化工热力学第二章习题答案剖析
- 格式:doc
- 大小:1022.00 KB
- 文档页数:25
- 1 - / 1052习题第1章 绪言一、是否题1. 孤立体系的热力学能和熵都是一定值。
(错。
和,如一体积等于2V 的绝热刚性容器,被一理想的隔板一分为二,左侧状态是T ,P 的理想气体,右侧是T 温度的真空。
当隔板抽去后,由于Q =W =0,,,,故体系将在T ,2V ,0.5P 状态下达到平衡,,,)2. 封闭体系的体积为一常数。
(错)3. 封闭体系中有两个相。
在尚未达到平衡时,两个相都是均相敞开体系;达到平衡时,则两个相都等价于均相封闭体系。
(对)4. 理想气体的焓和热容仅是温度的函数。
(对)5. 理想气体的熵和吉氏函数仅是温度的函数。
(错。
还与压力或摩尔体积有关。
)6. 要确定物质在单相区的状态需要指定两个强度性质,但是状态方程 P=P (T ,V )的自变量中只有一个强度性质,所以,这与相律有矛盾。
(错。
V 也是强度性质)7. 封闭体系的1mol 气体进行了某一过程,其体积总是变化着的,但是初态和终态的体积相等,初态和终态的温度分别为T 1和T 2,则该过程的;同样,对于初、终态压力相等的过程有。
(对。
状态函数的变化仅决定于初、终态与途径无关。
)8. 描述封闭体系中理想气体绝热可逆途径的方程是(其中),而一位学生认为这是状态函数间的关系,与途径无关,所以不需要可逆的条件。
(错。
) 9. 自变量与独立变量是一致的,从属变量与函数是一致的。
(错。
有时可能不一致)10. 自变量与独立变量是不可能相同的。
(错。
有时可以一致)三、填空题1. 状态函数的特点是:状态函数的变化与途径无关,仅决定于初、终态 。
2. 单相区的纯物质和定组成混合物的自由度数目分别是 2 和 2 。
3. 封闭体系中,温度是T 的1mol 理想气体从(P ,V )等温可逆地膨胀到(P ,V ),则所做的功为i i f f(以V 表示)或 (以P 表示)。
4. 封闭体系中的1mol 理想气体(已知),按下列途径由T 1、P 1和V 1可逆地变化至P,则mol ,温度为 和水 。
第二章 流体压力、体积、浓度关系:状态方程式2-1 试分别用下述方法求出400℃、4.053MPa 下甲烷气体摩尔体积。
(1) 理想气体方程;(2) RK 方程;(3)PR 方程;(4) 维里截断式(2-7)。
其中B 用Pitzer 普遍化关联法计算。
[解] (1) 根据理想气体状态方程,可求出甲烷气体在理想情况下摩尔体积id V 为33168.314(400273.15) 1.381104.05310id RT V m mol p --⨯+===⨯⋅⨯ (2) 用RK 方程求摩尔体积将RK 方程稍加变形,可写为0.5()()RT a V b V b p T pV V b -=+-+(E1)其中从附表1查得甲烷临界温度和压力分别为c T =190.6K, c p =4.60MPa ,将它们代入a, b 表达式得2 2.56-20.560.427488.314190.6 3.2217m Pa mol K 4.6010a ⨯⨯==⋅⋅⋅⨯ 53160.086648.314190.6 2.9846104.6010b m mol --⨯⨯==⨯⋅⨯ 以理想气体状态方程求得id V 为初值,代入式(E1)中迭代求解,第一次迭代得到1V 值为5168.314673.15 2.9846104.05310V -⨯=+⨯⨯350.563353.2217(1.38110 2.984610)673.15 4.05310 1.38110(1.38110 2.984610)-----⨯⨯-⨯-⨯⨯⨯⨯⨯⨯+⨯ 3553311.381102.984610 2.1246101.389610m mol -----=⨯+⨯-⨯=⨯⋅ 第二次迭代得2V 为353520.563353553313.2217(1.389610 2.984610)1.381102.984610673.154.05310 1.389610(1.389610 2.984610)1.381102.984610 2.1120101.389710V m mol ------------⨯⨯-⨯=⨯+⨯-⨯⨯⨯⨯⨯⨯+⨯=⨯+⨯-⨯=⨯⋅1V 和2V 已经相差很小,可终止迭代。
第二章 均相反应动力学习题1. 【动力学方程形式】有一气相反应,经实验测定在400℃下的速率方程式为:23.66A A dP P dt= 若转化为2(/.)A kC A r mol hl =形式,求相应的速率常数值及其单位。
2. [恒温恒容变压定级数]在恒容等温下,用等摩尔H 2和NO 进行实验,测得如下数据: 总压(MPa )0.0272 0.0326 0.038 0.0435 0.0543 半衰期(s ) 256 186 135 104 67 求此反应级数3.[二级反应恒容定时间]4.醋酸和乙醇的反应为二级反应,在间歇反应反应器中,5min 转化率可达50%,问转化率为75%时需增加多少时间?4、【二级恒容非等摩尔加料】溴代异丁烷与乙醇钠在乙醇溶液中发生如下反应: i-C 4H 9Br+C 2H 5Na →Na Br+i-C 4H 9 OC 2H 5(A)(B) (C) (D)溴代异丁烷的初始浓度为C A0=0.050mol/l 乙醇钠的初始浓度为C B0=0.0762mol/l,在368.15K 测得不同时间的乙醇钠的浓度为:t(min) 0 5 10 20 30 50 C B (mol/l) 0.0762 0.0703 0.0655 0.0580 0.0532 0.0451已知反应为二级,试求:(1)反应速率常数;(2)反应一小时后溶液中溴代异丁烷的浓度;(3)溴代异丁烷消耗一半所用的时间。
