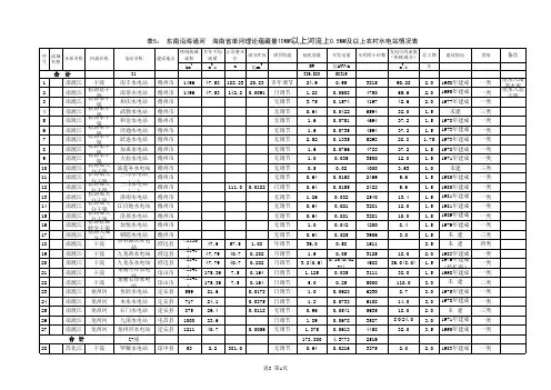
海南省水库分布
- 格式:xls
- 大小:40.00 KB
- 文档页数:4
海南概览地理位置海南省位于中国最南端。
北以琼州海峡与广东划界,西临北部湾与越南民主共和国相对,东濒南海与台湾省相望,东南和南边在南海中与菲律宾、文莱和马来西亚为邻。
海南省的行政区域包括海南岛、西沙群岛、中沙群岛、南沙群岛的岛礁及其海域,是我国面积最大的省。
全省陆地(主要包括海南岛和西沙、中沙、南沙群岛)总面积3.54万平方公里(其中海南岛陆地面积3.39万平方公里),海域面积约200万平方公里。
行政区划全省有2个地级市,6个县级市,4个县,6个民族自治县,1个经济开发区,1个办事处(西南中沙群岛办事处,县级);基层设置180个镇,20个乡,18个街道办事处。
地级市:海口市、三亚市县级市:五指山市、文昌市、琼海市、万宁市、儋州市、东方市县:定安县、屯昌县、澄迈县、临高县自治县:白沙黎族自治县、昌江黎族自治县、乐东黎族自治县、陵水黎族自治县、保亭黎族苗族自治县、琼中黎族苗族自治县开发区:洋浦经济开发区办事处:西南中沙群岛办事处(县级)人口民族【人口】2005年海南总人口:826.31万人,比2000年增加了39.56万人,增长5.03%。
预计,2005年底全省常住人口将达828.00万人。
【民族】海南省汉族、黎族、苗族、回族是世居民族,其余民族是解放后迁入的干部、职工和移民,分散于全省各地。
黎族是海南岛上最早的居民。
世居的黎、苗、回族,大多数聚居在中部、南部的琼中、保亭、白沙、陵水、昌江等县和三亚市、通什市;【方言】海南居民语言种类多,主要使用的方言有10种。
1.海南话:狭义的海南方言,属汉藏语系汉语闽南方言。
自然资源【气候特点】海南岛地处热带北缘,属热带季风气候,素来有"天然大温室"的美称.海南岛地处热带北缘,属热带季风气候,素来有“天然大温室”的美称,这里长夏无冬,年平均气温22~26℃,≥10℃的积温为8200℃,最冷的一、二月份温度仍达16℃—21℃,年光照为1750—2650小时,光照率为50%—60%,光温充足,光合潜力高。
1 综合说明1.1 绪言福山水库位于松涛东灌区澄迈县福山镇花场河上游,坝址距福山镇5公里,集水面积14.8km2,多年平均降雨量为1720mm,正常蓄水位80.00m(高程系为秀英基面高程,下同。
),总库容6800万m3,汛限水位78.0m,校核洪水位79.31m,死库容1980万m3,有效库容4820万m3,是松涛水库灌区东干渠的主要反调节水库之一。
福山水库工程1972年4月开工,1974年3月竣工。
枢纽工程包括:主坝、一座副坝、松涛东干渠补水闸、副坝放水管、补水渠道、泄水闸。
主、副坝都为均质土坝,主坝顶高程81.70m,河床最低高程51.7m,最大坝高30.00m,坝顶宽度4.00m,坝顶轴线长1482m,防浪墙高程82.90m。
副坝长392m,最大坝高12.5m,坝顶宽 5.0m,坝顶高程81.50m。
副坝放水涵管在0+180m处,与坝轴线正交,钢筋混凝土圆管,内径2.0m,管壁厚0.3m,长42.5米,进口高程69.0m,涵管出口设2.0×2.0m钢闸门1扇。
坝后水电站为引水式,在涵洞出口右侧,引水岔管与涵管轴线成45º交角,内径 1.5m,引用最大发电流量3.5m3/s,最大水头11m,装机容量200千瓦。
