第2章 随机过程习题及答案
- 格式:pdf
- 大小:239.41 KB
- 文档页数:12
第二章 Markov 过程 习题解答1、 设}1,{≥n n ξ为相互独立同分布的随机变量序列,其分布为:01}0{,0}1{>-===>==p q P p P n n ξξ定义随机序列}2,{≥n X n 和}2,{≥n Y n 如下:⎪⎪⎩⎪⎪⎨⎧=========----;1,1,3;0,1,2;1,0,1;0,0,01111n nn n n n n nn X ξξξξξξξξ ⎩⎨⎧===-;,1;0,0,01其它n n n Y ξξ试问随机序列}2,{≥n X n 和}2,{≥n Y n 是否为马氏链?如果是的话,请写出其一步转移概率矩阵并研究各个状态的性质。
不是的话,请说明理由。
解:(1)显然,随机序列}2,{≥n X n 的状态空间为}3,2,1,0{=S 。
任意取S i i i j i n ∈-132,,,,, ,由于当i X n =给定时,即1,-n n ξξ的值给定时,就可以确定1+n X 的概率特性,即我们有:}{},,,,{12233111i X j X P i X i X i X i X j X P n n n n n n ========+--+因此}2,{≥n X n 是齐次马氏链,其一步转移概率矩阵为:⎥⎥⎥⎥⎦⎤⎢⎢⎢⎢⎣⎡=p qp q p q p qP 0000000 由于01,0>-=>p q p ,画出状态转移图,可知各个状态都相通,且都是非周期的,因此此链是不可约的遍历链。
(也可以利用02>P 判定此链是不可约的遍历链)(2)显然,}2,{≥n Y n 的状态空间为}1,0{=S ,由于:}1,1{}1,1,0{}1,10{23234234=========Y Y P Y Y Y P Y Y Y P}0,1{}0,1,0{}0,10{23234234=========Y Y P Y Y Y P Y Y Y P由}2,{≥n Y n 的定义,可知}1,1,1{}1,1,0{}0,1,1{}0,1,0{}1,0,1{}1,1{12312312312312323===⋃===⋃===⋃⋃===⋃======ξξξξξξξξξξξξξξξY Y}1,1,0,0{}0,1,0,0{}1,1,0{12341234234====⋃========ξξξξξξξξY Y Y}0,0,1{}0,1{12323======ξξξY Y , ∅====}0,1,0{234Y Y Y利用}1,{≥n n ξ是相互独立同分布的随机变量序列及其分布,我们有:322233}1,1{q q p pq Y Y P ++=== 223234}1,1,0{q p pq Y Y Y P +==== 223}0,1{pq Y Y P ===0}0,1,0{234====Y Y Y P即有:22222343}1,10{q p pq qp pq Y Y Y P +++==== 0}0,10{234====Y Y Y P由于01,0>-=>p q p ,因此有}0,10{}1,10{234234===≠===Y Y Y P Y Y Y P根据马氏链的定义可知}2,{≥n Y n 不是马氏链。
第二章 平稳过程2. 设随机过程()sin X t Ut =,其中U 是在[]02π,上均匀分布的随机变量。
试证 (1)若t T ∈,而{}12T = ,,,则(){}12X t t = ,,,是平稳过程; (2)若t T ∈,而[)0T =+∞,,则(){}0X t t ≥,不是平稳过程。
证明:由题意,U 的分布密度为:()10220u f u ππ⎧<<⎪=⎨⎪⎩,,其它数学期望()()[]sin X m t E X t E Ut ==⎡⎤⎣⎦()()2220001111sin sin cos cos 212222ut du ut d ut ut t t t t ππππππππ=⋅==-=--⎰⎰.相关函数()()()()()sin sin X X R R t t E X t X t E Ut U t ττττ=+=+=⋅+⎡⎤⎡⎤⎣⎦⎣⎦,()()()2200111sin sin cos 2cos 222ut u t du ut u u du ππτττππ⎛⎫=⋅+⋅=⋅-+--⎡⎤ ⎪⎣⎦⎝⎭⎰⎰ ()()2220001111cos 2cos sin 2sin 442u t u du u t u t πππττττππττ⎡⎤=-+-=-+-⎡⎤⎢⎥⎣⎦+⎢⎥⎣⎦⎰()()11sin 22sin 2424t t πτπτπτπτ=-+++.(1)若t T ∈,而{}12T = ,,时,()0X m t =,()X R τ只与τ有关,二者均与t 无关,因此,(){}12X t t = ,,,是平稳过程。