5. [恒温恒容变压定级数]二甲醚的气相分解反应CH 3OCH 3 → CH 4 +H 2 +CO 在恒温恒容下进行,在504℃获得如下数据:t (s ) 0 390 777 1195 3155 ∞Pt ×103(Pa ) 41.6 54.4 65.1 74.9 103.9 124.1试确定反应速率常数和反应级数6.[恒温恒压变容定常数]气体反应2A→B,经测定该反应为一级,压力保持不变,组分A为80%,惰性物为20%,三分钟后体积减小了20%,求反应速率常数。
2习题第1章 绪言一、是否题1. 孤立体系的热力学能和熵都是一定值。
(错。
和,如一体积等于2V 的绝热刚性容器,被一理想的隔板一分为二,左侧状态是T ,P 的理想气体,右侧是T 温度的真空。
当隔板抽去后,由于Q =W =0,,,,故体系将在T ,2V ,0.5P 状态下达到平衡,,,)2. 封闭体系的体积为一常数。
(错)3. 封闭体系中有两个相。
在尚未达到平衡时,两个相都是均相敞开体系;达到平衡时,则两个相都等价于均相封闭体系。
(对)4. 理想气体的焓和热容仅是温度的函数。
(对)5. 理想气体的熵和吉氏函数仅是温度的函数。
(错。
还与压力或摩尔体积有关。
)6. 要确定物质在单相区的状态需要指定两个强度性质,但是状态方程 P=P (T ,V )的自变量中只有一个强度性质,所以,这与相律有矛盾。
(错。
V 也是强度性质)7. 封闭体系的1mol 气体进行了某一过程,其体积总是变化着的,但是初态和终态的体积相等,初态和终态的温度分别为T 1和T 2,则该过程的;同样,对于初、终态压力相等的过程有。
(对。
状态函数的变化仅决定于初、终态与途径无关。
)8. 描述封闭体系中理想气体绝热可逆途径的方程是(其中),而一位学生认为这是状态函数间的关系,与途径无关,所以不需要可逆的条件。
(错。
) 9. 自变量与独立变量是一致的,从属变量与函数是一致的。
(错。
有时可能不一致)10. 自变量与独立变量是不可能相同的。
(错。
有时可以一致)三、填空题1. 状态函数的特点是:状态函数的变化与途径无关,仅决定于初、终态 。
2. 单相区的纯物质和定组成混合物的自由度数目分别是 2 和 2 。
3. 封闭体系中,温度是T 的1mol 理想气体从(P ,V )等温可逆地膨胀到(P ,V ),则所做的功为i i f f(以V 表示)或 (以P 表示)。
4. 封闭体系中的1mol 理想气体(已知),按下列途径由T 1、P 1和V 1可逆地变化至P,则mol ,温度为 和水 。
.第二章流体的压力、体积、浓度关系:状态方程式2-1 试分别用下述方法求出400 ℃、 4.053MPa 下甲烷气体的摩尔体积。
( 1 )理想气体方程;( 2 ) RK 方程;( 3)PR 方程;( 4 )维里截断式( 2-7)。
其中 B 用 Pitzer 的普遍化关联法计算。
[解 ] ( 1 )根据理想气体状态方程,可求出甲烷气体在理想情况下的摩尔体积V id为V id RT8.314(400273.15) 1.381 103m3mol 1p 4.053106(2)用 RK 方程求摩尔体积将RK 方程稍加变形,可写为V RT a(V b)b(E1)p T 0.5 pV (V b)其中0.42748R2T c2.5ap c0.08664 RT cbp c从附表 1 查得甲烷的临界温度和压力分别为T c=190.6K,p c=4.60MPa,将它们代入a, b 表达式得a0.42748 8.3142 190.62.5 3.2217m 6 Pa mol -2 K 0.54.60106b0.086648.314190.6 2.9846 10 5 m3 mol 14.60106以理想气体状态方程求得的V id为初值,代入式( E1)中迭代求解,第一次迭代得到V1值为V18.314673.15 2.984610 54.053106.3.2217 (1.381 100.56673.15 4.053 10 1.381 103 2.9846 10 5 )3(1.381 10 3 2.984610 5 )1.38110 32.984610 5 2.124610 51.3896331 10m mol第二次迭代得 V2为V2 1.381103 2.98461053.2217(1.389610 3 2.984610 5)673.15 0.5 4.05310 61.389610 3(1.389610 3 2.984610 5)1.38110 32.984610 5 2.112010 51.389710 3 m3 mol1V1和 V2已经相差很小,可终止迭代。
【精品】化工热力学第二章习题解答化工热力学第二章习题解答1.一个理想气体在恒定温度下,其压强与体积的关系如下所示:P = A / V^2其中P是压强,V是体积,A是常数。
求该气体的热力学过程方程。
解答:根据热力学第一定律,对于恒温过程,有dU = dq + dw = dq - PdV,其中U是内能,q是热量,w是对外界做的功。
由于该气体是理想气体,可以假设其内能只与温度有关,即dU = Cdt,其中C 是常数,t是温度。
将上式代入热力学第一定律中,得到Cdt = dq - PdV。
根据理想气体状态方程PV = nRT,其中n为物质的量,R为气体常数,T为温度。
将P = A / V^2代入上式,得到Cdt = dq - (A / V^2)dV。
对上式两边同时积分,得到∫Cdt = ∫dq - ∫(A / V^2)dV。
即Ct = q - A / V + B,其中B为常数。
综上所述,该气体的热力学过程方程为Ct = q - A / V + B。
2.一个气体在等体过程中,其压强与温度的关系如下所示:P = A * T^2其中P是压强,T是温度,A是常数。
求该气体的热力学过程方程。