补水闸位于松涛东干渠桩号88km左堤,设计正常流量8m3/s,相应水深 2.10m,加大流量12m3/s,相应水深 2.55m。
闸底高程79.094m,设2孔钢筋混凝土闸门,用10吨螺杆式启闭机启闭。
— 1 —澄迈县老城开发区是该县最大的经济开发区,是海南省较早设立的经济开发区,开发区交通方便,自然条件优越,经济总量占澄迈县一半以上。
区内的华能海口发电有限责任公司马村火电厂是海南省装机最大的电厂。
但是该地区由于淡水不足,已严重制约开发区的经济发展和影响居民生活用水的需要。
福山水库是离开发区最近的中型水库,是海南省最大水库松涛水库的结瓜水库,水质优良,水量保证,供水保证率高,选择福山水库作为开发区供水的水源来兴建供水工程是合理的,对保证开发区工农及城镇居民生活用水,促进老城开发区社会经济发展具有十分重要的意义。
2023年水资源调查分析报告-最新水资源调查报告范文篇1:杭州水资源调查分析报告一、调查背景最近,我国的西南地区又闹干旱了,不要说种庄稼,就是人喝的水都难以保证。
我总觉得不可想象,水不是地球上最多的东西吗?大江、大河、大湖、大海不是有那么多吗?怎么会缺水呢!后来,我上网查了有关水资源的资料,我才明白:水是地球上所有生命的源泉。
地球上的总水量为18万亿亿升。
这个数量似乎能满足全球人口对水资源的需求,但实际情况并不令人乐观。
现存水储备的99%是不宜人类利用的海水和极地冰,其余1%还大都在800米以下的地层,人们生存所依赖的河流湖泊的水仅占总量的0.01%。
世界上已有18个国家的人均可再生水资源拥有量不到1000立方米。
据世界资源研究所的一项报告表明,世界上有34亿人口平均每年只能得到50升水,这标志着人类正面临着淡水短缺的危机。
我们家乡地处黄河之滨,水资源虽然比较丰富,但是大部分水都是海水,而海水是咸的,是不能直接饮用的,我们日常饮用的大部分淡水都分布在地球上寒冷的南、北两极和终年积雪的高山上,这样淡水资源就所剩无几了,而且分布不均,东多西少,南多北少,缺水的地方实在很多。
因此,流到我们家乡的生活和生产用水更是稀少。
随着家乡城市化、工业化的快速发展,我们赖以生存的河流、湖泊正面临着越来越多污染的威胁。
水的危机,已经向我们敲响了警钟!二、调查目的(一)、让我们了解家乡水污染的现状,了解保护水资源的重要意义。
(二)、让同学们知道水污染的危害,使同学们都来关心、保护家乡的水资源。
(三)、培养同学们热爱自己美好的家乡,热爱社会,热爱大自然,从小养成节约用水的好习惯。
(四)、提高同学们深入社会、关心社会、融入社会的能力。
三、调查过程(一)、调查时间:4月20日(二)、调查地点:东坎镇境内的响坎河、中山河流域(三)、调查方法:询问长辈、实地考察(四)、调查组成员:领队:王老师组长:杨雪琪成员:滨海县实验小学5[5]班3组同学四、调查结果十年前:水的颜色:无色;水的用途:生活用水、农业用水;河道大小:一般大小;水上漂浮物:水草等水生植物。
海南省水资源概况海南岛河流的径流充沛,多年平均地表径流深875毫米,径流量达297亿立方米。
人均5380立方米,为全国人均2700立方米的两倍。
地表径流的时空分布不均。
丰水年径流量475亿立方米,径流占80%以上,枯水年径流量143亿立方米,丰枯比为∶1。
每亩耕地枯水年占有水量2066立方米,仅为正常值的一半。
径流在地区分布呈中部雨区向四周渐趋递减的特点,中部雨区中心与西部沿海地区的比值达6倍。
