高中数学必修1-5知识点归纳
- 格式:doc
- 大小:593.50 KB
- 文档页数:8
高考数学必背知识点及公式归纳总结大全高考数学必背知识点及公式归纳总结大全高中数学理科是10本书,其中的数学公式非常多,那么关于高考数学的公式及知识点有哪些呢?以下是小编准备的一些高考数学必背知识点及公式归纳总结,仅供参考。
高考数学必考知识点归纳必修一:1、集合与函数的概念(部分知识抽象,较难理解);2、基本的初等函数(指数函数、对数函数);3、函数的性质及应用(比较抽象,较难理解)。
必修二:1、立体几何(1)、证明:垂直(多考查面面垂直)、平行(2)、求解:主要是夹角问题,包括线面角和面面角。
这部分知识是高一学生的难点,比如:一个角实际上是一个锐角,但是在图中显示的钝角等等一些问题,需要学生的立体意识较强。
这部分知识高考占22---27分。
2、直线方程:高考时不单独命题,易和圆锥曲线结合命题。
3、圆方程:必修三:1、算法初步:高考必考内容,5分(选择或填空);2、统计:3、概率:高考必考内容,09年理科占到15分,文科数学占到5分。
必修四:1、三角函数:(图像、性质、高中重难点,)必考大题:15---20分,并且经常和其他函数混合起来考查。
2、平面向量:高考不单独命题,易和三角函数、圆锥曲线结合命题。
09年理科占到5分,文科占到13分。
必修五:1、解三角形:(正、余弦定理、三角恒等变换)高考中理科占到22分左右,文科数学占到13分左右;2、数列:高考必考,17---22分;3、不等式:(线性规划,听课时易理解,但做题较复杂,应掌握技巧。
高考必考5分)不等式不单独命题,一般和函数结合求最值、解集。
文科:选修1—1、1—2。
选修1--1:重点:高考占30分。
1、逻辑用语:一般不考,若考也是和集合放一块考;2、圆锥曲线;3、导数、导数的应用(高考必考)。
选修1--2:1、统计;2、推理证明:一般不考,若考会是填空题;3、复数:(新课标比老课本难的多,高考必考内容)。
理科:选修2—1、2—2、2—3。
选修2--1:1、逻辑用语;2、圆锥曲线;3、空间向量:(利用空间向量可以把立体几何做题简便化)。
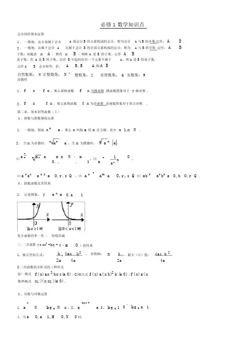
必修 1 数学知识点第一章、会合与函数观点§、会合1、把研究的对象统称为元素,把一些元素构成的整体叫做会合。
会合三因素:确立性、互异性、无序性。
2、只需构成两个会合的元素是同样的,就称这两个会合相等。
3、常有会合:正整数会合:N *或 N ,整数会合: Z ,有理数会合:Q ,实数会合: R .4、会合的表示方法:列举法、描绘法.§、会合间的基本关系1、一般地,对于两个会合 A 、B ,假如会合 A 中随意一个元素都是会合 B 中的元素,则称会合A是会合 B的子集。
记作 A B .2、假如会合A B ,但存在元素x B ,且 x A ,则称会合A是会合B的真子集.记作:A B.3、把不含任何元素的会合叫做空集.记作:.并规定:空会合是任何会合的子集.4、假如会合 A 中含有 n 个元素,则会合 A有 2 n个子集.§、会合间的基本运算1、一般地,由所有属于会合 A 或会合 B 的元素构成的会合,称为会合 A 与 B 的并集 .记作:2、一般地,由属于会合 A 且属于会合 B 的所有元素构成的会合,称为 A 与 B 的交集 .记作:3、全集、补集C U A { x | x U , 且 x U }§、函数的观点A B .A B .1、设 A 、 B 是非空的数集,假如依据某种确立的对应关系 f ,使对于会合 A 中的随意一个数x ,在会合 B 中都有唯一确立的数 f x 和它对应,那么就称 f : A B 为会合A到会合 B 的一个函数,记作:y f x , x A .2 、一个函数的构成因素为:定义域、对应关系、值域.假如两个函数的定义域同样,并且对应关系完整一致,则称这两个函数相等.§、函数的表示法1、函数的三种表示方法:分析法、图象法、列表法.§、单一性与最大(小)值1、注意函数单一性证明的一般格式:解:设 x1 , x2a, b 且 x1x2,则: f x1 f x2=§、奇偶性1、一般地,假如对于函数f x的定义域内随意一个x ,都有f x f x,那么就称函数f x.为偶函数偶函数图象对于y 轴对称.2 、一般地,假如对于函数f x 的定义域内随意一个x ,都有 f x f x ,那么就称函数f x 为奇函数.奇函数图象对于原点对称.第二章、基本初等函数(Ⅰ)§、指数与指数幂的运算1、一般地,假如x n a ,那么 x 叫做 a 的 n 次方根。
高中数学第一部分必备知识点第二部分学习难点必修1知识点重难点高考考点第一章:集合与函数1.1.1、集合1.1.2、集合间的基本关系1.1.3、集合间的基本运算1.2.1、函数的概念1.2.2、函数的表示法1.3.1、单调性与最大(小)值1.3.2、奇偶性重点:1、集合的交、并、补等运算。
2、函数定义域的求法3、函数性质难点:函数的性质1、集合的交、并、补等运算。
2、集合间的基本关系3、函数的概念、三要素及表示方法4、分段函数5、奇偶性、单调性和周期性第二章:基本初等函数(Ⅰ)2.1.1、指数与指数幂的运算2.1.2、指数函数及其性质2.2.1、对数与对数运算2..2.2、对数函数及其性质2.3、幂函数重点:1、指数函数的图像与性质2、对数函数的图像与性质3、特殊的幂函数的图像与性质4、指数、对数的运算难点:1、指数函数与对数函数相结合2、指数对数与不等式、导数、三角函数等结合1、指数函数的图像与性质2、对数函数的图像与性质3、特殊的幂函数的图像与性质4、指数、对数的运算5、数值大小的比较6、习惯与不等式、导数、三角函数等结合,难度较大第三章:函数的应用3.1.1、方程的根与函数的零点3.1.2、用二分法求方程的近似解3.2.1、几类不同增长的函数模型3.2.2、函数模型的应用举例重点:1、零点的概念2、二分法求方程近似解的方法难点:1、函数模型2、函数零点与导数,含有字母的参数相结合1、零点的概念2、二分法必修2知识点重难点高考考点第一章:空间几何体1、空间几何体的结构2、空间几何体的三视图和直观图3、空间几何体的表面积与体积重点:1、认识柱、锥、台、球及其简单组合体的结构特征2、几何体的三视图和直观图3、会利用公式求一些简单几何体的表面积和体积难点:空间想象能力1、几何体的三视图和直观图2、空间几何体的表面积与体积第二章:点、直线、平面之间的位置关系(重点)1、空间点、直线、平面之间的位置关系2、直线、平面平行的判定及其性质3、直线、平面垂直的判定及其性质重点:1、线面平行、面面平行的有关性质和判定定理2、证明线面垂直3、点到平面的距离难点:1、线面垂直2、点到平面的距离1、以选择填空的形式考查线与面、面与面的平行关系,考查线面位置的关系2、以解答的形式考查线与面、面与面的位置3、证明线面垂直4、点到平面的距离第三章:直线与方程1、直线的倾斜角与斜率2、直线方程3、直线的交点坐标与距离公式重点:1、初步建立代数方法解决几何问题的观念2、正确将几何条件与代数表示进行转化3、掌握直线方程并会用于定理地研究点与直线、直线与直线的位置关系。
高一数学必修1知识网络123412n x A x B A B A B A n A ∈∉⎧⎪⎪⎨⎪⎪⎩∈⇒∈⊆()元素与集合的关系:属于()和不属于()()集合中元素的特性:确定性、互异性、无序性集合与元素()集合的分类:按集合中元素的个数多少分为:有限集、无限集、空集()集合的表示方法:列举法、描述法(自然语言描述、特征性质描述)、图示法、区间法子集:若 ,则,即是的子集。
、若集合中有个元素,则集合的子集有个, 注关系集合集合与集合{}00(2-1)23,,,,.4/n A A A B C A B B C A C A B A B x B x A A B A B A B A B A B x x A x B A A A A A B B A A B ⎧⎪⎧⎪⎪⎪⊆⎪⎪⎨⎪⊆⊆⊆⎨⎪⎪⎪⎩⎪⎪⊆≠∈∉⎪⊆⊇⇔=⎪⎩⋂=∈∈⋂=⋂∅=∅⋂=⋂⋂⊆真子集有个。
、任何一个集合是它本身的子集,即 、对于集合如果,且那么、空集是任何集合的(真)子集。
真子集:若且(即至少存在但),则是的真子集。
集合相等:且 定义:且交集性质:,,,运算{}{},/()()()-()/()()()()()()U U U U U U U U A A B B A B A B A A B x x A x B A A A A A A B B A A B A A B B A B A B B Card A B Card A Card B Card A B C A x x U x A A C A A C A A U C C A A C A B C A C B ⎧⎪⎨⋂⊆⊆⇔⋂=⎪⎩⎧⋃=∈∈⎪⎨⋃=⋃∅=⋃=⋃⋃⊇⋃⊇⊆⇔⋃=⎪⎩⋃=+⋂=∈∉=⋂=∅⋃==⋂=⋃,定义:或并集性质:,,,,, 定义:且补集性质:,,,, ()()()U U U C A B C A C B ⎧⎪⎪⎪⎪⎪⎪⎧⎪⎪⎪⎪⎪⎪⎪⎪⎪⎪⎪⎪⎪⎪⎪⎪⎪⎪⎨⎪⎪⎪⎪⎪⎧⎪⎨⎪⎪⎪⎪⎪⎪⎪⎪⎪⎪⎪⎪⎪⎪⎪⎪⎪⎨⎪⎪⎪⎪⎪⎪⎪⎧⎪⎪⎪⎪⎪⎪⎪⎨⎪⎪⎪⎪⎪⋃=⋂⎪⎪⎩⎩⎩⎩函数A B A x B y f ?B A B x,y,x f,y y x y 映射定义:设,是两个非空的集合,如果按某一个确定的对应关系,使对于集合中的任意一个元素,在集合中都有唯一确定的元素与之对应,那么就称对应:为从集合到集合的一个映射传统定义:如果在某变化中有两个变量并且对于在某个范围内的每一个确定的值,定义按照某个对应关系都有唯一确定的值和它对应。
高一数学必修1知识网络集合123412n x A x B A B A B A n A ∈∉⎧⎪⎪⎨⎪⎪⎩∈⇒∈⊆()元素与集合的关系:属于()和不属于()()集合中元素的特性:确定性、互异性、无序性集合与元素()集合的分类:按集合中元素的个数多少分为:有限集、无限集、空集()集合的表示方法:列举法、描述法(自然语言描述、特征性质描述)、图示法、区间法子集:若 ,则,即是的子集。
、若集合中有个元素,则集合的子集有个, 注关系集合集合与集合{}00(2-1)23,,,,.4/n A A A B C A B B C A C A B A B x B x A A B A B A B A B A B x x A x B A A A A A B B A A B ⎧⎪⎧⎪⎪⎪⊆⎪⎪⎨⎪⊆⊆⊆⎨⎪⎪⎪⎩⎪⎪⊆≠∈∉⎪⊆⊇⇔=⎪⎩⋂=∈∈⋂=⋂∅=∅⋂=⋂⋂⊆真子集有个。
、任何一个集合是它本身的子集,即 、对于集合如果,且那么、空集是任何集合的(真)子集。
真子集:若且(即至少存在但),则是的真子集。
集合相等:且 定义:且交集性质:,,,运算{}{},/()()()-()/()()()()()()U U U U U U U U A A B B A B A B A A B x x A x B A A A A A A B B A A B A A B B A B A B BC ard A B C ard A C ard B C ard A B C A x x U x A A C A A C A A U C C A A C A B C A C B ⎧⎪⎨⋂⊆⊆⇔⋂=⎪⎩⎧⋃=∈∈⎪⎨⋃=⋃∅=⋃=⋃⋃⊇⋃⊇⊆⇔⋃=⎪⎩⋃=+⋂=∈∉=⋂=∅⋃==⋂=⋃,定义:或并集性质:,,,,, 定义:且补集性质:,,,, ()()()U U U C A B C A C B ⎧⎪⎪⎪⎪⎪⎪⎧⎪⎪⎪⎪⎪⎪⎪⎪⎪⎪⎪⎪⎪⎪⎪⎪⎪⎪⎨⎪⎪⎪⎪⎪⎧⎪⎨⎪⎪⎪⎪⎪⎪⎪⎪⎪⎪⎪⎪⎪⎪⎪⎪⎪⎨⎪⎪⎪⎪⎪⎪⎪⎧⎪⎪⎪⎪⎪⎪⎪⎨⎪⎪⎪⎪⎪⋃=⋂⎪⎪⎩⎩⎩⎩函数,,,A B A x B y f B A B x y x f y y x y →映射定义:设,是两个非空的集合,如果按某一个确定的对应关系,使对于集合中的任意一个元素, 在集合中都有唯一确定的元素与之对应,那么就称对应:为从集合到集合的一个映射传统定义:如果在某变化中有两个变量并且对于在某个范围内的每一个确定的值,定义 按照某个对应关系都有唯一确定的值和它对应。
