南京大学2019年硕士研究生拟录取名单
- 格式:pdf
- 大小:672.56 KB
- 文档页数:136
姓名类别考生编号录取成绩复试成绩专业名称专业代码学习方式初试成绩定向委培单位非定向10422951010687583.6994.97130100全日制362艺术学理论李恬语非定向10033918322601081.6292.83130100全日制352艺术学理论郭梓锋非定向10422951010688679.7780.14130100全日制397艺术学理论于晓雪非定向10422951010687479.1988.18130100全日制351艺术学理论栾立君非定向10422910422040391.2391.23130100全日制0推荐免试艺术学理论魏铭豪非定向10422910422040288.8388.83130100全日制推荐免试 辅导员保留入学资格1年0艺术学理论李艳秋非定向10422951010684480.4390.25130200全日制353音乐与舞蹈学张晓晴非定向10422951010685476.2486.89130200全日制328音乐与舞蹈学陈天怡非定向10422951091324883.8492.28130400全日制377美术学张瑜非定向10422910200040487.0087.00130400全日制0推荐免试美术学孔泽宁非定向10422910422040560.0060.00130400全日制0推荐免试美术学李雅茹非定向10422951010693076.4687.73130500全日制326设计学王堃燕非定向10422951010683777.6381.06135101全日制371音乐孙东旭非定向10422951010681374.2479.89135101全日制343音乐刘健鹏非定向10422910422040895.0095.00135101全日制推荐免试音乐刘天煜姓名类别考生编号录取成绩复试成绩专业名称专业代码学习方式初试成绩定向委培单位非定向10422910422040993.0093.00135101全日制0推荐免试音乐卢文萍非定向10422910422040692.1492.14135101全日制0推荐免试音乐李敬宜非定向10422910422041292.0092.00135101全日制0推荐免试音乐王宇辰非定向10422910422041192.0092.00135101全日制0推荐免试音乐王茜非定向10422910422041389.0089.00135101全日制0推荐免试音乐赵廷雯非定向10422910422041087.0087.00135101全日制0推荐免试音乐孙铭旋非定向10422910422041490.7890.78135101全日制推荐免试 研究生支教团保留入学资格1年0音乐赵雅琦非定向10422910422040790.0090.00135101全日制推荐免试 研究生支教团保留入学资格1年0音乐李静非定向10422951010683674.0382.27135101非全日制329音乐姚孜怿非定向10422951010682873.4478.49135101非全日制342音乐刘金鹏非定向10422951091317973.1379.67135101非全日制333音乐马溪蔓非定向10422951010682072.7679.51135101非全日制330音乐皮筱冬非定向10422951091330987.4693.52135107全日制407美术公妍非定向10422951091331583.9493.08135107全日制374美术张雨婷非定向10422951010692283.6594.30135107全日制365美术王菲姓名类别考生编号录取成绩复试成绩专业名称专业代码学习方式初试成绩定向委培单位非定向10422951091327783.1391.05135107全日制376美术闫金芝非定向10422951091329382.6890.95135107全日制372美术张苏非定向10355928002074681.3392.45135107全日制351美术樊海平非定向10422910422041589.0089.00135107全日制0推荐免试美术陈欣茹非定向10422951010689682.0291.23135107非全日制364美术潘濛非定向10422951010690181.8487.88135107非全日制379美术陈雨杉非定向10422951010690080.5288.83135107非全日制361美术常小涵非定向10422951010689978.3788.13135107非全日制343美术付景菲非定向10422951010690277.7289.43135107非全日制330美术张涵非定向10422951010692077.6190.42135107非全日制324美术刘兴璞非定向10422951091328876.5383.27135107非全日制349美术韩睿非定向10422951091326366.2661.52135107非全日制355美术宋家瑞非定向10422951091334166.1260.03135107非全日制361美术王子怡非定向10422951010694285.9989.97135108全日制410艺术设计孙嘉怡非定向10422951010696981.1588.30135108全日制370艺术设计汪凌蔚姓名类别考生编号录取成绩复试成绩专业名称专业代码学习方式初试成绩定向委培单位非定向10422951091338980.2090.40135108全日制350艺术设计吕文佳非定向10422951091338479.7388.45135108全日制355艺术设计魏亦汝非定向10422951010693875.4378.65135108非全日制361艺术设计邵轶非定向10422951010696071.7479.28135108非全日制321艺术设计倪志韧。
统计与数据科学学院2019年博士研究生拟录取名单公示(硕博连读、申请考核制、直接攻博)
序号拟录取专业考生编号姓名拟录取导师录取成绩备注
1统计学100559101223006杨柳青刘民千94.5硕博连读2统计学100559101299016柳松楠刘民千90申请考核制3统计学100559101299017杨振宇徐铣明90申请考核制4统计学100559101299014武乐徐铣明85申请考核制5统计学100559100555006祁冠瑛刘民千79.7直接攻博6统计学100559100555010马维王磊76.1直接攻博7统计学100559100555005朱道忞王兆军84.8直接攻博8统计学100559100555003崔小龙王兆军80.3直接攻博9统计学100559100015004温梦涛王兆军74.2直接攻博10统计学100559100555009周正周永道79直接攻博11统计学100559107015008许少华周永道73.8直接攻博12统计学100559100555007牛钧葆邹长亮80.9直接攻博。
录取情况省市区名称 科类 录取专业最低分最高分32 江苏省 文史经济管理试验班398 402 32 江苏省 文史人文科学试验班(人文艺术传播类) 391 403
32 江苏省 文史社会科学试验班393
400
32 江苏省 文史外国语言文学类391
399
32 江苏省 理工电子信息类
402
406
32 江苏省 理工工科试验班
399
405
32 江苏省 理工计算机科学与技术406
411
试验班404
410
32 江苏省 理工口腔医学399
403
32 江苏省 理工理科试验班(数理科学类) 403
412
32 江苏省 理工理科试验班类(化学与生命科学类) 399
410
32 江苏省 理工理科试验班类(匡亚明学院大理科班) 408 413
32 江苏省 理工人工智能408
411
32 江苏省 理工软件工程402
406
32 江苏省 理工社会科学试验班400
407。
一、说明
1. 此名单为我院复试通过并上报学校审核的拟录取考生名单。
2. 最终录取名单由学校审核决定,以南京大学录取通知书为准。
体检、政审不合格者,不予录取。
有关调档与录取通知书发放等事宜,请直接与研究生院招生办公室联系。
3. 本名单不含推荐免试研究生。
二、各专业拟录取名单
经济学院:
1. 政治经济学(9人)
2. 西方经济学(2人)
3. 人口资源与环境经济学(1人)
4. 国民经济学(8人,含少民计划1人)
5. 金融学(18人,含少民计划2人)
6. 产业经济学(7人)
7. 国际贸易学(10人)
8. 世界经济(1人)
9. 数量经济学(6人)
10. 金融硕士(40人)
11. 国际商务硕士(21人)
管理学院:
1. 会计学(8人)
2. 企业管理(9人)
3. 企业管理专业人力资源方向(3人)
4. 企业管理专业市场营销方向(5人,含少民计划1人)
5. 企业管理专业电子商务方向(2人)
管理学院专业型硕士研究生拟录取名单详见后续通知。
南京大学商学院
二零一九年三月二十八日。
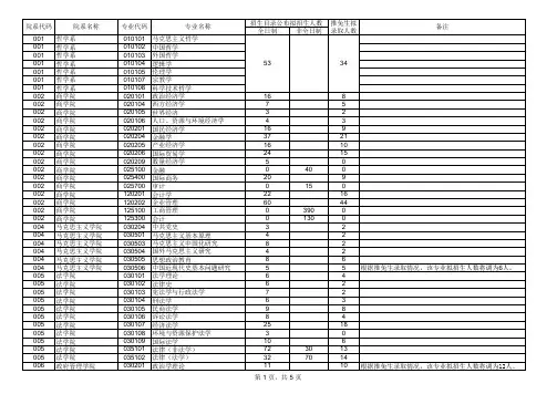
001哲学系010101马克思主义哲学5334001哲学系010102中国哲学001哲学系010103外国哲学001哲学系010104逻辑学001哲学系010105伦理学001哲学系010107宗教学001哲学系010108科学技术哲学002商学院020101政治经济学168002商学院020104西方经济学75002商学院020105世界经济32002商学院020106人口、资源与环境经济学43002商学院020201国民经济学169002商学院020204金融学3721002商学院020205产业经济学1610002商学院020206国际贸易学2415002商学院020209数量经济学50002商学院025100金融0400002商学院025400国际商务209002商学院025700审计0150002商学院120201会计学2216002商学院120202企业管理6044002商学院125100工商管理03900002商学院125300会计01300004马克思主义学院030204中共党史32004马克思主义学院030501马克思主义基本原理42004马克思主义学院030503马克思主义中国化研究82004马克思主义学院030504国外马克思主义研究42004马克思主义学院030505思想政治教育86004马克思主义学院030506中国近现代史基本问题研究55根据推免生录取情况,该专业拟招生人数将调为6人。
005法学院030101法学理论64005法学院030102法律史62005法学院030103宪法学与行政法学72005法学院030104刑法学63005法学院030105民商法学98005法学院030106诉讼法学84005法学院030107经济法学2518005法学院030108环境与资源保护法学30005法学院030109国际法学106005法学院035101法律(非法学)723013005法学院035102法律(法学)327014006政府管理学院030201政治学理论1110根据推免生录取情况,该专业拟招生人数将调为12人。
南京大学2019年硕士研究生复试录取工作意见今天为大家提供南京大学2019年硕士研究生复试录取工作意见,南京大学考研复试时间一般为3月16日—24日。
具体时间由各院(系)确定。
根据教育部《2019年全国硕士研究生招生工作管理规定》的具体要求,为加强和规范复试工作,经南京大学研究生招生工作领导小组同意,对我校2019年硕士生招生录取工作提出以下意见:2019年硕士生的录取工作继续坚持按需招生、德智体美劳全面衡量、保证质量、择优录取、宁缺毋滥的原则,继续按照学科门类(专业学位类别)确定复试基本分数线(附件1:南京大学2019年硕士研究生复试基本分数线)。
各院(系)在达到我校复试基本分数线的生源充足情况下,可根据本学科、专业特点向上调整本单位复试分数线。
复试是进一步考察考生是否符合硕士生培养要求的重要环节,该环节主要是加强对考生知识水平、创新能力、专业素养、协作精神、道德水准、人格特征和综合素质的考核。
各院(系)要在符合我校复试基本分数线(或本单位复试分数线)的考生中从高分到低分择优确定复试名单,且进行差额复试,差额比例原则上不低于1.2:1。
各院(系)应在复试录取办法和实施细则中明确复试比例。
