第1章 半导体器件习题及答案教学总结
- 格式:doc
- 大小:2.91 MB
- 文档页数:21
第 1 章半导体器件习题及答案第1章半导体器件一、是非题(注:请在每小题后[]内用” V"表示对,用” X "表示错)1、P型半导体可通过在本半导体中掺入五价磷元素而获得。
()2、N型半导体可以通过在本征半导体中掺入三价元素而得到。
()3、在N型半导体中,掺入高浓度的三价杂质可以发型为P型半导体。
()4、P型半导体带正电,N型半导体带负电。
()5、N型半导体的多数载流子是电子,所以它带负电。
()6半导体中的价电子易于脱离原子核的束缚而在晶格中运动。
()7、半导体中的空穴的移动是借助于邻近价电子与空穴复合而移动的。
()8、施主杂质成为离子后是正离子。
()9、受主杂质成为离子后是负离子。
()10、PN结中的扩散电流是载流子在电场作用下形成的。
()11、漂移电流是少数载流子在内电场作用下形成的。
()12、由于PN结交界面两边存在电位差,所以,当把PN结两端短路时就有电流流过。
()13、PN结在无光照、无外加电压时,结电流为零。
()14、二极管的伏安特性方程式除了可以描述正向特性和反向特性外,还可以描述二极管的反向击穿特性。
()15、通常的BJT管在集电极和发射极互换使用时,仍有较大的电流放大作用。
()16、有人测得某晶体管的U BE=0.7V, I B=20^A,因此推算出r be=U BE/|B=0.7V/20 卩A=35k Q()17、 有人测得晶体管在U BE =0.6V , I B =5^A,因此认为在此工作点上的r be 大约为 26mV/l B =5.2k ◎()18、 有人测得当U BE =0.6V , I B =10^A O 考虑到当U BE =0V 时I B =0因此推算得到、选择题(注:在每小题的备选答案中选择适合的答案编号填入该题空白处.1、在绝对零度(0K )时,本征半导体中 __________ 载流子A.有B.没有C.少数D.多数2、在热激发条件下,少数价电子获得足够激发能,进入导带,产生 ___________ F很大关系。
第一章、半导体器件(附答案)一、选择题1.PN 结加正向电压时,空间电荷区将 ________A. 变窄B. 基本不变C. 变宽2.设二极管的端电压为 u ,则二极管的电流方程是 ________A. B. C.3.稳压管的稳压是其工作在 ________A. 正向导通B. 反向截止C. 反向击穿区4.V U GS 0=时,能够工作在恒流区的场效应管有 ________A. 结型场效应管B. 增强型 MOS 管C. 耗尽型 MOS 管5.对PN 结增加反向电压时,参与导电的是 ________A. 多数载流子B. 少数载流子C. 既有多数载流子又有少数载流子6.当温度增加时,本征半导体中的自由电子和空穴的数量 _____A. 增加B. 减少C. 不变7.用万用表的 R × 100 Ω档和 R × 1K Ω档分别测量一个正常二极管的正向电阻,两次测量结果 ______A. 相同B. 第一次测量植比第二次大C. 第一次测量植比第二次小8.面接触型二极管适用于 ____A. 高频检波电路B. 工频整流电路9.下列型号的二极管中可用于检波电路的锗二极管是: ____A. 2CZ11B. 2CP10C. 2CW11D.2AP610.当温度为20℃时测得某二极管的在路电压为V U D 7.0=。
若其他参数不变,当温度上升到40℃,则D U 的大小将 ____A. 等于 0.7VB. 大于 0.7VC. 小于 0.7V11.当两个稳压值不同的稳压二极管用不同的方式串联起来,可组成的稳压值有 _____A. 两种B. 三种C. 四种12.在图中,稳压管1W V 和2W V 的稳压值分别为6V 和7V ,且工作在稳压状态,由此可知输出电压O U 为 _____A. 6VB. 7VC. 0VD. 1V13.将一只稳压管和一只普通二极管串联后,可得到的稳压值是( )A. 两种B. 三种C. 四种14.在杂质半导体中,多数载流子的浓度主要取决于 __(1)__,而少数载流子的浓度与 __(2)__有很大关系。
半导体物理习题答案 HEN system office room 【HEN16H-HENS2AHENS8Q8-HENH1688】第一章半导体中的电子状态例1.证明:对于能带中的电子,K状态和-K状态的电子速度大小相等,方向相反。
即:v(k)= -v(-k),并解释为什么无外场时,晶体总电流等于零。
解:K状态电子的速度为:(1)同理,-K状态电子的速度则为:(2)从一维情况容易看出:(3)同理有:(4)(5)将式(3)(4)(5)代入式(2)后得:(6)利用(1)式即得:v(-k)= -v(k)因为电子占据某个状态的几率只同该状态的能量有关,即:E(k)=E(-k)故电子占有k状态和-k状态的几率相同,且v(k)=-v(-k)故这两个状态上的电子电流相互抵消,晶体中总电流为零。
例2.已知一维晶体的电子能带可写成:式中,a为晶格常数。
试求:(2)能带底部和顶部电子的有效质量。
解:(1)由E(k)关系(1)(2)令得:当时,代入(2)得:对应E(k)的极小值。