解答:根据热力学第一定律,对于等体过程,有dU = dq + dw = dq - PdV,其中U是内能,q是热量,w是对外界做的功。
由于该气体是理想气体,可以假设其内能只与温度有关,即dU = Cdt,其中C 是常数,t是温度。
将上式代入热力学第一定律中,得到Cdt = dq - PdV。
根据理想气体状态方程PV = nRT,其中n为物质的量,R为气体常数,T为温度。
将P = A * T^2代入上式,得到Cdt = dq - (A * T^2)dV。
对上式两边同时积分,得到∫Cdt = ∫dq - ∫(A * T^2)dV。
即Ct = q - (A / 3)T^3 + B,其中B为常数。
综上所述,该气体的热力学过程方程为Ct = q - (A / 3)T^3 + B。
第二章 流体的压力、体积、浓度关系:状态方程式2-1 试分别用下述方法求出400℃、4.053MPa 下甲烷气体的摩尔体积。
(1) 理想气体方程;(2) RK 方程;(3)PR 方程;(4) 维里截断式(2-7)。
其中B 用Pitzer 的普遍化关联法计算。
[解] (1) 根据理想气体状态方程,可求出甲烷气体在理想情况下的摩尔体积idV 为33168.314(400273.15)1.381104.05310id RT V m mol p --⨯+===⨯⋅⨯ (2) 用RK 方程求摩尔体积将RK 方程稍加变形,可写为0.5()()RT a V b V b p T pV V b -=+-+ (E1)其中2 2.50.427480.08664c c c cR T a p RT b p ==从附表1查得甲烷的临界温度和压力分别为c T =190.6K, c p =4.60MPa ,将它们代入a, b 表达式得2 2.56-20.560.427488.314190.6 3.2217m Pa mol K 4.6010a ⨯⨯==⋅⋅⋅⨯ 53160.086648.314190.6 2.9846104.6010b m mol --⨯⨯==⨯⋅⨯ 以理想气体状态方程求得的idV 为初值,代入式(E1)中迭代求解,第一次迭代得到1V 值为5168.314673.152.9846104.05310V -⨯=+⨯⨯ 350.563353.2217(1.38110 2.984610)673.15 4.05310 1.38110(1.38110 2.984610)-----⨯⨯-⨯-⨯⨯⨯⨯⨯⨯+⨯ 3553311.381102.984610 2.1246101.389610m mol -----=⨯+⨯-⨯=⨯⋅ 第二次迭代得2V 为353520.563353553313.2217(1.389610 2.984610)1.381102.984610673.154.05310 1.389610(1.389610 2.984610)1.381102.984610 2.1120101.389710V m mol ------------⨯⨯-⨯=⨯+⨯-⨯⨯⨯⨯⨯⨯+⨯=⨯+⨯-⨯=⨯⋅1V 和2V 已经相差很小,可终止迭代。
习题:2-1.为什么要研究流体的pVT 关系?答:在化工过程的分析、研究与设计中,流体的压力p 、体积V 和温度T 是流体最基本的性质之一,并且是可以通过实验直接测量的。
而许多其它的热力学性质如内能U 、熵S 、Gibbs 自由能G 等都不方便直接测量,它们需要利用流体的p –V –T 数据和热力学基本关系式进行推算;此外,还有一些概念如逸度等也通过p –V –T 数据和热力学基本关系式进行计算。
因此,流体的p –V –T 关系的研究是一项重要的基础工作。
2-2.理想气体的特征是什么?答:假定分子的大小如同几何点一样,分子间不存在相互作用力,由这样的分子组成的气体叫做理想气体。
严格地说,理想气体是不存在的,在极低的压力下,真实气体是非常接近理想气体的,可以当作理想气体处理,以便简化问题。
理想气体状态方程是最简单的状态方程:RT pV =2-3.偏心因子的概念是什么?为什么要提出这个概念?它可以直接测量吗?答:纯物质的偏心因子ω是根据物质的蒸气压来定义的。
实验发现,纯态流体对比饱和蒸气压的对数与对比温度的倒数呈近似直线关系,即符合:⎪⎪⎭⎫ ⎝⎛-=r sr Tp 11log α 其中,c s s r p p p =对于不同的流体,α具有不同的值。
但Pitzer 发现,简单流体(氩、氪、氙)的所有蒸气压数据落在了同一条直线上,而且该直线通过r T =0.7,1log -=sr p 这一点。
对于给定流体对比蒸气压曲线的位置,能够用在r T =0.7的流体与氩、氪、氙(简单球形分子)的sr p log 值之差来表征。
Pitzer 把这一差值定义为偏心因子ω,即)7.0(00.1log =--=r s r T p ω任何流体的ω值都不是直接测量的,均由该流体的临界温度c T 、临界压力c p 值及r T =0.7时的饱和蒸气压s p 来确定。
2-4.纯物质的饱和液体的摩尔体积随着温度升高而增大,饱和蒸气的摩尔体积随着温度的升高而减小吗?答:正确。
第二章 流体压力、体积、浓度关系:状态方程式2-1 试分别用下述方法求出400℃、4.053MPa 下甲烷气体摩尔体积。
(1) 理想气体方程;(2) RK 方程;(3)PR 方程;(4) 维里截断式(2-7)。
其中B 用Pitzer 普遍化关联法计算。
