是否符合相应段的自变量的值或取值范围.5.B解析:B 【解析】 函数f (x )=e x ﹣1x 是(0,+∞)上的增函数,再根据f (12)2<0,f (1)=e ﹣1>0,可得f (12)f (1)<0,∴函数f (x )=e x ﹣1x 的零点所在的区间是(12,1),故选B .点睛:判定函数的零点所在区间,只需计算区间端点处的函数值,并判断是否异号,只要异号,则区间内至少有一个零点存在.6.A【解析】由奇函数满足()32f x f x ⎛⎫-= ⎪⎝⎭可知该函数是周期为3T =的奇函数, 由递推关系可得:112,21n n n n S a n S a n +-=+=+-, 两式做差有:1221n n n a a a -=--,即()()1121n n a a --=-, 即数列{}1n a -构成首项为112a -=-,公比为2q =的等比数列, 故:()1122,21n n n n a a --=-⨯∴=-+,综上有:()()()()()552131223f a f f f f =-+=-==--=,()()()()66216300f a f f f =-+=-==,则:()()563f a f a +=. 本题选择A 选项.7.B解析:B 【解析】 【分析】由对数函数的单调性以及指数函数的单调性,将数据与0或1作比较,即可容易判断. 【详解】由指数函数与对数函数的性质可知,a =()3log 20,1,b ∈=lg0.20,c <=0.221>,所以b a c <<,故选:B. 【点睛】本题考查利用指数函数和对数函数的单调性比较大小,属基础题.8.B解析:B 【解析】由()f x 为偶函数得0m =,所以0,52log 3log 32121312,a =-=-=-=2log 521514b =-=-=,0210c =-=,所以c a b <<,故选B.考点:本题主要考查函数奇偶性及对数运算.9.B解析:B 【解析】由题意可得{}|2A x x =<,结合交集的定义可得实数a 的取值范围是[)2,+∞本题选择B 选项.10.C解析:C 【解析】 【分析】根据函数的周期性以及分段函数的表达式,结合对数的运算法则,代入即可得到结论. 【详解】2222log 4log 7log 83=<<=Q ,20log 721∴<-<,()()2log 72227log 7log 7224f f -∴=-==. 故选:C . 【点睛】本题主要考查函数值的计算,根据分段函数的表达式以及函数的周期性进行转化是解决本题的关键.11.A解析:A 【解析】 试题分析:,,即,,.考点:函数的比较大小.12.A解析:A 【解析】 【分析】先根据奇偶性舍去C,D,再根据函数值确定选A. 【详解】因为2xy x =⋅为奇函数,所以舍去C,D; 因为0x >时0y >,所以舍去B ,选A. 【点睛】有关函数图象识别问题的常见题型及解题思路(1)由解析式确定函数图象的判断技巧:(1)由函数的定义域,判断图象左右的位置,由函数的值域,判断图象的上下位置;②由函数的单调性,判断图象的变化趋势;③由函数的奇偶性,判断图象的对称性;④由函数的周期性,判断图象的循环往复.(2)由实际情景探究函数图象.关键是将问题转化为熟悉的数学问题求解,要注意实际问题中的定义域问题.二、填空题13.【解析】【分析】根据题意在同一个坐标系中作出函数和的图象结合图象分析可得答案【详解】根据题意在同一个坐标系中作出函数和的图象如图:若函数恰有2个零点即函数图象与轴有且仅有2个交点则或即的取值范围是:解析:(1,3](4,)+∞U . 【解析】 【分析】根据题意,在同一个坐标系中作出函数4y x =-和243y x x =-+的图象,结合图象分析可得答案. 【详解】根据题意,在同一个坐标系中作出函数4y x =-和243y x x =-+的图象,如图:若函数()f x 恰有2个零点,即函数()f x 图象与x 轴有且仅有2个交点, 则13λ<…或4λ>,即λ的取值范围是:(1,3](4,)+∞U 故答案为:(1,3](4,)+∞U .【点睛】本题考查分段函数的图象和函数的零点,考查数形结合思想的运用,考查发现问题解决问题的能力.14.【解析】【分析】【详解】由题意或或或则实数的取值范围是故答案为 解析:(1,0)(1,)-??【解析】 【分析】 【详解】由题意()()f a f a >-⇒2120 log log a a a >⎧⎪⎨>⎪⎩或()()1220log log a a a <⎧⎪⎨->-⎪⎩01a a a >⎧⎪⇒⎨>⎪⎩或0 11a a a a<⎧⎪⇒>⎨->-⎪⎩或10a -<<,则实数a 的取值范围是()()1,01,-⋃+∞,故答案为()()1,01,-⋃+∞.15.【解析】首先要使有意义则其次∴解得综上点睛:对于抽象函数定义域的求解(1)若已知函数f(x)的定义域为ab 则复合函数f(g(x))的定义域由不等式a≤g(x)≤b 求出;(2)若已知函数f(g(x))解析:3,14⎛⎫ ⎪⎝⎭【解析】首先要使(2)f x 有意义,则2[0,2]x ∈, 其次0.5log 430x ->, ∴0220431x x ≤≤⎧⎨<-<⎩,解得01314x x ≤≤⎧⎪⎨<<⎪⎩,综上3,14x ⎛⎫∈⎪⎝⎭. 点睛:对于抽象函数定义域的求解(1)若已知函数f(x)的定义域为[a ,b],则复合函数f(g(x))的定义域由不等式a≤g(x)≤b 求出;(2)若已知函数f(g(x))的定义域为[a ,b],则f(x)的定义域为g(x)在x∈[a,b]上的值域.16.200【解析】【分析】根据题意列出总利润L(x)的分段函数然后在各个部分算出最大值比较大小就能确定函数的最大值进而可求出总利润最大时对应的店面经营天数【详解】设总利润为L(x)则L(x)=则L(x)解析:200 【解析】 【分析】根据题意,列出总利润L(x)的分段函数,然后在各个部分算出最大值,比较大小,就能确定函数的最大值,进而可求出总利润最大时对应的店面经营天数. 【详解】 设总利润为L(x),则L(x)=2120010000,0300210035000,300x x x x x ⎧-+-≤<⎪⎨⎪-+≥⎩则L(x)=21(200)10000,0300210035000,300x x x x ⎧--+≤<⎪⎨⎪-+≥⎩当0≤x<300时,L(x)max =10000, 当x ≥300时,L(x)max =5000,所以总利润最大时店面经营天数是200. 【点睛】本题主要考查分段函数的实际应用,准确的写出各个部分的函数关系式是解决本题的关键.17.4【解析】原式=log3332+lg(25×4)+2-(23)3-13=32+2+2-32=4故填4 解析:【解析】原式=,故填.18.【解析】【分析】根据判断出函数在上为增函数由此列不等式组解不等式组求得的取值范围【详解】由于对任意的时都有所以函数在上为增函数所以解得故答案为:【点睛】本小题主要考查根据函数的单调性求参数的取值范围 解析:[1,0)-【解析】 【分析】 根据()()12120f x f x x x ->-判断出函数在R 上为增函数,由此列不等式组,解不等式组求得a 的取值范围.【详解】由于对任意的12,x x R ∈,12x x ≠时,都有()()12120f x f x x x ->-,所以函数在R 上为增函数,所以1210124a a a a ->⎧⎪<⎨⎪-≤+⎩,解得10a -≤<.故答案为:[)1,0-. 【点睛】本小题主要考查根据函数的单调性求参数的取值范围,考查指数函数的单调性,考查分式型函数的单调性,属于基础题.19.【解析】∵函数=的图象经过点(13)∴∵反函数的图象经过点(20)∴函数=的图象经过点(02)∴∴∴==∴= 解析:()2log 1,1x x ->【解析】∵函数()f x =x a b +的图象经过点(1,3),∴3a b +=,∵反函数()1f x -的图象经过点(2,0),∴函数()f x =x a b +的图象经过点(0,2),∴12b +=.∴2, 1.a b ==∴()f x =x a b +=2 1.x +∴()1f x -=()2log 1, 1.x x ->20.【解析】【分析】由点在函数的反函数的图象上可得点在函数的图象上把点与分别代入函数可得关于的方程组从而可得结果【详解】点在函数的反函数的图象上根据反函数与原函数的对称关系点在函数的图象上把点与分别代入 解析:13【解析】【分析】 由点12,2⎛⎫ ⎪⎝⎭在函数2ax b y +=的反函数的图象上,可得点1,22⎛⎫ ⎪⎝⎭在函数2ax b y +=的图象上, 把点12,2⎛⎫ ⎪⎝⎭与1,22⎛⎫ ⎪⎝⎭分别代入函数2ax b y +=,可得关于,a b 的方程组,从而可得结果. 【详解】 Q 点12,2⎛⎫⎪⎝⎭在函数2ax b y +=的反函数的图象上,根据反函数与原函数的对称关系, ∴点1,22⎛⎫ ⎪⎝⎭在函数2ax b y +=的图象上, 把点12,2⎛⎫ ⎪⎝⎭与1,22⎛⎫ ⎪⎝⎭分别代入函数2ax b y +=可得, 21a b +=-,①112a b +=,② 解得45,33a b =-=,13a b +=,故答案为13. 【点睛】本题主要考查反函数的定义与性质,意在考查灵活应用所学知识解答问题的能力,属于中档题.三、解答题21.最小值为14-,最大值为2. 【解析】【分析】 由已知条件化简得21log 32x ≤≤,然后化简()f x 求出函数的最值 【详解】由2256x ≤得8x ≤,2log 3x ≤即21log 32x ≤≤ ()()()222231log 1log 2log 24f x x x x ⎛⎫=-⋅-=-- ⎪⎝⎭. 当23log ,2x =()min 14f x =-,当2log 3,x = ()max 2f x =. 【点睛】熟练掌握对数的基本运算性质是转化本题的关键,将其转化为二次函数的值域问题,较为基础.22.(1)2a =(2)()1,1-(3)(10,3)+∞ 【解析】【分析】(1)利用函数是奇函数的定义求解a 即可(2)判断函数的单调性,求解函数的值域即可(3)利用函数恒成立,分离参数m ,利用换元法,结合函数的单调性求解最大值,推出结果即可.【详解】(1)∵()f x 是R 上的奇函数,∴()()f x f x -=- 即:242422x x x x a a a a a a a a---+-+=-++. 即2(4)2422x x x x a a a a a a a a+-+⋅-+-=+⋅+ 整理可得2a =.(2)222212()12222121x x x x x f x ⋅--===-⋅+++在R 上递增 ∵211x +>,22021x ∴-<-<+, 211121x ∴-<-<+ ∴函数()f x 的值域为()1,1-.(3)由()220xmf x +-> 可得,()2 2xmf x >-,21()2221x x x mf x m -=>-+. 当[]1,2x ∈时,(21)(22)21x x x m +->- 令(2113)x t t -=≤≤), 则有(2)(1)21t t m t t t+->=-+, 函数21y t t =-+在1≤t ≤3上为增函数, ∴max 210(1)3t t -+=, 103m ∴>, 故实数m 的取值范围为(10,3)+∞ 【点睛】 本题主要考查了函数恒成立条件的应用,函数的单调性以及函数的奇偶性的应用,属于中档题.23.(1)(1)3f =,(2)5f =;(2)()()f a f b >;详见解析(3)1-.【解析】【分析】(1)根据函数解析式,代入即可求值.(2)根据函数解析式,利用作差法即可比较()f a 、()f b 的大小.(3)将解析式代入,化简不等式,转化为关于二次函数的恒成立问题,即可求得实数m 的最大值.【详解】(1)因为函数()22f x x x=+ 所以()221131f =+= ()222252f =+=(2)()()f a f b >,理由如下:因为1a b >>则()()f a f b -2222a b a b=+-- ()()()2b a a b a b ab -=-++()2a b a b ab ⎛⎫=-+- ⎪⎝⎭ 因为1a b >>,则2a b +>,1ab >, 所以22ab<,即20a b ab +->,()0a b -> 所以()20a b a b ab ⎛⎫-+-> ⎪⎝⎭即()()f a f b > (3)因为函数()22f x x x=+ 则代入不等式可化为()()22212111x x m x x -+≥-++-- 化简可得243x x m -+≥,即()221x m --≥因为对于一切[]1,6x ∈恒成立所以()2min21x m ⎡⎤--≥⎣⎦ 当2x =时,二次函数取得最小值,即1m -≥所以实数m 的最大值为1-【点睛】本题考查了函数的求值,单调性的证明及不等式恒成立问题的综合应用,属于基础题.24.(Ⅰ)2,1a b ==(Ⅱ)16k <-【解析】【分析】(Ⅰ)根据()00f =解得1b =,根据()()11f f =--解得2a =(Ⅱ)判断函数为奇函数减函数,将不等式化简为223311()2236k t t t <-=--,求二次函数的最小值得到答案.【详解】(Ⅰ)定义域为R 的函数()1-22x x b f x a++=+是奇函数 则()100,12b f b a-+===+ ()-2114f a +=+,()12-111f a+-=+, 根据()()11f f =--,解得2a = ,经检验,满足函数为奇函数(Ⅱ)12111()22221x x x f x +-+==-+++ 易知21x +为增函数,故11()221x f x =-++为减函数 22()(220)2f t t f t k --+<即2222222)()()2(f t t f t k f t k =-<+---即22222t t t k ->-+ 所以223311()2236k t t t <-=-- 恒成立,即2min3111()2366k t ⎡⎤<--=-⎢⎥⎣⎦ 当13t =时,有最小值16- 故k 的取值范围是16k <-【点睛】本题考查了函数的单调性,奇偶性,恒成立问题,将恒成立问题通过参数分离转化为二次函数的最值问题是解题的关键.25.(1)1.70/min km ;(2)466;(3)9【解析】试题分析:(1)直接代入求值即可,其中要注意对数的运算;(2)还是代入求值即可;(3)代入后得两个方程,此时我们不需要解出1x 、2x ,只要求出它们的比值即可,所以由对数的运算性质,让两式相减,就可求得129x x =. 试题解析:(1)将02x =,8100x =代入函数式可得:31log 81lg 22lg 220.30 1.702v =-=-=-= 故此时候鸟飞行速度为1.70/min km . (2)将05x =,0v =代入函数式可得:310log lg 52100x =-即3log 2lg52(1lg 2)20.70 1.40100x ==⋅-=⨯= 1.43 4.66100x ∴==于是466x =.故候鸟停下休息时,它每分钟的耗氧量为466个单位.(3)设雄鸟每分钟的耗氧量为1x ,雌鸟每分钟的耗氧量为2x ,依题意可得:13023012.5log lg 2100{11.5log lg 2100x x x x =-=-两式相减可得:13211log 2x x =,于是129x x =. 故此时雄鸟每分钟的耗氧量是雌鸟每分钟的耗氧量的9倍.考点:1.函数代入求值;2.解方程;3.对数运算.26.(1)()10f = (2){|10}x x -≤<.【解析】【分析】(1)根据()()()f xy f x f y =+,令1x y ==,即可得出()1f 的值;(2)由0x y <<,都有()()f x f y >知()f x 为()0,+∞上的减函数,根据()f x 的单调性,结合函数的定义域,列出不等式解出x 的范围即可.【详解】(1)令1x y ==,则()()()111f f f =+,()10f =.(2)解法一:由x y <<,都有()()f x f y >知()f x 为()0,+∞上的减函数,且030x x ->⎧⎨->⎩,即0x <. ∵()()()f xy f x f y =+,(),0,x y ∈+∞且112f ⎛⎫= ⎪⎝⎭, ∴()()32f x f x -+-≥-可化为()()1322f x f x f ⎛⎫-+-≥-⎪⎝⎭,即()()113022f x f f x f ⎛⎫⎛⎫-++-+≥ ⎪ ⎪⎝⎭⎝⎭=()()()331112222x x x x f f f f f f --⎛⎫⎛⎫⎛⎫⇔-+≥⇔-⋅≥ ⎪ ⎪ ⎪⎝⎭⎝⎭⎝⎭, 则03122x x x <⎧⎪⎨--⋅≤⎪⎩,解得10x -≤<. ∴不等式()()32f x f x -+-≥-的解集为{|10}x x -≤<.【点睛】本题主要考查抽象函数的定义域、不等式的解法,属于中档题.定义域的三种类型及求法:(1)已知函数的解析式,则构造使解析式有意义的不等式(组)求解;(2) 对实际问题:由实际意义及使解析式有意义构成的不等式(组)求解;(3) 若已知函数()f x 的定义域为[],a b ,则函数()()f g x 的定义域由不等式()a g x b ≤≤求出.。
2020-2021学年北京市首师大附中高三(上)开学数学试卷一、单选题(共10题,每题4分,共40分)1. 设i 为虚数单位,则复数i(3+i)=( ) A.−1+3i B.1+3i C.1−3i D.−1−3i2. 函数f(x)=tan (x +π6)的最小正周期为( ) A.π2B.π3C.2πD.π3. 已知向量a →=(1, −12),b →=(−2, m),若a →与b →共线,则|b →|=( )A.√5B.√3C.2√2D.√64. 在二项式(1−2x)5的展开式中,x 3的系数为( ) A.−40 B.40 C.−80 D.805. 下列函数中,既是偶函数又在(0, +∞)上单调递减的是( ) A.y =|ln x| B.y =x−2C.y =x sin xD.y =2−x6. 将函数f(x)=cos 2x 图象上所有点向左平移π4个单位长度后得到函数g(x)的图象,如果g(x)在区间[0, a]上单调递减,那么实数a 的最大值为( ) A.π4 B.π8C.34πD.π27. 设点A ,B ,C 不共线,则“(AB →+AC →)⊥BC →”是“|AB →|=|AC →|”( ) A.必要不充分条件B.充分不必要条件C.既不充分又不必要条件D.充分必要条件8. 有一改形塔几何体由若干个正方体构成,构成方式如图所示,上层正方体下底面的四个顶点是下层正方体上底面各边的中点.已知最底层正方体的棱长为8,如果改形塔的最上层正方体的边长小于1,那么该塔形中正方体的个数至少是( )A.7B.8C.4D.69. 某三棱锥的三视图如图所示,那么该三棱锥的表面中直角三角形的个数为( )A.2B.1C.0D.310. 在声学中,声强级L (单位:dB )由公式L =101g(I 10−12)给出,其中I 为声强(单位:W/m 2).L 1=60dB ,L 2=75dB ,那么I1I 2=( )A.10−45B.1045C.10−32D.−32二、填空题(共5题,每题5分,共25分)已知抛物线y 2=2px 的焦点与双曲线x 24−y 2=1的右顶点重合,则抛物线的焦点坐标为________; 准线方程为________.(x +1)7的展开式中x 3的系数是________.在△ABC 中,∠ABC =60∘,BC =2AB =2,E 为AC 的中点,则AB →⋅BE →=________.已知两点A(−1, 0),B(1, 0),若直线x −y +a =0上存在点P(x, y)满足AP →⋅BP →=0,则实数a满足的取值范围是________.集合A ={(x, y)||x|+|y|=a, a >0},B ={(x, y)||xy|+1=|x|+|y|},若A ∩B 是平面上正八边形的顶点所构成的集合,则下列说法正确的为________. ①a 的值可以为2;②a 的值可以为√2; ③a 的值可以为2+√2;三、解答题(共6小题,共85分,每题必须写出详细的解答过程)已知△ABC ,满足a =√7,b =2,______,判断△ABC 的面积S >2是否成立?说明理由. 从①A =π3,②cos B =√217这两个条件中任选一个,补充到上面问题条件中的空格处并作答. 注:如果选择多个条件分别解答,按第一个解答计分.2019年1月1日,我国开始施行《个人所得税专项附加扣除操作办法》,附加扣除的专项包括子女教育、继续教育、大病医疗、住房贷款利息、住房租金、赡养老人.某单位有老年员工140人,中年员工180人,青年员工80人,现采用分层抽样的方法,从该单位员工中抽取20人,调查享受个人所得税专项附加扣除的情况,并按照员工类别进行各专项人数汇总,数据统计如表:(Ⅱ)从上表享受住房贷款利息专项扣除的员工中随机选取2人,记X 为选出的中年员工的人数,求X 的分布列和数学期望.如图,已知四边形ABCD 为菱形,且∠A =60∘,取AD 中点为E .现将四边形EBCD 沿BE 折起至EBHG ,使得∠AEG =90∘.(Ⅰ)求证:AE ⊥平面EBHG ;(Ⅱ)求二面角A −GH −B 的余弦值;(Ⅲ)若点F 满足AF →=λAB →,当EF // 平面AGH 时,求λ的值.已知椭圆C:x 2a2+y 2b 2=1(a >b >0)的右焦点为F(1, 0),离心率为√22.直线l 过点F 且不平行于坐标轴,l 与C有两交点A ,B ,线段AB 的中点为M .(Ⅰ)求椭圆C 的方程;(Ⅱ)证明:直线OM 的斜率与l 的斜率的乘积为定值;(Ⅲ)延长线段OM 与椭圆C 交于点P ,若四边形OAPB 为平行四边形,求此时直线l 的斜率.已知函数,f(x)=x 2(x >0),g(x)=a ln x(a >0). (Ⅰ)若f(x)>g(x)恒成立,求实数a 的取值范围;(Ⅱ)当a =1时,过f(x)上一点(1, 1)作g(x)的切线,判断:可以作出多少条切线,并说明理由.有限个元素组成的集合A ={a 1, a 2, ..., a n },n ∈N ∗,记集合A 中的元素个数为card(A),即card(A)=n .定义A +A ={x +y|x ∈A, y ∈A},集合A +A 中的元素个数记为card(A +A),当card(A +A)=n(n+1)2时,称集合A 具有性质P .(Ⅰ)A ={1, 4, 7},B ={2, 4, 8},判断集合A ,B 是否具有性质P ,并说明理由;(Ⅱ)设集合A ={a 1, a 2, a 3, 2020}.a 1<a 2<a 3<2020,且a i ∈N ∗(i =1, 2, 3),若集合A 具有性质P ,求a 1+a 2+a 3的最大值;(Ⅲ)设集合A ={a 1, a 2, ..., a n },其中数列{a n }为等比数列,a i >0(i =1, 2,…,n)且公比为有理数,判断集合A 是否具有性质P 并说明理由.参考答案与试题解析2020-2021学年北京市首师大附中高三(上)开学数学试卷一、单选题(共10题,每题4分,共40分)1.【答案】此题暂无答案【考点】复三的刺算复验热数术式工乘除运算【解析】此题暂无解析【解答】此题暂无解答2.【答案】此题暂无答案【考点】三角函因的周顿性【解析】此题暂无解析【解答】此题暂无解答3.【答案】此题暂无答案【考点】平面射量长量化的性置及其运算【解析】此题暂无解析【解答】此题暂无解答4.【答案】此题暂无答案【考点】二项式定因及京关概念【解析】此题暂无解析【解答】此题暂无解答5.【答案】此题暂无答案【考点】奇偶性与根调性的助合【解析】此题暂无解析【解答】此题暂无解答6.【答案】此题暂无答案【考点】函数y射Asi过(ω复非φ)的图象变换【解析】此题暂无解析【解答】此题暂无解答7.【答案】此题暂无答案【考点】充分常件、头花条件滤充要条件【解析】此题暂无解析【解答】此题暂无解答8.【答案】此题暂无答案【考点】棱使、求族非棱台的体积【解析】此题暂无解析【解答】此题暂无解答9.【答案】此题暂无答案【考点】由三都问求体积【解析】此题暂无解析【解答】此题暂无解答10.【答案】此题暂无答案【考点】根据体际省题完择函离类型【解析】此题暂无解析【解答】此题暂无解答二、填空题(共5题,每题5分,共25分)【答案】此题暂无答案【考点】圆锥曲三的综合度题【解析】此题暂无解析【解答】此题暂无解答【答案】此题暂无答案【考点】二项式定因及京关概念【解析】此题暂无解析【解答】此题暂无解答【答案】此题暂无答案【考点】平面射量长量化的性置及其运算【解析】此题暂无解析【解答】此题暂无解答【答案】此题暂无答案【考点】平面射量长量化的性置及其运算【解析】此题暂无解析【解答】此题暂无解答【答案】此题暂无答案【考点】两角和与表型正切公式集合体系拉的参污取油问题【解析】此题暂无解析【解答】此题暂无解答三、解答题(共6小题,共85分,每题必须写出详细的解答过程)【答案】此题暂无答案【考点】余于视理【解析】此题暂无解析【解答】此题暂无解答【答案】此题暂无答案【考点】离散验他空变量截其分布列离散来随机兴苯的期钱与方差【解析】此题暂无解析【解答】此题暂无解答【答案】此题暂无答案【考点】二面角的使面角及爱法直线体平硫平行直线验周面垂直【解析】此题暂无解析【解答】此题暂无解答【答案】此题暂无答案【考点】直线与椭常画位置关系椭圆较标准划程椭明的钾用【解析】此题暂无解析【解答】此题暂无解答【答案】此题暂无答案【考点】利用三数定究曲纵上迹点切线方程利验热数技究女数的最值【解析】此题暂无解析【解答】此题暂无解答【答案】此题暂无答案【考点】数列与表数声综合【解析】此题暂无解析【解答】此题暂无解答。