海南岛中部高四周低的地势形成许多短状旬流入海的河流,成放射状水系。
全岛独流入海的河流有154条,其中,集水面积大于100平方公里的河流有38条。
南渡江、昌化江、万泉河为海南岛的三大河,集水面积均超过3000平方公里,流域面积占全岛面积的47%。
三大河道干流约可调蓄水量80亿方,中小河流也可蓄水量56亿方,总计可调蓄水量136亿方。
集水面积在1000—2000平方公里的有陵水河、珠碧江、宁远河3条;集水面积在500—1000平方公里的有望楼河、文澜江、北门江、太阳河、藤桥河、春江河、文教河等7条。
比较长的河流都发源于中部山区,较小的河流多发源于山前丘陵或台地上,它们都顺着中高周低的地势,奔流出海,落差大,水利开发条件优越。
全省水库面积万公顷。
较大的水库有松涛水库、大广坝水库、牛路岭水库、万宁水库、长茅水库、石碌水库等。
其中松涛水库集水面积1440平方公里,总库容亿立方米,为海南省最大水库,设计灌溉面积万公顷。
万宁水库集水面积429平方公里,总库容亿立方米,设计灌溉面积万公顷。
长茅水库集水面积256平方公里,总库容亿方米,设计灌溉面积万公顷。
石碌水库集水面积354平方公里,总库容亿立方米,设计灌溉面积万公顷。
牛路岭水库集水面积1236平方公里,总库容亿立方米,主要用于发电。
海南省水资源总量为375亿立方米。
海南岛水力资源极为丰富,全岛水力资源理论蕴藏量万千瓦,主要分布在昌化江(29万千瓦)、万泉河(26万千瓦)和南渡江(20万千瓦),三大河流的干支流为万千瓦。
地理海南考点地理海南考点详解海南省概况•位置:位于中国南部,地理坐标为18°10’20°08’N,108°37’111°03’E•地理特征:全省呈长条状,长约约公里,南北狭长,东西宽阔。
•行政区划:海南省下辖9个市(省直辖县级行政单位、县)•地理位置优势:依托海南岛的得天独厚的地理位置,海南逐渐发展成为中国的经济特区,旅游业和现代农业为主要支柱产业。
盛行气候•热带季风气候:海南属于热带季风气候,气候温和湿润,四季分明。
•雨季与旱季:6月至9月为雨季,降水量较大(约80%的降水量集中在这一季节),10月至明年2月为旱季,降水量相对较少。
•夏季台风:7月至10月为台风季节,海南岛台风较多,需注意防范措施。
海岸线•海岸沿线:海南省长约公里,拥有丰富的海岸线资源。
•海滩旅游:琼海、万宁、陵水、三亚等地的海滩是国内外游客喜爱的旅游胜地。
•海上运输:海南有众多的港口,其中海口港和三亚港是重要的国际贸易港口。
山脉•中部山地:海南省中部是中山群岛的主岛,中部地区有莺歌海峡与广东省相隔,是山脉地区。
•海拔较高:海南的山脉海拔较高,主峰为海拔约1867米的五指山。
水系和湖泊•长江水系的发源地:海南省部分地区是中国重要的水系之一长江水系的发源地,包括琼江、万宁江等。
•乌石江水库:位于海口市东南部的乌石江水库是海南省规模最大的水库之一,主要用于农田灌溉和工业用水。
•乡村振兴战略:近年来,海南省重点推进乡村振兴战略,加大农业农村发展力度,推动农村经济持续健康发展。
•旅游业:海南作为中国重要的旅游目的地之一,旅游业发展迅速,包括海滩度假、热带雨林等自然景观,以及各类度假酒店和高尔夫球场等。
•现代农业:海南具有得天独厚的气候条件和土壤资源,发展了热带水果、蔬菜、畜牧养殖等现代农业。
人文历史•先民文化:海南地区早在数千年前就有人类在此居住,具有悠久的先民文化和历史。
