2016年专升本经济数学试题
- 格式:doc
- 大小:182.50 KB
- 文档页数:5
江苏省2015年普通高校“专转本”选拔考试一、 选择题(本大题共6小题,每小题4分,满分24分) 1、当0x→时,函数sin ()1x f x e =-是函数 ()g x x =的 ( )A. 高阶无穷小B. 低阶无穷小C. 同阶无穷小D. 等价无穷小 2、函数(1) (1)x y x x =-<的微分dy 为 ( )A. (1) [ln(1)]1x x x x dx x --+- B. (1) [ln(1)]1x x x x dx x---- C.1(1)x x x dx -- D. 1(1)x x x dx ---3、0x =是函数111, 0()11, 0x xe xf x e x ⎧+⎪≠⎪=⎨-⎪⎪=⎩的 ( ) A. 无穷间断点 B. 跳跃间断点 C.可去间断点 D. 连续点 4、设()F x 是函数()f x 的一个原函数,则(32)f x dx -=⎰ ( )A. 1(32)2F x C --+B. 1(32)2F x C -+ C.2(32)F x C --+ D. 2(32)F x C -+5、下列级数条件收敛的是 ( )A.21(1)n n nn ∞=--∑ B.11(1)21nn n n ∞=+--∑C.1!(1)nn n n n ∞=-∑ D.211(1)nn n n∞=+-∑ 6、二次积分11ln (,)eydy f x y dx =⎰⎰ ( )A.11ln (,)exdx f x y dy ⎰⎰ B.1(,)x edx f x y dy ⎰⎰ 1 0C. 0(,)xe dxf x y dy ⎰⎰ 1 0D.1(,)xe dxf x y dy ⎰⎰ 1 0二、填空题(本大题共6小题,每小题4分,共24分) 7设()lim(1)n n xf x n→∞=-,则(ln 2)f =_________.8、曲线33211x t t y t ⎧=-+⎪⎨=+⎪⎩在点(0,2)处的切线方程为____________.9、设向量b 与向量(1,2,1)a =--平行,且12a b ⋅=,则b =________.10、设1()21f x x =+,则()()n f x =_________.11、微分方程2xy y x '-=满足初始条件12x y==的特解为___ __.12、幂级数11)nn n x ∞=-的收敛域为____________. 三、计算题(本大题共8小题,每小题8分,共64分)13、求极限020arcsin lim222xxx t tdte x x →---⎰.14、设2sin , 0()0, 0x xx f x x x -⎧≠⎪=⎨⎪=⎩,求()f x '. 15、求通过直线112215x y z +-+==与平面32100x y z ++-=的交点,且与直线230240x y z x y z -++=⎧⎨+--=⎩平行的直线方程. 16、求不定积分3⎰.17、计算定积分222()sin xx xdx ππ-+⎰ .18、设(,()),xz f x yϕ=,其中函数f具有二阶连续偏导数,函数ϕ具有连续导数,求yx z∂∂∂2.19、计算二重积分Dxydxdy ⎰⎰,其中D为由曲线y =与直线y x =及直线2y =所围成的平面闭区域. 20、已知2312x x x y C e C e xe =++是二阶常系数非齐次线性微分方程()y py qy f x '''++=的通解,试求该微分方程.四、综合题(本大题共2小题,每小题10分,共20分) 21、设D 是由曲线2y x =与直线(0)y ax a =>所围成的平面图形,已知D 分别绕两坐标轴旋转一周所形成的旋转体的体积相等,试求: (1)常数a 的值; (2)平面图形D 的面积.22、设函数2()(1)ax b f x x +=+在点1x =处取得极值14-,试求: (1)常数,a b 的值;(2)曲线()y f x =的凹凸区间与拐点;(3)曲线)(x f y =的渐近线.五、证明题(本大题共2小题,每小题9分,共18分) 23、证明:当10<<x 时,(2)ln(1)2x x x -->.24、设(,)zz x y =是由方程22()y z xf y z +=-所确定的函数,其中f为可导函数,证明:z zxz y x y∂∂+=∂∂. 2016年试卷一、 选择题(本大题共6小题,每小题4分,满分24分) 1、函数()f x 在0x x =处有意义是极限0lim ()x x f x →存在的( D )A. 充分条件B. 必要条件C. 充分必要条件D. 