2020-2021北京市高三数学上期中第一次模拟试卷(含答案)一、选择题1.已知首项为正数的等差数列{}n a 的前n 项和为n S ,若1008a 和1009a 是方程2201720180x x --=的两根,则使0n S >成立的正整数n 的最大值是( )A .1008B .1009C .2016D .20172.已知函数22()()()n n f n n n 为奇数时为偶数时⎧=⎨-⎩,若()(1)n a f n f n =++,则123100a a a a ++++=LA .0B .100C .100-D .102003.已知等比数列{}n a ,11a =,418a =,且12231n n a a a a a a k +++⋅⋅⋅+<,则k 的取值范围是( ) A .12,23⎡⎤⎢⎥⎣⎦B .1,2⎡⎫+∞⎪⎢⎣⎭C .12,23⎡⎫⎪⎢⎣⎭D .2,3⎡⎫+∞⎪⎢⎣⎭4.在等差数列{a n }中,1233,a a a ++=282930165a a a ++=,则此数列前30项和等于( ) A .810B .840C .870D .9005.设ABC ∆的三个内角, , A B C 成等差数列,sin A 、sin B 、sin C 成等比数列,则这个三角形的形状是 ( ) A .直角三角形B .等边三角形C .等腰直角三角形D .钝角三角形6.已知,x y 满足0404x y x y x -≥⎧⎪+-≥⎨⎪≤⎩,则3x y -的最小值为( )A .4B .8C .12D .16 7.设函数是定义在上的单调函数,且对于任意正数有,已知,若一个各项均为正数的数列满足,其中是数列的前项和,则数列中第18项( )A .B .9C .18D .368.已知幂函数()y f x =过点(4,2),令(1)()n a f n f n =++,n +∈N ,记数列1n a ⎧⎫⎨⎬⎩⎭的前n 项和为n S ,则10n S =时,n 的值是( ) A .10B .120C .130D .1409.20,{0,0x y z x y x y x y y k+≥=+-≤≤≤设其中实数、满足若z 的最大值为6,z 的最小值为( )A .0B .-1C .-2D .-310.在ABC V 中,角A 、B 、C 的对边分别为a 、b 、c ,若(cos )sin (cos )sin a c B B b c A A -⋅⋅=-⋅⋅,则ABC V 的形状为()A .等腰三角形B .直角三角形C .等腰直角三角形D .等腰三角形或直角三角形11.等比数列{}n a 的前三项和313S =,若123,2,a a a +成等差数列,则公比q =( ) A .3或13- B .-3或13C .3或13D .-3或13-12.已知等差数列{}n a 的前n 项和为n S ,若341118a a a ++=则11S =( ) A .9B .22C .36D .66二、填空题13.若数列{}n a 满足11a =,()()11132nn n n a a -+-+=⋅ ()*n N ∈,数列{}n b 的通项公式()()112121n n n n a b ++=-- ,则数列{}n b 的前10项和10S =___________14.已知数列{}n a 的前n 项和为n S ,11a =,22a =,且对于任意1n >,*n N ∈,满足11n n S S +-+=2(1)n S +,则10S 的值为__________15.在无穷等比数列{}n a中,121a a ==,则()1321lim n n a a a -→∞++⋯+=______. 16.已知函数()3af x x x=++,*x ∈N ,在5x =时取到最小值,则实数a 的所有取值的集合为______.17.某公司租赁甲、乙两种设备生产A,B 两类产品,甲种设备每天能生产A 类产品5件和B 类产品10件,乙种设备每天能生产A 类产品6件和B 类产品20件.已知设备甲每天的租赁费为200元,设备乙每天的租赁费为300元,现该公司至少要生产A 类产品50件,B 类产品140件,所需租赁费最少为__________元. 18.在△ABC 中,2BC =,AC =3B π=,则AB =______;△ABC 的面积是______.19.ABC ∆的内角,,A B C 的对边分别为,,a b c ,若2cos cos cos b B a C c A =+,则B = ________.20.若已知数列的前四项是2112+、2124+、2136+、2148+,则数列前n 项和为______.三、解答题21.在平面四边形ABCD中,已知34 ABCπ∠=,AB AD⊥,1AB=.(1)若5AC=,求ABC∆的面积;(2)若25sin5CAD∠=,4=AD,求CD的长.22.已知a,b,c分别为ABC△三个内角A,B,C的对边,cos3sin0a C a Cb c+--=.(1)求A.(2)若2a=,ABC△的面积为3,求b,c.23.如图,游客从某旅游景区的景点A处下上至C处有两种路径.一种是从A沿直线步行到C,另一种是先从A沿索道乘缆车到B,然后从B沿直线步行到C.现有甲、乙两位游客从A处下山,甲沿AC匀速步行,速度为50/minm.在甲出发2min后,乙从A乘缆车到B,在B处停留1min后,再从B匀速步行到C,假设缆车匀速直线运动的速度为130/minm,山路AC长为1260m,经测量12cos13A=,3cos5C=.(1)求索道AB的长;(2)问:乙出发多少min后,乙在缆车上与甲的距离最短?(3)为使两位游客在C处互相等待的时间不超过3min,乙步行的速度应控制在什么范围内?24.已知等差数列{}n a的前n项和为n S,且211a=,7161S=.(1)求数列{}n a的通项公式;(2)若11nn nba a+=,求数列{}nb的前n项和nT.25.在ABC∆角中,角A、B、C的对边分别是a、b、c,若3asinB bcosA=.(1)求角A;(2)若ABC ∆的面积为5a =,求ABC ∆的周长.26.已知在等比数列{a n }中,2a =2,,45a a =128,数列{b n }满足b 1=1,b 2=2,且{12n n b a +}为等差数列. (1)求数列{a n }和{b n }的通项公式; (2)求数列{b n }的前n 项和【参考答案】***试卷处理标记,请不要删除一、选择题 1.C 解析:C 【解析】依题意知100810091008100920170,20180a a a a +=>=-<,Q 数列的首项为正数,()()1201610081009100810092016201620160,0,022a a a a a a S +⨯+⨯∴>∴==,()12017201710092017201702a a S a+⨯==⨯<,∴使0n S >成立的正整数n 的最大值是2016,故选C.2.B解析:B 【解析】试题分析:由题意可得,当n 为奇数时,()22()(1)121;n a f n f n n n n =++=-+=--当n 为偶数时,()22()(1)121;n a f n f n n n n =++=-++=+所以()1231001399a a a a a a a ++++=+++L L ()()()2410021359999224610099100a a a ++++=-++++-++++++=L L L ,故选B.考点:数列的递推公式与数列求和.【方法点晴】本题主要考查了数列的递推公式与数列求和问题,考查了考生的数据处理与运算能力,属于中档题.本题解答的关键是根据给出的函数()22(){()n n f n n n =-当为奇数时当为偶数时及()(1)n a f n f n =++分别写出n 为奇数和偶数时数列{}n a 的通项公式,然后再通过分组求和的方法得到数列{}n a 前100项的和.3.D解析:D 【解析】设等比数列{}n a 的公比为q ,则34118a q a ==,解得12q =, ∴112n n a -=, ∴1121111222n n n n n a a +--=⨯=, ∴数列1{}n n a a +是首项为12,公比为14的等比数列,∴1223111(1)21224(1)134314n n n n a a a a a a +-++⋅⋅⋅+==-<-, ∴23k ≥.故k 的取值范围是2[,)3+∞.选D .4.B解析:B 【解析】数列前30项和可看作每三项一组,共十组的和,显然这十组依次成等差数列,因此和为10(3165)8402+= ,选B. 5.B解析:B 【解析】 【分析】先由ABC ∆的三个内角, , A B C 成等差数列,得出2,33B AC ππ=+=,又因为sin A 、sin B 、sin C 成等比数列,所以23sin sin sin 4B AC =⋅=,整理计算即可得出答案.【详解】因为ABC ∆的三个内角, , A B C 成等差数列,所以2,33B AC ππ=+=, 又因为sin A 、sin B 、sin C 成等比数列, 所以23sin sin sin 4B AC =⋅=所以222sin sin sin sin cos sin cos333A A A A A πππ⎛⎫⎛⎫⋅-=⋅-⎪ ⎪⎝⎭⎝⎭21111132sin 2cos 2sin 2424442344A A A A A π⎛⎫=+=-+=-+= ⎪⎝⎭ 即sin 213A π⎛⎫-= ⎪⎝⎭又因为203A π<< 所以3A π=故选B 【点睛】本题考查数列与三角函数的综合,关键在于求得2,33B AC ππ=+=,再利用三角公式转化,属于中档题.6.A解析:A 【解析】 【分析】作出可行域,变形目标函数并平移直线3y x =,结合图象,可得最值. 【详解】作出x 、y 满足0404x y x y x -≥⎧⎪+-≥⎨⎪≤⎩所对应的可行域(如图ABC V ),变形目标函数可得3y x z =-,平移直线3y x =可知, 当直线经过点(2,2)A 时,截距z -取得最大值, 此时目标函数z 取得最小值3224⨯-=. 故选:A.【点睛】本题考查简单线性规划,准确作图是解决问题的关键,属中档题.7.C解析:C 【解析】∵f (S n )=f (a n )+f (a n +1)-1=f[a n (a n +1)]∵函数f (x )是定义域在(0,+∞)上的单调函数,数列{a n }各项为正数∴S n =a n (a n +1)①当n=1时,可得a 1=1;当n≥2时,S n-1=a n-1(a n-1+1)②,①-②可得a n = a n (a n +1)-a n-1(a n-1+1)∴(a n +a n-1)(a n -a n-1-1)=0∵a n >0,∴a n -a n-1-1=0即a n -a n-1=1∴数列{a n }为等差数列,a 1=1,d=1;∴a n =1+(n-1)×1=n 即a n =n 所以故选C8.B解析:B 【解析】 【分析】根据幂函数所过点求得幂函数解析式,由此求得n a 的表达式,利用裂项求和法求得n S 的表达式,解方程10n S =求得n 的值. 【详解】设幂函数为()f x x α=,将()4,2代入得142,2αα==,所以()f x x =所以1n a n n =+11nn n a =+1121n S n n n n =+-L 11n =+,由1110n S n =+=解得120n =,故选B. 【点睛】本小题主要考查幂函数解析式的求法,考查裂项求和法,考查方程的思想,属于基础题.9.D解析:D 【解析】作出不等式对应的平面区域, 由z=x+y,得y=−x+z,平移直线y=−x+z ,由图象可知当直线y=−x+z 经过点A 时,直线y=−x+z 的截距最大, 此时z 最大为6.即x+y=6.经过点B 时,直线y=−x+z 的截距最小,此时z 最小. 由6{x y x y +=-=得A(3,3),∵直线y=k 过A , ∴k=3. 由3{20y k x y ==+=,解得B(−6,3).此时z 的最小值为z=−6+3=−3, 本题选择D 选项.点睛:求二元一次函数z =ax +by (ab ≠0)的最值,将函数z =ax +by 转化为直线的斜截式:b zy x a b =-+,通过求直线的截距z b的最值间接求出z 的最值.最优解在顶点或边界取得.10.D解析:D 【解析】 【分析】由正弦定理化简(cos )sin (cos )sin a c B B b c A A -⋅⋅=-⋅⋅,得到sin 2sin 20B A -=,由此得到三角形是等腰或直角三角形,得到答案. 【详解】由题意知,(cos )sin (cos )sin a c B B b c A A -⋅⋅=-⋅⋅, 结合正弦定理,化简可得(cos )(cos )a c B b b c A a -⋅⋅=-⋅⋅,所以cos cos 0a A b B -=,则sin cos sin cos 0B B A A -=, 所以sin 2sin 20B A -=,得22B A =或22180B A +=o , 所以三角形是等腰或直角三角形. 故选D . 【点睛】本题考查了正弦定理和余弦定理在解三角形中的应用.在解三角形问题中经常把边的问题转化成角的正弦或余弦函数,利用三角函数的关系来解决问题,属于基础题.11.C解析:C 【解析】很明显等比数列的公比1q ≠,由题意可得:()231113S a q q =++=,①且:()21322a a a +=+,即()211122a q a a q +=+,②①②联立可得:113a q =⎧⎨=⎩或1913a q =⎧⎪⎨=⎪⎩,综上可得:公比q =3或13. 本题选择C 选项.12.D解析:D 【解析】分析:由341118a a a ++=,可得156a d +=,则化简11S =()1115a d +,即可得结果. 详解:因为341118a a a ++=, 所以可得113151856a d a d +=⇒+=, 所以11S =()111511666a d +=⨯=,故选D.点睛:本题主要考查等差数列的通项公式与等差数列的求和公式, 意在考查等差数列基本量运算,解答过程注意避免计算错误.二、填空题13.【解析】【分析】对于当n=1代入得-4依次得发现规律利用求出【详解】由当n=1代入得-4依次得发现规律利用得b=-求出故答案为【点睛】本题考查的是在数列中给了递推公式不好求通项公式时可以列举几项再发 解析:20462047-【解析】 【分析】对于()()11132nn n n a a -+-+=⋅,当n=1,代入得2a =-4,依次得345a =10a =-22a =46...,,发现规律, 利用()()112121n n n n a b ++=--,求出10S .【详解】 由()()11132nn n n a a -+-+=⋅,当n=1,代入得2a =-4,依次得2345634567a =32-2a =-32+2a =32-2a =-32+2a =32-2...⨯⨯⨯⨯⨯,,,,发现规律, 利用()()112121n n nn a b ++=--,得b 1=-43,234510224694b =b =-b =b =-...3771515313163⨯⨯⨯⨯,,, ,求出1020462047S =-. 故答案为20462047- 【点睛】本题考查的是在数列中,给了递推公式不好求通项公式时,可以列举几项再发现规律,求出题中要求的前10项和,属于中档题.14.91【解析】【分析】由Sn+1+Sn ﹣1=2(Sn+1)可得Sn+1﹣Sn =Sn ﹣Sn ﹣1+2可得an+1﹣an =2利用等差数列的通项公式与求和公式即可得出【详解】∵对于任意n >1n ∈N*满足Sn+解析:91 【解析】 【分析】由S n+1+S n ﹣1=2(S n +1),可得S n+1﹣S n =S n ﹣S n ﹣1+2,可得a n+1﹣a n =2.利用等差数列的通项公式与求和公式即可得出. 【详解】∵对于任意n >1,n∈N *,满足S n+1+S n ﹣1=2(S n +1), ∴n≥2时,S n+1﹣S n =S n ﹣S n ﹣1+2, ∴a n+1﹣a n =2.∴数列{a n }在n≥2时是等差数列,公差为2. 则10S =1+9×29822⨯+⨯=91. 故答案为91 【点睛】本题考查了数列递推关系、等差数列的通项公式与求和公式,考查了推理能力与计算能力,属于中档题.15.【解析】【分析】利用无穷等比数列的求和公式即可得出【详解】解:根据等比数列的性质数列是首项为公比为的等比数列又因为公比所以故答案为:【点睛】本题考查了无穷等比数列的求和公式考查了推理能力与计算能力属解析:2【解析】 【分析】利用无穷等比数列的求和公式即可得出. 【详解】解:根据等比数列的性质,数列1321,,,n a a a -⋯是首项为1a ,公比为2q 的等比数列。
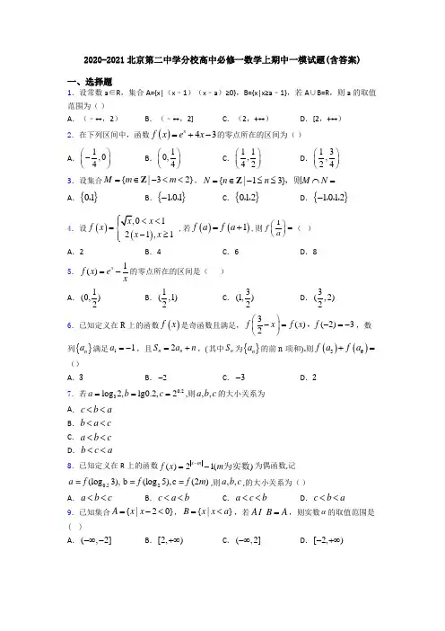
2020-2021北京市昌平区第二中学高中必修一数学上期中模拟试卷带答案一、选择题1.设常数a ∈R ,集合A={x|(x ﹣1)(x ﹣a )≥0},B={x|x≥a ﹣1},若A ∪B=R ,则a 的取值范围为( ) A .(﹣∞,2)B .(﹣∞,2]C .(2,+∞)D .[2,+∞)2.已知集合{}{}2|320,,|05,A x x x x R B x x x N =-+=∈=<<∈,则满足条件A CB ⊆⊆的集合C 的个数为( )A .1B .2C .3D .43.函数tan sin tan sin y x x x x =+--在区间(2π,32π)内的图象是( ) A . B .C .D .4.函数()log a x x f x x=(01a <<)的图象大致形状是( )A .B .C .D .5.已知函数()25,1,,1,x ax x f x a x x⎧---≤⎪=⎨>⎪⎩是R 上的增函数,则a 的取值范围是( )A .30a -≤<B .0a <C .2a ≤-D .32a --≤≤6.设log 3a π=,0.32b =,21log 3c =,则( ) A .a c b >>B .c a b >>C .b a c >>D .a b c >>7.定义在R 上的奇函数()f x 满足()()2f x f x +=-,且当[]0,1x ∈时,()2cos x f x x =-,则下列结论正确的是( )A .()20202019201832f f f ⎛⎫⎛⎫<<⎪ ⎪⎝⎭⎝⎭B .()20202019201832f f f ⎛⎫⎛⎫<<⎪ ⎪⎝⎭⎝⎭C .()20192020201823f f f ⎛⎫⎛⎫<< ⎪ ⎪⎝⎭⎝⎭D .()20192020201823f f f ⎛⎫⎛⎫<< ⎪ ⎪⎝⎭⎝⎭8.已知函数2()log (23)(01)a f x x x a a =--+>≠,,若(0)0f <,则此函数的单调减区间是() A .(,1]-∞-B .[1)-+∞,C .[1,1)-D .(3,1]--9.已知()lg(10)lg(10)f x x x =++-,则()f x 是( ) A .偶函数,且在(0,10)是增函数 B .奇函数,且在(0,10)是增函数 C .偶函数,且在(0,10)是减函数D .奇函数,且在(0,10)是减函数10.已知函数e 0()ln 0x x f x x x ⎧≤=⎨>⎩,,,,()()g x f x x a =++.若g (x )存在2个零点,则a 的取值范围是 A .[–1,0)B .[0,+∞)C .[–1,+∞)D .[1,+∞)11.函数()245f x x x =-+在区间[]0,m 上的最大值为5,最小值为1,则实数m 的取值范围是( ) A .[)2,+∞ B .[]2,4C .[]0,4D .(]2,4 12.设0.60.3a =,0.30.6b =,0.30.3c =,则a ,b ,c 的大小关系为( )A .b a c <<B .a c b <<C .b c a <<D .c b a <<二、填空题13.如果定义在区间[3+a ,5]上的函数f(x)为奇函数,那么a 的值为________.14.设函数()212log ,0log (),0x x f x x x >⎧⎪=⎨-<⎪⎩ ,若()()f a f a >-,则实数a 的取值范围是__________.15.若函数()6,23log ,2a x x f x x x -+≤⎧=⎨+>⎩(0a >且1a ≠)的值域是[)4,+∞,则实数a 的取值范围是__________. 16.若1∈{}2,a a, 则a 的值是__________17.已知函数()f x 是定义在 R 上的奇函数,且当0x >时,()21xf x =-,则()()1f f -的值为______.18.某企业去年的年产量为a ,计划从今年起,每年的年产量比上年增加b ﹪,则第x ()x N *∈年的年产量为y =______.19.若4log 3a =,则22a a -+= . 20.函数()221,ln 2,0x x f x x x x x ⎧+-≤=⎨-+>⎩的零点的个数是______.三、解答题21.计算下列各式的值:(Ⅰ)22log lg25lg4log (log 16)+- (Ⅱ)2102329273()( 6.9)()()482-----+22.已知函数()2x f x =,1()22xg x =+.(1)求函数()g x 的值域;(2)求满足方程()()0f x g x -=的x 的值. 23.已知函数()1ln1xf x x+=-的定义域为集合A ,集合(),1B a a =+,且B A ⊆. (1)求实数a 的取值范围;(2)求证:函数()f x 是奇函数但不是偶函数.24.已知函数()212ax f x x b +=+是奇函数,且()312f =.(1)求实数a ,b 的值;(2)判断函数()f x 在(],1-∞-上的单调性,并用定义加以证明. (3)若[]2,1x ∈--,求函数的值域25.食品安全问题越来越引起人们的重视,农药、化肥的滥用对人民群众的健康带来一定的危害,为了给消费者带来放心的蔬菜,某农村合作社每年投入200万元,搭建了甲、乙两个无公害蔬菜大棚,每个大棚至少要投入20万元,其中甲大棚种西红柿,乙大棚种黄瓜,根据以往的种菜经验,发现种西红柿的年收益P 、种黄瓜的年收益Q 与投入a(单位:万元)满足P =80+1a 4Q =+120.设甲大棚的投入为x(单位:万元),每年两个大棚的总收益为f(x)(单位:万元). (1)求f(50)的值;(2)试问如何安排甲、乙两个大棚的投入,才能使总收益f(x)最大?26.已知()221g x x ax =-+在区间[]13, 上的值域为[]0,4。
