大学物理活页作业答案及解析((全套))
- 格式:doc
- 大小:1.51 MB
- 文档页数:59
第三章 守恒定律(一)(活页作业参考解答)1.答案:B 2.答案:C 3.答案:C 4.答案:D ;提示:保守力做功才不改变系统总机械能 5.答案:D 6.答案:B提示:,4B B B A AA m V m V m V m V m m ''+=+=B B A A 144,()4B B B B A A A A V V V V V V V V ''''⇒+=+=-+ 7.答案:C提示:当弹簧恢复原长时,离开,由机械能守恒:22211()22B A kd m m v mv =+=8.答案:> 相反 提示:设人跳出甲船时,速度为v ,则110,m vm v m v v m +==人人船船- 人跳入乙船时, ,m m v m m v m m =+=+人22人人船人船()v v9.答案:222F t m;提示:动量原理:,Ft mv =动能原理:2211()22F t A mv A m m =⇒=10.答案:与路程无关 p A E =-∆ 11.解:(1)310,(),B A BA F N F m m a a m m ⨯=+=+F=3B 受力31.810BB BA m m a F N m m ===⨯'+F(2)射入B 前,由动量定理得:B A m m +1I=Ft=()v16/BA Ftv m s m m ∴==+子弹、看作一个系统,整个过程动量守恒:122()21.9/B A mv m v m m v v m s ++⇒==12.解:由动能定理可得:00232012r r r k kA mv F dr k dr dr r r r ∞∞==⋅=⋅≤==⎰⎰⎰ v ∴=13.解:由功能转换关系得:(1)2112()p p p p p A E E E E E =-∆=--=-()()()GMm GMm GMmh R h R R h R=---=++(2)2,()GMmh mv v R h R ==+1A=2。
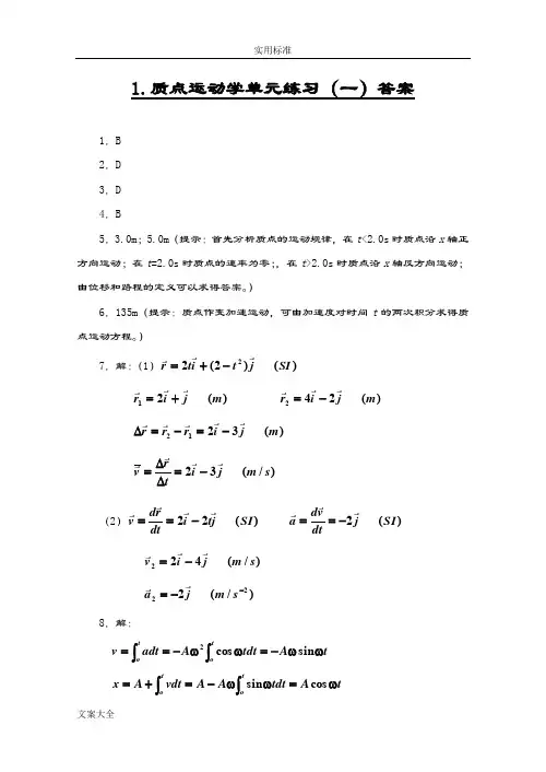
1.质点运动学单元练习(一)答案1.B 2.D 3.D 4.B5.3.0m ;5.0m (提示:首先分析质点的运动规律,在t <2.0s 时质点沿x 轴正方向运动;在t =2.0s 时质点的速率为零;,在t >2.0s 时质点沿x 轴反方向运动;由位移和路程的定义可以求得答案。
)6.135m (提示:质点作变加速运动,可由加速度对时间t 的两次积分求得质点运动方程。
)7.解:(1))()2(22SI jt i t r -+=)(21m ji r+= )(242m ji r-=)(3212m ji r r r-=-=∆)/(32s m ji t r v -=∆∆=(2))(22SI j t i dtrd v -== )(2SI jdt vd a -==)/(422s m j i v-=)/(222--=s m ja8.解:t A tdt A adt v totoωω-=ωω-==⎰⎰sin cos 2t A tdt A A vdt A x tot oω=ωω-=+=⎰⎰cos sin9.解:(1)设太阳光线对地转动的角速度为ωs rad /1027.73600*62/5-⨯=π=ωs m th dt ds v /1094.1cos 32-⨯=ωω==(2)当旗杆与投影等长时,4/π=ωth s t 0.31008.144=⨯=ωπ=10.解: ky yv v t y y v t dv a -====d d d d d d d -k =y v d v / d y⎰⎰+=-=-C v ky v v y ky 222121,d d 已知y =y o ,v =v o 则20202121ky v C --= )(2222y y k v v o o -+=2.质点运动学单元练习(二)答案1.D 2.A 3.B 4.C5.14-⋅==s m t dt ds v ;24-⋅==s m dtdva t ;2228-⋅==s m t Rv a n ;2284-⋅+=s m e t e a nt6.s rad o /0.2=ω;s rad /0.4=α;2/8.0s rad r a t =α=;22/20s m r a n =ω=7.解:(1)由速度和加速度的定义)(22SI ji t dt rd v +==;)(2SI idtvd a ==(2)由切向加速度和法向加速度的定义)(124422SI t t t dt d a t +=+=)(12222SI t a a a t n +=-=(3)())(122/322SI t a v n+==ρ8.解:火箭竖直向上的速度为gt v v o y -︒=45sin火箭达到最高点时垂直方向速度为零,解得s m gtv o /8345sin =︒=9.解:s m uv /6.3430tan =︒=10.解:l h v u ≤;u hl v ≥3.牛顿定律单元练习答案1.C 2.C 3.A 4.kg Mg T 5.36721==;2/98.02.0s m MT a == 5.x k v x 22=;x x xv k dtdxk dt dv v 222== 221mk dt dv mf x x == 6.解:(1)ma F F N T =θ-θsin cosmg F F N T =θ+θcos sinθ-θ=θ+θ=sin cos ;cos sin ma mg F ma mg F N T(2)F N =0时;a =g cot θ7.解:mg R m o ≥ωμ2Rg o μ≥ω 8.解:由牛顿运动定律可得dtdv t 1040120=+ 分离变量积分()⎰⎰+=tovdt t dv 4120.6 )/(6462s m t t v ++=()⎰⎰++=t oxdt t tdx 6462.5 )(562223m t t t x +++=9.解:由牛顿运动定律可得dtdvmmg kv =+- 分离变量积分⎰⎰-=+t o vv o dt m k mg kv kdv ot m kmg kv mg o -=⎪⎪⎭⎫ ⎝⎛+ln ⎪⎪⎭⎫ ⎝⎛+=⎪⎪⎭⎫ ⎝⎛+-=mg kv k m mg kv mg k m t o o 1ln ln10.解:设f 沿半径指向外为正,则对小珠可列方程 a v m f mg 2cos =-θ,t vm mg d d sin =θ,以及 ta v d d θ=,θd d v a t =,积分并代入初条件得 )cos 1(22θ-=ag v ,)2cos 3(cos 2-=-=θθmg av m mg f .4.动量守恒和能量守恒定律单元练习(一)答案1.A ; 2.A ; 3.B ; 4.C ; 5.相同 6.2111m m t F v +∆=;2212m t F v v ∆+= 7.解:(1)t dt dxv x 10==;10==dtdv a x x N ma F 20==;m x x x 4013=-=∆J x F W 800=∆=(2)s N Fdt I ⋅==⎰40318.解:()1'v m m mv +=()221221'2121o kx v m m mv ++= ()''m m k mm vx +=9.解: 物体m 落下h 后的速度为 gh v 2=当绳子完全拉直时,有 ()'2v M m gh m +=gh mM m v 2'+=gh mM mMMv I I T 22'22+===10.解:设船移动距离x ,人、船系统总动量不变为零0=+mv Mu等式乘以d t 后积分,得0=+⎰⎰totomvdt Mudt0)(=-+l x m Mx m mM mlx 47.0=+=5.动量守恒和能量守恒定律单元练习(二)答案1.C 2.D 3.D 4.C 5.18J ;6m/s 6.5/37.解:摩擦力mg f μ=由功能原理 2121210)(kx x x f -=+- 解得 )(22121x x mg kx +=μ.8.解:根据牛顿运动定律 Rv m F mg N 2cos =-θ由能量守恒定律mgh mv =221质点脱离球面时 RhR F N -=θ=cos ;0 解得:3R h =9.解:(1)在碰撞过程中,两球速度相等时两小球间距离最小 v v v )(212211m m m m +=+ ①212211m m v m v m v ++=(2) 两球速度相等时两小球间距离最小,形变最大,最大形变势能等于总动能之差22122221)(212121v v v m m m m E p +-+=② 联立①、②得 )/()(212122121m m m m E p +-=v v10.解:(1)由题给条件m 、M 系统水平方向动量守恒,m 、M 、地系统机械能守恒.0)(=--MV V u m ① mgR MV V u m =+-2221)(21 ② 解得: )(2m M M gRmV +=;MgRm M u )(2+=(2) 当m 到达B 点时,M 以V 运动,且对地加速度为零,可看成惯性系,以M 为参考系 R mu mg N /2=-M mg m M mg R mu mg N /)(2/2++=+=mg MmM M mg m M Mmg N 23)(2+=++=6.刚体转动单元练习(一)答案1.B 2.C 3.C 4.C5.v = 1.23 m/s ;a n = 9.6 m/s 2;α = –0.545 rad/ s 2;N = 9.73转。
1.质点运动学单元练习(一)答案1.B 2.D 3.D 4.B5.3.0m ;5.0m (提示:首先分析质点的运动规律,在t <2.0s 时质点沿x 轴正方向运动;在t =2.0s 时质点的速率为零;,在t >2.0s 时质点沿x 轴反方向运动;由位移和路程的定义可以求得答案。
)6.135m (提示:质点作变加速运动,可由加速度对时间t 的两次积分求得质点运动方程。