无关条件 2、函数()sin f x x =,当0x +→时,下列函数中是()f x 的高阶无穷小的是 ( C )A.tan x B.1 C. 21sinx xD. 1-3、设函数()f x 的导函数为sin x ,则()f x 的一个原函数是( B )A.sin x B. sin x - C. cos x D. cos x -4、二阶常系数非齐次线性微分方程22x y y y xe -'''--= 的特解的正确形式为( D )A.x Axe - B. 2x Ax e - C. ()x Ax B e -+ D. ()x x Ax B e -+5、函数2()z x y =-,则1,0d x y z=== ( B )A.22dx dy + B. 22dx dy - C. 22dx dy -+ D. 22dx dy --6、幂级数212n nn x n∞=∑的收敛域为 ( A )A.11[,]22- B. 11[,)22- C. 11(,]22- D. 11(,)22- 二、填空题(本大题共6小题,每小题4分,共24分) 7.极限1lim(12)xx x →-=____2e -_____.8、已知向量(1,0,2)a =,(4,3,2)b =--,则(2)(2)a b a b -⋅+=___-48_________. 9、函数()x f x xe =的n 阶导数()()n f x =____()x n x e +_____.10、函数211()sin 2x f x x x+=的水平渐近线方程为___ 12y =___.11、函数2()ln ,xxF x tdt =⎰则()F x '=___ ln 4x __.12、无穷级数_____发散_______(填写收敛或发散). 三、计算题(本大题共8小题,每小题8分,共64分) 13、求极限201cos lim().sin x xx x x→-.14、设函数()y y x =由方程xy e x y =+确定,求dydx. 15、计算定积分51⎰.16、求不定积分2ln (1)xdx x +⎰ .17、求微分方程22sin xy xy x '+=满足条件()0y π=的解.18、求由直线L1:111131x y z ---==和直线L2:11213x ty t z t=+⎧⎪=+⎨⎪=+⎩所确定的平面方程. 19、设22(,)zf x y y x =--,其中函数f 具有二阶连续偏导数,求yx z∂∂∂2.20、计算二重积分Dxdxdy ⎰⎰,其中D 为由直线2y x =+,x轴及曲线y =所围成的平面区域.四、证明题(本大题共2小题,每小题9分,共18分) 21、证明函数||y x =在0x =处连续但不可导.22、证明12x ≥-时,不等式32213x x +≥成立. 五、综合题(本大题共2小题,每小题10分,共20分) 23、平面区域D 由曲线222xy y +=,y y 轴所围成(1)求平面区域D 的面积;(2)求平面图形D 绕x 轴旋转一周所得的旋转体体积. 24、设函数()f x 满足2211()2()f x f x dx x =+⎰, (1)求()f x 的表达式;(2)确定反常积分1()f x dx +∞⎰的敛散性.。
2016年专升本考试试题卷考试科目:经济数学 考试时间:120分钟 试卷总分:100分一、 选择题(在每个小题四个备选答案中选出一个正确答案,填在题末的括号中,本 大题共5小题,每小题3分,总计15分)1、设,0,1sin 0,1sin )(⎪⎪⎩⎪⎪⎨⎧><=x x x xx x f 则)(lim 0x f x →不存在的原因是( ) A 、 )0(f 无意义 B 、)(lim 0x f x +→不存在 C 、)(lim 0x f x -→不存在 D 、)(lim 0x f x +→与)(lim 0x f x -→都存在,但不相等 2、函数x e x f x -=)(的单调递减区间是( ) A 、[]1,0 B 、[]0,1- C 、(]0,∞- D 、[)∞+,03、微分方程x e x y y y --=+'+'')1(2的特解形式可设为( ) A 、x e b ax -+)( B 、x e b ax x -+)(2 C 、x e b ax x -+)( D 、x e x a -+)1(4、若22001()()2axf x dx f x dx =⎰⎰,则a =( ) A 、4 B 、2 C 、12D 、1 5、设123,,y y y 为线性方程组AX b =的解,则( )A 、123y y y ++为AX b =的解B 、12y y -为AX b =的解C 、122y y -为AX b =的解D 、123y y y +-为AX b =的解二、 填空题(本大题共5小题,每小题3分,总计15分)1、若1lim(1)2xx ax →-=,则a =( )2、设lnsin y x =,则y '=( )3、幂级数21(1)2nn x n ∞=-+∑的收敛区间为( )4、积分423x dx -=⎰( )5、设001020400A ⎛⎫ ⎪= ⎪ ⎪⎝⎭,则14A -=( )三、求解下列各题(本大题共10小题,每小题6分,总计60分)1、求,a b 的值,使函数223,0(),0x x x f x a bx x ⎧-+≤=⎨+>⎩在(),-∞+∞内连续,可导.2、求函数xy xe =的n 