信宜邮政编码
- 格式:pptx
- 大小:38.28 KB
- 文档页数:3
各省邮政编码及电话区号作者: 日期:区码地区区号下属各市、县、区、镇A广州020越秀区、荔湾区、海珠区、天河区、白云区、黄埔区、番禺区、花都区、南沙区、罗岗区、增城市、从化市B深圳0755福田区、罗湖区、南山区、宝安区、龙岗区、盐田区C珠海0756香洲区、斗门县D汕头0754达濠区、龙湖区、金园区、升平区、河浦区、南澳县、潮阳市、澄海市E佛山0757禅城区、南海区、顺德区、三水区、高明区F韶关0751北江区、武江区、浈江区、曲江县、始兴县、仁化县、翁源县、乳源瑶族自治县、新丰县、乐昌县、南雄县G湛江0759赤坎区、霞山区、坡头区、麻章区、遂溪县、徐闻县、廉江市、雷州市、吴川市H肇庆0758端州区、鼎湖区、广宁县、怀集县、封开县、德庆县、咼要市、四会市J江门0750蓬江区、江海区、台山市、新会市、开平市、鹤山市、恩平市K茂名0668茂南区、茂港区、电白县、咼州市、化州市、信宜市L惠州0752惠城区、博罗县、惠东县、龙门县、惠阳市M梅州0753梅江区、梅县、大埔县、丰顺县、五华县、平远县、蕉岭县、兴宁市N汕尾0660城区、海丰县、陆河县、陆丰市P河源0762源城区、紫金县、龙川县、连平县、和平县、东源县Q阳江0662江城区、阳东县、阳春市R清远0763清城区、佛冈县、阳山县、连山壮族瑶族自治县、连南瑶族自治县、清新县、英德市、连州市S东莞0769莞城区、万江区、东城区、南城区、中堂镇、高埗镇、石碣镇、石龙镇、麻涌镇、望牛墩镇、茶山镇、石排镇、企石镇、洪梅镇、道窖镇、寮步镇、横沥镇、东坑镇、桥头镇、常平镇、沙田镇、厚街镇、大岭山镇、大朗镇、黄江镇、樟木头镇、谢岗镇、虎门镇、长安镇、塘夏镇、清溪镇、凤岗镇石岐区、东区、南区、西区、火炬区、黄圃镇、东凤镇、小榄镇、民众镇、东升镇、古镇镇、沙溪镇、坦洲镇、港口镇、三角镇、横栏镇、南头镇、阜沙镇、南朗镇、三T中山0760乡镇、板芙镇、大涌镇、神湾镇、五桂山镇U潮州0768湘桥区、潮安县、饶平县V揭阳0663榕城区、揭东县、揭西县、惠来县、普宁县、东山区W云浮0766云城区、新兴县、郁南县、云安县、罗定市地区邮政编码区号下属各市、县、区、镇防城港5380000770港口区、防城区、上思县、东兴市崇左5322000771江州区、扶绥县、大新县、天等县、宁明县、龙州县、凭祥市南宁5300000771兴宁区、青秀区、江南区、西乡塘区、良庆区、邕宁区、武鸣县、横县、宾阳县、上林县、隆安县、马山县来宾5461000772兴宾区、象州县、武宣县、金秀瑶族自治县、忻城县、合山市柳州5450000772城中区、鱼峰区、柳南区、柳北区、柳江县、柳城县、鹿寨县、融安县、二江侗族自治县、融水苗族自治县秀峰区、叠彩区、象山区、七星区、雁山区、阳朔县、临桂县、灵川县、全州县、兴安县、永福县、灌阳县、龙胜各族自治县、资源县、平乐县、荔浦县、恭城桂林5410000773瑶族自治县贺州5428000774八步区、昭平县、钟山县、富川瑶族自治县梧州5430000774万秀区、蝶山区、长洲区、苍梧县、藤县、蒙山县、岑溪市贵港5370000775港北区、港南区、覃塘区、平南县、桂平市玉林5370000775玉州区、容县、陆川县、博白县、兴业县、北流市百色5330000776右江区、田阳县、田东县、平果县、德保县、靖西县、那坡县、凌云县、乐业县、田林县、隆林各族自治县、西林县钦州5350000777钦南区、钦北区、灵山县、浦北县河池5470000778金城江区、罗城仫佬族自治县、环江毛南族自治县、南丹县、天峨县、凤山县、东兰县、巴马瑶族自治县、都安瑶族自治县、大化瑶族自治县、宜州市北海5360000779海城区、银海区、铁山港区、合浦县—邮政编码区号下属各市、县、区、镇地区岳阳4140000730岳阳楼区、君山区、云溪区、临湘市、汨罗市、岳阳县、湘阴县、平江县、华容县长沙4100000731岳麓区、芙蓉区、天心区、开福区、雨花区、浏阳市、长沙县、望城县、宁乡县湘潭4111000732岳塘区、雨湖区、湘乡市、韶山市、湘潭县株洲4120000733天兀区、荷塘区、芦淞区、石峰区、醴陵市、株洲县、炎陵县、茶陵县、攸县衡阳4210000734雁峰区、珠晖区、石鼓区、蒸湘区、南岳区、耒阳市、常宁市、衡阳县、衡东县、衡山县、衡南县、祁东县郴州4230000735北湖区、苏仙区、资兴市、宜章县、汝城县、安仁县、嘉禾县、临武县、桂东县、永兴县、桂阳县常德4150000736武陵区、鼎城区、津市市、澧县、临澧县、桃源县、汉寿县、安乡县、石门县益阳4130000737赫山区、资阳区、沅江市、桃江县、南县、安化县娄底4170000738娄星区、冷水江市、涟源市、新化县、双峰县邵阳4220000739双清区、大祥区、北塔区、武冈市、邵东县、洞口县、新邵县、绥宁县、新宁县、邵阳县、隆回县、城步苗族自治县湘西土家族4160000743吉首市、古丈县、龙山县、永顺县、凤凰县、泸溪县、保靖县、花垣县苗族自治州张家界4270000744永定区、武陵源区、慈利县、桑植县怀化4180000745鹤城区、洪江市、会冋县、沅陵县、辰溪县、溆浦县、中方县、新晃侗族自治县、芷江侗族自治县、通道侗族自治县、靖州苗族侗族自治县、麻阳苗族自治县永州4250000746冷水滩区、零陵区、祁阳县、蓝山县、宁远县、新田县、东安县、江永县、道县、双牌县、江华瑶族自治县地区邮政编码区号下属各市、县、区、镇武汉430000027江岸区、武昌区、江汉区、硚口区、汉阳区、青山区、洪山区、东西湖区、汉南区、蔡甸区、江夏区、黄陂区、新洲区襄樊4410000710襄城区、樊城区、襄阳区、老河口市、枣阳市、宜城市、南漳县、谷城县、保康县鄂州4360000711鄂城区、华容区、梁子湖区孝感4320000712孝南区、应城市、安陆市、汉川市、云梦县、大悟县、孝昌县黄冈4380000713黄州区、麻城市、武穴市、红安县、罗田县、浠水县、蕲春县、黄梅县、英山县、团风县黄石4350000714黄石港区、西塞山区、下陆区、铁山区、大冶市、阳新县咸宁4370000715咸安区、赤壁市、嘉鱼县、通山县、崇阳县、通城县荆州4340000716沙市区、荆州区、洪湖市、石首市、松滋市、监利县、公安县、江陵县宜昌4430000717西陵区、伍家岗区、点军区、猇亭区、夷陵区、宜都市、当阳市、枝江市、秭归县、远安县、兴山县、五峰土家族自治县、长阳土家族自治县恩施土家族4450000718恩施市、利川市、建始县、来凤县、巴东县、鹤峰县、宣恩县、咸丰县苗族自治州十堰4420000719吉张湾区、茅箭区、丹江口市、郧县、竹山县、房县、郧西县、竹溪县随州4413000722曾都区、广水市荆门4480000724东宝区、掇刀区、钟祥市、京山县、沙洋县潜江市4331000728天门市4317000728仙桃市4330000728神农架林区4424000719四川各地邮编及电话区号地区邮编区号下属市、县、区、镇成都610000028青羊区、锦江区、武侯区、成华区、金牛区、龙泉驿区、青白江区、高新区、金堂县、双流县、温江区、崇州市、新都区、都江堰市、邛崃市、郫县、蒲江县、新津县、大邑县、彭州市自贡6430000813自流井区、贡井区、大安区、沿滩区、荣县、富顺县攀枝花6170000812东区、西区、仁和区、米易县、盐边县泸州6460000840江阳区、龙马潭区、纳溪区、泸县、合江县、叙永县、古蔺县德阳6180000838旌阳区、广汉市、什邡市、绵竹市、中江县、罗江县绵阳6210000816涪城区、游仙区、江油市、平武县、安县、梓潼县、北川羌族自治县、盐亭县、三台县广元6280000839市中区、兀坝区、朝天区、剑阁县、旺苍县、青川县、苍溪县遂宁6290000825船山区、安居区、蓬溪县、射洪县、大英县内江6410000832市中区、东兴区、资中县、威远县、隆昌县资阳6413000832雁江区、简阳市、安岳县、乐至县眉山6200000833东坡区、仁寿县、彭山县、洪雅县、青神县、丹棱县乐山6140000833市中区、五通桥区、沙湾区、金口河区、峨眉山市、犍为县、夹江县、井研县、峨边彝族自治县、沐川县、马边彝族自治县南充6370000817阆中市、顺庆区、咼坪区、嘉陵区、营山县、仪陇县、蓬安县、南部县、西充县雅安6250000835雨城区、名山县、石棉县、天全县、芦山县、宝兴县、荥经县、汉源县广安6380000826广安区、岳池县、武胜县、邻水县、华蓥市巴中6360000827巴州区、通江县、南江县、平昌县达州6350000818通川区、达县、宣汉县、大竹县、开江县、万源市、渠县宜宾6440000831翠屏区、江安县、长宁县、高县、筠连县、屏山县、珙县、兴文县、宜宾县、南溪县阿坝6240000837汶川县、松潘县、南坪县、金川县、小金县、阿坝县、黑水县、壤塘县、马尔康县、理县、茂县、若尔盖县、红原县、九寨沟县甘孜6260000836康定县、泸定县、丹巴县、九龙县、雅江县、道孚县、炉霍县、甘孜县、新龙县、德格县、白玉县、石渠县、色达县、理塘县、巴塘县乡城县、稻城县、得荣县凉山6150000834西昌市、盐源县、德昌县、会理县、昭觉县、美姑县、雷波县、木里藏族自治县、会东县、宁南县、普格县、布拖县、金阳县、喜德县、冕宁县、越西县、甘洛县贵州各地邮编及电话区号地区邮编区号下属市、县、区、镇贵阳5500000851修文县、息烽县、开阳县、清镇市、小河区、白云区、花溪区、云岩区、南明区、乌当区六盘水5530000858钟山区、六枝特区、盘县、水城县红花岗区、汇川区、赤水市、仁怀市、正安县、桐梓县、遵义县、凤冈县、余庆县、湄潭县、绥阳县、习水县、道真仡佬族苗族自治县、务川仡佬族苗族自治县遵义5630000852安顺5610000853西秀区、普定县、平坝县、关岭布依族苗族自治县、镇宁布依族苗族自治县、紫云苗族布依族自治县黔南5580000854都匀市、福泉市、瓮安县、贵定县、惠水县、长顺县、独山县、荔波县、平塘县、罗甸县、龙里县、三都水族自治县黔西南5624000859兴义市、普安县、晴隆县、贞丰县、册亨县、望谟县、安龙县、兴仁县镇远县、天柱县、榕江县、岑巩凯里市、雷山县、黎平县、施秉县、麻江县、锦屏县、台江县、剑河县、三穗县、黄平县、从江县、县、黔东南5560000855丹寨县铜仁市、万山特区、德江县、思南县、江口县、石阡县、沿河土家族自治县、印江土家族苗族自治县、松桃苗族自治县、玉屏侗族自治县铜仁5543000856毕节5517000857毕节市、大方县、黔西县、金沙县、纳雍县、织金县、赫章县、威宁彝族回族苗族自治县云南各地邮编及电话区号地区邮编区号下属市、县、区、镇昆明市」6500000871盘龙区、五华区、官渡区、西山区、东川区、高新开发区、滇池旅游区、经济开发区、世博区、安宁市、呈贡区、晋宁县、富民县、宜良县、嵩明县、石林县、禄劝县、寻甸县曲靖市6550000874麒麟区、宣威市、会泽县、陆良县、富源县、罗平县、马龙县、师宗县、沾益县玉溪市6531000877红塔区、华宁县、澄江县、易门县、通海县、江川县、元江县、新平县、峨山县保山市6780000875隆阳区、施甸县、昌宁县、龙陵县、腾冲县昭通市6570000870昭阳区、永善县、绥江县、镇雄县、大关县、盐津县、巧家县、彝良县、威信县、水富县、鲁甸县普洱市6650000879思茅区、宁洱县、镇沅县、景东县、景谷县、墨江县、澜沧县、江城县、孟连县、西盟县、临沧市6770000883临翔区、镇康县、凤庆县、云县、永德县、双江县、沧源县、耿马县、丽江市6741000888华坪县、永胜县、古城区、宁蒗县、玉龙县文山州6630000876文山市、麻栗坡县、砚山县、广南县、马关县、富宁县、西畴县、丘北县红河州6614000873弥勒县、红河县、绿春县、蒙自市、个旧市、开远市、泸西县、建水县、兀阳县、石屏县、金平县、河口县、屏边县西双版纳州6661000691景洪市、勐海县、勐腊县楚雄州6750000878楚雄市、兀谋县、南华县、牟定县、武定县、大姚县、双柏县、禄丰县、永仁县、姚安县大理州6710000872大理市、剑川县、弥渡县、云龙县、洱源县、鹤庆县、祥云县、宾川县、永平县、漾濞县、巍山县、南涧县德宏州6784000692芒市、畹町市、瑞丽市、盈江县、梁河县、陇川县怒江州6731000886泸水县、福贡县、兰坪县、贡山县迪庆州6744000887香格里拉县、德钦县、维西县。
广东省邮政编码.doc广东邮编归属地查询 - 广东省邮政编码列表510000 广州市邮政编码510000 荔湾区南沙区萝岗区510000 海珠区510000 芳村区510700 黄埔区510800 花都区510900 从化市510000 东山区510000 越秀区510000 天河区510000 白云区511400 番禺区511300 增城市512000 韶关市邮政编码512000 武江区512100 曲江区512300 仁化县512600 乳源瑶族自治县512200 乐昌市512000 北江区512000 浈江区512500 始兴县512600 翁源县511100 新丰县512400 南雄市518000 深圳市邮政编码518000 福田区518100 宝安区518000 盐田区518000 罗湖区518000 南山区518100 龙岗区519000 珠海市邮政编码519100 斗门区519000 香洲区519090 金湾区515000 汕头市邮政编码515000 金平区515100 潮阳区515800 澄海区515000 龙湖区515000 濠江区515100 潮南区515900 南澳县528000 佛山市邮政编码528200 南海区528100 三水区528000 禅城区528000 顺德区528500 高明区529000 江门市邮政编码529000 江海区529200 台山市529700 鹤山市529000 蓬江区529100 新会区529300 开平市529400 恩平市524000 湛江市邮政编码524000 霞山区 524000 麻章区 524100 徐闻县 524200 雷州市 524000 赤坎区 524000 坡头区 524300 遂溪县 524400 廉江市 524500 吴川市 525000 茂名市邮政编码525000 茂港区 525200 高州市 525300 信宜市 525000 茂南区 525400 电白县 525100 化州市 526000 肇庆市邮政编码526000 鼎湖区 526400 怀集县 526600 德庆县 526200 四会市 526000 端州区 526300 广宁县 526500 封开县 526100 高要市 516000 惠州市邮政编码516200 惠阳区 516300 惠东县 516000 惠城区 516100 博罗县 516800 龙门县514000 梅州市邮政编码 514700 梅县514300 丰顺县514600 平远县514500 兴宁市514000 梅江区514200 大埔县514400 五华县514100 蕉岭县516600 汕尾市邮政编码 516400 海丰县516500 陆丰市516600 城区516700 陆河县517000 河源市邮政编码 517400 紫金县517100 连平县517500 东源县517000 源城区517300 龙川县517200 和平县529500 阳江市邮政编码 529800 阳西县529600 阳春市529500 江城区529900 阳东县511500 清远市邮政编码 511600 佛冈县513200 连山壮族瑶族自治县 511800 清新县513400 连州市511500 清城区513100 阳山县513300 连南瑶族自治县 513000 英德市523000 东莞市邮政编码 528400 中山市邮政编码 521000 潮州市邮政编码515600 潮安县521000 湘桥区515700 饶平县522000 揭阳市邮政编码 515500 揭东县515200 惠来县522000 榕城区515400 揭西县515300 普宁市527300 云浮市邮政编码 527400 新兴县527500 云安县527300 云城区527100 郁南县527200 罗定市。
最新全国县级以上地区邮政编码北京市北京市100000 石景山区100041 丰台区100071 通州区101100 平谷县101200 顺义区101300 怀柔县101400 密云县101500 延庆县102100 昌平区102200 门头沟县102300 房山区102400 大兴县102600天津市天津市300000 宁河县301500 静海县301600 武清区301700 宝坻县301800 蓟县301900河北省石家庄050000 井陉矿区050100 鹿泉市050200 井陉县050300 平山县050400 灵寿县050500 行唐县050600 新乐市050700 正定县050800 元氏县051130 赞皇县051230 高邑县051330 栾城县051430 赵县051530藁城县052161 晋州市052260 辛集市052360 无极县052460 深泽县052560 衡水市053000 枣强县053100 冀州市053200 武强县053300 武邑县053400 景县053500安平县053600 阜城县053700 故城县053800 饶阳县053900 邢台市054000沙河市054100内丘县054200临城县054300南和县054400平乡县054500广宗县054600威县054700清河县054800临西县054900任县055150巨鹿县055250隆尧县055350柏乡县055450宁晋县055550新河县055650南宫市055750邯郸市056014邯郸县056100峰峰矿区056200武安市056300涉县056400磁县056500临漳县056600成安县056700魏县056800大名县056900永年县057150曲周县057250鸡泽县057350丘县057450肥乡县057550广平县057650馆陶县057750沧县/沧州市061000黄骅市061100海兴县061200盐山县061300孟村回族县061400南皮县061500东光县061600吴桥县061800泊头市062150献县062250肃宁县062350河间市062450任丘市062550青县062650唐山市063000古冶市063100唐海县063200丰南市063300滦南县063500乐亭县063600滦县063700丰润县064000玉田县064100遵化市064200迁西县064300迁安县064400廊坊市065000三河市065200大厂回族县065300香河县065400固安县065500永清县065600霸州市065700文安县065800大城县065900秦皇岛市066000北戴河区066100山海关区066200抚宁县066300卢龙县066400青龙满族县066500昌黎县066600承德市067000鹰手营子矿区067200兴隆县067300承德县067400平泉县067500宽城满族县067600隆化县068150滦平县068250丰宁满族县068350围场满族蒙古族区068450保定市071000清苑县071100安国市071200博野县071300蠡县071400高阳县071500安新县071600容城县071700雄县071800满城县072150顺平县072250唐县072350望都县072450徐水县072550定兴县072650涿州县072750定州市073000曲阳县073100阜平县073200高碑店市074000涞水县074100易县074200涞源县074300张家口市075000宣化县075100怀来县075400赤城县075500涿鹿县075600蔚县075700阳原县075800怀安县076150万全县076250崇礼县076350张北县076450沽源县076550康保县076650尚义县076750江苏省南京市210000江宁县211100溧水县211200高淳县211300仪征市211400六合县211500金湖县211600盱眙县211700江浦县211800镇江市212000丹徒县212100扬中市212200丹阳市212300句容县212400常州市213000武进市213100金坛市213200溧阳市213300无锡市214000锡山市214100宜兴市214200江阴市214400靖江市214500苏州市215000吴县市215100吴江市215200昆山市215300太仓市215400常熟市215500张家港市215600徐州市221000铜山县221100睢宁县221200邳州市221300新沂市221400沛县2216001丰县221700连云港市222000 赣榆县222100 灌云县222200 东海县222300 淮阴市223000 洪泽县223100 淮安市223200 淮阴县223300 涟水县223400 灌南县223500 沭阳县223600 泗阳市223700 宿迁市223800 泗洪县223900 盐城市224000 大丰县224100 东台市224200 