)7.解:(1))()2(22SI jt i t r -+=)(21m ji r+= )(242m ji r-=)(3212m ji r r r-=-=∆)/(32s m ji t r v -=∆∆=(2))(22SI j t i dtrd v -== )(2SI j dt vd a -==)/(422s m j i v-=)/(222--=s m ja8.解:t A tdt A adt v totoωω-=ωω-==⎰⎰sin cos 2t A tdt A A vdt A x totoω=ωω-=+=⎰⎰cos sin9.解:(1)设太阳光线对地转动的角速度为ωs rad /1027.73600*62/5-⨯=π=ωs m th dt ds v /1094.1cos 32-⨯=ωω==(2)当旗杆与投影等长时,4/π=ωth s t 0.31008.144=⨯=ωπ=10.解: ky yv v t y y v t dv a -====d d d d d d d -k =y v d v / d y⎰⎰+=-=-C v ky v v y ky 222121,d d 已知y =y o ,v =v o 则20202121ky v C --= )(2222y y k v v o o -+=2.质点运动学单元练习(二)答案1.D 2.A 3.B 4.C5.14-⋅==s m t dt ds v ;24-⋅==s m dtdva t ;2228-⋅==s m t Rv a n ;2284-⋅+=s m e t e a nt6.s rad o /0.2=ω;s rad /0.4=α;2/8.0s rad r a t =α=;22/20s m r a n =ω=7.解:(1)由速度和加速度的定义)(22SI ji t dt rd v +==;)(2SI idtvd a ==(2)由切向加速度和法向加速度的定义)(124422SI t t t dt d a t +=+=)(12222SI t a a a t n +=-=(3)())(122/322SI t a v n+==ρ8.解:火箭竖直向上的速度为gt v v o y -︒=45sin 火箭达到最高点时垂直方向速度为零,解得s m gtv o /8345sin =︒=9.解:s m uv /6.3430tan =︒=10.解:l h v u ≤;u hl v ≥3.牛顿定律单元练习答案1.C 2.C 3.A 4.kg Mg T 5.36721==;2/98.02.0s m MT a == 5.x k v x 22=;x x xv k dtdxk dt dv v 222== 221mk dt dv mf x x == 6.解:(1)ma F F N T =θ-θsin cosmg F F N T =θ+θcos sinθ-θ=θ+θ=sin cos ;cos sin ma mg F ma mg F N T(2)F N =0时;a =g cot θ7.解:mg R m o ≥ωμ2Rg o μ≥ω 8.解:由牛顿运动定律可得dtdv t 1040120=+ 分离变量积分()⎰⎰+=tovdt t dv 4120.6 )/(6462s m t t v ++=()⎰⎰++=t oxdt t tdx 6462.5 )(562223m t t t x +++=9.解:由牛顿运动定律可得dtdv mmg kv =+- 分离变量积分⎰⎰-=+t o vv o dt m k mg kv kdv ot m kmg kv mg o -=⎪⎪⎭⎫ ⎝⎛+ln ⎪⎪⎭⎫ ⎝⎛+=⎪⎪⎭⎫ ⎝⎛+-=mg kv k m mg kv mg k m t o o 1ln ln10.解:设f 沿半径指向外为正,则对小珠可列方程 a v m f mg 2cos =-θ,tvm mg d d sin =θ,以及 ta v d d θ=,θd d v at =,积分并代入初条件得 )cos 1(22θ-=ag v ,)2cos 3(cos 2-=-=θθmg av m mg f .4.动量守恒和能量守恒定律单元练习(一)答案1.A ; 2.A ; 3.B ; 4.C ; 5.相同 6.2111m m t F v +∆=;2212m t F v v ∆+=7.解:(1)t dt dxv x 10==;10==dtdv a x x N ma F 20==;m x x x 4013=-=∆J x F W 800=∆=(2)s N Fdt I ⋅==⎰40318.解:()1'v m m mv +=()221221'2121o kx v m m mv ++= ()''m m k mm vx +=9.解: 物体m 落下h 后的速度为 gh v 2=当绳子完全拉直时,有 ()'2v M m gh m +=gh mM m v 2'+=gh mM mMMv I I T 22'22+===10.解:设船移动距离x ,人、船系统总动量不变为零0=+mv Mu等式乘以d t 后积分,得0=+⎰⎰totomvdt Mudt0)(=-+l x m Mx m mM mlx 47.0=+=5.动量守恒和能量守恒定律单元练习(二)答案1.C 2.D 3.D 4.C 5.18J ;6m/s 6.5/37.解:摩擦力mg f μ=由功能原理 2121210)(kx x x f -=+- 解得 )(22121x x mg kx +=μ.8.解:根据牛顿运动定律 Rv m F mg N 2cos =-θ由能量守恒定律mgh mv =221质点脱离球面时 RhR F N -=θ=cos ;0 解得:3R h =9.解:(1)在碰撞过程中,两球速度相等时两小球间距离最小 v v v )(212211m m m m +=+ ①212211m m v m v m v ++=(2) 两球速度相等时两小球间距离最小,形变最大,最大形变势能等于总动能之差22122221)(212121v v v m m m m E p +-+=② 联立①、②得 )/()(212122121m m m m E p +-=v v10.解:(1)由题给条件m 、M 系统水平方向动量守恒,m 、M 、地系统机械能守恒.0)(=--MV V u m ①mgR MV V u m =+-2221)(21 ② 解得: )(2m M M gRmV +=;MgRm M u )(2+=(2) 当m 到达B 点时,M 以V 运动,且对地加速度为零,可看成惯性系,以M 为参考系 R mu mg N /2=-M mg m M mg R mu mg N /)(2/2++=+=mg MmM M mg m M Mmg N 23)(2+=++=6.刚体转动单元练习(一)答案1.B 2.C 3.C 4.C5.v = 1.23 m/s ;a n = 9.6 m/s 2;α = –0.545 rad/ s 2;N = 9.73转。
10.机械波单元练习(一)答案 1. B 2. C 3. B 4. 1.67m 5.0cos[()]x ly A t uωϕ-=-+ 6. 6,307. 解:(1)由波动方程可知振幅0.05m A =,角频率20πω=,/3πu ω=,则波速16.67m s u-=⋅,频率/2π10Hz νω==,波长2π2/3m uλω==。
(2)maxπ 3.14m/s A ω==≈v8. 解:(1)由图可知振幅0.1m A =,波长4m λ=,波速1100m s u -=⋅ 则2π2π/50πuT ωλ===。
又O 点初始时刻位于平衡位置且向y 轴正向运动,则由旋转矢量法可得π/2ϕ=-,因此波动方程为0.1cos[50π(/100)π/2](m)y t x =--(2)P 处质点的振动方程为0.1cos(50π3π/2)(m)y t =-9. 解:由图可知振幅0.1m A =,波长100m λ=,则角频率2π2ππuT ωλ===。
由P 点的运动方向可知波向x 轴负方向传播。
又由图可知原点O 初始时刻位于A /2处,且向y 轴负方向运动,则由旋转矢量法可得0π/3ϕ=。
则波动方程为0.1cos[π(/50)π/3](m)y t x =++10.解:(1)以A 点为坐标原点的波动方程为2310cos[3π(/30)](m) y t x -=⨯-(2)π2π2BA ABABuωϕϕλ=-=-=-则以B 点为坐标原点的波动方程为2310cos[3π(/30)π/2](m)y t x -=⨯--11.机械波单元练习(二)答案1. C 2. B 3. C 4./2λ,π5. 550Hz ,458.3Hz 6. 0.08W/m 2 7. 解:两列波传到1S 2S 连线和延长线上任一点P 的相位差212120102ππ2πr r r r ϕϕϕλλ--∆=--=--1S 左侧各点:2110π2ππ2π6π4r r ϕλ-∆=--=--=-,振动都加强; 2S 右侧各点:2110π2ππ2π4π4r r ϕλ--∆=--=--=,振动都加强;1S 、2S 之间:2111110π2ππ2π6ππ(21)π4r r r r r k ϕλ---∆=--=--=-+=+则距1S 点为:11m,3m,5m,7m,9m r =处各点静止不动。
物理学活页作业答案13.静电场(二)答案1. C 2. D 3. B 4. C 5.224141041r QR Q R Q o o o πεπεπε;;; 6. >7. 解:假设阴极A 与阳极B 单位长度带电分别为–λ与λ,由高斯定律求电场分布,并进一步求出阴极与阳极间的电势差U ,由已知量求电场强度并由阴极表面的电场强度求电子刚从阴极射出时所受的电场力12ln 22R R U rE o o πελ=πελ=12lnR R r U E =N R R R eU eE F 141211034.4ln-⨯===8.解:(1)方法一:取同心球面为高斯面,利用高斯定理求电场强度的分布再求电势分布;)(011R r E <=)(4421212122R r R e rQ E Qr E ro o<<πε=ε=π)(44222132123R r e r Q Q E Q Q r E ro o>πε+=ε+=π2212213344R r r Q Q l d e rQ Q l d E V o rr o r>πε+=⋅πε+=⋅=⎰⎰∞∞⎰⎰⎰⎰∞∞⋅πε++⋅πε=⋅+⋅=22222212132244R r o R rr o R R rl d e rQ Q l d e r Q l d E l d E V21221244R r R R Q r Q V o o <<πε+πε=⎰⎰⎰⎰⎰∞∞⋅πε++⋅πε=⋅+⋅+⋅=221221122121321144R r o R R r o R R R R rl d e r Q Q l d e r Q l d E l d E l d E V12211144R r R Q R Q V o o <πε+πε=方法二:带电量为Q ,半径为R 的带电球面对电势的贡献球面内电势:R Q V o πε=4 球面外电势:rQV o πε=4有电势的叠加求电势分布;结果与方法一一致。