高中数学必修5知识点1、正弦定理:在C ∆AB 中,a 、b 、c 分别为角A 、B 、C 的对边,R 为C ∆AB 的外接圆的半径,则有2sin sin sin a b cR A B C===. 2、正弦定理的变形公式:①2sin a R =A ,2sin b R =B ,2sin c R C =;②sin 2a A R =,sin 2b B R =,sin 2cC R=;③::sin :sin :sin a b c A B C =;④sin sin sin sin sin sin a b c a b cA B C A B C ++===++.3、三角形面积公式:111sin sin sin 222C S bc A ab C ac B ∆AB ===.4、余弦定理:在C ∆AB 中,有2222cos a b c bc A =+-,2222cos b a c ac B =+-, 2222cos c a b ab C =+-.5、余弦定理的推论:222cos 2b c a bc +-A =,222cos 2a c b ac +-B =,222cos 2a b c C ab+-=.6、设a 、b 、c 是C ∆AB 的角A 、B 、C 的对边, 则:①若222a b c +=,则90C =;②若222a b c +>,则90C <; ③若222a b c +<,则90C >.注:在C ∆AB 中,则有 (1)A B C π++=(2),,.a b c a c b b c a +>+>+> (3)sin sin A B A B a b >⇔>⇔> 7、数列:按照一定顺序排列着的一列数. 8、数列的项:数列中的每一个数. 9、有穷数列:项数有限的数列.10、无穷数列:项数无限的数列.11、递增数列:从第2项起,每一项都不小于它的前一项的数列.10n n a a +-> 12、递减数列:从第2项起,每一项都不大于它的前一项的数列.10n n a a +-< 13、常数列:各项相等的数列.14、摆动数列:从第2项起,有些项大于它的前一项,有些项小于它的前一项的数列. 15、数列的通项公式:表示数列{}n a 的第n 项与序号n 之间的关系的公式.16、数列的递推公式:表示任一项n a 与它的前一项1n a -(或前几项)间的关系的公式. 17、如果一个数列从第2项起,每一项与它的前一项的差等于同一个常数,则这个数列称为等差数列,这个常数称为等差数列的公差.18、由三个数a ,A ,b 组成的等差数列可以看成最简单的等差数列,则A 称为a 与b 的等差中项.若2a cb +=,则称b 为a 与c 的等差中项. 19、若等差数列{}n a 的首项是1a ,公差是d ,则()111()n a a n d dn a d An B =+-=+-=+.20、通项公式的变形:①()n m a a n m d =+-;②()11n a a n d =--;③11n a a d n -=-; ④11n a a n d -=+;⑤n ma a d n m-=-. 21、若{}n a 是等差数列,且m n p q +=+(m 、n 、p 、*q ∈N ),则m n p q a a a a +=+;若{}n a 是等差数列,且2n p q =+(n 、p 、*q ∈N ),则2n p q a a a =+.22、等差数列的前n 项和的公式:①()12n n n a a S +=; ②()22111()222n n n d dS na d n a n An Bn -=+=+-=+. ③n S An B n =+⇒n S n ⎧⎫⎨⎬⎩⎭是等差数列. 23、等差数列的前n 项和的性质:①若项数为()*2n n ∈N ,则()21n n n S n a a +=+,且S S nd -=偶奇,1n n S aS a +=奇偶. ②若项数为()*21n n -∈N ,则()2121n n S n a -=-,且n S S a -=奇偶,1S nS n =-奇偶 (其中n S na =奇,()1n S n a =-偶).③若等差数列{}n a 的前n 项和为n S ,则数列n S ,2n n S S -,32n n S S -成等差数列. 24、如果一个数列从第2项起,每一项与它的前一项的比等于同一个常数,则这个数列称为等比数列,这个常数称为等比数列的公比.注:等比数列中每一项都不等于零,其奇数项符号相同,偶数项符号相同。
高中数学必修一必修四知识点总结高中数学必修1知识点总结第一章集合与函数概念1.1 集合1.1.1 集合的含义与表示集合是由元素组成的整体,其中元素具有确定性、互异性和无序性。
常用的数集有自然数集N、正整数集N*或N+、整数集Z、有理数集Q和实数集R。
元素a与集合M的关系是a∈M或a∉M。
集合可以用自然语言法、列举法、描述法和图示法来表示。
集合可以分为有限集、无限集和空集。
1.1.2 集合间的基本关系集合间的基本关系有子集、真子集和集合相等。
若A是B的子集,则A中的任一元素都属于B;若A是B的真子集,则A中至少有一个元素不属于B;若A是B的子集且B是A的子集,则A=B。
已知集合A有n(n≥1)个元素,则它有2^n个子集,2^n-1个真子集,2^n-1个非空子集和2^n-2个非空真子集。
1.1.3 集合的基本运算集合的基本运算有交集、并集和补集。
若x∈A且x∈B,则x∈A∩B;若x∈A或x∈B,则x∈A∪B;集合A的补集是指在全集U中,不属于A的元素组成的集合,记作A'或U-A。
对于集合A和B,有(A∩B)=(A'∪B')'和(A∪B)=(A'∩B')'。
补充知识】含绝对值的不等式与一元二次不等式的解法对于含有绝对值的不等式,可以通过分段讨论的方法来求解。
对于一元二次不等式,可以将其化为标准形式后,利用判别式和一元二次函数的性质来求解。
1.不等式的解法1)一次不等式的解法对于|x|0)和|x|>a(a>0),可以分别化为-xa的形式,然后解出x的范围。
对于|ax+b|c(c>0),可以把ax+b看成一个整体,化为|ax+b|0)或|x|>a(a>0)的形式来求解。
2)一元二次不等式的解法对于ax^2+bx+c>0(a>0),可以求出二次函数y=ax^2+bx+c 的图象,然后找到函数图象在x轴上的两个交点x1和x2,解得xx2的解集。
高中数学 必修1知识点1 第一章 函数概念2 (1)函数的概念3 ①设A 、B 是两个非空的数集,如果按照某种对应法则f ,对于集合A 中任何一个数x ,在4 集合B 中都有唯一确定的数()f x 和它对应,那么这样的对应(包括集合A ,B 以及A 到B 的对5 应法则f )叫做集合A 到B 的一个函数,记作:f A B →.6 ②函数的三要素:定义域、值域和对应法则.7 ③只有定义域相同,且对应法则也相同的两个函数才是同一函数. 8 (2)区间的概念及表示法9 ①设,a b 是两个实数,且a b <,满足a x b ≤≤的实数x 的集合叫做闭区间,记做[,]a b ;满足10 a x b <<的实数x 的集合叫做开区间,记做(,)a b ;满足a x b ≤<,或a x b <≤的实数x 的集合11 叫做半开半闭区间,分别记做[,)a b ,(,]a b ;满足,,,x a x a x b x b ≥>≤<的实数x 的集合分别记12 做[,),(,),(,],(,)a a b b +∞+∞-∞-∞.13注意:对于集合{|}x a x b <<与区间(,)a b ,前者a 可以大于或等于b ,而后者必须14 a b <,(前者可以不成立,为空集;而后者必须成立). 15 (3)求函数的定义域时,一般遵循以下原则:16 ①()f x 是整式时,定义域是全体实数.17②()f x 是分式函数时,定义域是使分母不为零的一切实数.18 ③()f x 是偶次根式时,定义域是使被开方式为非负值时的实数的集合.19 ④对数函数的真数大于零,当对数或指数函数的底数中含变量时,底数须大于零且不等于1. 20 ⑤tan y x =中,()π⑥零(负)指数幂的底数不能为零.22 ⑦若()f x 是由有限个基本初等函数的四则运算而合成的函数时,则其定义域一般是各基本初23 等函数的定义域的交集.24 ⑧对于求复合函数定义域问题,一般步骤是:若已知()f x 的定义域为[,]a b ,其复合函数25 [()]f g x 的定义域应由不等式()a g x b ≤≤解出.26 ⑨对于含字母参数的函数,求其定义域,根据问题具体情况需对字母参数进行分类讨论. 27 ⑩由实际问题确定的函数,其定义域除使函数有意义外,还要符合问题的实际意义. 28 (4)求函数的值域或最值29 求函数最值的常用方法和求函数值域的方法基本上是相同的.事实上,如果在函数的值域中30 存在一个最小(大)数,这个数就是函数的最小(大)值.因此求函数的最值与值域,其实质31 是相同的,只是提问的角度不同.求函数值域与最值的常用方法:32 ①观察法:对于比较简单的函数,我们可以通过观察直接得到值域或最值.33 ②配方法:将函数解析式化成含有自变量的平方式与常数的和,然后根据变量的取值范围34 确定函数的值域或最值.35 ③判别式法:若函数()y f x =可以化成一个系数含有y 的关于x 的二次方程36 2()()()0a y x b y x c y ++=37则在()0a y ≠时,由于,x y 为实数,故必须有2()4()()0b y a y c y ∆=-⋅≥,从而确定函数的值38 域或最值.39 ④不等式法:利用基本不等式确定函数的值域或最值.40 ⑤换元法:通过变量代换达到化繁为简、化难为易的目的,三角代换可将代数函数的最值问41 题转化为三角函数的最值问题.42 ⑥反函数法:利用函数和它的反函数的定义域与值域的互逆关系确定函数的值域或最值. 43 ⑦数形结合法:利用函数图象或几何方法确定函数的值域或最值. 44 ⑧函数的单调性法.45(5)函数的表示方法4647表示函数的方法,常用的有解析法、列表法、图象法三种.48解析法:就是用数学表达式表示两个变量之间的对应关系.列表法:就是列出表格来表示两49个变量之间的对应关系.图象法:就是用图象表示两个变量之间的对应关系.50(6)映射的概念51①设A、B是两个集合,如果按照某种对应法则f,对于集合A中任何一个元素,在集合B52中都有唯一的元素和它对应,那么这样的对应(包括集合A,B以及A到B的对应法则f)叫53做集合A到B的映射,记作:f A B→.54②给定一个集合A到集合B的映射,且,∈∈.如果元素a和元素b对应,那么我们把a Ab B55元素b叫做元素a的象,元素a叫做元素b的原象.56(6)函数的单调性57①定义及判定方法②在公共定义域内,两个增函数的和是增函数,两个减函数的和是减函数,增函数减去一58 个减函数为增函数,减函数减去一个增函数为减函数.59 ③对于复合函数[()]y f g x =,令()u g x =,若()y f u =为增,()u g x =为增,则[()]y f g x =60 为增;若()y f u =为减,()u g x =为减,则[()]y f g x =为增;若()y f u =为增,()u g x =为减,61则[()]y f g x =为减;若()y f u =为减,()u g x =为增,则[()]y f g x =为减.62 (7)打“√”函数()(0)af xx a x=+>的图象与性质63()f x 分别在(,]a -∞-、[,)a +∞上为增函数,64 分别在[,0)a -、(0,]a 上为减函数. 65 (8)最大(小)值定义66 ①一般地,设函数()y f x =的定义域为I ,如果存67在实数M 满足:(1)对于任意的x I ∈,都有()f x M ≤;68 (2)存在0x I ∈,使得0()f x M =.那么,我们称M 是函数()f x 的最大值,记作max ()f x M =.69②一般地,设函数()y f x =的定义域为I ,如果存在实数m 满足:(1)对于任意的x I ∈,都70 有()f x m ≥;(2)存在0x I ∈,使得0()f x m =.