《微波技术与天线》习题答案
- 格式:doc
- 大小:1.57 MB
- 文档页数:24
《微波技术与天线》傅文斌-习题答案-第4章————————————————————————————————作者:————————————————————————————————日期:238第4章 无源微波器件4.1微波网络参量有哪几种?线性网络、对称网络、互易网络的概念在其中有何应用? 答 微波网络参量主要有转移参量、散射参量、阻抗参量和导纳参量。
线性网络的概念使网络参量可用线性关系定义;对二口网络,对称网络的概念使转移参量的d a =,散射参量的2211S S =,阻抗参量的2211Z Z =,导纳参量的2211Y Y =。
互易网络的概念使转移参量的1=-bc ad ,散射参量的2112S S =,阻抗参量的2112Z Z =,导纳参量的2112Y Y =。
4.2推导Z 参量与A 参量的关系式(4-1-13)。
解 定义A 参量的线性关系为()()⎩⎨⎧-+=-+=221221I d cU I I b aU U 定义Z 参量的线性关系为⎩⎨⎧+=+=22212122121111I Z I Z U I Z I Z U⎥⎥⎥⎦⎤⎢⎢⎢⎣⎡-=⎥⎦⎤⎢⎣⎡=c d c c bc ad ca Z Z Z Z 122211211Z 4.3从I S S =*T出发,写出对称互易无耗三口网络的4个独立方程。
解 由对称性,332211S S S ==;由互易性,2112S S =,3113S S =,3223S S =。
三口网络的散射矩阵简化为⎥⎥⎥⎦⎤⎢⎢⎢⎣⎡=112313231112131211S S S S S S S S S S 由无耗性,I S S =*T,即⎥⎥⎥⎦⎤⎢⎢⎢⎣⎡=⎥⎥⎥⎦⎤⎢⎢⎢⎣⎡⎥⎥⎥⎦⎤⎢⎢⎢⎣⎡100010001*11*23*13*23*11*12*13*12*11112313231112131211S S S S S S S S S S S S S S S S S S39得1213212211=++S S S0*2313*1112*1211=++S S S S S S 0*1113*2312*1311=++S S S S S S 0*1123*2311*1312=++S S S S S S4.4二口网络的级联如图所示。
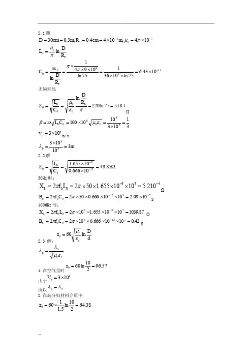
2.1题007030ln 104,1044.0,3.030R D L m cm R m cm D πμπμ=⨯=⨯====--1199001043.675ln 1036175ln 10941ln -⨯=⨯⨯=⨯⨯⨯==πππεR D C无损耗线1.51875ln 120ln000====πεμR DC L Z Ω3110310101008800600=⨯=⨯==εμωβC L8103⨯=p v m/smp 31010388=⨯=λ2.2解Ω=⨯⨯==--85.4910666.010655.1129000C L Z50Hz 时:43900210.51010655.15022--=⨯⨯⨯⨯==ππL f X L Ω7312001009.21010666.05022--⨯=⨯⨯⨯⨯==ππC f B C S100MHz 时:1039.871010655.1102239800=⨯⨯⨯⨯==-ππL f X L Ω0.421010666.010********=⨯⨯⨯⨯==-ππC f B C S2.3 解:d D z r r ln 600εμ=r r p εμλλ0=1.在空气里时57.96210ln600==z由于8103⨯=p V所以0λλ=p2.在高分妇材料介质中38.64210ln 5.11600=⨯=z由于88102125.210⨯=⨯⨯3=p V 所以32λλ=p 2.4 形式上,低频或直流电功率传输线横截面为多连通区域,传送信号的有单连通与多连通。
在内容上,电力传输注重功率容量及传输损耗,信号线要求适应很高的频率,且有频带宽度要求,注重信息速率。
2.5 (1)Ω===Ω==∞==5.3715075'150220113120121L A A A LA A Z z Z Z Z z z z(2)Ω===Ω==∞==1002550252220223121Z Z Z Z Z Z Z B B B L B B2.6 频率为100MHz 时Ω=⨯=Ω====⨯=12075060015015060030031010322088D L DE Z Z Z Z m λ012020====Ω=A BC LCFCD Z Z Z Z Z Z频率为200MHz 时Ω=Ω=Ω==⨯⨯=3003006005.110210388CD D DE Z Z Z m λΩ=Ω=⨯=Ω=Ω=∞=300200900600300300300A B BC C CF Z Z Z Z Z 2.7 解:Ω==Ω=Ω===∞=====Ω==Ω=2525251005000505023202020L A B