大学物理活页答案(振动和波部分)第一节 简谐振动1. D2.D3.B4.B5.B6.A7. X=0.02cos (52π−π2) 8. 2:1 9. 0.05m -37° 10. π or 3π 11. 012.解: 周期 3/2/2=ω=πT s , 振幅 A = 0.1 m , 初相 φ= 2π/3, v max = A = 0.3π m/s ,a max = 2A = 0.9π2 m/s 2 .13.提示:旋转矢量法(1)x =0.1cos (πt −π2)(2)x =0.1cos (πt +π3) (3)x =0.1cos (πt +π)14. (1)x =0.08cos (π2t +π3)t=1 x=-0.069m F=-kx=−m ω2x =2.7×10−4(2)π3=π2t t=0.67s第二节 振动能量和振动的合成1. D2.D3.D4.B5.B6. )(212121k k m k k +=νπ 提示:弹簧串联公式等效于电阻并联 7. 0.02m 8. π 0 提示:两个旋转矢量反向9. 402hz10. A=0.1m 位相等于113° 提示:两个旋转矢量垂直。
11. mv 0=(m +M)v ′ 12kA 2=1(m+M)v ′22 A=0.025m ω=√k m+M =40 x=0.025cos (40t −π/2)12. x=0.02cos (4t +π/3)x (m) ω π/3 π/3 t = 0 0.04 0.08 -0.04 -0.08 O A A机械波第一节 简谐波1. B2. A3.D4.C5.A (注意图缺:振幅A=0.01m )6.B7. 503.2 8. a 向下 b 向上 c 向上 d 向下 (追赶前方质元)9. π 10. 4π 或011.解:(1) )1024cos(1.0x t y π-π=)201(4cos 1.0x t -π= (SI) (2) t 1 = T /4 = (1 /8) s ,x 1 = λ /4 = (10 /4) m 处质点的位移)80/4/(4cos 1.01λ-π=T y m 1.0)818/1(4cos 1.0=-π= (3) 振速 )20/(4sin 4.0x t ty -ππ-=∂∂=v . )4/1(212==T t s ,在 x 1 = λ /4 = (10 /4) m 处质点的振速 26.1)21sin(4.02-=π-ππ-=v m/s 12.λ=0.4m u =0.05 k =ωu =2πλ=5π ω=π4 ϕ0=π2−2πT ∙T 2=−π2 y (x,t )=0.06cos (π4t −5πx −π2) y (0.2,t )=0.06cos (π4t −3π2)13. 210)cos sin 3(21-⨯-=t t y P ωω 210)]cos()21cos(3(21-⨯π++π-=t t ωω )3/4cos(1012π+⨯=-t ω (SI). 波的表达式为:]2/234cos[1012λλω-π-π+⨯=-x t y )312cos(1012π+π-⨯=-λωx t (SI) 第二节 波的干涉 驻波 电磁波1.D2.C3. D4.B5.B6.A7.C8. y =−2Acos (ωt ) ðy ðt =2Aωsin (ωt)9. 2A (提示:两振动同相)10. 0.5m 11. Acos2π(t T −x λ) A12. > 70.8hz 13. 7.96×10-2 W/m 214.解:(1) 反射点是固定端,所以反射有相位突变π,且反射波振幅为A ,因此反 射波的表达式为 ])//(2cos[2π+-π=T t x A y λ(2) 驻波的表达式是 21y y y += )21/2cos()21/2cos(2π-ππ+π=T t x A λ (3) 波腹位置: π=π+πn x 21/2λ, λ)21(21-=n x , n = 1, 2, 3, 4,… 波节位置: π+π=π+π2121/2n x λ λn x 21= , n = 1, 2, 3, 4,…15.解:(1) 与波动的标准表达式 )/(2cos λνx t A y -π= 对比可得: ν = 4 Hz , λ = 1.50 m , 波速 u = λν = 6.00 m/s(2) 节点位置 )21(3/4π+π±=πn x )21(3+±=n x m , n = 0,1,2,3, …(3) 波腹位置 π±=πn x 3/44/3n x ±= m , n = 0,1,2,3, …。
班级:姓名:学号:日期:成绩:动量和冲量★1.下列关于动量的论述中正确的是( ).(A)质量大的物体动量一定大(B)速度大的物体动量一定大(C)两物体动能相等,动量小一定相等(D)两物体动能相等,动量一定相等答案:C★2.关于物体的动量和动能,下列说法中正确的是( ).(A)一物体的动量不变,其动能一定不变(B)一物体的动能不变,其动量一定不变(C)两物体的动量相等,其动能一定相等(D)两物体的动能相等,其动量一定相等答案:A★3.两个具有相等动量的物体A、B,质量分别为m A和m B,且m A>m B,比较它们的动能,则( ).(A)B的动能较大(B)A的动能较大(C)动能相等(D)不能确定答案:A★4.放在水平桌面上的物体质量为m,用一个水平推力F推它,作用时间为t,物体始终不动,那么在t时间内,推力对物体的冲量应为______.【1】答案:Ft★★5.甲、乙两物体的质量之比为m甲:m乙=1:4,若它们在运动过程中的动能相等,则它们动量大小之比p甲:p乙是( ).【1】(A)1:1(B)1:2(C)1:4 (D)2:1答案:B★★6.如图所示,两个质量相等的物体在同一高度沿倾角不同的两个光滑斜面由静止自由滑下,到达斜面底端的过程中,两个物体具有的相同的物理量是( ).【2】(A)重力的冲量(B)弹力的冲量(C)合力的冲量(D)刚达到底端时的动量(E)刚达到底端时动量的水平分量(F)以上几个量都不对答案:F★★7.质量为2㎏的物体作竖直上抛运动,4s后回到出发点,不计空气阻力,在此过程中物体动量的改变和所受的冲量分别为(g取10m/s2)( ).【2】(A)80㎏·m/s和80N·s,方向均为竖直向下(B)80㎏·m/s,方向竖直向上,80N·s,方向竖直向下(C)40㎏·m/s和40N·s,方向均为竖直向下(D)80㎏·m/s和40N·s,方向均为竖直向下答案:A★★8.质量不等的两个物体静止在光滑的水平面上,两物体在外力作用下获得相同的动能,则下列说法中正确的是( ).【2】(A)质量大的物体动量变化小(B)质量大的物体受到的冲量大(C)质量大的物体末动量小(D)质量大的物体动量变化率一定大答案:B★★9.以初速度v0=40m/s竖直向上抛出物体,质量为4㎏则第2秒末的动量为____㎏·m/s,第5秒末动量为____㎏·m/s,从第2秒末到第5秒末动量的变化量为____㎏·m/s(g取10m/s2).【2.5】答案:80,-40,-120★★★10.从水平地面上方同一高度处,使a球竖直上抛,使b球平抛,且两球质量相等,初速度大小相同,最后落于同一水平地面上(空气阻力不计).下列说法中正确的是( ).【2.5】(A)两球着地时的动量相同(B)两球着地时的动能相同(C)重力对两球的冲量相同(D)重力对球所做的功相同答案:BD班级:姓名:学号:日期:成绩:动量定理★1.在一条直线上运动的物体,其初动量为8㎏·m/s,它在第1秒内受到的冲量为-3N·s,第2秒内受到的冲量为5N·s.它在第2秒末的动量为( ).【0.5】(A)10㎏·m/s(B)11㎏·m/s(C)13㎏·m/s(D)16㎏·m/s答案:A★2.某物体在运动过程中,受到的冲量为-1N·s,则( ).(A)物体原动量方向一定与这个冲量方向相反(B)物体的末动量一定是负值(C)物体的动量一定要减少(D)物体动量的增量一定与所规定的止方向相反答案:D★3.人从高处跳到低处时,为了安全,一般都让脚尖先着地,这样做是为了( ).【0.5】(A)减小冲量(B)减小动量的变化量(C)增大与地面的作用时间,从而减小冲力(D)增大人对地面的压强,起到安全作用答案:C★★4.物体在恒定合外力作用下运动,则( ).【1】(A)物体一定作直线运动(B)物体的动量变化率一定恒定(C)物体的动量增量与时间成正比(D)单位时间内物体动量的增量与物体的质量无关答案:BCD★★5.玻璃杯从同一高度落下,掉在石头上比掉在草地上容易碎,这是由于玻璃杯在与石头的撞击过程中( ).(A)玻璃杯的动量较大(B)玻璃杯受到的冲量较大(C)玻璃杯的动量变化较大(D)玻璃杯的动量变化较快答案:D★★6.质量为1.0㎏的小球从20m处自由下落到软垫上,弹后上升的最大高度为 5.0m,小球与软垫接触的时间为 1.0s,接触时间内小球受到合力的冲量大小为(空气阻力)不计,g取10m/s2)( ).【1.5】(A)10N·s(B)20N·s(C)30N·s (D)40N·s答案:D★★7.以15m/s的速度平抛一个小球,小球的质量为1㎏,经2s小球落地,不计空气阻力,g取10m/s..小球落地时的速度大小为_____m/s.在这一过程中,小球的动量变化的大小为_____㎏·m/s.【2.5】答案:25,20★★8.小球的质量为2m,以速度v沿水平方向垂直撞击墙壁,球被反方向弹回速度大小是v54,球与墙撞击时间t,那么在撞击过程中,球对墙的平均冲力大小是( ).(A)5t2mv(B)5t8mv(C)5t18mv(D)t2mv答案:C★★★9.质量为m的物体,以初速度v0竖直上抛,然后又回到原抛出点.若不计空气阻力,物体所受的总冲量和平均冲力分别是(以竖直向上方正方向)( ).【2】(A)-mv0,mg21(B)-2mv o,-mg(C)-2mv o,mg(D)2mv0,-mg 答案:B★★★l0.如图所示,把重物G压在纸带上,若用一水平力迅速拉动纸带,纸带将会从重物下抽出;若缓慢拉动纸带,纸带也从重物下抽山,但重物跟着纸带一起运动一段距离.下列解释上述现象的说法中正确的是( ).【2】(A)在缓慢拉动纸带时,纸带给重物的摩擦力大(B)在迅速拉动纸带时,纸带给重物的摩擦力小(C)在缓慢拉动纸带时,纸带给重物的冲量大(D)在迅速拉动纸带时,纸带给重物的冲量小答案:CD★★★11.