射阳县224300 阜宁县224400 滨海县224500 响水县224600 扬州市225000 邗江县225100 江都市225200 泰州市225300 泰兴市225400 姜堰市225500 高邮市225600 兴化市225700 宝应县225800 南通市226000 海门市226100 启东市226200 通州市226300 如东县226400 如皋市226500 海安县226600 安徽省合肥市230000 长丰县231100 肥西县231200 舒城县231300 桐城县231400 庐江县231500 肥东县231600 淮南市232000 凤台县232100 寿县232200蚌埠市233000 凤阳县233100 定远县233200 五河县233300 怀远县233400 蒙城县233500 涡阳县233600 固镇县233700宿州市234000灵璧县234200泗县234300淮北市235000濉溪县235100萧县235200砀山县235300阜阳市236000颍上县236200阜南县236300临泉县236400界首市236500太和县236600利辛县236700亳州市236800六安市237000霍山县237200金寨县237300巢湖市(霍邱)237400含山市238100和县238200无为县238300滁州市239000来安县239200天长市239300明光市239400全椒县239500芜湖市241000芜湖县241100繁昌县241200宣州市242000郎溪县242100广德县242200宁国县242300南陵县242400泾县242500旌德县242600黄山区242700青阳县242800马鞍山市243000当涂县243100铜陵市244000铜陵县244100黄山市245000石台县245100歙县245200绩溪县245300休宁县245400黟县245500祁门县245600安庆市246000怀宁县246100望江县246200潜山县246300太湖县246400宿松县246500岳西县246600枞阳县246700池州市247100贵池区247100东至县247200浙江省杭州市310000余杭市311100萧山市311200临安县311300富阳市311400桐庐县311500建德市311600淳安县311700诸暨市311800绍兴市312000上虞市312300嵊州市312400新昌县312500湖州市313000长兴县313100德清县313200安吉县313300嘉兴市314000嘉善县314100平湖市314200海盐县314300海宁市314400桐乡市314500宁波市315000鄞州区(鄞县)315100镇海区315200慈溪市315300余姚市315400奉化市315500宁海县315600象山县315700舟山市316000普陀区316100岱山县316200临海市317000三门县317100天台县317200仙居县317300温岭市317500玉环县317600台州市318000黄岩区318020路桥区318050金华市321000兰溪市321100武义县321200永康市321300缙云县321400义乌市322000东阳市322100浦江县322200磐安县322300丽水市323000遂昌县323300松阳县323400景宁畲族县323500云和县323600龙泉市323700庆元县323800青田县323900衢州市324000江山市324100常山县324200开化县324300龙游县324400温州市325000永嘉县325100瑞安市325200文成县325300平阳县325400泰顺县325500乐清市325600洞头县325700苍南县325800嵊泗县202450山西省太原市030000阳曲县030100古交市030200娄烦县030200清徐县030400交城县030500晋中市(榆次区)030600太谷县030800祁县030900平遥县031100介休市031200灵石县031300霍州市031400汾西县031500洪洞县031600榆社县031800文水县032100汾阳县032200孝义市032300交口县032400石楼县032500左权县032600和顺县032700离石市033000方山县033100临县0332002柳林县033300 中阳县033400 忻州市034000 原平市034100 代县034200 繁峙县034300 灵丘县034400 静乐县035100 岚县035200 兴县035300 定襄县035400 五台县035500 宁武县036000 神池县036100 五寨县036200 岢岚县036300 偏关县036400 河曲县036500 保德县036600 大同市037000 左云县037100 右玉县037200 大同县037300 浑源县037400 广灵县037500 应县037600 阳高县038100 天镇县038200 怀仁县038300 山阴县038400 朔州市038500 平鲁县038600 临汾市041000 蒲县041200 隰县041300 永和县041400 襄汾县041500 乡宁县042100 吉县042200 大宁县042300 古县042400 安泽县042500 浮山县042600 新绛县043100 稷山县043200 河津市043300 曲沃县043400 翼城县043500 绛县043600 垣曲县043700 闻喜县043800 运城市044000 临猗县044100 万荣县044200 平陆县044300 夏县044400 永济市044500芮城县044600阳泉市045000盂县045100平定县045200昔阳县045300寿阳县045400长治市046000屯留县046100襄垣县046200武乡县046300沁县046400沁源县046500长子县046600长治县047100壶关县047300平顺县047400潞城市047500黎城县047600晋城市048000阳城县048100沁水县048200陵川县048300高平市048400内蒙古呼和浩特市010000土默特左旗010100托克托县010200苏尼特右旗011200苏尼特左旗011300阿巴嘎旗011400和林格尔县011500清水河县011600武川县011700四子王旗011800集宁市012000丰镇市012100察哈尔右翼前旗012200卓资县012300察哈尔右翼后旗012400二连浩特市012600镶黄旗013250化德县013350商都县013450察哈尔右翼中旗013550凉城县013750正镇白旗013800包头市014000土默特右旗014100固阳县014200达拉特旗014300乌拉特前旗014400达尔罕茂明安联合旗014500临河市015000五原县0151000磴口县015200乌拉特中旗015300杭锦后旗015400乌拉特后旗015500乌海市016000鄂托克旗016100鄂托克前旗016200东胜市017000准格尔旗017100伊金霍洛旗017200乌审旗017300杭锦旗017400海拉尔市021000鄂温克族旗021100新巴尔虎左旗021200新巴尔虎右旗021300满洲里市021400陈巴尔虎旗021500牙克石市022150额尔古纳市022250根河市022350鄂伦春旗165450赤峰市024000宁城市024200敖汉旗024300喀喇沁旗024400翁牛特旗024500巴林右旗025150林西县025250克什克腾旗025350阿鲁科尔沁旗025550锡林浩特市026000西乌珠穆沁旗026200东乌珠穆沁旗026300太仆寺旗027000正蓝旗027200多伦县027300通辽市028000科尔沁左翼后旗028100库伦旗028200奈曼旗028300开鲁县028400扎鲁特旗029100霍林郭勒市029200科尔沁左翼中旗029300科尔沁右翼中旗029400乌兰浩特市137400突泉县137500扎赉特旗137600扎兰屯市162650阿荣旗162750莫力达瓦斡尔族旗162850加格达奇165000阿拉善左旗750306额济纳旗735400阿拉善右旗737300广东省广州市510000花都市510800从化市510900新丰县511100增城市511300番禺市511400清远市511500佛冈县511600东莞市523000清新县511800韶关市512000曲江县512100乐昌市512200仁化县512300南雄县512400始兴县512500翁源县512600乳源瑶族县512700莫德市513000阳山县513100连山壮族瑶族县513200连南瑶族县513300连州市513400梅州市514000梅县514033蕉岭县514100大埔县514200丰顺县514300五华县514400兴宁市514500平远市514600汕头市515000潮阳市515100惠来县515200普宁市515300揭西县515400揭东县545500潮安县515638饶平县515700澄海市515800南澳县515900惠州市516000博罗县516100惠阳市516200惠东县5163003海丰县516400 陆丰县516500 汕尾市516600 陆河县516700 河源市517000 连平县517100 和平县517200 龙川县517300 紫金县517400 东源县517500 深圳市518000 宝安区518100 珠海市519000 斗门县519100 潮州市521000 揭阳市522000 湛江市524000 徐闻县524100 雷州市524200 遂溪县524300 廉江市524400 吴川市524500 茂名市525000 化州市525100 高州市525200 信宜市525300 电白县525400 肇庆市526000 高要市526100 四会市526200 广宁县526300 怀集县526400 封开县526500 德庆县526600 郁南县527100 罗定市527200 云浮市527300 新兴县527400 云安县527500 佛山市528000 三水市528100 南海市528200 顺德区528300 中山市528400 高明市528500 江门市529000 新会市529100 台山市529200 开平市529300 恩平市529400 阳江市529500 阳春市529600 鹤山市529700 阳西县529800 阳东县529900 黑龙江省哈尔滨市150000双城市150100五常市150200阿城市150300宾县150400呼兰县150500尚志市150600延寿县150700方正县150800通河县150900肇东市151100安达市151400兰西县151500青冈县151600明水县151700巴彦县151800木兰县151900绥化市152000望奎县152100绥棱县152200海伦市152300庆安县152400铁力市152500伊春市153000南岔区153100嘉阴县153200佳木斯市154000鹤岗市154100萝北市154200桦川县154300桦南县154400勃利县154500七台河市154600汤原县154700依兰县154800双鸭山市155100宝清县155600饶河县155700友谊县155800集贤县155900富锦市156100绥滨县156200同江市156400抚远县156500牡丹江市157000海林市157100东宁县157200绥芬河市157300宁安市157400穆棱市157500林口县157600鸡西县158100鸡东县158200密山市158300齐齐哈尔市161000龙江县161100富裕县161200讷河市161300嫩江市161400依安县161500克山县161600甘南县162100泰来县162400大庆市163000北安市164000五大连池市164100孙吴县164200黑河市164300逊克县164400加格达奇市165000呼玛县165100塔河县165200漠河县165300杜尔伯特蒙古族县166200林旬县166300肇州县166400肇源县166500青海省久治县624700西宁市810000大通回族土族县810100海北藏族州810200门源回族区810300祁连县810400互助土族县810500平安县810600乐都县810700民和国簇土族县810800化隆回族县810900循化撒拉拉族县811100尖扎县811200同仁县811300泽库县811400河南蒙古族县811500湟中县811600贵德县811700湟源县812100海晏县812200刚察县812300共和县813000贵南县813100同德县813200兴德县813300花石峡813400玛多县813500玛沁县814000甘德县814100达日县814200班玛县814300玉树县815000称多县815100囊谦县815200杂多县815300治多县815400曲麻莱县815500格尔木市816000都兰县816100德令哈市817000乌兰县817100天峻县817200大柴旦817300冷湖817400尕斯817500河南省郑州市450000荥阳市450100新郑市451150巩义市451200中牟县451450尉氏县452100通许县452200新密市452370登封市452470禹州市452570新乡市453000卫辉市453100延津县453200封丘县453300长垣县453400原阳县453500辉县453600新乡县453700获嘉县453800焦作市454000修武县454350博爱县454450沁阳市454550济源市454650孟州市454750温县454850武陟县454950安阳市455000安阳县455100汤阴县456150浚县456250内黄县456300滑县456400林州市456500鹤壁市456650洪县456750濮阳市4570004濮阳县457100清丰县457300南乐县457400范县457500台前县457600鹤山区458010许昌市461000许昌县461100鄢陵县461200扶沟县461300太康县461400长葛市461500漯河市462000郾城县462300舞阳县462400舞钢市462500临颖县462600驻马店市463000遂平县463100确山县463200汝南县463300平舆县463400新蔡县463500正阳县463600沁阳县463700上蔡县463800西平县463900信阳市464000平桥区(信阳县) 464100 罗山县464200息县464300淮滨县464400潢川县465150固始县465250商城县465350光山县465450新县465500周口市466000商水县466100项城市466200沈丘县466300西华县466600淮阳县466700平顶山市467000郏县467100叶县467200鲁山县467300宝丰县467400汝州市467500洛阳市471000孟津县471100汝阳县471200伊川县471300嵩县471400栾川县471500宜阳县471600 洛宁县471700新安县471800偃师市471900三门峡市472000陕县472100卢氏县472200义马市472300渑池县472400灵宝市472500南阳市473000方城县473200社旗473300唐河县473400新野县473500邓州市474100镇平县474250内乡县474350浙川县474450西峡县474550桐柏县474750开封市475000开封县475100杞县475200兰考县475300商丘市476000商丘县476100柘城县476200虞城县476300夏邑县476400永城县476600宁陵县476700民权县476800睢县476900郸城县477150鹿邑县477200甘肃省兰州市730000榆中县730100皋兰县730200永登县730300景泰县730400临洮县730500靖远县730600会宁县730700白银市730900平川区730913临夏市731100和政县731200广河县731300东乡族县731400康乐县731500永靖县731600积石山县731700临夏县731800武威市733000古浪县733100天祝藏族县733200民勤县733300张掖市734000山丹县734100临泽县734200高台县734300肃南裕固族县734400民乐县734500酒泉市735000嘉峪关市735100玉门市735200金塔县735300安西县736100敦煌市736200肃北蒙古族县736300阿克塞哈萨克族县736400金昌市737100永昌县737200天水市741000甘谷县741200武山县741300清水县741400张家川回族县741500秦安县741600西和县742100礼县742200徽县742300两当县742400成县742500定西县743000通渭县743300静宁县743400平凉市744000华亭县744100崇信县744200泾川县744300灵台县744400镇原县744500庄浪县744600西峰市745000庆阳县745100宁县745200正宁县745300合水县745400华池县745600环县745700武都县746000舟曲县746300文县746400康县746500合作市(原甘南) 747000夏河县747100碌曲县747200玛曲县747300迭部县747400临潭县747500卓尼县747600陇西县748100渭源县748200漳县748300岷县748400宕昌县748500新疆乌鲁木齐市830000昌吉市831100呼图壁县831200五家渠831300米泉县831400阜康市831500吉木萨尔县831700奇台县831800木垒哈萨克县831900石河子市832000沙湾县832100玛纳斯县832200乌苏县833000奎屯市833200精河县833300博乐市833400温泉县833500独山子区833600克拉玛依市834000和布克赛尔蒙古县834400托里县834500额敏县834600塔城市834700裕民县834800伊宁市835000伊宁县835100霍城县835200察布查尔锡伯县835300巩留县835400特克斯县835500昭苏县835600尼勒克县835700新源县835800富蕴县836100青河县836200福海县836400阿勒泰市836500布尔津县836600哈巴河县836700吉木乃县836800土鲁番市838000托克逊县838100鄯善县838200哈密市8390005巴里坤哈萨克县839200伊吾县839300库尔勒市841000焉耆回族区841100和硕县841200和静县841300博湖县841400尉犁县841500轮台县841600若羌县841800且末县841900库丰县842000新和县842100沙雅县842200拜城县842300阿克苏市843000温宿县843100阿瓦提县843200阿拉尔843300乌什县843400柯坪县843600巴楚县843800喀什市844000疏附县844100疏勒县844200伽师县844300岳普湖县844400英吉沙县844500麦盖提县844600莎车县844700泽普县844800叶城县844900皮山县845150塔什库尔干县845250 阿图什市845350乌恰县845450阿克陶县845550和田市848000墨玉县848100洛浦县848200策勒县848300于田县848400民丰县848500湖南省长沙市410000长沙县410100望城县410200浏阳市410300平江县410400湘阴县410500宁乡县410600湘潭市411100湘潭县411200韶山市411300 