基本高数导数 不定积分公式
- 格式:doc
- 大小:166.30 KB
- 文档页数:3
不定积分小结一、不定积分基本公式二、两个重要的递推公式(由分部积分法可得)易得:n为奇数时,可递推至n为偶数时,可递推至易得可递推至(这是有理函数分解后一种形式的积分的求法,大家可以回顾课本恢复记忆)三、普遍方法(一)换元积分法:第一类换元积分法(凑微分法)这类方法需要敏锐的观察力,即观察出某个函数的导数,这就要求我们熟悉常见函数的导数。
首先我们来看一下最常见的一类有理函数的例子配方可以得到解决。
与例1类似,我们有:接下来举几个我们可能不太熟悉的例子,不容易凑成微分。
至此可以用凑微分法了第二类换元积分法(1)利用三角函数进行代换:换元时必须要注意变量的范围,保证范围的等价性(通过例题体会)例如以下两个基本积分公式利用,这里x可以取到全体实数,那么函数的正负,所以这一点在涉及到开根号的三角函数表达式时尤为重要。
至此,有多种求法,比如说直接用递推公式,见第五页:令一种解法:利用倍角公式可以解出。
(2)倒代换,经常用在分母多项式次数较高的情况下(二)分部积分法查阅教材165页。
求得原函数,其中表示m次多项式。
例xxxe xd)1(2⎰+C xede xxedxxexdedxxedxxedxxedxxexedxxeexdxxxexxxxxxxxxxxxx++=+-+++=+++=+-+=+-+=+-+=+⎰⎰⎰⎰⎰⎰⎰⎰⎰11111111)1(1)1(1)1()1()1(2222(三)特殊函数积分法1、有理函数的不定积分参考教材171页有关有理函数分解定理的说明,比较繁琐,但要掌握。
关键在于将有理函数分解为要求的形式,并会解决分解后的各种函数的积分,其实我们可以将其归结为两种形式:第一页的递推公式:易得可递推至以下几例用于练习有理式的分解和计算:2、三角函数有理式的积分常用技巧:(1)凑微分若m和n都是偶数,利用将其化为同名函数。
若m或n为奇数,则拆开一个凑成微分,然后再化为同名函数,之后再利用(二、)中的递推公式。
大一高数不定积分知识点大一高数课程对于学生来说可能是一门有些困难的课程。
其中,不定积分是高数中的一个重要知识点。
不定积分的概念、性质、计算方法等,都是我们在学习数学的过程中必须要掌握的内容。
接下来,我将就大一高数不定积分的一些知识点进行阐述。
一、不定积分的概念和基本性质不定积分是确定函数的原函数的问题,也称为反导数。
对于函数f(x),它的原函数可以表示为F(x)+C,其中F(x)是f(x)的原函数,C是常数。
不定积分的符号记作∫f(x)dx。
在计算不定积分时,我们可以利用基本性质来简化计算过程。
基本性质包括线性性、换元法、分部积分法和简单函数的积分法则等。
其中,线性性指的是∫(af(x)+bg(x))dx = a∫f(x)dx + b∫g(x)dx,其中a、b为常数;换元法是利用替换变量的方法,将原式进行简化;分部积分法是处理乘积形式的函数积分时常用的方法;简单函数的积分法则是常见的一些函数的积分形式,如幂函数、指数函数、三角函数等。
掌握这些基本性质可以帮助我们更好地计算不定积分。
二、基本常用函数的不定积分在大一高数中,我们需要掌握一些基本的函数的不定积分形式。
这些函数包括常数函数、幂函数、指数函数、对数函数、三角函数等。
常数函数的不定积分很简单,就是常数乘以自变量,即∫kdx =kx + C,其中k为常数。
幂函数的不定积分也是比较简单的,例如∫x^n dx =(x^(n+1))/(n+1) + C,其中n为实数,n不等于-1。
指数函数的不定积分形式也是常见的,例如∫e^x dx = e^x + C。
对数函数的不定积分形式则是∫1/x dx = ln|x| + C,其中ln为自然对数。
三、含有三角函数的不定积分三角函数在不定积分中也是常见的。
对于一些基本的三角函数,我们需要记住它们的不定积分形式。
例如∫sinx dx = -cosx + C,∫cosx dx = sinx + C,∫sec^2x dx = tanx + C,等等。