(2)若t T ∈,而[)0T =+∞,时,()X m t 可能取到不是常数的值,所取到的值与t 有关,()X R τ取到的值也与t 有关,因此,(){}0X t t ≥,不是平稳过程。
3. 设随机过程()()0cos X t A t ωΦ=+,t -∞<<+∞其中0ω是常数,A 和Φ是独立随机变量。
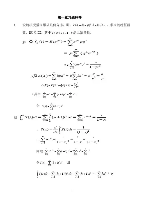
第一章习题解答1. 设随机变量X 服从几何分布,即:(),0,1,2,k P X k pq k ===。
求X 的特征函数,EX 及DX 。
其中01,1p q p <<=-是已知参数。
解()()jtxjtkk X k f t E eepq ∞===∑()k jtkk p q e∞==∑ =0()1jt kjtk pp qe qe ∞==-∑又200()kkk k q qE X kpq p kq p p p ∞∞======∑∑222()()[()]q D X E X E X P =-=(其中 00(1)nnn n n n nxn x x ∞∞∞====+-∑∑∑)令 0()(1)n n S x n x ∞==+∑则 1000()(1)1xxnn k n xS t dt n t dt x x∞∞+===+==-∑∑⎰⎰202201()()(1)11(1)1(1)xn n dS x S t dt dxx xnx x x x ∞=∴==-∴=-=---⎰∑同理 2(1)2kkkk k k k k k x k x kx x ∞∞∞∞=====+--∑∑∑∑令20()(1)k k S x k x ∞==+∑ 则211()(1)(1)xkk k k k k S t dt k t dt k xkx ∞∞∞+====+=+=∑∑∑⎰)2、(1) 求参数为(,)p b 的Γ分布的特征函数,其概率密度函数为1,0()0,0()0,0p p bxb x e x p x b p p x --⎧>⎪=>>Γ⎨⎪≤⎩(2) 其期望和方差;(3) 证明对具有相同的参数的b 的Γ分布,关于参数p 具有可加性。
解 (1)设X 服从(,)p b Γ分布,则10()()p jtxp bxX b f t ex e dx p ∞--=Γ⎰ 1()0()p p jt b x b x e dx p ∞--=Γ⎰101()()()()(1)p u p p p p p b e u b u jt b x du jt p b jt b jt b∞----==Γ---⎰ 10(())x p p e x dx ∞--Γ=⎰ (2)'1()(0)X p E X f j b∴== 2''221(1)()(0)X p p E X f j b +== 222()()()PD XE X E X b∴===(4) 若(,)i i X p b Γ 1,2i = 则121212()()()()(1)P P X X X X jt f t f t f t b-++==-1212(,)Y X X P P b ∴=+Γ+同理可得:()()iiP X b f t b jt∑=∑-3、设X 是一随机变量,()F x 是其分布函数,且是严格单调的,求以下随机变量的特征函数。
(完整版)随机过程习题答案随机过程部分习题答案习题22.1 设随机过程b t b Vt t X ),,0(,)(+∞∈+=为常数,)1,0(~N V ,求)(t X 的⼀维概率密度、均值和相关函数。
解因)1,0(~N V,所以1,0==DV EV ,b Vt t X +=)(也服从正态分布,b b tEV b Vt E t X E =+=+=][)]([ 22][)]([t DV t b Vt D t X D ==+=所以),(~)(2t b N t X ,)(t X 的⼀维概率密度为),(,21);(222)(+∞-∞∈=--x ett x f t b x π,),0(+∞∈t均值函数 b t X E t m X ==)]([)(相关函数)])([()]()([),(b Vt b Vs E t X s X E t s R X ++==][22b btV bsV stV E +++=2b st +=2.2 设随机变量Y 具有概率密度)(y f ,令Yt e t X -=)(,0,0>>Y t ,求随机过程)(t X 的⼀维概率密度及),(),(21t t R t EX X 。