各院(系)在考虑复试名单时应注意复试人数、招生计划、招生规模的平衡:1、确定招生计划和招生规模的依据:2018年的实际招生人数(少数民族高层次骨干人才计划和退役大学生士兵计划人数单列)、2019年的招生简章和招生目录、各院(系)的发展需求及学校的发展规划、国家下达的招生计划和招生规模、近两年的生源结构、培养质量、就业率等。
2、在计算招生计划数和总规模数时,应包括免试生、统考生、联考生、单考生、少数民族高层次骨干人才计划考生、退役大学生士兵计划考生等。
1、确定复试名单时间:3月6日—7日。
请各院(系)在规定时间将拟复试名单报研究生院批准。
未经研究生院同意,一律不准自行通知考生来校复试。
各院(系)复试名单确定后,尽快将复试通知(须注明本单位不同专业的复试时间、地点、形式、比例、科目、程序、排序办法以及同等学力加试办法等)、复试名单(含复试专业、姓名、考生编号、初试成绩等信息)报研究生院招生办备案后,在本院(系)网站对外公布,并要根据考生的联系电话,逐个通知复试考生。
2019年管理学院博士拟录取名单2019-04-241、本名单不含少民计划,少民录取名单将由校招生领导小组审议后再行公布。
2、最终录取名单以研究生院核定公布为准。
后续政审、体检、档案等事宜请关注南京大学研究生院网站相关通知。
序号报考专业考生编号考生姓名考试方式备注1 工商管理102849180200287 卜令通申请考核2 工商管理102849180200333 荣奎桢申请考核3 工商管理102849104220007 王肖宇直接攻博4 工商管理102849180200320 刘玥玥申请考核5 工商管理102849190200005 李智硕博连读6 工商管理102849180200352 肖咪咪申请考核7 工商管理102849180200291 常淼申请考核8 工商管理102849104230005 梁斐斐直接攻博9 工商管理102849180200372 周金帆申请考核10 工商管理102849104220006 柳汝泓直接攻博11 工商管理102849190200004 姜绍静硕博连读12 工商管理102849190200006 申颖君硕博连读13 工商管理102849100360008 张延直接攻博14 工商管理102849190200008 肖璐硕博连读15 工商管理102849180200345 王佳申请考核16 工商管理102849180200335 邵琪申请考核17 工商管理102849180200334 邵记友申请考核18 工商管理102849180200340 田鸣宇申请考核19 工商管理102849180200294 陈斯蕾申请考核20 工商管理102849180200375 朱頔申请考核21 工商管理102849180200346 王洁申请考核22 工商管理102849190200003 陈钰瑶硕博连读23 工商管理102849101730004 丁晨直接攻博名师计划24 工商管理102849180200349 魏丹霞申请考核25 工商管理102849180200302 何光远申请考核26 工商管理102849180200331 乔琳申请考核27 工商管理102849180200368 张旭申请考核28 会计学102849107300009 蒋影直接攻博名师计划29 会计学102849190200010 姜韬硕博连读30 会计学102849190200013 武钢硕博连读31 会计学102849180200378 陈彦颉申请考核32 会计学102849190200012 石慧硕博连读33 会计学102849190200011 栾佳锐硕博连读34 会计学102849180200399 马健申请考核南京大学管理学院2019年4月24日。
001建筑学院102869321308015金昊吉081300建筑学建筑设计及其理论统考非定向全日制001建筑学院102869613418793王逸凡081300建筑学建筑设计及其理论统考非定向全日制001建筑学院102869450117637韦舒懿081300建筑学建筑设计及其理论统考非定向全日制001建筑学院102869320201643卫运韬081300建筑学建筑设计及其理论统考非定向全日制001建筑学院102869100560001蒋嘉元081300建筑学建筑历史与理论推免非定向全日制001建筑学院102869102910003刘馨悦081300建筑学建筑历史与理论推免非定向全日制001建筑学院102869102140004苏清商081300建筑学建筑历史与理论推免非定向全日制001建筑学院102869105610010张靖081300建筑学建筑历史与理论推免非定向全日制001建筑学院102869102860011张扬帆081300建筑学建筑历史与理论推免非定向全日制001建筑学院102869105320012周俊081300建筑学建筑历史与理论推免非定向全日制001建筑学院102869320201651曹一鸣081300建筑学建筑历史与理论统考非定向全日制001建筑学院102869320201664何雪婷081300建筑学建筑历史与理论统考非定向全日制001建筑学院102869500117808胡芮冰081300建筑学建筑历史与理论统考非定向全日制001建筑学院102869510218015李沛泽081300建筑学建筑历史与理论统考非定向全日制001建筑学院102869500117810王天一081300建筑学建筑历史与理论统考非定向全日制001建筑学院102869320201659王媛媛081300建筑学建筑历史与理论统考非定向全日制001建筑学院102869430817195吴昌杰081300建筑学建筑历史与理论统考非定向全日制001建筑学院102869340512410严继鹏081300建筑学建筑历史与理论统考非定向全日制001建筑学院102869421216735袁媛081300建筑学建筑历史与理论统考非定向全日制001建筑学院102869102860002李亚楠081300建筑学建筑技术科学推免非定向全日制001建筑学院102869102860005王浩宇081300建筑学建筑技术科学推免非定向全日制001建筑学院102869103190006王鑫钰081300建筑学建筑技术科学推免非定向全日制001建筑学院102869102860007吴远德081300建筑学建筑技术科学推免非定向全日制001建筑学院102869102910008徐利明081300建筑学建筑技术科学推免非定向全日制001建筑学院102869103850009许珂081300建筑学建筑技术科学推免非定向全日制001建筑学院102869320201949陈珏081300建筑学建筑技术科学统考非定向全日制001建筑学院102869320201946胡亚珩081300建筑学建筑技术科学统考非定向全日制001建筑学院102869370114429任佳雯081300建筑学建筑技术科学统考非定向全日制001建筑学院102869342913368石子滢081300建筑学建筑技术科学统考非定向全日制001建筑学院102869320201947田帅081300建筑学建筑技术科学统考非定向全日制001建筑学院102869422916983王东平081300建筑学建筑技术科学统考非定向全日制001建筑学院102869320201948朱尊081300建筑学建筑技术科学统考非定向全日制001建筑学院102869103860014陈惠彬083300城乡规划学城乡规划设计与理论推免非定向全日制001建筑学院102869105330018韩迎083300城乡规划学城乡规划设计与理论推免非定向全日制001建筑学院102869102860019华澍而083300城乡规划学城乡规划设计与理论推免非定向全日制001建筑学院102869102860021陆琴辉083300城乡规划学城乡规划设计与理论推免非定向全日制001建筑学院102869106110022吕洁淳083300城乡规划学城乡规划设计与理论推免非定向全日制001建筑学院102869104290024牛琳083300城乡规划学城乡规划设计与理论推免非定向全日制001建筑学院102869102860025潘昌伟083300城乡规划学城乡规划设计与理论推免非定向全日制001建筑学院102869103590027韦榆瑶083300城乡规划学城乡规划设计与理论推免非定向全日制001建筑学院102869102860028谢华华083300城乡规划学城乡规划设计与理论推免非定向全日制001建筑学院102869105320029杨乐川083300城乡规划学城乡规划设计与理论推免非定向全日制001建筑学院102869102860031张珣083300城乡规划学城乡规划设计与理论推免非定向全日制001建筑学院102869106130032周星呈083300城乡规划学城乡规划设计与理论推免非定向全日制001建筑学院102869140205970郝丽珍083300城乡规划学城乡规划设计与理论统考非定向全日制001建筑学院102869320201564何国枫083300城乡规划学城乡规划设计与理论统考非定向全日制001建筑学院102869613418797齐卓旭083300城乡规划学城乡规划设计与理论统考非定向全日制001建筑学院102869320201573王行健083300城乡规划学城乡规划设计与理论统考非定向全日制001建筑学院102869510218033王逍083300城乡规划学城乡规划设计与理论统考非定向全日制001建筑学院102869320201575薛琴083300城乡规划学城乡规划设计与理论统考非定向全日制001建筑学院102869320201569印舜尧083300城乡规划学城乡规划设计与理论统考非定向全日制001建筑学院102869102860015程丽圆083300城乡规划学城乡规划历史与遗产保护推免非定向全日制001建筑学院102869102860016丁小雨083300城乡规划学城乡规划历史与遗产保护推免非定向全日制001建筑学院102869106110017葛臻083300城乡规划学城乡规划历史与遗产保护推免非定向全日制001建筑学院102869106110026权逸群083300城乡规划学城乡规划历史与遗产保护推免非定向全日制001建筑学院102869102860033周妍083300城乡规划学城乡规划历史与遗产保护推免非定向全日制001建筑学院102869103590034朱安然083300城乡规划学城乡规划历史与遗产保护推免非定向全日制001建筑学院102869341213009张梦083300城乡规划学城乡规划历史与遗产保护统考非定向全日制001建筑学院102869102860023梅亚楠083300城乡规划学区域发展与城乡总体规划推免非定向全日制001建筑学院102869102860030张蒙083300城乡规划学区域发展与城乡总体规划推免非定向全日制001建筑学院102869611618609李文艳083300城乡规划学区域发展与城乡总体规划统考非定向全日制001建筑学院102869320201568沈天意083300城乡规划学区域发展与城乡总体规划统考非定向全日制001建筑学院102869102860013常恺旎083300城乡规划学城乡住区规划与社区发展推免非定向全日制001建筑学院102869102860020刘昱杉083300城乡规划学城乡住区规划与社区发展推免非定向全日制001建筑学院102869330111047姜紫来083300城乡规划学城乡规划技术与管理统考非定向全日制001建筑学院102869320201574郑捷敏083300城乡规划学城乡规划技术与管理统考非定向全日制001建筑学院102869102860035程子倩083400风景园林学园林与景观设计推免非定向全日制001建筑学院102869106350036韩晓昱083400风景园林学园林与景观设计推免非定向全日制001建筑学院102869105610037刘可欣083400风景园林学园林与景观设计推免非定向全日制001建筑学院102869102860038张潇涵083400风景园林学园林与景观设计推免非定向全日制001建筑学院102869340412260张宇弛083400风景园林学园林与景观设计统考非定向全日制001建筑学院102869340412261刘玲玲083400风景园林学风景园林历史与理论统考非定向全日制001建筑学院