微积分的公式大全1.极限的基本公式:(1)常数规则:lim(c) = c (c 为常数)(2)零规则:lim(0) = 0(3)单位规则:lim(x) = x (x 为自变量)(4)和差规则:lim(f(x) ± g(x)) = lim(f(x)) ± lim(g(x))(5)乘法规则:lim(f(x) * g(x)) = lim(f(x)) * lim(g(x))(6)除法规则:lim(f(x) / g(x)) = lim(f(x)) / lim(g(x)) (若lim(g(x)) ≠ 0)2.导数的基本公式:(1)常数函数的导数:(c)'=0(c为常数)(2)幂函数的导数:(x^n)' = nx^(n-1) (n 为实数)(3)指数函数的导数:(e^x)'=e^x(4)对数函数的导数:(ln(x))' = 1/x(5)三角函数的导数:(sin(x))' = cos(x)、(cos(x))' = -sin(x)、(tan(x))' = sec^2(x)(6)反三角函数的导数:(arcsin(x))' = 1/√(1-x^2)、(arccos(x))' = -1/√(1-x^2)、(arctan(x))' = 1/(1+x^2)3.基本积分公式:(1)幂函数的积分:∫(x^n)dx = (x^(n+1))/(n+1) + C (n ≠ -1)(2)指数函数的积分:∫(e^x)dx = e^x + C(3)对数函数的积分:∫(1/x)dx = ln,x, + C(4)三角函数的积分:∫sin(x)dx = -cos(x) + C、∫cos(x)dx = sin(x) + C、∫tan(x)dx = -ln,cos(x), + C(5)反三角函数的积分:∫(1/√(1-x^2))dx = arcsin(x) + C、∫(-1/√(1-x^2))dx = arccos(x) + C、∫(1/(1+x^2))dx = arctan(x)+ C4.微分中值定理:(1)罗尔定理:若函数f(x)在[a,b]上连续,在(a,b)内可导,并且f(a)=f(b),则存在一个c(a<c<b),使得f'(c)=0。
大一上高数知识点总结公式本文旨在对大一上学期学习的高等数学知识点进行总结,并列出相关公式。
以下是各个知识点的概述及相关公式:1. 函数与极限函数概念:函数是一种关系,它将一个集合的元素对应到另一个集合的元素。
函数的表示:y = f(x), 其中 f(x) 表示函数的表达式,x 表示自变量,y 表示因变量。
极限概念:函数在某点无限逼近某值的过程。
极限的表示:lim(x→a) f(x) = L, 表示当 x 无限逼近 a 时,f(x)无限逼近 L。
2. 导数与微分导数概念:函数在某点的变化率,表示函数曲线在该点附近的切线斜率。
导数的表示:f'(x) 或 dy/dx,表示函数 f(x) 关于自变量 x 的导数。
微分概念:函数在某点附近的值变化量与自变量变化量的乘积。
微分的表示:df = f'(x)dx,其中 df 表示微分,dx 表示自变量的变化量。
3. 积分学不定积分概念:函数的反导数,表示函数的原函数。
不定积分的表示:∫f(x)dx,其中∫ 表示积分,f(x) 表示被积函数,dx 表示自变量。
定积分概念:表示函数在某区间上的面积或弧长。
定积分的表示:∫[a,b]f(x)dx,其中 [a,b] 表示积分区间,f(x) 表示被积函数,dx 表示自变量。
4. 一元函数的应用极值与最值:函数在某个区间内取得的最大值或最小值。
求解极值的方法:通过函数的导数和二阶导数来判断函数的极值点。
应用题目:涉及到求最值和极值问题,如优化问题、最大最小值问题等。
5. 多元函数与偏导数多元函数概念:函数有多个自变量的情况下,称之为多元函数。
偏导数概念:多元函数在某个自变量上的变化率。
偏导数的表示:∂f/∂x,其中∂f/∂x 表示函数 f(x,y,...) 关于 x 的偏导数。
6. 重要公式总结(1)导数的基本公式:- 常数函数导数为零:d/dx(c) = 0- 幂函数导数:d/dx(x^n) = nx^(n-1)- 指数函数导数:d/dx(e^x) = e^x- 对数函数导数:d/dx(ln(x)) = 1/x- 三角函数导数:- d/dx(sin(x)) = cos(x)- d/dx(cos(x)) = -sin(x)- d/dx(tan(x)) = sec^2(x)(2)常用积分公式:- 幂函数积分:∫x^n dx = x^(n+1)/(n+1) + C- 指数函数积分:∫e^x dx = e^x + C- 对数函数积分:∫1/x dx = ln|x| + C- 三角函数积分:- ∫sin(x) dx = -cos(x) + C- ∫cos(x) dx = sin(x) + C- ∫tan(x) dx = -ln|cos(x)| + C通过对大一上高等数学知识点的总结,我们可以更好地掌握和应用这些知识。