竖直上抛某物体,物体达到最高点后又回到抛出点,设物体所受空气阻力大小不变,则( ).【3】(A)上升过程中重力的冲量比下落过程中重力的冲量小(B)全过程中物体的动量增量方向向下(C)空气阻力的冲量值上升与下落过程相等(D)空气阻力在全过程中的合冲量方向向上答案:ABD班级:姓名:学号:日期:成绩:动量定理★★★1.一质量为100g的小球从0.80m高处自由下落到一厚软垫上.若以小球接触软垫到小球陷到最低点经历了0.20s,则这段时间内软垫对小球的冲量为_____N·s(g取10m/s2,不计空气阻力).【2.5】答案:0.6★★★2.跳伞员从飞机上跳下,经过一段时间速度增大到收尾速度50m/s时才张开伞,这时,跳伞员受到很大的冲力.设张伞时间经 1.5s,伞开后跳伞员速度为5m/s,速度方向始终竖直向下,则冲力为体重的_____倍.【3】答案:4★★★3.质量为50g的机枪子弹的出膛速度为1000m/s,假设机枪每分钟发射120发子弹,则在射击时机枪手需用多大的力抵住机枪?【3】答案:100N★★★4.质量为0.2㎏的球,从5.0m高处自由下落到水平钢板上又被竖直弹起,弹起后能达到的最大高度为4.05m,如果球从开始下落到弹起达到最大高度所用时间为1.95s,不考虑空气阻力(g取10m/s2),求小球对钢板的作用力.【4】答案:78N★★★★5.两个质量不同的物体,以相同的初动量开始沿同一水平面滑动,设它们与水平面间的动摩擦因数相同,则它们滑行的距离大小关系是( ).【4】(A)质量大的物体滑行距离较大(B)质量小的物体滑行距离较大(C)两物体滑行距离一样大(D)条件不足,无法比较答案:B★★★★6.一粒钢珠从静止状态开始自由下落,然后陷入泥潭中.若把在空中下落的过程称为过程Ⅰ,进入泥潭直到停住的过程称为过程Ⅱ,则( ).(1995年全国高考试题)【4】(A)过程Ⅰ中钢珠动量的改变量等于重力的冲量(B)过程Ⅱ中阻力的冲量的大小等于过程Ⅰ中重力冲量的大小(C)过程Ⅱ中钢珠克服阻力所做的功等于过程Ⅰ与过程Ⅱ中钢珠所减少的重力势能之和(D)过程Ⅱ中损失的机械能等于过程Ⅰ中钢珠所增加的动能答案:AC★★★★7.在光滑的水平面上,质量为M的平板小车以速度v0作匀速直线运动.质量为m的物体竖直掉在车上.由于物体和车之间的摩擦,经时间t后它们以共同的速度前进,在这个过程中,小车所受摩擦力的大小为_____.【4】答案:()tmMmMv+★★★★8.以2m/s的速度作水平匀速运动的质量为0.1㎏的物体,从某一时刻起受到一个始终与速度方向垂直、大小为2N的力的作用,在作用0.1π(s)后,物体的速度大小是_______m/s,这0.1π(s)内,力对物体的冲量大小为______N·s.【5】答案:2,0.4★★★★9.有一质量为50g的小球,以10m/s的速度垂直射到竖直的墙壁上又被垂直墙壁反弹,落到离墙5m 远的水平地面上.若已知小球击墙点离地高5m,球与墙作用时间为0.05s,求小球与墙撞时墙对球的平均作用力.【4】答案:15N★★★★10.光滑斜面高h=0.8m,质量m=1㎏的滑块从固定的斜面顶端由静止释放,如图所示.滑块滑到底端的过程中(g取l0m/s2):【5】(1)力对滑块所做的功为_____J.(2)滑块的动能增量为_____J.(3)重力对滑块的冲量为______N·s.(4)滑块的动量增量为_____㎏·m/s.答案:(1)8,(2)8,(3)8,(4)4班级:姓名:学号:日期:成绩:动量守恒定律★1.对于任何一个质量不变的物体,下列说法中正确的是( ).(A)物体的动景发生变化,其速率一定变化(B)物体的动量发生变化,其速率不一定变化(C)物体的速率发牛变化,其动量一定变化(D)物体的速率发牛变化,其动量不一定变化答案:BC(提示:速率是标量,而动量是矢量)★2.两个物体在光滑水平面上相向运动,在正碰以后都停下来,那么这两个物体在碰撞以前( ).(A)质量一定相等(B)速度大小一定相等(C)动量大小一定相等(D)动能一定相等答案:C(提示:根据动量守恒定律求解)★★3.质量为m的钢球自高处落下,以速率v1碰地,竖直向上弹回,碰撞时间极短,离地的速率为v2.在碰撞过程中,地面对钢球的冲量的方向和大小为( ).(A)向下,m(v1-v2)(B)向下,m(v1+v2)(C)向上,m(v1-v2)(D)向上,m(v1+v2)答案:D(提示:注意冲量的矢量性,以及它和动量变化量之间的关系)★★4.物体在恒力作用下作直线运动,在t1时间内物体的速度由零增大到v,F对物体做功W1,给物体冲量I1.若在t2时间内物体的速度由v增大到2v,F对物体做功W2,给物体冲量I2,则( ).(A)W1=W2,I1=I2 (B)W1=W2,I1>I2(C)W1<W2,I1=I2 (D)W1>W2,I1=I2答案:C(提示:结合动量定理和动能定理来分析求解)★★★6.原来静止的两小车,用一条被压缩的轻质弹簧连接,如图所示.如果A车的质量为m A=2㎏,B车的质量为A车的2倍,弹簧弹开的时间为0.1s,弹开后B车的速度为v B=1m/s,则B车所受的平均作用力是( ). (A)0.4N (B)40N (C)4N (D)20N答案:B(提示:先对A、B组成的系统运用动量守恒定律,然后对B车运用动量定理求出其作用力)★★★7.如图所示,质量为50g的小球以12m/s的水平速度抛出,恰好与斜面垂直碰撞,其碰撞后的速度的大小恰好等于小球抛出时速度的一半.小球与斜面碰撞过程中所受到的冲量的大小是( ).(A)1.4N·s (B)0.7N·s (C)1.3N·s (D)1.05N·s答案:C(提示:先根据平抛运动的知识求得小球与斜面碰撞前的速度,再结合动量定理求解)★★★8.如图所示,在光滑的水平面上放有两个小球A和B,其质量m A<m B,B球上固定一轻质弹簧.若将A球以速率v去碰撞静止的B球,下列说法中正确的是( ).(A)当弹簧压缩量最大时,两球速率都最小(B)当弹簧恢复原长时,B球速率最大(C)当A球速率为零时,B球速率最大(D)当B球速率最大时,弹性势能不为零答案:B(提示:A、B小球组成的系统动量守恒,同时两球的动能和弹簧的弹性势能之和保持不变)★★★★9.水平拉力F1、F2分别作用在水平面上的物体上一段时间后撤去,使物体都由静止开始运动而后又停下.如物体在这两种情况下的总位移相等,且F1>F2,那么在这样的过程中().(A)F1比F2的冲量大(B)F1比F2的冲量小(C)F1与F2的冲量相等(D)F1与F2的冲量大小无法比较答案:B(提示:可以结合全过程的v-t图像来帮助求解,在图像中,外力撤去后物体的加速度相同)★★★10.如图所示,一轻质弹簧两端连着物体A,B,放在光滑的水平面上,若物体A被水平速度为v0的子弹射中,且后者嵌在物体A的中心,已知物体A 的质量是物体B质量的3/4,子弹质量是物体B的1/4,弹簧被压缩到最短时,求物体A、B的速度.答案:子弹和A、B木块组成的系统动量守恒:vmm43m41mv41'⎪⎭⎫⎝⎛++=,v′=v0/8班级: 姓名: 学号: 日期: 成绩:动量守恒定律★★★★1.质量为m 的小球A 在光滑的水平面上以速度v 与静止在光滑水平面上的质量为2m 的小球B 发生正碰,碰撞后,A 球的动能变为原来的1/9,那么碰撞后B 球的速度夫小可能是( ).【2】 (A)v 31(B)v 32(C)v 94(D)v 98答案:AB★2.在光滑水平直路上停着一辆较长的木板车,车的左端站立一个大人,车的右端站立一个小孩.如果大人向右走,小孩(质量比大人小)向左走.他们的速度大小相同,则在他们走动过程中( ).【1】 (A)车可能向右运动(B)车一定向左运动 (C)车可能保持静止(D)无法确定 答案:B★★3.质量为m 的平板小车静止在光滑的水平面上,一个质量为M 的人立于小车的一端.当人从车的一端走向另一端的过程中,下列说法中正确的是( ).【2】 (A)人对小车压力的冲量,使小车与人沿同方向运动 (B)人对小车摩擦力的冲量,使小车产生与人运动方向相反的动量(C)人与小车的动量在任一时刻都大小相等而方向相反 (D)人与车的瞬时速度总是大小相等力向相反 答案:BC★★4.质量分别为60㎏和70㎏的甲、乙两人,分别同时从原来静止的在光滑水平面上的小车两端.以3m/s 的水平初速度沿相反方向跳到地面上.若小车的质量为20㎏.则当两人跳离小车后,小车的运动速度为( ). (A)19.5m/s.方向与甲的初速度方向相同 (B)19.5m/s,方向与乙的初速度方向相同 (C)1.5m/s,方向与甲的初速度方向相同 (D)1.5m/s,方向与乙的初速度方向相同 答案:C★★5.质量相同的物体A 、B 静止在光滑的水平面上,用质量和水平速度相同的子弹a 、b 分别射击A 、B,最终a 子弹留在A 物体内,b 子弹穿过B,A 、B 速度大小分别为v A 和v B ,则( ).(A)v A >v B (B)v A <v B (C)v A =v B (D)条件不足,无法判定 答案:A★★6.在光滑的水平面上有两个静止小车,车上各站着一个运动员.两车(包含负载)的总质量均为M.设甲车上的人接到一个质量为m 、沿水平方向抛来的速度为v 的篮球;乙车上的人把原来在车上的一个同样的篮球沿水平方向以同样速度抛出去,则这两种情况下,甲、乙两车所获得速度大小的关系是( ).【2】 (A)v 甲>v 乙(B)v 甲<v 乙(C)v 甲=v 乙(D)不同的M,m 及v 值结论不同 答案:B★★7.质量为m=100㎏的小船静止在水面上,船上左、右两端各站着质量分别为m 甲=40㎏,m 乙=60㎏的游泳者,当他们在同一水平线上,甲朝左,乙朝右,同时以相对河岸3m/s 的速率跃入水中时,小船运动方向为_______,运动速率为_____m/s.【2】 答案:向左,0.6★★8.如图所示,将两条完全相同的磁铁分别固定在质量相等的小下上,水平面光滑,开始时甲下速度大小为3m/s,乙车速度大小为2m/s,方向相反并在同一直线上,当乙车的速度为零时.甲车速度为_____m/s,方向_____.【2】 答案:1,方向向右★★9.在水平轨道上放置一门质量为M 的炮车,发射质量为m 的炮弹,炮下与轨道间摩擦不计,当炮身与水平方向成θ角发射炮弹时,炮弹相对地面出射的速度为v 0,则此时炮身后退的速度v′=________.