那么,我们称m 是函数()f x 的最小值,记作71 max ()f x m =.72 (9)函数的奇偶性73 ①定义及判定方法74函数的性 质定义图象判定方法函数的奇偶性如果对于函数f(x)定义域内任意一个x ,都有f(..-.x)=...-.f(x)....,那么函数f(x)叫做奇.函数...(1)利用定义(要先判断定义域是否关于原点对称)(2)利用图象(图象关于原点对称)如果对于函数f(x)定义域内任意一个x ,都有f(..-.x)=f(x).......,那么函数f(x)叫做偶函..数.. (1)利用定义(要先判断定义域是否关于原点对称)(2)利用图象(图象关于y 轴对称)②若函数()f x 为奇函数,且在0x =处有定义,则(0)0f =.75 ③奇函数在y 轴两侧相对称的区间增减性相同,偶函数在y 轴两侧相对称的区间增减性相76 反.77 ④在公共定义域内,两个偶函数(或奇函数)的和(或差)仍是偶函数(或奇函数),两个78 偶函数(或奇函数)的积(或商)是偶函数,一个偶函数与一个奇函数的积(或商)是奇函数. 79 第二章 基本初等函数(Ⅰ) 80 〖2.1〗指数函数81 【2.1.1】指数与指数幂的运算 82 (1)根式的概念83 ①如果,,,1n x a a R x R n =∈∈>,且n N +∈,那么x 叫做a 的n 次方根.当n 是奇数时,a 的n 次84 n a n 是偶数时,正数a 的正的n n a 负的n 次方根用符85号0的n 次方根是0;负数a 没有n 次方根.86 n 叫做根指数,a 叫做被开方数.当n 为奇数时,a 为任意实数;87 当n 为偶数时,0a ≥.88 ③根式的性质:n a =;当n 为奇数时,a =;当n 为偶数时,89 (0)|| (0) a a a a a ≥⎧==⎨-<⎩. 90(2)分数指数幂的概念91 ①正数的正分数指数幂的意义是:0,,,m na a m n N +=>∈且1)n >.0的正分数指数幂等于92 0.93②正数的负分数指数幂的意义是: 1()0,,,mm n n aa m n N a -+==>∈且1)n >.0的负分数94 指数幂没有意义. 注意口诀:底数取倒数,指数取相反数. 95 (3)分数指数幂的运算性质96 ①(0,,)r s r s a a a a r s R +⋅=>∈ ②()(0,,)r s rs a a a r s R =>∈ 97③()(0,0,)r r r ab a b a b r R =>>∈ 98 【2.1.2】指数函数及其性质 99 (4)指数函数100101 〖2.2〗对数函数102 【2.2.1】对数与对数运算 103 (1)对数的定义104 ①若(0,1)x a N a a =>≠且,则x 叫做以a 为底N 的对数,记作log a x N =,其中a 叫做底数,N105叫做真数. 106 ②负数和零没有对数.107 ③对数式与指数式的互化:log (0,1,0)x a x N a N a a N =⇔=>≠>. 108 (2)几个重要的对数恒等式109 log 10a =,log 1a a =,log b a a b =.110 (3)常用对数与自然对数111 常用对数:lg N ,即10log N ;自然对数:ln N ,即log e N (其中 2.71828e =…). 112(4)对数的运算性质 如果0,1,0,0a a M N >≠>>,那么113①加法:log log log ()a a a M N MN += ②减法:log log log a a a MM N N-= 114③数乘:log log ()n a a n M M n R =∈ ④log a N a N =115⑤log log (0,)b n a a nM M b n R b =≠∈ ⑥换底公式:log log (0,1)log b a bN N b b a =>≠且 116【2.2.2】对数函数及其性质 117 (5)对数函数118(6)反函数的概念119 设函数()y f x =的定义域为A ,值域为C ,从式子()y f x =中解出x ,得式子()x y ϕ=.如果120 对于y 在C 中的任何一个值,通过式子()x y ϕ=,x 在A 中都有唯一确定的值和它对应,那么式121 子()x y ϕ=表示x 是y 的函数,函数()x y ϕ=叫做函数()y f x =的反函数,记作1()x f y -=,习惯122 上改写成1()y f x -=. 123 (7)反函数的求法124 ①确定反函数的定义域,即原函数的值域;②从原函数式()y f x =中反解出1()x f y -=; 125③将1()x f y -=改写成1()y f x -=,并注明反函数的定义域. 126 (8)反函数的性质127 ①原函数()y f x =与反函数1()y f x -=的图象关于直线y x =对称.128②函数()y f x =的定义域、值域分别是其反函数1()y f x -=的值域、定义域. 129③若(,)P a b 在原函数()y f x =的图象上,则'(,)P b a 在反函数1()y f x -=的图象上. 130 ④一般地,函数()y f x =要有反函数则它必须为单调函数. 131 〖2.3〗幂函数 132 (1)幂函数的定义133一般地,函数y xα134=叫做幂函数,其中x为自变量,α是常数.135136137138139140141142143144145146147148149150151152153154155156(3)幂函数的性质①图象分布:幂函数图象分布在第一、二、三象限,第四象限无图象.幂函数是偶函数时,图象157 分布在第一、二象限(图象关于y 轴对称);是奇函数时,图象分布在第一、三象限(图象关于原点158 对称);是非奇非偶函数时,图象只分布在第一象限.159 ②过定点:所有的幂函数在(0,)+∞都有定义,并且图象都通过点(1,1).160③单调性:如果0α>,则幂函数的图象过原点,并且在[0,)+∞上为增函数.如果0α<,则幂函161 数的图象在(0,)+∞上为减函数,在第一象限内,图象无限接近x 轴与y 轴.162④奇偶性:当α为奇数时,幂函数为奇函数,当α为偶数时,幂函数为偶函数.当qpα=(其中163 ,p q 互质,p 和q Z ∈),若p 为奇数q 为奇数时,则q py x =是奇函数,若p 为奇数q 为偶数时,则164 qpy x =是偶函数,若p 为偶数q 为奇数时,则q py x =是非奇非偶函数.165 ⑤图象特征:幂函数,(0,)y x x α=∈+∞,当1α>时,若01x <<,其图象在直线y x =下方,若1x >,166 其图象在直线y x =上方,当1α<时,若01x <<,其图象在直线y x =上方,若1x >,其图象在直167 线y x =下方.168 〖补充知识〗二次函数 169 (1)二次函数解析式的三种形式170 ①一般式:2()(0)f x ax bx c a =++≠②顶点式:2()()(0)f x a x h k a =-+≠③两根式:171 12()()()(0)f x a x x x x a =--≠(2)求二次函数解析式的方法172 ①已知三个点坐标时,宜用一般式.173 ②已知抛物线的顶点坐标或与对称轴有关或与最大(小)值有关时,常使用顶点式. 174 ③若已知抛物线与x 轴有两个交点,且横线坐标已知时,选用两根式求()f x 更方便. 175 (3)二次函数图象的性质176①二次函数2()(0)f x ax bx c a =++≠的图象是一条抛物线,对称轴方程为,2bx a=-顶点坐标是177 24(,)24b ac b a a--. 178②当0a >时,抛物线开口向上,函数在(,]2b a -∞-上递减,在[,)2b a -+∞上递增,当2bx a=-时,179 2min 4()4ac b f x a -=;当0a <时,抛物线开口向下,函数在(,]2b a -∞-上递增,在[,)2ba -+∞上递减,180当2bx a=-时,2max 4()4ac b f x a -=.181③二次函数2()(0)f x ax bx c a =++≠当240b ac ∆=->时,图象与x 轴有两个交点182 ********(,0),(,0),||||||M x M x M M x x a =-=. 183(4)一元二次方程20(0)ax bx c a ++=≠根的分布184 一元二次方程根的分布是二次函数中的重要内容,这部分知识在初中代数中虽有所涉及,但185 尚不够系统和完整,且解决的方法偏重于二次方程根的判别式和根与系数关系定理(韦达定理)186 的运用,下面结合二次函数图象的性质,系统地来分析一元二次方程实根的分布.187 设一元二次方程20(0)ax bx c a ++=≠的两实根为12,x x ,且12x x ≤.令2()f x ax bx c =++,从188以下四个方面来分析此类问题:①开口方向:a ②对称轴位置:2bx a=- ③判别式:∆ ④端点函189 数值符号. 190 ①k <x 1≤x 2 ⇔191192 ②x 1≤x 2<k ⇔193194 ③x 1<k <x 2 ⇔ af (k )<0195196 ④k 1<x 1≤x 2<k 2 ⇔ 197198199 ⑤有且仅有一个根x 1(或x 2)满足k 1<x 1(或x 2)<k 2 ⇔f (k 1)f (k 2)<0,并同时考虑200 f (k 1)=0或f (k 2)=0这两种情况是否也符合201202203⑥k 1<x 1<k 2≤p 1<x 2<p 2 ⇔ 204 此结论可直接由⑤推出.205 (5)二次函数2()(0)f x ax bx c a =++≠在闭区间[,]p q 上的最值206 设()f x 在区间[,]p q 上的最大值为M ,最小值为m ,令01()2x p q =+.207 (Ⅰ)当0a >时(开口向上) 208 ①若2b p a -<,则()m f p = ②若2b p q a ≤-≤,则()2b m f a=- ③若2b q a ->,则()m f q = 209210 211 212 213 214 215 216 217 ①若02b x a -≤,则()M f q =b ()f p 218 219 220 221 2222230x 0x225226 (Ⅱ)当0a <时(开口向下) 227 ①若2b p a -<,则()M f p = ②若2b p q a ≤-≤,则()2b M f a=- ③若2bq a ->,则()M f q = 228229 230 231 232 233 234235 236 237 ①若02b x a -≤,则()m f q = ②02b xa->,则()m f p =.238 239 240 241 242 243244ff fx246 第三章 函数的应用247 一、方程的根与函数的零点248 1、函数零点的概念:对于函数))((D x x f y ∈=,把使0)(=x f 成立的实数x 叫做函数249 ))((D x x f y ∈=的零点。
