12山东省潍坊市昌乐县
- 格式:doc
- 大小:24.63 KB
- 文档页数:23
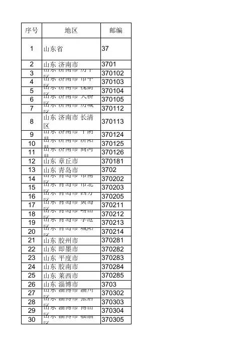
老标准的代码,山东的372100 烟台地区372101 烟台市372102 威海市372121 福山县372122 蓬莱县372123 黄县372124 招远县372125 掖县372126 莱西县372127 莱阳县372128 栖霞县372129 海阳县372130 乳山县372131 牟平县372132 文登县372133 荣成县372134 长岛县372200 潍坊地区372201 潍坊市372222 安丘县372223 寿光县372224 临朐县372225 昌乐县372226 昌邑县372227 高密县372228 诸城县372229 五莲县372230 平度县372231 潍县372300 惠民地区372321 惠民县372322 滨县372323 阳信县372324 无棣县372325 沾化县372326 利津县372327 广饶县372328 博兴县372329 桓台县372330 邹平县372332 垦利县372400 德州地区372401 德州市372421 陵县372422 平原县372423 夏津县372424 武城县372425 齐河县372426 禹城市372427 乐陵市372428 临邑县372429 商河县372430 济阳县372431 宁津县372432 庆云县372500 聊城地区372521 聊城县372522 阳谷县372523 莘县372524 茌平县372525 东阿县372527 高唐县372528 临清县372600 泰安地区372601 泰安市372622 莱芜县372623 新泰县372624 宁阳县372625 肥城县372626 东平县372627 平阴县322628 新汶县372700 济宁地区372701 济宁市372721 济宁县372722 兖州县372723 曲阜县372724 泗水县372725 邹县372726 微山县372727 鱼台县372728 金乡县372730 汶上县372800 临沂地区372821 临沂县372822 郯城县372823 苍山县372824 莒南县372525 日照县372826 莒县372827 沂水县372828 沂源县372829 蒙阴县372830 平邑县372831 费县372832 沂南县372833 临沭县372900 菏泽地区372921 菏泽县372922 曹县372923 定陶县372924 成武县372925 单县372927 梁山县372928 郓城县372929 鄄城县372930 东明县山东各地市身份证开头编号,"370101 ","山东省济南市市辖区","370102 ","山东省济南市历下区","370103 ","山东省济南市市中区","370104 ","山东省济南市槐荫区","370105 ","山东省济南市天桥区","370112 ","山东省济南市历城区","370113 ","山东省济南市长清区","370124 ","山东省济南市平阴县","370125 ","山东省济南市济阳县","370126 ","山东省济南市商河县","370181 ","山东省济南章丘市","3702 ","山东省青岛市","370201 ","山东省青岛市市辖区","370202 ","山东省青岛市市南区","370203 ","山东省青岛市市北区","370205 ","山东,"370211 ","山东省青岛市黄岛区","370212 ","山东省青岛市崂山区","370213 ","山东省青岛市李沧区","370214 ","山东省青岛城阳区","370281 ","山东省青岛胶州市","370282 ","山东省青岛即墨市","370283 ","山东省青岛平度市","370284 ","山东省青岛胶南市","370285 ","山东省青岛莱西市","3703 ","山东省淄博市","370301 ","山东省淄博市市辖区","370302 ","山东省淄博市淄川区","370303 ","山东省淄博市张店区","370304 ","山东省淄博市博山区","370305 ","山东省淄博市临淄区","370306 ","山东省淄博市周村区","370321 ","山东省淄博市桓台县","370322 ","山东省淄博市高青县","370323 ","山东省淄博市沂源县","3704 ","山东省枣庄市","370401 ","山东省枣庄市市辖区","370402 ","山东,"370403 ","山东省枣庄市薛城区","370404 ","山东省枣庄市峄城区","370405 ","山东省枣庄市台儿庄区","370406 ","山东省枣庄市山亭区","370481 ","山东省枣庄滕州市","3705 ","山东省东营市","370501 ","山东省东营市市辖区","370502 ","山东省东营市东营区","370503 ","山东省东营市河口区","370521 ","山东省东营市垦利县","370522 ","山东省东营市利津县","370523 ","山东省东营市广饶县","3706 ","山东省烟台市","370601 ","山东省烟台市市辖区","370602 ","山东省烟台市芝罘区","370611 ","山东省烟台市福山区","370612 ","山东省烟台市牟平区","370613 ","山东省烟台市莱山区","370634 ","山东省烟台市长岛县","370681 ","山东省烟台龙口市","370682 ","山东省烟台莱阳市","370683 ","山东省烟台莱州市","370684 ","山东省烟台蓬莱市","370685 ","山东省烟台招远市","370686 ","山东省烟台栖霞市","370687 ","山东省烟台海阳市","3707 ","山东省潍坊市","370701 ","山东省潍坊市市辖区","370702 ","山东省潍坊市潍城区","370703 ","山东省潍坊市寒亭区","370704 ","山东省潍坊市坊子区","370705 ","山东省潍坊市奎文区","370724 ","山东省潍坊市临朐县","370725 ","山东省潍坊市昌乐县","370781 ","山东省潍坊青州市","370782 ","山东省潍坊诸城市","370783 ","山东省潍坊寿光市","370784 ","山东省潍坊安丘市","370785 ","山东省潍坊高密市","370786 ","山东省潍坊昌邑市","3708 ","山东省济宁市","370801 ","山东省济宁市市辖区","370802 ","山东省济宁市市中区","370811 ","山东省济宁市任城区","370826 ","山东省济宁市微山县","370827 ","山东省济宁市鱼台县","370828 ","山东省济宁市金乡县","370829 ","山东省济宁市嘉祥县","370830 ","山东省济宁市汶上县","370831 ","山东省济宁市泗水县","370832 ","山东省济宁市梁山县","370881 ","山东省济宁曲阜市","370882 ","山东省济宁兖州市","370883 ","山东省济宁邹城市","3709 ","山东省泰安市","370901 ","山东省泰安市市辖区","370902 ","山东省泰安市泰山区","370903 ","山东省泰安市岱岳区","370921 ","山东省泰安市宁阳县","370923 ","山东省泰安市东平县","370982 ","山东省泰安新泰市","370983 ","山东省泰安肥城市","3710 ","山东省威海市","371001 ","山东省威海市市辖区","371002 ","山东省威海环翠区","371081 ","山东省威海文登市","371082 ","山东省威海荣成市","371083 ","山东省威海乳山市","3711 ","山东省日照市","371101 ","山东省日照市市辖区","371102 ","山东省日照市东港区","371103 ","山东省日照市岚山区","371121 ","山东省日照市五莲县","371122 ","山东省日照市莒县","3712 ","山东省莱芜市","371201 ","山东省莱芜市市辖区","371202 ","山东省莱芜市莱城区","371203 ","山东省莱芜市钢城区","3713 ","山东省临沂市","371301 ","山东省临沂市市辖区","371302 ","山东省临沂市兰山区","371311 ","山东省临沂市罗庄区","371312 ","山东省临沂市河东区","371321 ","山东省临沂市沂南县","371322 ","山东省临沂市郯城县","371323 ","山东省临沂市沂水县","371324 ","山东省临沂市苍山县","371325 ","山东,"371326 ","山东省临沂市平邑县","371327 ","山东省临沂市莒南县","371328 ","山东省临沂市蒙阴县","371329 ","山东省临沂市临沭县","3714 ","山东省德州市","371401 ","山东省德州市市辖区","371402 ","山东省德州市德城区","371421 ","山东省德州市陵县","371422 ","山东省德州市宁津县","371423 ","山东省德州市庆云县","371424 ","山东省德州市临邑县","371425 ","山东省德州市齐河县","371426 ","山东省德州市平原县","371427 ","山东省德州市夏津县","371428 ","山东省德州市武城县","371481 ","山东省德州乐陵市","371482 ","山东省德州禹城市","3715 ","山东省聊城市","371501 ","山东省聊城市市辖区","371502 ","山东省聊城市东昌府区","371521 ","山东省聊城市阳谷县","371522 ","山东,"371523 ","山东省聊城市茌平县","371524 ","山东省聊城市东阿县","371525 ","山东省聊城市冠县","371526 ","山东省聊城高唐县","371581 ","山东省聊城临清市","3716 ","山东省滨州市","371601 ","山东省滨州市市辖区","371602 ","山东省滨州市滨城区","371621 ","山东省滨州市惠民县","371622 ","山东省滨州市阳信县","371623 ","山东省滨州市无棣县","371624 ","山东省滨州市沾化县","371625 ","山东省滨州市博兴县","371626 ","山东省滨州市邹平县","3717 ","山东省荷泽市","371701 ","山东省荷泽市市辖区","371702 ","山东省荷泽市牡丹区","371721 ","山东省荷泽市曹县","371722 ","山东省荷泽市单县","371723 ","山东省荷泽市成武县","371724 ","山东省荷泽市巨野县","371725 ","山东,"371726 ","山东省荷泽市鄄城县","371727 ","山东省荷泽市定陶县","371728 ","山东省荷泽市东明县","。