102869106980039白雨085100建筑学(专业学位)建筑设计及其理论推免非定向全日制001建筑学院102869104860040包阳085100建筑学(专业学位)建筑设计及其理论推免非定向全日制001建筑学院102869100800041卜笑天085100建筑学(专业学位)建筑设计及其理论推免非定向全日制001建筑学院102869102860042陈晔085100建筑学(专业学位)建筑设计及其理论推免非定向全日制001建筑学院102869101530043迟铭085100建筑学(专业学位)建筑设计及其理论推免非定向全日制001建筑学院102869106740044初冠龙085100建筑学(专业学位)建筑设计及其理论推免非定向全日制001建筑学院102869102900045丁奔085100建筑学(专业学位)建筑设计及其理论推免非定向全日制001建筑学院102869103590046甘羽085100建筑学(专业学位)建筑设计及其理论推免非定向全日制001建筑学院102869100800047高鹏程085100建筑学(专业学位)建筑设计及其理论推免非定向全日制001建筑学院102869102860048高晏如085100建筑学(专业学位)建筑设计及其理论推免非定向全日制001建筑学院102869102860049高亦超085100建筑学(专业学位)建筑设计及其理论推免非定向全日制001建筑学院102869102130050胡磊085100建筑学(专业学位)建筑设计及其理论推免非定向全日制001建筑学院102869104630051黄宜文085100建筑学(专业学位)建筑设计及其理论推免非定向全日制001建筑学院102869101450052黄怿昕085100建筑学(专业学位)建筑设计及其理论推免非定向全日制001建筑学院102869102860053简海睿085100建筑学(专业学位)建筑设计及其理论推免非定向全日制001建筑学院102869104970055金玉泽085100建筑学(专业学位)建筑设计及其理论推免非定向全日制001建筑学院102869101530056赖柯帆085100建筑学(专业学位)建筑设计及其理论推免非定向全日制001建筑学院102869104970058李金泽085100建筑学(专业学位)建筑设计及其理论推免非定向全日制001建筑学院102869101530059李孟睿085100建筑学(专业学位)建筑设计及其理论推免非定向全日制001建筑学院102869106740060李文颢085100建筑学(专业学位)建筑设计及其理论推免非定向全日制001建筑学院102869102910061林达085100建筑学(专业学位)建筑设计及其理论推免非定向全日制001建筑学院102869103590062林斯媛085100建筑学(专业学位)建筑设计及其理论推免非定向全日制001建筑学院102869102860063刘影竹085100建筑学(专业学位)建筑设计及其理论推免非定向全日制001建筑学院102869103590064刘映瞳085100建筑学(专业学位)建筑设计及其理论推免非定向全日制001建筑学院102869104970066卢珍锐085100建筑学(专业学位)建筑设计及其理论推免非定向全日制001建筑学院102869105330067彭舒妍085100建筑学(专业学位)建筑设计及其理论推免非定向全日制001建筑学院102869101450068祁恬085100建筑学(专业学位)建筑设计及其理论推免非定向全日制001建筑学院102869102860069乔润泽085100建筑学(专业学位)建筑设计及其理论推免非定向全日制001建筑学院102869102860070任紫湫085100建筑学(专业学位)建筑设计及其理论推免非定向全日制001建筑学院102869101410073眭格瑞085100建筑学(专业学位)建筑设计及其理论推免非定向全日制001建筑学院102869104590074孙曦梦085100建筑学(专业学位)建筑设计及其理论推免非定向全日制001建筑学院102869106100076覃圣杰085100建筑学(专业学位)建筑设计及其理论推免非定向全日制001建筑学院102869102900077唐学思085100建筑学(专业学位)建筑设计及其理论推免非定向全日制001建筑学院102869106130079王浩085100建筑学(专业学位)建筑设计及其理论推免非定向全日制001建筑学院102869102860081吴佳倩085100建筑学(专业学位)建筑设计及其理论推免非定向全日制001建筑学院102869101450082吴剑超085100建筑学(专业学位)建筑设计及其理论推免非定向全日制001建筑学院102869101450083吴柳漪085100建筑学(专业学位)建筑设计及其理论推免非定向全日制001建筑学院102869102800084吴晓敏085100建筑学(专业学位)建筑设计及其理论推免非定向全日制001建筑学院102869103370086吴正浩085100建筑学(专业学位)建筑设计及其理论推免非定向全日制001建筑学院102869103840087武诗葭085100建筑学(专业学位)建筑设计及其理论推免非定向全日制001建筑学院102869102860088肖强085100建筑学(专业学位)建筑设计及其理论推免非定向全日制001建筑学院102869106990089许嘉航085100建筑学(专业学位)建筑设计及其理论推免非定向全日制001建筑学院102869103590090许娟085100建筑学(专业学位)建筑设计及其理论推免非定向全日制001建筑学院102869102860091杨宸085100建筑学(专业学位)建筑设计及其理论推免非定向全日制001建筑学院102869106990092杨正豪085100建筑学(专业学位)建筑设计及其理论推免非定向全日制001建筑学院102869102860093叶波085100建筑学(专业学位)建筑设计及其理论推免非定向全日制001建筑学院102869103840094尹沁雪085100建筑学(专业学位)建筑设计及其理论推免非定向全日制001建筑学院102869104870096余苗苗085100建筑学(专业学位)建筑设计及其理论推免非定向全日制001建筑学院102869104590097袁玥085100建筑学(专业学位)建筑设计及其理论推免非定向全日制001建筑学院102869106110098张廷昊085100建筑学(专业学位)建筑设计及其理论推免非定向全日制001建筑学院102869102860099赵文锐085100建筑学(专业学位)建筑设计及其理论推免非定向全日制001建筑学院102869102850100邹玥085100建筑学(专业学位)建筑设计及其理论推免非定向全日制001建筑学院102869320201625蔡烨标085100建筑学(专业学位)建筑设计及其理论统考非定向全日制001建筑学院102869321308012曾雷竣085100建筑学(专业学位)建筑设计及其理论统考非定向全日制001建筑学院102869611718626陈顶085100建筑学(专业学位)建筑设计及其理论统考非定向全日制001建筑学院102869320201592陈富强085100建筑学(专业学位)建筑设计及其理论统考非定向全日制001建筑学院102869510218008陈嘉逸085100建筑学(专业学位)建筑设计及其理论统考非定向全日制001建筑学院102869375715596陈修桦085100建筑学(专业学位)建筑设计及其理论统考非定向全日制001建筑学院102869431517289陈洋085100建筑学(专业学位)建筑设计及其理论统考非定向全日制001建筑学院102869320201631陈志磊085100建筑学(专业学位)建筑设计及其理论统考非定向全日制001建筑学院102869375615543傅逸君085100建筑学(专业学位)建筑设计及其理论统考非定向全日制001建筑学院102869140205958高家乐085100建筑学(专业学位)建筑设计及其理论统考非定向全日制001建筑学院102869321308011顾宇085100建筑学(专业学位)建筑设计及其理论统考非定向全日制001建筑学院102869410415717韩青085100建筑学(专业学位)建筑设计及其理论统考非定向全日制001建筑学院102869345913545侯扬帆085100建筑学(专业学位)建筑设计及其理论统考非定向全日制001建筑学院102869350113820黄逸帆085100建筑学(专业学位)建筑设计及其理论统考非定向全日制001建筑学院102869375715597李斐085100建筑学(专业学位)建筑设计及其理论统考非定向全日制001建筑学院102869351213988林诗怡085100建筑学(专业学位)建筑设计及其理论统考非定向全日制001建筑学院102869375715584刘源科085100建筑学(专业学位)建筑设计及其理论统考非定向全日制001建筑学院102869320201628陆睿085100建筑学(专业学位)建筑设计及其理论统考非定向全日制001建筑学院102869321408348苗田野085100建筑学(专业学位)建筑设计及其理论统考非定向全日制001建筑学院102869320201585庞家琪085100建筑学(专业学位)建筑设计及其理论统考非定向全日制001建筑学院102869210806615邱健雨085100建筑学(专业学位)建筑设计及其理论统考非定向全日制001建筑学院102869321508804任嘉豪085100建筑学(专业学位)建筑设计及其理论统考非定向全日制001建筑学院102869375615553尚岩青085100建筑学(专业学位)建筑设计及其理论统考非定向全日制001建筑学院102869375715586王家鑫085100建筑学(专业学位)建筑设计及其理论统考非定向全日制001建筑学院102869320201595王蓉蓉085100建筑学(专业学位)建筑设计及其理论统考非定向全日制001建筑学院102869430317056王瑞085100建筑学(专业学位)建筑设计及其理论统考非定向全日制001建筑学院102869510218000王润泽085100建筑学(专业学位)建筑设计及其理论统考非定向全日制001建筑学院102869375615556王为仁085100建筑学(专业学位)建筑设计及其理论统考非定向全日制001建筑学院102869140205956徐欣荣085100建筑学(专业学位)建筑设计及其理论统考非定向全日制001建筑学院102869375615541杨喻茜085100建筑学(专业学位)建筑设计及其理论统考非定向全日制001建筑学院102869613318690姚鑫085100建筑学(专业学位)建筑设计及其理论统考非定向全日制001建筑学院102869320201609张琳惠085100建筑学(专业学位)建筑设计及其理论统考非定向全日制001建筑学院102869341012848张千085100建筑学(专业学位)建筑设计及其理论统考非定向全日制001建筑学院102869320201618张鑫085100建筑学(专业学位)建筑设计及其理论统考非定向全日制001建筑学院102869114130057李晨阳085100建筑学(专业学位)城市设计与理论推免非定向全日制001建筑学院102869341112911刘菡畅085100建筑学(专业学位)建筑历史理论统考非定向全日制001建筑学院102869351213992刘雪纯085100建筑学(专业学位)建筑历史理论统考非定向全日制001建筑学院102869130405698牛欢085100建筑学(专业学位)建筑历史理论统考非定向全日制001建筑学院102869320201601谢冰085100建筑学(专业学位)建筑历史理论统考非定向全日制001建筑学院102869330111031杨金杰085100建筑学(专业学位)建筑历史理论统考非定向全日制001建筑学院102869321508803李玲娇085100建筑学(专业学位)建筑遗产保护统考非定向全日制001建筑学院102869450717696农心韵085100建筑学(专业学位)建筑遗产保护统考非定向全日制001建筑学院102869106130054金宇航085100建筑学(专业学位)建筑技术科学推免非定向全日制001建筑学院102869104