当时,代入(2)得:对应E(k)的极大值。
根据上述结果,求得和即可求得能带宽度。
故:能带宽度(3)能带底部和顶部电子的有效质量:习题与思考题:1 什么叫本征激发温度越高,本征激发的载流子越多,为什么试定性说明之。
2 试定性说明Ge、Si的禁带宽度具有负温度系数的原因。
3 试指出空穴的主要特征。
4 简述Ge、Si和GaAs的能带结构的主要特征。
5 某一维晶体的电子能带为其中E0=3eV,晶格常数a=5×10-11m。
求:(2)能带底和能带顶的有效质量。
6原子中的电子和晶体中电子受势场作用情况以及运动情况有何不同原子中内层电子和外层电子参与共有化运动有何不同7晶体体积的大小对能级和能带有什么影响?8描述半导体中电子运动为什么要引入“有效质量”的概念?用电子的惯性质量描述能带中电子运动有何局限性?9 一般来说,对应于高能级的能带较宽,而禁带较窄,是否如此为什么10有效质量对能带的宽度有什么影响?有人说:“有效质量愈大,能量密度也愈大,因而能带愈窄。
半导体物理第一章习题答案半导体物理第一章习题答案在半导体物理学的学习中,习题是非常重要的一部分。
通过解答习题,我们可以加深对理论知识的理解,巩固所学内容,并培养解决问题的能力。
下面是一些关于半导体物理第一章的习题及其答案,希望对大家的学习有所帮助。
1. 什么是半导体?答:半导体是介于导体和绝缘体之间的材料。
它的导电性介于导体和绝缘体之间,可以通过施加外界电场或温度的变化来改变其电导率。
2. 半导体的能带结构有哪些特点?答:半导体的能带结构具有以下特点:- 价带和导带之间存在禁带,禁带宽度决定了材料的导电性能。
- 价带和导带中的能级数目与电子数目之间存在关联,即保持电中性。
- 价带和导带中的电子分布符合费米-狄拉克分布。
3. 什么是载流子?答:载流子是指在半导体中参与电流传输的带电粒子。
在半导体中,载流子主要有电子和空穴两种类型。
4. 什么是固有载流子浓度?答:固有载流子浓度是指在材料中由于温度引起的自发激发和热激发所产生的载流子浓度。
它与材料的能带结构和温度有关。
5. 什么是掺杂?答:掺杂是指向纯净的半导体中加入少量杂质,通过改变杂质的电子结构来改变半导体的电导性能。
掺杂分为n型和p型两种。
6. 什么是pn结?答:pn结是由n型和p型半导体通过扩散或外加电场形成的结构。
在pn结中,n型半导体中的自由电子会扩散到p型半导体中,而p型半导体中的空穴会扩散到n型半导体中,形成电子-空穴复合区域。
7. 什么是势垒?答:势垒是指pn结两侧带电粒子所形成的电场引起的电位差。
势垒的存在导致了电子和空穴的扩散和漂移,从而产生电流。
8. 什么是正向偏置和反向偏置?答:正向偏置是指在pn结上施加外加电压,使得p区的正电荷和n区的负电荷相吸引,势垒减小,电流得以流动。
反向偏置是指在pn结上施加外加电压,使得p区的负电荷和n区的正电荷相吸引,势垒增大,电流被阻断。
9. 什么是击穿?答:击穿是指在反向偏置下,当外加电压达到一定值时,pn结中的电场强度足够大,使得势垒被完全破坏,电流急剧增大的现象。
第一章半导体中的电子状态例1.证明:对于能带中的电子,K状态和-K状态的电子速度大小相等,方向相反。
即:v(k)= -v(-k),并解释为什么无外场时,晶体总电流等于零。
解:K状态电子的速度为:(1)同理,-K状态电子的速度则为:(2)从一维情况容易看出:(3)同理有:(4)(5)将式(3)(4)(5)代入式(2)后得:(6)利用(1)式即得:v(-k)= -v(k)因为电子占据某个状态的几率只同该状态的能量有关,即:E(k)=E(-k)故电子占有k状态和-k状态的几率相同,且v(k)=-v(-k)故这两个状态上的电子电流相互抵消,晶体中总电流为零。
例2.已知一维晶体的电子能带可写成:式中,a为晶格常数。
试求:(1)能带的宽度;(2)能带底部和顶部电子的有效质量。
解:(1)由E(k)关系(1)(2)令得:当时,代入(2)得:对应E(k)的极小值。
当时,代入(2)得:对应E(k)的极大值。
根据上述结果,求得和即可求得能带宽度。
故:能带宽度(3)能带底部和顶部电子的有效质量:习题与思考题:1 什么叫本征激发?温度越高,本征激发的载流子越多,为什么?试定性说明之。
2 试定性说明Ge、Si的禁带宽度具有负温度系数的原因。
3 试指出空穴的主要特征。
4 简述Ge、Si和GaAs的能带结构的主要特征。
5 某一维晶体的电子能带为其中E0=3eV,晶格常数a=5×10-11m。
求:(1)能带宽度;(2)能带底和能带顶的有效质量。
6原子中的电子和晶体中电子受势场作用情况以及运动情况有何不同?原子中内层电子和外层电子参与共有化运动有何不同?7晶体体积的大小对能级和能带有什么影响?8描述半导体中电子运动为什么要引入“有效质量”的概念?用电子的惯性质量描述能带中电子运动有何局限性?9 一般来说,对应于高能级的能带较宽,而禁带较窄,是否如此?为什么?10有效质量对能带的宽度有什么影响?有人说:“有效质量愈大,能量密度也愈大,因而能带愈窄。