•闽南族群:海南闽南族群是海南省最大的民族群体,他们的语言、建筑、舞蹈、饮食等都具有独特文化特色。
海南省中小型湖泊水库湿地保护研究作者:李云哲孙涛陈少康来源:《乡村科技》2018年第33期[摘要] 湿地被誉为“地球之肾”,在调节气候、涵养水源、维护全球碳循环和保护生物多样性等方面发挥着重要作用。
但是由于多种因素的影响,大量湿地生态系统遭到破坏,为人们的生存带来了较为严重的影响。
所以,需要加大湿地保护力度,合理利用湿地。
基于此,本文对大广坝水库进行分析,分析水库湿地保护的策略。
[关键词] 中小型湖泊;湿地保护;海南省[中图分类号] X37 [文献标识码] A [文章编号] 1674-7909(2018)33-116-3湿地属于水域及陆地相互交互的独特生态系统,也是全球三大生态系统之一,是人类在生存过程中尤为重要的环境。
因为目前湿地大小、类型、环境及区位等条件较为复杂,并且对于湿地研究的重点及目的都各有不同,所以湿地定义还没有形成统一化理论。
湿地生态系统具备一定的经济价值、生态服务功能和旅游、观光、教育等价值,也是地球中具备生产力的特殊生态系统。
但是因为人们对于湿地认知存在偏差,并且存在不合理开发利用现象,大量湿地生态系统遭到破坏,湿地面积不断缩小,功能不断降低,而且降低了其生物多样性,此种破坏会为人们的生存带来较为严重的影响[1]。
所以,加强湿地保护意义重大。
1 大广坝水库简介大广坝水库属于海南省第二大水库,水库湖面共有100 km2。
大广坝水库近坝7.5 km范围内的库岸为广坝盆地,地形极为平坦,两岸山坡平均坡度15°,库岸较为稳定。
库区及库区周围的土壤类型包括山地黄壤、砖红壤、山地赤红壤、潮砂土燥红土等,其中砖红壤分布最为广泛。
库区及库区周围植物区系属马来西亚植物区,主要植被类型有季雨林、常绿阔叶林、雨林、灌丛。
库区及库区周围植物种类丰富,并具有典型的热带特点。
库区周围的木材包括子京、坡垒、母生、花梨和荔枝等[2]。
大广坝水库所在流域位置为海南省昌化江中游,控制流域收集面积为昌化江中上游以上的3 498 km2区域,主要覆盖了乐东、五指山、昌江霸王岭、尖峰岭天池和东方广坝盆地等区域。
盘石头水库
盘石头水库位于海南省澄迈县凤凰镇青岭村,是海南省最大的山间水库。
它是在19世纪末,由当时澄迈县著名豪杰欧敏联手其子欧
荣创建而成。
整个水库共有三层,分别是石头底层、沙土填充层和混凝土层。
上面铺设有丰富的几何石头,每一块石头摆放有序、整齐,兼具实用性及艺术上的美感。
每一块石头叠放细致入微,既能够保证水库的稳定构造,也能够确保水库在深度达到个位数的情况下不会发生泄洪。
在盘石头水库中,一张独特的石头地毯形成了一种艺术,它被称为“石头篷房”。
每一张石头篷房上都布满了种类繁多的石头,象征
着澄迈的多元文化,从而形成了千姿百态的艺术美景。
在这里,可以欣赏到石头篷房的视觉绚烂,也可以感受到水库的沉静平和,唤起人们对古老水库的感动。
今天,这里的石头篷房仍然被认为是一个绝佳绚丽的自然风景点。
每年无数游客蜂拥而至,观看盘石头水库的妙趣,感受它给予自然界的灵气,把它刻在自己心中,定格着这一片小小的天地。
不久,海南省政府也将在这里建设一个文物保护区,以此将盘石头水库永存于世。
并且,会在这里建立一座新的民宿,以供游客体验当地文化习俗,多元文化的旋律将会被融入这里的自然本色中。