省级名称各市数量市级县、县级市、区…名称历下区恒辉装饰材料二七装饰城槐荫区装饰材料馆山东白鹤装饰材料批发市场水屯装饰材料市场济南市装饰材料批发市场黄台装饰材料批发市场 历城区装饰材料市场 长清区兴龙装饰材料 平阴县佳园装饰材料超市济北装饰城 商河县超杰装饰城五金建材装饰材料市场绣水装饰材料市场齐鲁装饰材料城东装饰材料市场 市南区海城装饰材料市场 河西装饰城 青岛装饰城 四方装饰城 四方区易得装饰城福瀛装饰城建国装饰材料东方装饰材料 崂山区高科园装饰城大正涂料装饰材料 城阳装饰城 东鑫装饰材料丰华装饰材料 顺起装饰材料城新馨装饰材料超市 即墨环保装饰材料城泉城装饰材料大众装饰材料 胶南市岱山装饰城莱西市黄岛区李沧区 城阳区 胶州市 即墨市 平度市 市中区 天桥区济阳县 章丘市 市北区济南市青岛市1012联富国际装饰城 淄川装饰材料城淄博鲁中装饰材料城潘成装饰材料市场政联装饰材料城淄博吉星装饰材料城 博山装饰材料城鼓浪屿装饰城(金晶路)豪华装饰材料 临淄区鲁厦装饰材料市场 恒业装饰材料市场富美家装饰材料总汇 新世界装饰材料城批发市场鑫跨世达装饰材料新世纪装饰材料大唐装饰材料城绅红装饰城佳美装饰广场鲁南装饰批发城宏源五交化装饰材料城凤凰台装饰城铁鹰建材装饰城 峄城区乾坤装饰批发城 台儿庄区 山亭区新世纪装饰材料城佳美装饰城文昌路五金综合批发市场鲁南装饰大世界蓝天装饰材料宏达装饰材料国超装饰材料康居装饰材料五金批发中心新华装饰材料燕山路金大地五金建材专业批发市场垦利县方正装饰材料 利津县鹏程装饰材料 广饶县华通装饰材料城烟台港物流园区装饰材料市场河口区 高青县 沂源县 市中区 薛城区 滕州市东营区莱西市 淄川区张店区博山区周村区 桓台县淄博市枣庄市东营市865幸福家园装饰材料海港家饰宏润装饰材料市场建通装饰材料商场嘉禾装饰材料市场鸿泰装饰材料市场美家装饰材料城鸿福禧装饰材料市场顺天祥装饰材料超级市场吉顺装饰材料 莱山区双喜装饰城长岛县 龙口市胶东家具装饰材料批发市场莱阳市金华装饰材料商场 莱州市华兴装饰材料商场 蓬莱市向阳装饰材料 招远市远达装饰材料商场富丰装饰材料商城中意装饰材料商场好宜居装饰材料总汇东南·国际家居装饰城远东装饰材料大世界北街建材城豪德陶瓷装饰材料市场 全星家装建材超市 寒亭区百汇大市场 坊子区 奎文区金马装饰材料城装饰材料市场华艺装饰材料金亮装饰材料城豪居装饰材料城 青州市万隆装饰材料城 诸城市天宇装饰材料汇丰装饰材料商场寿光建材装饰材料市场宏达天棚材料装饰材料超市宏达装饰材料 高密市贵杰装饰材料城 昌邑市东方装饰材料总汇 鑫鑫装饰材料商场山推装饰材料市场市中区海阳市潍城区 临朐县昌乐县 寿光市 安丘市 芝罘区福山区 牟平区 莱阳市 栖霞市潍坊市烟台市1212任城区金宇装饰城太阳装饰材料城志恒装饰城 鱼台县好房子装饰城 金乡县顺兴装饰材料城 嘉祥县华祥装饰批发城 汶上县新世纪装饰材料城 泗水县万达装饰材料城诚信建材装饰城金宇装饰城兖州市鑫宇装饰城 千泉装饰城益民装饰城岳峰装饰城天顺装饰材料总汇仁和装饰材料商行山东五马装饰材料精品城九州装饰材料精品城泰山装饰材料精品城 岱岳区光彩大市场 宁阳县南方装饰材料大阳装饰材料四海装饰城广龙装饰材料泰山装饰材料商场 肥城市东方装饰材料亿特隆装饰城威韩商城亿佰佳装饰城大屋建材装饰商城华客隆装饰材料市场威海市公交装饰材料市场威海大光辉建材装饰城太陆装饰城三里河装饰材料市场新世纪装饰材料市场建筑装饰材料市场五洲装饰城成东装饰城佳居乐装饰城东升家居装饰城朋兴装饰城东平县 新泰市 环翠区文登市 荣成市乳山市微山县 梁山县曲阜市 邹城市泰山区济宁市泰安市威海市1264山东省山东路汇阳建材市场夏昌不锈钢批发市场江豪建材家居城东港建筑装饰材料批发市场 昌乐装饰城盛岚装饰城五莲县步阳装饰城国际家居建材装饰忠信装饰城光源装饰城莱芜市华美装饰城新裕华装饰城美好家园装饰城新秀装饰城齐全装饰城正泰家居装饰材料商城建陶装饰城金苑现代装饰材料广场临沂装饰城临沂灯具城 银座家居桃源家居装饰城豪德陶瓷建材装饰城顺利达装饰材料河东建筑装饰材料市场中意装饰材料城富贵装饰材料批发城宏达装饰城东方家园装饰城新新装饰材料总汇沂蒙装饰材料总汇信义装饰城好美家装饰城九天装饰城顺鑫装饰材料总汇平邑县莒南县配全装饰城宏国铝业装饰城长起装饰城临沭县好宜居装饰材料批发市场费 县 蒙阴县 德城区罗庄区 河东区 沂南县郯城县 沂水县 苍山县 东港区岚山区 莒 县莱城区钢城区兰山区临沂市日照市莱芜市2124德百装饰材料城一条街德州装饰材料城(新河路)鲁班装饰材料城宏达灯具装饰材料城吉祥灯具装饰材料城东芦装饰城利群装饰材料城艾乐装饰材料城亿家装饰城 庆云县 临邑县永兴装饰城齐河县 平原县 夏津县锦丽装饰城宪华装饰材料城广益装饰材料五金大世界兴杰装饰材料城 乐陵市旭昌装饰城禹城一建装饰城禹城市亚泰名品装饰城北顺装饰材料市场昌佳装饰材料壁纸广场新世纪装饰材料批发中心谷庄装饰市场广源型材市场阳谷县 莘 县美佳装饰材料振兴装饰材料商场东阿县 冠 县金鑫建筑装饰材料大市场荆楚五金装饰材料总汇 临清市华亿装饰材料里则东方木材市场正大装饰材料惠民县三得利装饰材料 阳信县南方装饰材料禹城市东昌府区茌平县 高唐县 滨城区德城区陵 县宁津县 武城县德州市聊城市滨州市1187无棣县永兴装饰材料 沾化县兴盛装饰材料博兴建筑装饰材料城得丽家装饰材料 邹平县鄢家装饰材料市场好印象装饰城九洲商城装饰材料批发市场曹 县 定陶县朱五装饰城成武县记兴华装饰材料城美家乐装饰城单县木器厂装饰材料城田庄五金装饰城利群瓷砖装饰城郓城县家泰隆装饰城华林装饰城 鄄城县鄄城建材装饰城东明县牡丹区单 县 巨野县 郓城县 博兴县菏泽市9装饰材料电话地址备注0531-********白马山南路二七新村南路9号附近幸福路0531-********水屯路46-1号0531-********水屯路19号0531-********0531-********小清河北路工业北路57号0531-********0531-********安康街中心大街 附近怀仁客运站 附近明水济青路与西外环路交叉路口西100米路南章丘章丘市汇泉路0531-********0532-********南京路365号甲长沙路38号辽宁路80号22号0532-********重庆南路229号0532-********瑞昌路187号0532-********经济技术开发区开拓路88号琅琊台北路49号(0532)88911777辽阳东路(0532)86812656(0532)86820666二零四国道580532-********0532-******** 兰州西路7010532-********0532-********即墨市开发区石河头村297号0532-********0532-********0532-********长岛路68-60532-********淄城路323号0533-*******昌国路联通路与金晶大道交叉口西100米0533-*******张南路0533-*******新村西路8甲20533-*******张博路(原赵庄技校对过)金晶路440533-******* 山东省淄博市博山区沿河东路晏婴路101号机场路1260533-******* 238省道孝阳家园(西门) 附近桓台大道与张北路路口0533-*******田北路 附近0533-*******振兴路附近泰薛路30号 附近建华西路270632-3371111建华西路68号周兴路周营中学附近0632-4424821 光明西路与永福北路交叉口永福南路 附近0632-3512298206国道 附近0632-5781158河阳路14号文昌路(滕州二中附近)157********,平行南路111号0632-5168099,荆河东路0632-5550060工业园80周围较多商户商河路19号周围较多商户北二路810号 附近 周围有商户0546-8080170守疆园40燕山路周围较多商户业批发市场 黄河路与太行山路交叉口周周围较多商户0546-2521392黄河路0546-5620103津二路0546-6963208孙武路港湾大道与环海路交叉口附近港湾大道附近珠玑中路0535-*******珠玑东路0535-*******0535-*******建设路16号大季家路0535-*******港城西大街套口路口烟台市牟平区南关大街697号吉顺装饰材料盛泉东路12号0535-*******龙泉路烟台市莱阳市五龙南路0535-*******城港南路与玉前街交叉口附近蓬莱市人民医院附近招远市辛庄镇卫生院西0535-*******0535-******* 商业街958海政路216号东凤大道北路110海政路210号 附近东风西街北宫北街0536-*******亚星路55号0536-*******,0536-*******广场路32号 附近0533-*******宝昌路珠宝街42号0536-*******0536-*******0536-*******0536-*******圣城街中段0536-******* 北环路辅路附近向阳路 附近0536-*******康成大街0536-*******0537-*******解放路66号运河路与解放路交叉口附近金宇路9号0537-*******城后东路71号0537-*******0537-*******百货大厦 附近奎星路0537-*******嘉祥宾馆南50米0537-*******安心宾馆 附近万达装饰材料城0537-*******327国道与迎宾大道交叉口西3公里左右0537-*******八一路0537-*******峄山路南首路东西外环路与三迁南街交叉口0537-*******平阳西路 火车站附近0538-*******奈河东路44号0538-*******财源大街2-32号灵山大街431号灵山大街和校场街以东0538-*******迎胜南路中段0538-*******光彩大市场0538-*******财源路661号0538-*******0538-******* 105国道转盘南(近四海城东出口北) 0538-*******青龙路东段0538-*******山东省威海市环翠区新威路128号0631-5692166火炬路151-1号0631-56813100631-5685835文化西路175威海经济技术开发区深圳路1号世昌大道89-2号嵩山路附近张村镇沉阳中路613-1号龙山路大家宾馆 附近峰山路77号 附近黎明北路与沐阳巷交叉交叉口附近301省道(成山卫邮电支局)附近成山镇二村(林海花园附近)长江路假日广场 附近深圳路104号 附近新华街与深圳路交叉口附近0633-3210016 山东中路昭阳北路荟阳路中段东关南路与九日街三巷0633-2617005万斛路33号0633-6195268文化路与解放路交叉口附近昌盛路与故城中路交叉口附近0633-6997991故城中路0634-6878288莱芜市大桥北路22号 附近较多商户 长勺北路69号 附近0634-5931366汶阳大街大桥南路006钢都大街钢都大街双岭路沂州宾馆(万群购物广场北) 附近青年路43号 附近解放路186号临西六路北段0539-*******金源路159号蒙山大道临沂第三中学附近0539-*******蒙山大道(高架桥南500米)与化武路交汇处0539-*******0539-*******东兴路 