第一章 半导体的物质结构和能带结构1、参照元素周期表的格式列出可直接构成或作为化合物组元构成半导体的各主要元素,并按共价键由强到弱的顺序写出两种元素半导体和八种化合物半导体,并熟记之。
共价键由强到弱的两种元素半导体,例如:Si ,Ge共价键由强到弱的八种化合物半导体:例如:SiC ,BN ,AlN ,GaN ,GaAs ,ZnS ,CdS ,HgS2、何谓同质异晶型?举出4种有同质异晶型的半导体,并列举其至少两种异晶型体的名称和双原子层的堆垛顺序。
答:化学组成完全相同的不同晶体结构称为同质异晶型。
1. SiC ,其多种同质异型体中,3C-SiC 为立方结构的闪锌矿型晶格结构,其碳硅双原子层的堆垛顺序为ABCABC ⋅⋅⋅;而2H-SiC 为六方结构的纤锌矿型晶格结构,其碳硅双原子层的堆垛顺序为ABAB ⋅⋅⋅;4H-SiC 为立方与六方相混合的晶格结构,其碳硅双原子层的堆垛顺序为ABACABAC ⋅⋅⋅2. GaN ,有闪锌矿结构和纤锌矿结构两种同质异型体,闪锌矿结构的Ga-N 双原子层的堆垛顺序为ABCABC ⋅⋅⋅;而纤锌矿结构的Ga-N 双原子层的堆垛顺序为ABAB ⋅⋅⋅;3. ZnS ,有闪锌矿结构和纤锌矿结构两种同质异型体,闪锌矿结构的Zn-S 双原子层堆垛顺序为ABCABC ⋅⋅⋅;而纤锌矿结构的Zn-S 双原子层堆垛顺序为ABAB ⋅⋅⋅;4. ZnSe ,有闪锌矿结构和纤锌矿结构两种同质异型体,闪锌矿结构的Zn-Se 双原子层堆垛顺序为ABCABC ⋅⋅⋅;而纤锌矿结构的Zn-Se 双原子层堆垛顺序为ABAB ⋅⋅⋅;3、室温下自由电子的热速度大约是105m/s ,试求其德布洛意波长。
解:该自由电子的动量为:s m kg v m p /1011.9101011.9265310⋅⨯=⨯⨯==--由德布洛意关系,可知其德布洛意波长nm p h k 27.71027.71011.910625.6192634=⨯=⨯⨯===---λ4、对波矢为k 的作一维运动的电子,试证明其速度dk k dE )(1 =υ解:能量E 和动量P 波频率ν和波矢k 之间的关系分别是:ων ==h E ; P = k根据能量和动量的经典关系:20021,v m E v m P ==由以上两个公式可得:0222m kE =对这个结论求导可得:02)(m kdk k dE η=,进一步得:dk k dE m k )(10ηη= 根据动量的关系:v m k P 0==η可得:=v dkk dE m k)(10ηη=5、对导带底电子,试证明其平均速度和受到外力f 作用时的加速度可分别表示为*/n m k =υ 和 */nm f a = 解:将E (k )在k=0出按泰勒级数展开取至k 2项,得到....)(21)()0()(20220+++===k dkEd k dk dE E k E k k 因为,k=0时能量取极小值,所以0)(0==k dk dE ,因而2022)(21)0()(k dkEd E k E k ==-令*02221)(1nk m dk E d == 代入上式得*222)0()(nm k E k E =- 根据量子力学概念,波包中心的运动速度为dkd v ω=式中,k 为对应的波矢。
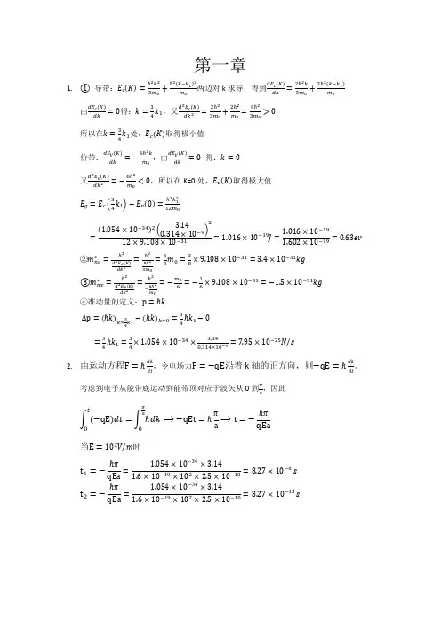
第一章1. ① 导带:E c (K )=ℏ2k 23m 0+ℏ2(k−k 1)2m 0两边对k 求导,得到dE c (K )dk=2ℏ2k 3m 0+2ℏ2(k−k 1)m 0由dE c (K )dk=0得:k =34k 1,又d 2E c (K )dk 2=2ℏ23m 0+2ℏ2m 0=8ℏ23m 0>0所以在k =34k 1处,E c (K )取得极小值 价带:dE V (K )dk=−6ℏ2k m 0,由dE V (K )dk=0 得:k =0又d 2E v (K )dk 2=−6ℏ2m 0<0,所以在K=0处,E v (K )取得极大值E g =E c (34k 1)−E v (0)=ℏ2k 1212m 0=(1.054×10−34)2( 3.140.314×10−9)212×9.108×10−31=1.016×10−19J =1.016×10−191.602×10−19=0.63ev②m nc ∗=ℏ2d 2E c (K)dk 2=ℏ28ℏ23m 0=38m 0=38×9.108×10−31=3.4×10−31kg③m nv∗=ℏ2d 2E v (K)dk 2=ℏ2−6ℏ2m 0=−m 06=−16×9.108×10−31=−1.5×10−31kg④准动量的定义:p =ℏkΔp =(ℏk )k=34k 1−(ℏk )k=0=34ℏk 1−0=34ℏk 1=34×1.054×10−34×3.140.314×10−9=7.95×10−25N/s2. 由运动方程F =ℏdk dt,令电场力F =−qE 沿着k 轴的正方向,则−qE =ℏdk dt。