精心整理公式篇目录一、函数与极限1.常用双曲函数2.常用等价无穷小3.两个重要极限二、导数与微分1.常用三角函数与反三角函数的导数公式2.n阶导数公式3.4.参数方程求导公式5.微分近似计算三、微分中值定理与导数的应用1.一阶中值定理2.高阶中值定理3.部分函数使用麦克劳林公式展开4.曲率四、定积分1.部分三角函数的不定积分2.几个简单分式的不定积分五、不定积分1.利用定积分计算极限2.积分上限函数的导数3.牛顿-4.三角相关定积分5.6.1.2.3.七、微分方程1.可降阶方程2.变系数线性微分方程3.常系数齐次线性方程的通解4.二阶常系数非齐次线性方程(特定形式)的特解形式5.特殊形式方程(选)一、函数与极限1.常用双曲函数(sh(x).ch(x).th(x))2.常用等价无穷小(x→0时)3.两个重要极限二、导数与微分1.常用三角函数与反三角函数的导数公式(凡是“余”求导都带负号)2.n 阶导数公式特别地,若n =λ3.高阶导数的莱布尼茨公式与牛顿二项式定理的比较函数的0阶导数可视为函数本身4.参数方程求导公式5.微分近似计算(x ∆很小时)(注意与拉格朗日中值定理比较)常用:(三、微分中值定理与导数的应用1.一阶中值定理()(x f 在],[b a 连续,),(b a 可导)罗尔定理(端点值相等()(f a f =拉格朗日中值定理柯西中值定理(0)('≠x g ≠0)2.)n R 为余项(ξ在x 和0x 之间)令00=x ,得到麦克劳林公式3.部分函数使用麦克劳林公式展开(皮亚诺型余项)4.曲率四、不定积分1.部分三角函数的不定积分2.几个简单分式的不定积分五、定积分1.利用定积分计算极限2.积分上限函数的导数推广得3.牛顿-莱布尼茨公式和积分中值定理(1)牛顿-莱布尼茨公式(微积分基本公式)(2)积分中值定理函数)a上可积[bf在],(x,a上的平均值f在][b(xf称为))(ξ4.三角相关定积分三角函数系的正交性5.典型反常积分的敛散性(1)无穷限的反常积分推论1(2)瑕积分(无界函数的反常积分)推论2Convergence:收敛,Divergence:发散6.Γ函数(选)(1)递推公式:推论:(2)欧拉反射公式(余元公式)六、定积分的应用1.平面图形面积(1)直角坐标:由曲线0ax==,y及x)(≥=xf(2)极坐标:ρ=有曲线(φ2.体积(1)绕x(2)平行截面(与x轴垂直)面积为)(xA3.弧微分公式(1)直角坐标:(2)极坐标:七、微分方程1.可降阶方程(1))()(x f y n =型n 次积分得(2))',("y x f y =型作换元'y p =得),('p x f p =得通解),(1C x p ϕ=则21),(C dx C x y +=⎰ϕ(3))',("y y f y =型作换元'y p =,),(,"p y f dxdp p dx dp p dx dp y ===得通解dx dy C y p ==),(1ϕ 则21),(C x C y dy +=⎰ϕ 2.变系数线性微分方程(1)一阶线性微分方程:)()('x Q y x P y =+对应齐次方程:0)('=+y x P y 原方程)()('x Q y x P y =+的通解为(2)0)(')(1=+++-y x P y x P n n若(),(21x y x y n 个线性无关解)()()(22x y C x y C x n n +++若)(*x y 为非齐次方程的一个特解则非齐次方程的通解为)(*)(x y x Y y +=3.