高中数学新教材必修第一册知识点总结第一章集合与常用逻辑用语1.1集合的概念1.集合的描述:一般地,我们把研究对象统称为元素,把一些元素组成的总体叫做集合,简称为集.2.集合的三个特性:(1)描述性:“集合”是一个原始的不加定义的概念,它同平面几何中的“点”、“线”、“面”等概念一样,都只是描述性地说明.(2)整体性:集合是一个整体,暗含“所有”、“全部”、“全体”的含义,因此一些对象一旦组成了集合,这个集合就是这些对象的总体.(3)广泛性:组成集合的对象可以是数、点、图形、多项式、方程,也可以是人或物等.3.集合中元素的三个特性:(1)确定性:对于给定的集合,它的元素必须是确定的.即按照明确的判断标准(不能是模棱两可的)判断给定的元素,或者在这个集合里,或者不在这个集合里,二者必居其一.(2)互异性:一个给定的集合中的元素是互不相同的.也就是说集合中的元素是不能重复出现的. (3)无序性:集合中的元素排列无先后顺序,任意调换集合中的元素位置,集合不变.4.集合的符号表示通常用大写的字母A,B,C,…表示集合,用小写的字母a,b,c表示集合中的元素.5.集合的相等当两个集合的元素是一样时,就说这两个集合相等.集合A与集合B相等记作A B=.6.元素与集合之间的关系(1)属于:如果a是集合A中的元素,就说a属于集合A,记作a A∈,读作a属于A.(2)不属于:如果a不是集合A中的元素,就说a不属于集合A,记作a A∉,读作a不属于A.7.集合的分类(1)有限集:含有有限个元素的集合叫做有限集.如方程21x=的实数根组成的集合.(2)无限集:含有无限个元素的集合叫做无限集.如不等式10x->的解组成的集合.8.常用数集及其记法数学数学数学 2(1)正整数集:全体正整数组成的集合叫做正整数集,记作*N或N.+(2)自然数集:全体非负整数组成的集合叫做自然数集,记作N.(3)整数集:全体整数组成的集合叫做整数集,记作Z.(4)有理数集:全体有理数组成的集合叫做有理数集,记作Q.(5)实数集:全体实数组成的集合叫做实数集,记作R.9.集合表示的方法(1)自然语言:用文字叙述的形式描述集合的方法.如所有正方形组成的集合,所有实数组成的集合.例如,三角形的集合.(2)列举法:把集合的元素一一列举出来表示集合的方法叫做列举法.其格式是把集合的元素一一列举出来并用逗号隔开,然后用花括号括起来.例如,我们可以吧“地球上的四大洋”组成的集合表示为{太平洋,大西洋,印度洋,北冰洋},把“方程(1)(2)0-+=的所有实数根”组成的集合表示为x x-.{1,2}(3)描述法:通过描述集合所含元素的共同特征表示集合的方法叫做描述法.一般格式为{()}x p x,其数学数学数学 3中x是集合中的元素代表,()p x则表示集合中的元素所具有的共同特征.例如,不等式73x-<的解集可以表示为∈-<=∈<.x R x x R x{73}{10}1.2集合间的基本关系1. 子集一般地,对于两个集合A,B,如果集合A中任意一个元素都是集合B中的元素,我们就说这两个集合有包含关系,称集合A为集合B的子集,记为A B或(B A)读作集合A包含于集合B(或集合B包含集合A).集合A是集合B的子集可用Venn图表示如下:数学数学数学 4数学 数学 数学 5或关于子集有下面的两个性质: (1)反身性:A A ⊆;(2)传递性:如果A B ⊆,且B C ⊆,那么A C ⊆. 2.真子集如果集合A B ⊆,但存在元素x B ∈,且x A ∉,我们称集合A是集合B 的真子集,记为A B ⊂≠(或B A ⊃≠), 读作集合A 真包含于集合B (或集合B 真包含集合A ). 集合A 是集合B 的真子集可用Venn 图表示如右.数学 数学 数学 63.集合的相等如果集合A B ⊆,且B A ⊆,此时集合A 与集合B 的元素是一样的,我们就称集合A 与集合B 相等,记为 A B =.集合A 与集合B 相等可用Venn 图表示如右. 4.空集我们把不含任何元素的集合叫做空集,记为∅.我们规定空集是任何一个集合的子集,空集是任何一个非空集合的真子集,即 (1)A ∅⊆(A 是任意一个集合); (2)A ⊂∅≠(A ≠∅). 1.3集合的运算 1.并集自然语言:一般地,由所有属于集合A 或属于集合B 的元素组成的集合,称为集合A 与B的并集,记作数学 数学 数学 7A B ⋃(读作“A 并B ”). 符号语言: {,}A B x x A x B ⋃=∈∈或. 图形语言:理解:x A ∈或x B ∈包括三种情况:x A ∈且x B ∉;x B ∈且x A ∉;x A ∈且x B ∈. 并集的性质: (1)A B B A ⋃=⋃;(5) A =BA (4)B B(3)A (2)A 与B 没有有公共元素(1)A 与B 有公共元素,相互不包含(2)A A A⋃=;(3)A A⋃∅=;(4)()()⋃⋃=⋃⋃;A B C A B C(5)A A B⊆⋃;⊆⋃,B A B(6)A B B A B⋃=⇔⊆.2.交集自然语言:一般地,由属于集合A且属于集合B的所有元素组成的集合,称为A与B的交集,记作A B⋂(读作“A交B”).符号语言:{,}⋂=∈∈A B x x A x B且.图形语言:数学数学数学8数学 数学 数学 9理解:当A 与B 没有公共元素时,不能说A 与B 没有交集,只能说A 与B 的交集是∅. 交集的性质: (1)A B B A ⋂=⋂; (2)A A A ⋂=;BA(5)A=B,A B=A=B(4)B A,A B=B(3)A B,A B=AA B(2)A 与B 没有公共元素,A B=(1)A 与B 有公共元素,且互不包含数学 数学10(3)A ⋂∅=∅;(4)()()A B C A B C ⋂⋂=⋂⋂; (5)A B A ⋂⊆,A B B ⋂⊆; (6)A B A A B ⋂=⇔⊆. 3.补集(1)全集的概念:一般地,如果一个集合含有我们所研究问题中涉及的所有元素,那么就称这个集合为全集,通常记作U . (2)补集的概念自然语言:对于一个集合A ,由属于全集U 且不属于集合A 的所有元素组成的集合称为集合A 相对于全集U 的补集,记为UA .符号语言: {,}UA x x U x A =∈∉且图形语言:数学 数学 数学 11补集的性质 (1)()U A A ⋂=∅; (2)()U A A U ⋃=; (3)()()()U U UA B A B ⋃=⋂; (4)()()()U U UA B A B ⋂=⋃.1.4充分条件与必要条件 1.充分条件与必要条件一般地,“若p ,则q ”为真命题,是指由p 通过推理可以得出q .这时,我们就说,由p 可推出q ,记作p q⇒,并且说p是q的充分条件,q是p的必要条件.在生活中,q是p成立的必要条件也可以说成是: q⌝⇒p⌝(q⌝表示q不成立),其实,这与p q⇒是等价的.但是,在数学中,我们宁愿采用第一种说法.如果“若p,则q”为假命题,那么由p推不出q,记作/p q⇒.此时,我们就说p不是q的充分条件,q不是p的必要条件.2.充要条件如果“若p,则q”和它的逆命题“若q则p”均是真命题,即既有p q⇒,又有q p⇒就记作⇔.p q此时,我们就说p是q的充分必要条件,简称为充要条件.显然,如果p是q的充要条件,那么q也是p 的充要条件.概括地说,如果p q⇔,那么p与q互为充要条件.“p是q的充要条件”,也说成“p等价于q”或“q当且仅当p”等.1.5全称量词与存在量词数学数学数学121.全称量词与存在量词(1)全称量词短语“所有的”,“任意一个”在逻辑中通常叫做全称量词,并用符号“”表示.常见的全称量词还有“一切”,“每一个”,“任给”,“所有的”等.含有全称量词的命题,叫做全称量词命题.全称量词命题“对M中的任意一个x,有()p x成立”可用符号简记为p x,x M,()读作“对任意x属于M,有()p x成立”.(2)存在量词短语“存在一个”,“至少有一个”在逻辑中通常叫做存在量词,并用符号“”表示.常见的存在量词还有“有些”,“有一个”,“对某个”,“有的”等.含有存在量词的命题,叫做存在量词命题.存在量词命题“存在M中的元素x,使()p x成立”可用符号简记为p x,∃∈,()x M数学数学数学13数学 数学 数学 14读作“存在M 中的元素x ,使()p x 成立”. 2.全称量词命题和存在量词命题的否定 (1)全称量词命题的否定 全称量词命题:x M ,()p x ,它的否定:x M ∃∈,()p x ⌝.全称量词命题的否定是存在量词命题. (2)存在量词命题的否定 存在量词命题:x M ∃∈,()p x ,它的否定:x M ,()p x ⌝.存在量词命题的否定是全称量词命题.第二章一元二次函数、方程和不等式2.1等式性质与不等式性质1.比较原理>⇔->;a b a b=⇔-=;a b a ba b a b<⇔-<.2.等式的基本性质性质1 如果a b=,那么b a=;性质2 如果a b=,b c=,那么a c=;性质3 如果a b=,那么a c b c±=±;性质4如果a b=,那么ac bc=;性质5 如果a b=,0=.c≠,那么a bc c数学数学数学15数学 数学 数学 163.不等式的基本性质性质1 如果a b >,那么b a <;如果b a <,那么a b >.即a b b a >⇔<性质2 如果a b >,b c >,那么a c >.即a b >,b c >a c ⇒>.性质3 如果a b >,那么a c b c +=+. 由性质3可得,()()a b c a b b c b a c b +>⇒++->+-⇒>-.这表明,不等式中任何一项可以改变符号后移到不等号的另一边. 性质4 如果a b >,0c >,那么ac bc >;如果a b >,0c <,那么ac bc <. 性质5 如果a b >,c d >,那么a c b d +>+. 性质6 如果0a b >>,0c d >>,那么ac bd >. 性质7 如果0a b >>,那么n n a b >(n N ∈,2n ≥).数学 数学 数学 172.2 基本不等式 1.重要不等式,a b R ∀∈,有222a b ab +≥,当且仅当a b =时,等号成立. 2.基本不等式 如果0a >,0b >,则2a b+≤, 当且仅当a b =时,等号成立.2a b+叫做正数a ,b 的算术平均数a ,b 的几何平均数.基本不等式表明:两个正数的算术平均数不小于它们的几何平均数. 3.与基本不等式相关的不等式 (1)当,a b R ∈时,有数学 数学 数学 1822a b ab +⎛⎫≤ ⎪⎝⎭,当且仅当a b =时,等号成立. (2)当0a >,0b >时,有211a b≤+当且仅当a b =时,等号成立. (3)当,a b R ∈时,有22222a b a b ++⎛⎫≤ ⎪⎝⎭,当且仅当a b =时,等号成立. 4.利用基本不等式求最值 已知0x >,0y >,那么(1)如果积xy 等于定值P ,那么当x y =时,和x y +有最小值;数学 数学 数学 19(2)如果和x y +等于定值S ,那么当x y =时,积xy 有最大值214S .2.3 二次函数与一元二次方程、不等式 1.一元二次不等式只含有一个未知数,并且未知数的最高次数是2的不等式,称为一元二次不等式. 2.二次函数与一元二次方程、不等式的解的对应关系第三章函数的概念与性质3.1 函数的概念及其表示1.函数的概念设A,B是非空的实数集,如果对于集合A中的任意一个数x,按照某种确定的对应关系f,在集合B中都有唯一确定的的数y和它对应,那么就称:f A B→为从集合A到集合B的一个函数,记作数学数学数学20数学 数学 数学 21()y f x =,x A ∈.其中,x 叫做自变量,x 的取值范围A 叫做函数的定义域,与x 的值相对应的y 值叫做函数值,函数值的集合{|(})f x x A ∈叫做函数的值域,显然,值域是集合B 的子集. 2.区间:设a ,b 是两个实数,而且a b <,我们规定:(1)满足不等式a x b ≤≤的实数x 的集合叫做闭区间,表示为[,]a b ; (2)满足不等式a x b <<的实数x 的集合叫做开区间,表示为(,)a b ;(3)满足不等式a x b ≤<或a x b <≤的实数x 的集合叫做半开半闭区间,分别表示为:[,)a b , (,]a b . 这里的实数a ,b 都叫做相应区间的端点.数学 数学 数学 22(4)实数集R 可以表示为(,)-∞+∞,“∞”读作“无穷大”,“-∞”读作“负无穷大”,“+∞” 读作“正无穷大”.满足x a ≥,x a >,x b ≤,x b <的实数x 的集合,用区间分别表示为[,)a +∞ ,(,)a +∞ (,]b -∞,(,)b -∞.这些区间的几何表示如下表所示.注意:(1)“∞”是一个趋向符号,表示无限接近,却永远达不到,不是一个数.(2)以“-∞”或“+∞”为区间的一端时,这一端点必须用小括号.3.函数的三要素(1)定义域;(2)对应关系;(3)值域.值域随定义域和对应关系的确定而确定.4.