BELBC C L CF CD Z Z Z Z Z Z Z Z Z Z Z Z Z Z Z2.8 解:无损耗传输线Ω=Ω=2501500L Z Z()()()dj d j d j L L i r e e e Z Z Z Z d U d U d βββ2220025.0400100---==+-==Γ(1)P d λ25.0=时()25.025.05.0222-==Γ=⨯⨯=-ππλλπβj P Pe d d(2)pd λ5.0=时()25.025.025.02222==Γ=⨯⨯=-ππλλπβj P Pe d d2.10 解:由()()d d S Γ-Γ+=11得到()2.05.25.011==+-=ΓS S dm f V pP 3.010110398=⨯⨯==λ()⎪⎭⎫ ⎝⎛-Γ=Γ-=-=-=d j P L ed dd d ππππλππβϕϕ3402.034042在无损耗时,0Z 为纯阻()Ω=+-=+-Z =Γ15010010000000Z Z Z Z Z Z d L L终端最近的电压波腹点处cm m d d 5.74030340≈==-=Γππϕ2.11 解:由题意得()d S S d L βϕϕ22.05.25.011-===-+=ΓΓ 当m d 01.0=时,()πϕ12+=Γn得()πλπϕ124min ++=n d pL波节点相差50mm 时由上式可知m d P p1.024==λπλπ且将波长和m d 01.0=代入后得到 ()()()ππ6.026.02.002.0j gbd j e e d -+-=Γ=Γ由于()π6.002.00j L L e Z Z Z Z -=+-=Γ()[]()[]5.1641190.0062.1190.0938.0502.012.015001016.06.00j j j e e Z Z j j L -=+-⨯=-+⨯=Γ-Γ+=--ππ2.12 解:令L Z Z 2050=Ω=⨯=10020050*Z()d tg jZ Z d tg jZ Z Z d Z L L in ββ++=000求其实部d tg d tg dtg Z Z dtg Z Z Z Z L L L ββββ22222020040000250010000100001+=+=++211051002575003000022====d tg d tg d tg βββ 21arctgd =β214.7*==d tg mmd β()7550100502520050j j j d Z in -=++=串入()j d X in 75=阻抗短路线 ()cm d d tg jd tg jZ d Z in 56.123750====ββ并入导纳12202200=++d tg Z Z dtg Z Z Z Z L L L ββ018.0107.121.043000075001000010000250040000222=⨯===+=+πββββd d tg d tg d tg d tg()()j j j d Y in 5.1150110020040050501+=⎪⎪⎭⎫⎝⎛++=并入导纳-0.03j 欧化为阻抗100/3j ,d=0.0094m 2.13()d j d d j d d j d d j d djZ d Z d jZ d Z Z d Z L L in ββββββββββββsin 2cos 3sin 3cos 2600sin 400cos 600sin 600cos 400600sin cos sin cos 000++=++=++= AB 段阻抗匹配()Ω==450L in Z d Z3.3 答:微带线导行电磁波的模式:准TEM 模(或者EH 模)、TE 模式、TM 模式 TE 类表面模式;同轴线导行TEM 模、TE 模、TM 模对于微带线准TEM 模式:rC P V V ε0=rC P ελλ0=对于同轴线TEM 模来说:r r p V V εμ0=r r p εμλλ0=3.4 金属波导管的特点:有效防止辐射损耗;解决导体损耗增加的问题。
★了解同轴线的特性阻抗及分类。
1.4习题及参考解答[I. 1]设一特性阻抗为50 Q的均匀传输线终端接负4k/<=100 Q.求负我反对系数巧・在离负裁0.2入・0.25入及0.5入处的输入阳抗及反对系数分别为多少?解终端反射系数为=& - Z。
= 100 — 50 =丄11 _ K _ 100 + 50 _ T根拥传输线上任怠一恵的反肘糸数和输入阳抗的公贰r(z)= r lC ^和= z。
;兰::二在离负载0.2入.0. 25A> 0.5入反射系数和输入阻抗分别为r(0.2A)= Y“初忌• r(0.25A)MZ.(0.2入)=29.43Z -23.79° Q・ Z in(0.25A) = 25 Q> Z lft(0.5A) = 100 Q[1.2]求内外导体直径分别为0.25 cm和0.75 cm的空气同轴线的持性阻抗。
若在两导体何塡充介电常数匕= 2.25的介质.求其特性阻抗及300 MHz时的波长。