阶导数的一般表达式.3、求不定积分11xdx e+⎰.4、已知函数,1()12,0x xf xx x<⎧=⎨+≥⎩,求()xf x dx⎰.5、设矩阵423110123A⎛⎫⎪= ⎪⎪-⎝⎭,求矩阵B使2AB A B=+.6、已知函数()f x 可导,且(ln )f x '1x =+,(0)2f =,求()f x 的表达式.7、求方程223x y y y xe '''--=的通解.8、某厂生产甲、乙两种产品,其市场销售单价分别为11万元和10万元,已知生产甲、乙产品分别为x 和y 单位时的成本为:22()40230.1(3)c x x y x xy y =+++++,试求最大利润时,甲、乙产品各生产多少?9、计算二重积分2()Dx d y σ⎰⎰,其中D 由1,2,2,1x x y x xy ====所围区域.10、设(0,)+∞上可微函数()f x 满足:01()1()xf x f t dt x =+⎰,求()f x .四、证明题(本大题共2小题,每小题5分,总计10分)1、 设n 阶矩阵A 满足2250A A E +-=,证明3A E +可逆,并求1(3)A E -+.2、设()z xy xf u =+,y u x =,且()f u 可导,求证:z zxy xy z x y∂∂+=+∂∂.。
2016年专升本(高等数学二)真题试卷(题后含答案及解析) 题型有:1. 选择题 2. 填空题 3. 解答题选择题1.= ( )A.0B.1C.2D.3正确答案:C2.设函数f(x)=在x=0处连续,则a= ( ) A.一1B.0C.1D.2正确答案:C3.设函数y=2+sinx,则y’= ( )A.cosxB.-cosxC.2+cosxD.2-cosx正确答案:A4.设函数y=ex-1+1,则dy= ( )A.exdxB.ex-1dxC.(ex+1)dxD.(ex-1+1)dx正确答案:B5.∫01(5x4+2)dx= ( )A.1B.3C.5D.7正确答案:B6.∫0(1+cosx)dx ( )A.+1B.C.一1D.1正确答案:A7.设函数y=x4+2x2+3,则= ( ) A.4x3+4xB.4x3+4C.12x2+4xD.12x2+4正确答案:D8.∫1+∞dx= ( )A.一1B.0C.1D.2正确答案:C9.设函数z=x2+y,则dz= ( )A.2xdx+dyB.x2dx+dyC.x2dx+ydyD.2xdx+ydy正确答案:A10.若=2,则a= ( )A.B.1C.D.2正确答案:D填空题11.=______.正确答案:12.设函数y=x2一ex,则y’=_______.正确答案:2x-ex13.设事件A发生的概率为0.7,则A的对立事件发生的概率为______.正确答案:0.314.曲线y=Inx在点(1,0)处的切线方程为______.正确答案:y=x-115.∫()dx=_______.正确答案:ln|x|+arctanx+C16.∫-11(sinx+x)dx=_______·正确答案:017.设函数F(x)=∫0xcostdt,则F’(x)=_______.正确答案:cosx18.设函数z=sin(x+2y),则=________.正确答案:cos(x+2y)19.已知点(1,1)是曲线y=x2+alnx的拐点,则a=______.正确答案:220.设y=y(x)是由方程y=x一ey所确定的隐函数,则=______.正确答案:解答题21.计算.正确答案:解:=3.22.设函数y=xe2x,求y’.正确答案:y’=x’e2x+x(e2x)’=(1+2x)e2x.23.设函数z=x3y+xy3,求.正确答案:解:=3x2y+y3,=6xy,=3x2+3y2.24.计算∫xcosx2dx.正确答案:解:∫xcosx2dx=∫cosx2dx2=sinx2+C.25.计算∫12xlnxdx.正确答案:解:26.求曲线y=,直线x=1和x轴所围成的有界平面图形的面积S,及该平面图形绕z轴旋转一周所得旋转体的体积V.正确答案:解:面积S=∫01dx=.旋转体的体积V=∫01π()2dx=∫01πxdx=x2|01=.27.设函数f(x,y)=x2+y2+xy+3,求f(x,y)的极值点与极值.正确答案:由已知,=2x+y,=2y+x,故=2.因为A >0且AC—B2>0,所以(0,0)为f(x,y)的极小值点,极小值为f(0,0)=3.已知离散型随机变量X的概率分布为28.求常数a;正确答案:解因为0.2+a+0.2+0.3=1,所以a=0.3.29.求X的数学期望EX及方差DX.正确答案:EX=0×0.2+10×0.3+20×0.2+30×0.3=16,DX=(0一16)2×0.2+(10一16)2×0.3+(20一16)2×0.2+(30一16)2×0.3=124.。