函数的相等如果两个函数的定义域和对应关系分别相同,那么就说这两个函数是同一个函数.5.函数的表示方法(1)解析法用数学表达式表示两个变量之间的对应关系的方法叫做解析法.数学数学数学23数学 数学 数学 24解析法是表示函数的一种重要的方法,这种表示法从“数”的方面简明、全面地概括了变量之间的数量关系. (2)图象法用图象表示两个变量之间的对应关系的方法叫做图象法.图象法直观地表示了函数值随自变量值改变的变化趋势,从“形”的方面刻画了变量之间的数量关系. 说明:将自变量的一个值0x 作为横坐标,相应的函数值0()f x 作为纵坐标,就得到坐标平面上的一个点00(,())x f x .当自变量取遍函数的定义域A 中的每一个值时,就得到一系列这样的点,所有这些点组成的图形就是函数()y f x =的图象.函数()y f x =的图象在x 轴上的射影构成的集合就是函数的定义域,在y 轴上的射影构成的集合就是函数的值域.函数的图象既可以是连续的曲线,也可以是直线、折线、离散的点,等等. (3)列表法通过列表来表示两个变量之间的对应关系的方法叫做列表法.例如,初中学习过的平方表、立方表都是表示函数关系的.数学 数学 数学 256.分段函数(1)分段函数的概念有些函数在其定义域内,对于自变量x 的不同取值区间,有着不同的对应关系,这样的函数称为分段函数.如 (1),0,(),0x x f x x x x -<⎧==⎨≥⎩ , (2)22,0,(),0x x f x x x ⎧≤⎪=⎨->⎪⎩. 说明:①分段函数是一个函数,而不是几个函数.处理分段函数问题时,要先确定自变量的取值在哪个区间,从而选取相应的对应关系.②分段函数在书写时用大括号把各段函数合并写成一个函数的形式.并且必须指明各段函数自变量的取值范围.③分段函数的定义域是自变量所有取值区间的并集,分段函数的定义域只能写成一个集合的形式,不能分开写成几个集合的形式.④分段函数的值域是各段函数在对应自变量的取值范围内值域的并集.数学26(2)分段函数的图象分段函数有几段,它的图象就由几条曲线组成.在同一坐标系中,根据每段的定义区间和表达式依次画出图象,要注意每段图象的端点是空心点还是实心点,组合到一起就得到整个分 段函数的图象. 3.2 函数的基本性质函数的性质是指在函数变化过程中的不变性和规律性. 1.单调性与最大(小)值 (1)增函数设函数()f x 的定义域为I ,区间D ⊆I .如果∀1x ,2x D ∈,当12x x <时,都有12()()f x f x <,那么就称函数()f x 在区间D 上单调递增.特别地,当函数()f x 在它的定义域上单调递增时,我们就称它是增函数.数学 数学 数学 27(2)减函数设函数()f x 的定义域为I ,区间D ⊆I.如果∀1x ,2x D ∈,当12x x <时,都有12()()f x f x >,那么就称函数()f x 在区间D 上单调递增.特别地,当函数()f x 在它的定义域上单调递减时,我们就称它是减函数. (3)单调性、单调区间、单调函数数学 数学 数学 28如果函数()y f x =在区间D 上单调递增或单调递减,那么就说函数()y f x =在区间D 上具有(严格的)单调性,区间D 叫做()y f x =的单调区间.如果函数在某个区间上具有单调性,那么就称此函数在这个区间上是单调函数. (4)证明函数()f x 在区间D 上单调递增或单调递减,基本步骤如下: ①设值:设12,x x D ∈,且 12x x <; ②作差:12()()f x f x - ;③变形:对12()()f x f x -变形,一般是通分,分解因式,配方等.这一步是核心 ,要注意变形到底; ④判断符号,得出函数的单调性. (5)函数的最大值与最小值 ①最大值:设函数()y f x =的定义域为I ,如果存在实数M 满足:(1)对于任意的x I ∈,都有()f x M ≤; (2)存在0x I ∈,使得0()f x M =. 那么我们称M 是函数()y f x =的最大值.数学 数学 数学 29②最小值:设函数()y f x =的定义域为I ,如果存在实数m 满足:(1)对于任意的x I ∈,都有()f x m ≥; (2)存在0x I ∈,使得0()f x m =. 那么我们称m 是函数()y f x =的最小值.2.奇偶性 (1)偶函数设函数()f x 的定义域为I ,如果x I ∀∈,都有x I -∈,且()()f x f x -=,那么函数()f x 就叫做偶函数.关于偶函数有下面的结论:①偶函数的定义域一定关于原点对称.也就是说定义域关于原点对称是函数为偶函数的一个必要条件; ②偶函数的图象关于y 轴对称.反之也成立;③偶函数在关于原点对称的两个区间上的增减性相反. (2)奇函数设函数()f x 的定义域为I ,如果x I ∀∈,都有x I -∈,且()()f x f x -=-,那么函数()f x 就叫做奇函数.数学30关于奇函数有下面的结论:①奇函数的定义域一定关于原点对称.也就是说定义域关于原点对称是函数为奇函数的一个必要条件; ②奇函数的图象关于坐标原点对称.反之也成立;③如果奇函数当0x =时有意义,那么(0)0f =.即当0x =有意义时,奇函数的图象过坐标原点; ④奇函数在关于原点对称的两个区间上的增减性相同. 3.3幂函数 1.幂函数的概念一般地,形如y x α=(R α∈,α为常数)的函数称为幂函数.对于幂函数,我们只研究1α=,2,3,12,1-时的图象与性质.2.五个幂函数的图象和性质x 12xx -1数学数学数学31数学 数学 数学 323.4函数的应用(一) 略.第四章 指数函数与对数函数4.1 指数1.n 次方根与分数指数幂 (1)方根如果n x a =,那么x 叫做a 的n 次方根,其中1n >,且*n N ∈.①当n 是奇数时,正数的n 次方根是正数,负数的n 方根是负数.这时,a 的n表示. ②当n 是偶数时,正数的n 次方根有两个,这两个数互为相反数.这时,正数a 的正的n表示,负的n次方根用符号. 正的n 次方根与负的n 次方根可以合并写成0a >). 负数没有偶次方根.0的任何次方根都是00=.根式,这里n 叫做根指数,a 叫做被开方数. 关于根式有下面两个等式:n a =;数学 数学 数学33,,a n a n ⎧⎪=⎨⎪⎩为奇数为偶数..2.分数指数幂(1)正分数指数幂m na =0a >,m ,*n N ∈,1n >).0的正分数指数幂等于0. (2)负分数指数幂1=m nmnaa-=0a >,m ,*n N ∈,1n >).0的负分数指数幂没有意义. (3)有理数指数幂的运算性质①r s r s a a a +=(0a >,r ,s Q ∈); ②()r s rs a a =(0a >,r ,s Q ∈);③()r r r ab a b =(0a >,0b >,r Q ∈).3. 无理数指数幂及其运算性质 (1)无理数指数幂的概念当x 是无理数时,x a 是无理数指数幂.我们可以通过有理数指数幂来认识无理数指数幂.当x 的不足近似值m 和过剩近似值n 逐渐逼近x 时,m a 和n a 都趋向于同一个数,这个数就是x a .所以无理数指数幂x a (0a >,x 是无理数)是一个确定的数.(2)实数指数幂的运算性质整数指数幂的运算性质也适用于实数指数幂,即对于任意实数r,s,均有下面的运算性质.①r s r s=(0a a a+∈);a>,r,s R②()r s rs=(0a a∈);a>,r,s R③()r r r=(0ab a b∈).a>,0b>,r R4.2 指数函数1.指数函数的概念函数x=(0y aa≠)叫做指数函数,其中指数x是自变量,定义域是R.a>,且12.指数函数的图象和性质一般地,指数函数x=(0y aa>,且1a≠)的图象和性质如下表所示:数学数学数学344.3 对数1.对数的概念数学数学数学35数学 数学 数学 36一般地,如果x a N =(0,1)a a >≠,那么数x 叫做以a 为底N 的对数,记作Nx a log =.其中a 叫做对数的底数,N 叫做真数. 当0a >,且1a ≠时,log N x a a N x =⇔=. 2. 两个重要的对数(1)常用对数:以10为底的对数叫做常用对数,并把10log N 记为lg N .(2)自然对数:以e (e 是无理数, 2.71828e =…)为底的对数叫做自然对数,并把log e N 记作ln N . 3. 关于对数的几个结论 (1)负数和0没有对数; (2)log 10a =; (3)log 1a a =. 4. 对数的运算如果0a >,且1a ≠,0M >,0N >,那么数学 数学 数学 37(1)log ()log log a a a MN M N =+; (2)log log log a a a MM N N=-;(3)log log n a a M n M =(n R ∈).5. 换底公式log log log c a cbb a=(0a >,且1a ≠,0b >,0c >,1c ≠).4.4 对数函数 1. 对数函数的概念一般地,函数log a y x =(0a >,且1a ≠)叫做对数函数,其中x 是自变量,定义域是(0,)+∞. 2.对数函数的图象和性质数学数学数学38数学 数学 数学 393. 反函数指数函数x y a =(0a >,且1a ≠)与对数函数log a y x =(0a >,且1a ≠)互为反函数,它们的定义域与值域正好互换.互为反函数的两个函数的图象关于直线y x =对称. 4. 不同函数增长的差异对于对数函数log a y x =(1a >)、一次函数y kx =(0k >)、指数函数x y b =(1b >)来说,尽管它们在(0,)+∞上都是增函数,但是随着x 的增大,它们增长的速度是不相同的.其中对数函数log a y x =(1a >)的增长数学 数学 数学 40速度越来越慢;一次函数y kx =(0k >)增长的速度始终不变;指数函数x y b =(1b >)增长的速度越来越快.总之来说,不管a (1a >),k (0k >),b (1b >)的大小关系如何,x y b =(1b >)的增长速度最终都会大大超过y kx =(0k >)的增长速度;y kx =(0k >)的增长速度最终都会大大超过log a y x =(1a >)的增长速度.因此,总会存在一个0x ,当0x x >时,恒有log x a b kx x >>.4.5 函数的应用(二) 1. 函数的零点与方程的解 (1)函数零点的概念 对于函数()y f x =,我们把使()0f x =的实数x 叫做函数()y f x =的零点.函数()y f x =的零点就是方程()0f x =的实数解,也是函数()y f x =的图象与x 轴的公共点的横坐标.所以方程()0f x =有实数解⇔函数()y f x =有零点⇔函数()y f x =的图象与x 轴有公共点.数学 数学 数学 41(2)函数零点存在定理 如果函数()y f x =在区间[,]a b 上的图象是一条连续不断的曲线,且有()()0f a f b <,那么,函数()y f x =在区间(,)a b 内至少有一个零点,即存在(,)c a b ∈,使得()0f c =,这个c 也就是方程()0f x =的解. 2. 用二分法求方程的近似解对于在区间[,]a b 上图象连续不断且()()0f a f b <的函数()y f x =,通过不断地把它的零点所在区间一分为二,使所得区间的两个端点逐步逼近零点,进而得到零点近似值的方法叫做二分法. 给定精确度ε,用二分法求函数()y f x =零点0x 的近似值的一般步骤如下:(1)确定零点0x 的初始区间[,]a b ,验证()()0f a f b <. (2)求区间(,)a b 的中点c .(3)计算()f c ,并进一步确定零点所在的区间: ①若()0f c =(此时0x c =),则c 就是函数的零点; ②若()()0f a f c <(此时0(,)x a c ∈),则令b c =; ③若()()0f c f b <(此时0(,)x c b ∈),则令a c =.