解对于任意0>t,Yt e t X -=)(是随机变量Y 的函数是随机变量,根据随机变量函数的分布的求法,}ln {}{})({);(x Yt P x e P x t X P t x F t Y ≤-=≤=≤=-)ln (1}ln {1}ln {tx F t x Y P t x Y P Y --=-≤-=-≥= 对x 求导得)(t X 的⼀维概率密度xtt x f t x f Y 1)ln ();(-=,0>t)(][)]([)(dy y f e eE t X E t m yt tY X相关函数+∞+-+---====0)()(2121)(][][)]()([),(212121dy y f e e E e e E t X t X E t t R t t y t t Y t Y t Y X 2.3 若从0=t 开始每隔21秒抛掷⼀枚均匀的硬币做实验,定义随机过程=时刻抛得反⾯时刻抛得正⾯t t t t t X ,2),cos()(π试求:(1))(t X 的⼀维分布函数),1(),21(x F x F 和;(2))(t X 的⼆维分布函数),;1,21(21x x F ;(3))(t X 的均值)1(),(X X m t m ,⽅差 )1(),(22X Xt σσ。
随机过程测试题一答案每题10分1. 在一汽车工厂中,一辆汽车有两道工序是由机器人完成的。
其一是紧固三只螺栓,其二是焊接两处焊点。
以X 表示由机器人紧固的螺栓不良的数目,以Y 表示由机器人焊接的焊点不良的数目。
据积累资料知),(Y X 具有分布律: Y X 0 1 2 3 0 0.840 0.030 0.020 0.010 1 0.060 0.010 0.008 0.002 20.0100.0050.0040.001(1)求EX ;(2)求]|[j Y X E =,2,1,0=j ;(3)验证 ∑====2}{]|[j j Y P j Y X E EX .解: (1) X 的分布律为 X 0 1 2 3 P0.9100.0450.0320.013148.0=EX .(2) Y 的分布律为 Y 0 1 2 P0.9000.0800.0200=Y 时,X 的条件分布律为X|0=Y 0 123P0.840/0.90.030/0.90.020/0.90.010/0.991]0|[==Y X E ;1=Y 时,X 的条件分布律为X|1=Y 0 123P0.060/0.080.010/0.080.008/0.080.002/0.084.0]1|[==Y X E ;2=Y 时,X 的条件分布律为X|2=Y0 1 2 3P 0.010/0.02 0.005/0.02 0.004/0.02 0.001/0.028.0]2|[==Y X E .(3) EX j Y P j Y X E j ==⨯+⨯+⨯===∑=148.002.08.008.04.09.091}{]|[2.2.设二维随机变量),(Y X 的概率密度为⎩⎨⎧<<=-.,00,),(其他,y x e y x f y(1)求EX;(2)对任意0>y ,求]|[y Y X E =;(3)验证⎰+∞==0)(]|[dy y f y Y X E EX Y .解: (1)当0>x 时, X 的概率密度为x xy xX e dy e dy y x f x f -+∞-+∞===⎰⎰),()(.1)(0===⎰⎰+∞-+∞dx xe dx x xf EX x X .(2) 对任意0>y , Y 的概率密度为y yy yY ye dx e dx y x f y f --===⎰⎰0),()(.⎪⎩⎪⎨⎧<<==.,0,0,1)(),()|(|其他y x y y f y x f y x f Y Y X21)|(]|[0|ydx y xdx y x f x y Y X E yY X ====⎰⎰+∞ (3)EX dy ye y dy y f y Y X E y Y ==Γ=⋅==⎰⎰+∞-+∞1)3(212)(]|[03.写出六种常见分布(退化、二项、泊松、均匀、指数、正态)的特征函数.分布 记号 概率密度或分布律)x (f特征函数)t (ψ退化 {c} 1}{==c X Pict e0-1 b(1,p) .1,0,}{1===-x q p x X P x x q pe it +二项b(n,p) 独立同分布于b(1,p)的n 个r.v.的和..,,1,0,}{1n x q p C x X P x x x n ===-n it q pe )(+泊松 )(P λ.,2,1,0,!}{ ===-x e x x X P xλλ)1(-it e eλ均匀U(a,b))(1)(),(x I ab x f b a -=t a b i e e iatibt )(--标准正态 N(0,1)2221)(x e x f -=π22t e-正态),(N 2σμ222)(21)(σμσπ--=x e x f2)(2t t i eσμ-指数 )(E λ)()(),0(x I e x f x +∞-=λλit-λλ4.关于独立随机变量序列}{n X ,下列哪些命题是正确的. (1)若 ,2,1,||=+∞<k X E k ,则∏∏===nk k nk k EX X E 11;(2) 若 ,2,1,2=+∞<k EX k ,则∑∑===nk k n k n VarX X Var 11)(;(3) 设)(t f k 为k X 的特征函数,)(t f n S 为∑==nk k n X S 1的特征函数,则∏==nk k S t f t f n 1)()(.