考虑到电子从能带底运动到能带顶对应于波矢从0到πa,因此∫(−qE )dt t=∫ℏπadk ⟹−qEt =ℏπa⟹t =−ℏπqE a当E =102V/m 时 t 1=−ℏπqE a= 1.054×10−34×3.141.6×10−19×102×2.5×10−10=8.27×10−8 s t 2=−ℏπqE a=1.054×10−34×3.141.6×10−19×107×2.5×10−10=8.27×10−13 s3.根据立方对称性可以判断,总共存在12个不同方向的极值点,其回旋共振的实验结果与磁感应强度的方向有关。
第一章半导体器件基础1.试求图所示电路的输出电压Uo,忽略二极管的正向压降和正向电阻。
解:(a)图分析:1)若D1导通,忽略D1的正向压降和正向电阻,得等效电路如图所示,则U O=1V,U D2=1-4=-3V。
即D1导通,D2截止。
2)若D2导通,忽略D2的正向压降和正向电阻,得等效电路如图所示,则U O=4V,在这种情况下,D1两端电压为U D1=4-1=3V,远超过二极管的导通电压,D1将因电流过大而烧毁,所以正常情况下,不因出现这种情况。
综上分析,正确的答案是U O= 1V。
(b)图分析:1.由于输出端开路,所以D1、D2均受反向电压而截止,等效电路如图所示,所以U O=U I=10V。
2.图所示电路中,E<uI。
二极管为理想元件,试确定电路的电压传输特性(uo-uI曲线)。
解:由于E<u I,所以D1截止、D2导通,因此有u O=u I –E。
其电压传输特性如图所示。
u oE u i3.选择正确的答案填空在图所示电路中,电阻R为6Ω,二极管视为理想元件。
当普通指针式万用表置于R×1Ω挡时,用黑表笔(通常带正电)接A点,红表笔(通常带负电)接B点,则万用表的指示值为( a )。
a.l8Ω,b.9Ω,c.3Ω,d.2Ω,e.0Ω解:由于A端接电源的正极,B端接电源的负极,所以两只二极管都截止,相当于断开,等效电路如图,正确答案是18Ω。
4.在图所示电路中,uI =10sinωt V,E = 5V,二极管的正向压降可忽略不计,试分别画出输出电压uo的波形。
解: (a )图当u I <E 时,D 截止,u O =E=5V ; 当u I ≥E 时,D 导通,u O =u I u O 波形如图所示。
(b )图当u I <-E=-5V 时,D 1导通D 2截止,uo=E=5V ; 当-E <u I <E 时,D 1导通D 2截止,uo=E=5V ; 当u I ≥E=5V 时,uo=u I所以输出电压u o 的波形与(a )图波形相同。
第一章半导体器件 学院 班级 姓名 学号1. 杂质半导体有哪两种基本类型载流子分别是什么各载流子主要与哪些因素有关解:N 型和P 型杂质半导体。
N 型杂质半导体的多数载流子是自由电子,其数量主要取决于掺杂浓度,少数载流子是空穴,其数量主要取决于环境温度;P 型杂质半导体的多数载流子是空穴,其数量主要取决于掺杂浓度,少数载流子是自由电子,其数量主要取决于环境温度。
2.在图示各电路中,E =3V ,u i =6sin ωt V ,二极管为理想二极管,试画出各电路输出电压u 0的波形。
)(a ) (b )图(a ):在0~ωt 1期间,D 阳极电位低于阴极,D 截止,所以u o =E ;在ωt 1~ωt 2期间,D 阳极电位高于阴极电位,D 导通,u o = u i ;图(b ):在0~ωt 1期间,D 阳极电位高于于阴极,D 导通,此时u o = E ;在ωt 1~ωt 2期间,D 阴极电位高于阳极,D 截止,此时u o =u i 。
由此分析可见,两电路的输出波形相同。
3.电路如图所示,已知输入10sin i u t V ω=,二极管均为理想二极管。
试求输出电压0u ,并画出其波形。
解:在0~ωt 1:-5<u i <3,D1、D2截止,u o = u i ;在ωt 1~ωt 2: u i >3,D1导通、D2截止,u o =3V ;。
在ωt 2~ωt 3:-5<u i <3,D1、D2截止,u o = u i ;在ωt 3~ωt 4: u i <-5,D1截止、D2导通,u o = -5V ;4.两个三极管在电路中处于放大状态,测得三个管脚的直流电位分别如图 (a)、(b)所示,试判别三个管脚的名称、三极管是硅管还是锗管,是NPN 型还是PNP 型管。
解:在放大状态下:NPN 管:V C >V B >V E ;PNP 锗管:V C <V B <V E 。
硅管:V B -V E =~;锗管:V E -V B =~。
电子电路基础习题册参考答案(第三版)全国中等职业技术第一章常用半导体器件§1-1 晶体二极管一、填空题1、物质按导电能力的强弱可分为导体、绝缘体和半导体三大类,最常用的半导体材料是硅和锗。
2、根据在纯净的半导体中掺入的杂质元素不同,可形成N 型半导体和P 型半导体。
3、纯净半导体又称本征半导体,其内部空穴和自由电子数相等。
N型半导体又称电子型半导体,其内部少数载流子是空穴;P型半导体又称空穴型半导体,其内部少数载流子是电子。
4、晶体二极管具有单向导电性,即加正向电压时,二极管导通,加反向电压时,二极管截止。
一般硅二极管的开启电压约为0.5 V,锗二极管的开启电压约为0.1 V;二极管导通后,一般硅二极管的正向压降约为0.7 V,锗二极管的正向压降约为0.3 V。