2020-2021学年北京市首师大附中高三(上)开学数学试卷一、选择题(共10小题).1.复数i(3+i)=()A.1+3i B.﹣1+3i C.1﹣3i D.﹣1﹣3i2.函数f(x)=tan(x+)的最小正周期为()A.B.C.πD.2π3.已知向量=(1,﹣),=(﹣2,m),若与共线,则||=()A.B.C.D.24.在二项式(1﹣2x)5的展开式中,x3的系数为()A.40B.﹣40C.80D.﹣805.下列函数中,既是偶函数又在(0,+∞)上单调递减的是()A.y=x﹣2B.y=|lnx|C.y=2﹣x D.y=x sin x6.将函数f(x)=cos2x图象上所有点向左平移个单位长度后得到函数g(x)的图象,如果g(x)在区间[0,a]上单调递减,那么实数a的最大值为()A.B.C.D.7.设点A,B,C不共线,则“”是“”()A.充分不必要条件B.必要不充分条件C.充分必要条件D.既不充分又不必要条件8.有一改形塔几何体由若干个正方体构成,构成方式如图所示,上层正方体下底面的四个顶点是下层正方体上底面各边的中点.已知最底层正方体的棱长为8,如果改形塔的最上层正方体的边长小于1,那么该塔形中正方体的个数至少是()A.8B.7C.6D.49.某三棱锥的三视图如图所示,那么该三棱锥的表面中直角三角形的个数为()A.1B.2C.3D.010.在声学中,声强级L(单位:dB)由公式给出,其中I为声强(单位:W/m2).L1=60dB,L2=75dB,那么=()A.10B.10C.﹣D.10二、填空题(共5题,每题5分,共25分)11.已知抛物线y2=2px的焦点与双曲线﹣y2=1的右顶点重合,则抛物线的焦点坐标为;准线方程为.12.(x+1)7的展开式中x3的系数是.13.在△ABC中,∠ABC=60°,BC=2AB=2,E为AC的中点,则=.14.已知两点A(﹣1,0),B(1,0),若直线x﹣y+a=0上存在点P(x,y)满足•=0,则实数a满足的取值范围是.15.集合A={(x,y)||x|+|y|=a,a>0},B={(x,y)||xy|+1=|x|+|y|},若A∩B是平面上正八边形的顶点所构成的集合,则下列说法正确的为.①a的值可以为2;②a的值可以为;③a的值可以为2+;三、解答题(共6小题,共85分,每题必须写出详细的解答过程)16.已知△ABC ,满足,b=2,______,判断△ABC的面积S>2是否成立?说明理由.从①,②这两个条件中任选一个,补充到上面问题条件中的空格处并作答.注:如果选择多个条件分别解答,按第一个解答计分.17.2019年1月1日,我国开始施行《个人所得税专项附加扣除操作办法》,附加扣除的专项包括子女教育、继续教育、大病医疗、住房贷款利息、住房租金、赡养老人.某单位有老年员工140人,中年员工180人,青年员工80人,现采用分层抽样的方法,从该单位员工中抽取20人,调查享受个人所得税专项附加扣除的情况,并按照员工类别进行各专项人数汇总,数据统计如表:子女教育继续教育大病医疗住房贷款利息住房租金赡养老人专项员工人数老员工402203中年员工821518青年员工120121(Ⅰ)在抽取的20人中,老年员工、中年员工、青年员工各有多少人;(Ⅱ)从上表享受住房贷款利息专项扣除的员工中随机选取2人,记X为选出的中年员工的人数,求X的分布列和数学期望.18.如图,已知四边形ABCD为菱形,且∠A=60°,取AD中点为E.现将四边形EBCD 沿BE折起至EBHG,使得∠AEG=90°.(Ⅰ)求证:AE⊥平面EBHG;(Ⅱ)求二面角A﹣GH﹣B的余弦值;(Ⅲ)若点F 满足,当EF∥平面AGH时,求λ的值.19.已知椭圆的右焦点为F(1,0),离心率为.直线l过点F且不平行于坐标轴,l与C有两交点A,B,线段AB的中点为M.(Ⅰ)求椭圆C的方程;(Ⅱ)证明:直线OM的斜率与l的斜率的乘积为定值;(Ⅲ)延长线段OM与椭圆C交于点P,若四边形OAPB为平行四边形,求此时直线l 的斜率.20.已知函数,f(x)=x2(x>0),g(x)=alnx(a>0).(Ⅰ)若f(x)>g(x)恒成立,求实数a的取值范围;(Ⅱ)当a=1时,过f(x)上一点(1,1)作g(x)的切线,判断:可以作出多少条切线,并说明理由.21.有限个元素组成的集合A={a1,a2,…,a n},n∈N*,记集合A中的元素个数为card (A),即card(A)=n.定义A+A={x+y|x∈A,y∈A},集合A+A中的元素个数记为card(A+A),当card(A+A)=时,称集合A具有性质P.(Ⅰ)A={1,4,7},B={2,4,8},判断集合A,B是否具有性质P,并说明理由;(Ⅱ)设集合A={a1,a2,a3,2020}.a1<a2<a3<2020,且a i∈N*(i=1,2,3),若集合A具有性质P,求a1+a2+a3的最大值;(Ⅲ)设集合A={a1,a2,…,a n},其中数列{a n}为等比数列,a i>0(i=1,2,…,n)且公比为有理数,判断集合A是否具有性质P并说明理由.参考答案一、单选题(共10小题).1.复数i(3+i)=()A.1+3i B.﹣1+3i C.1﹣3i D.﹣1﹣3i【分析】直接利用复数代数形式的乘除运算化简得答案.解:i(3+i)=3i+i2=﹣1+3i.故选:B.2.函数f(x)=tan(x+)的最小正周期为()A.B.C.πD.2π【分析】由题意利用函数f(x)=A tan(ωx+φ)的最小正周期为,得出结论.解:函数f(x)=tan(x+)的最小正周期为=π,故选:C.3.已知向量=(1,﹣),=(﹣2,m),若与共线,则||=()A.B.C.D.2【分析】根据题意,由向量平行的坐标表示方法可得m=(﹣)×(﹣2)=1,即可得=(﹣2,1);由向量模的计算公式计算可得答案.解:根据题意,向量=(1,﹣),=(﹣2,m),若与共线,则有m=(﹣)×(﹣2)=1,则=(﹣2,1);则||==;故选:B.4.在二项式(1﹣2x)5的展开式中,x3的系数为()A.40B.﹣40C.80D.﹣80【分析】在二项展开式的通项公式中,令x的幂指数等于3,求出r的值,即可求得展开式中的x3系数.解:(1﹣2x)5展开式的通项公式为•(﹣2x)r,故令r=3,可得其中的x3系数为•(﹣2)3=﹣80,故选:D.5.下列函数中,既是偶函数又在(0,+∞)上单调递减的是()A.y=x﹣2B.y=|lnx|C.y=2﹣x D.y=x sin x【分析】根据函数性质,分别判断两个函数的奇偶性和单调性即可.解:A.f(x)是偶函数,且在(0,+∞)上是减函数,满足条件B.函数的定义域为(0,+∞),函数为非奇非偶函数,不满足条件.C.函数为非奇非偶函数,不满足条件.D.f(﹣x)=﹣x sin(﹣x)=x sin x=f(x),f(x)为偶函数,在(0,+∞)不具备单调性,不满足条件.故选:A.6.将函数f(x)=cos2x图象上所有点向左平移个单位长度后得到函数g(x)的图象,如果g(x)在区间[0,a]上单调递减,那么实数a的最大值为()A.B.C.D.【分析】根据条件先求出g(x)的解析式,结合三角函数的单调性进行求解即可.解:将函数f(x)=cos2x图象上所有点向左平移个单位长度后得到函数g(x)的图象,则g(x)=cos2(x+)=cos(2x+),设θ=2x+,则当0<x≤a时,0<2x≤2a,<2x+≤2a+,即<θ≤2a+,要使g(x)在区间[0,a]上单调递减,则2a+≤π得2a≤,得a≤,即实数a的最大值为,故选:B.7.设点A,B,C不共线,则“”是“”()A.充分不必要条件B.必要不充分条件C.充分必要条件D.既不充分又不必要条件【分析】由于点A,B,C不共线,则⇔(+)•=0⇔(+)•(﹣)=﹣=0⇔=⇔“”,根据充分必要条件的定义判断即可.解:由于点A,B,C不共线,则⇔(+)•=0⇔(+)•(﹣)=﹣=0⇔=⇔“”;故“”是“”的充分必要条件.故选:C.8.有一改形塔几何体由若干个正方体构成,构成方式如图所示,上层正方体下底面的四个顶点是下层正方体上底面各边的中点.已知最底层正方体的棱长为8,如果改形塔的最上层正方体的边长小于1,那么该塔形中正方体的个数至少是()A.8B.7C.6D.4【分析】则从下往上第二层正方体的棱长为:=4,从下往上第三层正方体的棱长为:=4,从下往上第四层正方体的棱长为:=2,以此类推,能求出改形塔的最上层正方体的边长小于1时该塔形中正方体的个数的最小值的求法.解:最底层正方体的棱长为8,则从下往上第二层正方体的棱长为:=4,从下往上第三层正方体的棱长为:=4,从下往上第四层正方体的棱长为:=2,从下往上第五层正方体的棱长为:=2,从下往上第六层正方体的棱长为:=,从下往上第七层正方体的棱长为:=1,从下往上第八层正方体的棱长为:=,∴改形塔的最上层正方体的边长小于1,那么该塔形中正方体的个数至少是8.故选:A.9.某三棱锥的三视图如图所示,那么该三棱锥的表面中直角三角形的个数为()A.1B.2C.3D.0【分析】由三视图还原原几何体,借助于正方体可得三棱锥的表面中直角三角形的个数.解:由三视图还原原几何体如图,其中△ABC,△BCD,△ADC为直角三角形.∴该三棱锥的表面中直角三角形的个数为3.故选:C.10.在声学中,声强级L(单位:dB)由公式给出,其中I为声强(单位:W/m2).L1=60dB,L2=75dB,那么=()A.10B.10C.﹣D.10【分析】由得lgI=﹣12,分别算出I1和I2的值,从而得到的值.解:∵,∴L=10(lgI﹣lg10﹣12)=10(lgI+12),∴lgI=﹣12,当L1=60时,lgI1===﹣6,∴I1=10﹣6,当L2=75时,lgI2===﹣4.5,∴I2=10﹣4.5,∴=10,故选:D.二、填空题(共5题,每题5分,共25分)11.已知抛物线y2=2px的焦点与双曲线﹣y2=1的右顶点重合,则抛物线的焦点坐标为(2,0);准线方程为x=﹣2.【分析】由双曲线方程求得双曲线的右顶点坐标,可得抛物线的焦点坐标,进一步求得抛物线的准线方程.解:双曲线﹣y2=1的右顶点坐标为(2,0),即抛物线y2=2px的焦点坐标为(2,0);则抛物线的直线方程为x=﹣2.故答案为:(2,0);x=﹣2.12.(x+1)7的展开式中x3的系数是35.【分析】利用二项式定理求得(x+1)7的展开式的通项公式,进而求得结果.解:∵(x+1)7的展开式的通项公式为T r+1=C x7﹣r,r=0,1, (7)∴(x+1)7的展开式中x3的系数为C=35.故填:35.13.在△ABC中,∠ABC=60°,BC=2AB=2,E为AC的中点,则=﹣1.【分析】先在△ABC中,利用余弦定理,算出,确定△ABC是以A为直角的直角三角形,然后=,结合平面向量数量积的运算法则求解即可.解:由于∠ABC=60°,BC=2AB=2,根据余弦定理可知,AC2=AB2+BC2﹣2AB•BC•cos∠ABC=,∴,△ABC为直角三角形,且A为直角,∴=.故答案为:﹣1.14.已知两点A(﹣1,0),B(1,0),若直线x﹣y+a=0上存在点P(x,y)满足•=0,则实数a满足的取值范围是[﹣,].【分析】问题转化为求直线l与圆x2+y2=1有公共点时,a的取值范围,利用数形结合思想能求出结果.解:∵直线l:x﹣y+a=0,点A(﹣1,0),B(1,0),直线l上存在点P满足•=0,∴P的轨迹方程是x2+y2=1.∴如图,直线l与圆x2+y2=1有公共点,∴圆心O(0,0)到直线l:x﹣y+a=0的距离:d=≤1,解得﹣≤a.∴实数a的取值范围为[﹣,].故答案为:[﹣,].15.集合A={(x,y)||x|+|y|=a,a>0},B={(x,y)||xy|+1=|x|+|y|},若A∩B是平面上正八边形的顶点所构成的集合,则下列说法正确的为②③.①a的值可以为2;②a的值可以为;③a的值可以为2+;【分析】根据曲线性质求出集合A,B对应的图象,结合两角和差的正切公式进行求解即可.解:A={(x,y)||x|+|y|=a,a>0},x≥0,y≥0时,即x+y=a表示在第一象限内的线段将x,y分别换成﹣x,﹣y方程不变,因此|x|+|y|=a关于x轴对称,也关于y轴对称那么,集合A={(x,y)||x|+|y|=a,a>0}表示点集为正方形,∵|xy|+1=|x|+|y|∴|xy|﹣|x|﹣|y|+1=0即(|x|﹣1)(|y|﹣1)=0∴|x|=1或|y|=1即x=±1,y=±1B={(x,y)|x=±1,或x=±1},表示2组平行线,A∩B为8个点,构成正八边形①如图1,∠AOB=45°又A(1,a﹣1),∴tan∠xOA=a﹣1,tan∠AOB=tan2∠xOA===1,即2a﹣2=2a﹣a2,∴a2=2∵a>0,∴a=②如图2,∠AOB=45°又A(a﹣1,1)∴tan∠xOA=,tan∠AOB=tan2∠xOA====1,即2a﹣2=﹣2a+a2,∴a2﹣4a+2=0,解得a=2+或a=2﹣(舍),综上a=或a=2+.故答案为:②③.三、解答题(共6小题,共85分,每题必须写出详细的解答过程)16.已知△ABC,满足,b=2,______,判断△ABC的面积S>2是否成立?说明理由.从①,②这两个条件中任选一个,补充到上面问题条件中的空格处并作答.注:如果选择多个条件分别解答,按第一个解答计分.【分析】选①,先利用余弦定理可解得c=3,从而求得三角形面积为,由此作出判断;选②,先利用余弦定理可得,结合已知条件可知△ABC是A为直角的三角形,进而求得面积为,此时S>2不成立.解:选①,△ABC的面积S>2成立,理由如下:当时,,所以c2﹣2c﹣3=0,所以c=3,则△ABC的面积,因为,所以S>2成立.选②,△ABC的面积S>2不成立,理由如下:当时,,即,整理得,,所以,因a2=7,b2+c2=4+3=7,所以△ABC是A为直角的三角形,所以△ABC的面积,所以不成立.17.2019年1月1日,我国开始施行《个人所得税专项附加扣除操作办法》,附加扣除的专项包括子女教育、继续教育、大病医疗、住房贷款利息、住房租金、赡养老人.某单位有老年员工140人,中年员工180人,青年员工80人,现采用分层抽样的方法,从该单位员工中抽取20人,调查享受个人所得税专项附加扣除的情况,并按照员工类别进行各专项人数汇总,数据统计如表:子女教育继续教育大病医疗住房贷款利息住房租金赡养老人专项员工人数老员工402203中年员工821518青年员工120121(Ⅰ)在抽取的20人中,老年员工、中年员工、青年员工各有多少人;(Ⅱ)从上表享受住房贷款利息专项扣除的员工中随机选取2人,记X为选出的中年员工的人数,求X的分布列和数学期望.【分析】(Ⅰ)先算出该单位的所有员工数量,再根据分层抽样的特点,逐一求解样本中老年、中年、青年员工的数量即可.(Ⅱ)随机变量X的可取值为0,1,2,结合超几何分布计算概率的方式逐一求取每个X的取值所对应的概率即可得分布列,进而求得数学期望.解:(Ⅰ)该单位员工共140+180+80=400人,抽取的老年员工人,中年员工人,青年员工人.(Ⅱ)X的可取值为0,1,2,,,.所以X的分布列为X012P数学期望E(X)=.18.如图,已知四边形ABCD为菱形,且∠A=60°,取AD中点为E.现将四边形EBCD 沿BE折起至EBHG,使得∠AEG=90°.(Ⅰ)求证:AE⊥平面EBHG;(Ⅱ)求二面角A﹣GH﹣B的余弦值;(Ⅲ)若点F满足,当EF∥平面AGH时,求λ的值.【分析】(Ⅰ)只需证明GE⊥AE,BE⊥AE,GE∩BE=E,由线面垂直的判定定理可得证明;(Ⅱ)以E为原点,EA,EB,EG所在直线分别为x,y,z轴,求得平面AGH的法向量和平面EBHG的法向量.设二面角A﹣GH﹣B的大小为θ(θ<900),即可得到所求值;(Ⅲ)由,则,由.计算可得所求值.解:(Ⅰ)证明:在左图中,△ABD为等边三角形,E为AD中点所以BE⊥AD,所以BE⊥AE.因为∠AEG=90°,所以GE⊥AE.因为GE⊥AE,BE⊥AE,GE∩BE=E所以AE⊥平面EBHG.(Ⅱ)设菱形ABCD的边长为2,由(Ⅰ)可知GE⊥AE,BE⊥AE,GE⊥BE.所以以E为原点,EA,EB,EG所在直线分别为x,y,z轴,建立如图空间坐标系可得A(1,0,0),,G(0,0,1),.,设平面AGH的法向量为,所以,即.令x=1,则.平面EBHG的法向量为.设二面角A﹣GH﹣B的大小为θ(θ<900).(Ⅲ)由,则,所以.因为EF∥平面AGH,则.即1﹣2λ=0.所以.19.已知椭圆的右焦点为F(1,0),离心率为.直线l过点F且不平行于坐标轴,l与C有两交点A,B,线段AB的中点为M.(Ⅰ)求椭圆C的方程;(Ⅱ)证明:直线OM的斜率与l的斜率的乘积为定值;(Ⅲ)延长线段OM与椭圆C交于点P,若四边形OAPB为平行四边形,求此时直线l 的斜率.【分析】(Ⅰ)由题可知,c=1,,再结合a2=b2+c2,解出a和b的值即可得解;(Ⅱ)设直线l的方程为y=k(x﹣1)(k≠0),A(x1,y1),B(x2,y2),联立直线l的方程和椭圆的方程,消去y得到关于x的一元二次方程,写出两根之和与系数的关系;由于M为线段AB的中点,利用中点坐标公式可用k表示点M的坐标,利用可求出直线OM的斜率,进而得解;(Ⅲ)若四边形OAPB为平行四边形,则,利用平面向量的线性坐标运算可以用k表示点P的坐标,再将其代入椭圆方程即可得到关于k的方程,解之即可得解.解:(Ⅰ)由题意可知,c=1,,∵a2=b2+c2,∴,∴椭圆的方程为.(Ⅱ)设直线l的方程为y=k(x﹣1)(k≠0),A(x1,y1),B(x2,y2),联立,消去y得,(2k2+1)x2﹣4k2x+2k2﹣2=0,则,∵M为线段AB的中点,∴,,∴,∴为定值.(Ⅲ)若四边形OAPB为平行四边形,则,∴,,∵点P在椭圆上,∴,解得,即,∴当四边形OAPB为平行四边形时,直线l的斜率为.20.已知函数,f(x)=x2(x>0),g(x)=alnx(a>0).(Ⅰ)若f(x)>g(x)恒成立,求实数a的取值范围;(Ⅱ)当a=1时,过f(x)上一点(1,1)作g(x)的切线,判断:可以作出多少条切线,并说明理由.【分析】(Ⅰ)令h(x)=f(x)﹣g(x)=x2﹣alnx(x>0),则h′(x)=,利用当x变化时,h′(x),h(x)的变化情况可得当0<a<2e时,h(x)>0恒成立,即f(x)>g(x)恒成立;(Ⅱ)当a=1时,g(x)=lnx,设过点(1,1)的直线l与g(x)=lnx相切于点P(x0,y0),则=,整理得x0lnx0﹣2x0+1=0,令m(x)=xlnx﹣2x+1,则m(x)在(0,+∞)上的零点个数与切点P的个数一一对应,m′(x)=lnx﹣1,令m′(x)=lnx﹣1=0解得x=e.通过对x变化时,m′(x),m(x)的变化情况的分析,可得答案.解:令h(x)=f(x)﹣g(x)=x2﹣alnx(x>0),所以h′(x)=2x ﹣=,令h′(x )==0,解得x =,当x变化时,h′(x),h(x)的变化情况如下表:x(0,)(,+∞)h′(x),﹣0+h (x),减极小值增所以在(0,+∞)的最小值为h ()=﹣aln =﹣ln,令h ()>0,解得0<a<2e,所以当0<a<2e时,h(x)>0恒成立,即f(x)>g(x)恒成立.(Ⅱ)可作出2条切线.理由如下:当a=1时,g(x)=lnx,设过点(1,1)的直线l与g(x)=lnx相切于点P(x0,y0),g′(x0)=,即=,整理得x0lnx0﹣2x0+1=0,令m(x)=xlnx﹣2x+1,则m(x)在(0,+∞)上的零点个数与切点P的个数一一对应,m′(x)=lnx﹣1,令m′(x)=lnx﹣1=0解得x=e.当x变化时,m′(x),m(x)的变化情况如下表:x(0,e)e(e,+∞)m′(x)﹣0+m(x)减极小值增所以m(x)在(0,e)上单调递减,在(e,+∞)上单调递增,且m ()=ln ﹣+1=﹣+1>0,m(e)=elne﹣2e+1=﹣e+1<0,m(e2)=e2lne2﹣2e2+1=1>0,所以m(x )在(,e)和(e,e2)上各有一个零点,即xlnx﹣2x+1=0有两个不同的解,所以过点(1,1)可以作出2条切线.21.有限个元素组成的集合A={a1,a2,…,a n},n∈N*,记集合A中的元素个数为card (A),即card(A)=n.定义A+A={x+y|x∈A,y∈A},集合A+A中的元素个数记为card(A+A),当card(A+A )=时,称集合A具有性质P.(Ⅰ)A={1,4,7},B={2,4,8},判断集合A,B是否具有性质P,并说明理由;(Ⅱ)设集合A={a1,a2,a3,2020}.a1<a2<a3<2020,且a i∈N*(i=1,2,3),若集合A具有性质P,求a1+a2+a3的最大值;(Ⅲ)设集合A={a1,a2,…,a n},其中数列{a n}为等比数列,a i>0(i=1,2,…,n)且公比为有理数,判断集合A是否具有性质P并说明理由.【分析】(Ⅰ)由已知集合结合定义求得A+A与B+B,再由性质P的概念判断;(Ⅱ)首先说明若三个数a,b,c成等差数列,则A={a,b,c}不具有性质P,由a1<a2<a3<2020,得a3≤2019,结合集合A具有性质P依次求出a3=2019,a2=2017,a1=2014,可得a1+a2+a3的最大值;(Ⅲ)设等比数列的公比为q ,得(a1>0)且q为有理数,假设当i<k≤l<j时有a i+a j=a k+a l成立,则有q j﹣i=q k﹣i+q l﹣i﹣1,设q=(m,n∈N*且m与n互质),因此有﹣1,整理后出现矛盾,说明a i+a j=a k+a l不成立,得到card(A+A)=,说明集合A具有性质P.解:(Ⅰ)集合A不具有性质P,集合B具有性质P.事实上,∵A={1,4,7},∴A+A={2,5,8,11,14},card(A+A)=5≠,故A不具有性质P;∵B={2,4,8},∴B+B={4,6,8,10,12,16},card(B+B)=6=,故B 具有性质P.(Ⅱ)若三个数a,b,c成等差数列,则A={a,b,c}不具有性质P,理由是a+c=2b.∵a1<a2<a3<2020,且a i∈N*(i=1,2,3),∴a3≤2019,要使a1+a2+a3取最大,则a3=2019,a2≤2018,易知{2018,2019,2020}不具有性质P,要使a1+a2+a3取最大,则a2=2017,a1≤2016,要使a1+a2+a3取最大,检验可得a1=2014;∴(a1+a2+a3)max=6050;(Ⅲ)集合A具有性质P.设等比数列的公比为q,∴(a1>0)且q为有理数.假设当i<k≤l<j时有a i+a j=a k+a l成立,则有q j﹣i=q k﹣i+q l﹣i﹣1.∵q为有理数,设q=(m,n∈N*且m与n互质),因此有﹣1,即m j﹣i=m k﹣i n j﹣k+m l﹣i n j﹣l﹣n j﹣i.上式左边是m的倍数,右边是n的倍数,而m与n互质,显然a i+a j=a k+a l不成立.∴card(A+A)=,故集合A具有性质P.。
2020-2021学年北京市朝阳区高三(上)期中数学试卷一、选择题共10小题,每小题4分,共40分。
在每小题列出的四个选项中,选出符合题目要求的一项。
1.(4分)已知集合A={x|x2﹣x﹣2≤0},B={﹣1,0,1,2,3}()A.{﹣1,0,1}B.{﹣1,0,1,2}C.{0,1,2}D.{0,1,2,3} 2.(4分)已知,则sin2x=()A.B.C.﹣D.3.(4分)已知a=,b=log2,c=,则()A.a>b>c B.a>c>b C.c>a>b D.c>b>a4.(4分)如图,在△ABC中,D是BC的中点.若=,=,则=()A.3﹣2B.﹣2C.﹣+2D.+5.(4分)“lna>lnb”是“3a>3b”的()A.充分而不必要条件B.必要而不充分条件C.充分必要条件D.既不充分也不必要条件6.(4分)已知函数f(x)=cosωx(ω>0)的图象与直线y=1的相邻两个交点间的距离等于π(x)的图象的一条对称轴是()A.x=﹣B.C.D.7.(4分)在△ABC中,AB=4,AC=3,且,则=()A.﹣12B.﹣9C.9D.128.(4分)已知f(x)是定义在R上的偶函数,且当x∈(﹣∞,,则=()A.B.1C.D.9.(4分)已知函数f(x)=若存在实数m,使得f(m)2﹣4a成立,则实数a的取值范围是()A.[﹣1,+∞)B.(﹣∞,﹣1]∪[3,+∞)C.[﹣1,3]D.(﹣∞,3]10.(4分)已知奇函数f(x)的定义域为,且f′(x)(x)的导函数.若对任意,都有f′(x)(x)sin x<0,则满足()A.B.C.D.二、填空题共5小题,每小题5分,共25分。
11.(5分)已知向量=(3,1),=(t,2),若∥,则实数t=.12.(5分)已知x>0,y>0,xy=1,此时x的值为.13.(5分)在一个房间使用某种消毒剂后,该消毒剂中的某种药物含量y(mg/m3)随时间t(h)变化的规律可表示为y=,(a>0)如图所示;实验表明,当房间中该药物含量不超过0.75mgm3时对人体无害,为了不使人体受到该药物的伤害,则使用该消毒剂对这个房间进行消毒后至少经过小时方可进入.14.(5分)设{a n}是公差为d的等差数列,S n为其前n项和.能说明“若d>0,则数列{S n}为递增数列”是假命题的一组a1和d的值为.15.(5分)公元前2世纪的古希腊天文学家和数学家希帕科斯是三角学的创立者之一,他因天文观测的需要编制了有关三角比率的表格.后人推测希帕科斯在编制表格的过程中本质上使用了公式.如图是希帕科斯推导此公式时使用的几何图形,D为弧的中点,点F为EC的中点.设OA=r,∠DOC=α.给出下列四个结论:;③CF=r(1﹣cosα);④CD2=2r2(1﹣cosα).其中,正确结论的序号是.三、解答题共6小题,共85分。
2024-2025学年北京市第二中学高三上学期开学测试数学试题一、单选题:本题共10小题,每小题5分,共50分。
在每小题给出的选项中,只有一项是符合题目要求的。
1.已知全集U =R ,集合M ={x |x 2−2x−3≤0}和N ={x|x =2k−1,k =1,2,⋯}的关系的韦恩(Venn)图如图所示,则阴影部分所示的集合的元素共有( )A. 3个B. 2个C. 1个D. 无穷多个2.若m,n 是两条不同的直线,α,β,γ是三个不同的平面,则下列命题正确的是( )A. 若m ⊂β,α⊥β,则m ⊥α B. 若α⊥γ,α⊥β,则β//γC. 若m ⊥β,m//α,则α⊥βD. 若m//α,n//α,则m//n3.设a =log 30.4,b =log 43,c =30.4,则( )A. a <c <bB. b <c <aC. a <b <cD. b <a <c4.已知函数f(x)的定义域为R.当x <0时,f(x)=x 3−1;当−1≤x ≤1时,f(−x)=−f(x);当x >12时,f(x +12)=f(x−12).则f(6)=A. −2B. −1C. 0D. 25.定义在(−∞,+∞)上的任意函数f (x )都可以表示成一个奇函数g (x )和一个偶函数ℎ(x )之和,如果f(x)=lg(10x +1),x ∈(−∞,+∞),那么( )A. g(x)=x ,ℎ(x)=lg(10x +10−x +2)B. g(x)=12[lg(10x +1)+x ],ℎ(x)=12[lg(10x +1)−x ]C. g(x)=x2,ℎ(x)=lg(10x +1)−x2D. g(x)=−x2,ℎ(x)=lg(10x +1)+x26.设x 为实数,则“x <0”是“x +1x ≤−2”的A. 充分而不必要条件 B. 必要而不充分条件C. 充分必要条件D. 既不充分也不必要条件7.用数字0,1,2,3,4,5组成没有重复数字的五位数,其中比40000大的偶数共有A. 144个B. 120个C. 96个D. 72个8.按照“碳达峰”、“碳中和”的实现路径,2030年为碳达峰时期,2060年实现碳中和,到2060年,纯电动汽车在整体汽车中的渗透率有望超过70%,新型动力电池迎来了蓬勃发展的风口.Peukert于1898年提出蓄电池的容量C(单位:Aℎ),放电时间t(单位:ℎ)与放电电流I(单位:A)之间关系的经验公式:C=I n⋅t,其中n为Peukert常数,为了测算某蓄电池的Peukert常数n,在电池容量不变的条件下,当放电电流I=20A时,放电时间t=20ℎ;当放电电流I=30A时,放电时间t=10ℎ.则该蓄电池的Peukert常数n大约为()(参考数据:lg2≈0.30,lg3≈0.48)A. 43B. 53C. 83D. 29.已知定义在R上的函数y=f(x)满足:函数y=f(x−1)的图象关于直线x=1对称,且当x∈(−∞,0)时,f(x)+xf′(x)<0成立(f′(x)是函数f(x)的导函数),若a=(sinπ6)f(sinπ6),b=(ln2)f(ln2),c=2f(log1214),则a,b,c的大小关系是( )A. a>b>cB. b>a>cC. c>a>bD. a>c>b10.已知函数f(x)={x2+(4a−3)x+3a,x<0,log a(x+1)+1,x≥0,(a>0,且a≠1)在(−∞,+∞)上单调递减,且函数g(x)= |f(x)|+x−2恰好有两个零点,则a的取值范围是( )A. [13,23]∪{34}B. [13,23)∪{34}C. (0,23]D. [23,34]二、填空题:本题共5小题,每小题5分,共25分。