2016年专升本考试真题及答案(数学)————————————————————————————————作者:————————————————————————————————日期:2016年重庆市专升本数学试卷一、单项选择题(每题4分,满分32分)1. 设()f x 在0x x =处可导,则()()0002lim h f x h f x h→+-= A.()'0f x - B.()'0f x C.()'02f x D.()'03f x2.定积分121sin x xdx -=⎰A.-1B.0C.1D.23.过OZ 轴及点()3,2,4-的平面方程是A.320x y +=B.20y z +=C.20x z +=D.230x y +=4.已知微分方程为dy y dx=通解为 A.x y e = B.x y e C =+C.y x C =+D.x y Ce =5.下列级数收敛的是 A.31113n n n ∞=⎛⎫+ ⎪⎝⎭∑ B.11sin n n ∞=∑ 1.1n n C n ∞=+∑ D.1!nn n n ∞=∑ 6.3阶行列式314895111中元素321a =的代数余子式为A.1B.8C.15D.177、设1002A ⎛⎫= ⎪⎝⎭,则3A = A.1002⎛⎫ ⎪⎝⎭B.3006⎛⎫ ⎪⎝⎭C.1008⎛⎫ ⎪⎝⎭D.3008⎛⎫ ⎪⎝⎭8、在0,1,2,3,4五个数中任意取3个数,则这三个数中不含0的概率为()A.0.4B.0.5C.0.6D.0.8二、填空题(每小4分,共16分)9、极限0sin 6lim tan 2x x x→= 10、设函数()320cos x f x t dt =⎰,求() f x '=11、设矩阵314035A -⎡⎤⎢⎥=⎢⎥⎢⎥-⎣⎦,矩阵1102B -⎡⎤=⎢⎥⎣⎦,则 AB = 12、已知()0.4P A =,()0.3P B =,()0.5P AB =,则()P A B ⋃= 三、计算题(每小题8分,,共64分)13、求极限0cos lim tan 2x x e x x→-14、讨论函数()23()21xf x x =+-的单调性、极值、凹凸性及拐点。
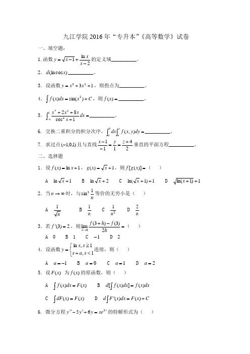
九江学院2016年“专升本”《高等数学》试卷一、填空题:1.函数2ln 1-+-=x x x y 的定义域__________。
2.)cos (ln x d __________。
3.设函数1323++=x x y ,则拐点为__________。
4.C x dx x f +=⎰)sin()(2,则=)(x f __________。
5.⎰-=+++114571cos 82dx x x x x __________。
6. 交换二重积分的积分次序,=⎰⎰xa b a dy y x f dx ),(__________。
7. 求过点)1,0,1(-且与直线24111+==--z y x 垂直的平面方程__________。
二、选择题 1.设1ln )(+=x x f ,1)(+=x x g ,则=)]([x g f ( ) A 1ln +x B 2ln +x C 1)1ln(++x D 1)1ln(++x2.当∞→n 时,与n 1sin 2等价的无穷小是( ) A n 1 B n 1 C 21n D n 2 3.若2)3(='f ,则=-+→hf h f h 2)3()3(lim0( ) A 0 B 1 C 1- D 2 4.设函数⎩⎨⎧<+≥=1,1,ln x a x x x y 连续,则( ) A 1-=a B 0=a C 1=a D 2=a5.设)(x F 为)(x f 的原函数,则( )A ⎰=)()(x F dx x fB dx x f dx x f d )(])([=⎰C ⎰=)()(x F x dFD ⎰+='C x F dx x F d )()(6. 微分方程x xe y y y 265=+'-''的特解形式为( )A x eB Ax x 2)(+ B x e B Ax 2)(+C x e B Ax x 22)(+D C Bx Ae x ++2三、判断题:1.无穷小量是一种很小的量。
6.7定积分真题(2016)
1.(2016年4分)关于定积分的下列描述错误..
的是( ) A.定积分与积分变量无关 B.若⎰=b
a dx x f 0)(,则0)(=x f
C.定积分的积分上限不一定要比积分下限大
D.定积分与不定积分没有必然的联系
2.(2016年4分)设
⎰b a dx x f )(,⎰b a dx x g )(都存在,下列关于定积分的性质的描述错误..的是( )
A.
⎰⎰⎰+=+b a b a b a dx x g dx x f dx x g x f )()()]()([ B.
⎰⎰=b a b a dx x f k dx x kf )()(,其中k 为常数 C.⎰⎰⎰=b
a b a b a dx x g dx x f dx x g x f )()()]()([ D.若)()(x g x f ≤,],[b a x ∈,则⎰⎰≤b
a b
a dx x g dx x f )()( 3.(2016年4分)下列描述错误..
