自动控制理论第四版夏德钤翁贻方第三章笔记
- 格式:doc
- 大小:1.90 MB
- 文档页数:30
第三章过程检测技术目的:为了实现对生产过程的自动控制,首先必须对生产过程的各参数进行可靠地测量。
要点:学习和掌握过程测试及应用;正确地选择测试原理和方法;组成合适的测试系统。
第一节测量与误差基本知识测量基本知识一.测量的概念1•概念测量是人类对自然界的客观事物取得数量概念的一种认识过程。
或者说测量就是为取得任一未知参数而做的全部工作。
4.测量的基本方程式x0 =X0/u5 .测量过程三要素(1)测量单位;(2)测量方法;(3)测量仪器与设备。
二.测量单位1.概念数值为1的某量,称为该量的测量单位或计量单位。
三.测量方法(一)测量方法的分类1.直接测量与间接测量2.等精度测量和不等精度测量3.接触测量与非接触测量4.静态测量与动态测量(二)直接测量法有以下几种常用方法:1.直接比较测量法2.微差测量法3.零位测量法(又称补偿测量法或平衡测量法)(三)间接测量法1 .定义通过对与被测量有函数关系的其它量进行测量,的测量方才能得到被测量值法。
4.组合测量法四.测量仪器与设备一)感受件(传感器)二)中间件(变送器或变换器)三)显示件(显示器)误差基本知识.误差基础(一)测量误差及分类1.系统误差2.随机误差(又称偶然误差)3.粗大误差(二)测量的精密度、准确度和精确度1.精密度2.准确度3.精确度(三)不确定度概念用测量值代表被测量真值的不肯定程度。
是测量精确度的定量表示(四)仪表的基本误差限1.绝对误差2.相对误差3.引用误差.误差分析与处理一)随机误差的分析与处理1 .统计特性(随机过程)2.算术平均值原理(1)真值的最佳估计值(最佳信赖值)。
(2)剩余误差3.随机误差的标准误差估计(贝塞尔公式)4.置信概率与置信区间二)系统误差的分析与处理1.系统误差的估计1)恒定系统误差指误差大小和符号在测量过程中不变的误差。
2)变值系统误差它是一种按照一定规律变化的系统误差。
可分为a. 累积性系统误差随着时间的增长,误差逐渐增大或减少的系统误差b. 周期性系统误差误差大小和符号均按一定周期变化的系统误差。
3-1,试求下列传递函数在零初始条件下的单位脉冲响应、阶跃响应和斜坡响应。
(1) )2)(1(2)(++=s s s G ; (2)21()24G s s s =++3-2 某系统初始条件为零,其响应如图所示,试求该系统的传递函数。
y(t)(1)单位脉冲)(t δ响应 (2)单位阶跃1()t 响应3-3 试在s 平面上分别画出满足下列每一参量要求的二阶系统极点区域。
(1)10.707,2n s ξω->≥;(2)110.50.707,24n s s ξω--≤≤≤≤3-4 已知单位反馈系统的开环传递函数为()(1)KG s s s τ=+,求下列参数条件下的最大超调量和调整时间,画出闭环极点位置并总结动态指标的变化与极点和系统参数的关系。
(1)4,1K τ==; (2)1,1K τ==; (3)2,0.5K τ==3-5 已知二阶系统的单位阶跃响应为1.2()1012.5sin(1.653.1)t h t e t -=-+o试求(1)系统的最大超调量M p (%)、峰值时间t p 和调整时间t s ;(2)确定系统的闭环传递函数;(3)确定阻尼比和无阻尼自然振荡角频率n ω。
3-6已知控制系统的阶跃响应为2()12t t y t e e --=+-。
(1)求系统的单位脉冲响应。
(2)求系统的传递函数,并确定,n ξω。
3-7 单位反馈二阶系统,已知其开环传递函数为)2()(2n ns s s G ξωω+=,从实验方法求得其零初始状态下的阶跃响应如图所示。
经测量知,096.0=P σ,s t P 2.0=。
试确定传递函数中的参量ξ及n ω。
Py(t)y(∞)3-8 系统结构图如下,当要求系统的单位阶跃响应()y t 具有超调量%3.16=P σ,调节时间 2.2S t =秒(0.02∆=)。
试确定前置放大器K 的放大倍数及内反馈系数τ的值。
求:(1)当ss R 1)(=,动态指标%20≤P σ,8.1=S t 秒(0.05∆=)时,试确定1K 及τ值;(2)在动态指标所确定的1K 及τ下,当输入信号分别为)(1)(t t r =、t t r =)(、221)(t t r =时,系统的稳态误差?)(=∞SS e 。