5.锗二极管开启电压小,通常用于检波电路,硅二极管反向电流小,在整流电路及电工设备中常使用硅二极管。
6.稳压二极管工作于反向击穿区,稳压二极管的动态电阻越小,其稳压性能好。
7在稳压电路中,必须串接限流电阻,防止反向击穿电流超过极限值而发生热击穿损坏稳压管。
8二极管按制造工艺不同,分为点接触型、面接触型和平面型。
9、二极管按用途不同可分为普通二极管、整流二极管、稳压二极管、开关、热敏、发光和光电二极管等二极管。
10、二极管的主要参数有最大整流电流、最高反向工作电压、反向饱和电流和最高工作频率。
11、稳压二极管的主要参数有稳定电压、稳定电流和动态电阻。
12、图1-1-1所示电路中,二极管V1、V2均为硅管,当开关S与M相接时,A点的电位为无法确定V,当开关S与N相接时,A点的电位为0 V.13图1-1-2所示电路中,二极管均为理想二极管,当开关S打开时,A点的电位为10V 、流过电阻的电流是4mA ;当开关S闭合时,A点的电位为0 V,流过电阻的电流为2mA 。
14、图1-1-3所示电路中,二极管是理想器件,则流过二极管V1的电流为0.25mA ,流过V2的电流为0.25mA ,输出电压U0为+5V。
第一章半导体的基础知识一、填空题1、物质按导电能力的强弱可分为、和三大类。
2、电子技术的核心是半导体,它的三个特性是:、、3、半导体中存在着两种载流子,其中带正电的载流子叫做,带负电的载流子叫做;N型半导体中多数载流子是,P型半导体中的多数载流子是。
4、PN结具有性能,即:加电压时PN结导通,加电压时PN结截止。
5、二极管的主要特性是具有。
二极管外加正向电压超过死区电压以后,正向电流会,这时二极管处于状态。
6、晶体二极管的伏安特性可简单理解为正向,反向的特性。
导通后,硅管的管压降约为,锗管约为。
7、整流电路将交流电变为直流电,滤波电路将直流电变为的直流电。
8、整流电路按整流相数,可分为与两种;按被整流后输出电压(或电流)的波形分,又可分为与两种。
9、把脉动直流电变成比较平滑直流电的过程称为。
10、电容滤波电路中的电容具有对交流电的阻抗,对直流电的阻抗的特性,整流后的脉动直流电中的交流分量由电容,只剩下直流分量加到负载的两端。
二、选择题1、稳压管()A、是二极管B、不是二极管C、是特殊二极管2、稳压管电路如图1—1所示,稳压管的稳压值为()A、6.3VB、0.7VC、7VD、14V3、稳压管稳压电路如图1—2所示,其中U Z1=7V、U Z2=3V,该电路输出电压为()A、0.7VB、1.4VC、3VD、7V4、NPN型和PNP型晶体管的区别是()A、由两种不同材料硅和锗制成的B、掺入杂质元素不同C、P区和N区的位置不同5、三极管的I CEO大,说明其()A、工作电流大B、击穿电压高C、寿命长D、热稳定性差6、用直流电压表测得放大电路中某晶体管电极1、2、3的电位各为V1=2V,V2=6V,V3=2.7V,m则()A、1为e 2为b 3为cB、1为e 2为c 3为bC、1为b 2为e 3为cD、1为b 2为c 3为e7、晶体管共发射极输出特性常用一族曲线表示,其中每一条曲线对应一个特定的()A 、i cB 、U CEC 、I bD 、i E8、P 型半导体中空穴多于自由电子,则P 型半导体呈现的电性为( )。
第一章 半导体器件1.1 电路如图P1.1所示,设二极管为理想的,试判断下列情况下,电路中的二极管是导通还是截止,并求出AO 两端的电压AO U 。
(1)V V DD 61=,V V DD 122=;(2)V V DD 61=、V V DD 122-=;(3)V V DD 61-=、V V DD 122-=。
解:1、当V V DD 61=、V V DD 122=时,假设二极管是截止的,则V V B 6=、V V A 12=二极管承受反偏电压,所以二极管截止假设成立。
V V U DD AO 122==。
2、当V V DD 61=、V V DD 122-=时,假设二极管是截止的则V V B 6=、V V A 12-=二极管承受正偏电压,所以二极管截止假设不成立,二极管导通。
V V U DD AO 61==。
3、当V V DD 61-=、V V DD 122-=时,假设二极管是截止的,则V V B 6-=、V V A 12-= 二极管承受正偏电压,所以二极管截止假设不成立,二极管导通。
V V U U DD BO AO 61-===。
1.2 二极管电路如图P1.2所示,二极管的导通电压VU D 7.0)on (=,试分别求出Ω=k R 1、Ω=k R 4时,电路中的电流O I I I 、、21和输出电压O U 。