(4) 设)(t k φ为k X 的矩母函数,)(t n S φ为∑==nk k n X S 1的矩母函数,则∑==nk k S t t n1)()(φφ.解:(4)错,应为 ∏==nk k S t t 1)()(φφ.5.设ηξ,是相互独立,且都为均值0,方差1的随机变量,令t t X ηξ+=)(,求随机过程}0),({≥t t X 的均值函数和相关函数. 解:;0)()()]([)(=+==ηξμtE E t X E t X;1)()()()]([)(222t D t D t D t X D t x +=+=+==ηξηξσ.1)()()()()()]()([),(22ts E E s t tsE E s X t X E s t R x +=+++==ηξηξ6.X (t )=Y cos(t )+Z sin(t ), t >0,Y , Z 相互独立,且 EY =EZ =0,DY =DZ =σ2. 讨论随机过程{X (t ), t >0}的平稳性.解: 0sin cos )]([)(=+==tEZ tEY t X E t X μ;)]()([),(s X t X E s t R X =).cos(sin sin cos cos )()cos sin sin (cos sin sin cos cos 22222s t EZ s t EY s t YZ E s t s t EZ s t EY s t -=⋅+⋅=++⋅+⋅=σ因)(t X μ为常数,),(s t R X 仅与s t -=τ有关,故)}({t X 是宽平稳过程.7.在电报信号)(t X 的传输过程中,信号由不同的电流符号A A -,给出,而电流的发送又有一个任意的持续时间,电流符号的转换是随机的. 设)(t X 在],0(t 时间内的变号次数)(t N 是参数为λ的泊松过程,且可以表示为)()1)(0()(t N X t X -=,又设)0(X 与}0),({≥t t N 独立,且5.0})0({})0({=-===A X P A X P ,求}0),({≥t t X 的均值函数.解:=)]([t X E 0.8.考虑电子管中的电子发射问题,设单位时间内到达阳极的电子数目N 服从参数为λ的泊松分布. 每个电子携带的能量构成一个随机变量序列 ,,21X X 已知}{k X 与N 独立,}{k X 之间互不相关并且具有相同的均值和方差2,σμ==k k DX EX . 单位时间内阳极接收到的能量为∑==Nk kXS 1. 求S 的均值.解:∑∑+∞=====1}{]|[n Nk kn N P n N XE ES∑∑+∞====01}{][n nk k n N P X E ∑+∞===01}{n n N P nEX∑+∞===01}{n n N nP EX λμ=⋅=1EX EN .9.随机过程}0),({≥t t W 称为参数为2σ的维纳过程, 如果 (1) 0)0(=W ;(2),0t s <≤∀))(,0(~)()(2s t N s W t W --σ;(3) ,0v u t s <<<≤∀ 增量)()(s W t W -与)()(u W v W -相互独立.(1)求}0),({≥t t W 的均值函数)]([t W E 和相关函数)]()([s W t W E . (2)}0),({≥t t W 是否为宽平稳过程?证明:(1),0≥∀t ),0(~)(2t N t W σ, 故0)]([)(==t W E t W μ;又,0t s <≤∀))(,0(~)()(2s t N s W t W --σ, 且增量)()(s W t W -与)(s W 相互独立,故)]()([)]())()([()]()([),(s W s W E s W s W t W E s W t W E s t R W +-==s s W D s W E s W t W E 2)]([)]([)]()([σ=+-=从而),min(),(2s t s t R W σ=.(2)由于),(s t R W 与出发时刻),min(s t 有关,因而}0),({≥t t W 不是宽平稳过程.10. 下面四个随机过程中哪些不是宽平稳过程(A) 随机相位正弦波过程:}0),cos()({≥Φ+=t t t X λ,其中),(~ππ-ΦU ,λ是常数. (B) 白噪声序列: },1,0,{ =n X n 是一列两两互不相关(即m n X EX m n ≠=,0)的随机变量序列,且满足2,0σ==n n DX EX . (C) 移动平均序列:},2,1,0,{11 ±±==∑=-+n a X ki in i n ε,其中},2,1,0,{ ±±=n n ε为白噪声序列,k a a a ,,,21 为任意实数.(D) 强度为λ的泊松过程}0),({≥t t N ,其中)(t N 表示到时刻t 为止事件A 发生的次数. 解: D .。