附近振兴路0539-******* 兴蒙路120号 附近0539-*******0539-*******建设路0539-*******0539-*******0539-*******塔山路0539-*******自由路0539-*******0539-*******0539-*******0539-*******大学西路和新湖北大街交叉口附近堤口新居 附近湖滨南大道青岛晶城设计装饰工程有限公司附近北街村 附近中兴路148号 附近0534-2120651315省道附近开放市场街 附近中心大街27号 附近0534-*******宁德路附近津泉路 附近0534-*******洛源路健康之舟大药房 附近0534-*******新工街273号文化街 附近0534-*******三八南路43号0534-*******三八南路8号0534-*******文化街0534-*******解放路149号 附近0534-*******开拓路335号 附近0635-83831930635-8383388河东路15号0635-8388181东经四街B-1117号0635-8338002建设西路建设路中段枣乡街枣乡家园(枣乡街) 附近振兴东路0635-3888663时风东路0635-39558000635-39523330543-3291985中心路3号 附近0543-53361400543-53221100543-58879380543-2200411幸福二路附近较多商户0543-6871583棣新一路附近较多商户0543-63200840543-2307828胜利二路唐家大院附近0543-2386060博兴县大世界北区766号黛溪五路220国道 附近丹阳路18460530-*******陶朱公大街0530-*******单城镇向阳西路36号君子北路北段0530-*******健康路019号 附近巨野县田庄镇卫生院 附近聊商路 附近0530-*******0530-*******西门街黄河东路37号 附近县、县级市、区名称电话实路五金机电建材市场0531-********星河建材市场 市中区东八建材市场0531-********华兴五金建材市场东方家具建材超市0531-******** 槐荫区大杨建材市场0531-********山东省建材市场山东金牛建材市场0531-********山东金弘建材市场 0531-******** 历城区工业北路五金建材市场0531-********长清区 平阴县 济阳县 商河县 章丘市市南区海青豪蚌埠路型材市场0532-********青岛市重庆南路型材市场0532-********富尔玛装饰建材广场四方区 崂山区飞拉利装饰建材采购广场0532-********盛世德建材市场0532-********达翁建材家居广场 0532-********城阳建材批发市场青岛建材五金机电批发基地0532-********胶南市 胶州市 即墨市 平度市 莱西市历下区 天桥区 市北区 黄岛区李沧区 城阳区建材淄川建材城联发建材市场0533-*******大顺装饰建材城 益德建材市场 周村区和平建材市场北辛建材市场沂源县鲁南建材市场森博国际建材馆高新区建材城天衢建材城峄城区桃花建材批发市场 台儿庄区苏鲁装饰建材城 山亭区五里屯钢材市场(南门)众成黄河家居建材城0533-546883587鲁能方大建材城东单建材广场汇鑫大街商贸园建材城黄河口商贸建材城河口五金建材市场孤岛五金建材市场 垦利县鑫都五金建材市场0546-7770668利津县 广饶县双翔建材商场0535-*******滕州市东营区河口区 博山区 临淄区 桓台县 高青县 市中区薛城区 莱西市 淄川区张店区宝丰建材五金商场0535-******* 新桥家居建材广场0535-*******建凤装饰材料商场烟台树霖钢材市场0535-*******东方建材市场永盛建材城 0535-27628170535-2762818 长岛县 龙口市信兴建材市场0535-*******莱阳市盛隆建材市场建材综合楼莱州市莱州金莱建材市场蓬莱市 招远市邓家建材市场海阳建材市场林洋建材城北街建材城新纪元建材市场0536-*******潍坊昊伊建材市场寒亭区 坊子区奎文区新天地建材超市 0536-87677680536-8811100中国临朐江北建材城0536-*******兴发建材市场青州市 诸城市龙都建材城高密市 昌邑市昌邑市建材市场济宁建材市场(古槐路)济宁高新区建材市场昌乐县 寿光市 安丘市 市中区莱山区 莱阳市 栖霞市海阳市 潍城区 临朐县 芝罘区 福山区 牟平区任城区 鱼台县鱼台县建材市场金乡县 嘉祥县 汶上县 泗水县梁山建材市场拳铺建材市场梁山姜庄建材市场马店建材市场水泊建材城华洋建材城0537-*******曲阜市圣时建材城 0537-******* 兖州市永丰建材城0537-*******华南陶瓷石材城0538-*******九州五金机电大市场岱岳区泰山钢材大市场0538-*******宁阳县装饰材料&灯具&五金电料批发城 东平县 新泰市红星之家建材城肥城市家世界装饰建材城环渤海建材城南门辛丑五金杂品建材城0631-5294883威海广汇石材建材市场恒运建材市场威海国际建材城乳山市贸易城建材市场腾达防水建材城乳山市曲阜市 邹城市泰山区环翠区文登市 荣成市微山县 梁山县安吉建材市场大石桥建材市场大连路永康建材城日照市三运建材市场佳和五金建材0633-2691479华大国际木材市场五莲县宏运装饰建材商场华鑫装饰建材城家世界家居建材超市0633-7886688 建材大市场顺达陶瓷建材总汇0634-6175468诚信铝材商场0634-6211207齐鲁建材城中元建材五金商场0634-59807110634-59807220634-5980733洪福钢材建材市场0539-*******怡景丽家国际建材家居广场0539-*******鲁南建材市场鲁南陶瓷市场0539-*******鲁南五金市场0539-*******临沂建材综合楼山东罗庄建材批发市场罗庄陶瓷商城0539-*******河东区河东建材市场永胜建材市场平邑县山东沂蒙石材市场0539-*******莒南建材市场莒南高乡建材城建材市场0539-*******由由建材城0539-*******蒙阴县建材市场临沭县德百家居建材城费 县 莒南县蒙阴县 德城区兰山区罗庄区沂南县 郯城县 沂水县 苍山县 东港区岚山区莒 县莱城区钢城区鲁北龙泰建材城五金机电建材市场庆云县金宇建材城 临邑县金家园建材市场 齐河县齐河建材市场 平原县平原县建材市场 夏津县华夏装饰建材城乐陵市乐陵市建材市场国林批发站0534-*******鸿顺家具建材城城北钢材钢管市场聊城大东钢管市场(辽河路)0635-2113088聊城市鲁西建材交易大市场(西门)香江光彩大市场阳谷县 莘 县 东阿县 冠 县 临清市滨州高杜建材城0543-3312776现代物流钢材市场新兴市场滨州国际五金建材城 悦欣居国际精品建材城金茂商都建材城惠民县景辉五金交电建材城阳信县武城县 禹城市东昌府区茌平县 高唐县 滨城区德城区 陵 县宁津县无棣县沾化县永盛建材市场邹平县齐明建材城(黄山五路)菏泽市永嘉装饰建材城0530-58444440530-5211111黄堽综合建材市场0530-*******鲁西南建材五金大市场 曹 县红太阳建材城0530-*******定陶县保宁光忠诚信建材市场 成武县东昌建材城郓城淄博建材 鄄城县福厚源建材东明县博兴县 牡丹区单 县 巨野县 郓城县家具地址县、县级市、区名称工业南路32-5居然之家花园路东首66号银座家居玉函小区北路东亚家具城富雅家居广场济微路92号段店镇济兖路226号北马鞍山路无影山北路84号工业北路223蚌埠路重庆南路146号辽阳西路369号黑龙江南路299号九水东路178号李沧区君峰路8号城阳区转盘附近杨寨村银座家居八零三省道的东南侧红星美凯龙富尔玛银座家居鹤城家私城鲁中家具城临淄大道晏婴路 西外环北方家具城凤阳家具城胜利沙发材料城 张北路3910鲁中家具城沂源县君山西路华山路18号祁连山路与光明大道交叉口 附近 祁连山路与光明大道交叉口 附近 枣徐路中兴大道路口 附近金光路与广进路交叉口 附近荆河西路811-812东营区府前大街以南,红星美凯龙南黄河路与太行山路交叉口以北东二路西东城银座家居南侧 汇鑫大街中段菏泽路与西二路交叉口附近海盛路三义和绿海小区 附近太行山路与青岛路交叉口新胜小学 附近桓台县 高青县 淄川区张店区博山区临淄区 周村区通世路55-14只楚路149号 附近民生街幸福南路9号恒润路恒润路2号文莱街与龙泉路交叉口 附近龙门西路169号 附近五龙南路(莱阳五龙双语小学附近)虎头崖镇神堂村东1000米左右凤城工业园海翔中路附近204国道刘家窑村 附近小纪镇党委东1000米左右工业四街 附近北宫西街233号和平路274号 附近宝通东街 附近东环路与沂山路交叉路口东侧309国道 附近西外环路南首沟北崖村 附近古槐路4号金宇路42鱼台县建材市场八一幼儿园 附近东岳路220国道 附近337省道 附近水泊北路建设路 附近新汽车站向南200米路西山大街中段大汶口石膏工业园物流区府前街西首海滨南路55号周宁路和202省道交叉口附近古寨西路111号 附近福山路与文化中路交叉口附近901省道(五里顶后村) 附近龙山路38号 附近新华街283号深圳路104号 附近潍坊路67号丹阳路39号 附近大连路540号附近海曲东路204号342省道 附近郭廊东路(碑廊派出所)附近五莲县松柏中心小学 附近故城中路5号 附近莒州路 附近长勺北路长勺北路鹏泉东大街61-4号健康街开发区诊所 附近解放路190临西六路解放路269金坛路59号 附近三和东街与东兴路交汇往北桃源街凤凰家园附近莒南体育局附近十泉路 附近东兴路蒙山路3古城路41号 附近德州经济开发区东风路澳德乐东临城发路(头百户村) 附近德兴北大道638中心街与南环路交叉口附近苍圣大街东首308国道(齐河县畜牧局) 附近光明东大街银山北街 附近建设西路秦庄村附近辽河路与武夷山路交叉向东200米鲁化路小金童艺术幼儿园 附近建设西路范围很大,商户集中黄河一路渤海八路380号祥泰家居大厦 附近黄河五路542号滨州市渤海二十一路长江一路交汇处渤海八路396号 附近黄河四路655号大济路 附近博兴县乔庄中学 附近城黄山五路丹阳路1716平安大街 附近黄河路与牡丹路交接处青菏南路 附近保宁面粉厂院内汉泉路220国道 附近古泉路 附近家具电话地址县、县级市、区名称济南西外环0531-********北园路0531-********天桥区北园大街486号0531-********天桥区北园大街427号0533-*******松龄西路昆仑陶瓷城东鹏瓷砖0533-*******西五路和昌国路交叉口财富陶瓷城0533-*******人民路和世纪路交叉口中国陶瓷科技城0533-*******新村西路29号0533-*******柳泉路158号海泉帝景2层 0533-*******南西四路博丰陶瓷L&D陶瓷周隆路下河陶瓷店周隆路周隆路1888张北路狮王陶瓷沂源县淄川区张店区 博山区 临淄区周村区 桓台县 高青县陶瓷电话地址备注昆仑镇集中密集区0533-5484848205国道(杨寨)集中密集区南外环昌国路88号集中密集区0533-*******新博路51甲1临淄大道877 集中密集区山东省淄博市周村区南下河街82号 集中密集区130********张北路4033号 附近 集中密集区。