湘乡市411400株州市412000株州县412100醴陵市412200攸县412300茶陵县412400炎陵县412500益阳市413000沅江市413100南县413200桃江县413400安化县413500岳阳市414000岳阳县414100华容县414200临湘市414300汩罗市414400常德市415000鼎城区415100临澧县415200石门县415300津市415400澧县415500安乡县415600桃源县415700汉寿县415900吉首市416000泸溪县416100凤凰县416200古丈县416300花垣县416400保靖县416500永顺县416700龙山县416800娄底市417000涟源市417100冷水江市417500新化县417600双峰县417700怀化市418000怀化市中方县418000洪江市(原黔阳县并入)418100会同县418300靖州苗族侗族县418400通道侗族县418500芷江侗族县419100新晃侗族县419200溆浦县419300麻阳苗族县419400辰溪县419500沅陵县419600衡阳市421000衡南县421100衡阳县421200衡山县421300衡东县421400常宁县421500祁东县421600耒阳市421800邵阳市422000邵阳县422100隆回县422200洞口县422300武冈市422400城步苗族县422500绥宁县422600新宁县422700邵东县422800新邵县422900郴州市423000永兴县423300资兴县423400桂东县423500安仁县423600汝城县424100宜章县424200临武县424300桂阳县424400嘉禾县424500永州市425050冷水滩区425100双牌县425200道县425300江永县425400江华瑶族县425500宁远县425600新田县425700蓝山县425800东安县425900祁阳县426100张家界市427000桑植县427100慈利县427200山东省济南市250000章丘市250200长清县250300平阴县250400齐河县251100禹城市251200济阳县251400临邑县251500商河县251600惠民县251700阳信县251800无棣县251900聊城市252000荏平县252100东阿县252200阳谷县252300莘县252400冠县252500临清县252600高唐县252800德州市253000平原县253100夏津县253200宁津县253400陵县253500乐陵县253600庆云县253700淄博市255000淄川区255100博山区255200周村区255300临淄区255400沂源县256100邹平县256200高青县256300桓台县256400博兴县256500滨州市256600沾化县256800东营市257000河口区257200广饶县257300利津县257400垦利县257500潍坊市261000寒亭区261100坊子区261200昌邑市261300莱州市261400高密市261500安丘市262100诸城市262200五莲县262300昌乐县262400青州市262500临朐县262600寿光市262700烟台市264000牟平区264100威海市264200荣成市264300文登市264400乳山市264500莱山区264600海阳县265100莱阳县265200栖霞市265300招远市265400福山区265500蓬莱市265600龙口市2657006长岛县265800 青岛市266000 崂山区266100 即墨市266200 胶州市266300 胶南市266400 黄岛区266500 莱西市266600 平度市266700 泰安市271000 莱芜市271100 新泰市271200 宁阳县271400 东平县271500 肥城市271600 兖州市272000 济宁市272100 金乡县272200 鱼台县272300 嘉祥县272400 汶上县272500 梁山县272600 曲阜市273100 泗水县273200 平邑县273300 费县273400邹城县273500 菏泽市274000 定陶县274100 成武县274200 单县274300曹县274400东明县274500 鄄城县274600 郓城县274700 巨野县274900 临沂市276000 郯城县276100 蒙阴县276200 沂南县276300 沂水县276400 莒县276500莒南县276600 临沭县276700 日照市276800 薛城区277000 枣庄市277100 山亭区277200 峰城区277300 台儿庄区277400 藤州市277500 微山县277600 苍山县277700西藏拉萨市850000 达孜县850100墨竹工卡县850200曲水县850600贡嘎县850700扎朗县850800浪卡子县851100洛扎县851200尼木县851300堆龙德庆县851400当雄县851500林周县851600那曲县852000巴青县852100索县852200比如县852300嘉黎县852400班戈县852500申扎县853100尼玛县853200双湖特区853300安多县853400聂荣县853500昌都县854000江达县854100贡觉县854200察雅县854300左贡县854400芒康县854500八宿县854600洛隆县855400边坝县855500类乌齐县855600丁青县855700山南地区856000乃东县856100桑日县856200曲松县856300加查县856400隆子县856600错那县856700琼结县856800措美县856900日喀则市857000南木林县857100仁布县857200白朗县857300江孜县857400康马县857500亚东县857600岗巴县857700萨迦县857800定结县857900拉孜县858100定日县858200聂拉木县858300樟木口岸858400昂仁县858500萨嘎县858600吉隆县858700仲巴县858800谢通门县858900阿里地区859000革吉县859100改则县859200措勤县859300噶尔县859400普兰县859500札达县859600日土县859700林芝地区860000林芝县860100工布江达县860200波密县860300朗县860400米林县860500察隅县860600墨脱县860700陕西省西安市710000长安县710100高陵县710200户县710300周至县710400蓝田县710500临潼县710600旬邑县711300柞水县711400镇安县711500宁陕县711600富平县711700咸阳市712000杨陵区712100武功县712200兴平市713100礼泉县713200乾县713300永寿县713400彬县713500长武县713600泾阳县713700三原县713800渭南市714000华县714100华阴县714200潼关县714300大荔县715100澄城县715200合阳县715300韩城市715400蒲城县715500白水县715600黄龙县715700延安市716000甘泉县716100宜川县716200延长县717100延川县717200子长县717300安塞县717400志丹县717500吴旗717600绥德县718000米脂县718100吴堡县718200清涧县718300子洲县718400靖边县718500榆林市719000横山县719100佳县719200神木县719300府谷县719400宝鸡市721000千阳县721100陇县721200宝鸡县721300凤翔县721400麟游县721500太白县721600凤县721700扶风县722200眉县722300岐山县722400汉中市723000南郑县723100城固县723200洋县723300佛坪县723400西乡县723500镇巴县723600留城县724100勉县724200略阳县724300宁强县724400安康市725000汉阴县725100石泉县725200紫阳县725300岚皋县725400平利县725500镇坪县725600旬阳县725700白河县725800商州市726000洛南县726100丹凤县726200商南县7263007山阳县726400铜川市727000耀县727100宜君县727200黄陵县727300洛川县727400富县727500辽宁省沈阳市110000苏家屯110100辽中县110200新民市110300法库县110400康平县110500辽阳市111000辽阳县111200灯塔县111300铁岭市112000开原市112300西丰县112400昌图县112500铁岭县112600铁法市112700抚顺市113000抚顺县113100新宾满族县113200 清原满族县113300 鞍山市114000台安市114100海城市114200岫岩满族县114300 营口市115000大石桥市115100 盖州市115200大连市116000旅顺市116041金州区116100普兰店市116200 瓦房店市116300 庄河市116400长海县116500本溪市117000本溪满族县117100 恒仁满族县117200 丹东市118000凤城市118100宽甸满族县118200 东港市118300锦州市121000义县121100凌海市121200北宁市121300黑山县121400朝阳市122000北票市122100 喀喇沁左翼蒙古族县122300建平县122400凌源市122500朝阳县122600阜新市123000阜新蒙古族县123100彰武县123200盘锦市124000盘山县124100大洼县124200葫芦岛市125000兴城市125100绥中县125200建昌县125300吉林省长春市130000农安县130200德惠市130300榆树市130400九台市130500双阳县130600伊通满族县130700前郭尔罗斯蒙古族县131100扶余县131200大安市131300乾安市131400长岭县131500吉林市132000永吉县132100磐石县132300桦甸市132400蛟河市132500舒兰市132600延吉市133000图们市133100汪清县133200珲春市133300龙井市133400和龙市133500安图县133600敦化市133400通化市134000通化县134100集安市134200白山市134300长白朝鲜族县134400抚松县134500临江市134600江源县134700梅河口市135000辉南县135100靖宇县135200四平市136000公主岭市136100辽源市136200东丰县136300双辽县136400梨树县136500东辽县136600白城市137000洮南市137100通榆县137200镇赉县137300江西省南昌市330000新建县330100南昌县330200永修县330300德安县330400安义县330500靖安县330600奉新县330700高安县330800丰城县331100樟树市331200新干县331300峡江县331400永丰县331500吉水县331600东乡县331800九江市332000九江县332100瑞昌市332200武宁县332300修水县332400湖口县332500都昌县332600彭泽县332700星子县332800景德镇市333000波阳县333100婺源县333200乐平市333300上铙市334000上铙县334100德兴县334200横峰县334300弋阳县334400铅山县334500广丰县334600玉山县334700鹰潭市335000余干县335100余江县335200资溪县335300贵溪县335400万年县335500宜春市336000万载县336100铜鼓县336200宜丰县336300上高县336400新余市336500分宜县336600萍乡市337000莲花县337100赣州市341000赣县341100上犹县341200崇义县341300南康市341400大余县341500信丰县341600龙南县341700金南县341800定南县341900安远县342100寻乌县342200于都县342300兴国县342400瑞金市342500会昌县342600石城县342700宁都县342800吉安市343000吉安县343100安福县343200永新县343400宁冈县343500井冈山市343600泰和县343700万安县343800遂川县343900抚州地区344000临川市344100崇仁县344200乐安县344300宜黄县344400南丰县344500黎川县344600南城县344700金溪县344800海南省海口市570000琼山市571100定安县571200文昌市571300琼海市571400万宁市571500屯昌县571600儋州市571700临高县571800澄迈县5719008三亚市572000通什市572200保亭黎族苗族县572300陵水黎族县572400乐东黎族县572500东方黎族县572600昌江黎族县572700白沙黎族县572800琼中黎族苗族县572900洋浦开发区578000贵州省贵阳市550000罗甸县550100修文县550200开阳县550300瓮安县550400福泉县550500惠水县550600长顺县550700紫云苗族布依族县550800息烽县551100龙里县551200贵定县551300清镇市551400黔西县551500大方县551600毕节市551700金沙县551800织金县552100册亨县552200望谟县552300安龙县552400六盘水市553000威宁彝族回族苗族县553100赫章县553200纳雍县553300玉屏侗族县554000松桃苗族县554100万山特区554200铜仁市554300江口县554400石阡县555100印江土家族苗族县555200凯里市556000黄平县556100施秉县556200台江县556300剑河县556400三穗县556500天柱县556600 锦屏县556700雷山县557100榕江县557200黎平县557300从江县557400丹寨县557500麻江县557600镇远县557700岑巩县557800都匀市558000三都水族县558100独山县558200平塘县558300荔波县558400安顺市561000平坝县561100镇宁布依族苗族县561200关岭布依族苗族县561300晴隆县561400普安县561500盘县特区561600普定县562100贞丰县562200兴仁县562300兴义市562400遵义市563000遵义县563100桐梓县563200绥阳县563300正安县563400道真县563500湄潭县564100凤冈县564200务川仡佬族苗族县564300余庆县564400仁怀县564500习水县564600思南县565100德江县565200沿河土家族县565300云南省昆明市650000西山区650100官渡区650200安宁市650300富民县650400呈贡县650500晋宁县650600易门县651100禄丰县651200元谋县651300永仁县651400禄劝彝族苗族县651500武定县651600嵩明县651700宜良县652100路南彝族县652200弥勒县652300泸西县652400澄江县652500江川县652600通海县652700华宁县652800玉溪市653100峨山县653200元江哈尼族彝族傣族县653300新平彝族傣族县653400东川市654100会泽县654200建水县654300红河县654400巧家县654600墨江哈尼族县654800曲靖市655000马龙县655100寻甸回族彝族县655200宣威市655400富源县655500陆良县655600师宗县655700罗平县655800昭通市657000鲁甸县657100镇雄县657200永善县657300大关县657400盐津县657500彝良县657600绥江县657700水富县657800威信县657900开远市661000蒙自县661100屏边苗族县661200河口瑶族县661300个旧市661400金平苗族瑶族傣族县661500石屏县662200元阳县662400绿春县662500文山县663000砚山县663100丘北县663200广南县663300富宁县663400西畴县663500麻栗城县663600马关县663700思茅市665000普洱哈尼族彝族县665100澜沧拉祜族县665600西盟佤族县665700孟连傣族拉祜族佤族县665800江城哈尼族彝族县665900景洪市666100勐海县666200勐腊县666300景谷傣族彝族县666400镇沅彝族哈尼族拉祜族县666500大理市671000洱源县671200剑川县671300兰坪白族普米族县671400鹤庆县671500宾川县671600祥云县672100巍山彝族回族县672400漾濞彝族县672500永平县672600云龙县672700怒江傈傈族州673100泸水县673200福贡县673400贡山独龙族怒族县673500丽江纳西族县674100永胜县674200宁蒗彝族县674300迪庆藏族洲中旬县674400德饮县674500维西傈傈族县674600华坪县674800楚雄市675000双柏县675100南华县675200姚安县675300大姚县675400牟定县675500弥渡县675600南涧彝族县675700云县675800凤庆县6759009景东彝族县676200临沦县677000祜族佤族布朗族傣族县677300耿马傣族佤族县677500永德县677600镇康县677700保山市678000昌宁县678100施甸县678200龙陵县678300潞西县678400畹町市678500瑞丽市678600陇川县678700腾冲县679100梁河县679200盈江县679300福建省福州市350000闽候县350100长乐市350200福清市350300平潭县350400连江县350500罗源县350600永泰县350700闽清县350800莆田市351100仙游县351200宁德市352100古田县352200屏南县352300南平市353000建瓯市353100顺昌县353200将乐县353300浦城县353400松溪县353500政和县353600邵武市354000光泽县354100建阳市354200武夷山市354300泰宁县354400建宁县354500霞浦县355100福安市355000福鼎市355200周宁县355400寿宁县355500厦门市361000同安县361100泉州市362000 惠安县362100晋江市362200南安市362300安溪县362400德化县362500永春县362600石狮市362700漳州市363000龙海市363100漳浦县363200云霄县363300东山县363400诏安县363500南靖县363600平和县363700华安县363800长泰县363900龙岩市364000永定县364100上杭县364200武平县364300漳平市364400三明市365000尤溪县365100明溪县365200清流县365300宁化县365400沙县365500永安县366000大田县366100连城县366200长汀县366300重庆市重庆市400000北碚区400700万盛区400800双桥区400900渝北区401120长寿县401220巴南区401320綦江县401420合川市401500永川市402100江津市402200大足县402300荣昌县402400铜梁县402500潼南县402600壁山县402700万州区(万县市)404000万州区404100忠县404300云阳县404500奉节县404600巫山县404700梁平县405200开县405400巫溪县405800城口县405900涪陵区408000丰都县408200垫江县408300南川市408400武隆县408500黔江区409000石柱县409100彭水县409600酉阳县409800秀山县409900湖北省武汉市430000蔡甸区430100江夏区430200新洲区431400红安县438400麻城市438300天门市431700京山县431800钟祥市431900孝感市432100黄陂区432200汉川市432300应城市432400云梦县432500安陆市432600广水市432700大悟县432800孝昌县432900仙桃市433000潜江市433100洪湖市433200监利县433300荆州市434000江陵区434040松滋市434200公安县434300石首市434400黄石市435000大冶市435100阳新县435200鄂州市436000黄州市(黄冈市) 436100浠水县436200蕲春县436300武穴市436400黄梅县436500罗田县438600英山县438700团风县438000咸宁市437000嘉鱼县437200赤壁(蒲圻)市437300通城县437400崇阳县437500通山县437600襄樊市441000襄阳县441100枣阳市441200随州市441300宜城市441400南漳县441500保康县441600谷城县441700老河口市441800丹江口市441900十堰市442000房县442100竹山县442200竹溪县442300神农架林区442400郧县442500郧西县442600宜昌市443000宜昌县443100枝江县443200宜都(枝城)市443300五峰土家族县443400长阳县443500秭归县443600兴山县443700当阳市444100远安县444200巴东县444300恩施市445000建始县445300利川市445400宣恩县445500咸丰县445600来凤县445700鹤峰县445800荆门市448000沙洋县448200广西省南宁市530000武鸣县530100邕宁县530200横县530300宾阳县530400上林县530500马山县530600都安瑶族县530700大化瑶族县530800平果县531400田东县53150010扶绥县532100崇左市532200大新县532300龙州县532400宁明县532500凭祥市532600隆安县532700天等县532800百色市533000凌云县533100乐业县533200田林县533300隆林各族县533400西林县533500田阳县533600德保县533700靖西县533800那坡县533900钦州市535000浦北县535300灵山县535400上思县535500北海市536000合浦县536100玉林市537000贵港市537100桂平市537200平南县537300北流市537400容县537500博白县537600陆川县537700防城港市538000东兴市538100桂林市541000临桂县541100灵川县541200兴安县541300资源县541400金州县541500灌阳县541600龙胜各族县541700永福县541800阳朔县541900平乐县542400恭城瑶族县542500钟山县542600富川瑶族县542700贺州市(贺州)542800 