的是( ) A.定积分只可用于计算不规则图形的面积 B.定积分是由极限来定义的
C.若)(x f 在],[b a 上连续,则)(])([
'x f dt t f x a =⎰,),(b a x ∈ D.连续的函数一定可积
4.(2016年4分)=+⎰dx x 3
01
21( ) A.2 B.1 C.1- D.2- 5.(2016年10分)求极限.)1()1sin(lim 211--⎰→x dt t x x
6.(2016年20分)求由曲线2x y =与直线1=x 以及x 轴所围成的平面图形的面积,并求该平面图形绕y 轴旋转一周所形成的旋转体的体积.。
河南省专升本考试高等数学真题2016年(总分:150.00,做题时间:90分钟)一、单项选择题(总题数:30,分数:60.00)1.______(分数:2.00)A.(-∞,-1]B.(-∞,-1)C.(-∞,1]D.(-∞,1) √解析:[解析] 要使函数有意义,则需1-x>0,即x<1,故应选D.2.函数f(x)=x-2x 3是______(分数:2.00)A.奇函数√B.偶函数C.非奇非偶函数D.无法判断奇偶性解析:[解析] f(-x)=-x-2(-x) 3 =-x+2x 3 =-(x-2x 3 )=-f(x),故f(x)为奇函数,故应选A.3.已知则f[f(x)]=______A.x-1B.C.1-xD.(分数:2.00)A.B.C.D. √解析:[解析D.4.下列极限不存在的是______A.B.C.D.(分数:2.00)A.B.C.D. √解析:[解析] D.5.______(分数:2.00)A.0B.1C.-1 √D.-2解析:[解析C.也可直接对分子分母的最高次项进行比较.6.已知极限则a的值是______A.1B.-1C.2D.(分数:2.00)A.B.C.D. √解析:[解析7.已知当x→0时,2-2cosx~ax 2,则a的值是______A.1B.2C.D.-1(分数:2.00)A. √B.C.D.解析:[解析8.x=1处,下列结论正确的是______(分数:2.00)A.a=2时,f(x)必连续B.a=2时,f(x)不连续√C.a=-1时,f(x)连续D.a=1时,f(x)必连续解析:[解析] 要使函数f(x)在x=1处连续,则有当a=2a=2时,f(x)不连续.故应选B.9.已知函数φ(x)在点x=0处可导,函数f(x)=(x-1)φ(x-1),则f"(1)=______(分数:2.00)A.φ"(0)B.φ"(1)C.φ(0) √D.φ(1)解析:[解析] 由φ(x)在x=0处可导,可知φ(x)在x=0处连续,故应选C.10.函数f(x)=1-|x-1|在点x=1处______(分数:2.00)A.不连续B.连续且可导C.既不连续也不可导D.连续但不可导√解析:[解析f(x)在x=1处连续.而f"(1 +)=-1,f"(1 -)=1,故在x=1处不可导,故应选D.11.若曲线f(x)=1-x 3与曲线g(x)=lnx在自变量x=x 0时的切线相互垂直,则x 0应为______A.B.C.D.(分数:2.00)A.B.C. √D.解析:[解析] f"(x 0 )=(1-x 3 )| x=x0 =- ,由于切线相互垂直,则C.12.已知f(x)=1-x 4在闭区间[-1,1]上满足罗尔中值定理,则在开区间(-1,1)内使f"(ξ)=0成立的ξ=______(分数:2.00)A.0 √B.1C.-1D.2解析:[解析] f"(x)=-4x 3,f"(ξ)=-4ξ=0,则ξ=0,故应选A.13.设函数f(x)在区间(-1,1)内连续,若x∈(-1,0)时,f"(x)<0;x∈(0,1)时,f"(x)>0,则在区间(-1,1)内______(分数:2.00)A.f(0)是函数f(x)的极小值√B.f(0)是函数f(x)的极大值C.f(0)不是函数f(x)的极值D.f(0)不一定是函数f(x)的极值解析:[解析] 由极值第一判定定理,可知f(0)应为函数f(x)的极小值,故应选A.14.设函数y=f(x)在区间(0,2)内具有二阶导数,若x∈(0,1)时,f"(x)<0;x∈(1,2)时,f"(x)>0,则______(分数:2.00)A.f(1)是函数f(x)的极大值B.点(1,f(1))是曲线y=f(x)的拐点√C.f(1)是函数f(x)的极小值D.点(1,f(1))不是曲线y=f(x)的拐点解析:[解析] 函数f(x)在(0,1)上为凸,在(1,2)上为凹,故(1,f(1))应为函数f(x)的拐点,故应选B.15.已知曲线y=x 4,则______∙ A.在(-∞,0)内y=x4单调递减且形状为凸∙ B.在(-∞,0)内y=x4单调递增且形状为凹∙ C.在(0,+∞)内y=x4单调递减且形状为凸∙ D.在(0,+∞)内y=x4单调递增且形状为凹(分数:2.00)A.B.C.D. √解析:[解析] y"=4x 3,当x>0时,y">0;当x<0时,y"<0;y"=12x 2,在(-∞,+∞)上有y"≥0,根据选项,可知应选D.16.已知F(x)是f(x)的一个原函数,则不定积分∫f(x-1)dx=______(分数:2.00)A.F(x-1)+C √B.F(x)+CC.-F(x-1)+CD.-F(x)+C解析:[解析] 由题可知∫f(x)dx=F(x)+C,∫f(x-1)dx=∫f(x-1)d(x-1)=F(x-1)+C,故应选A.17.设函数则f"(x)=______A.B.