860065卢勇东085100建筑学(专业学位)建筑技术科学推免非定向全日制001建筑学院102869100050071盛励085100建筑学(专业学位)建筑技术科学推免非定向全日制001建筑学院102869101410072宋丹085100建筑学(专业学位)建筑技术科学推免非定向全日制001建筑学院102869104590075孙学林085100建筑学(专业学位)建筑技术科学推免非定向全日制001建筑学院102869107550078王朝红085100建筑学(专业学位)建筑技术科学推免非定向全日制001建筑学院102869104250080王明琦085100建筑学(专业学位)建筑技术科学推免非定向全日制001建筑学院102869103370085吴娱085100建筑学(专业学位)建筑技术科学推免非定向全日制001建筑学院102869104290095于新蕾085100建筑学(专业学位)建筑技术科学推免非定向全日制001建筑学院102869320201620陈传凯085100建筑学(专业学位)建筑技术科学统考非定向全日制001建筑学院102869330111034沈隆085100建筑学(专业学位)建筑技术科学统考非定向全日制001建筑学院102869320201613石紫宸085100建筑学(专业学位)建筑技术科学统考非定向全日制001建筑学院102869431517290姚萌085100建筑学(专业学位)建筑技术科学统考非定向全日制001建筑学院102869320201673周晓晗085100建筑学(专业学位)建筑技术科学统考非定向全日制001建筑学院102869321809370朱郁松085100建筑学(专业学位)建筑技术科学统考非定向全日制001建筑学院102869102860101蔡莹莹085300城市规划(专业学位)城乡规划设计与理论推免非定向全日制001建筑学院102869103370102何芊荟085300城市规划(专业学位)城乡规划设计与理论推免非定向全日制001建筑学院102869104870103金桐羽085300城市规划(专业学位)城乡规划设计与理论推免非定向全日制001建筑学院102869101530105刘璐085300城市规划(专业学位)城乡规划设计与理论推免非定向全日制001建筑学院102869102130106刘蒙085300城市规划(专业学位)城乡规划设计与理论推免非定向全日制001建筑学院102869104970109文鹏085300城市规划(专业学位)城乡规划设计与理论推免非定向全日制001建筑学院102869104870112张方圆085300城市规划(专业学位)城乡规划设计与理论推免非定向全日制001建筑学院102869106110113赵晨西085300城市规划(专业学位)城乡规划设计与理论推免非定向全日制001建筑学院102869500117817罗梦麟085300城市规划(专业学位)城乡规划设计与理论统考非定向全日制001建筑学院102869321408365南雅卿085300城市规划(专业学位)城乡规划设计与理论统考非定向全日制001建筑学院102869320201554王智康085300城市规划(专业学位)城乡规划设计与理论统考非定向全日制001建筑学院102869500117820徐晗婧085300城市规划(专业学位)城乡规划设计与理论统考非定向全日制001建筑学院102869500117818袁心怡085300城市规划(专业学位)城乡规划设计与理论统考非定向全日制001建筑学院102869320201553张元085300城市规划(专业学位)城乡规划设计与理论统考非定向全日制001建筑学院102869320201556张政承085300城市规划(专业学位)城乡规划设计与理论统考非定向全日制001建筑学院102869102910111余姗姗085300城市规划(专业学位)城乡规划历史与遗产保护推免非定向全日制001建筑学院102869320201555高加欣085300城市规划(专业学位)城乡规划历史与遗产保护统考非定向全日制001建筑学院102869104860104李鹏程085300城市规划(专业学位)区域发展与城乡总体规划推免非定向全日制001建筑学院102869120105389李璐085300城市规划(专业学位)区域发展与城乡总体规划统考非定向全日制001建筑学院102869106100107全雨霏085300城市规划(专业学位)城乡住区规划与社区发展推免非定向全日制001建筑学院102869102130110余畅085300城市规划(专业学位)城乡住区规划与社区发展推免非定向全日制001建筑学院102869321408363李嘉欣085300城市规划(专业学位)城乡住区规划与社区发展统考非定向全日制001建筑学院102869102860108王欣然085300城市规划(专业学位)城乡规划技术与管理推免非定向全日制001建筑学院102869102880121夏西子095300风景园林(专业学位)园林与景观设计推免非定向全日制001建筑学院102869103590123杨雨晴095300风景园林(专业学位)园林与景观设计推免非定向全日制001建筑学院102869102850125张钰095300风景园林(专业学位)园林与景观设计推免非定向全日制001建筑学院102869102860126朱源林095300风景园林(专业学位)园林与景观设计推免非定向全日制001建筑学院102869340812741陈洁颖095300风景园林(专业学位)园林与景观设计统考非定向全日制001建筑学院102869320201520高雯汐095300风景园林(专业学位)园林与景观设计统考非定向全日制001建筑学院102869320201527陆晨095300风景园林(专业学位)园林与景观设计统考非定向全日制001建筑学院102869320201529汪宝丽095300风景园林(专业学位)园林与景观设计统考非定向全日制001建筑学院102869340111604肖宛林095300风景园林(专业学位)园林与景观设计统考非定向全日制001建筑学院102869613418794张淼玥095300风景园林(专业学位)园林与景观设计统考非定向全日制001建筑学院102869320201523张宁095300风景园林(专业学位)园林与景观设计统考非定向全日制001建筑学院102869220706985张倚云095300风景园林(专业学位)园林与景观设计统考非定向全日制001建筑学院102869102980114董茹095300风景园林(专业学位)风景园林历史与理论推免非定向全日制001建筑学院102869103860116林晓珊095300风景园林(专业学位)风景园林历史与理论推免非定向全日制001建筑学院102869320201543耿铭伟095300风景园林(专业学位)风景园林历史与理论统考非定向全日制001建筑学院102869320201542周彦玢095300风景园林(专业学位)风景园林历史与理论统考非定向全日制001建筑学院102869102980115姜戴裕095300风景园林(专业学位)大地景观规划与生态修复推免非定向全日制001建筑学院102869102250117卢馨逸095300风景园林(专业学位)大地景观规划与生态修复推免非定向全日制001建筑学院102869105380119吴晓安095300风景园林(专业学位)大地景观规划与生态修复推免非定向全日制001建筑学院102869106130120习羽095300风景园林(专业学位)大地景观规划与生态修复推免非定向全日制001建筑学院102869106260122徐珂095300风景园林(专业学位)大地景观规划与生态修复推免非定向全日制001建筑学院102869102860124张梦斓095300风景园林(专业学位)大地景观规划与生态修复推免非定向全日制001建筑学院102869320201546朱芯彤095300风景园林(专业学位)大地景观规划与生态修复统考非定向全日制001建筑学院102869104030118彭冰聪095300风景园林(专业学位)游憩与景观建筑设计推免非定向全日制001建筑学院102869321408358丁璨095300风景园林(专业学位)数字景观及其技术统考非定向全日制001建筑学院102869430817198李忆瑶095300风景园林(专业学位)数字景观及其技术统考非定向全日制001建筑学院102869430817196谢猛095300风景园林(专业学位)数字景观及其技术统考非定向全日制002机械工程学院102869102880128陈道梁080200机械工程机械制造及其自动化推免非定向全日制002机械工程学院102869101120132邓东文080200机械工程机械制造及其自动化推免非定向全日制002机械工程学院102869102860142刘皓央080200机械工程机械制造及其自动化推免非定向全日制002机械工程学院102869102990143刘莹080200机械工程机械制造及其自动化推免非定向全日制002机械工程学院102869102860145刘子昂080200机械工程机械制造及其自动化推免非定向全日制002机械工程学院102869101120148马天池080200机械工程机械制造及其自动化推免非定向全日制002机械工程学院102869102880152乔卫君080200机械工程机械制造及其自动化推免非定向全日制002机械工程学院102869102990156王凡勋080200机械工程机械制造及其自动化推免非定向全日制002机械工程学院102869102880158王胜080200机械工程机械制造及其自动化推免非定向全日制002机械工程学院102869102860162徐亚辉080200机械工程机械制造及其自动化推免非定向全日制002机械工程学院102869102880163杨杨080200机械工程机械制造及其自动化推免非定向全日制002机械工程学院102869102880166张金翔080200机械工程机械制造及其自动化推免非定向全日制002机械工程学院102869102860167张曼080200机械工程机械制造及其自动化推免非定向全日制002机械工程学院102869101120172赵晓航080200机械工程机械制造及其自动化推免非定向全日制002机械工程学院102869102860149潘立080200机械工程机械制造及其自动化推免非定向全日制支教团002机械工程学院102869320201989蔡明宇080200机械工程机械制造及其自动化统考非定向全日制002机械工程学院102869340211980曹苏生080200机械工程机械制造及其自动化统考非定向全日制002机械工程学院102869321909754陈加明080200机械工程机械制造及其自动化统考非定向全日制002机械工程学院102869231807287陈牧080200机械工程机械制造及其自动化统考非定向全日制002机械工程学院102869321308033陈晔080200机械工程机械制造及其自动化统考非定向全日制002机械工程学院102869321207721丁铭沙080200机械工程机械制造及其自动化统考非定向全日制002机械工程学院102869421416777李雪梅080200机械工程机械制造及其自动化统考非定向全日制002机械工程学院102869320201964林永强080200机械工程机械制造及其自动化统考非定向全日制002机械工程学院102869370815214田如帅080200机械工程机械制造及其自动化统考非定向全日制002机械工程学院102869340412273田云080200机械工程机械制造及其自动化统考非定向全日制002机械工程学院102869322410911吴凯080200机械工程机械制造及其自动化统考非定向全日制002机械工程学院102869320202006杨利鑫080200机械工程机械制造及其自动化统考非定向全日制002机械工程学院102869322210416张成080200机械工程机械制造及其自动化统考非定向全日制002机械工程学院102869102880127鲍琳080200机械工程机械电子工程推免非定向全日制002机械工程学院102869102860131代雷080200机械工程机械电子工程推免非定向全日制002机械工程学院102869102860133桂超080200机械工程机械电子工程推免非定向全日制002机械工