[解] (1) 根据理想气体状态方程,可求出甲烷气体在理想情况下摩尔体积id V 为33168.314(400273.15) 1.381104.05310id RT V m mol p --⨯+===⨯⋅⨯ (2) 用RK 方程求摩尔体积将RK 方程稍加变形,可写为0.5()()RT a V b V b p T pV V b -=+-+(E1)其中从附表1查得甲烷临界温度和压力分别为c T =190.6K, c p =4.60MPa ,将它们代入a, b 表达式得2 2.56-20.560.427488.314190.6 3.2217m Pa mol K 4.6010a ⨯⨯==⋅⋅⋅⨯ 53160.086648.314190.6 2.9846104.6010b m mol --⨯⨯==⨯⋅⨯ 以理想气体状态方程求得id V 为初值,代入式(E1)中迭代求解,第一次迭代得到1V 值为5168.314673.15 2.9846104.05310V -⨯=+⨯⨯350.563353.2217(1.38110 2.984610)673.15 4.05310 1.38110(1.38110 2.984610)-----⨯⨯-⨯-⨯⨯⨯⨯⨯⨯+⨯ 3553311.381102.984610 2.1246101.389610m mol -----=⨯+⨯-⨯=⨯⋅ 第二次迭代得2V 为353520.563353553313.2217(1.389610 2.984610)1.381102.984610673.154.05310 1.389610(1.389610 2.984610)1.381102.984610 2.1120101.389710V m mol ------------⨯⨯-⨯=⨯+⨯-⨯⨯⨯⨯⨯⨯+⨯=⨯+⨯-⨯=⨯⋅1V 和2V 已经相差很小,可终止迭代。
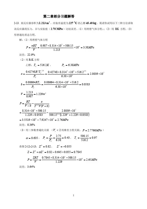
第二章习题解答2-13. 某反应器容积为31.213m ,内装有温度为0227C 的乙醇45.40kg 。
现请你试用以下三种方法求取该反应器的压力,并与实验值(2.75M Pa )比较误差。
(1)用理想气体方程;;(2)用RK 方程;(3)用普遍化状态方程。
解:(1)用理想气体方程 M P a Vn R T P 38.310213.115.50010314.8987.063=⨯⨯⨯⨯==误差:%9.22 (2)用R-K 方程乙醇:K T C 2.516=, M P a P C 38.6= 765.2625.22108039.21038.62.51610314.842748.042748.0⨯=⨯⨯⨯⨯==CCP T R a0583.01038.62.51610314.808664.008664.063=⨯⨯⨯⨯==CCP RT b3229.1987.0213.1m V ==/mol()()MPab V V Ta bV RT P 76.2109247.7105519.30583.0229.1229.115.500108039.20583.0229.115.50010314.85625.0735.0=⨯-⨯=⨯+⨯--⨯⨯=+--=误差:%36.0(3)用三参数普遍化关联 (2<r V 用普压法关联,MPa P 7766.2=) 设P=2.75MPa查图2-12~2-13:82.00=Z, 055.01-=Z7845.0055.0645.082.01=⨯-=+=Z Z Z ω误差:%64.32-16. 乙烷是重要的化工原料,也可以作为冷冻剂。
现装满290 K 、2.48 MPa 乙烷蒸气的钢瓶,不小心接近火源被加热至478 K ,而钢瓶的安全工作压力为4.5 MPa ,问钢瓶是否会发生爆炸? (用RK 方程计算)解:(1)先根据290 K 、2.48 MPa ,求摩尔体积v=7.729×10-4m3/mol 过程略。
化工热力学第二章作业解答2.1试用下述三种方法计算673K ,4.053MPa 下甲烷气体的摩尔体积,(1)用理想气体方程;(2)用R-K 方程;(3)用普遍化关系式解 (1)用理想气体方程(2-4) V =RT P =68.3146734.05310⨯⨯=1.381×10-3m 3·mol -1(2)用R-K 方程(2-6)从附录二查的甲烷的临界参数和偏心因子为 Tc =190.6K ,Pc =4.600Mpa ,ω=0.008 将Tc ,Pc 值代入式(2-7a )式(2-7b )2 2.50.42748c cR T a p ==2 2.560.42748(8.314)(190.6)4.610⨯⨯⨯=3.224Pa ·m 6·K 0.5·mol -20.0867c c RT b p ==60.08678.314190.64.610⨯⨯⨯=2.987×10-5 m 3·mol -1将有关的已知值代入式(2-6) 4.053×106=58.3146732.98710V -⨯-⨯-0.553.224(673)( 2.98710)V V -+⨯ 迭代解得V =1.390×10-3 m 3·mol -1(注:用式2-22和式2-25迭代得Z 然后用PV=ZRT 求V 也可) (3)用普遍化关系式6733.53190.6r T T Tc === 664.053100.8814.610r P P Pc ⨯===⨯ 因为该状态点落在图2-9曲线上方,故采用普遍化第二维里系数法。
由式(2-44a )、式(2-44b )求出B 0和B 1B 0=0.083-0.422/Tr 1.6=0.083-0.422/(3.53)1.6=0.0269B 1=0.139-0.172/Tr 4.2=0.139-0.172/(3.53)4.2=0.138 代入式(2-43)010.02690.0080.1380.0281BPcB B RTcω=+=+⨯= 由式(2-42)得Pr 0.881110.0281 1.0073.53BPc Z RTc Tr ⎛⎫⎛⎫=+=+⨯= ⎪⎪⎝⎭⎝⎭V =1.390×10-3m 3·mol -12.2试分别用(1)Van der Waals,(2)R-K ,(3)S-R-K 方程计算273.15K 时将CO 2压缩到比体积为550.1cm 3·mol -1所需要的压力。