常系数齐次线性方程的通解(1)二阶方程0"=++q py y特征方程为02=++q pr r①0>∆,两个不等实根a b r a b r 2,221∆+-=∆--=通解为x r x r e C e C y 2121+=②0=∆,两个相等实根221p r r -== 通解为x r e x C C y 1)(21+=③0<∆,一对共轭复根2,2,,21∆-=-=-=+=βαβαβαp i r i r通解为)sin cos (21x C x C e y x ββα+=(2)高阶方程0'1)1(1)(=++++--y p y p y p y n n n n 特征方程为0111=++++--n n n n p r p r p r 对于其中的根r 的对应项①实根r一个单实根:rx Ce一个k 重实根:rx k k C x C C (121-+++②复根i r βα±=2,1一对单复根:cos (21C x C e x βα+一对k 重复根]sin )(cos )1211x x D x D D x x C k k k k ββ--+++++ 4.)的特解形式 '"qy py y =++02=++q pr r (1))()(x P e x f m x λ=)(x P m 为x 的m 次多项式 特解形式为x m k e x Q x y λ)(*=)(x Q m 是x 的m 次多项式(2)]sin )(cos )([)()2()1(x x P x x P e x f n l x ωωλ+=)(),()2()1(x P x P n l 分别为x 的n l ,次多项式 特解形式为x m m k e x x R x x Q x y λωω]sin )(cos )([*+= },max{n l m =,)(),(x R x Q m m 为x 的m 次多项式记i z ωλ+=5.特殊形式方程(选)(1)伯努利方程n y x Q y x P dxdy )()(=+(1,0≠n ) 令n y z -=1,dxdy y n dx dz n--=)1( 得通解),(C x z ϕ=(2)欧拉方程作变换t e x =或x t ln =,记dtd D = 将上各式代入原方程得到此为常系数线性微分方程 可得通解),,,,(21n C C C t y ϕ= 即可得原方程通解),,,,(21n C C C x y Φ=。
一、导数的概念及其计算1.导数的概念函数y=f(x),如果自变量x 在x 0处有增量x ∆,那么函数y 相应地有增量y ∆=f (x 0+x ∆)-f (x 0),比值xy∆∆叫做函数y=f (x )在x 0到x 0+x ∆之间的平均变化率,即xy ∆∆=x x f x x f ∆-∆+)()(00。
如果当0→∆x 时,xy∆∆有极限,我们就说函数y=f(x)在点x 0处可导,并把这个极限叫做f (x )在点x 0处的导数,记作f’(x 0)或y’|0x x =。
即f (x 0)=0lim→∆x x y∆∆=0lim →∆x x x f x x f ∆-∆+)()(00。
说明:(1)函数f (x )在点x 0处可导,是指0→∆x 时,x y ∆∆有极限。
如果xy∆∆不存在极限,就说函数在点x 0处不可导,或说无导数(2)x ∆是自变量x 在x 0处的改变量,0≠∆x 时,而y ∆是函数值的改变量,可以是零。
由导数的定义可知,求函数y=f (x )在点x 0处的导数的步骤: (1)求函数的增量y ∆=f (x 0+x ∆)-f (x 0);(2)求平均变化率xy ∆∆=x x f x x f ∆-∆+)()(00;(3)取极限,得导数f’(x 0)=xyx ∆∆→∆0lim 。
2.导数的几何意义函数y=f (x )在点x 0处的导数的几何意义是曲线y=f (x )在点p (x 0,f (x 0)) 处的切线的斜率。
也就是说,曲线y=f (x )在点p (x 0,f (x 0))处的切线的斜率是f’(x 0)。
相应地,切线方程为y -y 0=f /(x 0)(x -x 0)。
3.常见函数的导出公式.(1)0)(='C (C 为常数) (2)1)(-⋅='n nxn x(3)x x cos )(sin =' (4)x x sin )(cos -='4.两个函数的和、差、积的求导法则法则1:两个函数的和(或差)的导数,等于这两个函数的导数的和(或差), 即: (.)'''v u v u ±=±法则2:两个函数的积的导数,等于第一个函数的导数乘以第二个函数,加上第一个函数乘以第二个函数的导数,即:.)('''uv v u uv +=若C 为常数,则'''''0)(Cu Cu Cu u C Cu =+=+=.即常数与函数的积的导数等于常数乘以函数的导数:.)(''Cu Cu =法则3两个函数的商的导数,等于分子的导数与分母的积,减去分母的导数与分子的积,再除以分母的平方:⎪⎭⎫⎝⎛v u ‘=2''v uv v u -(v ≠0)。