程学院102869102860138李阳080200机械工程机械电子工程推免非定向全日制002机械工程学院102869102860139林福金080200机械工程机械电子工程推免非定向全日制002机械工程学院102869102880146陆晓钰080200机械工程机械电子工程推免非定向全日制002机械工程学院102869102990150潘宇豪080200机械工程机械电子工程推免非定向全日制002机械工程学院102869102860153史章昆080200机械工程机械电子工程推免非定向全日制002机械工程学院102869102900154孙孟泽080200机械工程机械电子工程推免非定向全日制002机械工程学院102869102860157王杰080200机械工程机械电子工程推免非定向全日制002机械工程学院102869102860160吴欣恺080200机械工程机械电子工程推免非定向全日制002机械工程学院102869102860161奚佳栋080200机械工程机械电子工程推免非定向全日制002机械工程学院102869102860169张宇轩080200机械工程机械电子工程推免非定向全日制002机械工程学院102869102880171赵超丹080200机械工程机械电子工程推免非定向全日制002机械工程学院102869322210415鲍航080200机械工程机械电子工程统考非定向全日制002机械工程学院102869320201982曾祥080200机械工程机械电子工程统考非定向全日制002机械工程学院102869320202004陈家诺080200机械工程机械电子工程统考非定向全日制002机械工程学院102869320201991陈瑞祥080200机械工程机械电子工程统考非定向全日制002机械工程学院102869430417100董慧080200机械工程机械电子工程统考非定向全日制002机械工程学院102869320202007顾增道080200机械工程机械电子工程统考非定向全日制002机械工程学院102869411615941江源080200机械工程机械电子工程统考非定向全日制002机械工程学院102869320201988刘健均080200机械工程机械电子工程统考非定向全日制002机械工程学院102869311407443刘志怡080200机械工程机械电子工程统考非定向全日制002机械工程学院102869320201987骆诚080200机械工程机械电子工程统考非定向全日制002机械工程学院102869322009992王成080200机械工程机械电子工程统考非定向全日制002机械工程学院102869321909756尤康仁080200机械工程机械电子工程统考非定向全日制002机械工程学院102869322410910于继勇080200机械工程机械电子工程统考非定向全日制002机械工程学院102869211706740张智勇080200机械工程机械电子工程统考非定向全日制002机械工程学院102869102880129陈恒锐080200机械工程机械设计及理论推免非定向全日制002机械工程学院102869103840130陈璐080200机械工程机械设计及理论推免非定向全日制002机械工程学院102869102900134韩东080200机械工程机械设计及理论推免非定向全日制002机械工程学院102869102860137李涛080200机械工程机械设计及理论推免非定向全日制002机械工程学院102869102880144刘治国080200机械工程机械设计及理论推免非定向全日制002机械工程学院102869106110151戚天航080200机械工程机械设计及理论推免非定向全日制002机械工程学院102869102860155王成080200机械工程机械设计及理论推免非定向全日制002机械工程学院102869104970159王芸080200机械工程机械设计及理论推免非定向全日制002机械工程学院102869102880165余梦080200机械工程机械设计及理论推免非定向全日制002机械工程学院102869102860168张一涛080200机械工程机械设计及理论推免非定向全日制002机械工程学院102869102860170张政080200机械工程机械设计及理论推免非定向全日制002机械工程学院102869320201966陈子杰080200机械工程机械设计及理论统考非定向全日制002机械工程学院102869320202001丁超080200机械工程机械设计及理论统考非定向全日制002机械工程学院102869321207716郭建伦080200机械工程机械设计及理论统考非定向全日制002机械工程学院102869321408396王晨080200机械工程机械设计及理论统考非定向全日制002机械工程学院102869320202005王迪080200机械工程机械设计及理论统考非定向全日制002机械工程学院102869102860136李荣粲080200机械工程车辆工程推免非定向全日制002机械工程学院102869102860140林中盛080200机械工程车辆工程推免非定向全日制002机械工程学院102869102160141刘昊吉080200机械工程车辆工程推免非定向全日制002机械工程学院102869102990164于晨风080200机械工程车辆工程推免非定向全日制002机械工程学院102869102130173郑芝芸080200机械工程车辆工程推免非定向全日制002机械工程学院102869106130174周毅晨080200机械工程车辆工程推免非定向全日制002机械工程学院102869370214710胡敬宇080200机械工程车辆工程统考非定向全日制002机械工程学院102869320201996聂恒080200机械工程车辆工程统考非定向全日制002机械工程学院102869514618245朱雪冬080200机械工程车辆工程统考非定向全日制002机械工程学院102869102860135冷珊珊080200机械工程工业工程推免非定向全日制002机械工程学院102869102870147罗建竹080200机械工程工业工程推免非定向全日制002机械工程学院102869214506876吕然080200机械工程工业工程统考非定向全日制002机械工程学院102869102880178方波085201机械工程(专业学位)机械制造及其自动化推免非定向全日制002机械工程学院102869107310180胡钧阳085201机械工程(专业学位)机械制造及其自动化推免非定向全日制002机械工程学院102869106130181黄佳圣085201机械工程(专业学位)机械制造及其自动化推免非定向全日制002机械工程学院102869104220184刘慕青085201机械工程(专业学位)机械制造及其自动化推免非定向全日制002机械工程学院102869102860186毛士麟085201机械工程(专业学位)机械制造及其自动化推免非定向全日制002机械工程学院102869102900190严乾085201机械工程(专业学位)机械制造及其自动化推免非定向全日制002机械工程学院102869102950193周飞达085201机械工程(专业学位)机械制造及其自动化推免非定向全日制002机械工程学院102869102860185刘彦豪085201机械工程(专业学位)机械制造及其自动化推免非定向全日制支教团002机械工程学院102869321508826曹昱栋085201机械工程(专业学位)机械制造及其自动化统考非定向全日制。
【复试】2019南京大学新闻与传播(MJC)、出版专硕考研复试科目、复试分数线、录取人数、录取名单、导师介绍三、南京大学新闻与传播报录比2018年报名人数476人,录取76人四、2018南京大学硕士研究生拟录取名单新闻与传播出版2、复试完毕后,各招生院(系)要及时将复试成绩及结果通知考生本人,特别是复试不合格或复试合格但因名额限制不能录取的考生。
3、对同等学力考生(包括大专毕业生、普通高校本科结业生),必须严格复试(工商管理硕士等专业学位研究生按照相应教育指导委员会的要求执行)。
应加试2门所报考专业的本科主干课程,且不得与初试科目相同。
加试方式为笔试,每门课考试时间3小时,满分150分。
加试科目的成绩不记入复试总成绩,但有1门加试科目低于90分者,不予录取。
六、南京大学新闻传播学院导师介绍1、巢乃鹏现任职务:南京大学新闻传播学院教授,博士生导师;南京大学网络传播研究中心主任,南京大学计算传播学实验中心主任研究领域:网络传播与新媒体研究、计算传播研究开设主要课程:博士生课程:《新闻传播理论前沿》硕士生课程:《新媒体研究》本科生课程:《新媒体传播》、《新媒体广告》2、朱丽丽现任职务:南京大学新闻传播学院教授,硕士研究生导师。
中国新闻史学会视听传播学会理事,高校影视学会媒介文化研究专业委员会理事,江苏省传媒艺术研究会理事。
研究领域:媒介文化研究、青年亚文化研究、粉丝文化研究、影视研究等等开设主要课程:研究生课程:《媒介文化研究》本科生课程:《影视美学》、《电影学》、《看电影》、《受众研究》、《现当代文学》、《影视剧研究》3、周海燕现任职务:南京大学新闻传播学院新闻系教授,硕士研究生导师,南京大学传媒教学示范中心新闻采编实验室主任研究领域:大众媒体与社会记忆研究、新闻采写业务、新闻伦理与法规研究等。
开设主要课程:新闻基础采写、中外经典新闻作品选读、大众媒介与集体记忆4、胡翼青现任职务:南京大学新闻传播学院副院长、教授、博士生导师,传播与社会研究所所长开设主要课程:1、全校公选课:《西方传播学思潮》2、博士研究生必修课程:《新闻传播理论基础》3、硕士研究生必修课程:《传播学专题》4、本科平台课程:《媒介通论》5、本科专业课:《社会心理学》、《广告心理学》等。
南京大学2019年硕士研究生拟录取名单注:总成绩计算方法参见各院系招生目录及复试方案录取院系录取专业考生编号姓名录取类别学习方式考试方式政治外语业一业二初试总分复试成绩总成绩备注哲学系学硕-马克思主义哲学102849104870293陈朦非定向全日制推荐免试合格合格哲学系学硕-马克思主义哲学102849210109881冯泽坤非定向全日制全国统考617099126356238.00594.00哲学系学硕-马克思主义哲学102849101830294郭富宁非定向全日制推荐免试合格合格哲学系学硕-马克思主义哲学102849102840295孔伟宇非定向全日制推荐免试合格合格哲学系学硕-马克思主义哲学102849210119414李桂君非定向全日制全国统考696911295345208.00553.00哲学系学硕-马克思主义哲学102849102120296李俊鑫非定向全日制推荐免试合格合格哲学系学硕-马克思主义哲学102849104220297刘扬非定向全日制推荐免试合格合格哲学系学硕-马克思主义哲学102849102000298潘铃英非定向全日制推荐免试合格合格哲学系学硕-马克思主义哲学102849101830299阮玉非定向全日制推荐免试合格合格哲学系学硕-马克思主义哲学102849102840300王雪郦非定向全日制推荐免试合格合格哲学系学硕-马克思主义哲学102849101830301王云鹏非定向全日制推荐免试合格合格哲学系学硕-马克思主义哲学102849102840302袁婷婷非定向全日制推荐免试合格合格哲学系学硕-中国哲学102849107300303丁香滢非定向全日制推荐免试合格合格哲学系学硕-中国哲学102849210119037董文娟非定向全日制全国统考6355109113340281.40621.40哲学系学硕-中国哲学102849103840304高章连非定向全日制推荐免试合格合格哲学系学硕-中国哲学102849210114831黄唯青非定向全日制全国统考717591123360282.80642.80哲学系学硕-中国哲学102849101410305季良玉非定向全日制推荐免试合格合格哲学系学硕-中国哲学102849104030306赖小龙非定向全日制推荐免试合格合格哲学系学硕-中国哲学102849210112795李明玉非定向全日制全国统考6572110122369283.60652.60哲学系学硕-中国哲学102849107300307梁媛非定向全日制推荐免试合格合格哲学系学硕-中国哲学102849210123910孟驱洋非定向全日制全国统考6860110128366288.00654