盘石头水库,无论是生态环境还是文化环境都值得我们去珍惜。
它用它独特的建筑艺术向世界证明,中国的技术水平在这方面已经取得了令人赞叹的成就。
它令人惊叹的绝景,也让她们的技术水准受到
折服。
希望在未来有更多的人来到盘石头水库,一起享受它带给大家的神奇之旅。
海南省生态功能区划海南省国土环境资源厅二○○五年六月前言生态环境是人类生存和发展的基本条件,是经济、社会发展的基础。
环境保护是我国一项基本国策。
保护和建设好生态环境,实现可持续发展,是我国现代化建设中必须始终坚持的一项基本方针。
我国政府提出贯彻科学发展观,全面实施可持续发展战略。
国务院颁布了《全国生态环境建设规划》和《全国生态环境保护纲要》,提出了生态环境建设和保护的重点和措施。
为贯彻落实《全国生态环境建设规划》和《全国生态环境保护纲要》,国家环保总局下发了《关于开展中东部地区生态环境功能区划的函》(环办函[2003]408号),对我国中东部地区生态环境功能区划工作进行统一部署。
按照国家环保总局要求,海南省国土环境资源厅组织编制了《海南省生态功能区划》。
本区划以《全国生态环境建设规划》、《全国生态环境保护纲要》和国家有关技术规范为指导,结合海南的实际,对海南省进行了生态功能区划分,并提出了各功能区生态保护与建设的重点、产业发展方向与生态保护措施。
本区划旨在为海南省经济发展规划和产业布局规划、土地利用规划、水资源利用规划、生态环境保护规划和农业、林业、旅游业、工业等产业发展规划以及海南省生态保护和社会经济持续健康发展综合决策提供了依据。
本区划已2005年6月经省政府同意批准实施。
目录一、概况 (1)(一)自然环境与资源条件 (1)(二)社会经济概况 (6)二、目标、指导思想与原则 (7)(一)生态功能区划的目标与指导思想 (7)(二)生态功能区划的原则 (8)三、生态环境现状与问题 (10)(一)生态环境现状评价 (10)(二)主要生态环境问题 (16)四、生态环境敏感性评价 (21)(一)水土流失敏感性评价 (21)(二)土地沙化敏感性评价 (22)(三)气象灾害受损敏感性评价 (22)(四)海南岛近岸海洋水环境污染敏感性评价 (23)(五)海南岛海岸带退化敏感性评价 (24)(六)地质灾害敏感性评价 (24)(七)生态环境综合敏感性评价 (25)五、生态系统服务功能重要性评价 (26)(一)生物多样性保护重要性评价 (26)(二)水源涵养重要性评价 (27)(三)水源保护重要性评价 (27)(四)、洪水调蓄重要性评价 (27)(五)土壤保持重要性评价 (28)(六)海南岛海岸带防护重要性评价 (28)(七)生态系统服务功能重要性综合评价 (29)六、生态功能区划及分区概述 (29)(一)生态功能区划方案 (30)(二)海南海岸带生态区 (33)(三)海南岛环岛台地/平原生态区 (40)(四)海南中部山地生态区 (47)(五)南海海洋与南海诸岛生态区 (49)七、生态功能区分类汇总概述 (53)(一)严格保护生态区 (54)(二)控制性开发利用区 (55)(三)资源开发利用区 (55)八、重要生态功能区 (58)(一)各类功能区的数量、面积与分布 (58)(二)重要生态功能区 (59)九、生态功能区划实施对策和措施 (61)(一)法律的对策和措施 (61)(二)行政的对策和措施 (62)(三)经济的对策和措施 (64)(四)技术的对策和措施 (65)附表:海南省生态功能区划简表 (65)附图:海南省生态功能区划图一、概况(一)自然环境与资源条件1. 地理位置海南省位于我国的最南部,陆地面积约3.42×104km2,地处北纬3°20′~20°18′,东经107°50′~119°10′之间,在我国所处的纬度最低。