昌乐历史昌乐县历史悠久,早在五六千年前先人们就开始在这里繁衍生息,世世代代生生不息。
现如今的昌乐隶属于潍坊市,让我们细数她走过的历程。
西周时期,武王封太公吕望于齐,都营丘,故城在今县城东南25公里处(今河头乡古城村),春秋战国直到秦朝,一直隶属于齐;西汉改北海郡为营陵,东汉恢复北海郡;三国昌乐县境属魏青州北海郡;唐朝武德二年(公元619年),复为营丘县;同年,再置潍州,辖北海、营丘等17县;宋朝属京东东路潍州,金也同样;元朝昌乐县属山东东西道宣慰司益都路潍州;明昌乐县属山东布政使司青州府;清朝,沿明制,昌乐县属山东省青州府;中华民国前期,民国三年昌乐县属山东胶东道,十四年改划胶莱道,十七年,直属山东省;抗日战争时期、解放战争时期昌乐县不断的改变着,直到1949年10月1日,中华人民共和国成立,昌乐县属昌潍专区。
1970年,属昌潍地区;1981年,属潍坊地区;1983年属潍坊市。
现在的昌乐县,位于山东半岛内陆,隶属山东省潍坊市,东距潍坊城区25公里,西界临朐、益都,南与安丘隔河相望,北与寿光接壤。
总面积1101平方公里,人口60万。
昌乐地理位置优越,交通十分方便,胶济铁路、济青高速公路、王潍公路横贯东西,县内公路四通八达。
县城居县境内北部,商业、通讯、文化、卫生等服务设施齐全。
昌乐县辖5个街道、4个镇:城关街道、宝城街道、朱刘街道、城南街道、五图街道、乔官镇、鄌郚镇、红河镇、营邱镇。
农业发展:昌乐县农业基础雄厚,现已形成瓜菜、黄烟、桑蚕、林果、肉鸡、肉鸭和奶牛七大主导产业。
昌乐西瓜已有150多年的栽培历史,栽培面积15万亩,品种80多个;建有中华西瓜科技园,一年四季有瓜,是有名的“西瓜之乡”,产品已获国家农业部“绿色食品”认证。
畜牧养殖业,有乐港、永昌等龙头企业,形成了鸡、鸭、牛、羊、猪等17个系列,年产肉、蛋、奶10万余吨,年养殖肉鸡、肉鸭5000万只。
工业发展:昌乐县工业发展较快。
目前,全县各类企业发展到1035处,其中年销售收入过500万元的工业企业229家,形成了化工、农副产品加工、塑料、机械、建材、宝石加工、轻纺等行业为主的工业体系。
昌乐县XX生产建设项目规划设计方案参考范文(下载可编辑)摘要昌乐县,隶属山东省潍坊市,位于山东半岛中部,东距海滨城市青岛150公里,北离渤海80公里。
环渤海经济圈与山东半岛城市群的交汇点,是内陆通往胶东沿海地区的咽喉地带。
胶济铁路、济青高速公路、309国道等贯穿境内。
是国务院批准的沿海经济开放县,也是著名的蓝宝石之都。
土地面积1101平方公里,总人口63.8万人(2018年)。
政府驻地城关街道。
昌乐县先后被评为“中国平安建设先进县"、中国“五五”普法中期工作先进县、“中国科技进步先进县”、“中国魅力名县”、“中国最令人向往的地方"、“中华文化国际旅游名城”、山东最佳投资城市和山东旅游强县。
2018年,昌乐县完成地区生产总值329.9亿元,增长6.7%。
2020年2月13 0,获得2019年度全国“平安农机”示范县称号。
该xx项目计划总投资6537. 36万元,其中:固定资产投资5550. 39万元,占项目总投资的84. 90%;流动资金986. 97万元,占项目总投资的15.10%。
达产年营业收入6810. 00万元,总成本费用5402. 80万元,税金及附加109. 82万元,利润总额1407.20万元,利税总额1711. 12万元,税后净利润1055. 40万元,达产年纳税总额655. 72万元;达产年投资利润率21.53%,投资利税率26. 17%,投资回报率16. 14%,全部投资回收期7. 69 年,提供就业职位109个。
提供初步了解项目建设区域范围、面积、工程地质状况、外围基础设施等条件,对项目建设条件进行分析,提出项目工程建设方案,内容包括: 场址选择、总图布置、土建工程、辅助工程、配套公用工程、环境保护工程及安全卫生、消防工程等。
减速机的下游应用行业主要包括起重运输、水泥建材、重型矿山、冶金、电力和航空船用等国民经济及国防工业的各个领域。
报告主要内容:概述、背景及必要性、市场调研预测、建设规划方案、项目选址科学性分析、建设方案设计、工艺可行性、项目环境保护分析、职业保护、项目风险情况、项目节能概况、实施安排方案、项目投资分析、项目经济效益可行性、项目综合评价等。
全国省市县列表全国省市县列表省级名称各市数量市级县、县级市、区…1 . 北京市北京市 18 东城区西城区崇文区宣武区朝阳区丰台区石景山区海淀区门头沟区房山区通州区顺义区昌平区大兴区平谷区怀柔区密云县延庆县2. 天津市天津市18和平区河东区河西区南开区河北区红桥区塘沽区汉沽区大港区东丽区西青区津南区北辰区武清区宝坻区宁河县静海县蓟县3. 河北省石家庄市 23 长安区桥东区桥西区新华区郊区井陉矿区井陉县正定县栾城县行唐县灵寿县高邑县深泽县赞皇县无极县平山县元氏县赵县辛集市藁城市晋州市新乐市鹿泉市唐山市 15 路南区路北区古冶区开平区新区丰润县滦县滦南县乐亭县迁西县玉田县唐海县遵化市丰南市迁安市秦皇岛市 7 海港区山海关区北戴河区青龙满族自治县昌黎县抚宁县卢龙县邯郸市 19邯山区丛台区复兴区峰峰矿区邯郸县临漳县成安县大名县涉县磁县肥乡县永年县邱县鸡泽县广平县馆陶县魏县曲周县武安市邢台市19 桥东区桥西区邢台县临城县内丘县柏乡县隆尧县任县南和县宁晋县巨鹿县新河县广宗县平乡县威县清河县临西县南宫市沙河市保定市 25新市区北市区南市区满城县清苑县涞水县阜平县徐水县定兴县唐县高阳县容城县涞源县望都县安新县易县曲阳县蠡县顺平县博野县雄县涿州市定州市安国市高碑店市张家口市17桥东区桥西区宣化区下花园区宣化县张北县康保县沽源县尚义县蔚县阳原县怀安县万全县怀来县涿鹿县赤城县崇礼县承德市11 双桥区双滦区鹰手营子矿区承德县兴隆县平泉县滦平县隆化县丰宁满族自治县宽城满族自治县围场满族蒙古族自治县沧州市16 新华区运河区沧县青县东光县海兴县盐山县肃宁县南皮县吴桥县献县孟村回族自治县泊头市任丘市黄骅市河间市廊坊市9 安次区固安县永清县香河县大城县文安县大厂回族自治县霸州市三河市衡水市11 桃城区枣强县武邑县武强县饶阳县安平县故城县景县阜城县冀州市深州市山西省太原市10 小店区迎泽区杏花岭区尖草坪区万柏林区晋源区清徐县阳曲县娄烦县古交市大同市 11 城区矿区南郊区新荣区阳高县天镇县广灵县灵丘县浑源县左云县大同县5 阳泉市城区矿区郊区平定县盂县长治市13 城区郊区长治县襄垣县屯留县平顺县黎城县壶关县长子县武乡县沁县沁源县潞城市晋城市6城区沁水县阳城县陵川县泽州县高平市朔州市 6 朔城区平鲁区山阴县应县右玉县怀仁县忻州市14 忻府区原平市定襄县五台县代县繁峙县宁武县静乐县神池县五寨县岢岚县河曲县保德县偏关县吕梁市13 离石区孝义市汾阳市文水县交城县兴县临县柳林县石楼县岚县方山县中阳县交口县晋中市11 榆次市介休市榆社县左权县和顺县昔阳县寿阳县太谷县祁县平遥县灵石县17 临汾市临汾市侯马市霍州市曲沃县翼城县襄汾县洪洞县古县安泽县浮山县吉县乡宁县蒲县大宁县永和县隰县汾西县13 运城市运城市永济市河津市芮城县临猗县万荣县新绛县稷山县闻喜县夏县绛县平陆县垣曲县4. 内蒙古9 呼和浩特市新城区回民区玉泉区郊区土默特左旗托克托县和林格尔县清水河县武川县9 包头市东河区昆都伦区青山区石拐矿区白云矿区郊区土默特右旗固阳县达尔罕茂明安联合旗3 乌海市海勃湾区海南区乌达区12 赤峰市红山区元宝山区松山区阿鲁科尔沁旗巴林左旗巴林右旗林西县克什克腾旗翁牛特旗喀喇沁旗宁城县敖汉旗13 呼伦贝尔市海拉尔市满洲里市扎兰屯市牙克石市根河市额尔古纳市阿荣旗莫力达瓦达斡尔族自治旗鄂伦春自治旗鄂温克族自治旗新巴尔虎右旗新巴尔虎左旗陈巴尔虎旗6 兴安盟乌兰浩特市阿尔山市科尔沁右翼前旗科尔沁右翼中旗扎赉特旗突泉县8 通辽市科尔沁区霍林郭勒市科尔沁左翼中旗科尔沁左翼后旗开鲁县库伦旗奈曼旗扎鲁特旗12 锡林郭勒盟二连浩特市锡林浩特市阿巴嘎旗苏尼特左旗苏尼特右旗东乌珠穆沁旗西乌珠穆沁旗太仆寺旗镶黄旗正镶白旗正蓝旗多伦县11 乌兰察布盟集宁市丰镇市卓资县化德县商都县兴和县凉城县察哈尔右翼前旗察哈尔右翼中旗察哈尔右翼后旗四子王旗8 伊克昭盟东胜市达拉特旗准格尔旗鄂托克前旗鄂托克旗杭锦旗乌审旗伊金霍洛旗7 巴彦淖尔盟临河市五原县磴口县乌拉特前旗乌拉特中旗乌拉特后旗杭锦后旗3 阿拉善盟阿拉善左旗阿拉善右旗额济纳旗5. 辽宁省13 沈阳市和平区沈河区大东区皇姑区铁西区苏家屯区东陵区新城子区于洪区辽中县康平县法库县新民市10 大连市中山区西岗区沙河口区甘井子区旅顺口区金州区长海县瓦房店市普兰店市庄河市7 鞍山市铁东区铁西区立山区千山区台安县岫岩满族自治县海城市7 抚顺市新抚区露天区望花区顺城区抚顺县新宾满族自治县清原满族自治县6 本溪市平山区溪湖区明山区南芬区本溪满族自治县桓仁满族自治县6 丹东市元宝区振兴区振安区宽甸满族自治县东港市凤城市7 锦州市古塔区凌河区太和区黑山县义县凌海市北宁市6 营口市站前区西市区鲅鱼圈区老边区盖州市大石桥市7 阜新市海州区新邱区太平区清河门区细河区阜新蒙古族自治县彰武县7 辽阳市白塔区文圣区宏伟区弓长岭区太子河区辽阳县灯塔市4 盘锦市双台子区兴隆台区大洼县盘山县7 铁岭市银州区清河区铁岭县西丰县昌图县铁法市开原市7 朝阳市双塔区龙城区朝阳县建平县喀喇沁左翼蒙古族自治县北票市凌源市6 葫芦岛市连山区龙港区南票区绥中县建昌县兴城市吉林省10 长春市南关区宽城区朝阳区二道区绿园区双阳区农安县九台市榆树市德惠市9 吉林市昌邑区龙潭区船营区丰满区永吉县蛟河市桦甸市舒兰市磐石市6 四平市铁西区铁东区梨树县伊通满族自治县公主岭市双辽市4 辽源市龙山区西安区东丰县东辽县7 通化市东昌区二道江区通化县辉南县柳河县梅河口市集安市6 白山市八道江区抚松县靖宇县长白朝鲜族自治县江源县临江市5 松原市宁江区前郭尔罗斯蒙古族自治县长岭县乾安县扶余县5 白城市洮北区镇赉县通榆县洮南市大安市8 延边朝鲜族自治州延吉市图们市敦化市珲春市龙井市和龙市汪清县安图县6 . 黑龙江省18 哈尔滨市道里区南岗区道外区松北区香坊区阿成区平房区呼兰区依兰县方正县宾县巴彦县木兰县通河县延寿县双城市尚志市五常市16 齐齐哈尔市龙沙区建华区铁锋区昂昂溪区富拉尔基区碾子山区梅里斯达斡尔族区龙江县依安县泰来县甘南县富裕县克山县克东县拜泉县讷河市9 鸡西市鸡冠区恒山区滴道区梨树区城子河区麻山区鸡东县虎林市密山市8 鹤岗市向阳区工农区南山区兴安区东山区兴山区萝北县绥滨县8 双鸭山市尖山区岭东区四方台区宝山区集贤县友谊县宝清县饶河县9 大庆市萨尔图区龙凤区让胡路区红岗区大同区肇州县肇源县林甸县杜尔伯特蒙古族自治县17 伊春市伊春区南岔区友好区西林区翠峦区新青区美溪区金山屯区五营区乌马河区汤旺河区带岭区乌伊岭区红星区上甘岭区嘉荫县铁力市10向阳区前进区东风区郊区桦南县桦川县汤原县抚远县同江市富锦市4 七台河市新兴区桃山区茄子河区勃利县10 牡丹江市东安区阳明区爱民区西安区东宁县林口县绥芬河市海林市宁安市穆棱市6 黑河市爱辉区嫩江县逊克县孙吴县北安市五大连池市10 绥化市绥化市安达市肇东市海伦市望奎县兰西县青冈县庆安县明水县绥棱县3 大兴安岭地区呼玛县塔河县漠河县7. 