-e -x +2xC.e -x +x 2D.e -x +2x(分数:2.00)A.B.C. √D.解析:[解析C.18.定积分∙ A.2ae-a2∙ B.ae-a2∙ C.0∙ D.2a(分数:2.00)A.B.C. √D.解析:[解析] 令f(x)=xe -x2,f(-x)=-xe -x2 =-f(x),可知f(x)为奇函数,故19.由曲线y=e -x与直线x=0,x=1,y=0所围成的平面图形的面积是______∙ A.e-1∙ B.1∙ C.1-e-1∙ D.1+e-1(分数:2.00)A.B.C. √D.解析:[解析] C.20.______(分数:2.00)A.I1=I2B.I1>I2 √C.I1<I2D.不能确定,I1与I2的大小解析:[解析] 当x∈(1,2)时,x 2>x.由定积分保序性可知I 1>I 2故应选B.21.向量a=j+k的方向角是______A.B.C.D.(分数:2.00)A.B.C.D. √解析:[解析] 向量a的坐标表示应为{0,1,1},故方向余弦为则α,β,γD.22.已知e -x是微分方程y"+3ay"+2y=0的一个解,则常数a=______A.1B.-1C.3D.(分数:2.00)A. √B.C.D.解析:[解析] 令y=e -x,y"=-e -x,y"=e -x,代入有e -x -3ae -x +2e -x =0,由e -x≠0,则有1-3a+2=0,a=1.故应选A.23.下列微分方程中可进行分离变量的是______∙ A.y"=(x+y)e x+y∙ B.y"=xye x+y∙ C.y"=aye xy∙ D.y"=(x+y)e xy(分数:2.00)A.B. √C.D.解析:[解析] 对于B项,y"=xye x·e y,分离变量得B.24.设二元函数z=x 3 +xy 2 +y 3,则∙ A.3y2∙ B.3x2∙ C.2y∙ D.2x(分数:2.00)A.B.C. √D.解析:[解析C.25.用钢板做成一个表面积为54m 2的有盖长方体水箱,欲使水箱的容积最大,则水箱的最大容积为______∙ A.18m3∙ B.27m3∙ C.6m3∙ D.9m3(分数:2.00)A.B. √C.D.解析:[解析] 设水箱的长、宽、高分别为x,y,z,则有2xy+2yz+2xz=54,即xy+yz+xz=27,体积V=xyz,令F(x,y,z)=xyz+λ(xy+yz+xz-27),解得x=3,y=3,z=3,由于驻点(3,3,3)唯一,实际中确有最大值,故当x=3,y=3,z=3时长方体体积最大,最大值V=27.故应选B.26.设D={(x,y)|1≤x 2 +y 2≤4,x≥0,y≥0},则二重积分(分数:2.00)A.16πB.8πC.4πD.3π√解析:[解析] 由二重积分的性质可知S D为D的面积.27.已知则变换积分次序后A.B.C.D.(分数:2.00)A. √B.C.D.解析:[解析] 积分区域为D:0≤x≤1,0≤y≤x,也可表示为:0≤y≤1,y≤x≤1,28.设L为连接点(0,0)与点(1,)的直线段,则曲线积分∫ L y 2 ds=______ A.1B.2C.3D.(分数:2.00)A.B. √C.D.解析:[解析] L可表示为29.下列级数发散的是______A.B.C.D.(分数:2.00)A. √B.C.D.解析:[解析] 选项A为调和级数,可知其发散.30.已知级数则下列结论正确的是______A.B.若部分和数列{S n }有界,则收敛C.D.(分数:2.00)A.B.C. √D.解析:[解析] 的必要条件,故应选C.选项B中,需要求为正项级数;选项D应改为若收敛.二、填空题(总题数:10,分数:20.00)31.函数f(x)=x 3的反函数是y= 1.(分数:2.00)解析: [解析] 令y=f(x)=x 3,,故f(x)的反函数32.极限(分数:2.00)解析:[解析33.已知函数x=0是f(x)的 1间断点.(分数:2.00)解析:可去[解析f(0)=1,故x=0是f(x)的可去间断点.34.函数f(x)=e 1-x在点x=0.99处的近似值为 1.(分数:2.00)解析:1.01 [解析] 取x 0=1,Δx=-0.01,有f(x 0+Δx)=f(0.99)≈f(x 0)+f"(x 0)Δx=1-1·(-0.01)=1.01.35.不定积分∫sin(x+1)dx= 1.(分数:2.00)解析:-cos(x+1)+C[解析] ∫sin(x+1)dx=∫sin(x+1)d(x+1)=-cos(x+1)+C.36.定积分(分数:2.00)解析:ln2[解析37.函数z=xy-x 2 -y 2在点(0,1)处的全微分dz| (0,1) = 1.(分数:2.00)解析:dx-2dy[解析38.与向量{2,1,2}同向平行的单位向量是 1.(分数:2.00)解析:[解析] 故与{2,1,2}39.微分方程y+xy 2 =0的通解是 1.(分数:2.00)解析:[解析] 方程分离变量得两边积分得C为任意常数.当y=0时,可知也为方程的解.40.幂级数 1.(分数:2.00)解析:3[解析三、计算题(总题数:10,分数:50.00)41.计算极限(分数:5.00)__________________________________________________________________________________________ 正确答案:()解析:[解析42.