松涛水库的旅游景点
松涛水库位于海南省儋州市南部,跨儋州、白沙两市县,是全国十大水库之一、海南省最大的水库。
这个水库被誉为"宝岛明珠",因其辽阔的水域酷似大海,渔舟点点,景色多变。
松涛水库沿途的风景优美,有许多值得一游的景点。
这些包括进水塔、狮子岭、纱帽岭、猴山风景区、马头湾、莲花山森林公园和松涛大坝等。
此外,松涛水库不仅是一个大型的水利工程,还是一个重要的饮用水源保护区,集灌溉、防洪、供水、发电、通航、养殖、造林、旅游等多功能于一体。
如果你想欣赏到松涛水库的全貌,可以选择乘船游览。
南丰至白沙牙叉港约39公里(上行),南丰至松涛大坝约27.5公里(下行)。
在船上,你可以欣赏到穿山越谷的美景,一直扑到"撑起炎荒半壁天"的五指山。
总的来说,松涛水库是一个拥有丰富自然和文化景观的地方,无论是喜欢户外活动的人,还是喜欢安静欣赏风景的人,都可以在这里找到自己喜欢的东西。
海南岛牛路岭水库防洪调度分析收稿日期:2018-11-05第一作者信息:吉小燕,女,高级工程师,E-mail:783623217@。
吉小燕1邓长涛2(1.海南省应急管理厅,海口570204;2.珠江水利科学研究院,广州510611)摘要:介绍了牛路岭水库及万泉河流域概况和历史防洪调度情况,基于201621号强台风“莎莉嘉”气象降雨及实时暴雨情况,对牛路岭水库防洪调度进行分析,初步采用气象—水文—水力耦合技术方案进行洪水预报、水库下游洪水风险分析和水库防洪调度决策。
提高了水库入库洪水预报的精度、延长了预见期、最大程度减轻水库下游洪水灾害。
关键词:气象—水文—水力耦合;洪水风险分析;防洪调度中图法分类号:TV697.1文章标识码:B文章编号:1673-9264(2019)08-12-05DOI:10.16867/j.issn.1673-9264.2018242吉小燕,邓长涛.海南岛牛路岭水库防洪调度分析[J].中国防汛抗旱,2019,29(8):12-15,24.JI Xiaoyan ,DENG Changtao.Analysis on the flood prevention dispatching of Ni⁃ululing Reservoir on Hainan Island[J].China Flood &Drought Management ,2019,29(8):12-15,24.(in Chinese )1水库及流域概况牛路岭水库位于海南省万泉河干流乐会水(又名乘坡河)的上游,其坝址上游汇水面积为1236km 2,占乐会水流域面积的89.1%,占万泉河流域面积的33.2%。
牛路岭水库以发电为主,兼有调洪、供水等综合利用效益,是万泉河综合开发的第一期工程。
牛路岭水库上游集水区域多年平均面降雨量为2600mm ,降雨量主要集中在台风季节(6—11月);水库正常蓄水位和汛限水位都为105.00m (56榆林基面,下同),相应库容5.30亿m 3;死水位为80.00m ,相应库容1.13亿m 3;无防洪库容。
海口市永庄水库简介
一、基本概况
海口市永庄水库位于海榆中线4公里处,秀英区海秀镇永庄村南边500米处,于1957年2月兴建,1959年建成运行,2010年进行除险加固,是一宗以灌溉、供水、防洪为主的中型水库。