【2】 答案:Mcos mv 0θ★★10.如图所示,一辆质量为M 的小车以速度v 1光滑水平面上运动,一质量为m 、速度为v 2物体以俯角为θ的方向落到车上并埋在车里的砂中,此时小车的速度为_____.【2】 答案:mM Mvcos mv 12++θ班级: 姓名: 学号: 日期: 成绩:动量守恒定律的应用★1.相向运动的A 、B 两辆小车相撞后,一同沿A 原来的方向前进,这是由于( ).【0.5】(A)A 车的质量一定大于B 车的质量(B)A 车的速度一定大于B 车的速度(C)A 车的动量一定大于B 车的动量(D)A 车的动能一定大于B 车的动能量 答案:C★2.一个静止的质量为m 的不稳定原子核,当它完成一次α衰变.以速度v 发射出一个质量为m α的α粒子后,其剩余部分的速度等于( ).【0.5】 (A)v mm α-(B)-v(C)v m -m m αα(D)v m -m m αα-答案:D★3.在两个物体碰撞前后,下列说法中可以成立的是( ). (A)作用后的总机械能比作用前小,但总动量守恒 (B)作用前后总动量均为零,但总动能守恒 (C)作用前后总动能为零,而总动量不为零(D)作用前后总动景守恒,而系统内各物体的动量增量的总和不为零 答案:AB★★4.在光滑的水平面上有两个质量均为m 的小球A 和B,B 球静止,A 球以速度v 和B 球发生碰撞,碰后两球交换速度.则A 、B 球动量的改变量Δp A 、Δp B 和A 、B 系统的总动量的改变Δp 为( ).【1】 (A)△p A =mv,△p B =-mv,△p=2mv (B)△p A ,△p B =-mv,Δp=0 (C)Δp A =0,Δp B =mv,Δp=mv (D)△p A =-mv,Δp B =mv,Δp=0 答案:D★★5.向空中发射一物体,不计空气阻力,当此物体的速度恰好沿水平方向时,物体炸裂成a 、b 两块,若质量较大的a 块的速度方向仍沿原来的方向,则( ).【1】 (A)b 的速度方向一定与原来速度方向相同(B)在炸裂过程中,a 、b 受到的爆炸力的冲量一定相同(C)从炸裂到落地这段时间里,a 飞行的水平距离一定比b 的大(D)a 、b 一定同时到达水平地面 答案:D★★6.大小相同质量不等的A 、B 两球,在光滑水平面上作直线运动,发生正碰撞后分开.已知碰撞前A 的动量p A =20㎏·m/s,B 的动量p B =-30㎏·m/s,碰撞后A 的动量p A =-4㎏·m/s,则:【2】 (1)碰撞后B 的动量p B =_____㎏·m/s. (2)碰撞过程中A 受到的冲量=______N·s.(3)若碰撞时间为0.01s,则B 受到的平均冲力大小为_____N.答案:(1)-6(2)-24(3)2400★★7在光滑的水平面上有A 、B 两个小球向右沿同一直线运动,取向右为正方向,两球的动量分别为p A =5㎏·m/s,p B =7㎏·m/s,如图所示.若两球发生正碰,则碰后两球的动量增量Δp A 、Δp B 可能是().【2】(A)Δp A =3㎏·m/s,Δp B =3㎏·m/s (B)Δp A =-3㎏·m/s,Δp B =3㎏·m/s (C)Δp A =3㎏·m/s,Δp B =-3㎏·m/s (D)Δp A =-10㎏·m/s,△p B =10㎏·m/s 答案:B★★★8.一个不稳定的原子核质量为M,处于静止状态.放出一个质量为m 的粒r 后反冲.已知放出的粒子的动能为E 0,则原子核反冲的动能为().【2.5】 (A)E 0(B)0E Mm (C)0E m-M m (D)02E m)-(M Mm答案:C★★★9.如图所示,两个完全相同的小球A 、B 用等长的细线悬于O 点.线长L.若将A 由图示位置静止释放,则B 球被碰后第一次速度为零时的高度可能是().【2.5】 (A)L/2(B)L/4 (C)L/8(D)L/10 答案:ABC。
1.质点运动学单元练习(一)答案1.B 2.D 3.D 4.B5.3.0m ;5.0m (提示:首先分析质点的运动规律,在t <2.0s 时质点沿x 轴正方向运动;在t =2.0s 时质点的速率为零;,在t >2.0s 时质点沿x 轴反方向运动;由位移和路程的定义可以求得答案。
)6.135m (提示:质点作变加速运动,可由加速度对时间t 的两次积分求得质点运动方程。
)7.解:(1))()2(22SI jt i t r -+=)(21m ji r+= )(242m ji r-=)(3212m ji r r r-=-=∆)/(32s m ji t r v -=∆∆=(2))(22SI j t i dtrd v -== )(2SI jdtvd a -==)/(422s m j i v-= )/(222--=s m ja8.解:t A tdt A adt v tot oωω-=ωω-==⎰⎰sin cos 2t A tdt A A vdt A x tot oω=ωω-=+=⎰⎰cos sin9.解:(1)设太阳光线对地转动的角速度为ωs rad /1027.73600*62/5-⨯=π=ωs m th dt ds v /1094.1cos 32-⨯=ωω==(2)当旗杆与投影等长时,4/π=ωth s t 0.31008.144=⨯=ωπ=10.解: ky yv v t y y v t dv a -====d d d d d d d -k =y v d v / d y⎰⎰+=-=-C v ky v v y ky 222121,d d 已知y =y o ,v =v o 则20202121ky v C --= )(2222y y k v v o o -+=2.质点运动学单元练习(二)答案1.D 2.A 3.B 4.C5.14-⋅==s m t dt ds v ;24-⋅==s m dtdva t ;2228-⋅==s m t Rv a n ;2284-⋅+=s m e t e a nt6.s rad o /0.2=ω;s rad /0.4=α;2/8.0s rad r a t =α=;22/20s m r a n =ω=7.解:(1)由速度和加速度的定义)(22SI ji t dt rd v +==;)(2SI idtvd a ==(2)由切向加速度和法向加速度的定义)(124422SI t t t dt d a t +=+=)(12222SI t a a a t n +=-=(3)())(122/322SI t a v n+==ρ8.解:火箭竖直向上的速度为gt v v o y -︒=45sin 火箭达到最高点时垂直方向速度为零,解得s m gtv o /8345sin =︒=9.解:s m uv /6.3430tan =︒=10.解:l h v u ≤;u hl v ≥3.牛顿定律单元练习答案1.C 2.C 3.A 4.kg Mg T 5.36721==;2/98.02.0s m MT a == 5.x k v x 22=;x x xv k dtdxk dt dv v 222== 221mk dt dv mf x x == 6.解:(1)ma F F N T =θ-θsin cosmg F F N T =θ+θcos sinθ-θ=θ+θ=sin cos ;cos sin ma mg F ma mg F N T(2)F N =0时;a =g cot θ7.解:mg R m o ≥ωμ2 Rgo μ≥ω 8.解:由牛顿运动定律可得dtdv t 1040120=+ 分离变量积分()⎰⎰+=tovdt t dv 4120.6 )/(6462s m t t v ++=()⎰⎰++=toxdt t t dx 64620.5 )(562223m t t t x +++=9.解:由牛顿运动定律可得dtdv mmg kv =+- 分离变量积分⎰⎰-=+t o vv o dt m k mg kv kdv o t m k mg kv mg o -=⎪⎪⎭⎫ ⎝⎛+ln ⎪⎪⎭⎫ ⎝⎛+=⎪⎪⎭⎫ ⎝⎛+-=mg kv k m mg kv mgk m t o o 1ln ln10.解:设f 沿半径指向外为正,则对小珠可列方程 a v m f mg 2cos =-θ,t vm mg d d sin =θ,以及 ta v d d θ=,θd d v a t =,积分并代入初条件得 )cos 1(22θ-=ag v ,)2cos 3(cos 2-=-=θθmg av m mg f .4.动量守恒和能量守恒定律单元练习(一)答案1.A ; 2.A ; 3.B ; 4.C ; 5.相同 6.2111m m t F v +∆=;2212m t F v v ∆+=7.解:(1)t dt dxv x 10==;10==dtdv a x x N ma F 20==;m x x x 4013=-=∆J x F W 800=∆=(2)s N Fdt I ⋅==⎰40318.解:()1'v m m mv +=()221221'2121o kx v m m mv ++= ()''m m k mm vx +=9.解: 物体m 落下h 后的速度为 gh v 2=当绳子完全拉直时,有 ()'2v M m gh m +=gh mM m v 2'+=gh mM mMMv I I T 22'22+===10.解:设船移动距离x ,人、船系统总动量不变为零0=+mv Mu等式乘以d t 后积分,得0=+⎰⎰totomvdt Mudt0)(=-+l x m Mx m mM mlx 47.0=+=5.动量守恒和能量守恒定律单元练习(二)答案1.C 2.D 3.D 4.C 5.18J ;6m/s 6.5/37.解:摩擦力mg f μ=由功能原理 2121210)(kx x x f -=+- 解得 )(22121x x mg kx +=μ.8.解:根据牛顿运动定律 Rv m F mg N 2cos =-θ由能量守恒定律mgh mv =221质点脱离球面时 RhR F N -=θ=cos ;0 解得:3R h =9.解:(1)在碰撞过程中,两球速度相等时两小球间距离最小 v v v )(212211m m m m +=+ ①212211m m v m v m v ++=(2) 两球速度相等时两小球间距离最小,形变最大,最大形变势能等于总动能之差22122221)(212121v v v m m m m E p +-+=② 联立①、②得 )/()(212122121m m m m E p +-=v v10.解:(1)由题给条件m 、M 系统水平方向动量守恒,m 、M 、地系统机械能守恒.0)(=--MV V u m ①mgR MV V u m =+-2221)(21 ②解得: )(2m M M gRmV +=;MgRm M u )(2+=(2) 当m 到达B 点时,M 以V 运动,且对地加速度为零,可看成惯性系,以M 为参考系 R mu mg N /2=-M mg m M mg R mu mg N /)(2/2++=+= mg MmM M mg m M Mmg N 23)(2+=++=6.刚体转动单元练习(一)答案1.B 2.C 3.C 4.C5.v = 1.23 m/s ;a n = 9.6 m/s 2;α = –0.545 rad/ s 2;N = 9.73转。