⎪2. (1) 求参数为(p , b )的Γ 分布的特征函数,其概率密度为⎧ b p p (x ) = ⎪ x p -1e -bx , x > 0 b > 0, p 是正整数(2)求其期望和方差。
⎨Γ( p ) ⎪⎩0 x ≤ 0(3)证明对具有相同参数b 的Γ 分布,关于参数 p 具有可加性。
解 (1) 首先,我们知道Γ 函数有下面的性质:Γ(p ) = (p -1)!根据特征函数的定义,有f X (t ) = E [e jtX]= ⎰∞ejtxp (x )dx = ⎰e jtxb p Γ(p ) x p -1e -bx dx= ⎰0bpΓ( p ) -∞ 0x p -1e -(b - jt )x dx =b p 1p -1 -(b - jt )x ∞ b p p - 1 ∞ p -2 -(b - jt )x Γ(p ) - (b - jt ) x e0 + Γ( p ) (b - jt ) ⎰0 x e dx = b p p - 1 ⎰∞ x p -2 e -(b - jt )x dx Γ(p ) (b - jt ) 0 ==b p ( p - 1)! ∞ 0 -(b - jt )x Γ(p ) (b - jt )p -1 ⎰0 x e dx= b p ( p - 1)! = ⎛ b ⎫ Γ(p ) (b - jt )p b - jt ⎪ ⎝ ⎭所以⎛ b ⎫ pf X (t ) = ⎪b - jt ⎝ ⎭(2)根据期望的定义,有∞∞ p]⎰ b ⎰ ∞( )∞b pp -1 -bxb p∞p -bxm X = E [X ] = ⎰-∞ xp x dx = ⎰0 x Γ(p ) x e dx = Γ( p ) ⎰0 x e dx = b p 1 p -bx ∞ b p p ∞p -1 -bxΓ( p ) - b x e 0 + Γ(p ) b ⎰0 xe dx = p ⎰∞ bp -1 -bx = p ⎰∞ ( ) = p b 0 Γ( p ) x 类似的,有e dx p x dx b -∞ bE [X 2= ∞x 2-∞ p (x )dx = ⎰0 2b px Γ(p ) x p -1e -bx dx = p Γ(p ) ⎰0x p +1e -bx dx b p 1 p +1 -bx ∞ b p ( p + 1) ∞ p -bx= Γ( p ) - b x e 0 + Γ(p ) b ⎰0 x e dx= b p Γ( p ) =(p + 1) b 0 x p e -bx dx= (p + 1)p ∞ b pp -1 -bx= ( p + 1)p ∞ ( )b 2⎰0=(p + 1)p b 2Γ(p ) xe dxb 2⎰-∞p x dx所以, X 的方差为D X =E [X 2]- m 2= ( p + 1)p b 2⎛ p ⎫2⎪ b= p b 2⎝ ⎭ (3)p ∞∞ ∞ X -M M M M ∑ ∑ i =1 k =1 i =1 k =1i =1 k =1i =1 k =15. 试证函数 ( ) =e jt (1 - e jnt ) 为一特征函数,并求它所对应的随机变f tn (1 - e jt )量的分布。
第2章-随机过程习题及答案第二章随机过程分析1.1 学习指导 1.1.1 要点随机过程分析的要点主要包括随机过程的概念、分布函数、概率密度函数、数字特征、通信系统中常见的几种重要随机过程的统计特性。
1. 随机过程的概念随机过程是一类随时间作随机变化的过程,它不能用确切的时间函数描述。
可从两种不同角度理解:对应不同随机试验结果的时间过程的集合,随机过程是随机变量概念的延伸。
2. 随机过程的分布函数和概率密度函数如果ξ(t )是一个随机过程,则其在时刻t 1取值ξ(t 1)是一个随机变量。
ξ(t 1)小于或等于某一数值x 1的概率为P [ ξ(t 1) ≤ x 1 ],随机过程ξ(t )的一维分布函数为F 1(x 1, t 1) = P [ξ(t 1) ≤ x 1] (2-1)如果F 1(x 1, t 1)的偏导数存在,则ξ(t )的一维概率密度函数为1111111(,)(, ) (2 - 2)?=?F x t f x t x对于任意时刻t 1和t 2,把ξ(t 1) ≤ x 1和ξ(t 2) ≤ x 2同时成立的概率{}212121122(, ; , )(), () (2 - 3)F x x t t P t x t x ξξ=≤≤称为随机过程ξ (t )的二维分布函数。
如果2212122121212(,;,)(,;,) (2 - 4)F x x t t f x x t t x x ?=存在,则称f 2(x 1, x 2; t 1, t 2)为随机过程ξ (t )的二维概率密度函数。