高数积分总结一、不定积分1、不定积分的概念也性质定义1:如果在区间I 上,可导函数F (x )的导函数为f(x ),即对任一I x ∈,都有F`(x)=f (x)或dF(x)=f(x)dx,那么函数F(x)就称为f (x )(或f(x)dx)在区间I 上的原函数。
定义2:在区间I 上,函数f (x )的带有任意常数项的原函数称为f(x )(或者f (x )dx)在区间I 上的不定积分,记作⎰dx x f )(.性质1:设函数f (x)及g (x )的原函数存在,则⎰⎰⎰+=+dx x g dx x f dx x g x f )()()]()([。
性质2:设函数f (x )的原函数存在,k 为非零常数,则⎰⎰=dx x f k dx x kf )()(。
2、换元积分法 (1)第一类换元法:定理1:设f (u )具有原函数,)(x ϕμ=可导,则有换元公式)(])([)(')]([x d f dx x x f ϕμμμϕϕ=⎰⎰=。
例:求⎰xdx 2cos 2解 ⎰⎰⎰⎰=•=•=μμd dx x x dx x xdx cos )'2(2cos 22cos 2cos 2 将x 2=μ代入,既得⎰+=C x xdx 2sin 2cos 2(2)第二类换元法:定理2:设)(t x ψ=是单调的、可导的函数,并且.0)('≠t ψ又设)(')]([t t f ψψ具有原函数,则有换元公式,])(')]([[)()(1x t dt t t f dx x f -=⎰⎰=ψψψ其中)(1x -ψ是)(t x ψ=的反函数。
例:求⎰>+)0(22a ax dx解 ∵t t 22sec tan 1=+,设⎪⎭⎫ ⎝⎛<<-=22tan ππαt t x ,那么 tdt a dx t a t a t a a a x 2222222sec ,sec tan 1tan ==+=+=+,于是⎰⎰⎰==+tdt dt t a ta a x dx sec sec sec 222 ∴C t t ax dx ++=+⎰tan sec ln 22∵aa x t 22sec +=,且0tan sec >+t t ∴1222222)ln(ln C a x x C aa x a xa x dx+++=+⎪⎪⎭⎫⎝⎛++=+⎰,a C C ln 1-=3、分部积分法定义:设函数)(x μμ=及)(x υυ=具有连续导数。
1221.()0(()()ln (01)4.)16.)(01)ln 1.ln )8.(sin )cos 9.(cos )sin 10.(tan )11.(cot )csc 12.()tan 13.(csc )csc co xxxxa c c x xa a x a a e ex a a x ax xx x x x x set x x x setx setx x x x αααα-'='='=>≠'='=>≠'='='=-'='=-'='=-是常数)2.是实数)3.(、((log 、7(222t 114.(arcsin )(11)115.(arc )(11)116.(arctan )1117.(arc )1(),()18.()19.()20.()21.(),()(()x x x cosx x x x cotx xu u x v v x u v u v uv u v uv u u v uv v v vy f u u x y f x ϕϕ'=-<<-'=-<<'=+-'=+=='''±=±'''=+''-'=≠===设可导,(0)均可导,则复合函数)x uxy y u '''=g 可导且122()0(3.ln (01)4.15.log (01)ln 16.ln 7.sin c os 8.c os sin 9.ta n se c10.c ot c sc 11.se c se c ta n 12.c sc c sc c ot 13.a x x xxa d c c d xx d xd a aa d xa a d ee d xd x d xa a x a d x d xxd x x d x d x x d x d x x d xd x x d xd x x x d x d x x x d x d ααα-===>≠==>≠===-==-==-1.