梧州市543000苍梧县543100岑溪市543200藤县543300柳州市545000柳江县545100柳城县545200 融水苗族县545300融安县545400三江侗族县545500鹿寨县545600金秀瑶族县545700象州县545800武宣县545900来宾县546100忻城县546200宜州市546300罗城仫佬族县546400合山市546500荔浦县546600蒙山县546700昭平县546800河池市547000环江毛南族县547100南丹县547200天峨县547300东兰县547400巴马瑶族县547500凤山县547600四川省成都市610000龙泉区610100双流市610200青白江区610300金堂县610400新都县610500温江市611100崇州市611200大邑县611300新津县611400邛崃县611500蒲江县611600郫县611700灌县611800彭州市611900眉山县612100丹棱县612200洪雅县612300青神县612400仁寿县612500井研县612600彭山县612700乐山市614000夹江县614100峨眉市614200峨边彝族县614300犍为县614400沐川县614500马边彝族县614600金口河区614700凉山彝族州(西昌市)615000会理县615100会东县615200普格县615300宁南县615400德昌县615500冕宁县615600盐源县615700木里彝族县615800昭觉县616100金阳县616200布施县616300美姑县616400雷波县616500越西县616600喜德县616700甘洛县616800渡口市617000盐边县617100米易县617200华坪县617300德阳市618000中江县618100绵竹县618200广汉市618300什邡县618400罗江县618500绵阳市621000三台县621100盐亭县621600江油县621700梓潼县622100平武县622500安县622600北川县622700汶川县623000理县623100茂汶羌族县623200松潘县623300南坪县623400黑水县623500阿坝藏族县624000金川县624100小金县624200壤塘县624300红原县624400若尔盖县624500阿坝县624600雅安市625000名山县625100荣经县625200汉源县625300石棉县625400天全县625500芦山县625600宝兴县625700康定县626000泸定县626100九龙县626200丹巴县626300道孚县626400炉霍县626500色达县626600甘孜县626700新龙县626800白玉县627100德格县627200石渠县627300雅江县627400理塘县627500巴塘县627600稻城县627700乡城县627800得荣县627900广元市628000青川县628100旺苍县628200剑阁县628300苍溪县628400遂宁市629000莲溪县629100射洪县629200大英县629300江北县631100巴县631300达州市635000大竹县635100渠县635200邻水县638500平昌县635400巴中县635500南江县635600通江县635700宣汉县636100开江县636200万源县636300白沙区636400南充市637000南充县637100西充县637200南部县637300阆中市637400仪陇县637600营山县638100蓬安县638200岳池县638300武胜县638400广安市638000华蓥县638600内江市641000内江县641100资中县641200资阳市64130011。
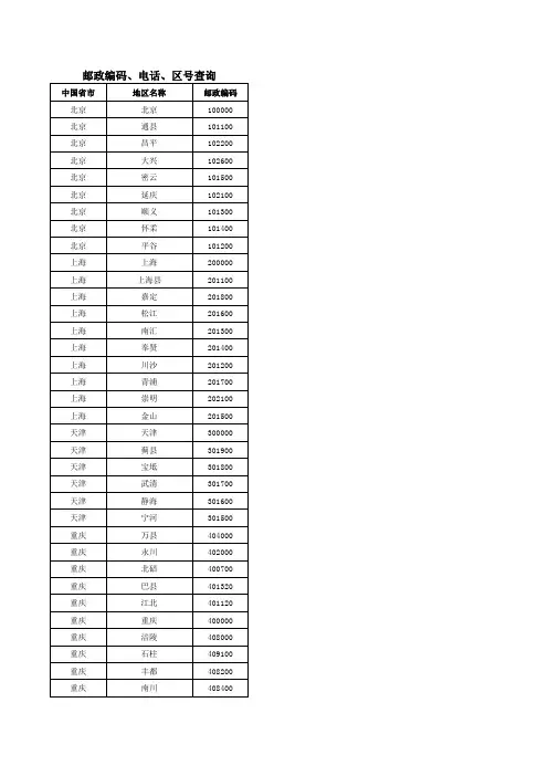
全国邮政编码查询北京市100000东城区100010 西城区100032宣武区100053 崇文区100061 朝阳区100020 海淀区100080 丰台区100071 门头沟区102300 石景山区100043 通县101149 平觳县101200 顺义县101300 怀柔县101400 密云县101500 延庆县102100 昌平县102200 大兴县102600天津市300000河东区300171 河西区300202 河北区300143 南开区300100 红桥区300131 塘沽区300450 汉沽区300480 东郊区300300 南郊区300350 西郊区300380 北郊区300400 大港区300270上海市200000长宁区200050 卢湾区200020 杨浦区200082 吴松区200940 闵行区200240 闸北区200070 南市区200011 虹口区200080 徐汇区200030 黄浦区200002 普陀区200063 静安区200040 上海县201100 嘉定县201800 宝山县201900 川沙县201200 南汇县201300 奉贤县201400 松江县201600 金山县201500 青浦县201700 崇明县202150河北省石家庄市050000 桥西区050051 桥东区050011新华区050051 长安区050011 郊区050081井陉矿区050100 邯郸市056002 武安市056300邢台市054000 张家口市075000 承德市067000唐山市063000 秦皇岛市066000 沧州市061000辛集市052360 南宫市051830 沙河市054100涿州市072750 定州市073000 廊坊市102800泊头市062150 任丘市062550 衡水市053000山西省太原市030000 北城区030009 南城区030002河西区030024 北郊区030023 南郊区030032古交市030200 大同市037000 阳泉市045000长治市046000 晋城市048000 临汾市041000忻州市034000 榆次市030600候马市043000 运城市044000 朔州市036002 朔城区036000 平鲁区038600怀仁县038300山阴县036900应县037600右玉县037200内蒙古呼和浩特市010000 玉泉区010020 新城区010010回民区010030 郊区010020 包头市014000乌海市016000 赤峰市024000 集宁市012000锡林浩特市026003 二连浩特市012600海拉尔市021008 满州里市021400 牙克石市022150扎兰屯市162650 通辽市028000 东胜市017004乌兰浩特市137400辽宁省沈阳市110000 和平区110001 沈河区110011大东区110042 皇姑区110031 铁西区110021苏家屯区110101 东陵区110015 大连市116002旅顺口区116041 西岗区116012 沙河口区116021甘井子区116034 开发区116600 金州区116100瓦房店市116300 鞍山市114000 海城市114200抚顺市113000 本溪市117000 丹东市118000锦州市121000 锦西市121500 兴城市121600营口市115000 阜新市123000 辽阳市111000铁岭市112000 铁法市112700 开原市112300吉林省长春市130000 朝阳区130061 南开区130042宽城区130051 二通河130031 九台市130500吉林市132000 四平市136000 桦甸市132400辽源市136200 公主岭市136100 梅河口市135000集安市134200 通化市134000 浑江市134300白城市137000 扶余市131200 大安市131300延吉市133000 图门市133100 敦化市133700龙井市133400 珲春市133300黑龙江哈尔滨市150000 道里区150010 南岗区150006 动力区150040 平房区150060 香坊区150036 阿城市? 150300 太平区150050 道外区150020 齐齐哈尔市161000 鹤岗市154100 双鸭山市155100 鸡西市158100 伊春市153000 大庆市163000 铁力市152500 牡丹江市157000 绥芬河市157300 密山市158300 富锦市156100 七台河市154600 尚志市150600 双城市150100 肇东市151100 绥化市152000 安达市151400 黑河市164300 北安市164000江苏省南京市210000 建邺区210005 玄武区210018 白下区210002 秦淮区210001 鼓楼区210009 下关区210011 浦口区210031 雨花台区210012 栖霞区210046 徐州市220005 鼓楼区221005 云龙区221009 郊区221006 贾汪区221011 连云港市222000 淮阴市223001 淮安市223233 盐城市224000 扬州市225000 东台市224200 泰州市225300 仪征市211400 兴化市225700 南通市226000 镇江市212000 丹阳市212300 常州市213000 无锡市214000 江阴市214400 宜兴市214200 苏州市215000 常熟市215500 张家港市215600浙江省杭州市310000 上城区310002 下城区310006 西湖区310007 江干区310008 萧山市311200 宁波市315000 余姚市315400 慈溪市315300 奉化市315500 温州市325000 瑞安市325200 嘉兴市314000 湖州市313000 绍兴市312000 金华市321000 兰溪市321100 东阳市322100 义乌市322000 衢州市324000 江山市324100 舟山市316000 临海市317000 椒江市317700 丽水市323000四川省成都市610000 东城区610016 西城区610031 金牛区610036 龙泉驿区610100 青白江区610300 都江堰市611830 重庆市630000 市中区630010江北区630020 沙坪坝区630030 九龙坡区630050 南岸区630064 大渡口区630080 北碚区630700 南桐矿区630800 双桥区630900 自贡市643000 攀枝花市617000 德阳市618000 广汉市618300 绵阳市621000 江油市621700 遂宁市629000 内江市641000 乐山市614000 峨眉山市614200 宜宾市644000 涪陵市648000 万县市634000 南充市637000 华莹市638650 达县市635000 雅安市625000 西昌市615000安徽省合肥市230000 西市区230061 郊区230041淮南市232001 淮北市235000 芜湖市241000 铜陵市244000 蚌埠市233000 马鞍山市243001 安庆市246003 池洲市247100 黄山市245000 宣城市242000 六安市237001 阜阳市236033福建省福州市350000 马尾区350015 思明区361001 台江区350004 仓山区350007 郊区350011 湖里区361006 彭浪屿区361002 开元区361003 集美区361021 杏林区361022 厦门市361000 三明市? 365000 永安市366000 莆田市351100 泉州市362000 石狮市362700 晋江市362200 漳州市363000 南平市353000 邵武市354000 宁德市352100 龙岩市364000江西省南昌市330000 西湖区330003 东湖区330008 青云谱区330001 郊区330006 湾里区330004 景德镇市333000 萍乡市337000 新余市336525 九江市332000 鹰潭市335000 上饶市334000 宜春市336000 抚州市344100 吉安市343000 井冈山市343600 赣州市341000山东省济南市250000 市中区250002 历下区250031 槐荫区250021 天桥区250013 历城区250100 章丘县250200 长清县250300 平阴县250400 青岛市266000 胶州市266300 崂山县266100胶南市266400 即墨市266200 莱西市266600 平度市262800 淄博市255000 桓台县256400 枣庄市277100 滕州市277551 东营市257092 垦利县257500 利津县257400 广饶县257300 潍坊市261000 青州市262500 诸城市262200 昌邑县261300 高密县261500 五莲县262300 安丘县262100 昌乐县262400 临朐县262600 寿光县262700 烟台市216400 龙口市265700 莱阳市265200 莱州市261400 牟平县264100 海阳县265100 招远市265400 栖霞县265300 蓬莱市265600 长岛县265800 威海市264200 荣城市264300 文登市264400 乳山县264500 济宁市272100 曲阜市273100 兖州市272000 邹县273500 徽山县277600 鱼台县272300 金乡县272200 嘉祥县272400 汶止县272501 泗水县273200 泰安市271000 莱芜市271100 新泰市271200 宁阳县271400 东平县271500 肥城县271600 德州市253000 乐陵市253600 陵县253500 宁津县253400 庆云县253700 商河县251600 临邑县251500 济阳县251400 齐河县251100 禹城县251200 平原县253100 夏津县253200 武城县253300 惠民地区256600 滨州市256601 沾化县256800 博兴县256500 高青县256300 邹平县256200 惠民县251700 阳信县251800 无棣县251900 菏泽市274000 鄄城县274600 郓城县274700 梁山县274800 巨野县274900 成武县273600 单县273700 曹县274400 定陶县274100 东明县274500 聊城市252052 临清市252605 高唐县251300 茌平县252100 东阿县252201 阳觳县252300 莘县252400 冠县252500 临沂市276000 日照市276800 沂南县276300 沂水县276400 莒县276500 莒南县276600 临沭县276700 郯城县276100 苍山县277700 费县273400 平邑县273300 蒙阴县276200 沂源县256100河南省郑州市450000 金水区450003 二七区450000 中原区450007 管城450000 回族区郎山区450053 开封市475000 平顶山市467000 汝州市? 467500 洛阳市472000 济源市454650 鹤壁市456650 新乡市453000 卫辉市453100 辉县市453600 安阳市455000 濮阳市457000许昌市461000 禹州市452570 漯河市462000 三门峡市472000 义马市472300 商丘市476000 周口市466000 驻马店市463000 信阳市464000 南阳市473000 邓州市474100湖北省武汉市430000 江汉区430021 桥口区430033 江岸区430014 汉阳区430050 武昌区430061 青山区430080 洪山区430070 东西湖区430040 汉南区430090 黄石市435000 襄樊市441000 随州市442300 老河口市441800 枣阳市441200 十堰市442000 宜昌市443000 沙市市434000 荆门市434500 鄂州市436000 孝感市432100 应城市432400 安陆市432600 应山市432700 黄冈地区436100 麻城市431600 武穴市436400 咸宁市437000 蒲圻市437300 荆州地区434100 石首市434400 仙桃市433000 洪湖市433200 天门市431700 潜江市433100 宜昌地区443000 枝城市443300 当阳市444100 郧阳地区442000 丹江口市441900 恩施市445000 利川市445400 神农架区442400湖南省长沙市410000 东区410011 南区410002 西区410005 北区410005 郊区410011 株州市412000 醴陵市412200 湘潭市411100 湘乡市411140 衡阳市421000 耒阳市421800 邵阳市422000 岳阳市414000 汨罗市414400 郴州市423000 资兴市423400 永州市425000 冷水滩市425100 娄底市417000 冷水江市417500 涟源市417100 新化市417600 怀化市418000 常德市415000 津市市414500 益阳市413000 沅江市413100 吉首市416000 大庸市416600广东省广州市510000 东山区510080 越秀区510030 荔湾区510150 海珠区510220 天河区510150 芳村区510360 黄埔区510700 白云区510080 韶关市512000 清远市511500 梅州市514000 汕头市515000 潮州市515600 惠州市516000 东莞市511700 汕尾市516600 河源市517000深圳市518000 珠海市519000 湛江市524000 茂名市525000 肇庆市526000 佛山市528000 中山市528400 江门市529000 阳江市529500广西省南宁市530000 兴宁区530012 沂城区530022 永沂区530012 城北区530001 江南区530031 郊区530001 柳州市545000 桂林市541000 酲州市543000 北海市536000 冯祥市532600 河池市547000 合山市546500 玉林市537000 钦州市535000 百色市533000海南省海口市570002 三亚市572000 通什市572200贵州省贵阳市550000 云岩区550001 南明区550002 花溪区? 550025 白云区550014 乌当区550018 盘水市553000 钟山区553001 六枝特区553403 盘县特区561600 遵义市563000 铜仁市554300 万山特区554200 安顺市561000 兴义市562400 凯里市556000 都匀市558000云南省昆明市650000 盘龙区650051 五华区650032 官渡区650200 东川市654100 昭通市657000 曲靖市655000 玉溪市653100 保山市678000 个旧市661400 开远市661000 楚雄市675000 大理市671000 畹町市678500西藏省拉萨市850000 日喀则市857000陕西省西安市710000 新城区710004 碑林区710001 莲湖区710002 未央区710014 雁塔区710061 灞桥区710038 阎良区710089 铜川市727000 宝鸡市721000 咸阳市712000 榆林市719000延安市716000 渭南市714000 韩城市715400 商州市726000 安康市725000 汉中市723000甘肃省兰州市730000 城关区730000 安宁区730070 七里河区730050 红古区730080 西固区730060 金昌市737100 金川区737103 嘉裕关市735100 白银市730900 天水市741000 秦城区741000 北道区741020 西峰市745000 武威市733000 张掖市734000 酒泉市735000 玉门市735200 敦煌市736200 甘南州747000 临夏市731100青海省西宁市810000 城东区810000 城中区810021 城西区810001 城北区810017 德令哈市817000 格尔木市816000新疆乌鲁木齐市830000 天山区830002 水磨沟区830017 沙依巴克区830006 头屯河区830023 新市区830011 南山矿区830024 东山区830019 石河子市832000 克拉玛依市834000 哈密市839000 和田市848000 阿克苏市843000 喀什市844000 阿图什市845350 库尔勒市841000 昌吉市831100 博乐市833400 奎屯市833200 伊宁市835000 塔城市834700 阿勒泰市836500宁夏回族自治区银川市750000 吴忠市751100 青铜峡市751600 石咀山市753000台湾省高雄市800 台南市700 台中市400 台北市222 基隆市200。