《自动控制理论 (夏德钤)》习题答案详解第二章2-1 试求图2-T-1所示RC 网络的传递函数。
(a)11111111+=+⋅=Cs R R CsR Cs R z ,22R z =,则传递函数为: 2121221212)()(R R Cs R R R Cs R R z z z s U s U i o +++=+= (b) 设流过1C 、2C 的电流分别为1I 、2I ,根据电路图列出电压方程:⎪⎪⎩⎪⎪⎨⎧=++=)(1)()]()([)(1)(2221111s I s C s U s I s I R s I sC s U o i 并且有)()1()(122211s I sC R s I s C += 联立三式可消去)(1s I 与)(2s I ,则传递函数为:1)(1111)()(222111221212211112++++=⎪⎪⎭⎫⎝⎛+⎪⎪⎭⎫ ⎝⎛++=s C R C R C R s C C R R R s C R s C s C R sC s U s U i o2-2 假设图2-T-2的运算放大器均为理想放大器,试写出以i u 为输入,o u 为输出的传递函数。
(a)由运算放大器虚短、虚断特性可知:dtduC dt du C R u i i 0+-=,0u u u i c -=, 对上式进行拉氏变换得到)()()(0s sU s sU RCs U i i +-= 故传递函数为RCsRCs s U s U i 1)()(0+=(b)由运放虚短、虚断特性有:022=-+--R u R u u dt du Cc c i c ,0210=+R u R u c ,联立两式消去c u 得到02220101=++⋅u R u R dt du R CR i 对该式进行拉氏变换得0)(2)(2)(20101=++s U R s U R s sU R CR i 故此传递函数为)4(4)()(10+-=RCs R R s U s U i (c)02/2/110=+-+R u R u u dt du Cc c c ,且21R uR u c i -=,联立两式可消去c u 得到 0222101=++⋅Ru R u dt du R CR ii 对该式进行拉氏变换得到0)(2)(2)(2011=++⋅s U Rs U R s sU R CR i i 故此传递函数为RCs R R s U s U i 4)4()()(110+-= 2-3 试求图2-T-3中以电枢电压a u 为输入量,以电动机的转角θ为输出量的微分方程式和传递函数。
自动控制理论第四版课后习题详细解答答案夏德钤翁贻方版集团标准化工作小组 #Q8QGGQT-GX8G08Q8-GNQGJ8-MHHGN#《自动控制理论 (夏德钤)》习题答案详解第二章2-1 试求图2-T-1所示RC 网络的传递函数。
(a)11111111+=+⋅=Cs R R CsR Cs R z ,22R z =,则传递函数为: (b) 设流过1C 、2C 的电流分别为1I 、2I ,根据电路图列出电压方程: 并且有联立三式可消去)(1s I 与)(2s I ,则传递函数为:2-2 假设图2-T-2的运算放大器均为理想放大器,试写出以i u 为输入,o u 为输出的传递函数。
(a)由运算放大器虚短、虚断特性可知:dtduC dt du C R u i i 0+-=,0u u u i c -=, 对上式进行拉氏变换得到 故传递函数为(b)由运放虚短、虚断特性有:022=-+--R u R u u dt du C c c i c ,0210=+R u R u c ,联立两式消去c u 得到 对该式进行拉氏变换得 故此传递函数为 (c)02/2/110=+-+R u R u u dt du Cc c c ,且21R uR u c i -=,联立两式可消去c u 得到 对该式进行拉氏变换得到 故此传递函数为2-3 试求图2-T-3中以电枢电压a u 为输入量,以电动机的转角θ为输出量的微分方程式和传递函数。
解:设激磁磁通f f i K =φ恒定2-4 一位置随动系统的原理图如图2-T-4所示。