解空气同轴线的持性阻抗为乙=60 In — = 65. 9 Qa塡充相对介电常数为€,=2.25的介质后.英持件阳抗为/=300 MHz时的波长为[1.3]设特性阻抗为乙的无耗传输线的址波比为"滾一个电爪波"•点离负我的距离为人讪.试证明此时终端负我应为r(0.5A) = Y证明根据输入阳抗公式Z: + jZ, tan" 乂Z o + jZ| tan/3 z在距负栈第一个波节点处的阻抗Z /(/“)=—P y Zl— j 乙I "1,3】Z.P将匕式整理即得17I318[I. 4] 何 持性阻抗为Z =50 Q 的无耗均匀传输线•导体间的媒质参敌为 £.=2.25 ・“, = 】,终瑞接仃&=】Q 的负我"/- 100 MHz 时•兀线长度为A/40试求: ①传输线实际长度'②负载终瑞反射系敌;③ 输入端反射系数'④ 输入瑞阻抗.解传输线上的波长= 2 m因而.传输线的实际长度/ = * = 0. 5 m4终瑞反射系数为…R]—Z 。
第2章 微波传输线2.1什么是长线?如何区分长线和短线?举例说明。
答 长线是指几何长度大于或接近于相波长的传输线。
工程上常将1.0>l 的传输线视为长线,将1.0<l 的传输线视为短线。
例如,以几何长度为1m 的平行双线为例,当传输50Hz 的交流电时是短线,当传输300MHz 的微波时是长线。
2.2传输线的分布参数有哪些?分布参数分别与哪些因素有关?当无耗传输线的长度或工作频率改变时分布参数是否变化?答 长线的分布参数一般有四个:分布电阻R 1、分布电感L 1、分布电容C 1、分布电导G 1。
分布电容C 1(F/m )决定于导线截面尺寸,线间距及介质的介电常数。
分布电感L 1(H/m )决定于导线截面尺寸,线间距及介质的磁导率。
分布电阻R 1(Ω/m )决定于导线材料及导线的截面尺寸。
分布电导G 1(S/m ) 决定于导线周围介质材料的损耗。
当无耗传输线(R 1= 0,G 1= 0)的长度或工作频率改变时,分布参数不变。
2.3传输线电路如图所示。
问:图(a )中ab 间的阻抗0=ab Z 对吗?图(b )中问ab 间的阻抗∞=ab Z 对吗?为什么?答 都不对。
因为由于分布参数效应,传输线上的电压、电流随空间位置变化,使图(a )中ab 间的电压不一定为零,故ab 间的阻抗ab Z 不一定为零;使图(b )中a 点、b 点处的电流不一定为零,故ab 间的阻抗ab Z 不一定为无穷大。
2.4平行双线的直径为2mm ,间距为10cm ,周围介质为空气,求它的分布电感和分布电容。
解 由表2-1-1,L 1=1.84×10-6(H/m ),C 1=6.03×10-12(F/m )2.5写出长线方程的的解的几种基本形式。
长线方程的解的物理意义是什么? 答(1)复数形式λ/8 aba)λ/8 abb)题2.3图()()()z L L z L L I Z U I Z U z U ββj 0j 0e 21e 21--++= ()()()z L L z L L I Z U Z I Z U Z z I ββj 00j 00e 21e 21---+=(2)三角函数形式()z Z I z U z U L L ββsin j cos 0+=()z I z Z U z I L Lββcos sin j+= (3)瞬时形式()()A z t A t z u ϕβω++=cos , ()B z t B ϕβω+-+cos ()()A z t Z A t z i ϕβω++=cos ,0()B z t Z B ϕβω+--cos 0其中,()L L I Z U A 021+=,()L L I Z U B 021-= 物理意义:传输线上的电压、电流以波动的形式存在,合成波等于入射波与反射波的叠加。
第一章1-1解: f=9375MHz, / 3.2,/ 3.1251c f cm l λλ===> , 此传输线为长线。
1-2解: f=150kHz, 4/2000,/0.5101c f m l λλ-===⨯<< ,此传输线为短线。
1-3答: 当频率很高,传输线的长度与所传电磁波的波长相当时,低频时忽略的各种现象与效应,通过沿导体线分布在每一点的损耗电阻,电感,电容和漏电导表现出来,影响传输线上每一点的电磁波传播,故称其为分布参数。
用1111,,,R L C G 表示,分别称其为传输线单位长度的分布电阻,分布电感,分布电容和分布电导。