大学物理第一卷活页作业答案刘兆龙1、通电线圈在磁场中受到磁场力的作用而转动时,将机械能转化为电能[判断题] *对错(正确答案)答案解析:电能转化为机械能2、在足球比赛中,下列说法正确的是()[单选题]A.飞行过程中,足球不受力的作用B.头顶足球时头会感到疼,说明力的作用是相互的(正确答案)C.下落过程中,足球的惯性变大D.足球在地面上越滚越慢,说明物体的运动需要力来维持3、小林在水平路面上匀速直线骑自行车,自行车受到的重力跟地面对自行车的支持力二力平衡[判断题] *对错(正确答案)答案解析:以自行车与小林整体为研究对象,他们的总重力跟地面对自行车的支持力二力平衡4、42.下列场景与所蕴含的物理知识对应完全正确的是()[单选题] *A.体育训练后满头大汗,回到教室不停扇风——提高液体温度加快蒸发B.手拿着一瓶冰冻矿泉水,一段时间后冰减少,手感到凉——熔化吸热(正确答案)C.清晨操场边的双杠上铺满了一层霜——霜是水蒸气凝固形成的D.戴眼镜的小卉从寒冷教室外走进温暖的教室内,眼镜镜片模糊不清——汽化放热5、17.影视剧中,为了防止演员受伤,砸向演员的道具石头一般是用泡沫塑料制成的。
将小石块和道具石头分别放在调节好的天平左右盘,横梁静止后的情景如图所示。
下列说法正确的是()[单选题] *A.道具石头的质量比小石块的质量大B.道具石头的密度比小石块的密度大C.质量相同时,道具石头的体积比小石块的体积小D.体积相同时,道具石头的质量比小石块的质量小(正确答案)6、77.小明研究液体密度时,用两个完全相同的容器分别装入甲、乙两种液体,并绘制出总质量m与液体体积V的关系图象如图所示,由图象可知()[单选题] *A.容器的质量是40kgB.甲液体的密度是5g/cm3C.乙液体的密度是0g/cm3(正确答案)D.密度是0g/cm3 的液体的m﹣V图象应位于Ⅲ区域7、14.自习课上,老师能根据声音辨别出哪位同学在说话,依据的是声音的()[单选题] *A.音调B.音色(正确答案)C.响度D.频率8、下列事例中,利用热传递改变物体内能的是()[单选题]A.流星坠入大气层与空气摩擦生热B.用锯条锯木头,锯条发热C.人站在阳光下暴晒,感到很热(正确答案)D.古时候,人们利用钻木取火9、动圈式扬声器利用了电磁感应的原理[判断题] *对错(正确答案)答案解析:动圈式扬声器利用了通电导体在磁场中受力的原理,动圈式话筒利用了电磁感应的原理10、4.在周一的升旗仪式上,海右中学的全体师生高唱国歌。
说明为方便各位老师和读者使用大学物理活页习题集,特编写与之配套的习题参考答案。
由于编者水平所限,难免存在错误疏漏之处,恳请读者批评指正。
编者2012年12月单元1 质点运动学(一)一、选择题 1. A 2. B 3. B 4. C 5. C二、填空题1. 匀速直线; 匀速率; 圆周; 匀速率曲线。
2. 一; 三。
3.a 25; j i 2-aa +; ; ; 0。
j v 2-v 24. ; ; 。
m/s 80i m/s 110i 2m/s 20i 5. ; 。
x k a 2=ktx k a e 02=三、判断题(判断正误,并简述理由) 1. × 2. × 3. × 4. × 5. ×四、计算题 1. ;;()j i r ktktb a t -ee +=ab xy =()j i v kt kt bk ak t -e -e =;()j i a kt kt bk ak t -22e e +=。
2. (); m 11540-193k j i +()m/s 4130-144k j i +; ()2m/s 810-72k j i +; ; ()m 10040-192k j i +()m/s 2510-48k j i +。
3. i u xh x 22-+; i 232-u x h 。
4. ()t L y ωtan =; L v ω34=; L a 2938ω=; 加速上升。
5. ; 下午4时整。
m/s 1036.13-⨯6. ( ; 。
)m/s 84j i +2m/s 16j单元2 质点运动学(二)一、选择题 1. C 2. D 3. A 4. A 5. B二、填空题1. ()m/s 31-4-13t t t v +=; ()m 121-2-4342t t t t x +=。
2. 2+2=200t kv v v 。
3. ; ; ; 203+t ω300++t t ωθRt 6()2203t R +ω。
1.质点运动学单元练习(一)答案1.B2.D3.D4.B5.3.0m ;5.0m (提示:首先分析质点的运动规律,在t <2.0s 时质点沿x 轴正方向运动;在t =2.0s 时质点的速率为零;,在t >2.0s 时质点沿x 轴反方向运动;由位移和路程的定义可以求得答案。
)6.135m (提示:质点作变加速运动,可由加速度对时间t 的两次积分求得质点运动方程。
)7.解:(1))()2(22SI jt i t r -+= )(21m j i r += )(242m ji r -= )(3212m ji r r r -=-=∆ )/(32s m j i t r v -=∆∆=(2))(22SI j t i dtr d v -== )(2SI j dt v d a -==)/(422s m j i v -= )/(222--=s m ja 8.解:t A tdt A adt v t ot o ωω-=ωω-==⎰⎰sin cos 2 t A tdt A A vdt A x to t o ω=ωω-=+=⎰⎰cos sin9.解:(1)设太阳光线对地转动的角速度为ωs rad /1027.73600*62/5-⨯=π=ω s m th dt ds v /1094.1cos 32-⨯=ωω== (2)当旗杆与投影等长时,4/π=ωth s t 0.31008.144=⨯=ωπ= 10.解: ky y v v t y y v t dv a -====d d d d d d d -k =y v d v / d y⎰⎰+=-=-C v ky v v y ky 222121, d d 已知y =y o ,v =v o 则20202121ky v C --= )(2222y y k v v o o -+=2.质点运动学单元练习(二)答案1.D2.A1质点运动学单元练习一答案—3 3.B4.C5.14-⋅==s m t dt ds v ;24-⋅==s m dt dv a t ;2228-⋅==s m t R v a n ;2284-⋅+=s m e t e a nt 6.s rad o /0.2=ω;s rad /0.4=α;2/8.0s rad r a t =α=; 22/20s m r a n =ω=7.解:(1)由速度和加速度的定义)(22SI j i t dt r d v +==;)(2SI i dt v d a ==(2)由切向加速度和法向加速度的定义)(124422SI t t t dt d a t +=+= )(12222SI t a a a t n +=-=(3)())(122/322SI t a v n +==ρ8.解:火箭竖直向上的速度为gt v v o y -︒=45sin火箭达到最高点时垂直方向速度为零,解得s m gt v o /8345sin =︒= 9.解:s m u v /6.3430tan =︒=10.解:l h v u ≤;u hl v ≥ 3.牛顿定律单元练习答案1.C2.C3.A4.kg Mg T 5.36721==;2/98.02.0s m MT a == 5.x k v x 22=;x x x v k dt dx k dt dv v 222== 221mk dt dv m f x x == 6.解:(1)ma F F N T =θ-θsin cosmg F F N T =θ+θcos sinθ-θ=θ+θ=sin cos ;cos sin ma mg F ma mg F N T(2)F N =0时;a =g cot θ7.解:mg R m o ≥ωμ2 Rg o μ≥ω 8.解:由牛顿运动定律可得dtdv t 1040120=+1质点运动学单元练习一答案—5分离变量积分()⎰⎰+=t o v dt t dv 4120.6 )/(6462s m t t v ++= ()⎰⎰++=t o x dt t t dx 64620.5 )(562223m t t t x +++= 9.解:由牛顿运动定律可得dtdv mmg kv =+- 分离变量积分 ⎰⎰-=+t o vv o dt m k mg kv kdv o t m k mg kv mg o -=⎪⎪⎭⎫ ⎝⎛+ln ⎪⎪⎭⎫ ⎝⎛+=⎪⎪⎭⎫ ⎝⎛+-=mg kv k m mg kv mg k m t o o 1ln ln10.解:设f 沿半径指向外为正,则对小珠可列方程1. av m f mg 2cos =-θ, tv m mg d d sin =θ, 以及 ta v d d θ=,θd d v a t =, 积分并代入初条件得 )cos 1(22θ-=ag v ,)2cos 3(cos 2-=-=θθmg av m mg f .4.动量守恒和能量守恒定律单元练习(一)答案1.A ;2.A ;3.B ;4.C ;5.相同6.2111m m t F v +∆=;2212m t F v v ∆+= 7.解:(1)t dt dx v x 10==;10==dtdv a x x N ma F 20==;m x x x 4013=-=∆J x F W 800=∆=(2)s N Fdt I ⋅==⎰40318.