(4)判断是否达到精确度ε:若a bε-<,则得到零点的近似值a(或b);否则重复步骤(2)~(4). 由函数零点与相应方程解的关系,我们可以用二分法来求方程的近似解.3. 函数模型的应用用函数建立数学模型解决实际问题的基本过程如下:Array这一过程包括分析和理解实际问题的增长情况(是“对数增长”“直线上升”还是“指数爆炸”);根据增长情况选择函数类型构建数学模型,将实际问题化归为数学问题;通过运算、推理、求解函数模型;用得到的函数模型描述实际问题的变化规律,解决有关问题.在这一过程中,往往需要利用信息技术帮助画图、运算等.数学数学数学42第五章三角函数5.1 任意角和弧度制1.任意角(1)角的概念角可以看成平面内一条射线绕着端点从一个位置旋转到另一个位置所成的图形.射线的端点叫做角的顶点,射线在起始位置和终止位置分别叫做角的始边和终边. (2)正角、负角、零角按逆时针方向旋转所成的角叫正角;按顺时针方向旋转所成的角叫负角;一条射线没有作任何旋转而形成的角叫零角. 这样,我们就把角的概念推广到了任意角. ABO数学数学数学43数学 数学 数学 44(3)象限角当角的顶点与坐标原点重合,角的始边与x 轴的非负半轴重合,那么角的终边(除端点外)在第几象限,就说这个角是第几象限角.如果角的终边落在坐标轴上,这时这个角不属于任何象限. (4)终边相同的角所有与角α终边相同的角,连同角α在内,可构成一个集合{}|360,S k k Z ββα==+⋅︒∈即任一与角α终边相同的角,都可以表示成角α与整数个周角的和. 终边相同的角不一定相等,但相等的角,终边一定相同; 终边相同的角有无数多个,它们相差360︒的整数倍; 象限角的表示: 第一象限角的集合{}|36090360,k k k Z αα⋅︒<<︒+⋅︒∈第二象限角的集合数学 数学 数学 45{}|90360180360,k k k Z αα︒+⋅︒<<︒+⋅︒∈第三象限角的集合{}|180360270360,k k k Z αα︒+⋅︒<<︒+⋅︒∈第四象限角的集合{}|270360360360,k k k Z αα︒+⋅︒<<︒+⋅︒∈终边落在坐标轴上的角在以后的学习中很重要,它们的表示如下表.2. 弧度制(1)弧度的概念长度等于半径长的圆弧所对的圆心角叫做1弧度的角.在半径为r的圆中,弧长为l的弧所对的圆心角为αrad,那么lα=.r正角的弧度数是一个正数,负角的弧度数是一个负数,零角的弧度数是0.(2)弧度与角度的换算数学数学数学46数学 数学 数学47(3)关于扇形的几个公式设扇形的圆心角为α(rad ),半径为R ,弧长为l ,则有①l R α=; ②212S R α=; ③12S lR =.5.2 三角函数的概念 1. 三角函数的概念 (1)三角函数的定义一般地,任意给定一个角R α∈,它的终边OP数学 数学 数学48与单位圆相交于点(,)P x y .把点P 的纵坐标y 叫做α的正弦函数,记作sin α,即sin y α=;把点P 的横坐标x 叫做α的余弦函数,记作cos α,即cos x α=;把点P 的纵坐标与横坐标的比值yx 叫做α的正切函数,记作tan α,即tan yxα=(0x ≠). 正弦函数、余弦函数和正切函数统称为三角函数,通常将它们记为: 正弦函数 sin y α=,x R ∈; 余弦函数 cos y α=,x R ∈;正切函数 tan y α=,2x k ππ≠+(k Z ∈).数学 数学 数学 49设α是一个任意角,它的终边上任意一点P (不与原点 重合)的坐标为(,)x y ,点P与原点的距离为r =可以证明:sin yr α=; cos xr α=; tan y xα=. (2)几个特殊角的三角函数值0,2π,π,32π的三角函数值如下表所示:数学 数学 数学 50(3)三角函数值的符号(4)诱导公式(一)终边相同的角的同一三角函数值相等.sin(2)sin k απα+⋅=, cos(2)cos k απα+⋅=, tan(2)tan k απα+⋅=,其中k Z ∈.2. 同角三角函数间的基本关系tan αcos αsin α。
必修 1 数学知识点会合间的基本运算1 、 一般地,由全部属于会合 A 或会合 B 的元素构成的会合,称为会合 A 与B 的并集.记作: A B .2 、 一般地,由属于会合 A且属于会合 B 的全部元素构成的会合,称为A 与B 的交集 .记作: AB子集:对随意 x A ,都有 xB ,则称 A 是 B 的子集。
记作 A B 真子集:若 A 是 B 的子集,且在 B 中起码存在一个元素不属于 A ,则 A 是 B 的真子集,记作 AB 会合相等:若:AB, BA ,则A B自然数集: N 正整数集: N *整数集: Z 有理数集: Q 实数集: R奇偶性1 、 f x f x ,那么就称函数 fx 为偶函数 .偶函数图象对于 y 轴对称 .2 、 fxf x ,那么就称函数f x 为奇函数 .奇函数图象对于原点对称 .第二章、基本初等函数(Ⅰ) §、指数与指数幂的运算1、 一般地,假如 x na ,那么 x 叫做 a 的 n 次方根。
此中 n 1,n N .2、 当 n 为奇数时, n a na ;当 n 为偶数时, n a n a .n1⑴ a mma n am n N *m;⑵n0 ;0, ,,1aan n⑴ arasar sa 0, r , s Q ;⑵ a rsarsa 0, r , s Q ⑶ ab ra rb ra 0,b 0, r Q .§、指数函数及其性质1、 记着图象: ya x a 0, a1复合函数的单一性 : 同增异减三、二次函数 y = ax 2 +bx + c ( a0 )的性质1、极点坐标公式:b , 4ac b 2 , 对称轴:xb ,最大(小)值: 4ac b 22a 4a2a 4a2.二次函数的分析式的三种形式 (1)一般式 (3)两根式f ( x) ax 2 bx c(a 0) ; (2)极点式 f ( x) a( x h)2 k (a 0) ; f ( x) a( x x 1 )( x x 2 )(a 0) .§、对数与对数运算1、 a xN log a N x ;2、 a log a Na .3、 log a 1 0 ,log a a 1.4、当 a0, a 1, M0, N0 时:⑴log a MNlog a M log a N ;⑵ log a M log a M log a N ;⑶ log a M n nlog a M .N换底公式:log c b1log a b a 0, a 1, c 0, c 1, b 0 .;log a b a 0, a 1, b 0, b 1 .log c a log b a记着图象:y log a x a 0, a1§、幂函数1、几种幂函数的图象:1、幂的运算法例:( 1) a m a n = a m + n,( 2)a m a n a m n,(3)( a m)n= a m n(4)( ab )n= a n b nna n n n1( 5)a(6) a 0= 1 ( a ≠0)()an1() a m m a n()amb b n7a n89m a n必修 2 数学知识点⑴圆柱侧面积;S侧面 2 r l⑵圆锥侧面积:S侧面r l⑶圆台侧面积: S侧面r l R l⑷体积公式:V柱体S h; V锥体1S h ;V台体1S上S上S下S下 h 33⑸球的表面积和体积:S球 4 R2,V球4R3. 3第三章:直线与方程y2y1 1、倾斜角与斜率:k tanx2x12、直线方程:⑴点斜式:y y0k x x0⑵斜截式:y kx b⑶两点式:y y1x x1 y2y1x2x1⑷一般式:Ax By C0⑴ l 1 // l 2A1B2A2B1 ;B1C2B2 C1⑵ l1和 l 2订交A1B2A2B1;⑶ l1和 l 2重合A1 B2A2B1 ;B1C2B2 C1⑷ l 1l 2A1 A2B1B20 .5、两点间距离公式:P1 P2x2x12y2y12 6、点到直线距离公式:3、对于直线:d Ax0By0CA2B2l1 : y k1x b1 , l 2 : y k2 x b2有:⑴ l 1 // l 2k1k 2 ;b1b2⑵ l 1和 l 2订交k1k2⑶ l 1和 l 2重合k1k 2 ;b1b2⑷ l 1 l 2k1 k21.4、对于直线:l1 : A1x B1 y C10,有:l 2 : A2 x B2 y C20第四章:圆与方程1、圆的方程:⑴标准方程:x a 2y b 2r 2⑵一般方程: x 2y 2Dx Ey F0.2、两圆地点关系: d O1O2⑴外离: d R r ;⑵外切: d R r ;⑶订交: R r d R r ;⑷内切: d R r ;⑸内含: d R r .3、空间中两点间距离公式:P1 P2x2x12y2y12z2z12必修 4 数学知识点第一章、三角函数2、l.§、随意角r1、正角、负角、零角、象限角的观点.3、弧长公式:l n RR .2、与角终边同样的角的会合:1802k , k Z .n R 21 lR .4、扇形面积公式:S§、弧度制3602 1、把长度等于半径长的弧所对的圆心角叫做 1 弧度§、随意角的三角函数1、设是一个随意角,它的终边与单位圆交于点P x, y,那么:2、设点A x0, y0为角终边上随意一点,那么:(设 r x02y02)siny 0, cosx 0 , tan y0 .rrx 03、 sin , cos , tan在四个象限的符号和三角函数线的画法.4、 引诱公式一:sin 2k sin ,§、同角三角函数的基本关系式cos 2k cos , (此中: k Z )、 平方关系: sin 22tan2ktan .1cos1.sin2 、 商数关系: tan.cos§、三角函数的引诱公式 1 、 引诱公式二:sin sin , coscos ,tantan .2 、引诱公式三:§、两角和与差的正弦、余弦、正切公式1 、 coscos cos sin sin2 、 sinsin cos cos sin3 、 sin sin coscos sin4 、 tan tan tan .1 tan tan5 、 tantan tan .1 tan tan§、二倍角的正弦、余弦、正切公式1 、 sin 22 sin cos,变形: sincos 12 sin 2 .2 、 cos2cos 2 sin 22 cos 211 2sin 2,变形 1: cos 21 cos2 ,2 变形 2: sin21 cos2 .2 3 、 tan 22 tan.1 tan2sin sin ,cos cos ,tantan .3、引诱公式四:sin sin ,cos cos ,tantan .4、引诱公式五:sincos ,2cossin .25、引诱公式六:sincos ,2cossin .2必修 5 数学知识点函数正弦函数余弦函数正切函数图象定义域R R{x| x ≠ +k π,k∈ Z}2值域[-1,1][-1,1]R周期性2π2ππ奇偶性奇函数偶函数奇函数增区间 [- π +2kπ , 2k π]减区间 [2k π ,π+2k π ]增区间 [-+2kπ ,( k ∈Z )增区间+2kπ ]单一性22(-+k π , +k π) 3减区间 [+2kπ ]22 +2kπ ,( k∈ Z ) 22对称轴x =+ k π( k∈ Z )x = k π ( k ∈ Z )无2对称中( kπ ,0 ) ( k ∈ Z )(+ k π ,0 )( k ∈ Z )( k ,0 ) ( k ∈ Z )心22二、平面向量1、向量的模计算公式:( 1)向量法: | a | =a a2 a;( 2)坐标法:设a =( x,y),则 |a | =x 2y 2 2、单位向量的计算公式:( 1)与向量a =( x,y)同向的单位向量是x,y;x2x2y 2y 2( 2)与向量a =( x,y)反向的单位向量是x,y;x2y 2x 2y 23、平行向量规定:零向量与任一直量平行。