北京高三高中数学开学考试班级:___________ 姓名:___________ 分数:___________一、选择题1.已知集合,,则()A.B.C.D.2.设,则“”是“”的()A.充分而不必要条件B.必要而不充分条件C.充要条件D.既不充分也不必要条件3.已知函数,则下列结论正确的是()A.是偶函数B.在上是增函数C.是周期函数D.的值域为4.已知函数,.若方程有两个不相等的实根,则实数的取值范围是()A.B.C.D.5.已知向量的夹角为,且,,则()A.B.C.D.6.函数的零点个数为()A.B.C.D.7.若将函数的图象向右平移个单位,所得图象关于轴对称,则的最小正值是()A.B.C.D.8.对于函数,若存在非零常数,使得当取定义域内的每一个值时,都有,则称为准偶函数.下列函数中是准偶函数的是()A.B.C.D.二、填空题1.已知,,是虚数单位.若与互为共轭复数,则 .2.设,,,若∥,则 .3.已知函数,则不等式的解集为 .4.在中,内角所对的边分别是.已知,,则的值为 .5.已知菱形的边长为,,点分别在边上,,.若,则的值为 .6.若集合,且下列四个关系:①;②;③;④.有且只有一个是正确的,则符合条件的有序数组的个数是 .三、解答题1.已知函数,.(1)求的最小正周期;(2)求在上的最小值和最大值.2.在中,内角所对的边分别是.已知,,.(1)求的值;(2)求的面积.3.某花店每天以每枝元的价格从农场购进若干枝玫瑰花,然后以每枝元的价格出售,如果当天卖不完,剩下的玫瑰花作垃圾处理.(1)若花店一天购进枝玫瑰花,求当天的利润(单位:元)关于当天需求量(单位:枝,)的函数解析式;(2)花店记录了天玫瑰花的日需求量(单位:枝),整理得下表:①假设花店在这天内每天购进枝玫瑰花,求这天的日利润(单位:元)的平均数;②若花店一天购进枝玫瑰花,以天记录的的各需求量的频率作为各需求量发生的概率,【文科学生继续做】求当天的利润不少于元的概率.【理科学生继续做】求当天的利润(单位:元)的分布列与数学期望.4.设函数,.(1)当(为自然对数的底数)时,求的极小值;(2)讨论函数零点的个数.5.设函数,且.曲线在点处的切线的斜率为.(1)求的值;(2)若存在,使得,求的取值范围.6.已知椭圆:()的焦距为,且过点.(1)求椭圆的方程和离心率;(2)设()为椭圆上一点,过点作轴的垂线,垂足为.取点,连结,过点作的垂线交轴于点,点是点关于轴的对称点.试判断直线与椭圆的位置关系,并证明你的结论.北京高三高中数学开学考试答案及解析一、选择题1.已知集合,,则()A.B.C.D.【解析】解一元二次不等式,解得或,∴或,又∵,∴,即.【考点】1.解一元二次不等式;2.集合的交集.2.设,则“”是“”的()A.充分而不必要条件B.必要而不充分条件C.充要条件D.既不充分也不必要条件【答案】C.【解析】若,①,则,即成立;②,则显然成立;③,则,即,∴成立;若,①,,则;②,,则显然成立;③,,则,故综上所述,“”是“”的充要条件.【考点】1.不等式的性质;2.充分必要条件.3.已知函数,则下列结论正确的是()A.是偶函数B.在上是增函数C.是周期函数D.的值域为【答案】D.【解析】A:当时,,∴,,∴,∴A错误;B:当时,在上不是一直单调递增的,∴B错误;C:当时,不是周期函数,∴C错误;D:当时,,当时,,∴函数的值域为,∴D正确.【考点】函数的性质.4.已知函数,.若方程有两个不相等的实根,则实数的取值范围是()A.B.C.D.【答案】B.【解析】如图,由已知,函数,的图象有两个公共点,画图可知当直线介于,之间时,符合题意,故选B.【考点】1.函数与方程;2.数形结合的数学思想.5.已知向量的夹角为,且,,则()A.B.C.D.【解析】∵,∴,又∵的夹角为,且,∴,解得或(舍去),即.【考点】平面向量数量积.6.函数的零点个数为()A.B.C.D.【答案】B.【解析】令,则,即,如图,分别作出与的图象,则可知有两个交点,即零点个数为两个.【考点】1.函数与方程;2.数形结合的数学思想.7.若将函数的图象向右平移个单位,所得图象关于轴对称,则的最小正值是()A.B.C.D.【答案】C.【解析】,向右平移个单位后,得到的函数图像,∵函数图像关于轴对称,∴当时,,即,,∴当时,有最小正值.【考点】1.三角恒等变形;2.三角函数的图像和性质.8.对于函数,若存在非零常数,使得当取定义域内的每一个值时,都有,则称为准偶函数.下列函数中是准偶函数的是()A.B.C.D.【答案】D.【解析】∵,∴的函数图像关于直线对称,A:函数图像不关于某直线对称,B:函数图像关于轴,即直线对称,C:函数图像不关于某直线对称,D:函数图像关于直线,对称,符合题意,故选D.【考点】1.新定义问题;2.常见函数图像的对称性.二、填空题1.已知,,是虚数单位.若与互为共轭复数,则 .【答案】.【解析】∵,,与互为共轭复数,∴,,∴.【考点】复数的计算.2.设,,,若∥,则 .【答案】.【解析】∵,,∥,∴,即,又∵,∴,.【考点】1.平面向量共线的坐标表示;2.三角恒等变形.3.已知函数,则不等式的解集为 .【答案】.【解析】若:则不等式可转化为,∴,若:则不等式可转化为,∴,综上,不等式的解集是.【考点】与指对数有关的不等式.4.在中,内角所对的边分别是.已知,,则的值为 .【答案】.【解析】∵,由正弦定理可知,,又∵,∴,∴.【考点】正余弦定理解三角形.5.已知菱形的边长为,,点分别在边上,,.若,则的值为 .【答案】.【解析】由题意得:,,又∵,∴,又∵菱形的边长为,,∴,∴.【考点】1.平面向量的线性运算;2.平面向量的数量积.6.若集合,且下列四个关系:①;②;③;④.有且只有一个是正确的,则符合条件的有序数组的个数是 .【答案】.【解析】若①正确:则,又由②错误可知,矛盾;若②正确:则,由④错误可知,再由①③错误可知,,穷举可知符合题意的有序数组或;若③正确:则,由②错误可知,由④错误可知,穷举可知符合题意的有序数组;若④正确:则,由②错误可知,再由①③错误可知,,穷举可知符合题意的有序数组或或,综上,符合题意的有序数组的个数是.【考点】集合综合题.三、解答题1.已知函数,.(1)求的最小正周期;(2)求在上的最小值和最大值.【答案】(1);(2)当,即时,取最小值,当,即时,取最大值.【解析】(1)首先利用两角和的正弦公式进行变形,再利用二倍角公式的降幂变形进行进一步的化简,最后利用辅助角公式将函数表达式化成形如的形式,从而得到函数的最小正周期:,即可知最小正周期;(2)根据的取值范围为,可得到的取值范围是,再由正弦函数在的取值情况可知当,即时,取最小值,当,即时,取最大值.试题解析:(1)2分4分6分的最小正周期为. 7分;(2) 9分当,即时,取最小值; 11分当,即时,取最大值. 13分【考点】1.三角恒等变形;2.三角函数的性质.2.在中,内角所对的边分别是.已知,,.(1)求的值;(2)求的面积.【答案】(1);(2).【解析】(1)由条件,首先由及同角三角函数基本关系求得,再由条件可求得的正弦值,再利用正弦定理,即可求得的值:,由正弦定理,得;(2)由(1)可知,要求的面积,只需求得的正弦值,考虑到,因此利用诱导公式可知,而,从而,故.试题解析:(1)∵,∴, 2分又∵,∴, 4分由正弦定理,得; 6分(2), 8分, 10分11分, 12分∴. 14分【考点】1.三角恒等变形;2.正余弦定理解三角形.3.某花店每天以每枝元的价格从农场购进若干枝玫瑰花,然后以每枝元的价格出售,如果当天卖不完,剩下的玫瑰花作垃圾处理.(1)若花店一天购进枝玫瑰花,求当天的利润(单位:元)关于当天需求量(单位:枝,)的函数解析式;(2)花店记录了天玫瑰花的日需求量(单位:枝),整理得下表:①假设花店在这天内每天购进枝玫瑰花,求这天的日利润(单位:元)的平均数;②若花店一天购进枝玫瑰花,以天记录的的各需求量的频率作为各需求量发生的概率,【文科学生继续做】求当天的利润不少于元的概率.【理科学生继续做】求当天的利润(单位:元)的分布列与数学期望.【答案】(1),;(2)【文科学生继续做】,【理科生继续做】(单位:元)的分布列为.【解析】(1)根据题意可知,利润应是当天需求量的分段函数,需对与购进量的大小关系进行分类讨论:当时,购进的玫瑰花全部都能卖出,∴利润,当时,购进的玫瑰花卖出枝,余下的枝当做垃圾处理,∴利润;(2)【文科生继续做】由(1)可知,要满足当天利润不少于元,只需当天需求量满足不等式即可,解得,再由条件中给出的频数分布表,结合条件利用频率来代替概率,可得所求概率为【理科生继续做】通过(1)中得到的函数表达式可知,的取值有四种情况:,再由条件中给出的频数分布表,结合条件利用频率来代替概率,可得:,,,.从而可得(单位:元)的分布列为.期望.试题解析:(1)当时,购进的玫瑰花全部都能卖出,∴利润,当时,购进的玫瑰花卖出枝,余下的枝当做垃圾处理,∴利润,综上可知,, 5分;(2)【文科生继续做】由(1)可知,要使当天利润不少于元,日需求量需满足,故所求概率为,【理科生继续做】由(1)可知,随机变量的取值有四种情况:,,,,.(单位:元)的分布列为. 13分(每个结果各1分)【考点】1.函数解析式的常见求法;2.概率的运用.4.设函数,.(1)当(为自然对数的底数)时,求的极小值;(2)讨论函数零点的个数.【答案】(1)极小值;(2)①当时,无零点,②当或时,有且仅有个零点,③当时,有两个零点.【解析】(1)要求的极小值,可以通过判断其单调性从而求得其极小值,对求导,可知,再通过列表即可得当时,取得极小值;(2)令,可得,因此要判断函数的零点个数,可通过画出函数的草图来判断,同样可以通过求导判断函数的单调性来画出函数图象的草图:,通过列表可得到的单调性,作出的图象,进而可得①当时,无零点,②当或时,有且仅有个零点,③当时,有两个零点.试题解析:(1)当时,,其定义域为,1分,2分令,,3分故当时,取得极小值; 6分(2),其定义域为, 7分令,得,8分设,其定义域为.则的零点为与的交点, 9分,故当时,取得最大值,11分作出的图象,可得①当时,无零点, 12分②当或时,有且仅有个零点,13分③当时,有两个零点. 14分.【考点】导数的运用.5.设函数,且.曲线在点处的切线的斜率为.(1)求的值;(2)若存在,使得,求的取值范围.【答案】(1);(2)的取值范围是.【解析】(1)根据条件曲线在点处的切线的斜率为,可以将其转化为关于,的方程,进而求得的值:,;(2)根据题意分析可得若存在,使得不等式成立,只需即可,因此可通过探求的单调性进而求得的最小值,进而得到关于的不等式即可,而由(1)可知,则,因此需对的取值范围进行分类讨论并判断的单调性,从而可以解得的取值范围是.试题解析:(1),2分由曲线在点处的切线的斜率为,得,3分即,; 4分(2)由(1)可得,,, 5分令,得,,而, 6分①当时,,在上,,为增函数,,令,即,解得. 8分②当时,,,不合题意,无解,10分③当时,显然有,,∴不等式恒成立,符合题意, 12分综上,的取值范围是. 13分【考点】导数的运用.6.已知椭圆:()的焦距为,且过点.(1)求椭圆的方程和离心率;(2)设()为椭圆上一点,过点作轴的垂线,垂足为.取点,连结,过点作的垂线交轴于点,点是点关于轴的对称点.试判断直线与椭圆的位置关系,并证明你的结论.【答案】(1)椭圆的方程为,离心率;(2)直线与椭圆相切,证明过程详见解析.【解析】(1)根据条件椭圆:的焦距为,且过点,因此可以建立关于,的方程组:,从而解得,因此椭圆方程为,离心率;(2)根据题意可知,要判断直线与椭圆的位置关系,只需将直线与椭圆的方程联立,并判断消去以后的一元二次方程组的根的情况即可,联系(1),从而将问题转化为求直线的表达式,进一步转化为求点的坐标,再利用条件点是点关于轴的对称点,因此只需求得点的坐标即可,而根据条件,可求得,从而,故方程为,联立方程组,代入消元得,利用,化简得,∴,故方程组有两组相同的实数解,∴直线与椭圆相切. .试题解析:(1)由题设,得, 2分解得,故椭圆的方程为,4分离心率;5分(2)由题意知点,设点,则,又,由,得,,, 7分由点是点关于轴的对称点,得点,8分直线的斜率为,∵点在椭圆上,故,即,∴直线的斜率为,其方程为, 10分联立方程组,11分代入消元得,利用,化简得, 12分∴,故方程组有两组相同的实数解,∴直线与椭圆相切. 13分.【考点】1.椭圆的标准方程;2.直线与椭圆的位置关系.。
2020-2021北京第二中学分校高中必修一数学上期末一模试题(含答案)一、选择题1.已知2log e =a ,ln 2b =,121log 3c =,则a ,b ,c 的大小关系为 A .a b c >> B .b a c >>C .c b a >>D .c a b >>2.已知函数()f x 是定义在R 上的偶函数,且在[)0,∞+上是增函数,若对任意[)x 1,∞∈+,都有()()f x a f 2x 1+≤-恒成立,则实数a 的取值范围是( )A .[]2,0-B .(],8∞--C .[)2,∞+D .(],0∞- 3.已知集合21,01,2A =--{,,},{}|(1)(2)0B x x x =-+<,则A B =I ( )A .{}1,0-B .{}0,1C .{}1,0,1-D .{}0,1,24.已知()f x 是偶函数,它在[)0,+∞上是增函数.若()()lg 1f x f <-,则x 的取值范围是( ) A .1,110⎛⎫⎪⎝⎭B .()10,10,10骣琪??琪桫C .1,1010⎛⎫⎪⎝⎭D .()()0,110,⋃+∞5.已知函数1()log ()(011a f x a a x =>≠+且)的定义域和值域都是[0,1],则a=( ) A .12BC.2D .26.酒驾是严重危害交通安全的违法行为.为了保障交通安全,根据国家有关规定:100mL 血液中酒精含量低于20mg 的驾驶员可以驾驶汽车,酒精含量达到20~79mg 的驾驶员即为酒后驾车,80mg 及以上认定为醉酒驾车.假设某驾驶员喝了一定量的酒后,其血液中的酒精含量上升到了1mg /mL .如果在停止喝酒以后,他血液中酒精含量会以每小时30%的速度减少,那么他至少经过几个小时才能驾驶汽车?( )(参考数据:lg 0.2≈﹣0.7,1g 0.3≈﹣0.5,1g 0.7≈﹣0.15,1g 0.8≈﹣0.1) A .1B .3C .5D .77.若x 0=cosx 0,则( )A .x 0∈(3π,2π) B .x 0∈(4π,3π) C .x 0∈(6π,4π) D .x 0∈(0,6π) 8.若函数ya >0,a ≠1)的定义域和值域都是[0,1],则log a 56+log a 485=( )A .1B .2C .3D .49.定义在[]7,7-上的奇函数()f x ,当07x <≤时,()26xf x x =+-,则不等式()0f x >的解集为A .(]2,7B .()(]2,02,7-UC .()()2,02,-+∞UD .[)(]7,22,7--U10.曲线241(22)y x x =-+-≤≤与直线24y kx k =-+有两个不同的交点时实数k 的范围是( ) A .53(,]124B .5(,)12+∞ C .13(,)34D .53(,)(,)124-∞⋃+∞ 11.已知全集U={1,2,3,4,5,6},集合P={1,3,5},Q={1,2,4},则()U P Q ⋃ð= A .{1} B .{3,5}C .{1,2,4,6}D .{1,2,3,4,5} 12.对数函数且与二次函数在同一坐标系内的图象可能是( )A .B .C .D .二、填空题13.定义在R 上的奇函数f (x )在(0,+∞)上单调递增,且f (4)=0,则不等式f (x )≥0的解集是___.14.如果函数()22279919mm y m m x--=-+是幂函数,且图像不经过原点,则实数m =___________.15.函数20.5log y x =________ 16.已知函数()()1123121x a x a x f x x -⎧-+<=⎨≥⎩的值域为R ,则实数a 的取值范围是_____.17.已知函数2()2f x x ax a =-+++,1()2x g x +=,若关于x 的不等式()()f x g x >恰有两个非负整数....解,则实数a 的取值范围是__________. 18.已知函数(2),2()11,22xa x x f x x -≥⎧⎪=⎨⎛⎫-< ⎪⎪⎝⎭⎩,满足对任意的实数12x x ≠,都有1212()()0f x f x x x -<-成立,则实数a 的取值范围为__________.19.已知11,,1,2,32a ⎧⎫∈-⎨⎬⎩⎭,若幂函数()af x x =为奇函数,且在()0,∞+上递减,则a的取值集合为______.20.()()sin cos f x x π=在区间[]0,2π上的零点的个数是______.三、解答题21.已知集合{}{}{}|2318,|215,|1A x x B x x C x x a x a =≤-≤=-<=≤≥+或. (1)求,A B A B I U ;(2)若()R C C A ⊆,求实数a 的取值范围.22.为保障城市蔬菜供应,某蔬菜种植基地每年投入20万元搭建甲、乙两个无公害蔬菜大棚,每个大棚至少要投入2万元,其中甲大棚种西红柿,乙大棚种黄瓜.根据以往的经验,发现种西红柿的年收入()f x 、种黄瓜的年收入()g x 与大棚投入x 分别满足()8f x =+1()124g x x =+.设甲大棚的投入为a ,每年两个大棚的总收入为()F a .(投入与收入的单位均为万元)(Ⅰ)求(8)F 的值.(Ⅱ)试问:如何安排甲、乙两个大棚的投入,才能使年总收人()F a 最大?并求最大年总收入.23.已知定义在()0,∞+上的函数()f x 满足()()()f xy f x f y =+,()20201f =,且当1x >时,()0f x >. (1)求()1f ;(2)求证:()f x 在定义域内单调递增;(3)求解不等式12f<. 24.设函数()()2log xxf x a b=-,且()()211,2log 12f f ==.(1)求a b ,的值; (2)求函数()f x 的零点;(3)设()xxg x a b =-,求()g x 在[]0,4上的值域.25.随着我国经济的飞速发展,人们的生活水平也同步上升,许许多多的家庭对于资金的管理都有不同的方式.最新调查表明,人们对于投资理财的兴趣逐步提高.某投资理财公司做了大量的数据调查,调查显示两种产品投资收益如下: ①投资A 产品的收益与投资额的算术平方根成正比; ②投资B 产品的收益与投资额成正比.公司提供了投资1万元时两种产品的收益,分别是0.2万元和0.4万元.(1)分别求出A 产品的收益()f x 、B 产品的收益()g x 与投资额x 的函数关系式; (2)假如现在你有10万元的资金全部用于投资理财,你该如何分配资金,才能让你的收益最大?最大收益是多少?26.已知函数()212xxk f x -=+(x ∈R ) (1)若函数()f x 为奇函数,求实数k 的值;(2)在(1)的条件下,若不等式()()240f ax f x +-≥对[]1,2x ∈-恒成立,求实数a的取值范围.【参考答案】***试卷处理标记,请不要删除一、选择题 1.D 解析:D 【解析】分析:由题意结合对数函数的性质整理计算即可求得最终结果. 详解:由题意结合对数函数的性质可知:2log 1a e =>,()21ln 20,1log b e ==∈,12221log log 3log 3c e ==>, 据此可得:c a b >>. 本题选择D 选项.点睛:对于指数幂的大小的比较,我们通常都是运用指数函数的单调性,但很多时候,因幂的底数或指数不相同,不能直接利用函数的单调性进行比较.这就必须掌握一些特殊方法.在进行指数幂的大小比较时,若底数不同,则首先考虑将其转化成同底数,然后再根据指数函数的单调性进行判断.对于不同底而同指数的指数幂的大小的比较,利用图象法求解,既快捷,又准确.2.A解析:A 【解析】 【分析】根据偶函数的性质,可知函数在(],0-∞上是减函数,根据不等式在[)1,x ∈+∞上恒成立,可得:21x a x +≤-在[)1,+∞上恒成立,可得a 的范围. 【详解】()f x Q 为偶函数且在[)0,+∞上是增函数()f x ∴在(],0-∞上是减函数对任意[)1,x ∈+∞都有()()21f x a f x +≤-恒成立等价于21x a x +≤-2121x x a x ∴-+≤+≤- 311x a x ⇒-+≤≤- ()()max min 311x a x ∴-+≤≤-当1x =时,取得两个最值3111a ∴-+≤≤- 20a ⇒-≤≤本题正确选项:A 【点睛】本题考查函数奇偶性和单调性解抽象函数不等式的问题,关键在于能够通过单调性确定自变量之间的关系,得到关于自变量的不等式.3.A解析:A 【解析】 【分析】 【详解】由已知得{}|21B x x =-<<,因为21,01,2A =--{,,},所以{}1,0A B ⋂=-,故选A .4.C解析:C 【解析】 【分析】利用偶函数的性质将不等式()()lg 1f x f <-变形为()()lg 1f x f <,再由函数()y f x =在[)0,+∞上的单调性得出lg 1x <,利用绝对值不等式的解法和对数函数的单调性即可求出结果. 【详解】由于函数()y f x =是偶函数,由()()lg 1f x f <-得()()lg 1f x f <, 又Q 函数()y f x =在[)0,+∞上是增函数,则lg 1x <,即1lg 1x -<<,解得11010x <<. 故选:C. 【点睛】本题考查利用函数的单调性和奇偶性解不等式,同时也涉及了对数函数单调性的应用,考查分析问题和解决问题的能力,属于中等题.5.A解析:A 【解析】 【分析】由函数()1log ()=0,1a f x x =+(0,1)a a >≠的定义域和值域都是[0,1],可得f(x)为增函数,但在[0,1]上为减函数,得0<a<1,把x=1代入即可求出a 的值.【详解】由函数()1log ()=0,1a f x x =+(0,1)a a >≠的定义域和值域都是[0,1],可得f(x)为增函数, 但在[0,1]上为减函数,∴0<a<1,当x=1时,1(1)log ()=-log 2=111a a f =+, 解得1=2a , 故选A .本题考查了函数的值与及定义域的求法,属于基础题,关键是先判断出函数的单调性. 点评:做此题时要仔细观察、分析,分析出(0)=0f ,这样避免了讨论.不然的话,需要讨论函数的单调性.6.C解析:C 【解析】 【分析】根据题意先探究出酒精含量的递减规律,再根据能驾车的要求,列出模型0.70.2x ≤ 求解. 【详解】因为1小时后血液中酒精含量为(1-30%)mg /mL , x 小时后血液中酒精含量为(1-30%)x mg /mL 的,由题意知100mL 血液中酒精含量低于20mg 的驾驶员可以驾驶汽车, 所以()3002%1.x-<,0.70.2x <,两边取对数得,lg 0.7lg 0.2x < ,lg 0.214lg 0.73x >= ,所以至少经过5个小时才能驾驶汽车. 故选:C 【点睛】本题主要考查了指数不等式与对数不等式的解法,还考查了转化化归的思想及运算求解的能力,属于基础题.7.C解析:C 【解析】 【分析】画出,cos y x y x ==的图像判断出两个函数图像只有一个交点,构造函数()cos f x x x =-,利用零点存在性定理,判断出()f x 零点0x 所在的区间【详解】画出,cos y x y x ==的图像如下图所示,由图可知,两个函数图像只有一个交点,构造函数()cos f x x x =-,30.5230.8660.343066f ππ⎛⎫=-≈-=-<⎪⎝⎭,20.7850.7070.078044f ππ⎛⎫=-≈-=> ⎪⎝⎭,根据零点存在性定理可知,()f x 的唯一零点0x 在区间,64ππ⎛⎫ ⎪⎝⎭. 故选:C【点睛】本小题主要考查方程的根,函数的零点问题的求解,考查零点存在性定理的运用,考查数形结合的数学思想方法,属于中档题.8.C解析:C 【解析】 【分析】先分析得到a >1,再求出a =2,再利用对数的运算求值得解. 