第二章 流体的PVT 性质2-1使用下述三种方法计算1kmol 的甲烷储存在容积为0.1246m3、温度为50℃的容器中所产生的压力是多少? (1) 理想气体状态方程; (2) Redlich -Kwong 方程; (3) 普遍化关系式。
解:查附录表可知:KTc6.190=,MPap c6.4=,1399-⋅=molcmVc,008.0=ω(1)理想气体状态方程:MPaPa VnRT p 56.2110156.21246.015.323214.810173=⨯=⨯⨯⨯==(2)R -K 方程:15.0365.225.22225.3106.46.190314.84278.04278.0-⋅⋅⋅=⨯⨯⨯==molKm Pa p TcR a c135610987.2106.46.190314.80867.00867.0--⋅⨯=⨯⨯⨯==molm p RTc b c545.055.010)987.246.12(10246.115.323225.310)987.246.12(15.323314.8)(---⨯+⨯⨯⨯-⨯-⨯=+--=a V V TabV RT p M P a Pa 04.1910904.17=⨯=(3) 遍化关系式法226.1109.910246.154=⨯⨯==--VcV Vr 应该用铺片化压缩因子法Pr 未知,需采用迭代法。
ZZ Vp ZRT p c r 688.410246.1106.415.323314.846=⨯⨯⨯⨯==-令875.0=Z得:10.4=rp查表2-8(b )和2-7(b )得:24.01=Z ,87.00=Z872.024.0008.087.01=⨯+=+=ZZZ ωZ 值和假设值一致,故为计算真值。
MPaPa VZRT p 87.1810877.110246.115.323314.8875.074=⨯=⨯⨯⨯==-2-2 欲将25Kg 、298K 的乙烯装入0.1m 3的刚性容器中,试问需多大压力: 解:乙烯的摩尔数:mol n 857.8922825000==乙烯的摩尔体积:)(1012.1857.8921.0134--⋅⨯==molm V查表得:KTc4.282=,)(10129136--⋅⨯=mol m Vc,MPap c036.5=,085.0=ω28682.01029.11012.144 =⨯⨯=--r V 可见由普遍化压缩因子法计算0552.14.282298==TrZZ VZRT p r 7410212.21012.1298314.8⨯=⨯⨯⨯==- (A )有由rr c p p p p610036.5⨯==1ZZZ ω+= (B )设Z 值代入A 式求p ,由Pr 、Tr 查图得Z0和Z1,代入B 式迭代求解Z 结果为:45.1=r p ,33.0=ZM P a Z p 677103.733.010212.210212.2⨯=⨯⨯=⨯=2-3 分别用理想气体方程和Pitzer 普遍化方法,计算510K 、2。
第二章习题解答一、问答题:2-1为什么要研究流体的pVT 关系?【参考答案】:流体p-V-T 关系是化工热力学的基石,是化工过程开发和设计、安全操作和科学研究必不可少的基础数据。
(1)流体的PVT 关系可以直接用于设计。
(2)利用可测的热力学性质(T ,P ,V 等)计算不可测的热力学性质(H ,S ,G ,等)。
只要有了p-V-T 关系加上理想气体的id p C ,可以解决化工热力学的大多数问题。
2-2在p -V 图上指出超临界萃取技术所处的区域,以及该区域的特征;同时指出其它重要的点、线、面以及它们的特征。
【参考答案】:1)超临界流体区的特征是:T >T c 、p >p c 。
2)临界点C 的数学特征:3)饱和液相线是不同压力下产生第一个气泡的那个点的连线;4)饱和汽相线是不同压力下产生第一个液滴点(或露点)那个点的连线。
5)过冷液体区的特征:给定压力下液体的温度低于该压力下的泡点温度。
6)过热蒸气区的特征:给定压力下蒸气的温度高于该压力下的露点温度。
7)汽液共存区:在此区域温度压力保持不变,只有体积在变化。
2-3 要满足什么条件,气体才能液化?【参考答案】:气体只有在低于T c 条件下才能被液化。
2-4 不同气体在相同温度压力下,偏离理想气体的程度是否相同?你认为哪些是决定偏离理想气体程度的最本质因素?【参考答案】:不同。
真实气体偏离理想气体程度不仅与T 、p 有关,而且与每个气体的临界特性有关,即最本质的因素是对比温度、对比压力以及偏心因子r T ,r P 和ω。
2-5 偏心因子的概念是什么?为什么要提出这个概念?它可以直接测量吗?()()()()点在点在C V P C V PTT 0022==∂∂∂【参考答案】:偏心因子ω为两个分子间的相互作用力偏离分子中心之间的作用力的程度。
其物理意义为:一般流体与球形非极性简单流体(氩,氪、氙)在形状和极性方面的偏心度。
为了提高计算复杂分子压缩因子的准确度。
第二章 均相反应动力学习题1. 【动力学方程形式】有一气相反应,经实验测定在400℃下的速率方程式为:23.66A A dP P dt= 若转化为2(/.)A kC A r mol hl =形式,求相应的速率常数值及其单位。