永庄水库所属水系为五源河,工程位于五源河中游,水库上游集雨面积14.58平方公里,坝址以上河流长度为11.91公里,河床比降0.0061。
该水库库容为1025万立方米。
大坝长612米,坝顶高程45.2米。
最大坝高14米。
设计洪水标准为100年一遇,相应库容957.35万立方米。
正常蓄水水位42.89米,相应库容789.6万立方米。
永庄水库管理所是水务局下属的事业单位,级别为科级,经济性质为财政差额拨款,单位定编10人,现有15人。
二、主要职能
城市防洪功能:保护五源河下游6个村庄的3万多人口、耕地4500多亩、海榆西线公路及五源河下游正在规划开发的旅游用地与基础设施。
水资源保护:永庄水库被定为城市饮用水源之一,已定为水资源保护区。
农田灌溉:灌溉周边地区6个村庄4500多亩田地。
城市饮用水源:主要承担海榆中线以西地区的供水任务,日供水可达10万吨。
3。
海南省水资源概况海南岛河流的径流充沛,多年平均地表径流深875毫米,径流量达297亿立方米。
人均5380立方米,为全国人均2700立方米的两倍。
地表径流的时空分布不均。
丰水年径流量475亿立方米,径流占80%以上,枯水年径流量143亿立方米,丰枯比为3.3∶1。
每亩耕地枯水年占有水量2066立方米,仅为正常值的一半。
径流在地区分布呈中部雨区向四周渐趋递减的特点,中部雨区中心与西部沿海地区的比值达6倍。
海南岛中部高四周低的地势形成许多短状旬流入海的河流,成放射状水系。
全岛独流入海的河流有154条,其中,集水面积大于100平方公里的河流有38条。
南渡江、昌化江、万泉河为海南岛的三大河,集水面积均超过3000平方公里,流域面积占全岛面积的47%。
三大河道干流约可调蓄水量80亿方,中小河流也可蓄水量56亿方,总计可调蓄水量136亿方。
集水面积在1000—2000平方公里的有陵水河、珠碧江、宁远河3条;集水面积在500—1000平方公里的有望楼河、文澜江、北门江、太阳河、藤桥河、春江河、文教河等7条。
比较长的河流都发源于中部山区,较小的河流多发源于山前丘陵或台地上,它们都顺着中高周低的地势,奔流出海,落差大,水利开发条件优越。
全省水库面积5.6万公顷。
较大的水库有松涛水库、大广坝水库、牛路岭水库、万宁水库、长茅水库、石碌水库等。
其中松涛水库集水面积1440平方公里,总库容33.4亿立方米,为海南省最大水库,设计灌溉面积14.5万公顷。
万宁水库集水面积429平方公里,总库容1.52亿立方米,设计灌溉面积0.8万公顷。
长茅水库集水面积256平方公里,总库容1.44亿方米,设计灌溉面积1.2万公顷。
石碌水库集水面积354平方公里,总库容1.41亿立方米,设计灌溉面积1.0万公顷。
牛路岭水库集水面积1236平方公里,总库容7.79亿立方米,主要用于发电。
海南省水资源总量为375亿立方米。
海南岛水力资源极为丰富,全岛水力资源理论蕴藏量99.5万千瓦,主要分布在昌化江(29万千瓦)、万泉河(26万千瓦)和南渡江(20万千瓦),三大河流的干支流为74.4万千瓦。
海南省19个市县中,共有多少座⼤型⽔库?⽔库是抗洪蓄⽔、调节⽔流的基础性⽔利民⽣⼯程,修建⽔库,对于灌溉、供⽔、防洪、发电、养鱼具有积极作⽤。
⼤坝、溢洪道和放⽔建筑物是⽔库的三⼤件,按照库容⼤⼩,⽔库可分为⼤型、中型、⼩型三个类别。