解:1、当Ω=k R 1时,假设二极管是截止的,则mA I I O 5.41192=+=-= V R I U V L O O B 5.415.4-=⨯-===V V A 3-= (V V V B A 5.1=-)由上分析可知,二极管承受正偏电压导通(假设不成立)故可得其等效电路如图P1.2b 所示:根据KCL 、 KVL :⎪⎩⎪⎨⎧+-=-+=+=RI R I R I I I I LO O222197.039 解之:mA I mAI mA I 3.56.17.3210==-=V R I U L O O 7.317.3-=⨯-==2、当Ω=k R 4时,假设二极管是截止的,则mA I I O 8.11492=+=-=VR I U V L O O B 8.118.1-=⨯-===V V A 3-= V U U B A 2.1-=-由上分析可知,二极管承受反偏电压截止(假设成立)01=I mA I I 8.102=-=V R I U L O O 8.118.1-=⨯-==3.3 设二极管为理想的,试判断P1.3所示电路中各二极管是导通还是截止,并求出AO两端的电压AO U解:(a )假设21V V 、均截止,则V V A 10=、V V B 6-=、V V O 0=, 21V V 、均承受正偏电压,但2V 管的正向偏值电压更大,故它首先导通。
第1章半导体中的电子状态补充题1、室温下自由电子的热速度大约是105m/s ,试求其德布洛意波长。
解:该自由电子的动量为3152609.1110109.1110kg.m/s P m v --==⨯⨯=⨯按德布洛意关系,可知其德布洛意波长349261 6.625107.2710m 7.27nm 9.1110h k P λ---⨯====⨯=⨯ 补充题2、参照元素周期表的格式列出可直接构成或作为化合物组元构成半导体的各主要元素,并按共价键由强到弱的顺序写出两种元素半导体和八种化合物半导体,并熟记例如:金刚石、硅、碳化硅、GaAs 、GaN 、ZnS 、CdS 、Cu 2O1.设晶格常数为a 的一维晶格,导带极小值附近能量E C (k )和价带极大值附近能量E V (k )分别为22222222110000()3()()36c v h k k h k h k h k E k E k m m m m -=+=-和 , m 0为电子惯性质量,k 1 =(2a)-1,a = 0.314 nm 。
试求:①禁带宽度;②导带底电子有效质量; ③价带顶电子有效质量;④价带顶电子跃迁到导带底时准动量的变化。
解:⑴求禁带宽度即求导带极小值与价带极大值之差。
由0)(23201202=-+=m k k h m k h dk dE C 知导带在ak k C 83431==处有其唯一的极小值22222min 200013()328()()3816c h h h a a E m am m a -=+= 同理,由0602=-=m kh dk dE V 知价带在k V =0处有其唯一的极大值2022102max 246)(am h k m h E V == 于是知禁带宽度202202202max min 482416)()(am h a m h a m h E E E V C g =-=-= 代入数据h =6.625⨯10-34J ⋅s ,m 0=9.1⨯10-31kg ,a =0.314nm=3.14⨯10-10m ,并利用单位换算1J =0.625⨯1018eV ,最后得eV 64.0=g E⑵按电子有效质量的定义,欲求导带底电子的有效质量须首先求出导带极小值附近E (k )函数二阶导数的值。
习题1-1 (1)什么是P 型半导体?什么是N 型半导体?(2)什么是PN 结?其主要特性是什么?(3)如何使用万用表欧姆档判别二极管的好坏与极性?(4)为什么二极管的反向电流与外加反向电压基本无关,而当环境温度升高时会明显增大? (5)把一节1.5V 的电池直接到二极管的两端,会发生什么情况?判别二极管的工作状态 解:(1) 在本征半导体内掺入受主杂质,得到P 型半导体;在本征半导体内掺入施主杂质,得到N 型半导体。
(2) 将P 型半导体与N 型半导体制作在同一块半导体(通常是硅或锗)基片上,在它们的交界面就形成空间电荷区称PN 结。
PN 结具有单向导电性。
(3) 用欧姆档,测两次电阻(正反测),看电阻有无很大的出入,若有则说明是好的。
当测得电阻很大的时候,对应的红表笔对应的是阴极。
(4) 由于二极管的反向电流是由少子漂移产生的,浓度很低,反向电流很容易达到饱和,不随外加电压变化,或说变化很小。
当温度升高时,本征激发增加,少子赠短,反向饱和电流增大。
(5) 不能,普通二极管是不能的,一般导通电压为0.7V ,加到1.5V 说明二极管导通了,此时二极管相当于导线,二极管将由于电流过大烧坏,但是二极管有很多分类,有的发光二极管却可以这样接。
1-2 二极管电路如题1-2图所示,D 1、D 2为理想二极管,判断图中的二极管是导通还是截止,并求AO 两端的电压U AO 。
题1-2图解:(a )假设D 1截止电位V U D 6-=+,V U D 12-=-(由于假设D 1截止,电阻电流=0),V U U U D D D 6=-=-+,则假设不成立,D 1导通,因此V U AO 6-=。
(b)假设D 1截止电位V U D 15-=+,V U D 12-=-(由于假设D 1截止,电阻电流=0),(a)3K 6VD 112VAO(c)O12V D 2D 13K Ω6VA(c)3K 15VD 112VAO(d)O12VD 2D 13K Ω6VA。
第1章半导体器件习题及答案第1章半导体器件一、是非题 (注:请在每小题后[ ]内用"√"表示对,用"×"表示错)1、P型半导体可通过在本半导体中掺入五价磷元素而获得。