1-4 解: 特性阻抗050Z ====Ωf=50Hz X 1=ωL 1=2π×50×16.65×10-9Ω/cm=5.23×10-6Ω/cmB 1=ωC 1=2π×50×0.666×10×10-12=2.09×10-9S/cm 1-5 解: ∵ ()22j z j z i r Uz U e U e ββ''-'=+()()2201j z j z i r I z U e U e Z ββ''-'=- 将 2223320,2,42i r U V U V z πβλπλ'===⋅= 代入33223420220218j j z U eej j j Vππλ-'==+=-+=-()3412020.11200z I j j j A λ'==--=- ()()()34,18cos 2j te z uz t R U z e t V ωλπω'=⎛⎫''⎡⎤==- ⎪⎣⎦⎝⎭ ()()()34,0.11cos 2j te z i z t R I z e t A ωλπω'=⎛⎫''⎡⎤==- ⎪⎣⎦⎝⎭ 1-6 解: ∵Z L=Z 0∴()()220j z i r U z U e U β''==()()()212321100j j z z Uz e U z e πβ''-''==()()()()611100,100cos 6jU z e V u z t t V ππω'=⎛⎫=+ ⎪⎝⎭1-7 解: 210.20.2130j L e ccmfπρρλ-Γ=-=-==Γ+==由 011L L L Z Z +Γ=-Γ 得 0110.2100150110.2L LL Z Z -Γ+===Ω+Γ- 由 ()()()22max0.20.2j z j z L z e e z πββ-'-''Γ=Γ==Γ= 得 max1max120,7.54z z cm λπβ''-===1-8 解: (a) ()(),1inin Z z z ''=∞Γ=(b) ()()0100,0in in Z z Z z ''==ΩΓ=(c) ()()00012200,3in in in in Z Z Z z Z z Z Z -''==ΩΓ==+(d) ()()02200,1/3inin Z z Z z ''==ΩΓ=1-9 解: 1 1.21.510.8ρ+Γ===-Γmax 0min 75,33Z Z Z Z ρρ==Ω==Ω1-10 解: min2min124z z cm λ''=-=min1120.2,0.514L z ρππβρλ-'Γ===⨯=+ min1min120.2j z z L e β'-'Γ=-=Γ∴ 2420.20.2j jLeeππ⨯-Γ=-=1-11 解: 短路线输入阻抗 0in Z jZ tg l β= 开路线输入阻抗 0in Z jZ ctg l β=-a) 00252063inZ jZ tgjZ tgj πλπλ=⨯=Ω b) 002252033in Z jZ tg jZ tg j πλπλ=⨯=-Ωc) 0173.23inZ jZ ctgj π=-=-Ωd) 02173.23in Z jZ ctg j π=-=Ω1-12 解: 29.7502050100740.6215010013oj L L L Z Z j j e Z Z j -++Γ=Γ====++1-13 解: 表1-41-17 解: 1350.7j Le Γ=1-18 解: minmax0.6U K U == min143.2o z β'= 用公式求 min1min100min1min111L j tg z K jtg z Z Z Z jtg z jKtg z ρββρββ''--==''-- 0.643.25042.8522.810.643.2oojtg j j tg -==-Ω-⨯ 用圆图求 ()42.522.5LZ j =-Ω短路分支线的接入位置 d=0.016λ时()0.516B =-最短分支线长度为 l=0.174λ()0.516B =-1-19 解: 302.6 1.4,0.3,0.30.16100LL lZ j Y j λ=-===+由圆图求得 0.360.48in Z j =+ 1824in Z j =+Ω1.01 1.31in Y j =- ()0.020.026in Y j S =-1-20 解: 12LY j =+ 0.5jB j =()()()()0.150.6 1.460.150.60.960.20.320.380.2 1.311.54in in in in Y j Y jB j Y j Z j λλλλ=-+=-=+=-∴ 6577inZ j =-Ω 1-21 解: 11 2.5 2.50.20.2L L Y j j Z ===+- 并联支节输入导纳 min 2.5B ctg l β=-=- min 0.061l λ=此时 1/2.5LZ '= 500/2.5200LZ '==Ω(纯电阻)变换段特性阻抗 0316Z '==Ω 1-22 解: 1/0.851.34308.66o o Larctg ϕ=-=-= 由 max120L z ϕβ'=-= 得 max10.43z λ'= 由 min12Lz ϕβπ''=-=- 得 min10.1804L z ϕπλλπ+'== 1-23 解: 原电路的等效电路为由 1inZ j '+= 得 1inZ j '=-向负载方向等效(沿等Γ图)0.25电长度得 1inin Z Z ''='则 ininY Z '''=由inin in Y Y j Z ''''''=+= 得 12in inY Z j j ''''=-=-由负载方向等效0.125电长度(沿等Γ图)得12LY j =+ 0.20.4L Z j =-1-24 答: 对导行传输模式的求解还可采用横向分量的辅助标位函数法。