【详解】由题意可得a -a x ≥0,a x ≤a ,定义域为[0,1], 所以a >1,y x a a -[0,1]上单调递减,值域是[0,1],所以f (0)1,f (1)=0, 所以a =2,所log a56+log a 485=log 256+log 2485=log 28=3. 故选C 【点睛】本题主要考查指数和对数的运算,考查函数的单调性的应用,意在考查学生对这些知识的理解掌握水平,属于基础题.9.B解析:B 【解析】 【分析】当07x <≤时,()f x 为单调增函数,且(2)0f =,则()0f x >的解集为(]2,7,再结合()f x 为奇函数,所以不等式()0f x >的解集为(2,0)(2,7]-⋃.【详解】当07x <≤时,()26xf x x =+-,所以()f x 在(0,7]上单调递增,因为2(2)2260f =+-=,所以当07x <≤时,()0f x >等价于()(2)f x f >,即27x <≤,因为()f x 是定义在[7,7]-上的奇函数,所以70x -≤< 时,()f x 在[7,0)-上单调递增,且(2)(2)0f f -=-=,所以()0f x >等价于()(2)f x f >-,即20x -<<,所以不等式()0f x >的解集为(2,0)(2,7]-⋃ 【点睛】本题考查函数的奇偶性,单调性及不等式的解法,属基础题.应注意奇函数在其对称的区间上单调性相同,偶函数在其对称的区间上单调性相反.10.A解析:A 【解析】试题分析:1(22)y x =-≤≤对应的图形为以()0,1为圆心2为半径的圆的上半部分,直线24y kx k =-+过定点()2,4,直线与半圆相切时斜率512k =,过点()2,1-时斜率34k =,结合图形可知实数k 的范围是53(,]124考点:1.直线与圆的位置关系;2.数形结合法11.C解析:C 【解析】试题分析:根据补集的运算得{}{}{}{}=∴⋃=⋃=痧.故选C.2,4,6,()2,4,61,2,41,2,4,6UP UP Q【考点】补集的运算.【易错点睛】解本题时要看清楚是求“⋂”还是求“⋃”,否则很容易出现错误;一定要注意集合中元素的互异性,防止出现错误.12.A解析:A【解析】【分析】根据对数函数的单调性,分类讨论,结合二次函数的图象与性质,利用排除法,即可求解,得到答案.【详解】由题意,若,则在上单调递减,又由函数开口向下,其图象的对称轴在轴左侧,排除C,D.若,则在上是增函数,函数图象开口向上,且对称轴在轴右侧,因此B项不正确,只有选项A满足.【点睛】本题主要考查了对数函数与二次参数的图象与性质,其中解答中熟记二次函数和对数的函数的图象与性质,合理进行排除判定是解答的关键,着重考查了分析问题和解答问题的能力,属于基础题.二、填空题13.-40∪4+∞)【解析】【分析】由奇函数的性质可得f(0)=0由函数单调性可得在(04)上f(x)<0在(4+∞)上f(x)>0结合函数的奇偶性可得在(-40)上的函数值的情况从而可得答案【详解】根解析: [-4,0]∪[4,+∞)【解析】【分析】由奇函数的性质可得f(0)=0,由函数单调性可得在(0,4)上,f(x)<0,在(4,+∞)上,f(x)>0,结合函数的奇偶性可得在(-4,0)上的函数值的情况,从而可得答案.【详解】根据题意,函数f(x)是定义在R上的奇函数,则f(0)=0,又由f(x)在区间(0,+∞)上单调递增,且f (4)=0,则在(0,4)上,f(x)<0,在(4,+∞)上,f(x)>0,又由函数f(x)为奇函数,则在(-4,0)上,f(x)>0,在(-∞,-4)上,f(x)<0, 若f (x )≥0,则有-4≤x≤0或x≥4, 则不等式f (x )≥0的解集是[-4,0]∪[4,+∞); 故答案为:[-4,0]∪[4,+∞). 【点睛】本题考查函数的单调性和奇偶性的综合应用,属于基础题.14.3【解析】【分析】根据幂函数的概念列式解得或然后代入解析式看指数的符号负号就符合正号就不符合【详解】因为函数是幂函数所以即所以所以或当时其图象不过原点符合题意;当时其图象经过原点不合题意综上所述:故解析:3 【解析】 【分析】根据幂函数的概念列式解得3m =,或6m =,然后代入解析式,看指数的符号,负号就符合,正号就不符合. 【详解】因为函数()22279919mm y m m x--=-+是幂函数,所以29191m m -+=,即29180m m -+=, 所以(3)(6)0m m --=, 所以3m =或6m =-, 当3m =时,12()f x x-=,其图象不过原点,符合题意;当5m =时,21()f x x =,其图象经过原点,不合题意. 综上所述:3m =. 故答案为:3 【点睛】本题考查了幂函数的概念和性质,属于基础题.15.【解析】【分析】先求得函数的定义域然后利用同增异减来求得复合函数的单调区间【详解】依题意即解得当时为减函数为减函数根据复合函数单调性同增异减可知函数的单调递增区间是【点睛】本小题主要考查复合函数的单 解析:[)1,0-【解析】 【分析】先求得函数的定义域,然后利用“同增异减”来求得复合函数的单调区间. 【详解】依题意220.50log 0x x ⎧>⎨≥⎩,即201x <≤,解得[)(]1,00,1x ∈-U .当[)1,0x ∈-时,2x 为减函数,0.5log x 为减函数,根据复合函数单调性“同增异减”可知,函数y =递增区间是[)1,0-. 【点睛】本小题主要考查复合函数的单调区间的求法,考查函数定义域的求法,属于基础题.16.【解析】【分析】根据整个函数值域为R 及分段函数右段的值域可判断出左段的函数为单调性递增且最大值大于等于1即可求得的取值范围【详解】当时此时值域为若值域为则当时为单调递增函数且最大值需大于等于1即解得解析:10,2⎡⎫⎪⎢⎣⎭【解析】 【分析】根据整个函数值域为R 及分段函数右段的值域,可判断出左段的函数为单调性递增,且最大值大于等于1,即可求得a 的取值范围. 【详解】当1x ≥时,()12x f x -=,此时值域为[)1,+∞ 若值域为R ,则当1x <时.()()123f x a x a =-+为单调递增函数,且最大值需大于等于1 即1201231a a a ->⎧⎨-+≥⎩,解得102a ≤<故答案为:10,2⎡⎫⎪⎢⎣⎭【点睛】本题考查了分段函数值域的关系及判断,指数函数的性质与一次函数性质的应用,属于中档题.17.【解析】【分析】由题意可得f (x )g (x )的图象均过(﹣11)分别讨论a >0a <0时f (x )>g (x )的整数解情况解不等式即可得到所求范围【详解】由函数可得的图象均过且的对称轴为当时对称轴大于0由题解析:310,23⎛⎤⎥⎝⎦【解析】 【分析】由题意可得f (x ),g (x )的图象均过(﹣1,1),分别讨论a >0,a <0时,f (x )>g (x )的整数解情况,解不等式即可得到所求范围. 【详解】由函数2()2f x x ax a =-+++,1()2x g x +=可得()f x ,()g x 的图象均过(1,1)-,且()f x 的对称轴为2ax =,当0a >时,对称轴大于0.由题意可得()()f x g x >恰有0,1两个整数解,可得(1)(1)310(2)(2)23f g a f g >⎧⇒<≤⎨≤⎩;当0a <时,对称轴小于0.因为()()11f g -=-,由题意不等式恰有-3,-2两个整数解,不合题意,综上可得a 的范围是310,23⎛⎤⎥⎝⎦. 故答案为:310,23⎛⎤⎥⎝⎦.【点睛】本题考查了二次函数的性质与图象,指数函数的图像的应用,属于中档题.18.【解析】若对任意的实数都有成立则函数在上为减函数∵函数故计算得出:点睛:已知函数的单调性确定参数的值或范围要注意以下两点:(1)若函数在区间上单调则该函数在此区间的任意子区间上也是单调的;(2)分段解析:13,8⎛⎤-∞ ⎥⎝⎦【解析】若对任意的实数12x x ≠都有1212()()0f x f x x x -<-成立, 则函数()f x 在R 上为减函数,∵函数(2),2()11,22xa x x f x x -≥⎧⎪=⎨⎛⎫-< ⎪⎪⎝⎭⎩,故22012(2)12a a -<⎧⎪⎨⎛⎫-≤- ⎪⎪⎝⎭⎩, 计算得出:13,8a ⎛⎤∈-∞ ⎥⎝⎦. 点睛:已知函数的单调性确定参数的值或范围要注意以下两点:(1)若函数在区间[,]a b 上单调,则该函数在此区间的任意子区间上也是单调的;(2)分段函数的单调性,除注意各段的单调性外,还要注意衔接点的取值;(3)复合函数的单调性,不仅要注意内外函数单调性对应关系,而且要注意内外函数对应自变量取值范围.19.【解析】【分析】由幂函数为奇函数且在上递减得到是奇数且由此能求出的值【详解】因为幂函数为奇函数且在上递减是奇数且故答案为:【点睛】本题主要考查幂函数的性质等基础知识考查运算求解能力考查函数与方程思想 解析:{}1-【解析】 【分析】由幂函数()af x x =为奇函数,且在(0,)+∞上递减,得到a 是奇数,且0a <,由此能求出a 的值. 【详解】因为11,,1,2,32a ⎧⎫∈-⎨⎬⎩⎭,幂函数为奇()a f x x =函数,且在(0,)+∞上递减, a ∴是奇数,且0a <, 1a ∴=-.故答案为:1-. 【点睛】本题主要考查幂函数的性质等基础知识,考查运算求解能力,考查函数与方程思想,是基础题.20.5【解析】【分析】由求出的范围根据正弦函数为零确定的值再由三角函数值确定角即可【详解】时当时的解有的解有的解有故共有5个零点故答案为:5【点睛】本题主要考查了正弦函数余弦函数的三角函数值属于中档题解析:5 【解析】 【分析】由[]0,2x π∈,求出cos x π的范围,根据正弦函数为零,确定cos x 的值,再由三角函数值确定角即可. 【详解】cos x πππ-≤≤Q ,()()sin cos 0f x x π∴==时, cos 0x =,1,1-,当[]0,2x π∈时,cos 0x =的解有3,22ππ,cos 1x =-的解有π, cos 1x =的解有0,2π,故共有30,,,,222ππππ5个零点, 故答案为:5 【点睛】本题主要考查了正弦函数、余弦函数的三角函数值,属于中档题.三、解答题21.(1){}{}|13,|3A B x x A B x x ⋂=≤<⋃=≤;(2)[]1,2a ∈ 【解析】 【分析】(1)首先求得[]()1,3,,3A B ==-∞,由此求得,A B A B ⋂⋃的值.(2)(),1R C C a a =+,由于()[],11,3a a +⊆,故113a a ≥⎧⎨+≤⎩,解得[]1,2a ∈.【详解】解:{}{}|13,|3A x x B x x =≤≤=<, (1){}{}|13,|3A B x x A B x x ⋂=≤<⋃=≤;(2)∵{}|1C x x a x a =≤≥+或,∴{}|1R C C x a x a =<<+,∵()R C C A ⊆,∴113a a ≥⎧⎨+≤⎩,∴[]1,2a ∈.22.(Ⅰ)39万元(Ⅱ)甲大棚投入18万元,乙大棚投入2万元时,最大年总收入为44.5万元. 【解析】 【分析】(I )根据题意求得()F a 的表达式,由此求得()8F 的值.(II )求得()F a 的定义域,利用换元法,结合二次函数的性质,求得()F a 的最大值,以及甲、乙两个大棚的投入. 【详解】(Ⅰ)由题意知11()8(20)122544F a a a =+-+=-+,所以1(8)825394F =-⨯+=(万元). (Ⅱ)依题意得2,218202a a a ⎧⇒⎨-⎩…剟….故1()25(218)4F a a a =-+剟.令t =t ∈,2211()25(5744G t t t =-++=--+,显然在上()G t 单调递增,所以当t =18a =时,()F a 取得最大值,max ()44.5F a =.所以当甲大棚投入18万元,乙大棚投入2万元时,年总收入最大,且最大年总收入为44.5万元. 【点睛】本小题主要考查函数在实际生活中的应用,考查含有根式的函数的最值的求法,属于中档题.23.(1)0;(2)证明见解析;(3)()()1,02019,2020x ∈-U 【解析】 【分析】(1)取1x y ==,代入即可求得()1f ; (2)任取210x x >>,可确定()()22110x f x f x f x ⎛⎫-=>⎪⎝⎭,根据单调性定义得到结论; (3)利用12f=将所求不等式变为f f<,结合定义域和函数单调性可构造不等式组求得结果. 【详解】(1)取1x y ==,则()()()111f f f =+,解得:()10f = (2)任取210x x >>则()()()221111x f x f x f x f x x ⎛⎫-=⋅-= ⎪⎝⎭()()221111x x f f x f x f x x ⎛⎫⎛⎫+-= ⎪ ⎪⎝⎭⎝⎭210x x >>Q 211x x ∴> 210x f x ⎛⎫∴> ⎪⎝⎭,即()()210f x f x -> ()f x ∴在定义域内单调递增(3)()20201f ff=+=Q12f∴=12ff ∴<=由(2)知()f x 为增函数220190x x ⎧->⎪∴< 解得:()()1,02019,2020x ∈-U 【点睛】本题考查抽象函数单调性的证明、利用单调性求解函数不等式的问题;关键是能够通过单调性的定义证明得到函数单调性,进而根据函数单调性将函数值的比较转化为自变量的比较;易错点是忽略函数定义域的要求,造成求解错误. 24.(1)4,2a b ==(2)2log x =(3)()[]0,240g x ∈ 【解析】 【分析】(1)由()()211,2log 12f f ==解出即可 (2)令()0f x =得421x x -=,即()22210xx --=,然后解出即可(3)()42xxg x =-,令2x t =,转化为二次函数 【详解】(1)由已知得()()()()222221log 12log log 12f a b f a b ⎧=-=⎪⎨=-=⎪⎩,即22212a b a b -=⎧⎨-=⎩, 解得4,2a b ==;(2)由(1)知()()2log 42xxf x =-,令()0f x =得421xx -=,即()22210xx --=,解得122x =,又20,2x x >∴=,解得2log x = (3)由(1)知()42xxg x =-,令2x t =,则()221124g t t t t ⎛⎫=-=-- ⎪⎝⎭,[]1,16t ∈, 因为()g t 在[]1,16t ∈上单调递增所以()[]0,240g x ∈, 25.(1)()) 05f x x =≥,()()205g x x x =≥;(2) 当投资A 产品116万元,B 产品15916万元时,收益最大为16140. 【解析】 【分析】(1)设出函数解析式,待定系数即可求得;(2)构造全部收益关于x 的函数,求函数的最大值即可. 【详解】(1)由题可设:()f x k =,又其过点()1,0.2, 解得:10.2k =同理可设:()2g x k x =,又其过点()1,0.4, 解得:20.4k =故())05f x x =≥,()()205g x x x =≥ (2)设10万元中投资A 产品x ,投资B 产品10x -,故:总收益()()10y f x g x =+-=5+()2105x - 7a +t =,则t ⎡∈⎣,则:221455y t t =-++=2211615440t ⎛⎫--+ ⎪⎝⎭故当且仅当14t =,即116x =时,取得最大值为16140. 综上所述,当投资A 产品116万元,B 产品15916万元时,收益最大为16140. 【点睛】本题考查待定系数法求函数解析式、以及实际问题与函数的结合,属函数基础题. 26.(1)1k =(2)30a -≤≤ 【解析】 【分析】(1)根据()00f =计算得到1k =,再验证得到答案.(2)化简得到()()24f x f ax -≥-对[]1,2x ∈-恒成立,确定函数单调递减,利用单调性得到240x ax +-≤对[]1,2x ∈-恒成立,计算得到答案. 【详解】(1)因为()f x 为奇函数且定义域为R ,则()00f =,即002021k -=+,所以1k =.当1k =时因为()f x 为奇函数,()()12212121x x x x f x f x -----===-++,满足条件()f x 为奇函数.(2)不等式()()240f ax f x +-≥对[]1,2x ∈-恒成立即()()24f x f ax -≥-对[]1,2x ∈-恒成立,因为()f x 为奇函数,所以()()24f x f ax -≥-对[]1,2x ∈-恒成立(*)在R 上任取1x ,2x ,且12x x <,则()()()21121212122221212()()12121212x x x x x x x x f x f x ----=-=++++, 因为21x x >,所以1120x +>,2120x +>,21220x x ->, 所以()()120f x f x ->,即()()12f x f x >, 所以函数()f x 在区间(1,)-+∞上单调递减; 所以(*)可化为24x ax -≤-对[]1,2x ∈-恒成立, 即240x ax +-≤对[]1,2x ∈-恒成立.令()24g x x ax =+-,因为()g x 的图象是开口向上的抛物线,所以由()0g x ≤有对[]1,2x ∈-恒成立可得:()()10,20,g g ⎧-≤⎪⎨≤⎪⎩即140,4240,a a --≤⎧⎨+-≤⎩解得:30a -≤≤,所以实数a 的取值范围是30a -≤≤. 【点睛】本题考查了函数的奇偶性,单调性,恒成立问题,意在考查学生的综合应用能力.。
2020-2021学年北京市海淀区高三(上)期中数学试卷一、选择题共10小题,每小题4分,共40分。
在每小题列出的四个选项中,选出符合题目要求的一项。
1.(4分)已知集合{|30}A x x =-,{0B =,2,4},则(A B = )A .{0,2}B .{0,2,4}C .{|3}x xD .{|03}x x2.(4分)已知向量(,2)a m =,(2,1)b =-.若//a b ,则m 的值为( ) A .4B .1C .4-D .1-3.(4分)命题“0x ∃>,使得21x ”的否定为( ) A .0x ∃>,使得21x < B .0x ∃,使得21xC .0x ∀>,都有21x <D .0x ∀,都有21x <4.(4分)设a ,b R ∈,且0a b <<,则( ) A .11a b< B .b a a b> C .2a bab +> D .2b aa b+> 5.(4分)下列函数中,是偶函数且在区间(0,)+∞上为增函数的是( ) A .2y lnx =B .3||y x =C .1y x x=-D .cos y x =6.(4分)已知函数()4f x lnx x =+-,在下列区间中,包含()f x 零点的区间是( ) A .(0,1)B .( 1,2)C .(2,3)D .(3,4)7.(4分)已知数列{}n a 的前n 项和为n S ,且(1n n S a n ==,2,3,)⋯,则2020(a = ) A .0B .1C .2020D .20218.(4分)已知函数sin()y A x ωϕ=+的部分图象如图所示,将该函数的图象向左平移(0)t t >个单位长度,得到函数()y f x =的图象.若函数()y f x =为奇函数,则t 的最小值是( )A .12πB .6πC .4π D .3π 9.(4分)设x ,y 是实数,则“01x <<,且01y <<”是“22log log 0x y +<”的( ) A .充分而不必要条件B .必要而不充分条件C .充分必要条件D .既不充分也不必要条件10.(4分)对于函数()f x ,若集合{|0x x >,()()}f x x =-中恰有k 个元素,则称函数()f x 是“k 阶准偶函数”.若函数21(),()2,xx af x x x a⎧⎪=⎨⎪>⎩是“2阶准偶函数”,则a 的取值范围是()A .(,0)-∞B .[0,2)C .[0,4)D .[2,4)二、填空题共5小题,每小题5分,共25分。
2020-2021学年北京市首师大附中高三(上)开学数学试卷一、选择题(共10小题).1. 复数i (3+i )=( ) A. 1+3i B. ﹣1+3iC. 1﹣3iD. ﹣1﹣3i【答案】B 【解析】 【分析】直接利用复数代数形式的乘除运算化简即可. 【详解】i (3+i )=3i +i 2=﹣1+3i . 故选:B .【点睛】本题考查复数代数形式的乘除运算,属于基础题. 2. 函数()tan 6f x x π⎛⎫=+ ⎪⎝⎭的最小正周期为( ) A.3π B.2π C. πD. 2π【答案】C 【解析】 【分析】根据正切三角函数的周期公式求解即可【详解】由题意得,利用函数()()tan f x A x ωϕ=+的最小正周期为πω,得出结论. 解:函数()tan 6f x x π⎛⎫=+ ⎪⎝⎭的最小正周期为1ππ=, 故选:C.3. 已知向量11,2a ⎛⎫=- ⎪⎝⎭,()2,b m =-,若a 与b 共线,则b =( ) A.B.C.D. 【答案】B 【解析】 【分析】根据题意,由向量平行的坐标表示方法可得()1212m ⎛⎫=-⨯-= ⎪⎝⎭,即可得()2,1b =-;由向量模的计算公式计算可得答案.【详解】解:根据题意,向量11,2a ⎛⎫=-⎪⎝⎭,()2,b m =-, 若a 与b 共线,则有()1212m ⎛⎫=-⨯-= ⎪⎝⎭,则()2,1b =-;则41b =+=故选:B.4. 在二项式(1﹣2x )5的展开式中,x 3的系数为( ) A. 40 B. ﹣40 C. 80 D. ﹣80【答案】D 【解析】 【分析】在二项展开式的通项公式中,令x 的幂指数等于3,求出r 的值,即可求得展开式中的x 3系数. 【详解】因为(1﹣2x )5展开式的通项公式为5rC •(﹣2x )r , 令r =3,所以x 3系数为35C •(﹣2)3=﹣80, 故选:D.【点睛】本题主要考查二项式定理的应用,二项展开式的通项公式,二项式系数的性质,属于基础题. 5. 下列函数中,既是偶函数又在(0,+∞)上单调递减的是( ) A. y =x ﹣2 B. y =|lnx | C. y =2﹣x D. y =xsinx【答案】A 【解析】 【分析】根据基本函数的性质,分别判断函数的奇偶性和单调性即可. 【详解】A .f (x )是偶函数,且在(0,+∞)上是减函数,满足条件. B .函数的定义域为(0,+∞),函数为非奇非偶函数,不满足条件. C .函数为非奇非偶函数,不满足条件.D .f (﹣x )=﹣xsin (﹣x )=xsinx =f (x ),f (x )为偶函数,在(0,+∞)不具备单调性,不满足条件. 故选:A .【点睛】本题主要考查函数奇偶性和单调性的应用,结合函数单调性和奇偶性的性质是解决本题的关键.属于基础题..6. 将函数()cos2f x x =图象上所有点向左平移4π个单位长度后得到函数()g x 的图象,如果()g x 在区间[]0,a 上单调递减,那么实数a 的最大值为( )A.8π B.4π C.2π D.34π 【答案】B 【解析】 【分析】根据条件先求出()g x 的解析式,结合三角函数的单调性进行求解即可. 【详解】将函数()cos2f x x =图象上所有点向左平移4π个单位长度后得到函数()g x 的图象, 则()cos 2cos 242g x x x ππ⎛⎫⎛⎫=+=+ ⎪ ⎪⎝⎭⎝⎭, 设22x πθ=+, 则当0x a <≤时,022x a <≤,22222x a πππ<+≤+,即222a ππθ<≤+, 要使()g x 在区间[]0,a 上单调递减, 则22a ππ+≤得22a π≤,得4a π≤,即实数a 的最大值为4π, 故选:B .【点睛】本小题主要考查三角函数图象变换,考查根据三角函数的单调性求参数,属于中档题. 7. 设点A ,B ,C 不共线,则“()AB AC BC +⊥”是“AB AC =”( ) A. 充分不必要条件 B. 必要不充分条件 C. 充分必要条件D. 既不充分又不必要条件【答案】C 【解析】 【分析】利用向量垂直的表示、向量数量积的运算,结合充分必要条件的定义判断即可. 【详解】由于点A,B ,C不共线,则()()0AB AC BC AB AC BC +⊥⇔+⋅=()()22AB AC AC AB AC AB ⇔+⋅-=-=22AC AB ⇔=⇔“AB AC =”;故“()AB AC BC +⊥”是“AB AC =”的充分必要条件. 故选:C .【点睛】本小题主要考查充分、必要条件的判断,考查向量垂直的表示,考查向量数量积的运算,属于基础题.8. 有一改形塔几何体由若千个正方体构成,构成方式如图所示,上层正方体下底面的四个顶点是下层正方体上底面各边的中点.已知最底层正方体的棱长为8,如果改形塔的最上层正方体的边长小于1,那么该塔形中正方体的个数至少是( )A. 8B. 7C. 6D. 4【答案】A 【解析】 【分析】则从下往上第二层正方体的棱长为:224442,从下往上第三层正方体的棱长为:()()2222224+=22222+=的最上层正方体的边长小于1时该塔形中正方体的个数的最小值的求法. 【详解】最底层正方体的棱长为8, 224442,()()2222224+=,从下往上第四层正方体的棱长为:222222+=, 从下往上第五层正方体的棱长为:()()22222+=,从下往上第六层正方体的棱长为:22112+=,从下往上第七层正方体的棱长为:2222122⎛⎫⎛⎫+= ⎪ ⎪⎝⎭⎝⎭,从下往上第八层正方体的棱长为:22112222⎛⎫⎛⎫+= ⎪ ⎪⎝⎭⎝⎭,∴改形塔的最上层正方体的边长小于1,那么该塔形中正方体的个数至少是8. 