高中高一数学上下册知识点必修1 各章知识点总结第一章集合与函数概念一、集合有关概念1、集合的含义:某些指定的对象集在一起就成为一个集合,其中每一个对象叫元素。
2、集合的中元素的三个特性:1.元素的确定性;2.元素的互异性;3.元素的无序性说明:(1)对于一个给定的集合,集合中的元素是确定的,任何一个对象或者是或者不是这个给定的集合的元素。
(2)任何一个给定的集合中,任何两个元素都是不同的对象,相同的对象归入一个集合时,仅算一个元素。
(3)集合中的元素是平等的,没有先后顺序,因此判定两个集合是否一样,仅需比较它们的元素是否一样,不需考查排列顺序是否一样。
(4)集合元素的三个特性使集合本身具有了确定性和整体性。
3、集合的表示:{…}如{我校的篮球队员},{太平洋,大西洋,印度洋,北冰洋}1.用拉丁字母表示集合:A={我校的篮球队员},B={1,2,3,4,5}2.集合的表示方法:列举法与描述法。
注意啊:常用数集及其记法:非负整数集(即自然数集)记作:N正整数集N*或N+整数集Z有理数集Q实数集R关于“属于”的概念集合的元素通常用小写的拉丁字母表示,如:a是集合A的元素,就说a属于集合A记作a∈A,相反,a不属于集合A记作a?A列举法:把集合中的元素一一列举出来,然后用一个大括号括上。
描述法:将集合中的元素的公共属性描述出来,写在大括号内表示集合的方法。
用确定的条件表示某些对象是否属于这个集合的方法。
①语言描述法:例:{不是直角三角形的三角形}②数学式子描述法:例:不等式x-3>2的解集是{x?R|x-3>2}或{x|x-3>2}4、集合的分类:1.有限集含有有限个元素的集合2.无限集含有无限个元素的集合3.空集不含任何元素的集合例:{x|x2=-5}二、集合间的基本关系1.“包含”关系—子集注意:有两种可能(1)A是B的一部分,;(2)A与B是同一集合。
反之:集合A不包含于集合B,或集合B不包含集合A,记作AB或BA2.“相等”关系(5≥5,且5≤5,则5=5)实例:设A={x|x2-1=0}B={-1,1}“元素相同”结论:对于两个集合A与B,如果集合A的任何一个元素都是集合B的元素,同时,集合B的任何一个元素都是集合A的元素,我们就说集合A等于集合B,即:A=B①任何一个集合是它本身的子集。
高中数学必修一知识点梳理一、集合。
1. 集合的概念。
- 集合是由一些确定的、不同的对象所组成的整体。
这些对象称为集合的元素。
例如,一个班级里的所有学生可以组成一个集合,其中每个学生就是这个集合的元素。
- 集合中的元素具有确定性(给定一个元素和一个集合,能确定这个元素是否属于这个集合)、互异性(集合中的元素互不相同)、无序性(集合中的元素没有顺序要求)。
2. 集合的表示方法。
- 列举法:把集合中的元素一一列举出来,写在大括号内。
例如,集合A = {1,2,3}。
- 描述法:用集合所含元素的共同特征表示集合。
一般形式为{xp(x)},其中x 是集合中的代表元素,p(x)是元素x所满足的条件。
例如,{xx>0且x∈ Z}表示所有大于0的整数组成的集合。
- 区间表示法:常用于表示实数集的子集。
例如,(a,b)={xa < x < b},[a,b]={xa≤slant x≤slant b},(a,b]={xa < x≤slant b},[a,b)={xa≤slant x < b}。
3. 集合间的关系。
- 子集:如果集合A的所有元素都是集合B的元素,那么称A是B的子集,记作A⊆ B(或B⊇ A)。
例如,{1,2}⊆{1,2,3}。
- 真子集:如果A⊆ B,且存在b∈ B,b∉ A,则称A是B的真子集,记作A⊂neqq B。
例如,{1,2}⊂neqq{1,2,3}。
- 相等:如果A⊆ B且B⊆ A,则A = B。
4. 集合的运算。
- 交集:A∩ B={xx∈ A且x∈ B}。
例如,A = {1,2,3},B={2,3,4},则A∩ B = {2,3}。
- 并集:A∪ B={xx∈ A或x∈ B}。
对于上述A和B,A∪ B={1,2,3,4}。
- 补集:设U是全集,A⊆ U,则∁_UA={xx∈ U且x∉ A}。
二、函数。
1. 函数的概念。
- 设A,B是非空的数集,如果按照某种确定的对应关系f,使对于集合A中的任意一个数x,在集合B中都有唯一确定的数y和它对应,那么就称f:A→ B为从集合A到集合B的一个函数,记作y = f(x),x∈ A。
全部覆盖数学必修1至5的所有知识点以及相关公式,方便复习和及时总结,祝大家能取得好的成绩!!!数学必修1-5常用公式及结论必修1: 一、集合1、含义与表示:(1)集合中元素的特征:确定性,互异性,无序性(2)集合的分类;有限集,无限集 (3)集合的表示法:列举法,描述法,图示法2、集合间的关系:子集:对任意x A ∈,都有 x B ∈,则称A 是B 的子集。
记作A B ⊆真子集:若A 是B 的子集,且在B 中至少存在一个元素不属于A ,则A 是B 的真子集, 记作A ≠⊂B 集合相等:若:,A B B A ⊆⊆,则A B =3. 元素与集合的关系:属于∈ 不属于:∉ 空集:φ4、集合的运算:并集:由属于集合A 或属于集合B 的元素组成的集合叫并集,记为 AB交集:由集合A 和集合B 中的公共元素组成的集合叫交集,记为AB补集:在全集U 中,由所有不属于集合A 的元素组成的集合叫补集,记为U C A5.集合12{,,,}n a a a 的子集个数共有2n 个;真子集有2n –1个;非空子集有2n–1个;6.常用数集:自然数集:N 正整数集:*N 整数集:Z 有理数集:Q 实数集:R 二、函数的奇偶性1、定义: 奇函数 <=> f (– x ) = – f ( x ) ,偶函数 <=> f (–x ) = f ( x )(注意定义域)2、性质:(1)奇函数的图象关于原点成中心对称图形; (2)偶函数的图象关于y 轴成轴对称图形;(3)如果一个函数的图象关于原点对称,那么这个函数是奇函数; (4)如果一个函数的图象关于y 轴对称,那么这个函数是偶函数. 二、函数的单调性1、定义:对于定义域为D 的函数f ( x ),若任意的x 1, x 2∈D ,且x 1 < x 2① f ( x 1 ) < f ( x 2 ) <=> f ( x 1 ) – f ( x 2 ) < 0 <=> f ( x )是增函数② f ( x 1 ) > f ( x 2 ) <=> f ( x 1 ) – f ( x 2 ) > 0 <=> f ( x )是减函数 2、复合函数的单调性: 同增异减三、二次函数y = ax 2+bx + c (0a ≠)的性质1、顶点坐标公式:⎪⎪⎭⎫ ⎝⎛--a b ac a b 44,22, 对称轴:a bx 2-=,最大(小)值:a b ac 442-2.二次函数的解析式的三种形式(1)一般式2()(0)f x ax bx c a =++≠; (2)顶点式2()()(0)f x a x h k a =-+≠; (3)两根式12()()()(0)f x a x x x x a =--≠. 四、指数与指数函数 1、幂的运算法则: (1)a m• a n= am + n,(2)nm n m aa a -=÷,(3)( a m ) n = am n(4)( ab ) n= an• b n(5) n n nb a b a =⎪⎭⎫ ⎝⎛(6)a 0 = 1 ( a ≠0)(7)n n a a 1=- (8)m n mna a =(9)m n m naa 1=-2、根式的性质(1)na =.(2)当na =; 当n,0||,0a a a a a ≥⎧==⎨-<⎩.4、指数函数y = a x(a > 0且a ≠1)的性质:(1)定义域:R ; 值域:( 0 , +∞) (2)图象过定点(0,1)5.指数式与对数式的互化: log b a N b a N =⇔=(0,1,0)a a N >≠>. 五、对数与对数函数 1对数的运算法则:(1)a b= N <=> b = log a N (2)log a 1 = 0(3)log a a = 1(4)log a a b= b (5)a log a N = N(6)log a (MN) = log a M + log a N (7)log a (NM) = log a M -- log a N(8)log a N b= b log a N (9)换底公式:log a N =aNb b log log(10)推论 log log m na a nb b m=(0a >,且1a >,,0m n >,且1m ≠,1n ≠, 0N >). (11)log a N =aN log 1(12)常用对数:lg N = log 10 N (13)自然对数:ln A =log e A (其中 e = 2.71828…) 2、对数函数y = log a x (a > 0且a ≠1)的性质: (1)定义域:( 0 , +∞) ; 值域:R (2)图象过定点(1,0)六、幂函数y = x a的图象:(1) 根据 a 的取值画出函数在第一象限的简图 .例如: y = x 221x x y ==11-==x xy七.图象平移:若将函数)(x f y =的图象右移a 、上移b 个单位, 得到函数b a x f y +-=)(的图象; 规律:左加右减,上加下减 八. 平均增长率的问题如果原来产值的基础数为N ,平均增长率为p ,则对于时间x 的总产值y ,有(1)xy N p =+. 九、函数的零点:1.定义:对于()y f x =,把使()0f x =的X 叫()y f x =的零点。
高中数学必修5知识点1、正弦定理:在C ∆AB 中,a 、b 、c 分别为角A 、B 、C 的对边,R 为C ∆AB 的外接圆的半径,则有2sin sin sin a b cR A B C===. 2、正弦定理的变形公式:①2sin a R =A ,2sin b R =B ,2sin c R C =;②sin 2a A R =,sin 2b B R =,sin 2cC R=;③::sin :sin :sin a b c A B C =;④sin sin sin sin sin sin a b c a b cA B C A B C ++===++.3、三角形面积公式:111sin sin sin 222C S bc A ab C ac B ∆AB ===.4、余弦定理:在C ∆AB 中,有2222cos a b c bc A =+-,2222cos b a c ac B =+-, 2222cos c a b ab C =+-.5、余弦定理的推论:222cos 2b c a bc +-A =,222cos 2a c b ac+-B =,222cos 2a b c C ab +-=.6、设a 、b 、c 是C ∆AB 的角A 、B 、C 的对边, 则:①若222a b c +=,则90C =;②若222a b c +>,则90C <; ③若222a b c +<,则90C >.注:在C ∆AB 中,则有 (1)A B C π++=(2),,.a b c a c b b c a +>+>+> (3)sin sin A B A B a b >⇔>⇔> 7、数列:按照一定顺序排列着的一列数. 8、数列的项:数列中的每一个数. 9、有穷数列:项数有限的数列.10、无穷数列:项数无限的数列.11、递增数列:从第2项起,每一项都不小于它的前一项的数列.10n n a a +-> 12、递减数列:从第2项起,每一项都不大于它的前一项的数列.10n n a a +-< 13、常数列:各项相等的数列.14、摆动数列:从第2项起,有些项大于它的前一项,有些项小于它的前一项的数列. 15、数列的通项公式:表示数列{}n a 的第n 项与序号n 之间的关系的公式.16、数列的递推公式:表示任一项n a 与它的前一项1n a -(或前几项)间的关系的公式. 17、如果一个数列从第2项起,每一项与它的前一项的差等于同一个常数,则这个数列称为等差数列,这个常数称为等差数列的公差.18、由三个数a ,A ,b 组成的等差数列可以看成最简单的等差数列,则A 称为a 与b 的等差中项.