2023年微波技术与天线(王新稳著)课后答案下载2023年微波技术与天线(王新稳著)课后答案下载绪篇电磁场理论概要第1章电磁场与电磁波的基本概念和规律1.1 电磁场的四个基本矢量1.1.1 电场强度E1.1.2 高斯(Gauss)定律1.1.3 电通量密度D1.1.4 电位函数p1.1.5 磁通密度B1.1.6 磁场强度H1.1.7 磁力线及磁通连续性定理1.1.8 矢量磁位A1.2 电磁场的基本方程1.2.1 全电流定律:麦克斯韦第一方程1.2.2 法拉第一楞次(Faraday-Lenz)定律:麦克斯韦第二方程1.2.3 高斯定律:麦克斯韦第三方程1.2.4 磁通连续性原理:麦克斯韦第四方程1.2.5 电磁场基本方程组的微分形式1.2.6 不同时空条件下的麦克斯韦方程组1.3 电磁场的媒质边界条件1.3.1 电场的边界条件1.3.2 磁场的边界条件1.3.3 理想导体与介质界面上电磁场的边界条件1.3.4 镜像法1.4 电磁场的能量1.4.1 电场与磁场存储的能量1.4.2 坡印廷(Poyllfing)定理1.5 依据电磁场理论形成的电路概念1.5.1 电路是特定条件下对电磁场的简化表示1.5.2 由电磁场方程推导出的电路基本定律1.5.3 电路参量1.6 电磁波的产生——时变场源区域麦克斯韦方程的解 1.6.1 达朗贝尔(DAlembert)方程及其解1.6.2 电流元辐射的电磁波1.7 平面电磁波1.7.1 无源区域的时变电磁场方程1.7.2 理想介质中的均匀平面电磁波1.7.3 导电媒质中的均匀平面电磁波1.8 均匀平面电磁波在不同媒质界面的入射反射和折射 1.8.1 电磁波的极化1.8.2 均匀平面电磁波在不同媒质界面上的垂直入射 1.8.3 均匀平面电磁波在不同媒质界面上的斜入射__小结习题上篇微波传输线与微波元件第2章传输线的基本理论2.1 传输线方程及其解2.1.1 传输线的电路分布参量方程2.1.2 正弦时变条件下传输线方程的解2.1.3 对传输线方程解的讨论2.2 无耗均匀传输线的工作状态2.2.1 电压反射系数2.2.2 传输线的工作状态2.2.3 传输线工作状态的测定2.3 阻抗与导纳厕图及其应用2.3.1 传输线的匹配2.3.2 阻抗圆图的构成原理2.3.3 阻抗圆图上的特殊点和线及点的移动2.3.4 导纳圆图2.3.5 圆图的应用举例2.4 有损耗均匀传输线2.4.1 线上电压、电流、输入阻抗及电压反射系数的'分布特性 2.4.2 有损耗均匀传输线的传播常数2.4.3 有损耗均匀传输线的传输功率和效率__小结习题二第3章微波传输线3.1 平行双线与同轴线3.1.1 平行双线传输线3.1.2 同轴线3.2 微带传输线3.2.1 微带线的传输模式3.2.2 微带线的传输特性3.3 矩形截面金属波导3.3.1 矩形截面波导中场方程的求解3.3.2 对解式的讨论3.3.3 矩形截面波导中的TElo模3.3.4 矩形截面波导的使用3.4 圆截面金属波导3.4.1 圆截面波导中场方程的求解3.4.2 基本结论3.4.3 圆截面波导中的三个重要模式TE11、TM01与TE01 3.4.4 同轴线中的高次模3.5 光波导3.5.1 光纤的结构形式及导光机理3.5.2 单模光纤的标量近似分析__小结习题三第4章微波元件及微波网络理论概要4.1 连接元件4.1.1 波导抗流连接4.1.2 同轴线——波导转接器4.1.3 同轴线——微带线转接器4.1.4 波导——微带线转接器4.1.5 矩形截面波导——圆截面波导转接器4.2 波导分支接头……微波技术与天线(王新稳著):内容简介本书是在作者三十多年教学及科研实践基础上编写而成的,系统讲述电磁场与电磁波、微波技术、天线的基本概念、理论、分析方法和基本技术。
《微波技术与天线》题集一、选择题(每题2分,共20分)1.微波的频率范围是:A. 300 MHz - 300 GHzB. 300 kHz - 300 MHzC. 300 GHz - 300 THzD. 300 Hz - 300 kHz2.微波在自由空间传播时,其衰减的主要原因是:A. 散射B. 反射C. 绕射D. 折射3.下列哪种天线常用于微波通信?A. 偶极子天线B. 螺旋天线C. 抛物面天线D. 环形天线4.微波传输线中,最常用的传输线是:A. 同轴线B. 双绞线C. 平行线D. 光纤5.微波器件中,用于反射微波的器件是:A. 微波晶体管B. 微波二极管C. 微波反射器D. 微波振荡器6.在微波电路中,常用的介质材料是:A. 导体B. 绝缘体C. 半导体D. 超导体7.微波集成电路(MIC)的主要优点是:A. 高集成度B. 低功耗C. 低成本D. 大尺寸8.微波通信中,用于调制微波信号的常用方法是:A. 调幅B. 调频C. 调相D. 脉冲编码调制9.下列哪种效应是微波加热的主要机制?A. 热辐射效应B. 电磁感应效应C. 介电加热效应D. 光电效应10.在雷达系统中,发射天线的主要作用是:A. 接收目标反射的微波信号B. 发射微波信号照射目标C. 处理接收到的微波信号D. 放大微波信号二、填空题(每空2分,共20分)1.微波的波长范围是_____至_____毫米。