对于任意时刻t 1,t 2,…,t n ,把{}n 12n 12n 1122n n ()(),(),,() (2 - 5)=≤≤≤L L L F x x x t t t P t x t x t x ξξξ,,,;,,,称为随机过程ξ (t )的n 维分布函数。
如果n n 12n 12n n 12n 12n 12n(x )() (2 - 6)?=L L L L L F x x t t t f x x x t t t x x x ,,,;,,,,,,;,,,存在,则称f n (x 1, x 2, …, x n ; t 1, t 2, …, t n )为随机过程ξ (t )的n 维概率密度函数。
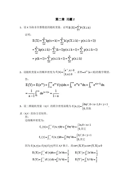
一、1.1设二维随机变量(,)的联合概率密度函数为:试求:在时,求。
解:当时,==1.2 设离散型随机变量X服从几何分布:试求的特征函数,并以此求其期望与方差。
解:所以:2.1 袋中红球,每隔单位时间从袋中有一个白球,两个任取一球后放回,对每 对应随机变量一个确定的t⎪⎩⎪⎨⎧=时取得白球如果对时取得红球如果对t e t tt X t 3)(.维分布函数族试求这个随机过程的一2.2 设随机过程,其中是常数,与是相互独立的随机变量,服从区间上的均匀分布,服从瑞利分布,其概率密度为试证明为宽平稳过程。
解:(1)与无关(2),所以(3)只与时间间隔有关,所以为宽平稳过程。
2.3是随机变量,且,其中设随机过程U t U t X 2cos )(=求:,.5)(5)(==U D U E.321)方差函数)协方差函数;()均值函数;((2.4是其中,设有两个随机过程U Ut t Y Ut t X ,)()(32==.5)(=U D 随机变量,且数。
试求它们的互协方差函2.5,试求随机过程是两个随机变量设B At t X B A 3)(,,+=的均值),(+∞-∞=∈T t 相互独若函数和自相关函数B A ,.),()(),2,0(~),4,1(~,21t t R t m U B N A X X 及则且立为多少?3.1一队学生顺次等候体检。
设每人体检所需的时间服从均值为2分钟的指数分布并且与其他人所需时间相互独立,则1小时内平均有多少学生接受过体检?在这1小时内最多有40名学生接受过体检的概率是多少(设学生非常多,医生不会空闲)解:令()N t 表示(0,)t 时间内的体检人数,则()N t 为参数为30的poisson 过程。
以小时为单位。
则((1))30E N =。
40300(30)((1)40)!k k P N e k -=≤=∑。
3.2在某公共汽车起点站有两路公共汽车。
乘客乘坐1,2路公共汽车的强度分别为1λ,2λ,当1路公共汽车有1N 人乘坐后出发;2路公共汽车在有2N 人乘坐后出发。
南京⼤学随机过程练习题附中⽂解释及答案(以第九版为准)第⼆章Random Variables 随机变量1、(2.16)An airline knows that 5percent of the people making reservations on a certain flight will not show up.Consequently,their policy is to sell 52tickets for a flight that can hold only 50passengers.What is the probability that there will be a seat available for every passenger who shows up?航空公司知道预订航班的⼈有5%最终不来搭乘航班。
因此,他们的政策是对于⼀个能容纳50个旅客的航班售52张票。
问每个出现的旅客都有位置的概率是多少?答:05.0*95.0*52-95.0-15152)()(2、(2.25略变动)Suppose that two teams are playing a series of games,each of which is independently won by team A with probability p and by team B with probability 1-p.The winner of the series is the first team to win i games.If i =4,find the probability that a total of 7games are played.Find the p that maximizes/minimizes this probability.假定两个队玩⼀系列游戏,A 队独⽴地赢的概率是p ,B 队独⽴地赢的概率是1-p 。