解:()1'v m m mv +=()221221'2121o kx v m m mv ++= ()''m m k mm v x += 9.解: 物体m 落下h 后的速度为 gh v 2=1质点运动学单元练习一答案—7当绳子完全拉直时,有 ()'2v M m gh m +=gh m M mv 2'+= gh mM mM Mv I I T 22'22+=== 10.解:设船移动距离x ,人、船系统总动量不变为零0=+mv Mu等式乘以d t 后积分,得0=+⎰⎰to to mvdt Mudt 0)(=-+l x m Mx m mM ml x 47.0=+= 5.动量守恒和能量守恒定律单元练习(二)答案1.C2.D3.D4.C5.18J ;6m/s6.5/37.解:摩擦力mg f μ=由功能原理 2121210)(kx x x f -=+-解得 )(22121x x mg kx +=μ. 8.解:根据牛顿运动定律 Rv m F mg N 2cos =-θ 由能量守恒定律 mgh mv =221 质点脱离球面时 R h R F N -=θ=cos ;0 解得:3R h = 9.解:(1)在碰撞过程中,两球速度相等时两小球间距离最小v v v )(212211m m m m +=+ ①212211m m v m v m v ++= (2) 两球速度相等时两小球间距离最小,形变最大,最大形变势能等于总动能之差22122221)(212121v v v m m m m E p +-+= ② 联立①、②得 )/()(212122121m m m m E p +-=v v 10.解:(1)由题给条件m 、M 系统水平方向动量守恒,m 、M 、地系统机械能守恒.0)(=--MV V u m ①mgR MV V u m =+-2221)(21 ②1质点运动学单元练习一答案—9解得: )(2m M M gR m V +=;MgR m M u )(2+= (2) 当m 到达B 点时,M 以V 运动,且对地加速度为零,可看成惯性系,以M 为参考系 R mu mg N /2=-M mg m M mg R mu mg N /)(2/2++=+= mg Mm M M mg m M Mmg N 23)(2+=++=6.刚体转动单元练习(一)答案1.B2.C3.C4.C5.v = 1.23 m/s ;a n = 9.6 m/s 2;α = –0.545 rad/ s 2;N = 9.73转。
1、质点运动学单元练习(一)答案1.B2.D3.D4.B5.3、0m;5、0m(提示:首先分析质点得运动规律,在t <2、0s 时质点沿x 轴正方向运动;在t =2、0s 时质点得速率为零;,在t >2、0s 时质点沿x 轴反方向运动;由位移与路程得定义可以求得答案。
)6.135m(提示:质点作变加速运动,可由加速度对时间t 得两次积分求得质点运动方程。
)7.解:(1))()2(22SI jt i t r)(21m ji r)(242m ji r)(3212m ji r r r)/(32s m ji t r v(2))(22SI j t i dtrd v )(2SI jdt vd a)/(422s m j i v)/(222 s m ja8.解:t A tdt A adt v totosin cos 2t A tdt A A vdt A x totocos sin9.解:(1)设太阳光线对地转动得角速度为ωs rad /1027.73600*62/5s m th dt ds v /1094.1cos 32(2)当旗杆与投影等长时,4/ th s t 0.31008.14410.解: ky yv v t y y v t dv ad d d d d d d -k y v d v / d yC v ky v v y ky 222121,d d 已知y =y o ,v =v o 则20202121ky v C )(2222y y k v v o o2、质点运动学单元练习(二)答案1.D2.A3.B4.C5.14 s m t dt ds v ;24s m dtdva t ;2228 s m t Rv a n ;2284 s m e t e a nt6.s rad o /0.2 ;s rad /0.4 ;2/8.0s rad r a t ;22/20s m r a n7.解:(1)由速度与加速度得定义)(22SI ji t dt rd v ;)(2SI idtv d a(2)由切向加速度与法向加速度得定义)(124422SI t t t dt d a t)(12222SI t a a a t n(3))(122/322SI t a v n8.解:火箭竖直向上得速度为gt v v o y 45sin 火箭达到最高点时垂直方向速度为零,解得s m gtv o /8345sin9.解:s m uv /6.3430tan10.解:l h v u ;u hl v 3、牛顿定律单元练习答案1.C2.C3.A4.kg Mg T5.36721;2/98.02.0s m MT a5.x k v x 22 ;x x xv k dt dxk dt dv v 222 221mk dt dv mf x x 6.解:(1)ma F F N T sin cosmg F F N T cos sinsin cos ;cos sin ma mg F ma mg F N T(2)F N =0时;a =g cot θ7.解:mg R m o 2Rg o8.解:由牛顿运动定律可得dtdv t 1040120 分离变量积分t o vdt t dv 4120.6 )/(6462s m t tvtoxdt t tdx 64620.5 )(562223m t t t x9.解:由牛顿运动定律可得dtdv mmg kv 分离变量积分t o vv o dt m k mg kv kdv ot m kmg kv mg olnmg kv k m mg kv mg k m t o o 1ln ln10.解:设f 沿半径指向外为正,则对小珠可列方程a v m f mg 2cos ,t vm mg d d sin ,以及 ta v d d, d d v a t ,积分并代入初条件得 )cos 1(22 ag v ,)2cos 3(cos 2mg av m mg f .4、动量守恒与能量守恒定律单元练习(一)答案1.A;2.A;3.B;4.C;5.相同6.2111m m t F v;2212m t F v v 7.解:(1)t dt dxv x 10;10 dtdv a x x N ma F 20 ;m x x x 4013J x F W 800(2)s N Fdt I40318.解: 1'v m m mv221221'2121o kx v m m mv''m m k mm vx9.解: 物体m 落下h 后得速度为 gh v 2当绳子完全拉直时,有 '2v M m gh mgh mM m v 2'gh mM mMMv I I T 22'2210.解:设船移动距离x ,人、船系统总动量不变为零0 mv Mu等式乘以d t 后积分,得totomvdt Mudt0)( l x m Mx m mM mlx 47.05、动量守恒与能量守恒定律单元练习(二)答案1.C2.D3.D4.C5.18J;6m/s6.5/37.解:摩擦力mg f由功能原理 2121210)(kx x x f解得 )(22121x x mg kx 、8.解:根据牛顿运动定律 Rv m F mg N 2cos由能量守恒定律mgh mv 221质点脱离球面时 RhR F Ncos ;0 解得:3R h9.解:(1)在碰撞过程中,两球速度相等时两小球间距离最小 v v v )(212211m m m m ①212211m m v m v m v(2) 两球速度相等时两小球间距离最小,形变最大,最大形变势能等于总动能之差22122221)(212121v v v m m m m E p② 联立①、②得 )/()(212122121m m m m E pv v 10.解:(1)由题给条件m 、M 系统水平方向动量守恒,m 、M 、地系统机械能守恒.0)( MV V u m ① mgR MV V u m 2221)(21 ② 解得: )(2m M M gRmV ;MgRm M u )(2(2) 当m 到达B 点时,M 以V 运动,且对地加速度为零,可瞧成惯性系,以M 为参考系 R mu mg N /2M mg m M mg R mu mg N /)(2/2mg MmM M mg m M Mmg N 23)(26、刚体转动单元练习(一)答案1.B2.C3.C4.C5.v = 1、23 m/s;a n = 9、6 m/s 2;α = –0、545 rad/ s 2;N = 9、73转。
大学物理活页作业答案(全套)马文蔚(一)引言概述:本文提供了马文蔚编写的大学物理活页作业答案(一)的全套内容。
这份答案包含了大学物理课程中一系列活动练习的详细解答,旨在帮助学生巩固和加深对物理知识的理解。
下面将从五个大点展开讨论,每个大点下包含了5-9个具体小点的解答。
一、力和运动1. 描述力的性质和单位2. 计算力的合成和分解3. 分析力的平衡和不平衡状态4. 探讨惯性和摩擦力的作用5. 研究稳定和不稳定的力系统二、能量和动能1. 解释和计算势能和动能2. 探讨能量转化和守恒定律3. 分析弹性势能和弹性系数的关系4. 计算动能和功的关系5. 研究动能定理和机械能守恒的应用三、物体的平衡1. 描述物体的平衡状态2. 计算物体受力平衡的条件3. 探讨平衡力和摩擦力的作用4. 研究力矩和转动平衡的关系5. 分析平衡问题的实际应用四、电磁场的基本原理1. 解释电荷和电场的概念2. 探讨电场线和电势的特性3. 分析电场中带电粒子的运动4. 计算电场的强度和电势差5. 研究电势能和电场能的关系五、电磁感应和电磁波1. 描述磁感线和磁场的性质2. 解释法拉第电磁感应定律3. 计算感应电动势和感应磁场的大小4. 探讨电磁波的产生和传播5. 分析电磁波和电磁辐射的应用总结:本文提供了马文蔚编写的大学物理活页作业答案(一)的全套内容。
这份答案涵盖了大学物理课程中涉及的力和运动、能量和动能、物体的平衡、电磁场的基本原理以及电磁感应和电磁波等五个大点的重要知识点。