.00哲学系学硕-中国哲学102849210121755唐吉非定向全日制全国统考7481106113374286.20660.20哲学系学硕-中国哲学102849210114448王港妹非定向全日制全国统考615797*********.40610.40哲学系学硕-中国哲学102849102860308张露非定向全日制推荐免试合格合格哲学系学硕-中国哲学102849104860309张雪琪非定向全日制推荐免试合格合格哲学系学硕-中国哲学102849100550310郑涵丹非定向全日制推荐免试合格合格哲学系学硕-外国哲学102849105580311蔡典非定向全日制推荐免试合格合格哲学系学硕-外国哲学102849106110312邓连冲非定向全日制推荐免试合格合格哲学系学硕-外国哲学102849106100313李嘉琪非定向全日制推荐免试合格合格哲学系学硕-外国哲学102849100270314马嗣瑞非定向全日制推荐免试合格合格哲学系学硕-外国哲学102849210123867牛亚雷非定向全日制全国统考676410092323241.20564.20哲学系学硕-外国哲学102849102850315史季非定向全日制推荐免试合格合格哲学系学硕-外国哲学102849210100010俞泉林非定向全日制全国统考6671125117379278.20657.20哲学系学硕-逻辑学102849106510316关骏俊非定向全日制推荐免试合格合格哲学系学硕-逻辑学102849210107842刘思邑非定向全日制全国统考7663128140407271.60678.60哲学系学硕-逻辑学102849102840317刘雨轩非定向全日制推荐免试合格合格哲学系学硕-逻辑学102849102840318张蓓非定向全日制推荐免试合格合格哲学系学硕-逻辑学102849210117325张文华非定向全日制全国统考6867121139395253.20648.20哲学系学硕-伦理学102849104750320李明晗非定向全日制推荐免试合格合格哲学系学硕-伦理学102849210117411张颖非定向全日制全国统考6866106123363260.80623.80哲学系学硕-宗教学102849210100015樊铮炎非定向全日制全国统考7576105137393255.00648.00哲学系学硕-宗教学102849106350321傅小倚非定向全日制推荐免试合格合格哲学系学硕-宗教学102849104030322桂玲非定向全日制推荐免试合格合格哲学系学硕-宗教学102849104030323黄旭懋非定向全日制推荐免试合格合格哲学系学硕-宗教学102849210117412刘淇梦非定向全日制全国统考6958119137383259.00642.00哲学系学硕-宗教学102849103570324史荣帅非定向全日制推荐免试合格合格哲学系学硕-宗教学102849102840325钟涵蕾非定向全日制推荐免试合格合格哲学系学硕-科学技术哲学102849210108916戴佳纯非定向全日制全国统考6069103112344280.00624.00哲学系学硕-科学技术哲学102849100550326冯雨晴非定向全日制推荐免试合格合格哲学系学硕-科学技术哲学102849210122042司祎非定向全日制全国统考6153124134372262.00634.00哲学系学硕-科学技术哲学102849210122365覃敏星定向全日制全国统考6670106104346250.00596.00少民计划非在职哲学系学硕-科学技术哲学102849210109308王安琪非定向全日制全国统考7377103129382278.00660.00商学院学硕-政治经济学102849210215454曹书灵非定向全日制全国统考7674132128410261.40671.40商学院学硕-政治经济学102849102840327柴苏苏非定向全日制推荐免试合格合格商学院学硕-政治经济学102849102840328陈德宁非定向全日制推荐免试合格合格商学院学硕-政治经济学102849102840329段心怡非定向全日制推荐免试合格合格商学院学硕-政治经济学102849102840330郭若娜非定向全日制推荐免试合格合格商学院学硕-政治经济学102849210218309侯重阳非定向全日制全国统考7572127115389259.60648.60商学院学硕-政治经济学102849105320331胡婷非定向全日制推荐免试合格合格商学院学硕-政治经济学102849210215976胡迎春非定向全日制全国统考7072127108377252.00629.00商学院学硕-政治经济学102849102840332黄颖欣非定向全日制推荐免试合格合格商学院学硕-政治经济学102849210200032李斯璐非定向全日制全国统考7371126105375256.80631.80商学院学硕-政治经济学102849210209883刘秋冶非定向全日制全国统考6977112118376255.60631.60商学院学硕-政治经济学102849210212797孟庆申非定向全日制全国统考7263133117385252.80637.80商学院学硕-政治经济学102849210200042吴宇琪非定向全日制全国统考6975122138404270.40674.40商学院学硕-政治经济学102849104220333杨夏非定向全日制推荐免试合格合格商学院学硕-政治经济学102849102840334张曦匀非定向全日制推荐免试合格合格商学院学硕-政治经济学102849210219735赵彬策非定向全日制全国统考7173117130391264.00655.00商学院学硕-政治经济学102849210212454周雨璇非定向全日制全国统考6076139103378249.80627.80商学院学硕-西方经济学102849102840335胡月非定向全日制推荐免试合格合格商学院学硕-西方经济学102849210209885胡梓滢非定向全日制全国统考6572117130384242.00626.00商学院学硕-西方经济学102849210200048黄翔宇非定向全日制全国统考7070128121389250.20639.20商学院学硕-西方经济学102849105580336李淑宁非定向全日制推荐免试合格合格商学院学硕-西方经济学102849102840337刘探宙非定向全日制推荐免试合格合格商学院学硕-西方经济学102849101450338王爽非定向全日制推荐免试合格合格商学院学硕-西方经济学102849102840339邹瑜非定向全日制推荐免试合格合格支教团计划商学院学硕-世界经济102849102840340黄茜非定向全日制推荐免试合格合格商学院学硕-世界经济102849210214999黄真非定向全日制全国统考5874119127378251.80629.80商学院学硕-人口、资源与环境102849102840342彭好非定向全日制推荐免试合格合格商学院学硕-人口、资源与环境102849102860343钱嘉隆非定向全日制推荐免试合格合格商学院学硕-人口、资源与环境102849101830344王祎非定向全日制推荐免试合格合格商学院学硕-国民经济学102849210200069包成江非定向全日制全国统考6882122119391241.80632.80商学院学硕-国民经济学102849210223472蔡荣转非定向全日制全国统考7175141132419256.00675.00商学院学硕-国民经济学102849102840345陈悦梓晗非定向全日制推荐免试合格合格商学院学硕-国民经济学102849100550346邓笛非定向全日制推荐免试合格合格商学院学硕-国民经济学102849100550347丁燕芳非定向全日制推荐免试合格合格商学院学硕-国民经济学102849210208148李迈非定向全日制全国统考7579131113398246.00644.00商学院学硕-国民经济学102849210222609李书锐非定向全日制全国统考7079130113392254.60646.60商学院学硕-国民经济学102849210217326刘奇非定向全日制全国统考6967139132407230.60637.60商学院学硕-国民经济学102849210218313刘艺伟非定向全日制全国统考6578134113390230.60620.60商学院学硕-国民经济学102849210208620田浩楠定向全日制全国统考6651120100337227.20564.20少民计划非在职商学院学硕-国民经济学102849102840348王淼非定向全日制推荐免试合格合格商学院学硕-国民经济学102849210212045王兴宇非定向全日制全国统考6482141124411235.40646.40商学院学硕-国民经济学102849102840349王沄帆非定向全日制推荐免试合格合格商学院学硕-国民经济学102849102840350徐超非定向全日制推荐免试合格合格商学院学硕-国民经济学102849102840351许望婷非定向全日制推荐免试合格合格商学院学硕-国民经济学102849102840352严征宇非定向全日制推荐免试合格合格商学院学硕-国民经济学102849102840353周光威非定向全日制推荐免试合格合格商学院学硕-金融学102849210200104陈媛媛非定向全日制全国统考7282126116396261.00657.00商学院学硕-金融学102849210207368崔慧非定向全日制全国统考7575131113394273.20667.20商学院学硕-金融学102849210210173方宸非定向全日制全国统考6785135131418273.20691.20商学院学硕-金融学102849106980354费宇非定向全日制推荐免试合格合格商学院学硕-金融学102849102840355冯翔宇非定向全日制推荐免试合格合格商学院学硕-金融学102849210200112高楚晗非定向全日制全国统考6879138116401251.20652.20商学院学硕-金融学102849210214120耿赛赛非定向全日制全国统考7175133117396265.20661.20商学院学硕-金融学102849100020356黄晨非定向全日制推荐免试合格合格商学院学硕-金融学102849210216261江亮亮非定向全日制全国统考7282141123418266.40684.40商学院学硕-金融学102849102840357金鸣非定向全日制推荐免试合格合格商学院学硕-金融学102849102130358李陈鸿非定向全日制推荐免试合格合格商学院学硕-金融学102849102840359李佳仑非定向全日制推荐免试合格合格商学院学硕-金融学102849104220360李洁非定向全日制推荐免试合格合格商学院学硕-金融学102849210215092李苗苗非定向全日制全国统考7077139130416272.60688.60商学院学硕-金融学102849106980361凌力非定向全日制推荐免试合格合格商学院学硕-金融学102849210209317刘韫尔非定向全日制全国统考7380131140424258.80682.80商学院学硕-金融学102849102840362陆宇婕非定向全日制推荐免试合格合格商学院学硕-金融学102849210200133祁乾坤非定向全日制全国统考6886111127392260.00652.00商学院学硕-金融学102849210223938强泽平非定向全日制全国统考7083142124419263.20682.20商学院学硕-金融学102849210200134秦宇璇非定向全日制全国统考7378135121407265.00672.00商学院学硕-金融学102849102840365孙慧非定向全日制推荐免试合格合格商学院学硕-金融学102849210200146万玉萍非定向全日制全国统考7386135134428268.40696.40商学院学硕-金融学102849210223292汪凤仪非定向全日制全国统考7576134112397262.60659.60商学院学硕-金融学102849102840366王灿非定向全日制推荐免试合格合格商学院学硕-金融学102849210222055王珩玚非定向全日制全国统考7175135118399254.40653.40