故选:A .【点睛】本小题主要考查正方体有关计算,属于基础题.9. 某三棱锥的三视图如图所示,那么该三棱锥的表面中直角三角形的个数为( )A. 1B. 2C. 3D. 0【答案】C 【解析】 【分析】由三视图还原原几何体,借助于正方体可得三棱锥的表面中直角三角形的个数. 【详解】由三视图还原原几何体如图,其中ABC ∆,BCD ∆,ADC ∆为直角三角形. ∴该三棱锥的表面中直角三角形的个数为3.【点睛】本小题主要考查由三视图还原为原图,属于基础题. 10. 在声学中,声强级L (单位:dB )由公式1210110I L g -⎛⎫=⎪⎝⎭给出,其中I 为声强(单位:2W/m ).160dB L =,275dB L =,那么12I I =( )A.4510B.4510-C. 32-D.3210-【答案】D 【解析】 【分析】由1210110I L g -⎛⎫= ⎪⎝⎭得lg 1210L I =-,分别算出1I 和2I 的值,从而得到12I I 的值.【详解】∵1210110I L g -⎛⎫= ⎪⎝⎭, ∴()()1210lg lg1010lg 12L I I -=-=+,∴lg 1210LI =-, 当160L =时,1160lg 121261010L I =-=-=-,∴6110I -=, 当275L =时,2275lg 1212 4.51010L I =-=-=-,∴ 4.5210I -=, ∴36 1.5124.5210101010I I ----===, 故选:D .【点睛】本小题主要考查对数运算,属于基础题.二、填空题(共5题,每题5分,共25分)11. 已知抛物线22y px =的焦点与双曲线2214x y -=的右顶点重合,则抛物线的焦点坐标为__________;准线方程为___________.【答案】 (1). (2,0) (2). 2x =-;【分析】计算双曲线的右顶点坐标,可得抛物线的焦点坐标,进一步可得准线方程.【详解】由题可知:双曲线2214x y -=的右顶点坐标为()2,0所以可知抛物线的焦点坐标为()2,0,准线方程为2x =- 故答案为:(2,0);2x =-【点睛】本题主要考查抛物线的方程的应用,审清题意,注意细节,属基础题. 12. 7(1)x +的展开式中3x 的系数是___________. 【答案】35; 【解析】 【分析】根据二项式定理的通项公式1C r n r rr n T a b -+=,简单计算,可得结果.【详解】由题可知:7(1)x +的通项公式为717r r r T C x -+=,令734-=⇒=r r所以3x 的系数是4735C =故答案为:35【点睛】本题考查二项式中指定项的系数,掌握公式,细心计算,属基础题.13. 在ABC ∆中,60ABC ∠=,22BC AB ==,E 为AC 的中点,则AB BE ⋅=___________. 【答案】1-; 【解析】 【分析】计算BA BC ⋅,然后将BE 用,BA BC 表示,最后利用数量积公式可得结果. 【详解】由60ABC ∠=,22BC AB ==, 所以1cos 1212⋅=∠=⨯⨯=BA BC BA BC ABC 又E 为AC 的中点, 所以()12=+BE BA BC所以()211111122222⋅=-⋅+=--⋅=--=-AB BE BA BA BC BA BA BC 故答案为:1-【点睛】本题考查向量的数量积运算,给出已知的线段与相应的夹角,通常可以使用向量的方法,将几何问题代数化,便于计算,属基础题.14. 已知两点(1,0)A -,(1,0)B ,若直线0x y a -+=上存在点(,)P x y 满足0AP BP ⋅=,则实数a 满足的取值范围是__________.【答案】2,2⎡⎤-⎣⎦【解析】 【分析】问题转化为求直线l 与圆221x y +=有公共点时,a 的取值范围,利用数形结合思想能求出结果.【详解】解:直线:0l x y a -+=,点(1,0)A -,(1,0)B ,直线l 上存在点P 满足0AP BP =,P ∴的轨迹方程是221x y +=.∴如图,直线l 与圆221x y +=有公共点,∴圆心(0,0)O 到直线:0l x y a -+=的距离:12d =≤,解得22a -≤.∴实数a 的取值范围为2,2⎡-⎣.故答案为:2,2⎡-⎣.【点睛】本题主要考查直线方程、圆、点到直线的距离公式等基础知识,考查推理论证能力、运算求解能力,考查化归与转化思想、函数与方程思想,属于中档题.15. 集合{}(,),0A x y x y a a =+=>,{}(,)1B x y xy x y =+=+,若A B 是平面上正八边形的顶点所构成的集合,则下列说法正确的为________①a 的值可以为2; ②a 的值可以为2; ③a 的值可以为22+;【答案】②③ 【解析】 【分析】根据对称性,只需研究第一象限的情况,计算AC :)21y x =-,得到()21A ,)21,1C+,得到答案.【详解】如图所示:根据对称性,只需研究第一象限的情况, 集合B :1xy x y +=+,故()()110x y --=,即1x =或1y =, 集合A :x y a +=,AB 是平面上正八边形的顶点所构成的集合,故AC 所在的直线的倾斜角为22.5︒,tan 22.521AC k =︒=,故AC :)21y x =-,解得()21A ,此时2a =)21,1C,此时22a =+.故答案为:②③.【点睛】本题考查了根据集合的交集求参数,意在考查学生的计算能力和转化能力,利用对称性是解题的关键.三、解答题(共6小题,共85分,每题必须写出详细的解答过程)16. 已知ABC ,满足7a =2b =,______,判断ABC 的面积2S >是否成立?说明理由.从①3A π=;②21cos B =. 注:如果选择多个条件分别解答,按第一个解答计分. 【答案】见解析 【解析】 【分析】选①,先利用余弦定理可解得3c =,从而求得三角形面积33选②,先利用余弦定理可得3c =结合已知条件可知ABC 是A 为直角的三角形,3此时2S >不成立.【详解】选①,ABC 的面积2S >成立,理由如下:当3A π=时,2147cos 222c A c+-==⋅,所以2230c c --=,所以3c =,则ABC的面积11sin 23sin 2232S bc A π==⨯⨯⨯=,因为22=>=,所以2S >成立; 选②,ABC 的面积2S >不成立,理由如下:当cos 7B =时,222cos 27a cb B ac +-==,27=230c -+=,所以c = 因27a =,22437b c +=+=,所以ABC 是A 为直角的三角形, 所以ABC的面积112222S bc ==⨯=,所以2S >不成立. 【点睛】本题考查三角形面积的计算,同时也考查了利用余弦定理解三角形,考查计算能力,属于中等题. 17. 2019年1月1日,我国开始施行《个人所得税专项附加扣除操作办法》,附加扣除的专项包括子女教育、继续教育、大病医疗、住房贷款利息、住房租金、赡养老人.某单位有老年员工140人,中年员工180人,青年员工80人,现采用分层抽样的方法,从该单位员工中抽取20人,调查享受个人所得税专项附加扣除的情况,并按照员工类别进行各专项人数汇总,数据统计如表:(Ⅰ)在抽取的20人中,老年员工、中年员工、青年员工各有多少人;(Ⅱ)从上表享受住房贷款利息专项扣除的员工中随机选取2人,记X 为选出的中年员工的人数,求X 的分布列和数学期望.【答案】(Ⅰ)老年员工、中年员工、青年员工分别有7人、9人、4人;(Ⅱ)分布列见解析,()54E X = 【解析】 【分析】(Ⅰ)先算出该单位的所有员工数量,再根据分层抽样的特点,逐一求解样本中老年、中年、青年员工的数量即可;(Ⅱ)随机变量X的可取值为0、1、2,结合超几何分布计算概率的方式逐一求取每个X的取值所对应的概率即可得分布列,进而求得数学期望.【详解】(Ⅰ)该单位员工共14018080400++=人,抽取的老年员工201407400⨯=人,中年员工201809400⨯=人,青年员工20804400⨯=人;(Ⅱ)X的可取值为0、1、2,()2328328CP XC===,()11352815128C CP XC⋅===,()25281028CP XC===.所以X的分布列为:X012P32815281028数学期望()3151050122828284E X=⨯+⨯+⨯=.【点睛】本题考查利用分层抽样求抽取的人数,同时也考查了超几何分布列以及随机变量数学期望的计算,考查计算能力,属于中等题.18. 如图,已知四边形ABCD为菱形,且60A∠=,取AD中点为E.现将四边形EBCD沿BE折起至EBHG,使得90AEG∠=.(Ⅰ)求证:AE⊥平面EBHG;(Ⅱ)求二面角A GH B--的余弦值;(Ⅲ)若点F满足AF ABλ=,当//EF平面AGH时,求λ的值.【答案】(Ⅰ)见解析;(Ⅱ21;(Ⅲ)12λ=.【解析】 【分析】(Ⅰ)只需证明GE AE ⊥,AE BE ⊥,GEBE E =,由线面垂直的判定定理可得证明;(Ⅱ)以E 为原点,EA 、EB 、EG 所在直线分别为x 、y 、z 轴建立空间直角坐标系,求得平面AGH 的法向量和平面EBHG 的法向量.设二面角A GH B --的大小为θ,可知θ为锐角,利用空间向量法即可得到所求值;(Ⅲ)由AF AB λ=计算出向量EF 的坐标,由0n EF ⋅=,计算可得所求值.【详解】(Ⅰ)在左图中,ABD △为等边三角形,E 为AD 中点,所以BE AD ⊥,所以BE AE ⊥. 因为90AEG ∠=,所以GE AE ⊥. 因为GE AE ⊥,BE AE ⊥,GEBE E =,所以AE ⊥平面EBHG ;(Ⅱ)设菱形ABCD 的边长为2,由(Ⅰ)可知AE GE ⊥,AE BE ⊥,GE BE ⊥. 所以以E 为原点,EA 、EB 、EG 所在直线分别为x 、y 、z 轴,建立如图空间坐标系.可得()1,0,0A ,()3,0B,()0,0,1G ,()3,2H ,() 1,0,1AG =-,()3,2AH =-.设平面AGH 的法向量为(),,n x y z =,所以00n AG n AH ⎧⋅=⎨⋅=⎩,即0320x z x z -+=⎧⎪⎨-+=⎪⎩. 令3x =(3,3n =-.平面EBHG 的法向量为()1,0,0EA =.设二面角A GH B --的大小为θ,则θ为锐角,21cos cos ,n EA n EA n EAθ⋅∴=<>==⋅ (Ⅲ)由()3,0AF AB λλλ==-,()()()3,01,0,013,0EF AF AE λλλλ=-=---=- 因为//EF 平面AGH ,则0n EF ⋅=,即120λ-=,所以12λ=. 【点睛】本题考查线面垂直的证明,同时也考查了利用空间向量法求解二面角以及利用空间向量法求解动点问题,考查推理能力与计算能力,属于中等题.19. 已知椭圆C :22221x y a b +=(0a b >>)的右焦点为()1,0F.直线l 过点F 且不平行于坐标轴,l 与C 有两个交点A ,B ,线段AB 的中点为M . (1)求椭圆C 的方程;(2)证明:直线OM 的斜率与l 的斜率的乘积为定值;(3)延长线段OM 与椭圆C 交于点P ,若四边形OAPB 为平行四边形,求此时直线l 的斜率.【答案】(1)2212x y +=.(2)证明见解析.(3)直线l的斜率:2±【解析】 【分析】(1)由题意知1c =,c a =,可得a =1c =,1b =.故得到椭圆方程. (2)设直线l 的方程为()1y k x =-(0k ≠),将直线与椭圆进行联立,利用中点坐标公式,结合韦达定理得到12M OM M y k x k-==,进而得解. (3)四边形OAPB 为平行四边形,则OA OB OP +=.所以2122421P k x x x k =+=+,2221P ky k -=+,又因为点P 在圆上,把点P 坐标代入椭圆方程,即可得出答案. 【详解】(1)由已知1c =,c e a ==, 又222a b c =+,解得a =1b =所以椭圆方程为2212x y +=.(2)设直线l 的方程为()1y k x =-(0k ≠)联立()()221210x y y k x k ⎧+=⎪⎨⎪=-≠⎩消去y 得()2222214220kx k x k +-+-=,不妨设()11,A x y ,()22,B x y 则2122421k x x k ,因为M 为线段AB 的中点所以21222221M x x k x k +==+,()2121M M k y k x k -=-=+ 所以12M OM M y k x k-== 所以1122OM l k k k k -⨯=⨯=-为定值. (3)若四边形OAPB 为平行四边形,则OA OB OP +=所以2122421P k x x x k =+=+ ()()()1212122211221P ky y y k x k x k x x k -=+=-+-=+-=+因为点P 在椭圆上,所以2222242222121k k k k ⎛⎫-⎛⎫+⨯= ⎪ ⎪++⎝⎭⎝⎭解得212k =,即2k =± 所以当四边形OAPB 为平行四边形时,直线l的斜率为2k =±【点睛】本题主要考查直线与椭圆的位置关系,属于中档题目. 20. 已知函数()2f x x =(0x >),()lng x a x =(0a >).(1)若()()f x g x >恒成立,求实数a 的取值范围;(2)当1a =时,过()f x 上一点()1,1作()g x 的切线,判断:可以作出多少条切线,并说明理由. 【答案】(1)02e a <<.(2)2条切线,理由见解析 【解析】 【分析】(1)把()()f x g x >转化为:()()()h x f x g x =-,要使得()()f x g x >恒成立,即满足()h x 的最小值大于0.(2)设切点()00,P x y ,则()00011y g x x -'=-,对方程化简,判断0x 的个数即可,得出切线的条数. 【详解】(1)令()()()2ln h x f x g x x a x =-=-(0x >)所以()2222a x a x x h x x='-=-令()2220x x xh a -'==,解得x . 当x 变化时,()h x ',()h x 的变化情况如下表:所以在()0,∞+的最小值为ln ln 2222a a a ah a =-=- 令0h >,解得02e a <<.所以当02e a <<时,()0h x >恒成立,即()()f x g x >恒成立. (2)可作出2条切线.理由如下:当1a =时,()ln g x x =.设过点()1,1的直线l 与()ln g x x =相切于点()00,P x y , 则()00011y g x x -'=-即000ln 111x x x -=-整理得000ln 210x x x -+=令()ln 21x x m x x -=+,则()m x 在()0,∞+上的零点个数与切点P 的个数一一对应.()ln 1m x x '=-,令()ln 10x m x '=-=解得x e =.当x 变化时,()m x ',()m x 的变化情况如下表:所以()m x 在()0,e 上单调递减,在(),e +∞上单调递增.且2222211124ln 110m e ee e e ⎛⎫=⨯-+=-+> ⎪⎝⎭ ()ln 2110m e e e e e =⨯-+=-+<()2222ln 2110m e e e e =⨯-+=>所以()m x 在21,e e ⎛⎫⎪⎝⎭和()2,e e 上各有一个零点,即ln 210x x x -+=有两个不同的解. 所以过点()1,1可作出ln y x =的2条切线.【点睛】本题主要考查利用导数解决恒成立问题及切线的问题,考查了逻辑思维能力,属于中档题目. 21. 有限个元素组成的集合{}12,,,n A a a a =⋅⋅⋅,n *∈N ,记集合A 中的元素个数为()card A ,即()card A n =.定义{},A A x y x A y A +=+∈∈,集合A A +中的元素个数记为()card A A +,当()()12n n card A A ++=时,称集合A 具有性质P . (1){}1,4,7A =,{}2,48B =,,判断集合A ,B 是否具有性质P ,并说明理由; (2)设集合{}123,,,2020A a a a =,1232020a a a <<<且i a N *∈(1,2,3i =),若集合A 具有性质P ,求123a a a ++的最大值;(3)设集合{}12,,,n A a a a =⋅⋅⋅,其中数列{}n a 为等比数列,0i a >(1,2,,i n =⋅⋅⋅)且公比为有理数,判断集合A 是否具有性质P 并说明理由.【答案】(1)集合A 不具有性质P ,集合B 具有性质P ,理由见解析.(2)6050.(3)集合A 具有性质P ,理由见解析.【解析】 【分析】(1)根据定义即可判断,进而得出答案. (2)运用反证法即可得出答案.(3)设11n n a a q -=,假设当i k l j <≤<时有i j l k a a a a +=+成立,进而结合反证法证明假设不成立,进而得出答案.【详解】(1)集合A 不具有性质P ,集合B 具有性质P .{}2,5,8,11,14A A +=,()()33152card A A ++=≠不具有性质P ; {}4,6,8,10,12,16B B +=,()()33162card B B ++==具有性质P . (2)若三个数a ,b ,c 成等差数列,则{},,A a b c =不具有性质P ,理由是2a c b +=.因为1232020a a a <<<且i a N *∈(1,2,3i =)所以32019a ≤,要使123a a a ++取最大,则32019a =;22018a ≤,易知{}2018,2019,2020不具有性质P ,要使123a a a ++取最大,则22017a =;12016a ≤,要使123a a a ++取最大,检验可得12014a =;()123max 6050a a a ++=(3)集合A 具有性质P .设等比数列的公比为为q ,所以11n n a a q -=(10a >)且q 为有理数,假设当i k l j <≤<时有i j l k a a a a +=+成立,则有1j i k i l i q q q ---=+-因为q 为有理数,设mq n=(m ,n *∈N )且(m ,n 互质),因此有 1j ik il im m m n n n ---⎛⎫⎛⎫⎛⎫=+- ⎪ ⎪ ⎪⎝⎭⎝⎭⎝⎭即j i k i j k l i j l j i m m n m n n ------=+-(1), (1)式左边是m 的倍数,右边是n 的倍数,又m ,n 互质, 显然i j l k a a a a +=+不成立.所以()()1212n n n n card A A C C ++=+=,所以集合A 具有性质P . 【点睛】本题考查了集合新定义问题,考查了等比数列的应用,以及学生的阅读能力,属于难题.。
北京市2020年〖人教版〗高三数学复习试卷高三开学测试题数学试卷理工类创作人:百里严守 创作日期:202B.03.31 审核人: 北堂本一 创作单位: 雅礼明智德学校第Ⅰ卷(选择题 共60分)一、选择题:本大题共12小题,每小题5分,在每小题给出的四个选项中,只有一项是符合题目要求的.1. 已知集合}03|{2<-=x x x A ,},1{a B =,且B A 有4个子集,则实数a 的取值范围是( )A.)3,0(B.)3,1()1,0(C.)1,0(D.),3()1,(+∞-∞2.复数ii i 1313+-+等于( ) A.i -3 B.i 2- C.i 2 D.03. 函数)4sin 2cos 4cos 2(sin log 21ππx x y -=的单调递减区间是( )A.Z k k k ∈++),85,8(ππππ B.Z k k k ∈++),83,8(ππππC.Z k k k ∈+-),83,8(ππππ D.Z k k k ∈++),85,83(ππππ4.等比数列{}n a 中,39a =,前3项和为32303S x dx =⎰,则公比q 的值是( )A. 1B.-12C. 1或-12D. -1或-125. 已知关于x 的二项式nxa x )(3+展开式的二项式系数之和为32,常数项为80,则a 的值为( ) A .1B .1±C .2D .2±6.若两个正实数y x ,满足141=+yx ,且不等式m m yx 342-<+有解,则实数m 的取值范围是( )A.)4,1(-B.),4()1,(+∞--∞C.)1,4(-D.),3()0,(+∞-∞7. 执行如图所示的程序框图,若输入n 的值为8,则输出S 的值为( )A. 4B. 8C. 10D. 128.若A 为不等式组0,0,2x y y x ≤⎧⎪≥⎨⎪-≤⎩表示的平面区域,则当a 从-2连续变化到1时,动直线x y a +=扫过A 中的那部分区域的面积为( )A .1B .32C .34D .749. 如图,一个空间几何体的正视图、侧视图都是面积为3,一个内角为60︒的菱形,俯视图为正方形,那么这个几何体的表面积为( )A. 23B. 43C.8D.4 10. 已知O 为正三角形ABC 内一点,且满足0)1(=+++OC OB OA λλ,若OAB ∆的面积与OAC ∆的面积比值为3,则λ的值为( )A.21B. 1C. 2D. 3 11.过双曲线()0,012222>>=-b a by a x 的左焦点()0,c F -作圆222a y x =+的切线,切点为E ,延长FE 交抛物线cx y 42=于点P ,O 为原点,若()OP OF OE +=21,则双曲线的离心率为( )A.251+ B.231+ C.7224- D.7224+ 12.定义在()0+∞,上的单调函数()[]2(),0,,()log 3f x x f f x x ∀∈+∞-=,则方程2)()(='-x f x f 的解所在区间是( )A.⎪⎭⎫ ⎝⎛21,0B.⎪⎭⎫⎝⎛1,21 C.()2,1 D.()3,2 第Ⅱ卷(非选择题 共90分)本卷包括必考题和选考题两部分,第13题~第21题为必考题,每个试题考生都必须做答,第22题~24题为选考题,考生根据要求做答. 二、填空题:本大题共4小题,每小题5分.13.已知等差数列}{n a 中,45831π=++a a a ,那么=+)cos(53a a . 14.5位同学排队,其中3位女生,2位男生.如果2位男生不能相邻,且女生甲不能排在排头,则排法种数为.15.已知球O的直径4=PQ ,C B A ,,是球O 球面上的三点, 30=∠=∠=∠CPQ BPQ APQ ,ABC ∆是正三角形,则三棱锥ABC P -的体积为.16. 给出下列四个结论:(1)如图Rt ABC ∆中,2,90,30.AC B C =∠=︒∠=︒D 是斜边AC 上的点,CB CD =. 以B 为起点任作一条射线BE 交AC 于E 点,则E 点落在线段CD上的概率是2; (2)设某大学的女生体重()kg y 与身高()cm x 具有线性相关关系,根据一组样本数据()()n i y x ii ,,2,1,=,用最小二乘法建立的线性回归方程为71,8585.0ˆ-=x y,则若该大学某女生身高增加cm 1,则其体重约增加kg 85.0;(3)若()f x 是定义在R 上的奇函数,且满足()()x f x f -=+2,则函数()f x 的图像关于1=x 对称;(4)已知随机变量ξ服从正态分布()()21,,40.79,N P σξ≤=则()21.02=-≤ξP .其中正确结论的序号为三、解答题:本大题共70分,解答应写出必要的文字说明,证明过程或演算步骤.17.(本小题满分12分)“德是”号飞船返回舱顺利到达地球后,为了及时将航天员救出,地面指挥中心在返回舱预计到达的区域安排了同一条直线上的三个救援中心(记为D C B ,,).当返回舱距地面1万米的P 点时(假定以后垂直下落,并在A 点着陆),C 救援中心测得飞船位于其南偏东 60方向,仰角为 60,B 救援中心测得飞船位于其南偏西 30方向,仰角为 30.D 救援中心测得着陆点A 位于其正东方向. (1)求C B ,两救援中心间的距离;(2)D 救援中心与着陆点A 间的距离.18.(本小题满分12分)我国新修订的《环境空气质量标准》指出空气质量指数在050-为优秀,各类人群可正常活动.市环保局对我市进行为期一年的空气质量监测,得到每天的空气质量指数,从中随机抽取50个作为样本进行分析报告,样本数据分组区间为(]5,15,(]15,25,(]25,35,(]35,45,由此得到样本的空气质量指数频率分布直方图,如图. (1) 求a 的值;(2) 根据样本数据,试估计这一年度的空气质量指数的平均值;(3) 如果空气质量指数不超过15,就认定空气质量为“特优等级”,则从这一年的监测数据中随机抽取3天的数值,其中达到“特优等级”的天数为ξ,求ξ的分布列空气质量指数O 5 15 25 35 45 ABCDE东和数学期望.19.(本小题满分12分)如图,在四棱锥ABCD P -中,平面⊥PAD 平面ABCD ,CD AB //,在锐角PAD ∆中PD PA =,并且82==AD BD ,542==DC AB . (1)点M 是PC 上的一点,证明:平面⊥MBD 平面PAD ; (2)若PA 与平面PBD 成角︒60,当面⊥MBD 平面ABCD 时,求点M 到平面ABCD 的距离.20.