求函数(分数:5.00)__________________________________________________________________________________________ 正确答案:()解析:[解析] 令u=2-cosx43.计算不定积分(分数:5.00)__________________________________________________________________________________________ 正确答案:()解析:[解析44.计算定积分(分数:5.00)__________________________________________________________________________________________ 正确答案:()解析:[解析45.设直线A(0,1,2)且平行于直线l的直线方程.(分数:5.00)__________________________________________________________________________________________ 正确答案:()解析:[解析] 设已知直线l的方向向量为n,则由于所求直线与l平行,故其方向向量可取{1,-2,1},又直线过点A(0,1,2),故所求直线方程为46.已知函数z=f(x,y)由方程xz-yz-x+y=0所确定,求全微分dz.(分数:5.00)__________________________________________________________________________________________ 正确答案:()解析:[解析] 令F(x,y,z)=xz-yz-z+y,则F x =z-1,F y =-z+1,F z =x-y,因此47.已知D={(x,y)|0≤x 2 +y 2≤4},计算二重积分(分数:5.00)__________________________________________________________________________________________ 正确答案:()解析:[解析] 积分区域D可用极坐标表示为0≤r≤2,0≤θ≤2π,故48.求微分方程xy"+y-x=0的通解.(分数:5.00)__________________________________________________________________________________________ 正确答案:()解析:[解析] 方程化简为为一阶线性微分方程,由通解公式得其中C为任意常数.49.求幂级数(分数:5.00)__________________________________________________________________________________________正确答案:()解析:[解析] 令t=x-1.则级数为不缺项的幂级数.R=1,则-1<t<1.即-1<x-1<1,0<x<2,故收敛区间为(0,2).50.求级数(分数:5.00)__________________________________________________________________________________________正确答案:()解析:[解析] 收敛半径R=1,令四、应用题(总题数:2,分数:14.00)51.求由直线x=1,x=e,y=0及曲线(分数:7.00)__________________________________________________________________________________________正确答案:()解析:[解析] 如图所示,即所求图形.则面积52.某工厂生产计算器,若日产量为x台的成本函数为C(x)=7500+50x-0.02x 2,收入函数为R(x)=80x-0.03x 2,且产销平衡,试确定日生产多少台计算器时,工厂的利润最大?(分数:7.00)__________________________________________________________________________________________正确答案:()解析:[解析] 利润=收入-成本,故利润L(x)=R(x)-C(x)=80x-0.03x 2-7500-50x+0.02x 2=30x-0.01x 2-7500.令L"(x)=30-0.02x=0,x得x=1500,且L"(1500)=-0.02<0.故x=1500为L(x)的极大值,又由实际问题,极值唯一,故x=1500为L(x)的最大值,即日生产1500台计算器时,工厂的利润最大.五、证明题(总题数:1,分数:6.00)53.已知方程4x+3x 3 -x 5 =0有一负根x=-2,证明方程4+9x 2 -5x 4 =0必有一个大于-2的负根.(分数:6.00)__________________________________________________________________________________________正确答案:()解析:[证明] 令f(x)=4x+3x 3 -x 5,由题可知f(-2)=0,又有f(0)=0,f(x)在[-2,0]上连续,存(-2,0)上可导,故由罗尔定理可知至少存在一点ξ∈(-2,0),使得f"(ξ)=4+9ξ2 -5ξ1 =0,即方程4+9x 2 -5x 4 =0必有一个大于-2的负根.。