商学院学硕-金融学102849102840367王丽敏非定向全日制推荐免试合格合格商学院学硕-金融学102849102840368王镇非定向全日制推荐免试合格合格商学院学硕-金融学102849210209319徐诗雯定向全日制全国统考626396111332229.60561.60少民计划非在职商学院学硕-金融学102849102840369杨璐非定向全日制推荐免试合格合格商学院学硕-金融学102849210209061杨露定向全日制全国统考6363107123356228.60584.60少民计划非在职商学院学硕-金融学102849102840370张沁楠非定向全日制推荐免试合格合格商学院学硕-金融学102849102840371张若璇非定向全日制推荐免试合格合格商学院学硕-金融学102849210217766张翔宇非定向全日制全国统考6680145109400257.00657.00商学院学硕-金融学102849100550372章渊康非定向全日制推荐免试合格合格商学院学硕-金融学102849210200186周蔚非定向全日制全国统考6681135135417274.40691.40商学院学硕-金融学102849102840373周亚捷非定向全日制推荐免试合格合格商学院学硕-金融学102849102840374周洲非定向全日制推荐免试合格合格商学院学硕-产业经济学102849210214459方聪波非定向全日制全国统考7181126126404263.00667.00商学院学硕-产业经济学102849210215695黄金红非定向全日制全国统考7370139124406261.00667.00商学院学硕-产业经济学102849102840375黄梅非定向全日制推荐免试合格合格商学院学硕-产业经济学102849210200204黄文仪非定向全日制全国统考6779121114381263.00644.00商学院学硕-产业经济学102849102840376解素素非定向全日制推荐免试合格合格商学院学硕-产业经济学102849100190377李欣哲非定向全日制推荐免试合格合格商学院学硕-产业经济学102849103840378李阳非定向全日制推荐免试合格合格商学院学硕-产业经济学102849104220379刘思敏非定向全日制推荐免试合格合格商学院学硕-产业经济学102849210223595罗启飞非定向全日制全国统考7374128121396258.00654.00商学院学硕-产业经济学102849210222938秦雅沁非定向全日制全国统考7073119124386266.00652.00商学院学硕-产业经济学102849210200216汪岩非定向全日制全国统考6881130132411262.00673.00商学院学硕-产业经济学102849210222530吴海峰非定向全日制全国统考6683125116390262.00652.00商学院学硕-产业经济学102849106110380杨云祺非定向全日制推荐免试合格合格商学院学硕-产业经济学102849102840381张嘉玲非定向全日制推荐免试合格合格商学院学硕-产业经济学102849105320382郑秋琪非定向全日制推荐免试合格合格商学院学硕-产业经济学102849106980383周雨佳非定向全日制推荐免试合格合格商学院学硕-产业经济学102849100520384周圆非定向全日制推荐免试合格合格商学院学硕-国际贸易学102849210217894陈昆非定向全日制全国统考7557138133403241.20644.20商学院学硕-国际贸易学102849102840385陈瑞雪非定向全日制推荐免试合格合格商学院学硕-国际贸易学102849210200236陈芝草非定向全日制全国统考7585121123404258.60662.60商学院学硕-国际贸易学102849100340386陈孜晗非定向全日制推荐免试合格合格商学院学硕-国际贸易学102849106510387都欣非定向全日制推荐免试合格合格商学院学硕-国际贸易学102849102840388范文璐非定向全日制推荐免试合格合格商学院学硕-国际贸易学102849210200242黄伟非定向全日制全国统考7384128118403217.00620.00商学院学硕-国际贸易学102849102860390金杰非定向全日制推荐免试合格合格商学院学硕-国际贸易学102849100270391康思维非定向全日制推荐免试合格合格商学院学硕-国际贸易学102849210210178凌文煜非定向全日制全国统考7074136131411218.40629.40商学院学硕-国际贸易学102849102860392马明畅非定向全日制推荐免试合格合格商学院学硕-国际贸易学102849210215101裴敏非定向全日制全国统考7577131121404246.60650.60商学院学硕-国际贸易学102849210211404拾曼非定向全日制全国统考6575127130397258.40655.40商学院学硕-国际贸易学102849105320393唐雪非定向全日制推荐免试合格合格商学院学硕-国际贸易学102849210209322王焕智非定向全日制全国统考6982121131403233.80636.80商学院学硕-国际贸易学102849106990394王秀中非定向全日制推荐免试合格合格商学院学硕-国际贸易学102849210200259王源非定向全日制全国统考7374122125394255.20649.20商学院学硕-国际贸易学102849210208870杨艺辛非定向全日制全国统考6267130135394235.60629.60商学院学硕-国际贸易学102849102840395张晓霈非定向全日制推荐免试合格合格商学院学硕-国际贸易学102849102130396张依然非定向全日制推荐免试合格合格商学院学硕-国际贸易学102849104860397赵然非定向全日制推荐免试合格合格商学院学硕-国际贸易学102849102840398赵越非定向全日制推荐免试合格合格支教团计划商学院学硕-国际贸易学102849102840399周诗非定向全日制推荐免试合格合格商学院学硕-数量经济学102849210215699刘志茜非定向全日制全国统考6767138119391279.60670.60商学院学硕-数量经济学102849210223612马靖非定向全日制全国统考6671137116390277.00667.00商学院学硕-数量经济学102849210215985孙珊珊非定向全日制全国统考6881131135415281.60696.60商学院学硕-数量经济学102849210200272孙奕青非定向全日制全国统考7389128141431281.40712.40商学院学硕-数量经济学102849210200273王慧颖非定向全日制全国统考6978141117405282.80687.80商学院学硕-数量经济学102849210200278仲银洁非定向全日制全国统考6979131131410284.20694.20商学院专硕-金融102849210211727鲍晨开定向非全日制全国统考5475113115357249.40606.40商学院专硕-金融102849210221290曹智辉定向非全日制全国统考7170108136385247.60632.60商学院专硕-金融102849210200287戴荣定向非全日制全国统考6070110135375247.20622.20商学院专硕-金融102849210210544丁华能定向非全日制全国统考6062109122353256.80609.80商学院专硕-金融102849210200291董若晨定向非全日制全国统考6468118125375255.40630.40商学院专硕-金融102849210200293付伟定向非全日制全国统考7685133141435267.80702.80商学院专硕-金融102849210200295高倩定向非全日制全国统考607389125347237.60584.60商学院专硕-金融102849210213802韩柯定向非全日制全国统考5673102122353255.60608.60商学院专硕-金融102849210200297何筠定向非全日制全国统考6980127136412262.40674.40商学院专硕-金融102849210214464胡安定向非全日制全国统考5873106139376251.40627.40商学院专硕-金融102849210200299胡春羽定向非全日制全国统考6471122134391254.40645.40商学院专硕-金融102849210222162黄楚光定向非全日制全国统考6772116142397266.00663.00商学院专硕-金融102849210200302黄猛定向非全日制全国统考6767108126368257.40625.40商学院专硕-金融102849210211730黄启铭定向非全日制全国统考6485127135411254.60665.60商学院专硕-金融102849210200304黄文娟定向非全日制全国统考626995106332242.80574.80商学院专硕-金融102849210215700贾蒙琦定向非全日制全国统考5567103115340257.80597.80商学院专硕-金融102849210213418蒋真定向非全日制全国统考637787120347260.20607.20商学院专硕-金融102849210200329路欢定向非全日制全国统考6263121138384261.80645.80商学院专硕-金融102849210200331罗尧定向非全日制全国统考5875113118364248.00612.00商学院专硕-金融102849210200330吕昕洋定向非全日制全国统考6980119133401263.00664.00商学院专硕-金融102849210200338钱广明定向非全日制全国统考656491132352258.00610.00商学院专硕-金融102849210212816沙伶珂定向非全日制全国统考6377126128394256.80650.80商学院专硕-金融102849210210856沈佳斌定向非全日制全国统考6474107132377249.60626.60商学院专硕-金融102849210213804沈星琳定向非全日制全国统考5983112120374254.60628.60商学院专硕-金融102849210210857史波定向非全日制全国统考655387131336257.20593.20商学院专硕-金融102849210200350田晖之定向非全日制全国统考6172121117371238.00609.00商学院专硕-金融102849210200354王姝萱定向非全日制全国统考7476118144412253.60665.60商学院专硕-金融102849210200358邬忞定向非全日制全国统考586687122333232.40565.40商学院专硕-金融102849210221189武威龙定向非全日制全国统考7254104140370257.80627.80商学院专硕-金融102849210211732徐剑波定向非全日制全国统考578388106334261.00595.00商学院专硕-金融102849210200368颜林定向非全日制全国统考6460106127357256.40613.40商学院专硕-金融102849210200371杨凌定向非全日制全国统考6167120134382263.40645.40商学院专硕-金融102849210200382张珂定向非全日制全国统考617796136370253.40623.40商学院专硕-金融102849210200387张云佳定向非全日制全国统考7174122139406257.20663.20商学院专硕-金融102849210200388赵晨凯定向非全日制全国统考6373111124371252.80623.80商学院专硕-金融102849210212466赵健定向非全日制全国统考727588134369248.80617.80商学院专硕-金融102849210200394周皓月定向非全日制全国统考6080121141402255.20657.20商学院专硕-金融102849210200397周艳定向非全日制全国统考6479109