电动机通过传动链带动负载及电位器的滑动触点一起移动,用电位器检测负载运动的位移,图中以c 表示电位器滑动触点的位置。
另一电位器用来给定负载运动的位移,此电位器的滑动触点的位置(图中以r 表示)即为该随动系统的参考输入。
两电位器滑动触点间的电压差e u 即是无惯性放大器(放大系数为a K )的输入,放大器向直流电动机M 供电,电枢电压为u ,电流为I 。
名校考研真题第3章 线性系统的时域分析一、选择题1.线性定常系统对某输入信号的响应已知,则求该系统对输入信号导数的响应,可通过把系统对该输入信号响应的()来求取;而求系统对该输入信号的积分的响应,可通过系统对该信号响应的()来求取。
[北京理工大学研]A.导数,导数B.积分,积分C.导数,积分D.积分,导数【答案】C2.某系统的开环传递函数,该系统是()。
[南京理工大学研]A.Ⅰ型三阶系统B.Ⅲ型三阶系统C.Ⅲ型两阶系统D.Ⅰ型两阶系统【答案】A【解析】由于积分环节个数为1,所以选A 。
3.单位反馈控制系统的开环传递函数为,其开环增益和时间常数分别为( )。
[南京理工大学研]A .20,5B .50,0.2C .10,5D .10,0.2【答案】D 【解析】将传递函数改写成如下形式,开环增益和时间常数分别为10,0.2。
4.二阶振荡环节中,三个有定义的频率为:为无阻尼自然频率为有阻尼自然频率为谐振频率,它们之间的大小关系为( )。
[清华大学研]A.B .C .D .【答案】B【解析】,显然。
5.闭环传递函数为的单位脉冲响应曲线,在处的值为( )。
[南京理工大学研]A.B.C.D.0【答案】B【解析】,所以当时,。
6.系统校正中引入“偶极子”的作用是改善系统的()。
[东南大学研]A.稳态特性B.动态特性C.稳定性D.以上说法均不对【答案】A【解析】偶极子可以产生很大的开环增益而对系统的动态性能影响不大。
7.对高阶系统常常用主导极点的概念和偶极子对的方法进行简化,进而简化计算过程。
下面是几个简化式子,正确的是()。
[南京理工大学]A.B.C.D.【答案】B【解析】利用闭环主导极点和偶极子对对系统进行化简时应该保证系统的开环增益不变。
二、填空题1.在反馈控制系统中,设置______或______可以消除或减小稳态误差。
[南京邮电大学研]【答案】开环增益;题型系统型次2.当系统的输入信号为单位斜坡函数时,______型以上的系统,才能使系统的稳态误差为零。
目 录
第1章 引 论
1.1 复习笔记
1.2 名校考研真题详解
第2章 线性系统的数学模型2.1 复习笔记
2.2 名校考研真题详解
第3章 线性系统的时域分析3.1 复习笔记
3.2 名校考研真题详解
第4章 线性系统的根轨迹分析4.1 复习笔记
4.2 名校考研真题详解
第5章 线性系统的频域分析5.1 复习笔记
5.2 名校考研真题详解
第6章 线性系统的校正
6.1 复习笔记
6.2 名校考研真题详解
第7章 非线性系统的分析
7.1 复习笔记
7.2 名校考研真题详解
第8章 采样控制系统
8.1 复习笔记
8.2 名校考研真题详解
第9章 平稳随机信号作用下线性系统的分析
9.1 复习笔记
9.2 名校考研真题详解
第1章 引 论
1.1 复习笔记
自动控制,就是采用控制装置使被控对象自动地按照给定的规律运行,使被控对象的一个或数个物理量能够在一定的精度范围内按照给定的规律变化。
一、开环控制和闭环控制
自动控制系统有两种最基本的形式:开环控制和闭环控制。
1.开环控制
(1)开环控制的框图
开环控制的示意框图如图1-1所示
图1-1 开环控制示意框图
(2)开环控制的特点
在控制器与被控对象之间只有正向控制作用而没有反馈控制作用,即系统的输出量对控制量没有影响。
2.闭环控制
(1)闭环控制的框图
闭环控制的示意框图如图1-2所示。
第1章引论1.1复习笔记自动控制,就是采用控制装置使被控对象自动地按照给定的规律运行,使被控对象的一个或数个物理量能够在一定的精度范围内按照给定的规律变化。
一、开环控制和闭环控制自动控制系统有两种最基本的形式:开环控制和闭环控制。
1.开环控制(1)开环控制的框图开环控制的示意框图如图1-1所示图1-1 开环控制示意框图(2)开环控制的特点在控制器与被控对象之间只有正向控制作用而没有反馈控制作用,即系统的输出量对控制量没有影响。