2. [恒温恒容变压定级数]在恒容等温下,用等摩尔H 2和NO 进行实验,测得如下数据: 总压(MPa )0.0272 0.0326 0.038 0.0435 0.0543 半衰期(s ) 256 186 135 104 67 求此反应级数3.[二级反应恒容定时间]4.醋酸和乙醇的反应为二级反应,在间歇反应反应器中,5min 转化率可达50%,问转化率为75%时需增加多少时间?4、【二级恒容非等摩尔加料】溴代异丁烷与乙醇钠在乙醇溶液中发生如下反应: i-C 4H 9Br+C 2H 5Na →Na Br+i-C 4H 9 OC 2H 5(A)(B) (C) (D)溴代异丁烷的初始浓度为C A0=0.050mol/l 乙醇钠的初始浓度为C B0=0.0762mol/l,在368.15K 测得不同时间的乙醇钠的浓度为:t(min) 0 5 10 20 30 50 C B (mol/l) 0.0762 0.0703 0.0655 0.0580 0.0532 0.0451已知反应为二级,试求:(1)反应速率常数;(2)反应一小时后溶液中溴代异丁烷的浓度;(3)溴代异丁烷消耗一半所用的时间。
5. [恒温恒容变压定级数]二甲醚的气相分解反应CH 3OCH 3 → CH 4 +H 2 +CO 在恒温恒容下进行,在504℃获得如下数据:t (s ) 0 390 777 1195 3155 ∞Pt ×103(Pa ) 41.6 54.4 65.1 74.9 103.9 124.1试确定反应速率常数和反应级数6.[恒温恒压变容定常数]气体反应2A→B,经测定该反应为一级,压力保持不变,组分A为80%,惰性物为20%,三分钟后体积减小了20%,求反应速率常数。
1、 针对以下体系写出能量平衡方程式的简化形式:(这是修改后的正确答案)QU QW U U H U H Z g U QQU =∆+=∆=∆+∆=∆+∆=∆+∆=∆=∆)7()6(021)5(021)4(021)3(H )2()1(222 2、实验室有一瓶氢气为60atm ,0.100m 3,由于阀门的原因缓慢漏气。
试问到漏完时:(1)该气体作了多少功?吸收了多少热?(2)该气体在此条件下最大可以作多少功?吸收多少热量?(3)该气体焓的变化为多少?瓶中气体焓的变化为多少?已知室温为20℃,气体可以认为是理想气体。
解:(1)id.g ,T 恒定⇒0=∆U ;J V P P V P V P V P V P V V P dV P W sur V V sur 5112111222122110*5.978)()(21-=-=-=-=-=-=⎰ J W Q 510*978.5=-=(2)等温可逆过程做功最大J P P V P V V nRT PdV W V V 612111210*489.2ln ln 21==-=-=⎰ J W Q 610*489.2=-=(3)id.g, T 恒定⇒0=∆H ,故总气体的焓变为0。
设起初瓶中气体的焓为1H ,则终态总气体的焓仍1H ,终态气瓶中气体的焓为111212111601H H P P H V V H n n ===瓶⇒11126059)1(H H P P H =-=∆瓶 4. 一台透平机每小时消耗水蒸气4540kg 。
水蒸气在4.482MPa 、728K 下以61m/s 的速度进入机内,出口管道比进口管道低3m ,排气速度366m/s 。
透平机产生的轴功为703.2kW ,热损失为1.055×105kJ/h ,乏气中的一小部分经节流阀降压至大气压,节流阀前后的流速变化可以忽略不计。
试求经节流阀后水蒸气的温度及其过热度。
解:取透平机为体系,则能量方程为:s W Q u z g H +=∆+∆+∆2/2其中:Q = -4540/10055.15⨯= - 23.238 kJ·kg -1s W = =⨯-4540/36002.703- 557.604 kJ·kg -1=∆z g - 9.81⨯3 = - 0.0294 kJ·kg -1 2/2u ∆= (3662-612) / 2 = 65.118 kJ·kg -1则:2/2u z g W Q H s ∆-∆-+=∆= - 23.238 - 557.604 + 0.0294 - 65.118 = - 645.930 kJ/kg 采用内插法查表得4.482 MPa, 728 K 时的蒸汽焓为 3334.78 kJ·kg -1。
第二章 流体的压力、体积、浓度关系:状态方程式2-1 试分别用下述方法求出400℃、下甲烷气体的摩尔体积。
(1) 理想气体方程;(2) RK 方程;(3)PR 方程;(4) 维里截断式(2-7)。
其中B 用Pitzer 的普遍化关联法计算。
[解] (1) 根据理想气体状态方程,可求出甲烷气体在理想情况下的摩尔体积id V 为(2) 用RK 方程求摩尔体积将RK 方程稍加变形,可写为0.5()()RT a V b V b p T pV V b -=+-+(E1)其中从附表1查得甲烷的临界温度和压力分别为c T =, c p =,将它们代入a, b 表达式得以理想气体状态方程求得的id V 为初值,代入式(E1)中迭代求解,第一次迭代得到1V 值为 第二次迭代得2V 为353520.563353553313.2217(1.389610 2.984610)1.381102.984610673.154.05310 1.389610(1.389610 2.984610)1.381102.984610 2.1120101.389710V m mol ------------⨯⨯-⨯=⨯+⨯-⨯⨯⨯⨯⨯⨯+⨯=⨯+⨯-⨯=⨯⋅1V 和2V 已经相差很小,可终止迭代。
故用RK 方程求得的摩尔体积近似为(3)用PR 方程求摩尔体积将PR 方程稍加变形,可写为()()()RT a V b V b p pV V b pb V b -=+-++- (E2)式中 220.45724c c R T a p α=从附表1查得甲烷的ω=。