上海市 20 上海市浦东新区徐汇区黄浦区杨浦区虹口区闵行区长宁区普陀区宝山区静安区闸北区卢湾区松江区嘉定区南汇区金山区青浦区奉贤区崇明县8 江苏省13 南京市玄武区白下区秦淮区建邺区鼓楼区下关区浦口区栖霞区雨花台区江宁区六合区溧水县高淳县8 无锡市崇安区南长区北塘区郊区马山区江阴市宜兴市锡山市11 徐州市鼓楼区云龙区九里区贾汪区泉山区丰县沛县铜山县睢宁县新沂市邳州市7 常州市天宁区钟楼区戚墅堰区郊区溧阳市金坛市武进市10 苏州市沧浪区平江区金阊区郊区常熟市张家港市昆山市吴江市太仓市吴县市8 南通市崇川区港闸区海安县如东县启东市如皋市通州市海门市8 连云港市连云区云台区新浦区海州区赣榆县东海县灌云县灌南县8 淮阴市清河区清浦区淮阴县涟水县洪泽县盱眙县金湖县淮安市9 盐城市城区响水县滨海县阜宁县射阳县建湖县盐都县东台市大丰市7 扬州市广陵区郊区宝应县邗江县仪征市高邮市江都市6 镇江市京口区润州区丹徒县丹阳市扬中市句容市6 泰州市海陵区高港区兴化市靖江市泰兴市姜堰市5 宿迁市宿城区宿豫县沭阳县泗阳县泗洪县9. 浙江省13 杭州市上城区下城区江干区拱墅区西湖区滨江区桐庐县淳安县萧山市建德市富阳市余杭市临安市11 宁波市海曙区江东区江北区北仑区镇海区象山县宁海县鄞县余姚市慈溪市奉化市11 温州市鹿城区龙湾区瓯海区洞头县永嘉县平阳县苍南县文成县泰顺县瑞安市乐清市7 嘉兴市秀城区郊区嘉善县海盐县海宁市平湖市桐乡市6 绍兴市越城区绍兴县新昌县诸暨市上虞市嵊州市9 金华市婺城区金华县武义县浦江县磐安县兰溪市义乌市东阳市永康市6 衢州市柯城区衢县常山县开化县龙游县江山市4 舟山市定海区普陀区岱山县嵊泗县9 台州市椒江区黄岩区路桥区玉环县三门县天台县仙居县温岭市临海市9 丽水市丽水市龙泉市青田县云和县庆元县缙云县遂昌县松阳县景宁畲族自治县10. 安徽省7 合肥市东市区中市区西市区郊区长丰县肥东县肥西县7 芜湖市镜湖区马塘区新芜区鸠江区芜湖县繁昌县南陵县7 蚌埠市东市区中市区西市区郊区怀远县五河县固镇县6 淮南市大通区田家庵区谢家集区八公山区潘集区凤台县4 马鞍山市金家庄区花山区雨山区当涂县4 淮北市杜集区相山区烈山区濉溪县4 铜陵市铜官山区狮子山区郊区铜陵县11 安庆市迎江区大观区郊区怀宁县枞阳县潜山县太湖县宿松县望江县岳西县桐城市7 黄山市屯溪区黄山区徽州区歙县休宁县黟县祁门县8 滁州市琅琊区南谯区来安县全椒县定远县凤阳县天长市明光市8 阜阳市颍州区颍东区颍泉区临泉县太和县阜南县颍上县界首市5 宿州市墉桥区砀山县萧县灵璧县泗县7 六安市金安区裕安区寿县霍邱县舒城县金寨县霍山县7 宣城市宣州区宁国市郎溪县广德县泾县旌德县绩溪县5 巢湖市巢湖区庐江县无为县含山县和县4 池州市贵池区东至县石台县青阳县11. 福建省13 福州市鼓楼区台江区仓山区马尾区晋安区闽侯县连江县罗源县闽清县永泰县平潭县福清市长乐市6 厦门市思明区海沧区湖里区集美区同安区翔安区9 宁德市蕉城区霞浦县古田县屏南县寿宁县周宁县柘荣县福安市福鼎市5 莆田市城厢区涵江区荔城区秀屿区仙游县12 泉州市鲤城区丰泽区洛江区泉港区惠安县安溪县永春县德化县金门县石狮市晋江市南安市11 漳州市芗城区龙文区云霄县漳浦县诏安县长泰县东山县南靖县平和县华安县龙海市7 龙岩新罗区长汀县永定县上杭县武平县连城县漳平市12 三明市梅列区三元区明溪县清流县宁化县大田县尤溪县沙县将乐县泰宁县建宁县永安市10 南平市延平区顺昌县浦城县光泽县松溪县政和县邵武市武夷山市建瓯市建阳市12. 江西省9 南昌市东湖区西湖区青云谱区湾里区郊区南昌县新建县安义县进贤县4 景德镇市昌江区珠山区浮梁县乐平市5 萍乡市安源区湘东区莲花县上栗县芦溪县12 九江市庐山区浔阳区九江县武宁县修水县永修县德安县星子县都昌县湖口县彭泽县瑞昌市2 新余市渝水区分宜县3 鹰潭市月湖区余江县贵溪市18 赣州市章贡区赣县信丰县大余县上犹县崇义县安远县龙南县定南县全南县宁都县于都县兴国县会昌县寻乌县石城县瑞金市南康市12 上饶市上饶市德兴市上饶县广丰县玉山县铅山县横峰县弋阳县余干县波阳县万年县婺源县13 吉安市吉安市井冈山市吉安县吉水县峡江县新干县永丰县泰和县遂川县万安县安福县永新县宁冈县12 抚州市临川市南城县黎川县南丰县崇仁县乐安县宜黄县金溪县资溪县东乡县广昌县13. 山东省10 济南市历下区市中区槐荫区天桥区历城区长清县平阴县济阳县商河县章丘市12 青岛市市南区市北区四方区黄岛区崂山区李沧区城阳区胶州市即墨市平度市胶南市莱西市8 淄博市淄川区张店区博山区临淄区周村区桓台县高青县沂源县6 枣庄市市中区薛城区峄城区台儿庄区山亭区滕州市5 东营市东营区河口区垦利县利津县广饶县12 烟台市芝罘区福山区牟平区莱山区长岛县龙口市莱阳市莱州市蓬莱市招远市栖霞市海阳市12 潍坊市潍城区寒亭区坊子区奎文区临朐县昌乐县青州市诸城市寿光市安丘市高密市昌邑市12 济宁市市中区任城区微山县鱼台县金乡县嘉祥县汶上县泗水县梁山县曲阜市兖州市邹城市6 泰安市泰山区郊区宁阳县东平县新泰市肥城市4 威海市环翠区文登市荣成市乳山市4 日照市东港区岚山区五莲县莒县2 莱芜市莱城区钢城区12 临沂市兰山区罗庄区河东区沂南县郯城县沂水县苍山县费县平邑县莒南县蒙阴县临沭县11 德州市德城区陵县宁津县庆云县临邑县齐河县平原县夏津县武城县乐陵市禹城市8 聊城市东昌府区阳谷县莘县茌平县东阿县冠县高唐县临清市7 滨州地区滨州市惠民县阳信县无棣县沾化县博兴县邹平县9 菏泽地区菏泽市曹县定陶县成武县单县巨野县郓城县鄄城县东明县14. 河南省12 郑州市中原区二七区管城回族区金水区上街区邙山区中牟县巩义市荥阳市新密市新郑市登封市10 开封市龙亭区顺河回族区鼓楼区南关区郊区杞县通许县尉氏县开封县兰考县15 洛阳市老城区西工区廛河回族区涧西区吉利区郊区孟津县新安县栾川县嵩县汝阳县宜阳县洛宁县伊川县偃师市10 平顶山市新华区卫东区石龙区湛河区宝丰县叶县鲁山县郏县舞钢市汝州市9 安阳市文峰区北关区铁西区郊区安阳县汤阴县滑县内黄县林州市5 鹤壁市鹤山区山城区郊区浚县淇县12 新乡市红旗区新华区北站区郊区新乡县获嘉县原阳县延津县封丘县长垣县卫辉市辉县市10 焦作市解放区中站区马村区山阳区修武县博爱县武陟县温县沁阳市孟州市6 濮阳市华龙区清丰县南乐县范县台前县濮阳县6 许昌市魏都区许昌县鄢陵县襄城县禹州市长葛市5 漯河市源汇区郾城区召陵区舞阳县临颍县6 三门峡市湖滨区渑池县陕县卢氏县义马市灵宝市13 南阳市宛城区卧龙区南召县方城县西峡县镇平县内乡县淅川县社旗县唐河县新野县桐柏县邓州市9 商丘市梁园区睢阳区民权县睢县宁陵县柘城县虞城县夏邑县永城市10 信阳市浉河区平桥区罗山县光山县新县商城县固始县潢川县淮滨县息县10 周口市周口市项城市扶沟县西华县商水县太康县鹿邑县郸城县淮阳县沈丘县10 驻马店地区驻马店市确山县泌阳县遂平县西平县上蔡县汝南县平舆县新蔡县正阳县1 省直辖行政单位济源市15. 湖北省(少两个)13 武汉市江岸区江汉区乔口区汉阳区武昌区青山区洪山区东西湖区汉南区蔡甸区江夏区黄陂区新洲区6 黄石市黄石港区石灰窑区下陆区铁山区阳新县大冶市8 十堰市茅箭区张湾区郧县郧西县竹山县竹溪县房县丹江口市13 宜昌市西陵区伍家岗区点军区虎亭区宜昌县远安县兴山县秭归县长阳土家族自治县五峰土家族自治县宜都市当阳市枝江市9 襄樊市襄城区樊城区襄阳县南漳县谷城县保康县老河口市枣阳市宜城市3 鄂州市梁子湖区华容区鄂城区4 荆门市东宝区掇刀区京山县沙洋县钟祥市7 孝感市孝南区孝昌县大悟县云梦县应城市安陆市汉川市8 荆州市沙市区荆州区公安县监利县江陵县石首市洪湖市松滋市10 黄冈市黄州区团风县红安县罗田县英山县浠水县蕲春县黄梅县麻城市武穴市6 咸宁市咸安区嘉鱼县通城县崇阳县通山县赤壁市8 恩施土家族苗族自治州恩施市利川市建始县巴东县宣恩县咸丰县来凤县鹤峰县4 省直辖行政单位仙桃市潜江市天门市神农架林区16. 湖南省9 长沙市芙蓉区天心区岳麓区开福区雨花区长沙县望城县宁乡县浏阳市9 株洲市荷塘区芦淞区石峰区天元区株洲县攸县茶陵县炎陵县醴陵市5 湘潭市雨湖区岳塘区湘潭县湘乡市韶山市12 衡阳市江东区城南区城北区郊区南岳区衡阳县衡南县衡山县衡东县祁东县耒阳市常宁市12 邵阳市双清区大祥区北塔区邵东县新邵县邵阳县隆回县洞口县绥宁县新宁县城步苗族自治县武冈市9 岳阳市岳阳楼区云溪区君山区岳阳县华容县湘阴县平江县汨罗市临湘市9 常德市武陵区鼎城区安乡县汉寿县澧县临澧县桃源县石门县津市市4 张家界市永定区武陵源区慈利县桑植县6 益阳市资阳区赫山区南县桃江县安化县沅江市11 郴州市北湖区苏仙区桂阳县宜章县永兴县嘉禾县临武县汝城县桂东县安仁县资兴市11 永州市芝山区冷水滩区祁阳县东安县双牌县道县江永县宁远县蓝山县新田县江华瑶族自治县12 怀化市鹤城区中方县沅陵县辰溪县溆浦县会同县麻阳苗族自治县新晃侗族自治县芷江侗族自治县靖州苗族侗族自治县通道侗族自治县洪江市5 娄底地区娄底市冷水江市涟源市双峰县新化县8 湘西土家族苗族自治州吉首市泸溪县凤凰县花垣县保靖县古丈县永顺县龙山县17. 广东省(多两个)12 广州市东山区荔湾区越秀区海珠区天河区芳村区白云区黄埔区番禺市花都市增城市从化市10 韶关市武江区浈江区曲江区始兴县仁化县翁源县乳源瑶族自治县新丰县乐昌市南雄市6 深圳市罗湖区福田区南山区宝安区龙岗区盐田区3 珠海市香洲区斗门区金湾区7 汕头市濠江区龙湖区金平区潮南区澄海区潮阳区南澳县5 佛山市禅城区顺德区南海区三水区高明区7 江门市蓬江区江海区台山市新会市开平市鹤山市恩平市9 湛江市赤坎区霞山区坡头区麻章区遂溪县徐闻县廉江市雷州市吴川市6 茂名市茂南区茂港区电白县高州市化州市信宜市8 肇庆市端州区鼎湖区广宁县怀集县封开县德庆县高要市四会市5 惠州市惠城区博罗县惠东县龙门县惠阳市8 梅州市梅江区梅县大埔县丰顺县五华县平远县蕉岭县兴宁市4 汕尾市城区海丰县陆河县陆丰市6 河源市源城区紫金县龙川县连平县和平县东源县4 阳江市江城区阳西县阳东县阳春市8 清远市清城区佛冈县阳山县连山壮族瑶族自治县连南瑶族自治县清新县英德市连州市1 东莞市东莞市1 中山市中山市3 潮州市湘桥区潮安县饶平县5 揭阳市榕城区揭东县揭西县惠来县普宁市5 云浮市云城区新兴县郁南县云安县罗定市18. 广西12 南宁市兴宁区青秀区西乡塘区江南区良庆区邕宁区武鸣县隆安县马山县上林县宾阳县横县10 柳州市城中区鱼峰区柳南区柳北区柳江县柳城县鹿寨县融安县融水苗族自治县三江侗族自治县17 桂林市秀峰区叠彩区象山区七星区雁山区阳朔县临桂县灵川县全州县兴安县永福县灌阳县龙胜各县自治区资源县平乐县荔蒲县恭城瑶族自治县7 梧州市万秀区蝶山区市郊区苍梧县藤县蒙山县岑溪市4 北海市海城区银海区铁山港区合浦县4 防城港市港口区防城区上思县东兴市4 钦州市钦南区钦北区浦北县灵山县5 贵港市港北区港南区覃塘区平南县桂平市6 玉林市玉州区容县陆川县博白县兴业县北流市7 崇左市江州区凭祥市扶绥县宁明县龙州县大新县天等县6 来宾市兴宾区合山市忻城县象州县武宣县金秀瑶族自治县4 贺州市八步区昭平县钟山县富川瑶族自治县12 百色市右江区田阳县田东县平果县德保县靖西县那坡县凌云县乐业县田林县隆林各族自治县西林县11 河池市金城江区宜州市罗城仫佬族自治县环江毛南族自治县南丹县天峨县凤山县东兰县巴马瑶族自治县都安瑶族自治县大化瑶族自治县。