2.闭环控制(1)闭环控制的框图闭环控制的示意框图如图1-2所示图1-2 闭环控制示意框图(2)闭环控制的特点在控制器与被控对象之间,不仅存在着正向作用,而且存在着反馈作用,即系统的输出量对控制量有直接影响。
二、自动控制系统的类型根据不同的分类方法,自动控制系统的类型有如下分类:1.随动系统与自动调整系统(1)随动系统:输入量总在频繁地或缓慢地变化,要求系统的输出量能够以一定的准确度跟随输入量而变化。
(2)自动调整系统:输入保持为常量,或整定后相对保持常量,而系统的任务是尽量排除扰动的影响,以一定准确度将输出量保持在希望的数值上。
2.线性系统和非线性系统(1)线性系统:组成系统的元器件的特性均为线性(或基本为线性),能用线性常微分方程描述其输入与输出关系的系统。
(2)非线性系统:组成系统的元器件中,只要有一个元器件的特性不能用线性方程描述,该系统即为非线性系统。
3.连续系统与离散系统(1)连续系统:各部分的输入和输出信号都是连续函数的模拟量。
(2)离散系统:某一处或数处的信号以脉冲列或数码的形式传递的系统。
4.单输入单输出系统与多输入多输出系统(1)单输入单输出系统:其输入量和输出量各为一个,系统结构较为简单。
(2)多输入多输出系统:其输入量和输出量多于一个,系统结构较为复杂,回路多。
5.确定系统与不确定系统(1)确定系统:系统的结构和参数是确定的、已知的,系统的输入信号(包括参考输入及扰动)也是确定的,可用解析式或图表确切表示。
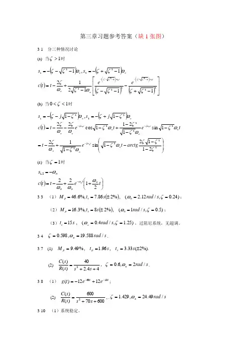
第三章习题参考答案(缺1张图)3-1 分三种情况讨论 (a) 当1>ζ时()()()()()⎥⎥⎦⎤⎢⎢⎣⎡-+----+-=-+-=---=⎪⎭⎫ ⎝⎛-+-⎪⎭⎫ ⎝⎛---221221222211112121,122ζζζζωζωζωζζωζζωζζωζζt t n n nn n n e e t t c s s (b) 当10<<ζ时()()()⎪⎪⎭⎫⎝⎛-----+-=---+---=-+-=---=---22222222222121121sin 1121sin 1211cos 221,1ζζζωζωζωζωζωζζωζωζωζωζζωζζζωζωζωarctg t et t e t et t c j s j s n tnnn t nn tnnn n n n n(c) 当1=ζ时3-3 (1)())24.0,/12.2(,%286.7%,6.46==±==ζωs rad s t M n s p ;(2)())5.0,/1(,%28%,3.16==±==ζωs rad s t M n s p ;(3)s t s 15=)25.1,/4.0(,==ζωs rad n ,过阻尼系统,无超调。
3-4s rad n /588.19,598.0==ωζ.3-7 (1) %).2(33.3,96.1,%49.9±===s t s t M s p p(2)44.240)()(2++=s s s R s C ,s rad n /2,6.0==ωζ. 3-8 (1) t te e t g 10601212)(--+-=;(2)60070600)()(2++=s s s R s C , .s rad n /49.24,429.1==ωζ 3-10 (1)系统稳定。
()⎪⎭⎫⎝⎛++-=-=-t e t t c s n t n nn n 21222,1ωωωωω(2)劳斯阵列第一列符号改变两次,根据劳斯判据,系统有两个极点具有正实部,系统不稳定。
第一章习题参考答案
1-1多速电风扇的转速控制为开环控制。
家用空调器的温度控制为闭环控制。
1-2 设定温度为参考输入,室内温度为输出。
1-3 室温闭环控制系统由温度控制器、电加热装置、温度传感器等组成,其中温度控制器可设定希望达到的室温,作为闭环控制系统的参考输入,温度传感器测得的室温为反馈信号。
温度控制器比较参考输入和反馈信号,根据两者的偏差产生控制信号,作用于电加热装置。
1-4 当实际液面高度下降而低于给定液面高度h r,产生一个正的偏差信号,控制器的控制作用使调节阀增加开度,使液面高度逼近给定液面高度。