⽬前,在海南省19个市县中,共有⽔库1058座,⼩型的982座、中型的70座、⼤型的6座。
今天,就先让我们⼀起来了解海南省的6座⼤型⽔库,看看它们分别坐落在哪,各⾃有什么特点,发展现状如何。
1、松涛⽔库松涛⽔库松涛⽔库,始建于1958年7⽉,为海南省第⼀⼤⽔库、全国⼗⼤⽔库之⼀,位于海南省第⼀长河南渡江的上游,横跨儋州、⽩沙和琼中三个市县(主库区位于海南省儋州市),湖岸线长约554公⾥,⽔⾯⾯积130.5平⽅公⾥,最深⽔位达70⽶,总库容量33.45亿⽴⽅⽶,年平均供⽔量约12.87亿⽴⽅⽶,是海南省重点饮⽤⽔源保护区,是集防洪、灌溉、供⽔、通航、发电、养殖、旅游为⼀体的多功能⼤型综合⽔利⼯程。
松涛⽔库库区枢纽⼯程由主坝、副坝、溢洪道、输⽔隧道、导流洞组成,主坝为碾压式均质⼟坝,最⼤坝⾼为80.1⽶,副坝有7座,合计长度为4025.7⽶,最⼤坝⾼8.6⽶,⽔库正常⾼⽔位为190⽶、相应库容为25.95亿⽴⽅⽶,按千年⼀遇洪⽔设计、经最⼤洪⽔(截⾄⽬前最⼤)校核,相应⽔位为195.3⽶、相应库容为33.4亿⽴⽅⽶,属于⼀个多年调节⽔库。
松涛⽔库作为全省最⼤的⽔库,肩负着儋州、临⾼、澄迈、屯昌、定安、海⼝等市县⽣产⽣活⽤⽔的重任,是海南琼北地区数百万群众的⽤⽔源泉,事关民⽣福祉,必须严格加以保护并合理利⽤。
此外,松涛⽔库输⽔洞出⼝的南丰⽔电站,在⽔电发展和供应⽅⾯也发挥了积极作⽤,是海南电⽹的重要供电源之⼀。
值得⼀提的是,1960年2⽉,周恩来总理曾专程赶赴海南省儋州市,亲⾃考察⽔库建设情况,并为⽔库题写了“松涛⽔库”四个⼤字。
2、⼤⼴坝⽔库⼤⼴坝⽔库⼤⼴坝⽔库,于1990年6⽉开始兴建,是海南省第⼆⼤河流昌化江上的⼀座⼤型⽔库,属于海南省第⼆⼤⽔库,位于海南省东⽅市境内,⽔库⽔⾯⾯积约为100平⽅公⾥,是东⽅、昌江两市县的重要供⽔⽔源。
五指山水库介绍
五指山水库位于中国海南省五指山市,是一座重要的水利工程。
它坐落在五指山市区的北部,占地面积广阔,是五指山市的重要水源之一。
五指山水库是由一座大坝和一片蓄水面组成的。
大坝建在山谷之中,高耸入云,给人一种壮丽的感觉。
大坝上建有观景台,游客可以在这里欣赏到壮丽的山水景色。
站在观景台上,可以俯瞰整个水库,远处的山峦和湖面在阳光的照射下泛起金光,美不胜收。
五指山水库的蓄水面积很大,水质清澈透明。
湖水平静如镜,湖面倒映着周围的山峦和树木,给人一种宁静和安详的感觉。
湖畔绿树成荫,野花盛开,吸引了大量的游客前来观赏和游玩。
湖水中还有丰富的鱼类资源,吸引了众多钓鱼爱好者前来垂钓。
五指山水库的水资源对五指山市的发展起到了重要的支撑作用。
它不仅为市区的居民提供了丰富的生活用水,还为农田灌溉提供了可靠的水源。
同时,水库还发挥着防洪调水的重要作用,保护了周边地区的安全。
除了水资源的供应,五指山水库还为当地带来了丰富的旅游资源。
水库周边的景区和度假村成为了游客们的热门目的地。
游客们可以在这里欣赏到壮丽的山水风光,还可以进行各种水上活动,如划船、钓鱼等。
水库周边还有许多美食街和特色小吃,让游客们品尝到地
道的海南美食。
五指山水库是一座具有重要意义的水利工程。
它不仅为五指山市提供了丰富的水资源,还为当地的经济发展和旅游业做出了重要贡献。
游客们在这里可以欣赏到壮丽的山水景色,感受到大自然的美丽和宁静。
五指山水库是五指山市的一张名片,也是人们心中的一片净土。