山东省17个市.共49个市辖区、31个县级市、60个县. 包括:济南市青岛市淄博市枣庄市东营市烟台市潍坊市威海市济宁市泰安市日照市莱芜市临沂市德州市聊城市滨州市菏泽市.济南市辖6个市辖区、3个县,代管1个县级市.共73个街道、51个镇、11个乡1、市中区辖17个街道大观园街道杆石桥街道四里村街道魏家庄街道二七街道七里山街道六里山街道舜玉路街道泺源街道王官庄街道舜耕街道白马山街道七贤街道十六里河街道兴隆街道党家街道陡沟街道2、历下区辖13个街道解放路街道司里街街道趵突泉街道泉城路街道东门街道东关街道文东街道建新街道甸柳街道和平路街道姚家街道智远街道龙洞街道3、槐荫区辖12个街道、2个镇振兴街街道中大槐树街道道德街街道西市场街道五里沟街道营市街街道青年公园街道南辛庄街道段店北路街道张庄路街道匡山街道美里湖街道吴家堡镇段店镇4、天桥区辖13个街道、2个镇无影山街道天桥东街道北村街道南村街道堤口街道北坦街道制锦市街道宝华街道官扎营街道纬北路街道药山街道北园街道洛口街道桑梓店镇大桥镇5、历城区辖4个街道、12个镇山大路街道洪家楼街道东风街道全福街道仲宫镇港沟镇柳埠镇孙村镇郭店镇董家镇唐王镇遥墙镇王舍人镇华山镇西营镇彩石镇6、长清区辖4个街道、5个镇、2个乡文昌街街道崮云湖街道平安街道五峰山街道归德镇孝里镇万德镇张夏镇马山镇双泉乡武家庄乡7、章丘市辖6个街道、11个镇、3个乡明水街道双山街道枣园街道龙山街道埠村街道圣井街道普集镇绣惠镇相公庄镇垛庄镇水寨镇文祖镇刁镇曹范镇白云湖镇高官寨镇宁家埠镇官庄乡辛寨乡黄河乡8、平阴县辖6个镇、1个乡平阴镇东阿镇孝直镇孔村镇洪范池镇玫瑰镇安城乡9、济阳县辖2个街道、8个镇济阳街道济北街道回河镇垛石镇孙耿镇曲堤镇仁风镇崔寨镇二太平镇新市镇10、商河县辖2个街道、5个镇、5个乡许商街道玉皇庙街道龙桑寺镇殷巷镇怀仁镇郑路镇贾庄镇孙集乡沙河乡韩庙乡张坊乡白桥乡青岛市辖7个市辖区,代管5个县级市.共99个街道、79个镇1.市南区辖14个街道浮山街道八大峡街道台西街道云南路街道中山路街道观海路街道江苏路街道金口路街道八大关街道湛山街道金湖路街道八大湖街道金门路街道珠海路街道2.市北区辖16个街道小港街道即墨路街道辽宁路街道镇江路街道台东街道延安路街道大港街道华阳路街道登州路街道宁夏路街道敦化路街道辽源路街道合肥路街道浮山新区街道同安路街道洪山坡街道3.四方区辖15个街道阜新路街道海伦路街道嘉兴路街道兴隆路街道水清沟街道洛阳路街道河西街道双山街道鞍山路街道瑞昌路街道杭州路街道平安路街道湖岛街道郑州路街道开平路街道4.黄岛区辖6个街道柳花泊街道辛安街街道黄岛街道薛家岛街道长江路街道红石崖街道5.崂山区辖4个街道中韩街道沙子口街道王哥庄街道北宅街道6.(LI)沧区辖11个街道振华路街道永清路街道永安路街道兴华路街道兴城路街道 (LI)村街道虎山路街道浮山路街道九水路街道湘潭路街道楼山街道7.城阳区辖8个街道城阳街道夏庄街道流亭街道棘洪滩街道上马街道红岛街道河套街道惜福街道8.胶州市辖5个街道、13个镇阜安街道中云街道北关街道南关街道云溪街道胶莱镇马店镇 (LI)哥庄镇营海镇铺集镇张应镇里岔镇胶东镇胶西镇洋河镇九龙镇杜村镇胶北镇9.即墨市5个街道、18个镇环秀街道潮海街道通济街道北安街道龙山街道鳌山卫镇温泉镇龙泉镇刘家庄镇蓝村镇店集镇灵山镇七级镇王村镇丰城镇段泊岚镇移风店镇普东镇大信镇田横镇金口镇华山镇南泉镇10.平度市辖4个街道、26个镇城关街道 (LI)园街道同和街道香店街道白埠镇南村镇灰埠镇郭庄镇张戈庄镇仁兆镇古岘镇麻兰镇门村镇长乐镇店子镇新河镇张舍镇田庄镇马戈庄镇蓼兰镇万家镇兰底镇崔家集镇明村镇大泽山镇崔召镇云山镇祝沟镇旧店镇大田镇11.胶南市6个街道、11个镇铁山街道灵山卫街道珠山街道珠海街道隐珠街道滨海街道张家楼镇琅琊镇藏南镇泊里镇大场镇海青镇理务关镇大村镇六汪镇宝山镇王台镇12.莱西市辖5个街道、11个镇龙水街道经济开发区水集街道望城街道梅花山街道沽河街道姜山镇 (LI)权庄镇孙受镇夏格庄镇店埠镇院上镇武备镇南墅镇日庄镇马连庄镇河头店镇淄博市辖5个市辖区、3个县.共24个街道、74个镇其中1个民族镇、8个乡1.张店区辖8个街道、8个镇车站街道公园街道杏园街道和平街道科苑街道体育场街道石桥街道四宝山街道马尚镇南定镇沣水镇湖田镇傅家镇中埠镇卫固镇房镇镇2.淄川区辖4个街道、14个镇、3个乡钟楼街道般阳路街道商城路街道松龄路街道城南镇昆仑镇磁村镇岭子镇商家镇双杨镇洪山镇黑旺镇太河乡峨庄乡淄河镇张庄乡东坪镇西河镇龙泉镇寨里镇罗村镇3.博山区辖2个街道、11个镇城东街道城西街道域城镇白塔镇夏家庄镇山头镇八陡镇崮山镇石马镇北博山镇南博山镇源泉镇池上镇4.临淄区辖5个街道、8个镇其中1个民族镇、1个乡闻韶街道雪宫街道辛店街道稷下街道齐陵街道齐都镇皇城镇敬仲镇朱台镇梧台镇金岭回族镇南王镇凤凰镇边河乡5.周村区辖5个街道、4个镇丝绸路街道大街街道青年街道永安街道城北街道北郊镇南郊镇萌水镇王村镇6.桓台县辖11个镇索镇镇起凤镇邢家镇田庄镇荆家镇马桥镇陈庄镇新城镇周家镇唐山镇果里镇7.高青县辖9个镇田镇镇青城镇高城镇黑里寨镇唐坊镇常家镇花沟镇赵店镇木(LI)镇8.沂源县辖9个镇、4个乡南麻镇土门镇鲁村镇大张庄镇中庄镇西里镇东里镇张家坡镇悦庄镇三岔乡徐家庄乡燕崖乡石桥乡枣庄市辖5个市辖区,代管1个县级市.共17街道、44个镇、3个乡1、市中区辖6个街道、3个镇、2个乡龙山路街道中心街街道文化路街道各塔埠街道矿区街道光明路街道税郭镇孟庄镇齐村镇永安乡西王庄乡2、薛城区辖3个街道、6个镇兴城街道临城街道兴仁街道沙沟镇周营镇邹坞镇陶庄镇常庄镇张苑镇临城街道陶庄镇邹坞镇3、峄城区辖2个街道、5个镇坛山街道吴林街道古邵镇阴平镇底阁镇榴园镇峨山镇4、台儿庄区辖1个街道、5个镇运河街道邳庄镇张山子镇泥沟镇涧头集镇马兰屯镇5、山亭区辖1个街道、8个镇、1个乡山城街道徐庄镇冯卯镇水泉镇北庄镇城头镇西集镇店子镇桑村镇凫城乡6、滕州市辖4个街道、17个镇荆河街道龙泉街道北辛街道善南街道东沙河镇洪绪镇南沙河镇大坞镇滨湖镇级索镇西岗镇姜屯镇鲍沟镇张汪镇官桥镇柴胡店镇羊庄镇木石镇界河镇龙阳镇东郭镇东营市辖2个市辖区、3个县.共7街道、23个镇、13个乡1、东营区辖6个街道、4个镇文汇街道黄河路街道东城街道辛店街道胜利街道胜园街道牛庄镇六户镇史口镇龙居镇2、河口区辖1个街道、3个镇、3个乡河口街道义和镇仙河镇孤岛镇新户乡太平乡六合乡3、垦利县辖5个镇、2个乡垦利镇胜坨镇郝家镇永安镇黄河口镇西宋乡董集乡4、利津县辖5个镇、4个乡利津镇北宋镇盐窝镇陈庄镇汀罗镇明集乡北岭乡虎滩乡刁口乡5、广饶县辖6个镇、4个乡广饶镇大王镇稻庄镇石村镇丁庄镇 (LI)鹊镇花官乡陈官乡大码头乡西刘桥乡经济开发区城区办事处烟台市辖4个市辖区、1个县,代管7个县级市.共49个街道、94个镇、6个乡1、莱山区辖3个街道、2个镇黄海街道初家街道滨海路街道解甲庄镇莱山镇2、芝罘区辖12个街道向阳街道东山街道毓璜顶街道通伸街道凤凰台街道奇山街道白石街道芝罘岛街道黄务街道只楚街道世回尧街道幸福街道3、福山区辖5个街道、4个镇清洋街道福新街道古现街道大季家街道高疃镇张格庄镇回里镇门楼镇八角街道4、牟平区辖3个街道、10个镇宁海街道文化街道养马岛街道观水镇武宁镇大窑镇姜格庄龙泉镇玉林店镇水道镇莒格庄镇高陵镇王格庄镇5、栖霞市辖2个街道、13个镇翠屏街道庄园街道亭口镇唐家泊镇庙后镇蛇窝泊镇官道镇寺口镇西城镇观里镇苏家店镇杨础镇松山镇桃村镇臧家庄镇6、海阳市辖3个街道、11个镇方圆街道东村街道凤城街道郭城镇盘石店镇徐家店镇发城镇小纪镇行村镇留格庄镇大阎家镇辛安镇里店镇朱吴镇二十里店镇7、龙口市辖3个街道、10个镇徐福镇七甲镇下丁家镇北马镇芦头镇黄山馆镇新嘉街道东江镇龙港街道石良镇东莱街道兰高镇诸由观镇8、莱阳市辖4个街道、14个镇城厢街道古柳街道龙旺庄街道冯格庄街道羊郡镇姜疃镇吕格庄镇高格庄镇山前店镇柏林庄镇河洛镇照旺庄镇大夼镇沐浴店镇谭格庄镇万第镇团旺镇穴坊镇莱阳经济开发区9、莱州市辖5个街道、11个镇城港路街道文峰路街道文昌街道永安街道三山岛街道金城镇平里店镇朱桥镇驿道镇程郭镇郭家店镇柞村镇夏邱镇虎头崖镇沙河镇土山镇10、蓬莱市辖5个街道、7个镇北沟镇大辛店镇刘家沟镇小门家镇潮水镇大柳行镇村里集镇登州街道紫荆山街道蓬莱阁街道新港街道南王街道11、招远市辖4个街道、10个镇温泉街道招远经济开发区泉山街道罗峰街道梦芝街道辛庄镇蚕庄镇张星镇阜山镇玲珑镇金岭镇大秦家镇齐山镇夏甸镇毕郭镇12、长岛县辖2个镇、6个乡南长山镇砣矶镇北长山乡黑山乡大钦岛乡小钦岛乡南隍城乡北隍城乡潍坊市辖4个市辖区,2个县,代管6个县级市.共49个街道、67个镇、1个乡1、潍城区辖6个街道于河街道望留街道西关街道城关街道南关街道北关街道2、寒亭区5个街道、2个镇寒亭街道开元街道固堤街道央子街道大家洼街道高里镇朱里镇3、坊子区辖4个街道、3个镇凤凰街道坊安街道坊城街道九龙涧街道黄旗堡镇赵戈镇太保庄镇4、奎文区辖9个街道大虞街道潍州路街道广文街道廿里堡街道北苑街道梨园街道东关街道新城街道清池街道5、青州市辖3个街道、9个镇王府街道益都街道云门山街道弥河镇王坟镇庙子镇邵庄镇高柳镇何官镇东夏镇谭坊镇黄楼镇6、诸城市辖3个街道、9个镇、1个乡密州街道龙都街道舜王街道贾悦镇石桥子镇林家村镇桃林乡7、寿光市辖5个街道、9个镇圣城街道文家街道古城街道洛城街道孙家集街道化龙镇营里镇台头镇田柳镇上口镇侯镇纪台镇稻田镇羊口镇8、安丘市辖2个街道、10个镇景芝镇柘山镇吾山镇大盛镇金冢子镇石堆镇新安街道兴安街道凌河镇辉渠镇石埠子镇官庄镇9、高密市辖3个街道、7个镇朝阳街道醴泉街道密水街道柏城镇夏庄镇姜庄镇大牟家镇阚家镇井沟镇柴沟镇10、昌邑市辖2个街道、6个镇奎聚街道、都昌街道柳疃镇龙池镇卜庄镇围子镇饮马镇北孟镇11、临朐县辖2个街道、8个镇城关街道东城街道五井镇冶源镇寺头镇九山镇辛寨镇沂山镇柳山镇上林镇12、昌乐县辖5个街道、4个镇城关街道宝城街道朱刘街道城南街道五图街道乔官镇营邱镇鄌郚镇红河镇威海市辖1个市辖区,代管3个县级市.共32个街道、49个镇1、环翠区辖8个街道、9个镇环翠楼街道鲸园街道竹岛街道怡园街道田和街道皇冠街道凤林街道西苑街道张村镇羊亭镇温泉镇桥头镇崮山镇孙家疃镇泊于镇草庙子镇初村镇2、文登市辖3个街道、14个镇龙山街道天福街道环山街道宋村镇文登营镇大水泊镇张家产镇高村镇泽库镇侯家镇泽头镇小观镇葛家镇米山镇界石镇汪疃镇苘山镇3、荣成市辖10个街道、12个镇俚岛镇成山镇埠柳镇港西镇夏庄镇崖西镇荫子镇滕家镇大疃镇上庄镇虎山镇人和镇4、石岛管理区副县级,辖6街道桃园街道东山街道斥山街道王连街道宁津街道港湾街道5、荣成经济开发区副县级,辖4街道崖头街道寻山街道崂山街道城西街道6、乳山市辖1个街道、14个镇城区街道夏村镇乳山口镇海阳所镇白沙滩镇大孤山镇南黄镇冯家镇下初镇午极镇育黎镇崖子镇诸往镇乳山寨镇徐家镇济宁市辖2个市辖区、7个县,代管3个县级市.