128380258.20638.20商学院专硕-国际商务102849103840400常静非定向全日制推荐免试合格合格商学院专硕-国际商务102849210218647陈璐非定向全日制全国统考6881111125385253.40638.40商学院专硕-国际商务102849210214466陈明珠非定向全日制全国统考6482115135396249.80645.80商学院专硕-国际商务102849210217903程南静非定向全日制全国统考707896135379253.40632.40商学院专硕-国际商务102849106100401丁智颖非定向全日制推荐免试合格合格商学院专硕-国际商务102849210217173桂开蕾非定向全日制全国统考6371129129392265.20657.20商学院专硕-国际商务102849210207564郭亚男非定向全日制全国统考7374115111373259.80632.80商学院专硕-国际商务102849210207845蒋智君非定向全日制全国统考6371116121371256.40627.40商学院专硕-国际商务102849104860402李鸿熹非定向全日制推荐免试合格合格商学院专硕-国际商务102849104220403李晓玉非定向全日制推荐免试合格合格商学院专硕-国际商务102849210200411李怡然非定向全日制全国统考6483112116375267.20642.20商学院专硕-国际商务102849210220474李颖华非定向全日制全国统考6768133119387243.40630.40商学院专硕-国际商务102849210208701孟凡璐非定向全日制全国统考6982136116403263.40666.40商学院专硕-国际商务102849210212820孟玉非定向全日制全国统考7173119133396246.20642.20商学院专硕-国际商务102849210217904邱媛非定向全日制全国统考6679119120384256.20640.20商学院专硕-国际商务102849210222057石彦泽非定向全日制全国统考7081120116387268.40655.40商学院专硕-国际商务102849105200404宋紫倩非定向全日制推荐免试合格合格商学院专硕-国际商务102849210218648孙慧非定向全日制全国统考7075118114377258.20635.20商学院专硕-国际商务102849102840405孙雯非定向全日制推荐免试合格合格商学院专硕-国际商务102849210200425许学勤非定向全日制全国统考7680138136430265.80695.80商学院专硕-国际商务102849210223731姚幸非定向全日制全国统考6780126119392259.40651.40商学院专硕-国际商务102849210214772叶碧晴非定向全日制全国统考7087118133408267.40675.40商学院专硕-国际商务102849102840406俞鑫非定向全日制推荐免试合格合格商学院专硕-国际商务102849102840407张柏贤非定向全日制推荐免试合格合格商学院专硕-国际商务102849210214470张婧非定向全日制全国统考6475117124380268.00648.00商学院专硕-国际商务102849100190408郑书臣非定向全日制推荐免试合格合格商学院专硕-国际商务102849210217651朱建彬非定向全日制全国统考6869136111384251.20635.20商学院专硕-国际商务102849210211415朱逸琦非定向全日制全国统考6980123127399265.40664.40商学院专硕-审计102849250204199陈浩定向非全日制管理类联考1646200226203.00429.00商学院专硕-审计102849250204200陈佳欣定向非全日制管理类联考1496600215197.00412.00商学院专硕-审计102849250212609陈砚雯定向非全日制管理类联考1467400220197.50417.50商学院专硕-审计102849250204202程宇定向非全日制管理类联考1467100217192.00409.00商学院专硕-审计102849250204203范硙定向非全日制管理类联考1317300204182.00386.00商学院专硕-审计102849250213922方芳定向非全日制管理类联考1435600199187.00386.00商学院专硕-审计102849250204206高祥婕定向非全日制管理类联考1458300228199.00427.00商学院专硕-审计102849250204208李超凡定向非全日制管理类联考1346500199191.00390.00商学院专硕-审计102849250204209李恒定向非全日制管理类联考1505600206215.00421.00商学院专硕-审计102849250204211李鑫定向非全日制管理类联考1417500216208.00424.00商学院专硕-审计102849250204214刘星定向非全日制管理类联考1357600211175.00386.00商学院专硕-审计102849250204215彭玺宇定向非全日制管理类联考1688200250197.00447.00商学院专硕-审计102849250204218陶艺菲定向非全日制管理类联考1477700224205.00429.00商学院专硕-审计102849250204220王红梅定向非全日制管理类联考1276900196202.00398.00商学院专硕-审计102849250216818王慧定向非全日制管理类联考1337500208211.00419.00商学院专硕-审计102849250213314王洁定向非全日制管理类联考1517800229197.00426.00商学院专硕-审计102849250204222王一阁定向非全日制管理类联考1646400228206.00434.00商学院专硕-审计102849250204224王雨花定向非全日制管理类联考1237300196206.00402.00商学院专硕-审计102849250211148夏杰定向非全日制管理类联考1626400226186.00412.00商学院专硕-审计102849250212967肖烨定向非全日制管理类联考1507900229220.00449.00商学院专硕-审计102849250204226徐沁定向非全日制管理类联考1387400212185.00397.00商学院专硕-审计102849250204227徐叶柯定向非全日制管理类联考1588000238201.00439.00商学院专硕-审计102849250216507姚点定向非全日制管理类联考1466300209196.00405.00商学院专硕-审计102849250204234钟晓玉定向非全日制管理类联考1438100224221.00445.00商学院专硕-审计102849250204236周颖定向非全日制管理类联考1346700201189.00390.00商学院专硕-审计102849250204237朱沈阳定向非全日制管理类联考1316400195191.00386.00商学院专硕-审计102849250204239朱笑男定向非全日制管理类联考1615500216181.00397.00商学院学硕-会计学102849210200475曾诗洁非定向全日制全国统考717913497381221.00602.00商学院学硕-会计学102849102840409曾硕非定向全日制推荐免试合格合格商学院学硕-会计学102849100550410陈紫帆非定向全日制推荐免试合格合格商学院学硕-会计学102849210208397冯静非定向全日制全国统考687713996380223.00603.00商学院学硕-会计学102849102840412李茵之非定向全日制推荐免试合格合格商学院学硕-会计学102849102840413林雨薇非定向全日制推荐免试合格合格商学院学硕-会计学102849210221504刘腾非定向全日制全国统考6985144118416223.00639.00商学院学硕-会计学102849104870414吕明雪非定向全日制推荐免试合格合格商学院学硕-会计学102849102840415马浩云非定向全日制推荐免试合格合格商学院学硕-会计学102849210200459汤瑞强非定向全日制全国统考698314094386221.00607.00商学院学硕-会计学102849102840416汪安园非定向全日制推荐免试合格合格商学院学硕-会计学102849104860417王铷州非定向全日制推荐免试合格合格商学院学硕-会计学102849106510418王雯妍非定向全日制推荐免试合格合格商学院学硕-会计学102849106510419王逸超非定向全日制推荐免试合格合格商学院学硕-会计学102849102840420吴梦瑶非定向全日制推荐免试合格合格商学院学硕-会计学102849102840421吴卓倩非定向全日制推荐免试合格合格商学院学硕-会计学102849210216984徐正凤非定向全日制全国统考6980127110386229.00615.00商学院学硕-会计学102849102840422杨玉洁非定向全日制推荐免试合格合格商学院学硕-会计学102849102130423杨子江非定向全日制推荐免试合格合格商学院学硕-会计学102849102840424赵逸如非定向全日制推荐免试合格合格商学院学硕-会计学102849210213808周晓宇非定向全日制全国统考6873114138393229.00622.00商学院学硕-会计学102849210216351朱媛媛非定向全日制全国统考718414390388216.00604.00商学院学硕-企业管理102849104220425曾子心非定向全日制推荐免试合格合格商学院学硕-企业管理102849102840426陈嘉羽非定向全日制推荐免试合格合格商学院学硕-企业管理102849102840427陈睿非定向全日制推荐免试合格合格商学院学硕-企业管理102849102840428陈润杰非定向全日制推荐免试合格合格支教团计划商学院学硕-企业管理102849107300429陈晓涵非定向全日制推荐免试合格合格商学院学硕-企业管理102849210209331程鹤非定向全日制全国统考7171128126396233.20629.20商学院学硕-企业管理102849210217124程惠非定向全日制全国统考6974146123412232.20644.20商学院学硕-企业管理102849102840430崔文韬非定向全日制推荐免试合格合格商学院学硕-企业管理102849102840431崔一社非定向全日制推荐免试合格合格商学院学硕-企业管理102849102840432葛晓杉非定向全日制推荐免试合格合格商学院学硕-企业管理102849210219968顾潘婷非定向全日制全国统考7270131126399250.60649.60商学院学硕-企业管理102849102840433顾歆婷非定向全日制推荐免试合格合格商学院学硕-企业管理102849210220882贺玉环非定向全日制全国统考6882139132421238.00659.00商学院学硕-企业管理102849104870434胡尹仪非定向全日制推荐免试合格合格商学院学硕-企业管理102849210223294贾岩非定向全日制全国统考7078145107400267.40667.40商学院学硕-企业管理102849102840435姜凯杰非定向全日制推荐免试合格合格商学院学硕-企业管理102849210208975姜思宇定向全日制全国统考6247103119331234.40565.40少民计划非在职商学院学硕-企业管理102849102840436蒋旭婷非定向全日制推荐免试合格合格商学院学硕-企业管理102849106510437雷婷非定向全日制推荐免试合格合格商学院学硕-企业管理102849210222949李琰非定向全日制全国统考7170125126392264.20656.20商学院学硕-企业管理102849102840438李怡欣非定向全日制推荐免试合格合格商学院学硕-企业管理102849101830439李悦琪非定向全日制推荐免试合格合格。