习题11. 令X(t)为二阶矩存在的随机过程,试证它是宽平稳的当且仅当EX(s)与E[X(s)X(s+t)]都不依赖s.证明:充分性:若X(t)为宽平稳的,则由定义知EX(t)=μ, EX(s)X(s+t)=r(t) 均与s 无关必要性:若EX(s)与EX(s)X(s+t)都与s 无关,说明EX(t)=常数, EX(s)X(s+t)为t 的函数2. 记1U ,...,n U 为在(0,1)中均匀分布的独立随机变量,对0 < t , x < 1定义I( t , x)=⎩⎨⎧>≤,,,,t x t x 01并记X(t)=),(11∑=nk k U t I n ,10≤≤t ,这是1U ,...,n U 的经验分布函数。
试求过程X (t )的均值和协方差函数。
解: EI ()k U t ,= P ()t U k ≤= t , D()),(k U t I = EI ()k U t ,-()2),(kU t EI= t -2t = t(1-t)j k ≠, cov ()),(),(j k U s I U t I ,=EI(t,k U )I(s,j U )-EI(t, k U )EI(s, j U ) = st -st=0k = j , cov ()),(),(j k U s I U t I ,= EI(t,k U )I(s,j U )-st = min(t,s)-stEX(t)=),(11∑=n k k U t EI n =∑=nk tn 11= tcov ())(),(s X t X =()()),(),,(cov 1),(),,(cov 1212j kjk nk k k U s I Ut I n U s I U t I n ∑∑≠=+=[]∑=nk st t s n12),min(1-=()st t s n-),min(13.令1Z ,2Z 为独立的正态分布随机变量,均值为0,方差为2σ,λ为实数,定义过程()t Sin Z t Cos Z t X λλ21+=.试求()t X 的均值函数和协方差函数,它是宽平稳的吗?Solution: ()221,0~,σN Z Z . 02221==EZ EZ .()()221σ==Z D Z D ,()0,21=Z Z Cov ,()0=t EX ,()()()()()[]s Sin Z s Cos Z t Sin Z t Cos Z E s X t X Cov λλλλ2121,+⋅+=[]t C o s S i n Z Z s t S i n C o s Z Z s t S i n S i n Z t C o s C o s Z E λλλλλλλλ12212221+++=()02++=s t S i n S i n s t C o s C o s λλλλσ =()[]λσs t Cos -2(){}t X 为宽平稳过程.4.Poisson 过程()0,≥t t X 满足(i )()00=X ;(ii)对s t >,()()s X t X -服从均值为()s t -λ的Poisson 分布;(iii )过程是有独立增量的.试求其均值函数和协方差函数.它是宽平稳的吗?Solution ()()()()t X t X E t EX λ=-=0,()()t t X D λ= ()()()()()s t s X t EX s X t X Cov λλ⋅-=,()()()()()ts s EX s X s X t X E 22λ-+-= ()()()()ts s EX s X D 220λ-++=()ts s s 22λλλ-+=()t s s λλλ-+=1 显然()t X 不是宽平稳的.5. ()t X 为第4题中的Poisson 过程,记()()()t X t X t y -+=1,试求过程()t y 的均值函数和协方差函数,并研究其平稳性. Solution ()λλ=⋅=1t Ey , ()()λ=t y DCov(y(t),y(s))=Ey(t)y(s)-Ey(t)y(s)=E(x(t+1)-x(t))(x(s+1)-x(s))-λ2(1)若s+1<t, 即s≤t-1,则Cov(y(t),y(s))=0-λ2=-λ2(2)若t<s+1≤t+1, 即t>s>t-1, 则Cov(y(t),y(s))=E[x(t+1)-x(s+1)+x(s+1)-x(t)][x(s+1)-x(t)+x(t)-x(s)] -λ2=E(x(t+1)-x(s+1))(x(s+1)-x(t))+E(x(t+1)-x(s+1))(x(t)-x(s))+E(x(s+1)-x(t))+E(x(s+1)-x(t))(x(t)-x(s))- λ2=λ(s+1-t)= λ-λ(t-s)- λ2(3) 若t<s<t+1Cov(y(t),y(s))= E [x(t+1)-x(s)+x(s)-x(t)] [x(s+1)-x(t+1)+x(t+1)-x(s)]- λ2 =(x(t+1)-x(s))(x(s+1)-x(t+1))+E(x(t+1)-x(s))(x(t+1)-x(s))+E(x(s)-x(t))(x(s+1)-x(t+1))+E(x(s)-x(t))(x(t+1)-x(s))- λ2=0+λ(t+1-s)+0-λ2=λ+λ(t-s)- λ2(4) 若s>t+1 Cov(y(t),y(s))=0-λ2=-λ2由此知,故方差只与t-s有关,与t,s无关故此过程为宽平稳的。