共22个街道、94个镇、39个乡1、市中区辖8个街道仙营街道金城街道南苑街道观音阁街道阜桥街道古槐街道越河街道济阳街道2、任城区辖3个街道、9个镇三贾街道许庄街道柳行街道 (LI)营镇廿里铺镇长沟镇安居镇唐口镇接庄镇南张镇石桥镇喻屯镇3、曲阜市辖2个街道、6个镇、4个乡鲁城街道书院街道吴村镇姚村镇陵城镇小雪镇南辛镇时庄镇王庄乡董庄乡息陬乡防山乡4、兖州市辖2个街道、10个镇鼓楼街道永安街道新兖镇谷村镇大安镇小孟镇兴隆庄镇新驿镇颜店镇王因镇漕河镇黄屯镇5、邹城市辖3个街道、14个镇钢山街道千泉街道凫山街道香城镇城前镇大束镇北宿镇中心店镇唐村镇太平镇平阳寺镇石墙镇峄山镇看庄镇张庄镇田黄镇郭里镇夏镇街道昭阳街道韩庄镇欢城镇南阳镇鲁桥镇傅村镇留庄镇微山岛乡两城乡马坡乡高楼乡张楼乡赵庙乡西平乡7、鱼台县辖7个镇、3个乡谷亭镇清河镇鱼城镇王鲁镇张黄镇王庙镇 (LI)阁镇唐马乡老砦乡罗屯乡8、金乡县辖9个镇、4个乡金乡镇羊山镇胡集镇肖云镇鸡黍镇王丕镇司马镇鱼山镇马庙镇化雨乡卜集乡高河乡兴隆乡9、嘉样县辖8个镇、7个乡嘉祥镇纸坊镇梁宝寺镇卧龙山镇疃里镇马村镇金屯镇大张楼镇老僧堂乡黄垓乡万张乡马集乡满硐乡仲山乡孟姑集乡10、汶上县辖8个镇、6个乡汶上镇南站镇南旺镇次丘镇寅寺镇郭楼镇康驿镇苑庄镇义桥乡刘楼乡郭仓乡杨店乡军屯乡白石乡11、泗水县辖2个街道、8个镇、3个乡泗河街道济河街道泉林镇苗馆镇星村镇柘沟镇杨柳镇中册镇金庄镇泗张镇高峪乡圣水峪乡大黄沟乡12、粱山县辖9个镇、5个乡梁山镇小路口镇韩岗镇徐集镇拳铺镇杨营镇韩垓镇馆驿镇小安山镇马营乡寿张集乡黑虎庙乡赵固堆乡大路口乡泰安市辖2个市辖区、2个县,代管2个县级市.共10个街道、61个镇、15个乡1、泰山区辖5个街道、2个镇、1个乡岱庙街道财源街道泰前街道上高街道徐家楼街道省庄镇邱家店镇大津口乡2、岱岳区辖2个街道、14个镇、2个乡粥店街道天平街道山口镇黄前镇祝阳镇范镇角峪镇徂徕镇房村镇满庄镇北集坡镇夏张镇道朗镇大汶口镇马庄镇良庄镇下港乡化马湾乡3、新泰市辖2个街道、17个镇、1个乡青云街道新汶街道东都镇小协镇翟镇泉沟镇羊流镇果都镇西张庄镇天宝镇楼德镇禹村镇宫里镇谷里镇石莱镇放城镇刘杜镇汶南镇龙廷镇岳家庄乡新城街道石横镇潮泉镇孙伯镇老城镇王瓜店镇桃园镇王庄镇湖屯镇安临站镇安驾庄镇边院镇汶阳镇仪阳乡5、宁阳县辖9个镇、3个乡宁阳镇泗店镇东疏镇堽城镇蒋集镇磁窑镇华丰镇葛石镇伏山镇鹤山乡东庄乡乡饮乡6、东平县辖7个镇、7个乡东平镇老湖镇斑鸠店镇银山镇州城镇沙河站镇彭集镇接山乡大羊乡梯门乡新湖乡商老庄乡戴庙乡旧县乡日照市辖2个市辖区、2个县.共7个街道、39个镇、8个乡1、东港区辖5个街道、7个镇两城镇陈疃镇南湖镇西湖镇河山镇三庄镇涛雒镇秦楼街道奎山街道石臼街道日照街道北京路街道2、岚山区辖2个街道、6个镇、1个乡安东卫街道后村镇巨峰镇高兴镇安东卫街道虎山镇岚山街道碑廓镇黄墩镇前三岛乡3、五莲县辖9个镇、3个乡于里镇汪湖镇洪凝镇街头镇许孟镇潮河镇叩官镇中至镇高泽镇石场乡户部乡松柏乡4、莒县辖17个镇、4个乡城阳镇中楼镇龙山镇安庄镇寨里河乡刘官庄镇夏庄镇小店镇长岭镇陵阳镇店子集镇峤山镇桑园乡招贤镇东莞镇库山乡碁山镇果庄乡洛河镇阎庄镇浮来山镇莱芜市辖2个市辖区.共5个街道、14个镇、1个乡1、莱城区辖4个街道、10个镇、1个乡凤城街道张家洼街道高庄街道鹏泉街道羊里镇辛庄镇方下镇牛泉镇苗山镇雪野镇大王庄镇寨里镇杨庄镇茶叶口镇和庄乡2、钢城区辖1个街道、4个镇艾山街道颜庄镇黄庄镇里辛镇辛庄镇临沂市辖3个市辖区、9个县.共19个街道、129个镇、32个乡1、兰山区辖4个街道、7个镇兰山街道银雀山街道金雀山街道南坊街道白沙埠镇枣沟头镇半程镇义堂镇马厂湖镇 (LI)官镇朱保镇2、罗庄区辖8个街道罗庄街道付庄街道盛庄街道册山街道高都街道罗西街道双月湖街道汤庄街道3、河东区辖7个街道、4个镇、1个乡九曲街道芝麻墩街道梅埠街道相公街道太平街道汤头街道凤凰岭街道重沟镇汤河镇八湖镇郑旺镇刘店子乡4、沂南县辖16个镇、1个乡界湖镇岸堤镇孙祖镇双堠镇青驼镇张庄镇砖埠镇葛沟镇杨家坡镇大庄镇辛集镇蒲汪镇湖头镇苏村镇铜井镇依汶镇马牧池乡5、郯城县辖11个镇、6个乡郯城镇马头镇重坊镇 (LI)庄镇褚墩镇杨集镇黄山镇港上镇高峰头镇庙山镇沙墩镇胜利乡新村乡花园乡红花乡归昌乡泉源乡6、沂水县辖13个镇、6个乡沂水镇马站镇高桥镇许家湖镇黄山铺镇姚店子镇诸葛镇崔家峪镇四十里堡镇杨庄镇夏蔚镇沙沟镇高庄镇道托乡圈里乡龙家圈乡泉庄乡富官庄乡院东头乡7、苍山县辖14个镇、7个乡卞庄镇大仲村镇兰陵镇长城镇磨山镇神山镇车辋镇尚岩镇向城镇新兴镇南桥镇层山镇庄坞镇沂堂镇贾庄乡矿坑乡下村乡鲁城乡三合乡兴明乡二庙乡8、费县辖14个镇、4个乡费城镇上冶镇薛庄镇方城镇汪沟镇探沂镇朱田镇梁邱镇新庄镇马庄镇新桥镇刘庄镇胡阳镇石井镇大田庄乡南张庄乡城北乡芍药山乡9、平邑县辖14个镇、2个乡平邑镇仲村镇武台镇保太镇柏林镇卞桥镇地方镇铜石镇温水镇流峪镇郑城镇白彦镇临涧镇丰阳镇资邱乡魏庄乡10、莒南县辖16个镇、2个乡十字路镇团林镇大店镇坊前镇坪上镇相邸镇板泉镇洙边镇文疃镇壮岗镇汀水镇石莲子镇岭泉镇筵宾镇涝坡镇朱芦镇道口乡相沟乡11、蒙阴县辖9个镇、2个乡蒙阴镇常路镇岱崮镇坦埠镇垛庄镇高都镇野店镇桃墟镇界牌镇联城乡旧寨乡12、临沭县辖11个镇、1个乡临沭镇蛟龙镇大兴镇石门镇曹庄镇南古镇郑山镇白旄镇青云镇玉山镇店头镇朱仓乡德州市辖1个市辖区、8个县,代管2个县级市.共19个街道、78个镇、34个乡其中1个民族乡1、德城区辖5个街道、4个镇、2个乡天衢街道运河街道新湖街道新华街道东地街道二屯镇黄河涯镇宋官屯镇赵虎镇抬头寺乡袁桥乡2、乐陵市辖4个街道、8个镇、4个乡市中街道胡家街道云红街道郭家街道杨安镇朱集镇黄夹镇丁坞镇花园镇郑店镇化楼镇孔镇西段乡大孙乡铁营乡寨头堡乡3、禹城市辖1个街道、7个镇、2个乡、1个民族乡市中街道房寺镇辛寨镇十里望回族乡张庄镇梁家镇 (LI)屯乡莒镇乡伦镇安仁镇辛店镇4、陵县辖9个镇、3个乡陵城镇郑家寨镇麋镇宋家镇徽王庄镇神头镇滋镇前孙镇边临镇义渡口乡丁庄乡于集乡5、宁津县辖9个镇、2个乡宁津镇柴胡店镇长官镇杜集镇时集镇保店镇大柳镇大曹镇相衙镇张大庄乡刘营伍乡6、庆云县辖1个街道、4个镇、4个乡渤海路街道庆云镇常家镇尚堂镇崔口镇严务乡东辛店乡中丁乡徐园子乡7、临邑县辖3个街道、6个镇、3个乡邢侗街道恒源街道临盘街道临邑镇临南镇德平镇林子镇兴隆镇孟寺镇翟家乡理合乡宿安乡8、齐河县辖9个镇、5个乡晏城镇表白寺镇焦庙镇赵官镇祝阿镇仁里集镇潘店镇胡官屯镇宣章屯镇华店乡安头乡马集乡刘桥乡大黄乡9、平原县辖2个街道、7个镇、3个乡龙门街道桃园街道王风楼镇前曹镇恩城镇王庙镇王杲铺镇张华镇腰站镇坊子乡王打卦乡三唐乡10、夏津县辖2个街道、10个镇、2个乡银城街道北城街道苏留庄镇新盛店镇雷集镇郑保屯镇白马湖镇东(LI)官屯镇宋楼镇香赵庄镇双庙镇南城镇渡口驿乡田庄乡11、武城县辖1个街道、5个镇、3个乡广运街道武城镇老城镇滕庄镇鲁权屯镇郝王庄镇杨庄乡 (LI)家户乡甲马营乡聊城市辖1个市辖区、6个县,代管1个县级市.共28个街道、66个镇其中1个民族镇、40个乡1、东昌府区辖10个街道、8个镇、2个乡古楼街道柳园街道新区街道湖西街道道口铺街道闫寺街道凤凰街道北城街道侯营镇沙镇镇堂邑镇梁水镇斗虎屯镇郑家镇张炉集镇于集镇许营乡朱老庄乡2、临清市辖4个街道、9个镇、3个乡新华街道青年街道先锋街道大辛庄街道唐园镇烟店镇潘庄镇尚店乡八岔路镇刘垓子镇戴湾乡魏湾镇康庄镇金郝庄乡老赵庄镇松林镇3、阳谷县辖3个街道、10个镇、5个乡博济桥街道侨润街道狮子楼街道张秋镇寿张镇 (LI)台镇阎楼镇石佛镇定水镇安乐镇阿城镇七级镇高庙王乡大布乡郭店屯乡十五里园镇金斗营乡西湖乡4、莘县辖4个街道、13个镇其中1个民族镇、7个乡莘亭街道振兴街道雁塔街道东鲁街道张鲁回族镇朝城镇观城镇古城镇大张家镇古云镇十八里铺镇燕店镇董杜庄镇王奉镇樱桃园镇河店镇妹冢镇魏庄乡大王寨乡俎店乡张寨乡徐庄乡王庄集乡柿子园乡5、茌平县辖2个街道、6个镇、8个乡振兴街道信发街道博平镇乐平镇冯屯镇菜屯镇杜郎口镇韩屯镇洪官屯乡肖庄乡贾寨乡韩集乡广平乡胡屯乡温陈乡杨官屯乡6、东阿县辖2个街道、7个镇、2个乡铜城街道新城街道刘集镇牛角店镇大桥镇高集镇姜楼镇顾官屯镇姚寨镇陈集乡单庄乡7、冠县辖7个镇、10个乡冠城镇东古城镇北陶馆镇柳林镇清水镇桑阿镇贾镇斜店乡万善乡店子乡甘屯乡兰沃乡辛集乡范寨乡定远寨乡烟庄乡梁堂乡8、高唐县辖3个街道、6个镇、3个乡汇鑫街道人和街道鱼邱湖街道梁村镇尹集镇清平镇固河镇三十里铺镇琉璃寺镇姜店乡杨屯乡赵寨子乡。
昌乐县调研报告报告标题:昌乐县调研报告一、调研目的和背景:为了解昌乐县的经济社会发展情况,为进一步推动县域经济发展、改善民生提供参考,本次调研旨在了解昌乐县的基本情况、主要产业发展状况、城乡发展差距以及存在的问题和挑战。
二、调研方法和过程:1.采取问卷调查和实地走访相结合的方式,收集信息和数据。
2.走访县政府、企事业单位、农户和居民,了解他们对昌乐县发展的看法和期望。
3.收集各类统计数据,如人口、经济指标、教育和医疗等方面的数据。
4.梳理和整理所收集的数据和信息,分析形成报告。
三、调研结果分析:1.昌乐县基本情况:昌乐县位于山东省东北部,地处胶东半岛,总面积1,200平方公里。
全县辖9个镇、3个乡,总人口约80万人,其中农村人口占总人口的70%以上。
2.主要产业发展情况:农业是昌乐县的重要支柱产业,主要农作物有小麦、玉米等。
工业发展较为薄弱,除少数针对农产品深加工的企业外,大部分企业规模较小,产业结构较单一。
3.城乡发展差距:昌乐县城压力较大,城市基础设施建设相对较好,但农村基础设施建设仍然滞后。
乡镇之间发展不平衡,交通不便,教育、医疗等公共服务设施不完善。
4.存在的问题和挑战:(1)经济发展不平衡,农业发展落后,工业发展缓慢,城乡发展差距较大。
(2)基础设施建设滞后,交通不便,影响县域发展和农产品运输。
(3)公共服务设施不健全,教育、医疗等方面存在不足。
(4)环境保护意识薄弱,污染问题日益突出。
四、建议和对策:(1)加大对农业的支持力度,鼓励农民发展特色农业,提高农产品附加值。
(2)加强城乡基础设施建设,优化农村公共服务设施,提高农民生活质量,促进城乡融合发展。
(3)加强环境保护工作,引导企业实施绿色发展,提高环保意识。
(4)加强教育和医疗事业的投入,提高人民群众的获得感和满意度。
五、结语:昌乐县作为山东省的一个县城,面临着经济发展不平衡、城乡发展差距大等问题和挑战。
但同时,我们也看到了昌乐县的发展潜力和机遇。
昌乐方山简介和历史一、方山的地理位置和概况方山,位于中国山东省昌乐县,是昌乐县的标志性山峰,也是山东省的重要旅游景点之一。
方山海拔约1300米,是山东省内海拔最高的山峰之一。
方山以其雄伟壮观的山势和悠久的历史而闻名于世。
下面将介绍方山的地理位置、地质结构以及自然环境等基本信息。
1. 方山的地理位置方山位于山东省中部,昌乐县的西部,地理坐标为东经116°30′,北纬36°50′。
它紧邻昌乐城区,距离昌乐市区约10公里。
2. 方山的地质结构方山主要由花岗岩构成,整体呈圆锥形,山体高耸险峻,山势雄伟。
方山是山东省的孤立山峰,周围地势较低。
3. 方山的自然环境方山气候温和,四季分明。
山上植被丰富,森林茂密,尤以松树为主。
山间清澈的溪流蜿蜒而过,形成了独特的山水景观。
方山是一处宜人的生态环境,也是野外探险和休闲度假的好去处。
二、方山的历史渊源方山有着悠久的历史,自古就是文化名山。
下面将从方山的发展历程、历代名人的赞誉以及文化遗产等方面来介绍方山的历史渊源。
1. 方山的发展历程方山的历史可以追溯到远古时期。
据考古学家的研究,方山周边地区曾经是古人类活动的场所,发现了大量的石器和陶器遗物,表明这里早在6000多年前就有人类在居住。