()2、N型半导体可以通过在本征半导体中掺入三价元素而得到。
()3、在N型半导体中,掺入高浓度的三价杂质可以发型为P型半导体。
()4、P型半导体带正电,N型半导体带负电。
()5、N型半导体的多数载流子是电子,所以它带负电。
()6、半导体中的价电子易于脱离原子核的束缚而在晶格中运动。
()7、半导体中的空穴的移动是借助于邻近价电子与空穴复合而移动的。
()8、施主杂质成为离子后是正离子。
()9、受主杂质成为离子后是负离子。
()10、PN结中的扩散电流是载流子在电场作用下形成的。
()11、漂移电流是少数载流子在内电场作用下形成的。
()12、由于PN结交界面两边存在电位差,所以,当把PN结两端短路时就有电流流过。
()13、PN结在无光照、无外加电压时,结电流为零。
()14、二极管的伏安特性方程式除了可以描述正向特性和反向特性外,还可以描述二极管的反向击穿特性。
()15、通常的BJT管在集电极和发射极互换使用时,仍有较大的电流放大作用。
()16、有人测得某晶体管的U BE=0.7V,I B=20μA,因此推算出r be=U BE/I B=0.7V/20μA=35kΩ。
()仅供学习与交流,如有侵权请联系网站删除谢谢1仅供学习与交流,如有侵权请联系网站删除 谢谢217、有人测得晶体管在U BE =0.6V ,I B =5μA ,因此认为在此工作点上的r be 大约为26mV/I B =5.2kΩ。
( )18、有人测得当U BE =0.6V ,I B =10μA 。
考虑到当U BE =0V 时I B =0因此推算得到0.6060()100BE be B U r k I ∆-===Ω∆-( ) 二、选择题(注:在每小题的备选答案中选择适合的答案编号填入该题空白处,多选或不选按选错论) . 1、在绝对零度(0K )时,本征半导体中_________ 载流子。
A. 有B. 没有C. 少数D. 多数2、在热激发条件下,少数价电子获得足够激发能,进入导带,产生_________。
A. 负离子B. 空穴C. 正离子D. 电子-空穴对3、半导体中的载流子为_________。
A.电子 B.空穴 C.正离子 D.电子和空穴4、N 型半导体中的多子是_________。
A.电子 B.空穴 C.正离子 D.负离子5、P 型半导体中的多子是_________。
A.电子 B.空穴 C.正离子 D.负离子6、在杂质半导体中,多数载流子的浓度主要取决于 ,而少数载流子的浓度则与 有很大关系。
A. 温度 B. 掺杂工艺 C. 杂质浓度 C. 晶体缺陷7、当PN 结外加正向电压时,扩散电流 漂移电流,耗尽层 。
当PN 结外加反向电压时,扩散电流 漂移电流,耗尽层 。
A.大于B.小于C.等于D.变宽E.变窄F.不变8、二极管正向电压从0.7V 增大15%时,流过的电流增大_______。
(A 1.15% B 1.大于仅供学习与交流,如有侵权请联系网站删除 谢谢315% C 1.小于15%)当流过二极管的电流一定,而温度升高时,二极管的正向电压______。
(A 2.增大B 2.减小;C 2.基本不变)9、温度升高时,二极管的反向伏安特性曲线________。
(A 1.上移 B 1.下移C 1.不变)说明此时反向电流________。
(A 2.减小 B 2.增大 C 2.不变).10、在下图1.10所示电路中,当电源V=5V 时,测得I=1mA 。
若把电源电压调整到V=10V ,则电流的大小将是[ ] I=2mA B.I<2mA C.I>2mAD.不能确定图1.10 图1.11 图1.1311、图1.11所示电路中电源V=5V 不变。
当温度为20O C 时测得二极管的电压U D =0.7V 。
当温度上生到为40O C 时,则U D 的大小将是[ ]A.仍等于0.7VB.大于0.7VC. 小于0.7VD.不能确定12、设图1.11电路中保持V=5V 不变,当温度为20℃时测得二极管的电流I=2mA 。
当温度上升到40℃时,则I 的大小将是 。
A. I =2mA B. I <2mA C. I >2mA13、图1.13中,二极管的正向压降可以忽略,反向饱和电流0.1 mA, 反向击穿电压为5V,击穿后电压基本不随电流而变化,这时电路中的电流I 等于 [ ]仅供学习与交流,如有侵权请联系网站删除谢谢4 A. 0.1 mA B. 2.5 mA C. 5mA D. 15 mA14、二极管的主要特性是 [ ]A.放大特性B.恒温特性C.单向导电特性D.恒流特性15、在下图1.15所示电路中,D 1~D 3为理想二极管,A 、B 、C 白炽灯泡功率都相同,其中最亮的灯是_________。
A. b B. c C. a16、二极管电路如下图1.16所示, 判断图中二极管是导通还是截止后,可确定电路的输出电压V o 为______。