2016年市专升本数学试卷一、单项选择题(每题4分,满分32分)1. 设()f x 在0x x =处可导,则()()0002limh f x h f x h→+-=A.()'0fx - B.()'0f x C.()'02f x D.()'03f x2.定积分121sin x xdx -=⎰A.-1B.0C.1D.2 3.过OZ 轴及点()3,2,4-的平面方程是A.320x y +=B.20y z +=C.20x z +=D.230x y += 4.已知微分方程为dyy dx=通解为 A.xy e = B.xy e C =+C.y x C =+D.xy Ce = 5.下列级数收敛的是A.113n n ∞=⎛⎫+⎪⎭∑B.11sin n n ∞=∑ 1.1n n C n ∞=+∑ D.1!nn n n ∞=∑6.3阶行列式314895111中元素321a =的代数余子式为A.1B.8C.15D.177、设1002A ⎛⎫= ⎪⎝⎭,则3A =A.1002⎛⎫⎪⎝⎭B.3006⎛⎫ ⎪⎝⎭C.1008⎛⎫ ⎪⎝⎭D.3008⎛⎫ ⎪⎝⎭8、在0,1,2,3,4五个数中任意取3个数,则这三个数中不含0的概率为() A.0.4 B.0.5 C.0.6 D.0.8二、填空题(每小4分,共16分)9、极限0sin 6limtan 2x xx→=10、设函数()320cos x f x t dt =⎰,求() f x '=11、设矩阵314035A -⎡⎤⎢⎥=⎢⎥⎢⎥-⎣⎦,矩阵1102B -⎡⎤=⎢⎥⎣⎦,则 AB =12、已知()0.4P A =,()0.3P B =,()0.5P AB =,则()P A B ⋃=三、计算题(每小题8分,,共64分)13、求极限0cos lim tan 2x x e xx→-14、讨论函数()23()21xf x x =+-的单调性、极值、凹凸性及拐点。
2016年专升本考试试题卷
考试科目:经济数学 考试时间:120分钟 试卷总分:100分
一、 选择题(在每个小题四个备选答案中选出一个正确答案,填在题末的括号中,本 大题共5小题,每小题3分,总计15分)
1、设,0,1sin 0,1sin )(⎪⎪⎩⎪⎪⎨
⎧
><=x x x x
x x f 则)(lim 0
x f x →不存在的原因是( ) A 、 )0(f 无意义 B 、)(lim 0
x f x +
→不存在 C 、)(lim 0
x f x -→不存在 D 、)(lim 0
x f x +→与)(lim 0
x f x -
→都存在,但不相等 2、函数x e x f x -=)(的单调递减区间是( ) A 、[]1,0 B 、[]0,1- C 、(]0,∞- D 、[)∞+,0
3、微分方程x e x y y y --=+'+'')1(2的特解形式可设为( ) A 、x e b ax -+)( B 、x e b ax x -+)(2 C 、x e b ax x -+)( D 、x e x a -+)1(
4、若
2
20
01()()2
a
xf x dx f x dx =
⎰
⎰,则a =( ) A 、4 B 、2 C 、
1
2
D 、1 5、设123
,,y y y 为线性方程组AX b =的解,则( )
A 、123y y y ++为AX b =的解
B 、12y y -为AX b =的解
C 、122y y -为AX b =的解
D 、123y y y +-为AX b =的解
二、 填空题(本大题共5小题,每小题3分,总计15分)
1、若1
lim(1)2x
x ax →-=,则a =( )
2、设lnsin y x =,则y '=( )
3、幂级数21
(1)2n
n x n ∞
=-+∑的收敛区间为( )
4、积分
4
2
3x dx -=⎰
( )
5、设001020400A ⎛⎫ ⎪= ⎪ ⎪⎝⎭
,则1
4A -=( )
三、求解下列各题(本大题共10小题,每小题6分,总计60分)
1、求,a b 的值,使函数223,0
(),
0x x x f x a bx x ⎧-+≤=⎨+>⎩在(),-∞+∞内连续,可导.
2、求函数x
y xe =的n 阶导数的一般表达式.
3、求不定积分
1
1
x
dx e+⎰.
4、已知函数
,1
()
12,0
x x
f x
x x
<
⎧
=⎨
+≥
⎩
,求
()
x
f x dx
⎰.
5、设矩阵
423
110
123
A
⎛⎫
⎪
= ⎪
⎪
-⎝⎭
,求矩阵B使2
AB A B
=+.
6、已知函数()f x 可导,且(ln )f x '1x =+,(0)2f =,求()f x 的表达式.
7、求方程223x y y y xe '''--=的通解.
8、某厂生产甲、乙两种产品,其市场销售单价分别为11万元和10万元,已知生产甲、乙产品分别为x 和y 单位时的成本为:2
2
()40230.1(3)c x x y x xy y =+++++,试求最大利润时,甲、乙产品各生产多少?
9、计算二重积分2()D
x d y σ⎰⎰,其中D 由1,2,2,1x x y x xy ====所围区域.
10、设(0,)+∞上可微函数()f x 满足:0
1()1()x
f x f t dt x =+⎰,求()f x .
四、证明题(本大题共2小题,每小题5分,总计10分)
1、 设n 阶矩阵A 满足2
250A A E +-=,证明3A E +可逆,并求1
(3)A E -+.
2、设()z xy xf u =+,y u x =,且()f u 可导,求证:z z
x
y xy z x y
∂∂+=+∂∂.。