在历史时期,方山逐渐成为昌乐地区的重要文化中心和军事要塞。
出土的古代文物和文献中记载的历史事件都证明了方山在古代的重要地位。
2. 方山的名人赞誉方山自古以来就被誉为”鲁中第一山”,不少历代名人都给予了方山高度赞誉。
比如明代文学家杨慎谔曾言:“方山胜观,实一代名山也。
”此外,还有很多文人墨客曾经到方山游历并留下了许多诗词和文章,对方山的美景和历史底蕴给予了高度评价。
3. 方山的文化遗产方山以其悠久的历史和丰富的文化内涵而闻名于世。
方山上有丰富的岩画资源,这些岩画反映了古人类的生活和社会风貌,具有重要的考古学和艺术价值。
此外,方山还保存了众多的古代建筑和碑刻,这些古迹是方山的重要文化遗产,也是研究古代历史和文化的重要依据。
“五色”昌乐
作者:
来源:《旅游世界》2018年第12期
昌樂县位于山东半岛中部,是中国蓝宝石之都和中华文化国际旅游名城。
昌乐县历史文化悠久,古称营丘,为姜太公初封地;自然资源丰富,境内有大小古火山84座,是1800万年前的远古火山群遗迹;昌乐县还有着宝石之都的称号,是中国最大的蓝宝石矿区,也是世界四大蓝宝石产地之一,亦是中国最大的黄金交易市场;昌乐农业资源丰富,昌乐西瓜素有“天上甘露美,昌乐西瓜甜”的美誉……
蓝色宝石、金色黄金、黑色火山、绿色水果和蔬菜、炫色乐器是昌乐一张张靓丽的名片,“五色”昌乐专题详细为您介绍。
12山东省潍坊市昌乐县昌乐县昌乐县,位于山东半岛内陆,隶属山东省潍坊市,东距潍坊城区25公里,西界临朐、益都,南与安邱隔河相望,北与寿光接壤。
总面积1101平方公里,人口60万。
县辖20镇3乡。
昌乐地理位置优越,交通十分方便,胶济铁路、济青高速公路从北部通过,济青、王潍两条公路干线横贯东西,县内公路四通八达。
县城居县境内北部,商业、通讯、文化、卫生等服务设施齐全。
昌乐县辖5个街道、4个镇:城关街道、宝城街道、朱刘街道、城南街道、五图街道、乔官镇、鄌郚镇、红河镇、营邱镇。
目录1 县名由来2 行政区划3 地理4 人口5 资源6 经济7 旅游8 特产9 特色小吃昌乐县- 县名由来昌乐县古称营丘。
为姜太公初封地。
宋朝建隆三年(962年)始置昌乐县,以“都昌”、“长乐”两地名之尾字取名昌乐县,寓昌盛安乐之意。
昌乐县- 行政区划 地图昌乐县辖5个街道、4个镇:城关街道、宝城街道、朱刘街道、城南街道、五图街道、乔官镇、鄌郚镇、红河镇、营邱镇。
 历史沿革:昌乐县古称营丘,为姜太公初封地。
宋朝建隆三年(962年)始置昌乐县,取昌盛安乐之意而得名。
1994年11月1日,撤销平原乡、崔家庄乡、阿陀乡,设立平原镇、崔家庄镇、阿陀镇。
1995年7月25日,撤销毕都乡、南郝乡、北岩乡、河头乡,设立青龙镇、南郝镇、北岩镇、河头镇;撤销漳河乡,以原漳河乡的行政区域设立高崖镇;将临朐县白塔乡的张家楼、东前韩、东后韩、东前河野、东后河野5个行政区和东窝铺、东白塔2个自然村划归高崖镇管辖。
1996年6月28日,撤销临朐县白塔乡,设立昌乐县白塔镇,将原白塔乡所属的刘家沟、西寺后、东寺后、窝铺、白塔、史家沟、北段、山坡西沟、克家洼、卧牛石官庄、魏家沟、后河野、西前韩、南高家庄、山坡、西后韩、董家庄、栗行、建新、前河野、洛村、赵庄、孙家沟、北洋河、南洋河、大沟、闫家河、黄冢坡等28个村和临朐县大关镇的池子村划归白塔镇管辖,镇人民政府驻原白塔乡人民政府驻地;将原白塔乡所属的庞家河、西双山河、东双山河、李家沟、王家沟、大高家庄等6个村划归临朐县辛寨镇管辖,邬家官庄划归临朐县柳山镇管辖,上述区划调整后,昌乐县白塔镇,临朐县辛寨镇、柳山镇的行政区域界线以潍政请字[1996]50号、51号文所附的1:5万地形图上标绘的边界线为准(鲁政字[1996]121号)。
1996年12月29日,撤销朱汉乡、大宅科乡,设立朱汉镇、大宅科镇(鲁政函民字[1996]65号)。
1997年7月9日,撤销北展乡,设立北展镇(鲁政函民字[1997]31号)。
2000年,昌乐县辖20个镇、3个乡。
根据第五次人口普查数据:593009人,各乡镇人口:昌乐镇85475 尧沟镇23555 朱刘镇46517 五图镇31529 南郝镇26592 北岩镇25151 乔官镇28758 青龙镇14369 唐吾镇26275高崖镇23501 平原镇28511 红河镇30255 马宋镇18219 河头镇22584 阿陀镇23016 崔家庄镇19444 白塔镇20631 北展镇16824 朱汉镇15990 大宅科镇14250 北唐吾乡13990 包庄乡17863 王俊乡12500 昌乐县经济技术开发区虚拟镇7210截至2002年12月31日,全县总面积1101平方千米。
辖15个镇,904个村。
年底全县总人口59.95万人,其中非农业人口8.29万人。
2003年,全县总面积1101平方千米。
辖15个镇:昌乐镇、朱刘镇、尧沟镇、南郝镇、北岩镇、五图镇、乔官镇、马宋镇、崔家庄镇、阿陀镇、朱汉镇、唐吾镇、高崖镇、红河镇、白塔镇。
904个行政村。
年底全县总人口59.63万人,其中非农业人口12.72万人。
2006年,昌乐县辖4个街道、12个镇:城关街道、宝城街道、朱刘街道、城南街道、尧沟镇、五图镇、北岩镇、乔官镇、鄌郚镇、高崖镇、红河镇、马宋镇、阿陀镇、崔家庄镇、白塔镇、朱汉镇。
2007年,昌乐县将4个街道、12个镇调整为5个街道、4个镇:撤销尧沟镇,将原尧沟镇的行政区域划归宝城街道办事处管辖,办事处机关驻地不变;撤销五图镇,以原五图镇的行政区域设立五图街道办事处,办事处机关驻原五图镇政府驻地;撤销北岩镇,将原北岩镇的行政区域并入乔官镇,镇政府驻地不变;撤销崔家庄镇、阿陀镇、马宋镇,以原崔家庄镇、阿陀镇、马宋镇的行政区域设立营邱镇,镇政府驻地驻原马宋镇政府驻地;撤销朱汉镇,将朱汉镇的行政区域并入红河,镇政府驻地不变;撤销白塔镇、高崖镇,将白塔镇、高崖镇的行政区域并入鄌郚镇,镇政府驻地不变。
昌乐县- 地理昌乐县位于山东半岛中部,国际风要筝都潍坊市西25公里处,北临渤海湾,是内陆通往胶东沿海地区的咽喉地带。
东距海滨城市青岛150公里,西距山东省城济南市160公里。
胶济铁路、济青高速公路、309国道等贯穿境内,交通非常便利。
昌乐县- 人口2003年底,全县总人口59.63万人,其中非农业人口12.72万人。
昌乐县- 资源 蓝宝石昌乐县有3000多年的历史,古称营陵,境内有距今1800万年的远古火山群和212处古文化遗址。
现已探明和开发的矿产资源有蓝宝石、玄武岩、石灰岩、木鱼石、煤、粘土、砂金等9类25个品种,82处矿产地。
昌乐石灰岩保有量为20亿吨,其中熔剂灰岩为1.5亿吨,水泥、化工灰岩为14亿吨,建筑石料灰岩为4.5亿吨。
特别是蓝宝石资源丰富,有矿面积450平方公里,是目前世界上罕见的大型蓝宝石矿床之一,具有颗粒大、颜色纯、质量好、奇异宝石多等特点,颇受国内外珠宝界的青睐,昌乐也因此被誉为“蓝宝石之乡”。
 昌乐县- 经济 西瓜农业:昌乐县农业基础雄厚,现已形成瓜菜、黄烟、桑蚕、林果、肉鸡、肉鸭和奶牛七大主导产业。
昌乐西瓜已有150多年的栽培历史,栽培面积15万亩,品种80多个;建有中华西瓜科技园,一年四季有瓜,是有名的“西瓜之乡”,产品已获国家农业部“绿色食品”认证。
畜牧养殖业,有乐港、永昌等龙头企业,形成了鸡、鸭、牛、羊、猪等17个系列,年产肉、蛋、奶10余吨,年养殖肉鸡、肉鸭5000万只。
 工业:昌乐县工业发展较快。
目前,全县各类企业发展到1035处,其中年销售收入过500万元的工业企业229家,形成了化工、农副产品加工、塑料、机械、建材、宝石加工、轻纺等行业为主的工业体系。
目前,我县的珠宝、塑料袋、油漆、肉鸡、肉鸭、葡萄糖等产品的产量居全国同行业前列。
全县共有塑料加工企业102家,年加工能力10万吨;拖拉机组装企业20家,年生产能力30万台;乐器加工企业30家,年产吉他、贝司等乐器50万把;地毯生产企业18家,年加工能力240万平方英尺。
第三产业:昌乐县的第三产业发展势头强劲。
2005,第三产业实现增加值19.8亿元,占全县GDP的27.3%;服务业从业人员9.5万人。
大型专业批发市场和集贸市场发展到95处,其中尧沟瓜菜市场年交易量4亿公斤,被评为“国家定点西瓜市场”。
全县商业零售餐饮网点发展到3908户,城区有温州商城、商业步行街、佳乐家超市等大型商业网点,2005年全县社会消费品零售总额达29.4亿元。
旅游业以蓝宝石为依托,建成了中国宝石城、中华宝玉石博物馆、世界民族文化村、仙月湖景区等10多处旅游景点,推出了“蓝宝石之旅”、“生态观光”等旅游专线。
珠宝交易市场珠宝业:珠宝业发展得天独厚,现已形成规模宏大的珠宝集散地。
自1986年在昌乐发现蓝宝石以来,经过十几年的持续发展,全县珠宝业从业人数已达4000余人,从事珠宝产业的企业已达340家,其中大型宝石开采企业8家,饰品镶嵌企业80多家,珠宝首饰批发、销售贸易型企业250家,年宝石加工能力600万克拉、饰品400万枚、黄金首饰600万克,年产值10亿元。
已形成山东省规模最大的24K黄金、白金和18K镶金饰品及宝石的专业批发市场,建成了国内唯一冠国家级名称的珠宝交易市场“中国宝石城”。
我县已连续举办了两届宝石节,都取得明显效果。
 对外贸易:昌乐县对外经贸发展迅速。
近年来,通过大力实施招商引资和多元化市场开拓、产品内部结构战略,对外开放步伐进一步加快。
到目前,全县累计办成外商投资企业180多家。
2005年,全县新批利用外资项目28个,实际利用外资1.2亿美元。
目前,全县出口商品有肉鸡、肉鸭、塑料、纺织品、玩具、蔬菜、油漆、地毯等15大类200多个品种,产品远销50多个国家和地区。
2005年全县出口创汇1.2亿美元。
昌乐县珠宝业发展得天独厚,现已形成规模宏大的珠宝集散地。
自1986年在昌乐发现蓝宝石以来,经过十几年的持续发展,全县珠宝业从业人数已达4000余人,从事珠宝产业的企业已达340家,其中大型宝石开采企业8家,饰品镶嵌企业80多家,珠宝首饰批发、销售贸易型企业250家,年宝石加工能力600万克拉、饰品400万枚、黄金首饰600万克,年产值10亿元。
已形成山东省规模最大的24K黄金、白金和18K镶金饰品及宝石的专业批发市场,建成了国内唯一冠国家级名称的珠宝交易市场“中国宝石城”。
该县已连续举办了四届宝石节,都取得明显效果。
投资环境:昌乐县投资环境优越,投资政策优惠。
近年来,该县把招商引资作为带促各项工作上水平的总抓手,提出了“招商引资促发展,求真务实建强县”的口号,采取了一系列超常规的措施和办法,把招商引资作为“天字号”工程来抓,取得明显成效,仅去年就引进各类项目326个,实际到位资金33.9亿元,其中过千万元项目68个,过亿元项目25个。
在县境内,除了有省级开发区——昌乐经济开发区外,还规划了若干项目区。
昌乐经济开发区及各重点项目区内商贸、加工、科研、娱乐、居住等功能设置合理,配套基础设施已全部达到“七通一平”的水平。
区内实行封闭式管理,推行“税外无费”政策,不经批准任何单位和个人不能进园区检查收费,为外商生产经营创造良好环境。
为鼓励外商投资,我们制定了一系列优惠政策,对投资者和项目引荐人都给予奖励。
同时,还提出了“视投资者为上帝、视引荐者为功臣”,“只要来投资,剩下的事情我们办”的口号,确保外商在昌乐能够享受到最优质的服务。