希望这份答案能够对学生们的学习和理解提供有益的帮助。
1.质点运动学单元练习(一)答案1.B 2.D 3.D 4.B5.3.0m ;5.0m (提示:首先分析质点的运动规律,在t <2.0s 时质点沿x 轴正方向运动;在t =2.0s 时质点的速率为零;,在t >2.0s 时质点沿x 轴反方向运动;由位移和路程的定义可以求得答案。
)6.135m (提示:质点作变加速运动,可由加速度对时间t 的两次积分求得质点运动方程。
)7.解:(1))()2(22SI jt i t r -+=)(21m ji r+= )(242m ji r-=)(3212m ji r r r-=-=∆)/(32s m ji t r v -=∆∆=(2))(22SI j t i dtrd v -== )(2SI jdt vd a -==)/(422s m j i v-=)/(222--=s m ja8.解:t A tdt A adt v totoωω-=ωω-==⎰⎰sin cos 2t A tdt A A vdt A x tot oω=ωω-=+=⎰⎰cos sin9.解:(1)设太线对地转动的角速度为ωs rad /1027.73600*62/5-⨯=π=ωs m th dt ds v /1094.1cos 32-⨯=ωω==(2)当旗杆与投影等长时,4/π=ωth s t 0.31008.144=⨯=ωπ=10.解: ky yv v t y y v t dv a -====d d d d d d d -k =y v d v / d y⎰⎰+=-=-C v ky v v y ky 222121,d d 已知y =y o ,v =v o 则20202121ky v C --= )(2222y y k v v o o -+=2.质点运动学单元练习(二)答案1.D 2.A 3.B 4.C5.14-⋅==s m t dt ds v ;24-⋅==s m dtdva t ;2228-⋅==s m t Rv a n ;2284-⋅+=s m e t e a nt6.s rad o /0.2=ω;s rad /0.4=α;2/8.0s rad r a t =α=;22/20s m r a n =ω=7.解:(1)由速度和加速度的定义)(22SI ji t dt rd v +==;)(2SI idtvd a ==(2)由切向加速度和法向加速度的定义)(124422SI t t t dt d a t +=+=)(12222SI t a a a t n +=-=(3)())(122/322SI t a v n+==ρ8.解:火箭竖直向上的速度为gt v v o y -︒=45sin火箭达到最高点时垂直方向速度为零,解得s m gtv o /8345sin =︒=9.解:s m uv /6.3430tan =︒=10.解:l h v u ≤;u hl v ≥3.牛顿定律单元练习答案1.C 2.C 3.A 4.kg Mg T 5.36721==;2/98.02.0s m MT a == 5.x k v x 22=;x x xv k dtdxk dt dv v 222== 221mk dt dv mf x x == 6.解:(1)ma F F N T =θ-θsin cosmg F F N T =θ+θcos sinθ-θ=θ+θ=sin cos ;cos sin ma mg F ma mg F N T(2)F N =0时;a =g cot θ7.解:mg R m o ≥ωμ2Rg o μ≥ω 8.解:由牛顿运动定律可得dtdv t 1040120=+ 分离变量积分()⎰⎰+=tovdt t dv 4120.6 )/(6462s m t t v ++=()⎰⎰++=t oxdt t tdx 6462.5 )(562223m t t t x +++=9.解:由牛顿运动定律可得dtdvmmg kv =+- 分离变量积分⎰⎰-=+t o vv o dt m k mg kv kdv ot m kmg kv mg o -=⎪⎪⎭⎫ ⎝⎛+ln ⎪⎪⎭⎫ ⎝⎛+=⎪⎪⎭⎫ ⎝⎛+-=mg kv k m mg kv mg k m t o o 1ln ln10.解:设f 沿半径指向外为正,则对小珠可列方程 a v m f mg 2cos =-θ,t vm mg d d sin =θ,以及 ta v d d θ=,θd d v a t =,积分并代入初条件得 )cos 1(22θ-=ag v ,)2cos 3(cos 2-=-=θθmg av m mg f .4.动量守恒和能量守恒定律单元练习(一)答案1.A ; 2.A ; 3.B ; 4.C ; 5.相同 6.2111m m t F v +∆=;2212m t F v v ∆+= 7.解:(1)t dt dxv x 10==;10==dtdv a x x N ma F 20==;m x x x 4013=-=∆J x F W 800=∆=(2)s N Fdt I ⋅==⎰40318.解:()1'v m m mv +=()221221'2121o kx v m m mv ++= ()''m m k mm vx +=9.解: 物体m 落下h 后的速度为 gh v 2=当绳子完全拉直时,有 ()'2v M m gh m +=gh mM m v 2'+=gh mM mMMv I I T 22'22+===10.解:设船移动距离x ,人、船系统总动量不变为零0=+mv Mu等式乘以d t 后积分,得0=+⎰⎰totomvdt Mudt0)(=-+l x m Mx m mM mlx 47.0=+=5.动量守恒和能量守恒定律单元练习(二)答案1.C 2.D 3.D 4.C 5.18J ;6m/s 6.5/37.解:摩擦力mg f μ=由功能原理 2121210)(kx x x f -=+- 解得 )(22121x x mg kx +=μ.8.解:根据牛顿运动定律 Rv m F mg N 2cos =-θ由能量守恒定律mgh mv =221质点脱离球面时 RhR F N -=θ=cos ;0 解得:3R h =9.解:(1)在碰撞过程中,两球速度相等时两小球间距离最小 v v v )(212211m m m m +=+ ①212211m m v m v m v ++=(2) 两球速度相等时两小球间距离最小,形变最大,最大形变势能等于总动能之差22122221)(212121v v v m m m m E p +-+=② 联立①、②得 )/()(212122121m m m m E p +-=v v10.解:(1)由题给条件m 、M 系统水平方向动量守恒,m 、M 、地系统机械能守恒.0)(=--MV V u m ① mgR MV V u m =+-2221)(21 ② 解得: )(2m M M gRmV +=;MgRm M u )(2+=(2) 当m 到达B 点时,M 以V 运动,且对地加速度为零,可看成惯性系,以M 为参考系 R mu mg N /2=-M mg m M mg R mu mg N /)(2/2++=+=mg MmM M mg m M Mmg N 23)(2+=++=6.刚体转动单元练习(一)答案1.B 2.C 3.C 4.C5.v = 1.23 m/s ;a n = 9.6 m/s 2;α = –0.545 rad/ s 2;N = 9.73转。
6.2ln kJ7.解:(1)由转动定律,2/2.39s rad JFr==α (2)由刚体转动的动能定理J Fh E E k k 490==∆= (3)根据牛顿运动定律和转动定律:mg –F ’=ma rF ’=J α a=r α联立解得飞轮的角加速度22/8.21s rad mrJ mg =+=α 8.解:(1)由转动定律 α=2312ml l mglg 23=α (2)取棒与地球为系统,机械能守恒mgl E k 21=(3)棒下落到竖直位置时22312121ω⋅⋅=ml mgl lg3=ω 9.解:(1)系统的能量守恒,有222121ω+=J mv mgh ω=r v联立解得: J mr mghr v +=222 ; Jmr mgh+=ω22(2)设绳子对物体(或绳子对轮轴)的拉力为T ,则根据牛顿运动定律和转动定律得:mg – T =ma T r =J由运动学关系有: a = r 联立解得: 2mrJ mgJT +=10.解:以中心O 为原点作坐标轴Ox 、Oy 和O z 如图所示,取质量为y x m d d d ρ=式中面密度ρ为常数,按转动惯量定义,)(12)()(3322222222b a ab y y x x m y x a a b b +ρ=+ρ=+=⎰⎰⎰--d d d z J 薄板的质量 ab m ρ= 所以 )(1222b a m J +=z7.刚体转动单元练习(二)答案1.C 2.A 3.D 4.B 5.o ω3;o J 31 6.o ω34;221o o J ω 7.解:小球转动过程中角动量守恒ω=ω422o o or m mr o ω=ω42222232121o o o mr J J W ω=ω-ω=8.子弹与木杆在水平方向的角动量守恒ω⎪⎪⎭⎫ ⎝⎛⎪⎭⎫ ⎝⎛+=2221221212l m l m l v m ()l m m v m 21236+=ω 9.解:圆环所受的摩擦力矩为mgR M μ=,由转动定律 α=μ2mR mgR , Rg μ=α 至圆环停止所经历的时间 gRt μω=αω=00 10.解:落下过程棒的机械能守恒。
设棒刚到竖直位置时角速度为ω2312122LMg ML =ω⋅, ① 碰撞过程,物体与棒系统角动量守恒ω=231ML mvx , ② 碰撞过程轴不受侧向力,物体与棒系统水平方向动量守恒ω=M Lmv 2, ③ ①、③消去ω,得 gL mMv 32=, ④ ②、④消去v ,得 L x 32=.8.机械振动单元练习(一)答案1. B 2. B 3. C 4. A5. 0.10cos(π/6π/3)m x t =+ 6. 2:17. 解:0.1m A =,2π/πT ω==运动方程cos()0.1cos(π)m x A t t ωϕϕ=+=+(1)由旋转矢量法π/2ϕ=-,0.1cos(ππ/2)m x t =-; (2)由旋转矢量法π/3ϕ=,0.1cos(ππ/3)m x t =+; (3)由旋转矢量法πϕ=,0.1cos(ππ)m x t =+。