(设二极管的导通压降0) A.5.6V B.-4.3V C.-5VD.6V图1.15 图1.16 图1.17 图1.1817、二极管电路如上图1.17所示,判断图中二极管是导通还是截止后,可确定电路的输出电压V o 为______(设二极管的导通压降为0.7V) A.0V B.-0.7V C.-1.7VD.1V18、二极管电路如上图1.18所示,判断图中二极管是导通还是截止后,可确定电路的输出电仅供学习与交流,如有侵权请联系网站删除谢谢5 压V o 为______。
(设二极管的导通压降为0.7V) A.-8.3V B.8V C.9VD.-9.3V19、电路如下图1.19所示。
试估算A 点的电位为_________。
(设二极管的正向压降为0.7V 。
)A. 6.7VB. 6VC. 5.7VD. 6.7V20、已知如下图1.20所示电路中V A =0V ,V B =5V ,分析二极管的工作状态后,可确定V o的值为_____。
(设二极管的正向压降为0.7V 。
) A.5V B.-4V C.4.3VD.0.7V图1.19 图1.20 图1.21 (a) 图1.21 (b)21、设硅稳压管D Z1和D Z2的稳定电压分别为5V 和8V ,正向压降均为0.7V ,可求出图1.21(a)中电路的输出电压V o 为_______;可求出图1.21(b)中电路的输出电压V o 为_______;可求出图1.21(c)中输出电压V o 为_______;可求出图1.21(d)中输出电压V o 为_______。
A.0.7VB.1.4VC.5VD.7VE.8V G..13V H.17VF.11.6V仅供学习与交流,如有侵权请联系网站删除谢谢6图1.21(c) 图1.21(d) 图1.22(a) 图1.22(b)22、已知D Z1、D Z2的稳压值分别为6V和7V,且具有理想的稳压特性,可求得图1.22(a)路中,输出电压为_________;可求得图1.22(b)中输出电压为_________。
A. 1VB. 5VC. 6VD. 13VE. 7V23、二极管的双向限幅电路如右图所示。
设v i为幅值大于直流电源V C1(=-V C2)值的正弦波,二极管为理想器件。
则可画出v o的波形为_________。
A. a)B. b)C. c)D. d)24、在同一测试电路中,分别测得A、B和C三个二极管电流如下表所示。
二极管的性能最好的是_________。
A. a)B. b)C. c管号加0.5V正向电压时的电流加反向电压时的电流a) 0.5mA 1μAb) 5mA 0.1μAc) 2mA 5μA25、一个硅二极管在正向电压U D=0.6V时,正向电流I D=10mA。
若U D增大到0.66V(即增加10%),则电流I D。
A.约为11mA(也增加10%); B.约为20mA(增大1倍);C.约为100mA(增大到原先的10倍);D.仍为10mA(基本不变)。
26、用万用表判别放大电路中处于正常工作的某个晶体管的类型(指NPN型还是PNP型)与三个电极时以测出最为方便。
A.中极间电阻B.各极对地电位C.各极电流27、温度升高时,晶体管的电流放大系数β,反向饱和电流I CBO,正向结电压U BE。
A.变大 B.变小 C.不变28、温度升高时,晶体管的共射输入特性曲线将,输出特性曲线将,而且输出特性曲线之间的间隔将。
A.上移B.下移C.左移D.右移E.增大F.减小G.不变29、双极型晶体三极管在放大状态工作时的外部条件是。
A 发射结正偏,集电结正偏B 发射结正偏,集电结反偏C 发射结反偏,集电结反偏D 发射结反偏,集电结正偏30、在晶体管放大电路中,测得晶体管的各个电极的电位如下1.30图所示,该晶体管的类型是。
A.NPN型硅管 B.PNP型硅管 C.NPN型锗管D.PNP型锗管仅供学习与交流,如有侵权请联系网站删除谢谢731、某三极管各个电极的对地电位如图1.37所示,可判断其工作状态是。
A.饱和B.放大C.截止D.已损坏2V 6V1.3V图1.30 图1.3132、三极管的穿透电流I CEO是集-基反向饱和电流的倍. A.a B.1+β C.β33、三极管工作在饱和区时,b-e极间为,b-c极间为;工作在放大区时,b-e极间为,b-c极间为。
A. 扩散电流 B. 漂移电流34、某三极管的极限参数P CM=150mW,I CM=100mA,V(BR)CEO=30V。
若它的工作电压V CE=10V,则工作电流I C不得超过 mA(A.100ma B. 15mA C. 1mA);若工作电压V CE=1V,则工作电流不得超过 mA(A.100mA B. 15mA C. 1mA);若工作电流I C=1mA,则工作电压不得超过 V(A. 30V B. 10V C. 1V)。
三、计算题1.写出图3.1所示各电路的输出电压值,设二极管导通电压U D=0.7V。
仅供学习与交流,如有侵权请联系网站删除谢谢8仅供学习与交流,如有侵权请联系网站删除谢谢9 图3.12.已知稳压管的稳压值U Z=6V,稳定电流的最小值I Zmin=5mA。
求图3.2所示电路中U O1和U O2各为多少伏。
图3.23 电路如图3.3所示,已知u i=10sinωt (v),试画出u i与u O的波形。
设二极管正向导通电压可忽略不计。
图3.34 电路如图3.4所示,已知u i=5sinωt (V),二极管导通电压U D=0.7V。