是常数)2.、、222rc sin (11)14.a rc (11)15.a rc ta n 116.a rc c ot 1(),()17.()18.()19.()(0)20.()()(())d x x x d x d c o sx x d x d x x d xd x xu u x v v x d u v d u d v d u v v d u u d v u v d u u d vd v v vy f u u x y f x d y f ϕϕ=-<<-=-<<=+-=+==±=±=+-=≠=='==设可微若可微,可微,则复合函数可微,且()u d u三 不定积分公式1.02.(1)113.ln 4.(0,1)ln 5.6.sin cos 7.cos sin 8.tan ln cos 9.cot lnsin 10.sec ln sec tan 11.csc ln csc cot 12.sec xxxxdx c xx dx c dx x cxaa dx c a a ae dx e c x x c xdx x c xdx x cxdx x cxdx x x c xdx x x c αααα==+≠-+=+=+>≠=+=-+=+=-+=+=++=-+⎰⎰⎰⎰⎰⎰⎰⎰⎰⎰⎰222222tan 13.csc cot 114.arctan (0)115.ln(0)216.arcsin (0)xdx x c xdx x c dx x c a a x a adx a x ca a xaa x dx x ca a=+=-+=+>++=+>--=+>⎰⎰⎰⎰⎰22217.ln18.arcsin2219.ln(2220.ln22dxx ca xcax ax cax c=++=++=+++=-++⎰⎰⎰⎰。
考研数学公式推导考研数学是考研数学的基础科目之一,也是最重要的科目之一、在考研数学中,有许多公式是非常重要的,掌握这些公式不仅可以帮助你解题,还可以帮助你更好地理解数学知识。
在下面的文章中,我们将介绍一些常用的数学公式,包括公式的推导和应用。
一、导数公式1.基本导数公式设函数y=f(x),若函数y=f(x)在点x处可导,则它在这个点的导数为f'(x)。
常用的导数公式如下:(1)常数的导数公式:(c)'=0,其中c为常数。
推导过程:设y=c,y'=f'(x),求导得y'=0。
所以常数的导数等于0。
(2)幂函数的导数公式:(x^n)'=nx^(n-1),其中n为常数。
推导过程:设y=x^n,y'=f'(x),求导得y'=nx^(n-1)。
所以幂函数x^n的导数等于nx^(n-1)。
(3)指数函数的导数公式:(a^x)'=a^xln(a),其中a为常数且a>0,a≠1推导过程:设y=a^x,y'=f'(x),求导得y'=a^xln(a)。
所以指数函数a^x的导数等于a^xln(a)。
2.复合函数的导数公式复合函数的导数公式是求解复杂函数导数的重要工具。
复合函数的导数公式如下:设复合函数y=f(g(x)),若函数g(x)在点x处可导,函数f(u)在u=g(x)处可导,则复合函数y=f(g(x))在这个点的导数为f'(g(x))g'(x)。
推导过程:设y=f(g(x)),y'=f'(x),求导得y'=f'(g(x))g'(x)。
所以复合函数的导数等于外函数的导数乘以内函数的导数。
二、积分公式1.不定积分公式(基本积分公式)不定积分是求解函数原函数的过程。
不定积分公式是求解不定积分的重要工具。
常用的不定积分公式如下:(1)基本积分公式:∫x^n dx=(x^(n+1))/(n+1)+C,其中n≠-1,C为常数。
高数不定积分
不定积分是一个基本的数学应用,也是高数的重要部分之一。
不定积分指对某个函数进行求导的反向操作,也就是对某个函数进行积分操作,得到一个带有未知常数的函数族。
因为一个函数的导数可能有很多个,所以一个不定积分可能会有不同的结果。
常见的不定积分函数包括常数函数、幂函数、指数函数、三角函数及其反函数等。
在高数中,常见的不定积分方法包括换元法、分部积分法、三角函数的积分公式、分式分解法等。
其中,换元法是一种比较常用的方法,通过寻找一个合适的变量代替被积变量,将积分转化为对新变量的积分。
分部积分法则是利用“乘积求导等于
导数之积减去另一项乘以它的原函数”这个定理来对积分进行