将c T 与ω代入上式 用c p 、c T 和α求a 和b ,以RK 方程求得的V 值代入式(E2),同时将a 和b 的值也代入该式的右边,藉此求式(E2)左边的V 值,得563563355353558.314673.152.68012104.053100.10864(1.39010 2.6801210)4.05310[1.39010(1.39010 2.6801210) 2.6801210(1.39010 2.6801210)]1.381102.6801210 1.8217101.3896V ------------⨯=+⨯-⨯⨯⨯-⨯⨯⨯⨯⨯⨯+⨯+⨯⨯⨯-⨯=⨯+⨯-⨯=33110m mol --⨯⋅ 再按上法迭代一次,V 值仍为3311.389610m mol --⨯⋅,故最后求得甲烷的摩尔体积近似为3311.39010m mol --⨯⋅。
习题:2-1.为什么要研究流体的pVT 关系?答:在化工过程的分析、研究与设计中,流体的压力p 、体积V 和温度T 是流体最基本的性质之一,并且是可以通过实验直接测量的。
而许多其它的热力学性质如内能U 、熵S 、Gibbs 自由能G 等都不方便直接测量,它们需要利用流体的p –V –T 数据和热力学基本关系式进行推算;此外,还有一些概念如逸度等也通过p –V –T 数据和热力学基本关系式进行计算。
因此,流体的p –V –T 关系的研究是一项重要的基础工作。
2-2.理想气体的特征是什么?答:假定分子的大小如同几何点一样,分子间不存在相互作用力,由这样的分子组成的气体叫做理想气体。
严格地说,理想气体是不存在的,在极低的压力下,真实气体是非常接近理想气体的,可以当作理想气体处理,以便简化问题。
理想气体状态方程是最简单的状态方程:RT pV =2-3.偏心因子的概念是什么?为什么要提出这个概念?它可以直接测量吗?答:纯物质的偏心因子ω是根据物质的蒸气压来定义的。
实验发现,纯态流体对比饱和蒸气压的对数与对比温度的倒数呈近似直线关系,即符合:⎪⎪⎭⎫ ⎝⎛-=r sr Tp 11log α 其中,cs s r p p p = 对于不同的流体,α具有不同的值。
但Pitzer 发现,简单流体(氩、氪、氙)的所有蒸气压数据落在了同一条直线上,而且该直线通过r T =0.7,1log -=sr p 这一点。
对于给定流体对比蒸气压曲线的位置,能够用在r T =0.7的流体与氩、氪、氙(简单球形分子)的sr p log 值之差来表征。
Pitzer 把这一差值定义为偏心因子ω,即)7.0(00.1log =--=r s r T p ω任何流体的ω值都不是直接测量的,均由该流体的临界温度c T 、临界压力c p 值及r T =0.7时的饱和蒸气压s p 来确定。
2-4.纯物质的饱和液体的摩尔体积随着温度升高而增大,饱和蒸气的摩尔体积随着温度的升高而减小吗?答:正确。
由纯物质的p –V 图上的饱和蒸气和饱和液体曲线可知。
2-5.同一温度下,纯物质的饱和液体与饱和蒸气的热力学性质均不同吗?答:同一温度下,纯物质的饱和液体与饱和蒸气的Gibbs 自由能是相同的,这是纯物质气液平衡准则。
气他的热力学性质均不同。
2-6.常用的三参数的对应状态原理有哪几种?答:常用的三参数对比态原理有两种,一种是以临界压缩因子Zc 为第三参数;另外一种是以Pitzer 提出的以偏心因子ω作为第三参数的对应状态原理。
2-7.总结纯气体和纯液体pVT 计算的异同。
答:许多p –V -T 关系如RKS 方程、PR 方程及BWR 方程既可以用于计算气体的p –V –T ,又都可以用到液相区,由这些方程解出的最小体积根即为液体的摩尔体积。
当然,还有许多状态方程只能较好地说明气体的p –V -T 关系,不适用于液体,当应用到液相区时会产生较大的误差。
与气体相比,液体的摩尔体积容易测定。
除临界区外,温度(特别是压力)对液体容积性质的影响不大。
除状态方程外,工程上还常常选用经验关系式和普遍化关系式等方法来估算。
2-8.简述对应状态原理。
答:对比态原理认为,在相同的对比状态下,所有的物质表现出相同的性质。
对比态原理是从适用于p –V -T 关系两参数对比态原理开始的,后来又发展了适用于许多热力学性质和传递性质的三参数和更多参数的对比态原理。
2-9.如何理解混合规则?为什么要提出这个概念?有哪些类型的混合规则?答:对于真实流体,由于组分的非理想性及由于混合引起的非理想性,使得理想的分压定律和分体积定律无法准确地描述流体混合物的p –V -T 关系。
如何将适用于纯物质的状态方程扩展到真实流体混合物是化工热力学中的一个热点问题。
目前广泛采用的方法是将状态方程中的常数项,表示成组成x 以及纯物质参数项的函数,这种函数关系称作为混合规则。
对于不同的状态方程,有不同的混合规则。
寻找适当的混合规则,计算状态方程中的常数项,使其能准确地描述真实流体混合物的p –V -T 关系,常常是计算混合热力学性质的关键。
常用的混合规则包括适用于压缩因子图的虚拟临界性质的混合规则、维里系数的混合规则以及适用于立方型状态方程的混合规则。
2-10.在一个刚性的容器中,装入了1mol 的某一纯物质,容器的体积正好等于该物质的摩尔临界体积V c 。
如果使其加热,并沿着习题图2-1的p –T 图中的1→C →2的途径变化(C 是临界点)。
请将该变化过程表示在p –V 图上,并描述在加热过程中各点的状态和现象。
解:由于加热过程是等容过程,1→C →2是一条C V V =的等容线,所以在p –V 图可以表示为如图的形式。
点1表示容器中所装的是该物质的汽液混合物(由饱和蒸汽和饱和液体组成)。
沿1-2线,是表示等容加热过程。
随着过程的进行,容器中的饱和液体体积与饱和蒸汽体积的相对比例有所变化,但由图可知变化不是很大。
到了临界点C 点时,汽液相界面逐渐消失。
继续加热,容器中一直是均相的超临界流体。
在整个过程中,容器内的压力是不断增加的。
2-11.已知SO 2在431K 下,第二、第三Virial 系数分别为:13kmol m 159.0-⋅-=B ,263kmol m 100.9--⋅⨯=C ,试计算:(1) SO 2在431K 、10×105Pa 下的摩尔体积;(2) 在封闭系统内,将1kmolSO 2由10×105Pa 恒温(431K )可逆压缩到75×105Pa时所作的功。