2.微波在自由空间传播时,其传播速度接近光速,约为_____米/秒。
3.抛物面天线的主要优点是具有较高的_____和_____。
4.微波传输线中,同轴线的内导体通常采用_____材料制成。
5.微波器件中,用于产生微波振荡的器件是_____。
6.微波加热中,被加热物体必须是_____材料。
7.微波集成电路(MIC)是在_____基片上制作的微波电路。
8.雷达系统中,接收天线的主要作用是_____。
9.微波通信中,为了减小传输损耗,通常采用_____方式进行传输。
可编辑修改精选全文完整版课程名称:微波技术与天线答案共 4 页试卷:A、考试形式:闭卷一、填空题(每空1分,共10分)1、300MHz 3000GHz。
2、相等,λ/2。
3、TE104、TE015、电激励、磁激励、电流激励6、越强二、选择题(每题2分,共20分)1、B2、D3、A4、A5、C6、B7、C8、D9、D 10、B三、简答题(每题6分,共24分)1、有一三端口元件,测得其[S]矩阵为:00.9950.1 []0.995000.100s⎡⎤⎢⎥=⎢⎥⎢⎥⎣⎦问:此元件有那些性质?它是一个什么样的元件?答:(1)由S11=S22=S33=0知,此元件的三个端口均匹配。
1分(2)由S23=S32=0知,此元件的端口2和端口3是相互隔离的。
1分(3)S ij=S ji(i、j=1,2,3)知,此元件是互易的。
1分(4)由S11=S22=S33知,此元件是对称的。
1分(5)由[S]+[S]≠[I]知,此元件是有耗的。
1分此元件是一个不等分的电阻性功率分配元件。
1分2、智能天线将在那几个方面提高移动通信系统的性能?答:1.提高通信系统的容量和频谱利用率; 1.5分2.增大基站的覆盖面积; 1.5分3.提高数据传输速率; 1.5分4.降低基站发射功率,节省系统成本,减少了信号干扰与电磁环境污染。
1.5分3、解释对称振子的波长缩短效应,分析产生的原因。
答:对称振子的相移常数β大于自由空间的波数k,亦即对称振子上的波长短于自由空间波长,称为波长缩短想象。
2分4、某定向耦合器的耦合度为33dB ,定向度为24dB ,端口①的入射功率为25W ,计算直通端②和耦合端口③输出功率。
(6分)解:C=10lgP 1/P 3=33dB P 1/P 3=10-3.3 P 3=P 1×10-3.3=0.0125W 2分 D=10lgP 3/P 4=24dB P 4=0.00005W=50μW 2分 则直通端的输出为: P 2=24.9875W 2分5、画出两个沿x 方向排列间距为λ/2且平行于z 轴放置的振子天线在等幅同相激励时的H 面方向图。
1-1 解: f=9375MHz, / 3.2,/ 3.1251c f cm l λλ===> 此传输线为长线1-2解: f=150kHz, 4/2000,/0.5101c f m l λλ-===⨯<<此传输线为短线1-3答: 当频率很高,传输线的长度与所传电磁波的波长相当时,低频时忽略的各种现象与效应,通过沿导体线分布在每一点的损耗电阻,电感,电容和漏电导表现出来,影响传输线上每一点的电磁波传播,故称其为分布参数。
用1111,,,R L C G 表示,分别称其为传输线单位长度的分布电阻,分布电感,分布电容和分布电导。
1-4 解: 特性阻抗 90101210 1.66510500.66610L L Z C C --⨯====Ω⨯ f=50Hz X 1=ωL 1=2π×50×16.65×10-9Ω/cm=5.23×10-6Ω/cmB 1=ωC 1=2π×50×0.666×10×10-12=2.09×10-9S/cm 1-5 解: ∵ ()22j z j z i r U z U e U e ββ''-'=+ ()()2201j z j z i r I z U e U e Z ββ''-'=- 将 2223320,2,42i r U V U V z πβλπλ'===⋅= 代入 33223420220218j j z Ueej j j V ππλ-'==+=-+=-()3412020.11200z Ij j j A λ'==--=- ()()()34,18cos 2j te z u z t R U z e t V ωλπω'=⎛⎫''⎡⎤==- ⎪⎣⎦⎝⎭ ()()()34,0.11cos 2j t e z i z t R I z e t A ωλπω'=⎛⎫''⎡⎤==- ⎪⎣⎦⎝⎭ 1-6 解: ∵Z L =Z 0 ∴()()220j z i r U z U e U β''==()()()212321100j j z z U z e U z e πβ''-''==()()()()611100,100cos 6jU z e V u z t t V ππω'=⎛⎫=+ ⎪⎝⎭1-7 