华南与贵州5广东51-52广州市510000 花都510800 从化市510900 增城市511300 番禺511400 韶关市512000 曲江512100 乐昌512200仁化512300 南雄512400 始兴512500 翁源512600乳源512700 新丰511100 清远市511500 佛冈511600英德513000 阳山513100 连州513400 梅州市514000连山513200 梅县514000 蕉岭514100 大埔县514200连南513300 丰顺514300 五华514400 兴宁514500平远514600 汕头市515000 潮阳515100 惠来515200普宁515300 揭西515400 揭阳515500 潮州市515600饶平515700 澄海515800 南澳515900 惠州市516000博罗516100 惠阳516200 惠东516300 龙门511200汕尾市516600 陆河516700 海丰516400 陆丰516500河源市517000 连平517100 和平517200 龙川517300紫金517400 东莞市511700 中山市528400 深圳市518000 523000(新)宝安518100 珠海市519000 斗门519100 佛山市528000三水528100 南海528200 顺德528300 高明528600江门市529000 新会529100 台山529200 开平529300恩平529400 鹤山529700 阳江市529500 阳春529600湛江市524000 徐闻524100 海康524200 遂溪524300廉江524400 吴川524500 茂名市525000 化州525100高州525200 信宜525300 电白525400 肇庆市526000高要526100 四会526200 广宁526300 怀集526400封开526500 德庆526600 郁南527100 罗定527200云浮市527300 新兴527400广西53-54南宁市530000 武鸣530100 邕宁530200 横县530300宾阳530400 上林530500 马山530600 都安530700大化530800 平果531400 田东531500 扶绥532100崇左532200 大新532300 龙州532400 宁明532500凭祥市532600 隆安532700 天等532800 百色市533000凌云533100 乐业533200 田林533300 隆林533400西林533500 田阳533600 德保533700 靖西533800那坡533900 钦州市535000 浦北535300 灵山535400上思535500 防城535600 防城港区535700 北海市536000 合浦536100 玉林市537000 贵港市537100 桂平537200平南537300 北流537400 容县537500 博白537600陆川537700 桂林市541000 临桂541100 灵川541200兴安541300 资源541400 全州541500 灌阳541600龙胜541700 永福541800 阳朔541900 平乐542400恭城542500 钟山542600 富川542700 贺县542700梧州市543000 苍梧543100 岑溪543200 藤县543300柳州市545000 柳江545100 柳城545200 融水545300融安545400 三江545500 鹿寨545600 金秀545700象州545800 武宣545900 来宾546100 忻城546200宜山546300 罗城546400 合山市546500 荔浦546600蒙山546700 昭平546800 河池市547000 环江547100南丹547200 天峨547300 东兰547400 巴马547500凤山547600贵州55-56贵阳市550001 白云区550014 六盘水市553000 遵义市563000 盘县特区561600 习水县564600 六枝特区553400 绥阳县563300 道真县563500 余庆县564400 务川县564300 江口县554400万山特区554200 思南县565100 玉屏县554000 大方县551600 印江县555200 毕节县551700 松桃县554100 息烽县551100沿河县565300 开阳县550300 威宁县553100 睛隆县561400关岭县561300 兴仁县562300 镇宁县561200 望谟县552300紫云县550800 黎平县557300 施秉县556200 丹寨县557500天柱县556600 镇远县557700 三穗县556500 黄平县556100三都县558100 都匀市558000 龙里县551200 贵定县551300长顺县550700 惠水县550600 乌当区550018 花溪区550025桐梓县563200 赤水市564700 正安县563400 凤冈县564200湄潭县564100 仁怀县564500 遵义县563100 铜仁市554300德江县565200 石阡县555100 黔西县551500 金沙县551800赫章县553200 织金县552100 纳雍县553300 安顺市561000平坝县561100 修文县550200 清镇县551400 兴义市562400普安县561500 普定县562100 安龙县552400 贞丰县562200 册亨县552200 凯里市556000 剑河县556400 岑巩县557800 麻江县557600 从江县557400 雷山县557100 锦屏县556700 台江县556300 榕江县557200 福泉县550500 瓮安县550400 平塘县558300 罗甸县550100 独山县558200 荔波县558400 海南57海口市570003 三亚市572000 琼山市571100 定安县571200 文昌市571300 琼海市571400 万宁市571500 屯昌县571600 儋州市571700 临高县571800 澄迈县571900 五指山市572200 保亭县572300 陵水县572400 乐东县572500 东方市572600 昌江县572700 白沙县572800 琼中县572900 西沙群岛573100 南沙群岛573101 中沙群岛573100 洋浦578101 洋浦干冲578201 华北0内蒙01-02呼和浩特市10000 察右后旗12400 固阳县14200 东胜市17000 土左旗10100 苏右旗12500 达拉特旗14400 准格尔旗17100 托克托县10200 二连市12600 乌前旗14400 伊旗17200和林格尔县11500 苏左旗13100 临河市15000 乌审旗17300清水河县11600 镶黄旗13200 五原县15100 杭锦旗17400武川县11700 化德县13300 磴口县15200 海拉尔市21000四子王旗11800 商都县13400 乌中旗15300 鄂温克旗21100达茂旗11900 察右中旗13500 杭锦后旗15400 新左旗21200集宁市12000 兴和县13600 乌后旗15500 新右旗21300丰镇县12100 凉城县13700 乌海市16000 满洲里市21400察右前旗12200 包头市14000 鄂托克旗16100 陈旗21500卓资县12300 土右旗14100 鄂托克前旗16200 牙克石市22100额右旗22200 阿鲁旗25500 奈曼旗28300 敖汉旗24300额左旗22300 锡林浩特市26000 开鲁县28400 喀喇沁旗24400鄂伦春旗22400 阿巴嗄旗26100 扎鲁特旗29100 翁牛特旗24500赤峰市24000 西乌旗26200 霍林郭勒市29200 巴林右旗25100宁城县24200 东乌旗26300 科左中旗29300 林西县25200太仆寺旗27000 科尔右中旗29400 克旗25300 科左后旗28100正镶白旗27100 巴林左旗25400 库伦旗28200 正兰旗27200多伦县27300 通辽市28000山西03-04城市名称邮政编码城市名称邮政编码城市名称邮政编码城市名称邮政编码太原市30000 霍县31400 离石县33000 兴县35300阳曲县30100 汾西县31500 方山县33100 定襄县35400 古交区30200 洪洞县31600 临县33200 五台县35500 娄烦县30300 寿阳县31700 柳林县33300 宁武县36000 清徐县30400 榆社县31800 中阳县33400 神池县36100 交城县30500 文水县32100 忻州市34000 五寨县36200 榆次市30600 汾阳县32200 原平县34100 岢岚县36300 太谷县30800 孝义县32300 代县34200 偏关县36400 祁县30900 交口县32400 繁峙县34300 河曲县36500 平遥县31100 石楼县32500 灵丘县34400 保德县36600 介休县31200 左权县32600 静乐县35100 大同市37000 灵石县31300 和顺县32700 岚县35200 左云县37100 右玉县37200 蒲县41200 怀仁县38300 古县42400大同县37300 隰县41300 山阴县38400 安泽县42500 浑源县37400 永和县41400 朔县38500 浮山县42600 广灵县37500 襄汾县41500 平鲁县38600 侯马市43000 应县37600 乡宁县42100 临汾市41000 新绛县43100 阳高县38100 吉县42200 稷山县43200 永济县44500 天镇县38200 大宁县42300 河津县43300 芮城县44600长子县46600 曲沃县43400 阳泉市45000 长治县47100 高平县46700 翼城县43500 盂县45100 壶关县47300绛县43600 平定县45200 平顺县47400 闻喜县43800垣曲县43700 昔阳县45300 潞城县47500 运城市44000 长治市46000 黎城县47600 临猗县44100 襄垣县46200 屯留县46100 晋城市48000 万荣县44200 武乡县46300 阳城县48100 沁水县48200 平陆县44300 沁县46400陵川县48300 夏县44400 沁源县46500河北05-07石家庄市50000 获鹿县50200 井陉县50300 平山县50400 井陉矿区50100 灵寿县50500 行唐县50600 新乐县50700 正定县50800 元氏县51100 赞皇县51200 高邑县51300 栾城县51400 赵县51500 宁普县51600 新河县51700南宫市51800 藁城县52100 晋县52200 辛集市52300无极县52400 深泽县52500 安平县52600 饶阳县52700 深县52800 衡水市53000 枣强县53100 冀县53200武强县53300 武邑县53400 景县53500 邢台市54000沙河县54100 内丘县54200 临城县54300 南和县54400 平乡县54500 广宗县54600 戚县54700 清河县54800任县55100 巨鹿县55200 隆尧县55300 柏乡县55400邯郸市56000 峰峰56200 武安县56300 涉县56400磁县56500 临漳县56600 成安县56700 魏县56800大名县56900 永年县57100 曲周县57200 鸡泽县57300 丘县57400 肥乡县57500 广平县57600 馆陶县57700临西县57800 沧州市61000 黄骅县61100 海兴县61200 益山县61300 南皮县61500 东光县61600 阜城县61700 孟村回族61400 吴桥县61800 泊头市62100 献县62200 自治县肃宁县62300 河间县62400 任丘市62500 唐山市63000 占治63100 唐海县63200 丰南县63300 滦南县63500乐亭县63500 滦县63700 丰润县64000 玉田县66100遵化县64200 迁西县64400 北戴河66100 山海关66200 秦皇岛市66000 抚宁县66300 卢龙县66400 青龙县66500 昌黎县66600 承德市67000 寿王坟67100 兴隆县67300 鹰手营子67200 承德县67400 平泉县67500 宽城县67600 隆化县68100 滦平县68200 丰宁县68300 围场县68400 保定市71000 清苑县71100 安国县71200 博野县71300 蟊县71400 高阳县71500 安新县71600 容城县71700雄县71800 满城县82100 完县72200 唐县72300望都县72400 徐立县72500 定兴县72600 涿县72700定州市73000 曲阳县73100 阜平县73200 新城县74000滦水县74100 易县74200 宣化县75100 庞家堡75200张家口市75000 下花园75300 怀来县75400 赤城县75500涿鹿县75600 蔚县75700 阳原县75800 怀安县76100万全县76200 崇礼县76300 张北县76400 沽源县76500康保县76600 尚义县76700 故城县253800东北1辽宁11-12城市名称邮政编码城市名称邮政编码城市名称邮政编码城市名称邮政编码沈阳市110000 辽中县110200 新民市110300 法库县110400康平县110500 辽阳市111000 辽阳县111200 灯塔市111300铁岭市112000 开原市112300 西丰县112400 昌图县112500铁岭县112600 调兵山市112700 抚顺市113000 抚顺县113100新宾县113200 清原县113300 鞍山市114000 台安县114100海城市114200 营口市115000 大石桥市115100 盖州市115200大连市116000 普兰店市116200 瓦房店市116300 庄河市116400长海县116500 本溪市117000 本溪县117100 桓仁县117200丹东市118000 凤城市118100 宽甸县118200 东港市118300岫岩县114300 锦州市121000 义县121100 凌海市121200北镇市121300 黑山县121400 葫芦岛市121500 兴城市121600绥中县121700 朝阳市122000 北票市122100 建昌县122200喀左县122300 建平县122400 凌源市122500 阜新市123000阜新县123100 彰武县123200 盘锦市124000 盘山县124100大洼县124200 朝阳县122600吉林13城市名称邮政编码城市名称邮政编码城市名称邮政编码城市名称邮政编码长春市130000 吉林市132000 安图县133600 四平市136000农安县130200 永吉县132200 敦化市133700 公主岭市136100德惠县130300 磐石县132300 通化市134000 辽源市136200榆树县130400 桦甸县132400 通化县134100 东丰县136300九台县130500 蛟河县132500 集安县134200 双辽县136400双阳县130600 舒兰县132600 浑江市134300 梨树县136500伊通县130700 延吉市133000 长白县134400 东辽县136600前郭县131100 图们市133100 抚松县134500 白城市137000扶余县131200 汪清县133200 梅河口市135000 洮安县137100大安县131300 珲春县133300 辉南县135100 通榆县137200干安县131400 龙井县133400 靖宇县135200 镇赉县137300长岭县131500 和龙县133500 柳河县135300 乌兰浩特市137400突泉县137500 扎赉特旗137600黑龙江15-16城市名称邮政编码城市名称邮政编码城市名称邮政编码城市名称邮政编码哈尔滨市150000 肇源县151300 铁力县152500 依兰县154800双城县150100 安达市151400 伊春市153000 东宁县157200五常县150200 兰西县151500 南岔153100 讷河县161300阿城县150300 青冈县151600 嘉荫县153200 大庆市163000宾县150400 明水县151700 佳木斯市154000 集贤县154900呼兰县150500 巴彦县151800 鹤岗市154100 绥芬河市157300尚志县150600 木兰县151900 萝北县154200 嫩江县161400延寿县150700 绥化市152000 桦川县154300 北安市164000方正县150800 望奎县152100 桦南县154400 双鸭山市155100通河县150900 绥棱县152200 勃利县154500 宁安县157400肇东市151100 海伦县152300 七台河市154600 依安县161500肇州县151200 庆安县152400 汤原县154700 德都县164100富锦县156100 穆棱县157500 克山县161600 孙吴县164200绥滨县156200 林口县157600 拜泉县161700 黑河市164300建三江156300 鸡西市158100 克东县161800 逊克县164400同江县156400 鸡东县158200 甘南县162100 五大连池市164500 抚远县156500 密山县158300 杜蒙县166200 大兴安岭165000宝清县156600 虎林县158400 林甸县166300 呼玛县165100饶河县156700 齐齐哈尔市161000 泰来县162400 塔河县165200 友谊县156900 寒亭区161100 扎兰屯市162600 漠河县165300牡丹江市157000 龙江县161100 阿荣旗162700 海林县157100富裕县161200 莫旗162800华东 2江苏21-22城市名称邮政编码城市名称邮政编码城市名称邮政编码城市名称邮政编码南京市210000 丹徒县212100 靖江市214500 新沂市221400江宁区211100 扬中市212200 苏州市215000 沛县221600溧水县211200 丹阳县212300 吴县215100 丰县221700高淳县211300 句容县212400 吴江县215200 连云港市222000仪征市211400 常州市213000 昆山市215316 赣榆县222100胥浦县211400 武进县213100 太仓县215400 灌云县222200 六合区211500 金坛县213200 常熟市215500 东海县222300 金湖县211600 溧阳县213300 沙州县215600 淮阴市223000 盱眙县211700 无锡市214000 徐州市221000 洪泽县223100 浦口区211800 无锡县214100 铜山县221100 淮安县223200 泗洪县211900 宜兴县214200 瞧宁县221200 淮阴县223300 镇江市212000 江阴县214400 邳县221300 涟水县223400 泗阳县223700 东台县224200 响水县224600 泰兴县225400 宿迁县223800 射阳县224300 建湖县224700 泰州市225500 盐城市224000 阜宁县224400 扬州市225000 高邮县225600 大丰县224100 滨海县224500 邗江县225100 兴化县225700 宝应县225800 南通县226300 灌南县223500 启东县226200 南通市226000 如东县226400 沭阳县223600 海安县226600 海门县226100 如皋县226500 江都县225200 