分解,求解积分。
三角函数积分公式则是列出一系列已知的三角函数和反三角函数的积分公式,利用这些公式对积分进行化简。
除了以上这些方法,还有一些特殊的不定积分方法,如积化和差法、积化和同法、有理函数的积分、有理根下式的积分、分式变形法等。
这些方法需要在实际问题中根据具体情况进行灵活运用,以实现对不定积分的准确求解。
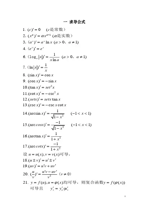
高等数学导数、微分、不定积分公式一、基本导数公式:'k1. kx2. x n'nx n 13. a x 'a x ln a4. e x'xe5. log a x'1 x ln a'16. ln x x'cos x7. sin x8. cosx'sin x'9. tan x sec2 x'csc2 x 10. cot11. secx 'secx tan x12. cscx'csc x cot x'113. arcsin x1x2'1 14. arccosx1 x2'115. arctan x1x2'1 16. arc cot1x2二、基本微分公式:1.d kx k2.d x n nx n 1dx3.d a x a x ln adx4.d e x e x dx5.d ln x1dxx6.d1dxlog a xx ln a7.d sin x cosxdx8.d cosx sin xdx9.d tan x sec2 xdx10.d cot x csc2 xdx11.d secx secx tan xdx12.d cscx cscxcot xdx13.d arcsinx1dxx2114.d arccosx1dx1x215.d1dxarctanxx21116.d arc cot x2 dxx1- 1 -高等数学导数、微分、不定积分公式三、不定积分基本公式:1.kdxkxc2.x ndxx n 1cn 13. e x dxe xc4.a x dxax1 cln a5.1dxln | x |cx6. sin xdxcosxc7.cos xdxsin xc8. tan xdxln | cosx | c9.cot xdxln |sin x |c10. cscxdxln |cscxcot x | c11. secxdxln |secxtan x |c12.1dxcsc 2xdxcot xcsin 2x13.1dx2tan xc2sec xdxcos x114.1 x 2dxarctanxc15.1dxarcsin xc1x216.secx tan xdxsecxc17.cscx cot xdxcscxc18.dx 1arctan xcx 2a2aa19.dx 1ln |xa |cx 2a22axa20.dxarcsin xca 2x 2a21.dxln | xx 2a 2|cx2a222.dxln | xx2a2|cx 2a 2xdx12cx12xx 2dx2ln 1 xc21x 2dx1x 3c12 dxarctan xc3112 dx1xcxx- 2 -高等数学导数、微分、不定积分公式四、特殊的三角函数值:030°45°60°90°sin x01231222cosx13210 222tan x0313无3cot x无31303五、三角函数的和差化积公式:sin sin2sin cos22sin sin2cos.sin22 cos cos2cos.cos22 cos cos2sin.sin22六、三角函数的积化和差公式:sin cos 1sin sin 2cos sin 1sin sin 2cos cos 1cos cos 2sin sin 1cos cos 2幂的公式 :sin 21cos2a2cos21cos 22七、万能公式:令 tanxt则 x=2arctantd x2 d t2 1 t 2x x2sinxcosx2 tanx2t222 sin2sin cos2 2 x 2 x 2 x 1 t 22sin12cos tan222x2x2xt2cosxcos2sin21tan212x2x2x1t2sin1cos22tan22tanx2ttan x2x 112t2tan2八、平方关系:sin2cos211 tan2sec21 cot2csc2九、导数关系:tan .cot1sin .csc1cos .sec1十、商的关系:sin seccostancsccsc cscsincotsec- 3 -。