随机过程习题及部分解答习题一1.若随机过程X(/)为X(0 = A?,-oo<r<+oo,式中4为(0, 1)上均匀分布的随机变量,求X(/)的一维概率密度Px(x;t)。
2.设随机过程X(/) = 4cos(初+ 其中振幅A及角频率①均为常数,相位&是在[-兀,刃上服从均匀分布的随机变量,求X(/)的一维分布。
习题二1.若随机过程X(/)为X(t)=At -00 < r < +00 ,式中4为(0,1)上均匀分布的随机变量,求E[xa)],7?xa』2)2.给定一随机过程X(/)和常数Q,试以X(/)的相关函数表示随机过程y(0 = X(/ + a) —X(/)的自相关函数。
3.已知随机过程X(/)的均值阪⑴和协方差函数Cx (爪© , 0(/)是普通函数,试求随机过程丫⑴=X(/) + 0(/)是普通函数,试求随机过程丫⑴=X(/) + 0(/)的均值和协方差函数。
4.设X(t) = A cos at + B sin at,其中A, B是相互独立且服从同一高斯(正态)分布N(0Q2)的随机变量,a为常数,试求X(/)的值与相关函数。
习题三1.试证3.1节均方收敛的性质。
2.证明:若X(t),twT;Y(t),twT均方可微,a0为任意常数,则aX(t) + bY(t) 也是均方可微,且有[aX (?) + b Y(/)]' = aX'(/) + b Y'(/)3.证明:若X⑴,twT均方可微,/X/)是普通的可微函数,则f(Z)X(Z)均方可微且[f(ox(or-/w(o+/(ox,(o4.证明:设X⑴在[a,b]上均方可微,且X0)在[a,切上均方连续,则有X'⑴ dt = X(b) — X(a)J a5•证明,设X(t\t eT =[a,b];Y{t\t eT = [a,b]为两个随机过程,且在T上均方可积,a和0为常数,则有(*b (*b (*bf [aX(/) + 0Y(/)M = a [ Xit)dt + /3\ Y⑴ dtJ a J a J aeb rc rbaX (t)dt = X (t)dt + XQ) dt,aWcWbJ a J a Jc6.求随机微分方程X'(/) + aX ⑴二丫⑴ze[0,+oo]'X(0) = 0的X(t)数学期望E [X(0]。
随机过程试题及答案一、选择题(每题5分,共20分)1. 下列哪一项是随机过程的典型特征?A. 确定性B. 可预测性C. 无记忆性D. 独立增量性答案:D2. 马尔可夫链的哪一性质表明,系统的未来状态只依赖于当前状态,而与过去状态无关?A. 独立性B. 无记忆性C. 齐次性D. 可逆性答案:B3. 布朗运动是一个连续时间的随机过程,其增量具有什么性质?A. 独立性B. 正态分布C. 独立增量性D. 所有选项都正确答案:D4. 随机过程的平稳性指的是什么?A. 过程的分布随时间不变B. 过程的均值随时间不变C. 过程的方差随时间不变D. 过程的自相关函数随时间不变答案:A二、填空题(每题5分,共20分)1. 如果随机过程的任意时刻的分布函数不随时间变化,则称该随机过程是________。
答案:平稳的2. 随机过程的自相关函数R(t,s)表示在时刻t和时刻s的随机变量的________。
答案:相关性3. 随机游走过程是一类具有________性质的随机过程。
答案:独立增量4. 泊松过程是一种描述在固定时间间隔内随机事件发生次数的随机过程,其特点是事件的发生具有________。
答案:无记忆性三、简答题(每题10分,共30分)1. 简述什么是马尔可夫过程,并给出其数学定义。
答案:马尔可夫过程是一种随机过程,其未来的状态只依赖于当前状态,而与过去状态无关。
数学上,如果对于任意的n,以及任意的时间序列t1, t2, ..., tn,满足P(Xt+1 = x | Xt = x_t, Xt-1 = x_t-1, ..., X1 = x_1) = P(Xt+1 = x | Xt = x_t),则称随机过程{Xt}为马尔可夫过程。
2. 描述布朗运动的三个基本性质。
答案:布朗运动的三个基本性质包括:1) 布朗运动的增量是独立的;2) 布朗运动的增量服从正态分布;3) 布朗运动具有连续的样本路径。
3. 什么是平稳随机过程?请给出其数学定义。