《自动控制理论 (夏德钤)》习题答案详解第二章2-1 试求图2-T-1所示RC 网络的传递函数。
(a)11111111+=+⋅=Cs R R CsR Cs R z ,22R z =,则传递函数为: 2121221212)()(R R Cs R R R Cs R R z z z s U s U i o +++=+= (b) 设流过1C 、2C 的电流分别为1I 、2I ,根据电路图列出电压方程:⎪⎪⎩⎪⎪⎨⎧=++=)(1)()]()([)(1)(2221111s I s C s U s I s I R s I sC s U o i 并且有)()1()(122211s I sC R s I s C += 联立三式可消去)(1s I 与)(2s I ,则传递函数为:1)(1111)()(222111221212211112++++=⎪⎪⎭⎫⎝⎛+⎪⎪⎭⎫ ⎝⎛++=s C R C R C R s C C R R R s C R s C s C R sC s U s U i o 2-2 假设图2-T-2的运算放大器均为理想放大器,试写出以i u 为输入,o u 为输出的传递函数。
(a)由运算放大器虚短、虚断特性可知:dtduC dt du C R u i i 0+-=,0u u u i c -=, 对上式进行拉氏变换得到)()()(0s sU s sU RCs U i i +-= 故传递函数为RCsRCs s U s U i 1)()(0+=(b)由运放虚短、虚断特性有:022=-+--R u R u u dt du Cc c i c ,0210=+R u R u c ,联立两式消去c u 得到02220101=++⋅u R u R dt du R CR i 对该式进行拉氏变换得0)(2)(2)(20101=++s U R s U R s sU R CR i 故此传递函数为)4(4)()(10+-=RCs R R s U s U i (c)02/2/110=+-+R u R u u dt du Cc c c ,且21R uR u c i -=,联立两式可消去c u 得到 0222101=++⋅Ru R u dt du R CR ii 对该式进行拉氏变换得到0)(2)(2)(2011=++⋅s U Rs U R s sU R CR i i 故此传递函数为RCs R R s U s U i 4)4()()(110+-= 2-3 试求图2-T-3中以电枢电压a u 为输入量,以电动机的转角θ为输出量的微分方程式和传递函数。
⾃动控制理论第四版夏德钤翁贻⽅第三章笔记第三章线性系统的时域分析控制系统的时域响应取决于系统本⾝的参数和结构,还与系统的初始状态以及输⼊信号的形式有关。
⼀、典型输⼊信号常⽤的典型输⼊信号:阶跃函数、斜坡函数(等速度函数)、抛物线函数(等加速度函数)、脉冲函数及正弦函数。
1.阶跃函数(1)阶跃函数表达式幅值为1的阶跃函数称为单位阶跃函数,表达式为常记为1(t),其拉普拉斯变换(2)阶跃信号额图形2.斜坡函数(1)斜坡函数的表达式其拉普拉斯变换为当A=1时,称为单位斜坡函数。
(2)斜坡函数的图形3.抛物线函数(1)抛物线函数的表达式当A=1/2时,称为单位抛物线函数。
抛物线函数的拉普拉斯变换为(2)抛物线函数的图形4.脉冲函数(1)脉冲函数表达式当A=1时,记为。
令,则称为单位脉冲函数。
(2)单位脉冲函数的拉普拉斯变换为(3)特性单位脉冲传递函数是单位阶跃函数对时间的导数,⽽单位阶跃函数则是单位脉冲函数对时间的积分。
5.正弦函数在实际中,有的控制系统,其输⼊信号常⽤正弦函数来描述,可以求得系统的频率响应。
⼆、线性定常系统的时域响应1.时域分析(1)定义时域分析就是分析系统的时间响应,也就是分析描述其运动的微分⽅程的解。
(2)微分⽅程单变量线性定常系统的常微分⽅程如下所⽰2.解的结构(1)由于各项系数都是常数,可判断其解必然存在并且唯⼀。
(2)从线性微分⽅程理论可知,其通解是由它的任⼀个特解与其对应的齐次微分⽅程通解之和所组成,即(3)为了求解⾼阶常微分⽅程,还可利⽤拉普拉斯变换⽅法,由此得到时域响应为(4)单位阶跃响应与单位脉冲响应①系统的单位脉冲响应是单位阶跃响应的导数;②系统的脉冲响应中只有暂态分量,⽽稳态分量总是零,也就是说不存在与输⼊相对应的稳态响应。