解:210.20.2130j L e ccm fπρρλ-Γ=-=-==Γ+==由 011L L L Z Z +Γ=-Γ 得 0110.2100150110.2L L L Z Z -Γ+===Ω+Γ-由 ()()()22max 0.20.2j z j z L z e e z πββ-'-''Γ=Γ==Γ= 得 max1max120,7.54z z cm λπβ''-===1-8 解: (a) ()(),1in in Z z z ''=∞Γ= (b) ()()0100,0in in Z z Z z ''==ΩΓ= (c) ()()00012200,3in in in in Z Z Z z Z z Z Z -''==ΩΓ==+(d) ()()02200,1/3in in Z z Z z ''==ΩΓ= 1-9 解: 1 1.21.510.8ρ+Γ===-Γ 0max 0min 75,33Z Z Z Z ρρ==Ω==Ω1-10 解: min2min124z z cm λ''=-= min1120.2,0.514L z ρππβρλ-'Γ===⨯=+min1min120.2j z z Le β'-'Γ=-=Γ ∴ 2420.20.2j jL eeππ⨯-Γ=-=1-11 解: 短路线输入阻抗 0in Z jZ tg l β= 开路线输入阻抗 0in Z jZ ctg l β=- a) 00252063in Z jZ tgjZ tgj πλπλ=⨯=ΩBb) 002252033in Z jZ tgjZ tg j πλπλ=⨯=-ΩBc) 0173.23in Z jZ ctgj π=-=-Ω d) 02173.23in Z jZ ctg j π=-=Ω1-12 解: 29.7502050100740.6215010013o j L L L Z Z j j e Z Z j -++Γ=Γ====++1-13 解: 表1-4短路线长度 0.182λ 0.25λ0.15λ 0.62λ 输入阻抗in Z j2.2 ∞j1.38 j0.94 输入导纳in Y-j0.46-j0.024-j1.061-14 解: 表1-5 开路线长度 0.1λ 0.19λ0.37λ 0.48λ 输入阻抗in Z -j1.38 -j0.4j0.94 j7.9 输入导纳in Yj0.73j2.5-j1.06-j0.131-15 解: 表1-6负载阻抗L Z0.3+j1.3 0.5-j1.6 30.25 0.45-j1.2 -j2.0驻波比ρ 9.16 1.86 3 4 5.7 ∞ 反射系数Γ0.80.30.50.60.711-16 解: 表1-7 负载阻抗L Z 0.8+j 0.3-j1.1 ∞ j1.0 1.0 6+j3输入阻抗in Z 0.488-j0.61 0.23+j0.85-j1 1 0.13-j0.067输入阻抗in Z (Ω) 24.4-j30.5 11.5+j42.3-j50 50 6.67-j3.331-17 解: 1350.7oj L e Γ= 1-18 解: minmax0.6U K U == min143.2o z β'= 用公式求min1min10min1min111L j tg z K jtg z Z Z Z jtg z jKtg z ρββρββ''--==''-- 0.643.25042.8522.810.643.2oojtg j j tg -==-Ω-⨯ 用圆图求 ()42.522.5L Z j =-Ω短路分支线的接入位置 d=0.016λ时()0.516B =- 最短分支线长度为 l=0.174λ()0.516B =- 1-19 解: 302.6 1.4,0.3,0.30.16100L L lZ j Y j λ=-===+ 由圆图求得 0.360.48in Z j =+ 1824in Z j =+Ω 1.01 1.31in Y j =- ()0.020.026in Y j S =- 1-20 解: 12L Y j =+ 0.5jB j =()()()()0.150.6 1.460.150.60.960.20.320.380.2 1.31 1.54in in in in Y j Y jB j Y j Z j λλλλ=-+=-=+=-∴ 6577in Z j =-Ω 1-21 解: 11 2.5 2.50.20.2L L Y j j Z ===+- 并联支节输入导纳 min 2.5B ctg l β=-=- min 0.061l λ=此时 1/2.5L Z '= 500/2.5200LZ '==Ω(纯电阻) 变换段特性阻抗 0010000010010316L Z Z Z ''===Ω 1-22 解: 1/0.851.34308.66o o L arctg ϕ=-=-=由 max120L z ϕβ'=-= 得 max10.43z λ'= 由 min12L z ϕβπ''=-=- 得 min10.1804L z ϕπλλπ+'== 1-23 解: 原电路的等效电路为由 1in Z j '+= 得 1in Z j '=- 向负载方向等效(沿等Γ图)0.25电长度 得 1in in Z Z ''='则 in in Y Z '''=由in in in Y Y j Z ''''''=+= 得 12in in Y Z j j ''''=-=- 由负载方向等效0.125电长度(沿等Γ图)得 12L Y j =+ 0.20.4L Z j =-1-24 答: 对导行传输模式的求解还可采用横向分量的辅助标位函数法。