(本小题满分12分)已知椭圆14:22=+y x E 的左,右顶点分别为B A ,,圆422=+y x 上有一动点P ,点P 在x 轴的上方,()0,1C ,直线PA 交椭圆E 于点D ,连接PB DC ,. (1)若︒=∠90ADC ,求△ADC 的面积S ;(2)设直线DC PB ,的斜率存在且分别为21,k k ,若21k k λ=,求λ的取值范围. 21.(本小题满分12分)设函数()ln(1),()ln(1)1xf x a xg x x bx x=-+=+-+. (1)若函数()f x 在0x =处有极值,求函数()f x 的最大值;(2)①是否存在实数b ,使得关于x 的不等式()0g x <在()0,+∞上恒成立?若存在,求出b 的取值范围;若不存在,说明理由; ②证明:不等式()2111ln 1,2,12nk k n n k =-<-≤=⋅⋅⋅+∑考生在题(22)(23)(24)中任选一题作答,如果多做,则按所做的的第一题计分.做题时用2B 铅笔在答题卡上把所选题目对应的题号涂黑. 22.(本小题满分10分)选修4—1:几何证明选讲如图,已知C 点在⊙O 直径的延长线上,CA 切⊙O 于A 点,DC是ACB ∠的平分线,交AE 于F 点,交AB 于D 点. (Ⅰ)求ADF ∠的度数; (Ⅱ)若AC AB =,求BC AC :.23.(本小题满分10分)选修4—4:坐标系与参数方程在平面直角坐标系xOy 中,直线l 的参数方程为⎩⎨⎧-=--=t y tx 322(t 为参数),直线l 与曲线1)2(:22=--x y C 交于B A ,两点.(1)求||AB 的长;(2)在以O 为极点,x 轴的正半轴为极轴建立极坐标系,设点P 的极坐标为)43,22(π,求点P 到线段AB 中点M 的距离. 24.(本小题满分10分)选修4—5:不等式选讲已知实数c b a ,,满足0,0,0>>>c b a ,且1=abc . (Ⅰ)证明:8)1)(1)(1(≥+++c b a ; (Ⅱ)证明:cb ac b a 111++≤++. 答案一.选择题1.B2.D3.B4.C5.C6.B7.B8.D9.D 10.A 11.A 12.C 二.填空题 13.2114.439 15.40 16.②③④三.解答题17. 解:(1)由题意知AB PA AC PA ⊥⊥,,则PAB PAC ∆∆,均为直角三角形 (1)分在PAC Rt ∆中,︒=∠=60,1PCA PA ,解得33=AC …………………………2分 在PAB Rt ∆中,︒=∠=30,1PBA PA ,解得3=AB …………………………3分又︒=∠90CAB ,33022=+=BC AC BC 万米.…………………………5分 (2)103sin sin =∠=∠ACB ACD ,101cos -=∠ACD ,…………………………7分又︒=∠30CAD ,所以102133)30sin(sin -=∠+︒=∠ACD ADC (9)分在ADC ∆中,由正弦定理,ACDADADC AC ∠=∠sin sin …………………………10分 1339sin sin +=∠∠⋅=ADC ACD AC AD 万米..............................12分 18.(1) 解:由题意,得()0.020.0320.018101a +++⨯=, (1)分解得0.03a =. ……………2分(2)解:50个样本中空气质量指数的平均值为0.2100.32200.3300.184024.6X =⨯+⨯+⨯+⨯= ……………3分由样本估计总体,可估计这一年度空气质量指数的平均值约为24.6. (4)分(3)解:利用样本估计总体,该年度空气质量指数在(]5,15内为“特优等级”,且指数达到“特优等级”的概率为0.2,则13,5B ξ⎛⎫⎪⎝⎭. ………5分 ξ的取值为0,1,2,3, ………6分()30346405125P C ξ⎛⎫=== ⎪⎝⎭,()2131448155125P C ξ⎛⎫⎛⎫==⨯= ⎪ ⎪⎝⎭⎝⎭, ()2231412255125P C ξ⎛⎫⎛⎫==⨯= ⎪ ⎪⎝⎭⎝⎭,()3331135125P C ξ⎛⎫=== ⎪⎝⎭. ……………10分 ∴ξ的分布列为:……11分∴6448121301231251251251255E ξ=⨯+⨯+⨯+⨯=. ………12分 (或者13355E ξ=⨯=) 19.解法一(1)因为82==AD BD ,54=AB ,由勾股定理得AD BD ⊥,因为平面⊥PAD 平面ABCD ,平面⋂PAD 平面 ABCD =AD ,⊆BD 面ABCD ,所以⊥BD 平面PAD ⊆BD 面MBD ,所以平面⊥MBD 平面PAD ………6分(2)如图,因为⊥BD 平面PAD ,所以平面⊥PBD 平面PAD , 所以︒=∠60APD ,做AD PF ⊥于F ,所以⊥PF 面ABCD ,ξ 01 2 364125 48125 12125 1125zM32=PF ,设面⋂PFC 面MBD =MN ,面⊥MBD 平面ABCD 所以面//PF 面MBD ,所以MN PF //,取DB 中点Q ,得CDFQ 为平行四边形,由平面ABCD边长得N 为FC 中点,所以321==PF MN ………12分 解法二(1)同一(2)在平面PAD 过D 做AD 垂线为z 轴,由(1),以D 为原点,DB DA ,为y x ,轴建立空间直角坐标系,设平面PBD 法向量为),,(z y x =,设),0,2(a P ,锐角PAD ∆所以2>a ,由0,0=⋅=⋅DB u DP u ,解得)2,0,(a u -=,),0,2(a PA -=,2344|,cos |2=+=><a a ,解得32=a 或2332<=a (舍)设PC PM λ=,解得)3232,4,42(λλλ--M因为面⊥MBD 平面ABCD ,BD AD ⊥,所以面MBD 法向量为)4,0,0(=DA ,所以0=⋅DM DA ,解得21=λ,所以M 到平面ABD 的距离为竖坐标3.………12分 20.(1)依题意,)0,2(-A .设),(11y x D ,则142121=+y x . 由︒=∠90ADC 得1-=⋅CD AD k k , 1121111-=-⋅+∴x yx y , ()()124112*********-=-+-=-⋅+∴x x x x x y , 解得舍去)(2,3211-==x x 3221=∴y , 2332221=⨯⨯=S .…………5分 (2)设()22,y x D , 动点P 在圆422=+y x 上, ∴1-=⋅PA PB k k . 又21k k λ=, ∴1212222-⋅=+-x y x y λ, 即()()222212y x x -+-=λ=()()41122222x x x --+- =()()()222244112x x x --+-=21422--⋅x x =⎪⎪⎭⎫⎝⎛-+21142x . 又由题意可知()2,22-∈x ,且12≠x ,则问题可转化为求函数()()()1,2,22114≠-∈⎪⎭⎫⎝⎛-+=x x x x f 且的值域. 由导数可知函数()x f 在其定义域内为减函数,∴函数()x f 的值域为()()3,00,⋃∞- 从而λ的取值范围为()()3,00,⋃∞-……12分21.(1)由已知得:()21()11af x xx '=-++,且函数()f x 在0x =处有极值 ()ln(1),1x f x x x =-++∴ 1a =,即()21(0)01010af '=-=++∴ ()()2211()111xf x x x x -'=-=+++∴ 单调递增;()f x ,()0f x '>时,()1,0x ∈-当 单调递减;()f x ,()0f x '<时,()0,x ∈+∞当 (0)0f =的最大值为()f x 函数∴ (2)①由已知得:1()1g x b x'=-+ 1()01g x b x'=-≤+时,[)0,x ∈+∞,则1b ≥若)(i 上为减函数,[)0,+∞在()ln(1)g x x bx =+-∴ 上恒成立;()0,+∞在()ln(1)(0)0g x x bx g =+-<=∴ 1()01g x b x'=->+时,[)0,x ∈+∞,则0b ≤若)(ii 上为增函数,[)0,+∞在()ln(1)g x x bx =+-∴ 上恒成立;()0,+∞在()0g x <,不能使()ln(1)(0)0g x x bx g =+->=∴ ,11x b=-时,1()01g x b x '=-=+,则01b <<若)(iii 上为增10,1b ⎡⎫-⎪⎢⎣⎭在()ln(1)g x x bx =+-∴,()0g x '≥时,10,1x b ⎡⎫∈-⎪⎢⎣⎭当函数,上恒成()0,+∞在()0g x <不能使∴,()ln(1)(0)0g x x bx g =+->=此时立;分8…………[)1,x ∈+∞的取值范围是b 综上所述, ln(1)(0)1xx x x x<+<>+由以上得:②,21ln 1nn k kx n k ==-+∑令111ln(1)1n n n <+<+得:1x n =取 .()1222111ln 101111n n n n x x n n n n n n -⎛⎫-=-+<-=-< ⎪+-++⎝⎭,112x =则 因此1112n n x x x -<<⋅⋅⋅<=. ()1211ln ln ln 1ln1ln 1n n k k n k k k -==⎛⎫=--+=+⎡⎤ ⎪⎣⎦⎝⎭∑∑又 1122211111ln 1ln 1111nn n n k k k k k n x k k k k n --===⎡⎤⎛⎫⎛⎫=-+=-++ ⎪ ⎪⎢⎥+++⎝⎭⎝⎭⎣⎦∑∑∑故 ()()11122111111111111n n n k k k kk k k kn k k ---===⎛⎫>-=-≥=-+>- ⎪+++⎝⎭∑∑∑……12分22.(1)因为AC 为⊙O 的切线,所以EAC B ∠=∠…………1分因为DC 是ACB ∠的平分线,所以DCB ACD ∠=∠…………2分 所以ACD EAC DCB B ∠+∠=∠+∠,即AFD ADF ∠=∠,…………3分 又因为BE 为⊙O 的直径,所以︒=∠90DAE …………4分.所以︒=∠-︒=∠45)180(21DAE ADF .…………5分 (2)因为EAC B ∠=∠,所以ACB ACB ∠=∠,所以ACE ∆∽BCA ∆,所以ABAE BC AC =,………7分 在ABC ∆中,又因为AC AB =,所以︒=∠∠=∠30ACB B ,………8分ABE Rt ∆中,3330tan tan =︒===B AB AE BC AC ………10分 23.解:(1)直线l 的参数方程化为标准型⎪⎪⎩⎪⎪⎨⎧+=+-=t y t x 232212(t 为参数)…… 2分代入曲线C 方程得01042=-+t t设B A ,对应的参数分别为21,t t ,则421-=+t t ,1021-=t t , 所以142||||21=-=t t AB …… 5分(2)由极坐标与直角坐标互化公式得P 直角坐标)2,2(-, …… 6分所以点P 在直线l , 中点M 对应参数为2221-=+t t ,由参数t 几何意义,所以点P 到线段AB 中点M 的距离2||=PM ……10分 24.(1)c c b b a a 21,21,21≥+≥+≥+,相乘得证——————5分 (2)ac bc ab cb a ++=++111 b c ab bc ab 222=≥+,ac b a ac ab 222=≥+,c c ab ac bc 222=≥+相加得证——————10分。
2020-2021北京第二中学分校高中必修三数学上期末一模试题(含答案)一、选择题1.气象意义上的春季进入夏季的标志为连续5天的日平均温度不低于022C.现有甲、乙、丙三地连续5天的日平均气温的记录数据(记录数据都是正整数):①甲地:5个数据是中位数为24,众数为22;②乙地:5个数据是中位数为27,总体均值为24;③丙地:5个数据中有一个数据是32,总体均值为26,总体方差为10.8则肯定进入夏季的地区有()A.①②③B.①③C.②③D.①2.已知一组数据的茎叶图如图所示,则该组数据的平均数为()A.85B.84C.83D.813.公元263年左右,我国数学家刘徽发现当圆内接正多边形的边数无限增加时,多边形面积可无限逼近圆的面积,并创立了“割圆术”.利用“割圆术”刘徽得到了圆周率精确到小数点后两位的近似值3.14,这就是著名的“徽率”.小华同学利用刘徽的“割圆术”思想在半径为1的圆内作正n边形求其面积,如图是其设计的一个程序框图,则框图中应填入、输出n的值分别为()(参考数据:20sin200.3420,sin()0.11613≈≈)A.1180sin,242S nn=⨯⨯B.1180sin,182S nn=⨯⨯C.1360sin,542S nn=⨯⨯D.1360sin,182S nn=⨯⨯4.某高校大一新生中,来自东部地区的学生有2400人、中部地区学生有1600人、西部地区学生有1000人.从中选取100人作样本调研饮食习惯,为保证调研结果相对准确,下列判断正确的有()①用分层抽样的方法分别抽取东部地区学生48人、中部地区学生32人、西部地区学生20人;②用简单随机抽样的方法从新生中选出100人; ③西部地区学生小刘被选中的概率为150; ④中部地区学生小张被选中的概率为15000A .①④B .①③C .②④D .②③5.把化为五进制数是( )A .B .C .D .6.在长为10cm 的线段AB 上任取一点C ,作一矩形,邻边长分別等于线段AC 、CB 的长,则该矩形面积小于216cm 的概率为( ) A .23B .34C .25D .137.为了解某社区居民的家庭年收入和年支出的关系,随机调查了该社区5户家庭,得到如下统计数据表: 收入x 万 8.3 8.6 9.9 11.1 12.1 支出y 万5.97.88.18.49.8根据上表可得回归直线方程ˆˆˆybx a =+,其中0.78b ∧=,a y b x ∧∧=-元,据此估计,该社区一户收入为16万元家庭年支出为( ) A .12.68万元B .13.88万元C .12.78万元D .14.28万元8.“微信抢红包”自2015年以来异常火爆,在某个微信群某次进行的抢红包活动中,若所发红包的总金额为8元,被随机分配为1.72元,1.83元,2.28元,1.55元,0.62元, 5份供甲、乙等5人抢,每人只能抢一次,则甲、乙二人抢到的金额之和不低于3元的概率是 ( ) A .310B .25C .12D .359.从0,1,2,3这四个数中任取两个不同的数组成一个两位数,则这个两位数是偶数的概率为( ) A .27B .57C .29D .5910.从2名男生和2名女生中任意选择两人在星期六、星期日参加某公益活动,每天一人,则星期六安排一名男生、星期日安排一名女生的概率为( ) A .13B .512C .12D .71211.执行如图所示的程序框图,若输入2x =-,则输出的y =( )A .8-B .4-C .4D .812.根据表中提供的全部数据,用最小二乘法得出y 关于x 的线性回归方程是9944y x =+$,则表中m 的值为( ) x 8 10 1112 14 y2125m2835A .26B .27C .28D .29二、填空题13.执行如图所示的程序框图若输人x 的值为3,则输出y 的值为______.14.如图,在半径为1的圆上随机地取两点,B E ,连成一条弦BE ,则弦长超过圆内接正BCD ∆边长的概率是__________.15.为调查某校学生每天用于课外阅读的时间,现从该校名学生中随机抽取名学生进行问卷调查,所得数据均在区间上,其频率分布直方图如图所示,则估计该校学生中每天用于阅读的时间在(单位:分钟)内的学生人数为____.16.如果执行如图的程序框图,那么输出的S =__________.17.利用计算机产生0~1之间的均匀随机数a ,则使关于x 的一元二次方程20x x a -+=无实根的概率为______.18.设{}{}1,3,5,7,2,4,6a b ∈∈,则函数()log a bf x x =是增函数的概率为__________.19.取一根长度为3米的绳子,拉直后在任意位置剪断,则剪出的两段的长都不小于1米(记为事件A )的概率为________20.一组样本数据按从小到大的顺序排列为:1-,0,4,x ,y ,14,已知这组数据的平均数与中位数均为5,则其方差为__________.三、解答题21.某县一中学的同学为了解本县成年人的交通安全意识情况,利用假期进行了一次全县成年人安全知识抽样调查.已知该县成年人中40%的拥有驾驶证,先根据是否拥有驾驶证,用分层抽样的方法抽取了100名成年人,然后对这100人进行问卷调查,所得分数的频率分布直方图如下图所示.规定分数在80以上(含80)的为“安全意识优秀”.拥有驾驶证 没有驾驶证 合计得分优秀得分不优秀25合计100(1)补全上面22⨯的列联表,并判断能否有超过99%的把握认为“安全意识优秀与是否拥有驾驶证”有关?(2)若规定参加调查的100人中分数在70以上(含70)的为“安全意识优良”,从参加调查的100人中根据安全意识是否优良,按分层抽样的方法抽出5人,再从5人中随机抽取3人,试求抽取的3人中恰有一人为“安全意识优良”的概率.附表及公式:()()()()()22n ad bcKa b c d a c b d-=++++,其中n a b c d=+++.()2P K k≥0.150.100.050.0250.0100.0050.001k 2.072 2.706 3.841 5.024 6.6357.87910.82822.“绿水青山就是金山银山”,“建设美丽中国”已成为新时代中国特色社会主义生态文明建设的重要内容,某班在一次研学旅行活动中,为了解某苗圃基地的柏树幼苗生长情况,在这些树苗中随机抽取了120株测量高度(单位:cm),经统计,树苗的高度均在区间[19,31]内,将其按[19,21),[21,23),[23,25),[25,27),[27,29),[29,31]分成6组,制成如图所示的频率分布直方图.据当地柏树苗生长规律,高度不低于27cm的为优质树苗.(1)求图中a 的值;(2)已知所抽取的这120株树苗来自于A ,B 两个试验区,部分数据如列联表:A 试验区B 试验区合计优质树苗20非优质树苗 60合计将列联表补充完整,并判断是否有99.9%的把握认为优质树苗与A ,B 两个试验区有关系,并说明理由;(3)用样本估计总体,若从这批树苗中随机抽取4株,其中优质树苗的株数为X ,求X 的分布列和数学期望EX .附:参考公式与参考数据:22()()()()()n ad bc K a b c d a c b d -=++++,其中n a b c d =+++()20P K k …0.010 0.005 0.001 0k6.6357.87910.82823.一个袋中装有四个形状大小完全相同的球,球的编号分别为1,2,3,4. (1)从袋中随机抽取两个球,求取出的球的编号之和不大于4的概率;(2)先从袋中随机取一个球,该球的编号为m ,将球放回袋中,然后再从袋中随机取一个球,该球的编号为n ,求2n m <+的概率24.某技术人员在某基地培育了一种植物,一年后,该技术人员从中随机抽取了部分这种植物的高度(单位:厘米)作为样本(样本容量为n )进行统计,绘制了如下频率分布直方图,已知抽取的样本植物高度在[)50,60内的植物有8株,在[]90,100内的植物有2株.(Ⅰ)求样本容量n和频率分布直方图中的x,y的值;80,100内的植物中随机抽取3株,设随机变量X表示所抽(Ⅱ)在选取的样本中,从高度在[]80,90内的株数,求随机变量X的分布列及数学期望;取的3株高度在[)80,100内的该植物最受市场追捧.老王准备前往该基地随机购买该(Ⅲ)据市场调研,高度在[]80,100植物50株.现有两种购买方案,方案一:按照该植物的不同高度来付费,其中高度在[]内的每株10元,其余高度每株5元;方案二:按照该植物的株数来付费,每株6元.请你根据该基地该植物样本的统计分析结果为决策依据,预测老王采取哪种付费方式更便宜?25.读书可以使人保持思想活力,让人得到智慧启发,让人滋养浩然正气书籍是文化的重要载体,读书是承继文化的重要方式某地区为了解学生课余时间的读书情况,随机抽取了n名学生进行调查,根据调查得到的学生日均课余读书时间绘制成如图所示的频率分布直方图,将日均课余读书时间不低于40分钟的学生称为“读书之星”,日均课余读书时间低于40分钟的学生称为“非读书之星”:已知抽取的样本中日均课余读书时间低于10分钟的有10人(1)求,n p的值;(2)根据已知条件完成下面的22⨯列联表,并判断是否有95%以上的把握认为“读书之星”与性别有关?非读书之星读书之星总计男女1055总计(3)将上述调查所得到的频率视为概率,现从该地区大量学生中,随机抽取3名学生,每次抽取1名,已知每个人是否被抽到互不影响,记被抽取的“读书之星”人数为随机变量X ,求X 的分布列和期望()E X附:()()()()()22n ad bc K a b c d a c b d -=++++,其中n a b c d =+++.26.随着互联网经济不断发展,网上开店销售农产品的人群越来越多,网上交易额也逐年增加,某一农户农产品连续五年的网银交易额统计表,如下所示:经研究发现,年份与网银交易额之间呈线性相关关系,为了计算的方便,农户将上表的数据进行了处理,2011,5t x z y =-=-,得到如表:(1)求z 关于t 的线性回归方程;(2)通过(1)中的方程.求出y 关于x 的回归方程;并用所求回归方程预测到2020年年底,该农户网店网银交易额可达多少?(附:在线性回归方程ˆˆˆybx a =+中,()()()1122211ˆ()nni iiii i nniii i x y nx y x x y y b xn x x x ====---==--∑∑∑∑,ˆˆay bx =-)【参考答案】***试卷处理标记,请不要删除一、选择题 1.B 解析:B 【解析】试题分析:由统计知识①甲地:5个数据的中位数为24,众数为22可知①符合题意;而②乙地:5个数据的中位数为27,总体均值为24中有可能某一天的气温低于22C o ,故不符合题意,③丙地:5个数据中有一个数据是32,总体均值为26,总体方差为10.8.若由有某一天的气温低于22C o 则总体方差就大于10.8,故满足题意,选C考点:统计初步2.A解析:A 【解析】 【分析】利用茎叶图、平均数的性质直接求解. 【详解】由一组数据的茎叶图得: 该组数据的平均数为:1(7581858995)855++++=. 故选:A . 【点睛】本题考查平均数的求法,考查茎叶图、平均数的性质等基础知识,考查运算求解能力,是基础题.3.C解析:C 【解析】分析:在半径为1的圆内作出正n 边形,分成n 个小的等腰三角形,可得正n 边形面积是13602S n sinn=⨯⨯o,按照程序框图规定的运算方法逐次计算,直到达到输出条件即可的结果.详解:在半径为1的圆内作出正n 边形,分成n 个小的等腰三角形,每一个等腰三角形两腰是1,顶角是360n ⎛⎫ ⎪⎝⎭o,所以正n 边形面积是13602S n sin n=⨯⨯o,当6n =时,332.62S =≈; 当18n =时, 3.08S ≈;当54n =时, 3.13S ≈;符合 3.11S ≥,输出54n =,故选C.点睛:本题主要考查程序框图的循环结构流程图,属于中档题. 解决程序框图问题时一定注意以下几点:(1) 不要混淆处理框和输入框;(2) 注意区分程序框图是条件分支结构还是循环结构;(3) 注意区分当型循环结构和直到型循环结构;(4) 处理循环结构的问题时一定要正确控制循环次数;(5) 要注意各个框的顺序,(6)在给出程序框图求解输出结果的试题中只要按照程序框图规定的运算方法逐次计算,直到达到输出条件即可.4.B解析:B 【解析】分析:由题意逐一考查所给的说法是否正确即可. 详解:逐一考查所给的说法:①由分层抽样的概念可知,取东部地区学生2400100240016001000⨯=++48人、中部地区学生1600100240016001000⨯=++32人、西部地区学生1000100240016001000⨯=++20人,题中的说法正确;②新生的人数较多,不适合用简单随机抽样的方法抽取人数,题中的说法错误; ③西部地区学生小刘被选中的概率为100124001600100050=++,题中的说法正确;④中部地区学生小张被选中的概率为100124001600100050=++,题中的说法错误;综上可得,正确的说法是①③. 本题选择B 选项.点睛:本题主要考查分层抽样的概念,简单随机抽样的特征,古典概型概率公式等知识,意在考查学生的转化能力和计算求解能力.5.B解析:B 【解析】 【分析】利用倒取余数法可得化为五进制数.【详解】 因为所以用倒取余数法得323,故选:B.本题考查十进制数和五进制数之间的转化,利用倒取余数法可解决此类问题.6.C解析:C 【解析】 【分析】根据几何概型的概率公式,设AC =x ,则BC =10﹣x ,由矩形的面积S =x (10﹣x )<16可求x 的范围,利用几何概率的求解公式求解. 