所以,系统的脉冲响应更能直观地反映系统的暂态性能。
三、控制系统时域响应的性能指标1.暂态性能常⽤性能指标通常有:最⼤超调量、上升时间、峰值时间和调整时间。
第三章习题参考答案(缺1张图)3-1 分三种情况讨论 (a) 当1>ζ时()()()()()⎥⎥⎦⎤⎢⎢⎣⎡-+----+-=-+-=---=⎪⎭⎫ ⎝⎛-+-⎪⎭⎫ ⎝⎛---221221222211112121,122ζζζζωζωζωζζωζζωζζωζζt t n n nn n n e e t t c s s (b) 当10<<ζ时()()()⎪⎪⎭⎫⎝⎛-----+-=---+---=-+-=---=---22222222222121121sin 1121sin 1211cos 221,1ζζζωζωζωζωζωζζωζωζωζωζζωζζζωζωζωarctg t et t e t et t c j s j s n tnnn t nn tnnn n n n n(c) 当1=ζ时3-3 (1)())24.0,/12.2(,%286.7%,6.46==±==ζωs rad s t M n s p ;(2)())5.0,/1(,%28%,3.16==±==ζωs rad s t M n s p ;(3)s t s 15=)25.1,/4.0(,==ζωs rad n ,过阻尼系统,无超调。
3-4 s rad n /588.19,598.0==ωζ. 3-7 (1) %).2(33.3,96.1,%49.9±===s t s t M s p p(2)44.240)()(2++=s s s R s C ,s rad n /2,6.0==ωζ. 3-8 (1) t te e t g 10601212)(--+-=;(2)60070600)()(2++=s s s R s C , s rad n /49.24,429.1==ωζ. 3-10 (1)系统稳定。
()⎪⎭⎫⎝⎛++-=-=-t e t t c s n t n nn n 21222,1ωωωωω(2)劳斯阵列第一列符号改变两次,根据劳斯判据,系统有两个极点具有正实部,系统不稳定。
第三章线性系统的时域分析控制系统的时域响应取决于系统本身的参数和结构,还与系统的初始状态以及输入信号的形式有关。
一、典型输入信号常用的典型输入信号:阶跃函数、斜坡函数(等速度函数)、抛物线函数(等加速度函数)、脉冲函数及正弦函数。
1.阶跃函数(1)阶跃函数表达式幅值为1的阶跃函数称为单位阶跃函数,表达式为常记为1(t),其拉普拉斯变换(2)阶跃信号额图形2.斜坡函数(1)斜坡函数的表达式其拉普拉斯变换为当A=1时,称为单位斜坡函数。
(2)斜坡函数的图形3.抛物线函数(1)抛物线函数的表达式当A=1/2时,称为单位抛物线函数。
抛物线函数的拉普拉斯变换为(2)抛物线函数的图形4.脉冲函数(1)脉冲函数表达式当A=1时,记为。
令,则称为单位脉冲函数。
(2)单位脉冲函数的拉普拉斯变换为(3)特性单位脉冲传递函数是单位阶跃函数对时间的导数,而单位阶跃函数则是单位脉冲函数对时间的积分。
5.正弦函数在实际中,有的控制系统,其输入信号常用正弦函数来描述,可以求得系统的频率响应。
二、线性定常系统的时域响应1.时域分析(1)定义时域分析就是分析系统的时间响应,也就是分析描述其运动的微分方程的解。
(2)微分方程单变量线性定常系统的常微分方程如下所示2.解的结构(1)由于各项系数都是常数,可判断其解必然存在并且唯一。
(2)从线性微分方程理论可知,其通解是由它的任一个特解与其对应的齐次微分方程通解之和所组成,即(3)为了求解高阶常微分方程,还可利用拉普拉斯变换方法,由此得到时域响应为(4)单位阶跃响应与单位脉冲响应①系统的单位脉冲响应是单位阶跃响应的导数;②系统的脉冲响应中只有暂态分量,而稳态分量总是零,也就是说不存在与输入相对应的稳态响应。
所以,系统的脉冲响应更能直观地反映系统的暂态性能。
三、控制系统时域响应的性能指标1.暂态性能常用性能指标通常有:最大超调量、上升时间、峰值时间和调整时间。
(1)最大超调量:在暂态响应期间超过终值c(∞)的最大偏离量,即(2)峰值时间:最大超调量发生的时间(从t=0开始计时)。