泰州市225300安徽23-24城市名称邮政编码城市名称邮政编码城市名称邮政编码城市名称邮政编码合肥市230000 长丰县231100 肥西县231200 肥东县231600芜湖市241000 芜湖县241100 繁昌县241200 南陵县242400蚌埠市233000 怀远县233400 五河县233300 固镇县233700淮南市232000 凤台县232100 马鞍山市243000 当涂县243100淮北市235000 濉溪县235100 铜陵市244000 铜陵县244100安庆市246000 怀宁县246100 桐城县231400 枞阳县246700潜山县246300 太湖县246400 宿松县246500 望江县246200岳西县246600 黄山市242700 歙县245200 休宁县245400黟县242700 祁门县245600 阜阳市236000 亳州市236800界首市236500 临泉县236400 太和县236600 涡阳县233600蒙城县233500 阜阳县236300 颖上县236200 利辛县236700宿州市234000 砀山县235300 肖县235200 灵壁县234200泗县234300 滁州市239000 天长市239300 来安县239200全椒县239500 定远县233200 凤阳县233100 嘉山县239400六安市237000 寿县232200 霍邱县237400 舒城县231300金寨县237300 霍山县237200 宣州市242000 郎溪县242100广德县242200 宁国县242300 泾县242500 绩溪县245300旌德县242600 巢湖市238000 庐江县231500 无为县238300含山县238100 和县238200 贵池市247100 东至县247200石台县245100 青阳县242800山东25-27市县名称邮政编码市县名称邮政编码市县名称邮政编码市县名称邮政编码济南市250000 历城区250100 章丘市250200 长清区250300平阴县250400 济阳县251400 商河县251600聊城市252000 茌平县252100 东阿县252200 阳谷县252300 莘县252400 冠县252500 临清市252600 高唐县252800德州市253000 平原县253100 夏津县253200 武城县253300 宁津县253400 陵县253500 乐陵市253600 庆云县253700 齐河县251100 禹城市251200 临邑县251500淄博市255000 淄川区255100 博山区255200 周村区255300 临淄区255400 沂源县256100 高青县256300 桓台县256400 滨州市256600 邹平县256200 博兴县256500 沾化县256800 惠民县251700 阳信县251800 无棣县251900东营市257000 东营区257100 河口区257200 广饶县257300 利津县257400 垦利县257500潍坊市261000 寒亭区261100 坊子区261200 昌邑市261300 高密市261500 安丘市262100 诸城市262200 昌乐县262400青州市262500 临朐县262600 寿光市262700烟台市264000 牟平区264100 海阳市265100 莱阳市265200 栖霞市265300 招远市265400 福山区265500 蓬莱市265600 龙口市265700 长岛县265800 莱州市261400威海市264200 荣成市264300 文登市264400 乳山市264500 青岛市266000 崂山区266100 即墨市266200 胶州市266300 胶南市266400 黄岛区266500 莱西市266600 平度市266700 泰安市271000 新泰市271200 宁阳县271400 东平县271500 肥城市271600莱芜市271100济宁市272000 兖州市272100 金乡县272200 鱼台县272300 嘉祥县272400 汶上县272500 梁山县272600 曲阜市273100 泗水县273200 邹城市273500 微山县277600菏泽市274000 定陶县274100 成武县274200 单县274300曹县274400 东明县274500 鄄城县274600 郓城县274700巨野县274900临沂市276000 郯城县276100 蒙阴县276200 沂南县276300沂水县276400 莒南县276600 临沭县276700 平邑县273300费县273400 苍山县277700日照市276800 莒县276500 五莲县262300枣庄市277100 薛城区277000 山亭区277200 峄城区277300台儿庄区277400 滕州市277500华东3浙江31-32城市名称邮政编码城市名称邮政编码城市名称邮政编码城市名称邮政编码嵊泗县202400 上虞市312300 海宁县314400 普陀县316100杭州市310000 嵊州市312400 桐乡县314500 兰溪县321100余杭县311100 新昌县312500 宁波市315000 云和县323600萧山县311200 湖州市313000 鄞县315100 永嘉县325100 临安县311300 长兴县313100 镇海区315200 岱山县316200 富阳县311400 贵南县313100 慈溪县315300 武义县321200 桐庐县311500 德清县313200 余姚市315400 龙泉市323700 建德县311600 安吉县313300 奉化县315500 瑞安县325200 淳安县311700 嘉兴市314000 宁海县315600 临海市317000 诸暨县311800 嘉善县314100 象山县315700 永康县321300 绍兴县312000 平湖县314200 滨海区315800 庆元县323800 绍兴市312000 海盐县314300 定海县316000 文成县325300 三门县317100 缙云县321400 青田县323900 平阳县325400 天台县317200 义乌县322000 衢州市324000 泰顺县325500 仙居县317300 东阳县322100 衢江区324000 乐清县325600 黄岩区318020 浦江县322200 江山市324100 洞头县325700温岭市317500 磐安县322300 常山县324200 苍南县325800玉环县317600 丽水市323000 开化县324300 温州市325000台州市318000 遂昌县323300 龙游县324400 景宁县323500金华市321000 松阳县323400 瓯海县325000 金华县321000江西33-34城市名称邮政编码城市名称邮政编码城市名称邮政编码城市名称邮政编码南昌市330000 峡江县331400 彭泽县332700 铅山县334500新建县330100 永丰县331500 星子县332800 广丰县334600南昌县330200 吉水县331600 庐山332900 玉山县334700永修县330300 进贤县331700 景德镇市333000 鹰潭市335000德安县330400 东乡县331800 波阳县333100 余干县335100安义县330500 九江市332000 婺源县333200 余江县335200靖安县330600 九江县332100 乐平县333300 资溪县335300奉新县330700 瑞昌县332200 上饶市334000 贵溪县335400 高安县330800 武宁县332300 上饶县334100 万年县335500 丰城县331100 修水县332400 德兴县334200 宜春市336000 樟树市331200 湖口县332500 横峰县334300 宜春县336000 新干县331300 都昌县332600 弋阳县334400 万载县336100 铜鼓县336200 大余县341500 宁都县342800 崇仁县344200 宜丰县336300 信丰县341600 吉安市343000 乐安县344300 上高县336400 龙南县341700 吉安县343100 宜黄县344400 新余市336500 全南县341800 安福县343200 南丰县344500 分宜县336600 定南县341900 永新县343400 黎川县344600 萍乡市337000 安远县342100 宁冈县343500 南城县344700 莲花县337100 寻乌县342200 井冈山市343600 金溪县344800 赣州市341000 于都县342300 泰和县343700 广昌县344900 赣县341100 兴国县342400 万安县343800 临川县344100上犹县341200 瑞金县342500 遂川县343900 石城县342700 崇义县341300 会昌县342600 抚州市344000 南康县341400 福建35-36福州350000 古田352200 崇安354300 永春362600闽侯350100 屏南352300 泰宁354400 漳州363000长乐350200 南平353000 建宁354500 龙海363100福清350300 建瓯353100 福安355000 漳浦363200平潭350400 顺昌353200 霞浦355100 云霄363300连江350500 将乐353300 福鼎355200 明溪365200罗源350600 浦城353400 柘荣355300 永定364100永泰350700 松溪353500 周宁355400 上杭364200闽清350800 政和353600 寿宁355500 武平364300莆田351100 邵武354000 厦门361000 漳平364400仙游351200 光泽354100 同安361100 三明365000宁德352100 建阳354200 泉州362000 连城366200惠安362100 南靖363600 清流365300 长汀366300晋江362200 平和363700 宁化365400 东山363400南安362300 华安363800 沙县365500 尤溪365100安溪362400 长泰363900 永安366000 诏安363500德化362500 龙岩364000 大田366100华中 4湖南41-42城市名称邮政编码城市名称邮政编码城市名称邮政编码城市名称邮政编码长沙市410000 株洲市412000 岳阳市414000 桃源县415700长沙县410100 株洲县412100 岳阳县414100 慈利县415800望城县410200 醴陵县412200 华容县414200 汉寿县415900浏阳县410300 攸县412300 临湘县414300 吉首市416000平江县410400 茶陵县412400 汨罗县414400 泸溪县416100 湘阴县410500 酃县412500 常德市415000 凤凰县416200宁乡县410600 益阳县413000 常德县415100 古丈县416300 湘潭市411100 益阳市413000 临澧县415200 花垣县416400 湘潭县411200 沅江县413100 石门县415300 保靖县416500 韶山411300 南县413200 津市市415400 大庸市416600湘乡市411400 桃江县413400 澧县415500 永顺县416700双峰县411500 安化县413500 安乡县415600 龙山县416800 桑植县416900 新晃县419200 洪江市418200 衡东县421400 娄底市417000 溆浦县419300 会同县418300 常宁县421500 涟源县417100 麻阳县419400 靖县418400 祁东县421600冷水江市417500 辰溪县419500 通道县418500 祁阳县421700 新化县417600 沅陵县419600 芷江县419100 耒阳县421800怀化市418000 衡阳市421000 衡阳县421200 南岳421900黔阳县418100 衡南县421100 衡山县421300 邵阳市422000新邵县422900 冷水滩425100 资兴县423400 宁远县425600郴州市423000 双牌县425200 桂东县423500 新田县425700郴县423000 邵阳县422100 安仁县423600 城步县422500永兴县423300 隆回县422200 汝城县424100 绥宁县422600零陵地区425000 洞口县422300 江永县425400 新宁县422700永州市425000 武冈县422400 江华县425500 邵东县422800宜章县424200 蓝山县425800 桂阳县424400 嘉禾县424500临武县424300 东安县425900湖北43-44城市名称邮政编码城市名称邮政编码城市名称邮政编码城市名称邮政编码武汉市430000 应城市432400 公安县434300 罗田县436600汉阳县430100 云梦县432500 石首市434400 随州市441300 武昌县430200 安陆县432600 荆门市448000 郧县442500新洲县431400 应山县432700 黄石市435000 巴东县444300 红安县431500 大悟县432800 大冶市435100 英山县436700 麻城市431600 仙桃市433000 阳新县435200 宜城县441400 天门县431700 潜江县433100 鄂州市436000 郧西县442600 京山县431800 洪湖县433200 黄冈县436100 恩施市445000 钟祥县431900 监利县433300 浠水县436200 咸宁市437000 孝感市432100 沙市市434000 蕲春县436300 南漳县441500 黄陂县432200 江陵县434100 广济县436400 宜昌市443000 汉川县432300 松滋县434200 黄梅县436500 建始县445300 咸宁地区437100 保康县441600 宜昌县443100 利川市445400 嘉鱼县437200 谷城县441700 枝江县443200 宣恩县445500 蒲圻市437300 老河口市441800 宜都县443300 咸丰县445600通城县437400 丹江口市441900 五峰县443400 来凤县445700崇阳县437500 十堰市442000 长阳县443500 鹤峰县445800通山县437600 房县442100 秭归县443600 枣阳县441200襄樊市441000 竹山县442200 兴山县443700 神农架林区442400襄阳县441100 竹溪县442300 当阳县444100 远安县444200河南45-47城市名称邮政编码城市名称邮政编码城市名称邮政编码城市名称邮政编码郑州市450000 汲县453100 济源县454600 淇县456700荥阳县450100 延津县453200 孟县454700 濮阳市457000新郑县451100 封丘县453300 温县454800 清丰县457300巩县451200 长垣县453400 武陟县454900 南乐县457400中牟县451400 原阳县453500 安阳市455000 范县457500尉氏县452100 辉县453600 安阳县455100 台前县457600通许县452200 新乡县453700 汤阴县456100 许昌市461000密县452300 获嘉县453800 浚县456200 许昌县461100登封县452400 焦作市454100 内黄县456300 鄢陵县461200禹县452500 修武县454300 滑县456400 扶沟县461300襄城县452600 博爱县454400 林县456500 长葛县461500新乡市453000 沁阳县454500 鹤壁市456600 漯河市462000西平县462100 泌阳县463700 周口地区466000 郾城县462300 上蔡县463800 商水县466100 舞阳县462400 信阳市464000项城县466200 舞钢区462500 信阳县464100 沈丘县466300临颍县462600 罗山县464200 西华县466600 驻马店地区463000 息县464300 淮阳县466700 遂平县463100 淮滨县464400平顶山市467000 确山县463200 潢川县465100 郏县467100汝南县463300 固始县465200 叶县467200 平舆县463400商城县465300 鲁山县467300 新蔡县463500 光山县465400 宝丰县467400 正阳县463600 新县465500 临汝县467500洛阳市471000 卢氏县472200 内乡县474300 柘城县476200 孟津县471100 义马市472300 淅川县474400 虞城县476300 汝阳县471200 渑池县472400 西峡县474500 夏邑县476400 伊川县471300 灵宝县472500 南召县474600 永城县476600 嵩县471400 南阳市473000 桐柏县474700 宁陵县476700栾川县471500 南阳县473100 开封市475000 民权县476800 宜阳县471600 方城县473200 开封县475100 雎县476900洛宁县471700 社旗县473300 杞县475200 郸城县477100新安县471800 唐河县473400 兰考县475300 鹿邑县477200 偃师县471900 新野县473500 太康县475400 三门峡市472000 邓县474100 商丘市476000 陕县472100 镇平县474200商丘县476100华南与贵州5广东51-52广州市510000 花都510800 从化市510900 增城市511300 番禺511400 韶关市512000 曲江512100 乐昌512200仁化512300 南雄512400 始兴512500 翁源512600乳源512700 新丰511100 清远市511500 佛冈511600英德513000 阳山513100 连州513400 梅州市514000连山513200 梅县514000 蕉岭514100 大埔县514200连南513300 丰顺514300 五华514400 兴宁514500平远514600 汕头市515000 潮阳515100 惠来515200普宁515300 揭西515400 揭阳515500 潮州市515600饶平515700 澄海515800 南澳515900 惠州市516000博罗516100 惠阳516200 惠东516300 龙门511200汕尾市516600 陆河516700 海丰516400 陆丰516500河源市517000 连平517100 和平517200 龙川517300紫金517400 东莞市511700 中山市528400 深圳市518000 523000(新)宝安518100 珠海市519000 斗门519100 佛山市528000 三水528100 南海528200 顺德528300 高明528600江门市529000 新会529100 台山529200 开平529300恩平529400 鹤山529700 阳江市529500 阳春529600湛江市524000 徐闻524100 海康524200 遂溪524300廉江524400 吴川524500 茂名市525000 化州525100高州525200 信宜525300 电白525400 肇庆市526000高要526100 四会526200 广宁526300 怀集526400封开526500 德庆526600 郁南527100 罗定527200云浮市527300 新兴527400广西53-54南宁市530000 武鸣530100 邕宁530200 横县530300宾阳530400 上林530500 马山530600 都安530700大化530800 平果531400 田东531500 扶绥532100崇左532200 大新532300 龙州532400 宁明532500凭祥市532600 隆安532700 天等532800 百色市533000 凌云533100 乐业533200 田林533300 隆林533400西林533500 田阳533600 德保533700 靖西533800那坡533900 钦州市535000 浦北535300 灵山535400上思535500 防城535600 防城港区535700 北海市536000 合浦536100 玉林市537000 贵港市537100 桂平537200 平南537300 北流537400 容县537500 博白537600陆川537700 桂林市541000 临桂541100 灵川541200兴安541300 资源541400 全州541500 