【详解】设线段AC 的长为xcm ,则线段CB 长为(10)cm x -, 那么矩形面积为(10)16x x -<,2x <或8x >,又010x <<, 所以该矩形面积小于216cm 的概率为42105=. 故选:C 【点睛】本题考查几何概型,考查了一元二次不等式的解法,明确测度比为长度比是关键,是中档题.7.A解析:A 【解析】 【分析】由已知求得 x , y ,进一步求得$ a,得到线性回归方程,取16x =求得y 值即可. 【详解】8.38.69.911.1512.1 10x +++=+=, 5.97.88.18.49.858y ++++==.又 0.78b =$,∴$ 80.78100.2a y bx --⨯===$. ∴$ 0.780.2y x =+.取16x =,得$ 0.78160.212.68y ⨯+==万元,故选A .【点睛】本题主要考查线性回归方程的求法,考查了学生的计算能力,属于中档题.8.D解析:D 【解析】 【分析】甲、乙二人抢到的金额之和包含的基本事件的总数2510n C ==,甲、乙二人抢到的金额之和不低于3元包含基本事件有6个,由此能求出甲、乙二人抢到的金额之和不低于3元的概率.由题意,所发红包的总金额为8元,被随机分配为1.72元、1.83元、2.28元、1.55元、0.62元、5分,供甲、乙等5人抢,每人只能抢一次,甲乙二人抢到的金额之和包含的基本事件的总数为2510n C==,甲乙二人抢到的金额之和不低于3元包含的基本事件有6个,分别为(1.72,1.83),(1.72,2.28),(1.72,1.55),(1.83,2.28),(1.83,1.55),(2.28,1.55)所以甲乙二人抢到的金额之和不低于3元的概率为63105p==,故选D.【点睛】本题主要考查了古典概型及其概率的计算问题,其中解答中正确理解题意,找出基本事件的总数和不低于3元的事件中所包含的基本事件的个数是解答的关键,着重考查了分析问题和解答问题的能力,属于基础题.9.D解析:D【解析】【分析】由题意列出所有可能的结果,然后结合古典概型计算公式可得概率值.【详解】能组成两位数有:10,12,13,20,21,23,30,31,32,总共有9种情况.其中偶数有5种情况,故组成的两位数是偶数的概率为59 p=.故选:D.【点睛】本题主要考查古典概型计算公式,属于中等题.10.A解析:A【解析】设2名男生记为A1,A2,2名女生记为B1,B2,任意选择两人在星期六、星期日参加某公益活动,共有(A1,A2),(A1,B1),(A1,B2),(A2,B1),(A2,B2),(B1,B2),(A2,A1),(B1,A1),(B2,A1),(B1,A2),(B2,A2),(B2,B1)12种情况,而星期六安排一名男生、星期日安排一名女生共有(A1,B1),(A1,B2),(A2,B1),(A2,B2)4种情况,则发生的概率为P=41 123=,故选:A. 11.C 解析:C 【解析】【分析】执行程序框图,可得程序框图的功能是计算并输出分段函数32,0,0x x y x x ⎧>=⎨≤⎩的值,从而计算得解. 【详解】执行程序框图,可得程序框图的功能是计算并输出分段函数32,0,0x x y x x ⎧>=⎨≤⎩的值,由于20x =-<,可得2(2)4y =-=,则输出的y 等于4,故选C. 【点睛】该题考查的是有关程序框图的问题,涉及到的知识点有读取程序框图的输出的结果,在解题的过程中,需要明确框图的功能,从而求得结果.12.A解析:A 【解析】 【分析】首先求得x 的平均值,然后利用线性回归方程过样本中心点求解m 的值即可. 【详解】 由题意可得:810111214115x ++++==,由线性回归方程的性质可知:99112744y =⨯+=, 故21252835275m++++=,26m ∴=.故选:A . 【点睛】本题考查回归分析,考查线性回归直线过样本中心点,在一组具有相关关系的变量的数据间,这样的直线可以画出许多条,而其中的一条能最好地反映x 与y 之间的关系,这条直线过样本中心点.二、填空题13.63【解析】【分析】由已知中的程序语句可知:该程序的功能是利用循环结构计算并输出变量y 的值模拟程序的运行过程分析循环中各变量值的变化情况可得答案【详解】解:模拟程序的运行可得x=3y=7不满足条件|解析:63 【解析】 【分析】由已知中的程序语句可知:该程序的功能是利用循环结构计算并输出变量y 的值,模拟程序的运行过程,分析循环中各变量值的变化情况,可得答案.【详解】解:模拟程序的运行,可得x=3y=7不满足条件|x-y|>31,执行循环体,x=7,y=15不满足条件|x-y|>31,执行循环体,x=15,y=31不满足条件|x-y|>31,执行循环体,x=31,y=63此时,满足条件|x-y|>31,退出循环,输出y的值为63.故答案为63.【点睛】本题考查了程序框图的应用问题,解题时应模拟程序框图的运行过程,以便得出正确的结论,是基础题.14.【解析】【分析】取圆内接等边三角形的顶点为弦的一个端点当另一端点在劣弧上时求出劣弧的长度运用几何概型的计算公式即可得结果【详解】记事件{弦长超过圆内接等边三角形的边长}如图取圆内接等边三角形的顶点为解析:1 3【解析】【分析】取圆内接等边三角形BCD的顶点B为弦的一个端点,当另一端点在劣弧CD上时,BE BC>,求出劣弧CD的长度,运用几何概型的计算公式,即可得结果.【详解】记事件A={弦长超过圆内接等边三角形的边长},如图,取圆内接等边三角形BCD的顶点B为弦的一个端点,当另一端点在劣弧CD上时,BE BC>,设圆的半径为r,劣弧CD的长度是23rπ,圆的周长为2rπ,所以()21323rP Arππ==,故答案为13.【点睛】本题主要考查“长度型”的几何概型,属于中档题. 解决几何概型问题常见类型有:长度型、角度型、面积型、体积型,求与长度有关的几何概型问题关鍵是计算问题的总长度以及事件的长度;几何概型问题还有以下几点容易造成失分,在备考时要高度关注:(1)不能正确判断事件是古典概型还是几何概型导致错误;(2)基本事件对应的区域测度把握不准导致错误 ;(3)利用几何概型的概率公式时 , 忽视验证事件是否等可能性导致错误.15.900【解析】【分析】利用频率分布直方图中频率和为1求a 值根据7080)的频率求出在此区间的人数即可【详解】由1﹣005﹣035﹣02﹣01=03故a =003故阅读的时间在7080)(单位:分钟)内 解析:【解析】 【分析】利用频率分布直方图中频率和为1求a 值,根据[70,80)的频率求出在此区间的人数即可. 【详解】由1﹣0.05﹣0.35﹣0.2﹣0.1=0.3, 故a =0.03,故阅读的时间在[70,80)(单位:分钟)内的学生人数为:0.3×3000=900, 故答案为:900. 【点睛】本题考查频率分布直方图中的有关性质的应用,考查直方图中频率和频数的求法.16.42【解析】【分析】输入由循环语句依次执行即可计算出结果【详解】当时当时当时当时当时当时故答案为42【点睛】本题主要考查了程序框图中的循环语句的运算求出输出值较为基础解析:42 【解析】 【分析】输入1k =,由循环语句,依次执行,即可计算出结果 【详解】当1k =时,0212S =+⨯= 当2k =时,021226S =+⨯+⨯= 当3k =时,021222312S =+⨯+⨯+⨯= 当4k =时,021********S =+⨯+⨯+⨯+⨯= 当5k =时,0212223242530S =+⨯+⨯+⨯+⨯+⨯= 当6k =时,021222324252642S =+⨯+⨯+⨯+⨯+⨯+⨯= 故答案为42 【点睛】本题主要考查了程序框图中的循环语句的运算,求出输出值,较为基础17.【解析】∵方程无实根∴Δ=1-4a<0∴即所求概率为故填:解析:34【解析】∵方程无实根,∴Δ=1-4a <0,∴14a >,即所求概率为34.故填:3418.【解析】【分析】列举出所有的结果选出的所有的结果根据古典概型概率公式可求出函数是增函数的概率【详解】所有取值有:共12个值当时为增函数有共有6个所以函数是增函数的概率为故答案为【点睛】本题主要考查古 解析:12【解析】 【分析】 列举出ab所有的结果,选出1a b >的所有的结果,根据古典概型概率公式可求出函数()log a bf x x =是增函数的概率.【详解】a b 所有取值有:135713571157,,,,,,,,,,,222244446266共12个值, 当1a b >时,()f x 为增函数,有357577,,,,,222446共有6个, 所以函数()log a bf x x =是增函数的概率为61122=,故答案为12. 【点睛】本题主要考查古典概型概率公式的应用以及对数函数的性质,属于中档题. 在求解有关古典概型概率的问题时,首先求出样本空间中基本事件的总数n ,其次求出概率事件中含有多少个基本事件m ,然后根据公式mP n=求得概率. 19.13【解析】试题分析:记两段的长都不小于1m 为事件A 则只能在中间1m 的绳子上剪断剪得两段的长都不小于1m 所以事件A 发生的概率P (A )=考点:几何概型 解析:【解析】试题分析:记“两段的长都不小于1m”为事件A ,则只能在中间1m 的绳子上剪断,剪得两段的长都不小于1m , 所以事件A 发生的概率 P (A )=考点:几何概型20.【解析】分析:根据中位数为求出是代入平均数公式可求出从而可得出平均数代入方差公式得到方差详解中位数为这组数据的平均数是可得这组数据的方差是故答案为点睛:本题主要考查平均数与方差属于中档题样本数据的算 解析:743【解析】分析:根据1,0,4,,,14x y -中位数为5,,求出x 是6 ,代入平均数公式,可求出7y =,从而可得出平均数,代入方差公式,得到方差.详解1,0,4,,7,14x -Q 中位数为45,52x+∴=,6x ∴=,∴这组数据的平均数是10461456y -+++++=,7y =可得这组数据的方差是()17436251148163+++++=,故答案为743. 点睛:本题主要考查平均数与方差,属于中档题.样本数据的算术平均数公式为12n 1(x +x +...+x )x n=.样本方差2222121[()()...()]n s x x x x x x n =-+-++-,标准差s =三、解答题21.(1)列联表见解析;有超过99%的把握认为“安全意识优秀与是否拥有驾驶证”有关;(2)35P = 【解析】 【分析】(1)根据频率分布直方图计算可补全列联表中的数据,根据公式计算可求得2 6.635K >,从而可得结论;(2)根据频率分布直方图计算出“安全意识优良”的人数,根据分层抽样原则可知“安全意识优良”的人中抽取2人;采用列举法列出所有基本事件,找到符合题意的基本事件个数,利用古典概型求得结果. 【详解】(1)由题意可知拥有驾驶证的人数为:10040%40⨯=人 则拥有驾驶证且得分为优秀的人数为:402515-=人由频率分布直方图知得分优秀的人数为:()100100.0150.00520⨯⨯+=人∴没有驾驶证且得分优秀的人数为:20155-=人则没有驾驶证且得分不优秀的人数为:10040555--=人 可得列联表如下:()21001555255122512 6.6354060208096K ⨯⨯-⨯∴==>>⨯⨯⨯∴有超过99%的把握认为“安全意识优秀与是否拥有驾驶证”有关 (2)由频率分布直方图可求得70以上(含70)的人数为:()1000.0200.0150.0051040⨯++⨯=∴按分层抽样的方法抽出5人时,“安全意识优良”的有2人,记为1,2;其余的3人记为,,a b c从中随机抽取3人,基本事件有:()1,2,a ,()1,2,b ,()1,2,c ,()1,,a b ,()1,,a c ,()1,,b c ,()2,,a b ,()2,,a c ,()2,,b c ,(),,a b c 共10个恰有一人为“安全意识优良”的事件有6个∴恰有一人为“安全意识优良”的概率为:63105P == 【点睛】本题考查利用频率分布直方图计算频率和频数、独立性检验的应用、分层抽样的基本原理、古典概型的概率求解,属于中档题.22.(1)0.025a =;(2)列联表见解析,没有99.9%的把握认为优质树苗与,A B 两个试验区有关系;(3)分布列见解析,()1E X = 【解析】 【分析】(1)由频率分布直方图中所有频率(小矩形面积)和为1可求得a ;(2)由频率分布直方图求出优质树苗和非优质树苗的株数后可填写列联表,求出2K 后知有无关系;(3)由(2)知这批树苗为优质树苗的概率为3011204=,X 的可能取值为0,1,2,3,4, X 服从二项分布,即1~4,4X B ⎛⎫ ⎪⎝⎭,计算出各概率,得分布列,根据期望公式计算出期望. 【详解】(1)根据频率分布直方图数据,有2(22a a ⨯⨯++0.1020.20)1⨯+=,解得:0.025a =.(2)根据频率分布直方图可知,样本中优质树苗棵树有120(0.1020.0252)30⨯⨯+⨯= 列联表如下:A 试验区B 试验区合计 优质树苗 10 20 30 非优质树苗 60 30 90 合计7050120可得;22120(10302060)70503090K ⨯-⨯=⨯⨯⨯7210.310.8287=<< 所以,没有99.9%的把握认为优质树苗与,A B 两个试验区有关系注:也可由22120(10302060)70503090K ⨯-⨯=⨯⨯⨯7210.28610.8287=≈<得出结论 (3)用样本估计总体,由题意,这批树苗为优质树苗的概率为3011204= X 的可能取值为0,1,2,3,4,由题意知:X 服从二项分布,即1~4,4X B ⎛⎫ ⎪⎝⎭4413()44kkk P X k C -⎛⎫⎛⎫∴== ⎪ ⎪⎝⎭⎝⎭(0,1,2,3,4)k =即:04041381(0)44256P X C ⎛⎫⎛⎫=== ⎪ ⎪⎝⎭⎝⎭;13141327(1)4464P X C ⎛⎫⎛⎫=== ⎪ ⎪⎝⎭⎝⎭; 22241327(2)44128P X C ⎛⎫⎛⎫=== ⎪ ⎪⎝⎭⎝⎭;3134133(3)4464P X C ⎛⎫⎛⎫=== ⎪ ⎪⎝⎭⎝⎭; 4044131(4)44256P X C ⎛⎫⎛⎫=== ⎪ ⎪⎝⎭⎝⎭. X ∴的分布列为:X0 1 2 3P812562764 27128 364∴数学期望为()414E X =⨯= (或812727()01225664128E X =⨯+⨯+⨯3134164256+⨯+⨯=). 【点睛】本题考查频率分布直方图,考查独立性检验,考查二项分布和期望,正确认识频率分布直方图是解题基础. 23.(1),(2)【解析】【分析】 【详解】(1)从袋子中随机取两个球,其一切可能的结果组成的基本事件有1和2,1和3,1和4,2和3,2和4,3和4,共6个,从袋中随机取出的球的编号之和不大于4的事件共有1和2,1和3两个. 因此所求事件的概率为.(2)先从袋中随机取一个球,记下编号为m ,放回后,在从袋中随机取一个球,记下编号为n ,其中一切可能的结果(m ,n )有:(1,1)(1,2),(1,3),(1,4),(2,1),(2,2),(2,3),(2,4),(3,1)(3, 2),(3,3)(3,4),(4,1),(4,2),(4,3),(4,4),共16个.所有满足条件n≥m +2的事件为(1,3)(1,4)(2,4),共3个, 所以满足条件n≥m +2的事件的概率为P1=316故满足条件n <m +2的事件的概率为1-P1=1-316=.24.(Ⅰ)50n =,0.004y =,0.030x =;(Ⅱ)分布列见解析,()157E X =;(Ⅲ)方案一付费更便宜. 【解析】 【分析】(Ⅰ) 由题目条件及频率分布直方图能求出样本容量n 和频率分布直方图中的x ,y . (Ⅱ) 由题意可知,高度在[80,90)内的株数为5,高度在[90,100]内的株数为2,共7株.抽取的3株中高度在[80,90)内的株数X 的可能取值为1,2,3,分别求出相应的概率,由此能求出X 的分布列和E (X ).(Ⅲ)根据(Ⅰ)所得结论,分别计算按照方案一购买应付费和按照方案二购买应付费,比较结果即可得按照方案一付费更便宜. 【详解】 (Ⅰ) 由题意可知, 样本容量8500.01610n ==⨯,20.0045010y ==⨯, 0.1000.0040.0100.0160.0400.030x =----=. (Ⅱ)由题意可知,高度在[80,90)内的株数为5,高度在[90,100]内的株数为2, 共7株.抽取的3株中高度在[80,90)内的株数X 的可能取值为1,2,3,则()125237117C C P X C ===,()215237427C C P X C ===, ()305237237C C P X C ===, ∴X 的分布列为:故()1237777E X =⨯+⨯+⨯=. (Ⅲ)根据(Ⅰ)所得结论,高度在[]80,100内的概率为()0.0100.004100.14⨯=+, 按照方案一购买应付费500.1410500.865285⨯⨯⨯⨯+=元,按照方案二购买应付费506⨯=300元,故按照方案一付费更便宜.【点睛】本题考查频率分布直方图、分布列和数学期望,考查能否根据频率分布直方图得出每一组的概率以及一组的数据计算总体,求随机变量的分布列的主要步骤:①明确随机变量的取值,并确定随机变量服从何种概率分布;②求每一个随机变量取值的概率;③列成表格,意在考查学生的转化能力和计算求解能力,属于中等题.25.(1)0.01P =,n =100,(2)表见解析,没有95%以上的把握认为“读书之星”与性别有关(3)分布列见解析,()34E X =【解析】【分析】(1)首先根据频率和为1求P ,再根据频率,频数和样本容量的关系求n ;(2)首先计算“读书之星”的人数,然后再依次填写22⨯列联表;并根据公式计算2K 和3.841比较大小,做出判断;(3)从该地区学生中抽取一名学生是“读书之星”的概率为14,由题意可知1~3,4X B ⎛⎫ ⎪⎝⎭并求分布列和数学期望.【详解】(1)()0.0050.0180.0200.0220.025101P +++++⨯=解得:0.01P =,所以100.1010n ==. (2)因为100n =,所以“读书之星”有1000.2525⨯=。
D.{x 1 <x ≤ )e2e1ab32020 届全国名师联盟高三上学期入学测试考试卷文科数学(四)注意事项:1.答题前,先将自己的姓名、准考证号填写在试题卷和答题卡上,并将准考证号条形码粘贴在答题卡上的指定位置。
2.选择题的作答:每小题选出答案后,用 2B 铅笔把答题卡上对应题目的答案标号涂黑,写在试题卷、草稿纸和答题卡上的非答题区域均无效。
3.非选择题的作答:用签字笔直接答在答题卡上对应的答题区域内。
写在试题卷、草稿纸和答题卡上的非答题区域均无效。
4.考试结束后,请将本试题卷和答题卡一并上交。
一、选择题:本大题共12 小题,每小题 5 分,在每小题给出的四个选项中,只有一项是符合题目要求的.1.已知集合M ={x y = 3 -x2 },N ={x - 3 ≤x ≤1},且全集是实数集R ,则(ðRM ) N 等于()A.{x -≤x ≤1} B.{x - 3 ≤x ≤ 1}C.{x - 3 ≤x <-3} 3}2.如图,向量a -b等于(A.-e1 + 3e2C.e1 - 3e2⎧x2 + 2x -3, (x ≤ 0)B.-4e1 - 2e2 D.-2e1 - 4e23.函数f (x) =⎨⎩ln x - 2, (x > 0)的零点个数为()A.3 B.0 C.1 D.22 3 ⎨ ⎩4.设 S 是公差不为 0 的等差数列{a } 的前 n 项和, S= a + a a, 则 4 = ( )nn7 5 97A .1 B .2C .1 D .13725.读下面的程序框图(流程图),若输出 S 的值为 -7,那么判断框内空格处可填写()A . i < 6B . i < 5⎧x + 3y - 3 ≤ 0C . i < 4D . i < 36.已知实数 x , y 满足 ⎪x - y +1 ≥ 0 ,则 z = 2x + y 的取值范围是()⎪ y ≥ -1A .[-1, 3]B . [-13, 3]C . [3,11]D .[-5,11]7.已知 a , b , c ∈ R +,若c< a< b ,则( )A . c < a < ba +b b +c c + a B . b < c < aC . a < b < cD . c < b < a8.在△ABC 中,角 A , B , C 所对的边为a , b , c ,若角C > π, a=sin A,3b sin 2C则关于△ABC 的两个结论:①一定是锐角三角形;②一定是等腰三角形.下列判断正确的是()A .①错误②正确B .①正确②错误C .①②都正确D .①②都错误9.用一平面去截体积为4 3π的球,所得截面的面积为π,则球心到截面的距离为()A .B .C .2D .1 10.若cos θ = 3 , sin θ = 4,则角θ的终边落在直线()上2 5 25a+=>>A.24x - 7 y = 0 B.24x + 7 y = 0C.7 x+ 24 y = 0 D.7 x- 24 y = 011.如图所示,已知椭圆方程为xa2y2 1 (a b 0) ,A 为椭圆的左顶点,B 、C 在椭圆上,若b2四边形OABC 为平行四边形,且∠OAB = 45︒,则椭圆的离心率为()A.22B.33C.63D.2 2312 .已知过点(1, 2) 的二次函数y =ax 2 +bx +c 的图象如右图,给出下列论断:① c > 0 ,②a -b +c < 0,③b < 1,④a >1.其中正确论断是()2A.②④B.①③C.②③D.②③④二、填空题:本大题共 4 小题,每小题 5 分.13.复数z 的共轭复数为z ,已知z =2i1 -i ,则z ⋅z =.14.以点(2, -1) 为圆心且与直线3x - 4 y + 5 = 0 相切的圆的标准方程为.15.若某几何体的三视图(单位:cm )如图所示,则此几何体的体积是cm3 .2(x 2y 216.设双曲线-a 2b2= 1(a > 0, b > 0) 的左、右顶点分别为 A 1 、 A 2 ,若点 P 为双曲线左支上的一点,且直线 PA 、 PA 的斜率分别为 -9, - 1,则双曲线的渐近线方程为.1 2 3三、解答题: 本大题共 6 大题, 共 70 分, 解答应写出文字说明, 证明过程或演算步骤.17.(12 分)已知函数 f (x ) = 1 sin 2x cos ϕ+ sin 2x sin ϕ+ 1cos π+ϕ) + 1,2 2 2 2π π π(- < ϕ< 2 2 ) ,其图象过点( ,1) .6(1)求 f (x ) 的解析式,并求其图象的对称中心;(2)将函数 y = f (x ) 的图象上各点纵坐标不变,横坐标扩大为原来的 2 倍,然后各点横坐标不变, π纵坐标扩大为原来的 2 倍,得到 g (x ) 的图象,求函数 g (x ) 在[0,]上的最大值和最小值.218.(12 分)如图,正方形 ADEF 与梯形 ABCD 所在的平面互相垂直, AD ⊥ CD , AB ∥CD ,AB = AD = 2 , CD = 4, M 为CE 的中点.(1)求证: BM ∥平面 ADEF ; (2)求证:平面 BDE ⊥ 平面 BEC .19.(12 分)某校高三数学竞赛初赛考试后,对 90 分以上(含 90 分)的成绩进行统计,其频率分布直方图如图所示.若 130~140 分数段的人数为 2 人. (1)估计这所学校成绩在 90~140 分之间学生的参赛人数;(2)现根据初赛成绩从第一组和第五组(从低分段到高分段依次为第一组、第二组、…、第五组) 中任意选出两人,形成帮扶学习小组.若选出的两人成绩之差大于 20,则称这两人为“黄金搭档组”, 试求选出的两人为“黄金搭档组”的概率.20.(12 分)已知函数 f (x ) = 1x 3 + bx 2+ cx , b 、c 为常数,且- 1< b < 1,32f '(1) = 0 .(1)证明: -3 < c < 0 ;c(2)若 x 0 是函数 y = f (x ) - x 的一个极值点,试比较 f (x - 4) 与 f (-3) 的大小.221.(12 分)已知直线l 1 : x = my (m ≠ 0) 与抛物线C : y = 4x 交于O (坐标原点), A 两点,直线 2l 2 : x = my + m 与抛物线C 交于 B , D 两点.(1)若 BD = 2 OA ,求实数 m 的值;(2)过 A , B , D 分别作 y 轴的垂线,垂足分别为 A 1 , B 1 , D 1 ,记 S 1 , S 2 分别为三角形OAA 1 和四边形 BB D D 的面积,求 S1 的取值范围.1 12S⎩3请考生在22、23 两题中任选一题作答,如果多做,则按所做的第一题记分.22.(10分)【选修4-4:坐标系与参数方程】π在极坐标系中,已知两点O(0, 0) ,B(2 2, ) .4(1)求以OB 为直径的圆C 的极坐标方程,然后化成直角坐标方程;(2)以极点O 为坐标原点,极轴为x 轴的正半轴建立平面直角坐标系,直线l 的参数方程为⎧x =t⎨y =1 + 2t(t为参数).若直线l 与圆C 相交于M,N 两点,圆C 的圆心为C ,求△MNC 的面积.23.(10分)【选修4-5:不等式选讲】已知函数f (x) = 2 x -,g(x) =ax .2(1)当a = 1时,解不等式f (x) <g(x2 ) ;(2)若f (x) -g( x ) 的最大值为3,求实数a 的取值范围.。