(3)上升时间:在暂态过程中,输出第一次达到对应于输入的终值的时间(从t=0开始计时)。
(4)调整时间:输入与其对应于输入的终值之间的偏差达到容许范围(一般取5%或2%)所经历的暂态过程时间(从t=0开始计时)。
2.稳态性能(1)定义稳态误差是指,在给定参考输入或外来扰动加入稳定的系统后,经过足够长的时间,其暂态响应已经衰减到微不足道的情况下,系统稳态响应的实际值与期望值之间的误差。
(2)指标衡量系统稳态性能的指标主要是稳态误差。
四、一阶系统的暂态响应一阶系统的框图如下所示,系统的传递函数为1.一阶系统对于单位阶跃输入的响应(1)输入信号:(2)输出信号:(3)单位阶跃响应:此式表明,一阶系统的单位阶跃响应的图形将是一条单调上升的指数曲线。
2.一阶系统对于单位脉冲输入的响应(1)输入信号:(2)输出信号:(3)单位脉冲响应:(4)单位脉冲响应曲线如下图所示由图可见,一阶系统的单位脉冲响应曲线是一条单调衰减的指数曲线。
3.一阶系统对于单位斜坡函数的响应(1)输入信号:(2)输出信号:(3)单位斜坡响应:(4)图像分析①上式等号右侧第一项是一阶系统单位斜坡响应的稳态分量,如图中的虚线③所示。
图中的斜线①是单位斜坡函数输入。
②上式右侧第二项是在单位斜坡函数输入时一阶系统的暂态响应,如图中的虚线④所示。
一阶系统的单位斜坡响应c(t)是虚线③和④的合成,此即图中的曲线②。
4.一阶系统对于单位加速度函数的响应(1)输入信号:(2)输出信号:(3)单位加速度响应:一阶系统只有一个参量,即系统的惯性时间常数,它的暂态响应性能指标有意义的只是系统调整时间,约为(3~4)。
而给定稳态误差则随输入的形式不同而异,当其终值是零或无限大时,说明与系统参量无关,只由输入的函数形式决定,唯有在输入为速度函数形式时,其稳态误差与系统的参量有关,而且其终值为系统时间常数。
五、二阶系统的暂态响应1.二阶系统(1)传递函数典型的二阶系统的传递函数为闭环系统的极点为(2)分类①当时,系统具有两重负实极点,此时称系统处于临界阻尼状态;②当时,系统具有不相等的两个负实极点,此时称系统处于过阻尼状态;③当时,系统将具有一对纯虚数极点,此时称系统处于无阻尼状态;④当时,系统具有一对实部为负的复数极点,此时称系统处于欠阻尼状态。
2.二阶系统的单位阶跃响应(1)过阻尼时二阶系统的单位阶跃响应①传递函数系统的传递函数为②单位阶跃响应系统的单位阶跃响应为(2)临界阻尼时二阶系统的单位阶跃响应①传递函数系统的传递函数为②系统的单位阶跃响应为(3)欠阻尼时二阶系统的单位阶跃响应在情况下二阶系统单位阶跃响应暂态性能指标的计算公式。
①上升时间:令,代入上式,即可求得。
②峰值时间:出现第一个峰值时,单位阶跃响应随时间的变化率为零,将上式对时间t求导,并令其等于零。
于是得③最大超调量:最大超调量发生在,令上式中的,④调整时间:对的情况,可以得到一个近似表达式由上式解得(4)阻尼比的取值设计二阶系统时,一般取,为最佳阻尼比,此时不但调整时间最小,而且最大超调量也不大。
值不应低于0.5。
3.二阶系统的单位脉冲响应(1)当时(2)当时(3)当时不同时单位脉冲响应曲线如下图所示4.二阶系统对于单位斜坡函数输入的响应(1)输入信号:(2)输出信号:(3)单位斜坡响应系统的单位斜坡响应为(4)系统的误差系统的误差为由此可知,欠阻尼二阶系统在单位斜坡函数输入下,达到稳态时给定跟踪误差的终值是,可见稳态误差的终值与系统的参量有关。
5.传递函数含有零点的二阶系统响应(1)系统框图典型二阶系统的框图如下图所示:(2)传递函数①开环传递函数为②闭环传递函数为(3)结论①在欠阻尼的二阶系统的前向主通道中加入比例微分环节后,将使系统的阻尼比增大。
因此可以有效地减小原二阶系统的阶跃响应的超调量。
②由于微分的作用,使系统阶跃响应的速度(即变化率)提高了,从而缩短了调整时间。
六、高阶系统的暂态响应1.高阶系统的定义(1)高阶系统的传递函数高阶系统的传递函数一般可以写成如下形式(2)高阶系统的单位阶跃响应高阶系统的单位节约响应为2.高阶系统的特点高阶系统的暂态响应是一阶和二阶系统暂态响应分量的合成。
(1)高阶系统暂态响应各分量衰减快慢由指数衰减系数决定。