灌阳541600龙胜541700 永福541800 阳朔541900 平乐542400恭城542500 钟山542600 富川542700 贺县542700梧州市543000 苍梧543100 岑溪543200 藤县543300柳州市545000 柳江545100 柳城545200 融水545300融安545400 三江545500 鹿寨545600 金秀545700象州545800 武宣545900 来宾546100 忻城546200宜山546300 罗城546400 合山市546500 荔浦546600蒙山546700 昭平546800 河池市547000 环江547100南丹547200 天峨547300 东兰547400 巴马547500凤山547600贵州55-56贵阳市550001 白云区550014 六盘水市553000 遵义市563000盘县特区561600 习水县564600 六枝特区553400 绥阳县563300 道真县563500 余庆县564400 务川县564300 江口县554400万山特区554200 思南县565100 玉屏县554000 大方县551600 印江县555200 毕节县551700 松桃县554100 息烽县551100沿河县565300 开阳县550300 威宁县553100 睛隆县561400关岭县561300 兴仁县562300 镇宁县561200 望谟县552300紫云县550800 黎平县557300 施秉县556200 丹寨县557500天柱县556600 镇远县557700 三穗县556500 黄平县556100三都县558100 都匀市558000 龙里县551200 贵定县551300长顺县550700 惠水县550600 乌当区550018 花溪区550025桐梓县563200 赤水市564700 正安县563400 凤冈县564200湄潭县564100 仁怀县564500 遵义县563100 铜仁市554300德江县565200 石阡县555100 黔西县551500 金沙县551800赫章县553200 织金县552100 纳雍县553300 安顺市561000平坝县561100 修文县550200 清镇县551400 兴义市562400普安县561500 普定县562100 安龙县552400 贞丰县562200册亨县552200 凯里市556000 剑河县556400 岑巩县557800麻江县557600 从江县557400 雷山县557100 锦屏县556700台江县556300 榕江县557200 福泉县550500 瓮安县550400平塘县558300 罗甸县550100 独山县558200 荔波县558400海南57海口市570003 三亚市572000 琼山市571100 定安县571200文昌市571300 琼海市571400 万宁市571500 屯昌县571600儋州市571700 临高县571800 澄迈县571900 五指山市572200 保亭县572300 陵水县572400 乐东县572500 东方市572600昌江县572700 白沙县572800 琼中县572900 西沙群岛573100 南沙群岛573101 中沙群岛573100 洋浦578101 洋浦干冲578201西南6四川61-64城市名称邮政编码城市名称邮政编码城市名称邮政编码城市名称邮政编码成都市610000 金阳县616250 石棉县625400 白沙工农区636450龙泉驿区610100 布拖县616350 天全县625500 南充市637000双流县610200 美姑县616450 芦山县625600 南充县637100青白江区610300 雷波县616550 宝兴县625700 西充县637200金堂县610400 越西县616650 康定县626000 南部县637300新都区610500 喜德县616750 泸定县626100 阆中市637400温江区611130 甘洛县616850 九龙县626200 仪陇县637600崇庆县611230 攀枝花市617000 丹巴县626300 营山县638150大邑县611330 盐边县617100 道孚县626400 蓬安县638250新津县611430 米易县617200 炉霍县626500 岳池县638350邛崃县611530 华坪县617300 色达县626600 武胜县638450蒲江县611630 德阳市618000 甘孜县626700 广安县638550 陴县611730 中江县618100 新龙县626800 华蓥市638650都江堰市611830 绵竹县618200 白玉县627150 内江市641000 彭县611930 广汉县618300 德格县627250 内江县641100眉山县612160 什邡县618400 石渠县627350 资中县641200 丹棱县612260 绵阳市621000 雅江县627450 资阳县641300 洪雅县612360 三台县621100 理塘县627550 简阳县641400 青神县612460 盐亭县621600 巴塘县627650 乐至县641500 仁寿县612560 江油县621700 稻城县627750 隆昌县642150 井研县612660 梓潼县622150 乡城县627850 安岳县642350 彭山县612760 平武县622550 得荣县627950 威远县642450 乐山市614000 安县622650 广元市628000 自贡市643000夹江县614100 北川县622750 青川县628100 荣县643100峨眉山市614200 汶川县623000 旺苍县628200 富顺县643200 峨边614300 理县623100 剑阁县628300 宜宾市644000犍为县614400 茂县623200 苍溪县628400 南溪县644100沐川县614500 松潘县623300 遂宁市629000 江安县644200 马边614600 南坪县623400 蓬溪县629100 长宁县644300金口河区614700 黑水县623500 射洪县629200 兴文县644400 五通桥区614800 马尔康县624000 达县市635000 珙县644500 沙湾区614900 金川县624100 大竹县635100 宜宾县644600 西昌市615000 小金县624200 渠县635200 高县645150会里县615100 壤塘县624300 邻水县635300 筠连县645250 会东县615200 红原县624400 平昌县635400 屏山县645350 普格县615300 若尔盖县624500 巴中县635500 泸州市646000 宁南县615400 阿坝县624600 南江县635600 泸县646100德昌县615500 久治县624700 通江县635700 合江县646200冕宁县615600 雅安市625000 宣汉县636150 纳溪县646300盐源县615700 名山县625100 开江县636250 叙永县646400木里615800 荥经县625200 万源县636350 古蔺县646500昭觉县616150 汉源县625300云南65-67城市名称邮政编码城市名称邮政编码城市名称邮政编码城市名称邮政编码昆明市650000 西山区650100 官渡区650200 麻栗坡县663600安宁县650300 富民县650400 呈贡县650500 马关县663700晋宁县650600 易门县651100 禄丰县651200 思茅县665000元谋县651300 永仁县651400 禄劝县651500 普洱县665100武定县651600 嵩明县651700 宜良县652100 澜沧县665600路南县652200 弥勒县652300 泸西县652400 西盟县665700澄江县652500 江川县652600 通海县652700 孟连县665800华宁县652800 玉溪市653100 峨山县653200 江城县665900 元江县653300 新平县653400 东川市654100 景洪县666100 会泽县654200 建水县654300 红河县654400 勐海县666200 巧家县654600 墨江县654800 曲靖市655000 勐腊县666300 马龙县655100 寻甸县655200 宣威县655400 景谷县666400 富源县655500 陆良县655600 师宗县655700 镇源县666500 罗平县655800 照通市657000 鲁甸县657100 洱源县671200 永善县657300 大关县657400 盐津县657500 大理市671000 彝良县657600 绥江县657700 水富县657800 剑川县671300 开远市661000 蒙自县661100 屏边县661200 兰坪县671400 河口市661300 个旧市661400 金平县661500 鹤庆县671500 石屏县662200 元阳县662400 绿春县662500 宾川县671600 文山县663000 砚山县663100 丘北县663200 祥云县672100广南县663300 富宁县663400 西畴县663500 巍山县672400 漾濞县672500 永平县672600 云龙县672700 大姚县675400 六库673100 泸水县673200 碧江县673300 牟定县675500 福贡县673400 贡山县673500 丽江县674100 弥渡县675600 永胜县674200 宁蒗县674300 中甸县674400 南涧县675700 德钦县674500 维西县674600 楚雄市675000 云县675800 双柏县675100 南华县675200 姚安县675300 风庆县675900 景东县676200 临沧县677000 双江县677300 施甸县678200 沧源县677400 耿马县677500 永德县677600 龙陵县678300 镇康县677700 保山市678000 昌宁县678100 潞西县678400 畹町市678500 瑞丽县678600 陇川县678700 盈江县679300 腾冲县679100 梁河县679200西北7陕西71-72城市名称邮政编码城市名称邮政编码城市名称邮政编码城市名称邮政编码西安市710000 富平县711700 渭南市714000 甘泉县716100长安区710100 咸阳市712000 华县714100 宜川县716600高陵县710200 杨陵区712100 华阴县714200 延长县717100户县710300 武功县712200 潼关县714300 延川县717200周至县710400 兴平县713100 大荔县715100 子长县717300蓝田县710500 礼泉县713200 澄城县715200 安塞县717400临潼区710600 乾县713300 合阳县715300 志丹县717500淳化县711200 永寿县713400 韩城市715400 吴旗县717600旬邑县711300 彬县713500 蒲城县715500 绥德县718000柞水县711400 长武县713600 白水县715600 米脂县718100镇安县711500 泾阳县713700 黄龙县715700 吴堡县718200宁陕县711600 三原县713800 延安市716000 清涧县718300。
各省邮政编码北京:100000 天津:200000 上海:300000重庆重庆400000 北碚400700 长寿401220 合川401520 壁山402760 荣昌402460江北401120 万县404000 南桐400800 潼南402660 大足402360 开县405400永川402000 綦江401420 武隆408500 铜梁402560 梁平405200 忠县404300巫溪405800 城口405900 南川408400 丰都408200 石柱409100 黔江409700涪陵408000 巴县401320 江津402260 云阳404500 奉节404600 巫山404700安徽合肥230000 定远233200 萧县235200 六安237100 祁门245600 南陵242400长丰231100 五河233300 砀山235300 霍山237200 安庆246000 绩溪245300肥西231200 怀远233400 阜阳236000 金寨237300 怀宁246100 贵池247100舒城231300 蒙城233500 阜阳236100 霍丘237400 嘉山239400 黄山242700桐城231400 涡阳233600 颍上236200 巢湖238000 全椒239500 青阳242800庐江231500 固镇233700 阜南236300 含山238100 芜湖241000 马鞍山243000肥东231600 宿州234000 临泉236400 和县238200 芜湖241100 当涂243100淮南232000 宿县234100 界首236500 无为238300 繁昌241200 铜陵244000凤台232100 灵壁234200 太和236600 滁州239000 宣城242000 铜陵244100寿县232200 泗县234300 利辛236700 滁县239100 郎溪242100 屯溪245000蚌埠233000 淮北235000 亳州236800 来安239200 广德242200 石台245100凤阳233100 濉溪235100 六安237000 天长239300 宁国242300 歙县245200望江246200 泾县242500 潜山246300 休宁245400 太湖246400 东至247200宿松246500 旌德242600 岳西246600 黟县245500 枞阳246700福建福州350000 古田352200 崇安354300 永春362600 南安362300 华安363800闽侯350100 屏南352300 泰宁354400 漳州363000 安溪362400 长泰363900长乐350200 南平353000 建宁354500 龙海363100 德化362500 龙岩364000福清350300 建瓯353100 福安355000 漳浦363200 沙县365500 尤溪365100平潭350400 顺昌353200 霞浦355100 云霄363300 永安366000 诏安363500连江350500 将乐353300 福鼎355200 明溪365200 惠安362100 南靖363600罗源350600 浦城353400 柘荣355300 永定364100 晋江362200 平和363700永泰350700 松溪353500 周宁355400 上杭364200 清流365300 长汀366300闽清350800 政和353600 寿宁355500 武平364300 宁化365400 东山363400莆田351100 邵武354000 厦门361000 漳平364400 宁德352100 建阳354200仙游351200 光泽354100 同安361100 三明365000 泉州362000 连城366200大田366100甘肃兰州730000 永靖731600 民乐734500 金昌737100 会宁743200榆中730100 积石山731700 酒泉735000 永昌737200 通渭743300皋兰730200 临夏731800 嘉峪关735100 阿右旗737300 静宁743400 永登730300 武威733000 玉门735200 天水741000 平凉744000景泰730400 古浪733100 金塔735300 甘谷741200 华亭744100临洮730500 天祝733200 额济纳旗735400 武山741300 岷县748400 靖远730600 民勤733300 柳园736000 清水741400 正宁745300白银730900 张掖734000 安西736100 张家川741500 合水745400和政731200 山丹734100 敦煌736200 秦安741600 华池745600广河731300 临泽734200 肃北736300 庄浪741700 环县745700东乡731400 高台734300 阿克塞736400 西和742100 武都746000康乐731500 肃南734400 河西堡737000 礼县742200 迭部747400微县742300 镇原744500 甘南州747000 宕昌748500 临潭747500两当742400 西峰745000 夏河747100 崇信744200 卓尼747600成县742500 庆阳745100 碌曲747200 泾川744300 文峰镇748000定西743000 宁县745200 玛曲747300 灵台744400 陇西748100漳县748300 渭源748200 康县746500 舟曲746300 文县746400广东广州510000 乐昌512200 蕉岭514100 潮州515600 和平517200 万宁521500花县510800 仁化512300 大埔514200 饶平515700 龙川517300 屯昌521600从化510900 南雄512400 丰顺514300 澄海515800 紫金517400 儋县521700新丰511100 始兴512500 五华514400 南澳515900 白沙522800 信宜525300龙门511200 翁源512600 兴宁514500 惠州516000 琼中522900 电白525400增城511300 乳源512700 平远514600 博罗516100 湛江524000 肇庆526000番禺511400 英德513000 汕头515000 惠阳516200 揭西515400 河源517000清远511500 阳山513100 潮阳515100 惠东516300 揭阳515500 连平517100佛冈511600 连山513200 惠来515200 海丰516400 韶关512000 连县513400东莞511700 连南513300 普宁515300 陆丰516500 曲江512100 梅县514000湖南长沙市410000 株洲412000 岳阳414000 桃源415700 湘乡411400 桃江413400长沙县410100 株洲412100 岳阳414100 慈利415800 双峰411500 安化413500望城410200 醴陵412200 华容414200 汉寿415900 桑植416900 新晃419200浏阳410300 攸县412300 临湘414300 吉首416000 娄底417000 溆浦419300平江410400 茶陵412400 汨罗414400 泸溪416100 澧县415500 永顺416700湘阴410500 酃县412500 常德415000 凤凰416200 安乡415600 龙山416800宁乡410600 益阳413000 常德415100 古丈416300 祁阳421700 新邵422900湘谭411100 益阳413000 临澧415200 花垣416400 耒阳421800 郴州423000湘谭411200 沅江413100 石门415300 保靖416500 津县415400 大庸416600韶山411300 南县413200江苏南京210000 丹徒212100 靖江214500 新沂221400 泗阳223700 江都225200江宁211100 扬中212200 苏州215000 沛县221600 宿迁223800 泰州225300溧水211200 丹阳212300 吴县215100 丰县221700 盐城224000 泰兴225400高淳211300 句容212400 吴江215200 连云港222000 大丰224100 泰县225500仪征211400 常州213000 昆山215300 赣榆222100 东台224200 高邮225600胥浦211400 武进213100 太仓215400 灌云222200 射阳224300 兴化225700六合211500 金坛213200 常熟215500 东海222300 如东226400 南通226000金湖211600 溧阳213300 沙州215600 淮阴223000 如皋226500 海门226100盱眙211700 无锡214000 徐州221000 洪泽223100 海安226600 启东226200江浦211800 锡山214100 铜山221100 淮安223200 阜宁224400 响水224600泗洪211900 宜兴214200 瞧宁221200 淮阴223300 滨海224500 建湖224700镇江212000 江阴214400 邳县221300 涟水223400 沭阳223600 邗江225100灌南223500 扬州225000 通州226300 