解:(1)三项维里方程为:21VCV B RT pV Z ++==(A ) 将p =10×105Pa ,T =431K ,13kmol m 159.0-⋅-=B ,263kmol m 100.9--⋅⨯=C 代入式(A )并整理得:0109159.0279.0623=⨯-+--V V V迭代求解,初值为:13kmol m 5.3-⋅==pRTV 迭代结果为:13kmol m 39.3-⋅=V (2) 压缩功 V p W d =∂-由(A )式得:⎪⎭⎫⎝⎛++=321V C VB V RT p ,则:⎥⎥⎦⎤⎢⎢⎣⎡⎪⎪⎭⎫⎝⎛--⎪⎪⎭⎫ ⎝⎛---=⎪⎭⎫ ⎝⎛++-=⎰212212123211211ln d 121V V C V V B V V RT VV C V BV RT W V V (B )当p =75×105Pa 时,用(1)同样的方法解出:13kmol m 212.0-⋅=V将131km olm 39.3-⋅=V ,132km olm 212.0-⋅=V 代入式(B )解出:15kmol J 1077-⋅⨯=W2-12.试计算一个125cm 3的刚性容器,在50℃和18.745MPa 的条件下能贮存甲烷多少克(实验值为17g )?分别用理想气体方程和RK 方程计算(RK 方程可以用软件计算)。
解:由附录三查得甲烷的临界参数为:c T =190.56K ,c p =4.599MPa ,ω=0.011 (1)利用理想气体状态方程RT pV =得:()131346m ol cm 3.143m ol m 10433.110745.185015.273314.8---⋅=⋅⨯=⨯+⨯==p RT V g 95.133.14312516总=⨯=⋅=V V M m(2)RK 方程)(5.0b V V T a b V RT p +--=式中:()()2-0.5665.225.22mol K m Pa 2207.310599.456.190314.842748.0/42748.0⋅⋅⋅⨯⨯⨯===c cp TR a 1356mol m 10985.210599.456.190314.808664.0/08664.0--⋅⨯⨯⨯⨯===c c p RT b ()()4653.015.323314.810745.182207.35.2265.22==⨯⨯⨯=T R ap A 2083.015.323314.810745.1810985.265==⨯⨯⨯⨯=-RT bp B按照式(2-16a )⎪⎭⎫⎝⎛+--⎪⎭⎫ ⎝⎛+--=h h h h h B A h Z 12342.211111= 和式(2-16b ) ZZ B V b h 2083.0===迭代计算,取初值Z =1,迭代过程和结果见下表。
13346m ol 126.5cm /m ol m 10265.110745.1815.323314.88823.0--⋅⨯=⨯⨯⨯===p ZRT V g 81.155.12612516总=⨯=⋅=V V M m 可见,用RK 方程计算更接近实验值。
2-13.欲在一个7810cm 3的钢瓶中装入1kg 的丙烷,且在253.2℃下工作,若钢瓶的安全工作压力为10MPa ,问是否安全?解:查得丙烷的临界性质为:c T =369.83K ,c p =4.248MPa ,ω=0.152mol 727.22441000===M m n 1366m ol m 1063.343727.22107810---⋅⨯=⨯==n V V 总使用RK 方程: )(5.0b V V T ab V RT p +--= 首先用下式计算a ,b :()2-0.5665.225.22mol K m Pa 296.1810248.483.369314.842748.0/42748.0⋅⋅⋅=⨯⨯⨯==c cp TR a 1356102771.610248.483.369314.808664.0/08664.0--⋅⨯=⨯⨯⨯==mol m p RT b c c 代入RK 方程得:MPa p 870.9=非常接近于10MPa ,故有一定危险。
2-14.试用RKS 方程计算异丁烷在300K ,3.704×105Pa 时的饱和蒸气的摩尔体积。
已知实验值为133mol m 10081.6--⋅⨯=V 。
解:由附录三查得异丁烷的临界参数为:c T =407.8K ,c p =3.640MPa ,ω=0.1777357.08.407/300/===c r T T T7531.0177.0176.0177.0574.1480.0176.0574.1480.022=⨯-⨯+=-+=ωωm[]()[]2258.17357.017531.01)1(1)(25.025.0=-+=-+=r T m T α()()()()()()2662222mol /m Pa 6548.12258.110640.38.407314.842748.0/4278.0⋅⨯⨯⨯⨯⋅=⋅===T p TR T a T a c cαα()/mol m 100700.810640.3/8.407314.808664.0/08664.0356-⨯=⨯⨯⨯==c c p RT b()()09853.0300314.810704.36548.122522==⨯⨯⨯=T R ap A 01198.0300314.810704.3100700.855==⨯⨯⨯⨯=-RT bp B按照式(2-16a )⎪⎭⎫⎝⎛+--⎪⎭⎫ ⎝⎛+--=h h h h h B A h Z 12245.811111= 和式(2-16b ) ZZ B V b h 01198.0===迭代计算,取初值Z =1,迭代过程和结果见下表。