若2a cb +=,则称b 为a 与c 的等差中项. 19、若等差数列{}n a 的首项是1a ,公差是d ,则()111()n a a n d dn a d An B =+-=+-=+.20、通项公式的变形:①()n m a a n m d =+-;②()11n a a n d =--;③11n a a d n -=-; ④11n a a n d -=+;⑤n ma a d n m-=-. 21、若{}n a 是等差数列,且m n p q +=+(m 、n 、p 、*q ∈N ),则m n p q a a a a +=+;若{}n a 是等差数列,且2n p q =+(n 、p 、*q ∈N ),则2n p q a a a =+.22、等差数列的前n 项和的公式:①()12n n n a a S +=; ②()22111()222n n n d dS na d n a n An Bn -=+=+-=+. ③n S An B n =+⇒n S n ⎧⎫⎨⎬⎩⎭是等差数列. 23、等差数列的前n 项和的性质:①若项数为()*2n n ∈N ,则()21n n n S n a a +=+,且S S nd -=偶奇,1n n S aS a +=奇偶. ②若项数为()*21n n -∈N ,则()2121n n S n a -=-,且n S S a -=奇偶,1S nS n =-奇偶 (其中n S na =奇,()1n S n a =-偶).③若等差数列{}n a 的前n 项和为n S ,则数列n S ,2n n S S -,32n n S S -成等差数列. 24、如果一个数列从第2项起,每一项与它的前一项的比等于同一个常数,则这个数列称为等比数列,这个常数称为等比数列的公比.注:等比数列中每一项都不等于零,其奇数项符号相同,偶数项符号相同。
必修1数学知识点第一章、集合与函数概念 §1.1.1、集合1、 把研究的对象统称为元素,把一些元素组成的总体叫做集合。
集合三要素:确定性、互异性、无序性。
2、 只要构成两个集合的元素是一样的,就称这两个集合相等。
3、 常见集合:正整数集合:*N 或+N ,整数集合:Z ,有理数集合:Q ,实数集合:R .4、集合的表示方法:列举法、描述法.§1.1.2、集合间的基本关系1、 一般地,对于两个集合A 、B ,如果集合A 中任意一个元素都是集合B 中的元素,则称集合A 是集合B 的子集。
记作B A ⊆.2、 如果集合B A ⊆,但存在元素B x ∈,且A x ∉,则称集合A 是集合B 的真子集.记作:A B. 3、 把不含任何元素的集合叫做空集.记作:∅.并规定:空集合是任何集合的子集.4、 如果集合A 中含有n 个元素,则集合A 有n2个子集.§1.1.3、集合间的基本运算1、 一般地,由所有属于集合A 或集合B 的元素组成的集合,称为集合A 与B 的并集.记作:B A . 2、 一般地,由属于集合A 且属于集合B 的所有元素组成的集合,称为A 与B 的交集.记作:B A . 3、全集、补集?{|,}U C A x x U x U =∈∉且 §1.2.1、函数的概念1、 设A 、B 是非空的数集,如果按照某种确定的对应关系f ,使对于集合A 中的任意一个数x ,在集合B 中都有惟一确定的数()x f 和它对应,那么就称B A f →:为集合A 到集合B 的一个函数,记作:()A x x f y ∈=,.2、 一个函数的构成要素为:定义域、对应关系、值域.如果两个函数的定义域相同,并且对应关系完全一致,则称这两个函数相等.§1.2.2、函数的表示法1、 函数的三种表示方法:解析法、图象法、列表法. §1.3.1、单调性与最大(小)值1、 注意函数单调性证明的一般格式:解:设[]b a x x ,,21∈且21x x <,则:()()21x f x f -=…§1.3.2、奇偶性1、 一般地,如果对于函数()x f 的定义域内任意一个x ,都有()()x f x f =-,那么就称函数()x f 为偶函数.偶函数图象关于y 轴对称.2、 一般地,如果对于函数()x f 的定义域内任意一个x ,都有()()x f x f -=-,那么就称函数()x f 为奇函数.奇函数图象关于原点对称. 第二章、基本初等函数(Ⅰ)§2.1.1、指数与指数幂的运算1、 一般地,如果a x n=,那么x 叫做a 的n 次方根。
其中+∈>N n n ,1. 2、 当n 为奇数时,a a n n =;当n 为偶数时,a a n n=. 3、 我们规定: ⑴m n mna a=()1,,,0*>∈>m Nn m a ;⑵()01>=-n aan n; 4、 运算性质:⑴()Q s r a aa a sr s r ∈>=+,,0;⑵()()Q s r a a a rs sr∈>=,,0;⑶()()Q r b a b a ab rr r∈>>=,0,0.§2.1.2、指数函数及其性质 1、 记住图象:()1,0≠>=a a a y x§2.2.1、对数与对数运算1、x N N a a x=⇔=log ;2、a aNa =log .3、01log =a ,1log =a a .4、当0,0,1,0>>≠>N M a a 时: ⑴()N M MN a a a log log log +=; ⑵N M N M a a a log log log -=⎪⎭⎫⎝⎛; ⑶M n M a na log log =.5、换底公式:abb c c a log log log =()0,1,0,1,0>≠>≠>b c c a a .6、ab b a log 1log =()1,0,1,0≠>≠>b b a a . §2..2.2、对数函数及其性质1、 记住图象:()1,0log ≠>=a a x y a§2.3、幂函数1、几种幂函数的图象:第三章、函数的应用§3.1.1、方程的根与函数的零点 1、方程()0=x f 有实根⇔函数()x f y =的图象与x 轴有交点 ⇔函数()x f y =有零点.2、 性质:如果函数()x f y =在区间[]b a , 上的图象是连续不断的一条曲线,并且有()()0<⋅b f a f ,那么,函数()x f y =在区间()b a ,内有零点,即存在()b a c ,∈,使得()0=c f ,这个c 也就是方程()0=x f 的根.§3.1.2、用二分法求方程的近似解 1、掌握二分法.§3.2.1、几类不同增长的函数模型 §3.2.2、函数模型的应用举例1、解决问题的常规方法:先画散点图,再用适当的函数拟合,最后检验.必修2数学知识点1、空间几何体的结构⑴常见的多面体有:棱柱、棱锥、棱台;常见的旋转体有:圆柱、圆锥、圆台、球。
⑵棱柱:有两个面互相平行,其余各面都是四边形,并且每相邻两个四边形的公共边都互相平行,由这些面所围成的多面体叫做棱柱。
⑶棱台:用一个平行于棱锥底面的平面去截棱锥,底面与截面之间的部分,这样的多面体叫做棱台。
2、空间几何体的三视图和直观图把光由一点向外散射形成的投影叫中心投影,中心投影的投影线交于一点;把在一束平行光线照射下的投影叫平行投影,平行投影的投影线是平行的。
3、空间几何体的表面积与体积⑴圆柱侧面积;l r S ⋅⋅=π2侧面⑵圆锥侧面积:l r S ⋅⋅=π侧面⑶圆台侧面积:l R l r S ⋅⋅+⋅⋅=ππ侧面 ⑷体积公式:h S V ⋅=柱体;h S V ⋅=31锥体; ()h S S S S V 下下上上台体+⋅+=31⑸球的表面积和体积:32344R V R S ππ==球球,.第二章:点、直线、平面之间的位置关系1、公理1:如果一条直线上两点在一个平面内,那么这条直线在此平面内。
2、公理2:过不在一条直线上的三点,有且只有一个平面。
3、公理3:如果两个不重合的平面有一个公共点,那么它们有且只有一条过该点的公共直线。
4、公理4:平行于同一条直线的两条直线平行.5、定理:空间中如果两个角的两边分别对应平行,那么这两个角相等或互补。
6、线线位置关系:平行、相交、异面。
7、线面位置关系:直线在平面内、直线和平面平行、直线和平面相交。
8、面面位置关系:平行、相交。
9、线面平行:⑴判定:平面外一条直线与此平面内的一条直线平行,则该直线与此平面平行。
⑵性质:一条直线与一个平面平行,则过这条直线的任一平面与此平面的交线与该直线平行。
10、面面平行:⑴判定:一个平面内的两条相交直线与另一个平面平行,则这两个平面平行。
⑵性质:如果两个平行平面同时和第三个平面相交,那么它们的交线平行。
11、线面垂直:⑴定义:如果一条直线垂直于一个平面内的任意一条直线,那么就说这条直线和这个平面垂直。
⑵判定:一条直线与一个平面内的两条相交直线都垂直,则该直线与此平面垂直。
⑶性质:垂直于同一个平面的两条直线平行。
12、面面垂直:⑴定义:两个平面相交,如果它们所成的二面角是直二面角,就说这两个平面互相垂直。
⑵判定:一个平面经过另一个平面的一条垂线,则这两个平面垂直。
⑶性质:两个平面互相垂直,则一个平面内垂直于交线的直线垂直于另一个平面。
第三章:直线与方程1、倾斜角与斜率:1212tan x x y y k --==α2、直线方程:⑴点斜式:()00x x k y y -=- ⑵斜截式:b kx y +=⑶两点式:121121x x x x y y y y --=-- ⑷一般式:0=++C By Ax 3、对于直线:222111:,:b x k y l b x k y l +=+=有:⑴⎩⎨⎧≠=⇔212121//b b k k l l ;⑵1l 和2l 相交12k k ⇔≠;⑶1l 和2l 重合⎩⎨⎧==⇔2121b b k k ;⑷12121-=⇔⊥k k l l . 4、对于直线::,0:22221111=++=++C y B x A l C y B x A l 有:⑴⎩⎨⎧≠=⇔1221122121//C B C B B A B A l l ;⑵1l 和2l 相交1221B A B A ≠⇔; ⑶1l 和2l 重合⎩⎨⎧==⇔12211221C B C B B A B A ;⑷0212121=+⇔⊥B B A A l l . 5、两点间距离公式:()()21221221y y x x P P -+-=6、点到直线距离公式:2200BA CBy Ax d +++=第四章:圆与方程 1、圆的方程:⑴标准方程:()()222r b y a x =-+-⑵一般方程:022=++++F Ey Dx y x . 2、两圆位置关系:21O O d = ⑴外离:r R d +>; ⑵外切:r R d +=;⑶相交:r R d r R +<<-; ⑷内切:r R d -=; ⑸内含:r R d -<.3、空间中两点间距离公式:()()()21221221221z z y y x x P P -+-+-=必修3数学知识点第一章:算法1、算法三种语言:自然语言、流程图、程序语言;2、算法的三种基本结构:顺序结构、选择结构、循环结构 3、流程图中的图框:起止框、输入输出框、处理框、判断框、流程线等规范表示方法;4、循环结构中常见的两种结构: 当型循环结构、直到型循环结构5、基本算法语句: ①赋值语句:“=”(有时也用“←”) ②输入输出语句:“INPUT ” “PRINT ” ③条件语句: If … Then …Else … End If④循环语句: “Do ”语句 Do … Until … End“While ”语句 While … … WEnd⑹算法案例:辗转相除法—同余思想 第二章:统计 1、抽样方法:①简单随机抽样(总体个数较少) ②系统抽样(总体个数较多) ③分层抽样(总体中差异明显) 注意:在N 个个体的总体中抽取出n 个个体组成样本,每个个体被抽到的机会(概率)均为Nn。
2、总体分布的估计: ⑴一表二图:①频率分布表——数据详实 ②频率分布直方图——分布直观③频率分布折线图——便于观察总体分布趋势 注:总体分布的密度曲线与横轴围成的面积为1。
⑵茎叶图:①茎叶图适用于数据较少的情况,从中便于看出数据的分布,以及中位数、众位数等。