系统的极点在S平面左半部距虚轴越来越远,相应的暂态分量衰减得越快;(2)高阶系统暂态响应各分量的系数不仅与s平面中极点的位置有关,并且与零点的位置也有关;(3)如果高阶系统中距离虚轴最近的极点,比其他极点的实部的1/5还要小,并且该极点附近没有零点,则可以认为系统的响应主要由该极点决定,这些极点称为系统的主导极点。
七、根据时域响应建立数学模型(1)滞后环节的滞后时间由响应曲线滞后的时间直接读出。
(2)当周期震荡性质响应曲线已由实验测定后,最大超调量的数值和峰值时间即为已知,可求出传递函数中的两个特征量。
(3)传递函数中的放大系数(又称增益、传递函数)K,可由节约响应的稳态值和响应的阶跃输入间的比值决定。
(4)传递函数中串联的惯性环节的个数n及相应的时间常数。
这里主要采用半对数法。
1.一阶非周期环节参量的确定(1)传递函数一阶非周期环节的传递函数为(2)单位阶跃响应一阶非周期环节的单位阶跃响应表达式如下求取对数后,可得(3)作图过程①在阶跃响应曲线上按时间依次量出之值;②将其绘于半对数坐标纸上,得一斜率为负值的直线;③在纵坐标上找到之点N,过此点引水平线与直线交于M点,从M点的坐标就可求得。
2.高阶非周期环节传递函数的确定设实验测定的被控对象的阶跃响应如图所示,相应的传递函数是此时要确定的参数有。
(1)比例系数K仍用式确定。
(2)在半对数坐标中汇出的曲线,由图解法求得参数的值。
八、线性系统的稳定性1.稳定的基本概念(1)系统的稳定性问题是指,线性定常系统处于某一平衡状态,若此系统在干扰作用下离开了原来的平衡状态,那么,在干扰作用消失后,系统能否回到原来的平衡状态。
(2)如果系统在干扰作用消失后,能够恢复到原始的平衡状态,则系统为稳定的。
反之,若系统不能恢复原平衡状态,则系统为不稳定的。
(3)系统的稳定性表现为其时域响应的收敛性,如果系统的零输入响应和零状态响应都是收敛的,则此系统就被认为是总体稳定的。
2.线性定常系统稳定的充分必要条件线性定常系统运动的微分方程为其解为(1)零输入响应的稳定性系统的零输入响应为如果对于任何初始状态都有则称该系统的零输入响应是稳定的。
(2)零状态响应的稳定性系统的零状态响应为如果系统对于每一个有界输入的零状态响应仍保持有界,则称该系统的零状态响应是稳的。
(3)充要条件线性系统稳定的充分必要条件是系统传递函数的全部极点完全位于s平面的左半平面,即九、劳斯-赫尔维茨稳定判据劳斯-赫尔维茨稳定判据,又称代数稳定判据,适用于高阶系统,它是利用特征方程分母部分的各项系数进行代数运算,得出全部极点为负实部的条件,以此条件来判断系统是否稳定。
1.劳斯判据(1)劳斯判据步骤①将系统的特征方程写成如下标准形式②将各系数组成如下排列的劳斯表表中有关系数为系数bi的计算一直进行到其余的b值全部等于零为止。
③这一计算过程一直进行到n+1行为止。
(2)特殊情况列出了劳斯表以后,可能出现以下几种情况。
①第一列所有系数均不为零的情况。
系统全部极点全部在复平面左半平面的必要条件是特征方程的各项系数全部为正值,并且劳斯表的第一列元素都具有正号。
②某行第一列的系数等于零,而其余各项不全等于零的情况。
用一有限小的数值来代替为零的那一项,然后按照通常方法计算阵列中其余各项。
如果零上面的系数符号与零下面的系数符号相反,表明这里有一个符号变化。
③某行所有项系数均为零的情况。
此时写出辅助方程,对其求导,用求导得到的各项系数来代替为零的各项,然后继续按照劳斯表的列写方法操作。
2.赫尔维茨判据(1)赫尔维茨判据步骤①将系统的特征方程写成如下标准形式②以它的各项系数写出如下之行列式(2)赫尔维茨判据的内容系统稳定的充分必要条件在的情况下,上述行列式各阶主子式均大于零,即对稳定系统来说要求3.劳斯-赫尔维茨稳定判据作用(1)应用代数判据可以判定系统是否稳定;(2)用来分析系统参数变化对系统稳定性的影响,从而给出使系统稳定的参数范围。
十、小参量对闭环控制系统性能的影响(1)在分析和设计控制系统时,经常希望简化数学模型,尤其是在系统阶数较高时,能够降低数学模型的阶数,以便应用线性系统理论。
(2)通常,对数学模型予以简化而使其降阶,就必然涉及系统中小参量的处理。
(3)数学模型的简化和降阶,亦即处理系统小参量问题是,重要的是前提条件,必须认真考虑并切实遵守前提条件。