《微波技术与天线》习题答案章节 微波传输线理路1.1设一特性阻抗为Ω50的均匀传输线终端接负载Ω=1001R ,求负载反射系数1Γ,在离负载λ2.0,λ25.0及λ5.0处的输入阻抗及反射系数分别为多少?解:1)()(01011=+-=ΓZ Z Z Zπβλ8.02131)2.0(j z j e e --=Γ=Γ31)5.0(=Γλ (二分之一波长重复性)31)25.0(-=ΓλΩ-∠=++=ο79.2343.29tan tan )2.0(10010ljZ Z ljZ Z Z Z in ββλΩ==25100/50)25.0(2λin Z (四分之一波长阻抗变换性)Ω=100)5.0(λin Z (二分之一波长重复性)1.2求内外导体直径分别为0.25cm 和0.75cm 的空气同轴线的特性阻抗;若在两导体间填充介电常数25.2=r ε的介质,求其特性阻抗及MHz f 300=时的波长。
解:同轴线的特性阻抗abZ rln600ε= 则空气同轴线Ω==9.65ln 600abZ 当25.2=r ε时,Ω==9.43ln600abZ rε 当MHz f 300=时的波长:m f c rp 67.0==ελ1.3题设特性阻抗为0Z 的无耗传输线的驻波比ρ,第一个电压波节点离负载的距离为1m in l ,试证明此时的终端负载应为1min 1min 01tan tan 1l j l j Z Z βρβρ--⨯=证明:1min 1min 010)(1min 101min 010in tan l tan j 1/tan tan 1min 1min l j Z Z Z Z l j Z Z l j Z Z Z Z l in l βρβρρββ--⨯=∴=++⨯=由两式相等推导出:对于无耗传输线而言:)(Θ1.4传输线上的波长为:m fr2cg ==ελ因而,传输线的实际长度为:m l g5.04==λ终端反射系数为: 961.0514901011≈-=+-=ΓZ R Z R输入反射系数为: 961.0514921==Γ=Γ-lj in eβ 根据传输线的4λ的阻抗变换性,输入端的阻抗为:Ω==2500120R ZZ in1.5试证明无耗传输线上任意相距λ/4的两点处的阻抗的乘积等于传输线特性阻抗的平方。
《微波技术与天线》习题答案章节 微波传输线理路1.1设一特性阻抗为Ω50的均匀传输线终端接负载Ω=1001R ,求负载反射系数1Γ,在离负载λ2.0,λ25.0及λ5.0处的输入阻抗及反射系数分别为多少? 解:31)()(01011=+-=ΓZ Z Z Zπβλ8.02131)2.0(j z j e e --=Γ=Γ31)5.0(=Γλ (二分之一波长重复性)31)25.0(-=ΓλΩ-∠=++= 79.2343.29tan tan )2.0(10010ljZ Z ljZ Z Z Z in ββλΩ==25100/50)25.0(2λin Z (四分之一波长阻抗变换性) Ω=100)5.0(λin Z (二分之一波长重复性)1.2求内外导体直径分别为0.25cm 和0.75cm 的空气同轴线的特性阻抗;若在两导体间填充介电常数25.2=r ε的介质,求其特性阻抗及MHz f 300=时的波长。
解:同轴线的特性阻抗abZ r ln 600ε= 则空气同轴线Ω==9.65ln 600abZ 当25.2=r ε时,Ω==9.43ln600abZ rε 当MHz f 300=时的波长:m f c rp 67.0==ελ1.3题设特性阻抗为0Z 的无耗传输线的驻波比ρ,第一个电压波节点离负载的距离为1min l ,试证明此时的终端负载应为1min 1min 01tan tan 1l j l j Z Z βρβρ--⨯=证明:1min 1min 010)(1min 101min 010in tan l tan j 1/tan tan 1min 1min l j Z Z Z Z l j Z Z l j Z Z Z Z l in l βρβρρββ--⨯=∴=++⨯=由两式相等推导出:对于无耗传输线而言:)(1.4传输线上的波长为:m fr2cg ==ελ因而,传输线的实际长度为:m l g5.04==λ终端反射系数为: 961.0514901011≈-=+-=ΓZ R Z R输入反射系数为: 961.0514921==Γ=Γ-lj in eβ 根据传输线的4λ的阻抗变换性,输入端的阻抗为:Ω==2500120R ZZ in1.5试证明无耗传输线上任意相距λ/4的两点处的阻抗的乘积等于传输线特性阻抗的平方。