宝应225800江西南昌330000 峡江331400 彭泽332700 铅山334500 上高336400 龙南341700新建330100 永丰331500 星子332800 广丰334600 新余336500 全南341800南昌330200 吉水331600 庐山332900 玉山334700 分宜336600 定南341900永修330300 进贤331700 景德镇333000 鹰潭335000 萍乡337000 安远342100德安330400 东乡331800 波阳333100 余干335100 莲花337100 寻乌342200安义330500 九江332000 婺源333200 余江335200 赣州341000 于都342300靖安330600 九江332100 乐平333300 资溪335300 赣县341100 兴国342400奉新330700 瑞昌332200 上饶334000 贵溪335400 上犹341200 瑞金342500高安330800 武宁332300 上饶334100 万年335500 崇义341300 会昌342600丰城331100 修水332400 德兴334200 宜春336000 井冈山343600 金溪344800清江331200 湖口332500 横峰334300 宜春336000 泰和343700 广昌344900新干331300 都昌332600 弋阳334400 万载336100 万安343800 南康341400铜鼓336200 大余341500 宁都342800 崇仁344200 遂川343900 石城342700宜丰336300 信丰341600 吉安343000 乐安344300 抚州344000 临川344100永新343400 黎川344600 吉安343100 宜黄344400 安福343200 南丰344500宁冈343500 南城344700吉林长春130000 吉林132000 安图133600 四平136000 扶余131200 汪清133200农安130200 永吉132200 敦化133700 公主岭136100 大安131300 珲春133300德惠130300 磐石132300 通化134000 辽源136200 乾安131400 龙井133400榆树130400 桦甸132400 通化134100 东丰136300 长岭131500 和龙133500九台130500 蛟河132500 集安134200 双辽136400 突泉137500 扎赉特旗137600双阳130600 舒兰132600 浑江134300 梨树136500 梅河口135000 洮安137100伊通130700 延吉133000 长白134400 东辽136600 辉南135100 通榆137200前郭131100 图们133100 抚松134500 白城137000 靖宇135200 镇赉137300柳河135300 乌兰浩特137400辽宁沈阳110000 铁岭112600 盖县115200 宽甸118200 西丰112400 营口115000辽中110200 铁法112700 大连116000 东沟118300 昌图112500 营口115100新民110300 抚顺113000 金县116100 岫岩118400 北票122100 阜新123000辽阳111000 抚顺113100 新金116200 锦州121000 建昌122200 阜新123100辽阳111200 新宾113200 瓦房店116300 义县121100 喀左122300 彰武123200灯塔111300 清原113300 庄河116400 锦县121200 丹东118000 绥中121700铁岭112000 鞍山114000 长海116500 北镇121300 凤城118100 朝阳122000法库112100 安山114000 本溪117000 黑山121400 建平122400 盘锦124000康平112200 台安114100 本溪117100 锦西121500 凌源122500 盘山124100开原112300 海城114200 桓仁117200 兴城121600 朝阳122600 大洼124200内蒙古呼和浩特010000 察右后旗012400 固阳014200 东胜017000 鄂伦春旗022400 阿巴嗄旗026100土左旗010100 苏右旗012500 达拉特旗014400 准格尔旗017100 赤峰024000 西乌旗026200托克托010200 二连012600 乌前旗014400 伊旗017200 宁城024200 东乌旗026300和林格尔011500 苏左旗013100 临河015000 乌审旗017300 敖汉旗024300 太仆寺旗027000清水河011600 镶黄旗013200 五原015100 杭锦旗017400 喀喇沁旗024400 正镶白旗027100武川011700 化德013300 磴口015200 海拉尔021000 翁牛特旗024500 正兰旗027200四子王旗011800 商都013400 乌中旗015300 鄂温克旗021100 扎鲁特旗029100 巴林左旗025400达茂旗011900 察右中旗013500 杭锦后旗015400 新左旗021200 霍林郭勒029200 通辽028000集宁012000 兴和013600 乌后旗015500 新右旗021300 科左中旗029300 科左后旗028100丰镇012100 凉城013700 乌海016000 满洲里021400 科尔右中旗029400 库伦旗028200察右前旗012200 包头014000 鄂托克旗016100 陈旗021500 巴林右旗025100 多伦027300卓资012300 土右旗014100 鄂托克前旗016200 牙克石022100 额左旗022300 锡林浩特026000额右旗022200 阿鲁旗025500 奈曼旗028300 林西025200 开鲁028400 克旗025300宁夏银川市750000 石咀山区753200 盐池县751500 泾原县756400 同心县751300永宁县750100 石炭井区753300 青铜峡市751600 彭阳县756500 灵武县751400贺兰县750200 平罗县753400 中卫县751700 石咀山市753000 西吉县756200阿左旗750300 陶乐县753500 中宁县751200 海原县756100 隆德县756300吴忠市751100 固原县756000青海西宁810000 同仁811300 花石峡813400 格尔木816000 民和810800 刚察812300大通810100 泽库811400 玛多813500 都兰816100 化隆810900 共和813000矿区810200 河南811500 玛沁814000 海西州817000 循化811100 同德813200海北州810300 湟中811600 甘德814100 乌兰817100 囊谦815200 尖扎811200祁连810400 贵德811700 达日814200 天峻817200 杂多815300 兴海813300互助810500 龙羊峡811800 班玛814300 天柴旦镇817300 治多815400 曲麻莱815500平安810600 湟源812100 玉树815000 冷湖817400 称多815100 茫崖817500乐都810700 海晏812200四川成都610000 郫县611700 冕宁615600 峨眉614200 喜德616700 普格615300龙泉区610100 灌县611800 盐源615700 峨边614300 甘洛616800 宁南615400双流610200 彭县611900 木里615800 犍为614400 渡口617000 德昌615500青白江区610300 眉山612100 昭觉616100 沐川614500 小金624200 芦山625600金堂610400 丹棱612200 金阳616200 马边614600 壤塘624300 宝兴625700新都610500 洪雅612300 布拖616300 金口河区614700 红原624400 康定626000温江611100 青神612400 美姑616400 西昌615000 若尔盖624500 泸定626100崇庆611200 仁寿612500 雷波616500 会理615100 中江618100 达州635000大邑611300 井研612600 越西616600 会东615200 绵竹618200 宣汉636150新津611400 彭山612700 绵阳621000 德阳618000 什邡618400 开江636250邛崃611500 乐山614000 安县622650 营山638150 广汉618300 渠县635200蒲江611600 夹江614100 攀枝花617000 蓬安638250 西充637200 万源636350盐边617100 梓潼622100 富顺643200 阆中637400 南部637300 大竹635100米易617200 平武622500 荣县643100 江油621700 仪龙637600 南江635600华坪617300 安县622600 自贡643000 盐亭621600 平武622550 巴中635500遂宁629000 北川622700 泸州646000 内江641000 梓潼622150 通江635700蓬溪629100 华蓥638650 宜宾县644600 雅安625000三台621100 平昌635400射洪629200 岳池638350 宜宾644000 康定626000 南充637000广安638550 武胜638450 邻水635300 马尔康624000山东济南250000 阳信251800 夏津253200 沂源256100 惠民251700 平原253100历城250100 无棣251900 武城253300 邹平256200 利津257400 临朐262600章丘250200 聊城252000 宁津253400 高青256300 垦利257500 寿光262700长清250300 茌平252100 陵253500 桓台256400 潍坊261000 平度262800平阴250400 荏平252100 乐陵253600 博兴256500 坊子区261200 烟台264000齐河251100 东阿252200 庆云253700 滨州256600 临淄区255400 广饶257300高唐251200 阳谷252300 故城253800 滨县256700 招远265400 泰安271000禹城251200 莘县252400 淄博255000 沾化256800 福山区265500 莱芜271100济阳251400 冠县252500 淄川区255100 东营257000 蓬莱265600 新泰271200监邑251500 临清252600 博山区255200 牛庄区257100 龙口265700 宁阳271400商河251600 德州253000 周村区255300 河口区257200山西太原030000 霍县031400 离石033000 兴县035300 祁县030900 交口032400阳曲030100 汾西031500 方山033100 定襄035400 平遥031100 石楼032500古交区030200 洪洞031600 临县033200 五台035500 介休031200 左权032600娄烦030300 寿阳031700 柳林033300 宁武036000 灵石031300 和顺032700清徐030400 榆社031800 中阳033400 神池036100 繁峙034300 河曲036500交城030500 文水032100 忻州034000 五寨036200 灵丘034400 保德036600榆次030600 汾阳032200 原平034100 岢岚036300 静乐035100 大同037000太谷030800 孝义032300 代县034200 偏关036400 岚县035200 左云037100陕西西安710000 富平711700 渭南714000 甘泉716100 柞水711400 长武713600长安710100 咸阳712000 华县714100 宜川716600 镇安711500 泾阳713700高陵710200 杨陵区712100 华阴714200 延长717100 宁陕711600 三原713800户县710300 武功712200 潼关714300 延川717200 子洲718400 凤翔721400周至710400 兴平713100 大荔715100 子长717300 白水715600 米脂718100蓝田710500 礼泉713200 澄城715200 安塞717400 黄龙715700 吴堡718200临潼710600 乾县713300 合阳715300 志丹717500 延安716000 清涧718300淳化711200 永寿713400 韩城715400 吴旗717600 西乡723500 镇坪725600旬邑711300 彬县713500 蒲城715500 绥德718000 新疆乌鲁木齐市830000 吉木萨尔县831700 伊吾县839300 昌吉市831100 昭苏县835600乌鲁木齐县830002 哈密市839000 奇台县831800 巩留县835400 特克斯县835500巴里坤县839200 木垒县831900 鄯善县838200 新源县835800 布尔津县836600克拉玛依市834000 吐鲁番市838000 沙湾县832100 阿勒泰市836500 伊宁市835000托克逊县838100 石河子市832000 和硕县841200 尼勒克县835700 哈巴河县836700奎屯市833200 博湖县841400 乌苏县833000 阜康市831500 拜城县842300库尔勒市841000 和静县841300 焉耆县841100 玛纳斯县832200 新和县842100轮台县841600 呼图壁县831200 库车县842000 米泉县831400西藏拉萨850000 堆龙德庆851400 双湖853300 碧土854900 隆子856600 萨迦857800达孜850100 当雄851500 安多853400 察隅855100 错那856700 定结857900墨竹工卡850200 林周851600 聂荣853500 波密855200 琼结856800 拉孜858100工布江达850300 那曲852000 昌都854000 墨脱855300 措美856900 定日858200林芝850400 巴青852100 江达854100 洛隆855400 日喀则857000 聂拉木858300米林850500 索县852200 贡觉854200 边坝855500 南木林857100 樟木858400曲水850600 比如852300 察雅854300 类乌齐855600 谢通门858900 萨嘎858600贡嘎850700 嘉黎852400 左贡854400 丁青855700 狮泉河859000 江孜857400扎囊850800 班戈852500 芒康854500 生达855800 革吉859100 吉隆858700浪卡子851100 尼玛852600 八宿854600 泽当856000 改则859200 仁布857200洛扎851200 申扎853100 盐井854700 乃东856100 措勤859300 昂仁858500尼木851300 文部853200 妥坝854800 桑日856200 噶尔859400 隆格尔859800曲松856300 康马857500 仲巴858800 白朗857300 日土859700 扎达859600加查856400 亚东857600 朗县856500 岗巴857700 云南昆明650000 武定651600 元江653300 富源655500 易门651100 漾濞672500西山区650100 嵩明651700 新平653400 陆良655600 禄丰651200 永平672600官渡区650200 宜良652100 东川654100 师宗655700 元谋651300 云龙672700安宁650300 路南652200 会泽654200 罗平655800 永仁651400 六库673100富民650400 弥勒652300 建水654300 照通657000 禄劝651500 勐海666200呈贡650500 泸西652400 红河654400 鲁甸657100 开远661000 勐腊666300晋宁650600 澄江652500 巧家654600 永善657300 蒙自661100 景谷666400江川652600 玉溪653100 墨江654800 大关657400 屏边661200 镇源666500通海652700 峨山653200 曲靖655000 盐津657500 河口661300 宣威655400华宁652800 广南663300 马龙655100 彝良657600 水富657800 寻甸655200富宁663400 西畴663500 麻栗坡663600 绥江657700浙江嵊泗202400 上虞312300 海宁314400 普陀316100 文成325300 松阳323400杭州市310000 嵊县312400 桐乡314500 岱山316200 平阳325400 景宁323500余杭311100 新昌312500 宁波市315000 临海市317000 泰顺325500 开化324300萧山311200 湖州市313000 鄞县315100 三门317100 乐清325600 龙游324400临安311300 长兴313100 镇海区315200 天台317200 洞头325700 瓯海325000富阳311400 贵南313100 慈溪315300 仙居317300 苍南325800 温州市325000桐庐311500 德清313200 余姚市315400 黄岩317400 永康321300 庆元323800建德311600 安吉313300 奉化315500 温岭317500 缙云321400 青田323900淳安311700 嘉兴市314000 宁海315600 玉环317600 义乌322000 衢县324000诸暨311800 嘉善314100 象山315700 椒江市317700 东阳322100 衢州市324000绍兴312000 平湖314200 滨海区315800 金华市321000 浦江322200 江山324100绍兴市312000 海盐314300 定海316000 金华县321000 磐安322300 常山324200兰溪321100 云和323600 永嘉325100 丽水市323000 瑞安325200 遂昌323300武义321200 龙泉323700。
xx各地邮政编码及电话区号区码地区区号下属各市、县、区、镇A广州020越秀区、荔湾区、海珠区、天河区、白云区、黄埔区、番禺区、花都区、南沙区、罗岗区、增城市、从化市B深圳0755福田区、罗湖区、南山区、宝安区、龙岗区、盐田区Cxx0756xx、xxD汕头0754达濠区、龙湖区、金园区、升平区、河浦区、南澳县、潮阳市、澄海市E佛山0757禅城区、南海区、顺德区、三水区、高明区F韶关0751北江区、武江区、浈江区、曲江县、始兴县、仁化县、翁源县、乳源瑶族自治县、新丰县、乐昌县、南雄县G湛江0759赤坎区、霞山区、坡头区、麻章区、遂溪县、徐闻县、廉江市、雷州市、吴川市H肇庆0758端州区、鼎湖区、广宁县、怀集县、封开县、德庆县、高要市、四会市J江门0750蓬江区、江海区、台山市、新会市、开平市、鹤山市、恩平市K茂名0668茂南区、茂港区、电白县、高州市、化州市、信宜市L惠州0752惠城区、博罗县、惠东县、龙门县、惠阳市M梅州0753梅江区、梅县、大埔县、丰顺县、五华县、平远县、蕉岭县、兴宁市N汕尾0660城区、海丰县、陆河县、陆丰市P河源0762源城区、紫金县、龙川县、连平县、和平县、东源县Qxx0662xx、xx、xxR清远0763清城区、佛冈县、阳山县、连山壮族瑶族自治县、连南瑶族自治县、清新县、英德市、连州市S东莞0769莞城区、万江区、东城区、南城区、中堂镇、高埗镇、石碣镇、石龙镇、麻涌镇、望牛墩镇、茶山镇、石排镇、企石镇、洪梅镇、道窖镇、寮步镇、横沥镇、东坑镇、桥头镇、常平镇、沙田镇、厚街镇、大岭山镇、大朗镇、黄江镇、樟木头镇、谢岗镇、虎门镇、长安镇、塘夏镇、清溪镇、凤岗镇T中山0760石岐区、东区、南区、西区、火炬区、黄圃镇、东凤镇、小榄镇、民众镇、东升镇、古镇镇、沙溪镇、坦洲镇、港口镇、三角镇、横栏镇、南头镇、阜沙镇、南朗镇、三乡镇、板芙镇、大涌镇、神湾镇、五桂山镇Uxx0768xx、xx、xxV揭阳0663榕城区、揭东县、揭西县、惠来县、普宁县、东山区W云浮0766云城区、新兴县、郁南县、云安县、罗定。