高数重要公式高数(高等数学)中涉及的公式众多,以下是一些基本且重要的公式:1. 极限部分- 极限存在准则:若f(x)当x趋于a时,无论从左边还是右边趋近,其值都为L,则称函数f(x)在x=a处的极限为L,记作lim(x→a)f(x)=L。
- 洛必达法则(L'Hôpital's Rule):如果f(x)/g(x)在x=a处的分子分母分别趋向于0或无穷大,且满足一定的条件,可以通过求导计算它们的极限。
2. 微积分基础- 导数定义:若函数f(x)在点x=a处可导,则f'(a) = lim(Δx->0) [f(a+Δx)-f(a)]/Δx。
- 常用导数公式:如幂函数、指数函数、对数函数、三角函数等的基本导数公式。
- 微积分基本定理:若函数f在区间[a, b]上连续,在(a, b)内可导,那么对于任意一点c ∈(a, b),有∫_a^b f'(x) dx = f(b) - f(a)。
3. 积分部分- 不定积分与定积分的关系:不定积分是求原函数的过程,记作∫f(x) dx=F(x)+C;而定积分则是求面积、体积等问题,记作∫_a^b f(x) dx。
- 积分性质和运算法则:线性性质、积分上限函数的导数等于被积函数、换元积分法、分部积分法等。
4. 多元函数微积分- 偏导数:如果z=f(x,y),则∂z/∂x就是在y保持不变的情况下,z关于x的局部变化率,类似的还有∂z/∂y。
- 链式法则、梯度、方向导数和多元函数的极值问题等。
5. 级数理论- 级数的收敛判别法:比值判别法、根值判别法、积分判别法、狄利克雷判别法等。
- 幂级数展开:如泰勒级数、麦克劳林公式等。
以上仅列举了部分重要公式,具体使用时需根据实际问题灵活运用。
高数考研知识点归纳高等数学是考研数学的重要组成部分,其知识点广泛且深入,以下是对高数考研知识点的归纳总结:一、极限与连续性- 极限的定义与性质- 无穷小的比较- 函数的连续性与间断点- 连续函数的性质二、导数与微分- 导数的定义与几何意义- 基本导数公式- 高阶导数- 隐函数与参数方程的导数- 微分的概念与应用三、中值定理与导数的应用- 罗尔定理- 拉格朗日中值定理- 柯西中值定理- 泰勒公式- 导数在几何、物理等领域的应用四、不定积分与定积分- 不定积分的概念与性质- 基本积分公式- 换元积分法- 分部积分法- 定积分的定义与性质- 定积分的计算方法五、级数- 级数的概念与性质- 正项级数的收敛性判别- 幂级数与泰勒级数- 函数项级数的一致收敛性六、多元函数微分学- 偏导数与全微分- 多元函数的极值问题- 方向导数与梯度- 多元函数的泰勒展开七、重积分与曲线积分、曲面积分- 二重积分与三重积分- 重积分的计算方法- 曲线积分与曲面积分- 格林公式、高斯公式与斯托克斯定理八、常微分方程- 一阶微分方程的解法- 高阶微分方程- 线性微分方程的解法- 微分方程的应用结束语:考研高等数学的知识点繁多,要求考生不仅要掌握基本的概念和公式,还要能够灵活运用这些知识点解决实际问题。
通过系统地复习和大量的练习,可以提高解题速度和准确率,为考研数学取得高分打下坚实的基础。
希望以上的知识点归纳能够帮助考生更好地复习和准备考研高等数学。
不定积分公式推导
如果对不定积分式子∫f(x)dx进行求导,那么得到的当然还是f(x),而如果是∫f(x-t)dx这样的式子,就还要先转换积分变量,再进行求导。
求导是微积分的基础,同时也是微积分计算的一个重要的支柱。
物理学、几何学、经济学等学科中的一些重要概念都可以用导数来表示。
如导数可以表示运动物体的瞬时速度和加速度、可以表示曲线在一点的斜率、还可以表示经济学中的边际和弹性。
导数公式:
1.c'=0(c为常数);
2.(xn)'=nx(n-1) (n∈r);
3.(sinx)'=cosx;
4.(cosx)'=-sinx;
5.(ax)'=axina (ln为自然对数);
6.(logax)'=(1/x)logae=1/(xlna) (a\ue0,且a≠1);
7.(tanx)'=1/(cosx)2=(secx)2
8.(cotx)'=-1/(sinx)2=-(cscx)2
9.(secx)'=tanx secx;
10.(cscx)'=-cotx cscx;。