解析几何第一章习题
- 格式:pdf
- 大小:269.89 KB
- 文档页数:16
《解析几何初步》时量:60分钟满分:80分班级:姓名:计分:个人目标:□优秀(70’~80’)□良好(60’~69’)□合格(50’~59’)一、选择题(本大题共6小题,每小题5分,满分30分)1.直线与圆没有公共点,则的取值范围是()A. B. C. D.2.已知两条直线和互相垂直,则等于()(A)2 (B)1 (C)0 (D)3.若圆上至少有三个不同点到直线:的距离为,则直线的倾斜角的取值范围是 ( )A.[]B.[]C.[D.4.圆上的点到直线的最大距离与最小距离的差是()A.36 B. 18 C. D.5.圆的切线方程中有一个是()(A)x-y=0 (B)x+y=0 (C)x=0 (D)y=06.从圆外一点向这个圆作两条切线,则两切线夹角的余弦值为()A. B. C. D.二、填空题:(本大题共4小题,每小题5分,满分20分)7.设直线与圆相交于、两点,且弦的长为,则________ ____.8.若半径为1的圆分别与轴的正半轴和射线相切,则这个圆的方程为.9.已知圆和直线. 若圆与直线没有公共点,则的取值范围是 .10.已知直线与圆相切,则的值为 .三、解答题:(本大题共3小题,每小题10分,满分30分)11.过点(1,2)的直线l将圆(x-2)2+y2=4分成两段弧,当劣弧所对的圆心角最小时,求直线l的方程。
12.已知圆-4-4+=0的圆心是点P,求点P到直线--1=0的距离13.已知两条直线若,则a的值为多少?《解析几何初步》答案一、选择题1.A2.D3.解析:圆整理为,∴圆心坐标为(2,2),半径为3,要求圆上至少有三个不同的点到直线的距离为,则圆心到直线的距离应小于等于,∴,∴,∴,,∴,直线的倾斜角的取值范围是,选B.4.解析:圆的圆心为(2,2),半径为3,圆心到直线的距离为>3,圆上的点到直线的最大距离与最小距离的差是2R =6,选C.5.【正确解答】直线ax+by=0,则,由排除法,选C,本题也可数形结合,画出他们的图象自然会选C,用图象法解最省事。
第一章 空间直角坐标,平面和直线1.在给定坐标系中画出下列各点:()()()()341510421421------,,,,,,,,,,,。
2.自点M ()321,,-和N ()c b a ,,分别引各坐标平面和坐标轴的垂线,求各垂足的坐标。
解:点M ()321,,-在平面XOY ,XOZ ,YOZ 上的垂足分别为:()()()320301021,,,,,,,,--在X ,Y ,Z 轴上的垂足分别为:()()()300020001,,,,,,,,-点N ()c b a ,,在平面XOY ,XOZ ,YOZ 上的垂足分别为:()()()c b ,c a ,,b a ,,0,00,, 在X ,Y ,Z 轴上的垂足分别为:()()(),c ,,,b,,,a ,0000003. 给定点M ()3,2,1-和N ()c b a ,,,求它们分别对于坐标平面、坐标轴和原点的对称点的坐标。
解:4.求点M (4,-3,5)到原点、各坐标轴和各坐标平面的距离。
解:点M 到原点的距离:255)3(4222=+-+=OM点M 在XOY ,XOZ ,YOZ 上的垂足分别为A (4,-3,0),B (4,0,5),C (O ,-3,5),则距离为:52500=++=MA ,30)3(02=+-+=MB ,40042=++=MC ,点M 在X ,Y ,Z 轴上的垂足分别为)0,0,4(A ',B (0,-3,0),C (0,0,5)则距离为:345)3(22=+-='A M ,1454B 22=+='M ,543C 22=+='M5.求点(1,2,-2)和(-1,0,-2)之间的距离。
解:所求距离为:3121)(1d 222=+++=6.求下列方向余弦:(1,2,-2),(2,0,0),(0,2,-2),(-1,-2,-5)。
解:(1,2,-2)的方向余弦为:)2,2,1(31-,即:(323231-,,)(2,0,0)的方向余弦为:)00,2(21,,即:(001,,)(0,2,-2)的方向余弦为:)220(221-,,,即:()22220-,, (-1,-2,-5)的方向余弦为:)521(301---,,,即:()63015303030---,, 7.求从点(1,2,-2)到点(-1,0,-1)的方向的方向数和方向余弦。
解析⼏何练习1(含答案)解析⼏何练习题(1)1.椭圆221132x y m m +=--的焦距为6,则m = . 2.⽅程22113x y m m+=--表⽰焦点在y 轴上的椭圆,则m 的取值范围是. 3.若F 1、F 2是2214x y +=的两个焦点,过F 1作直线与椭圆交于A 、B 两点,则△ABF 2的周长为.4.已知椭圆的中⼼在坐标原点,焦点在x 轴上,椭圆上点P 到两焦点的距离之和是12,则椭圆的标准⽅程是.5.如果椭圆的对称轴为坐标轴,短轴的⼀个端点与两焦点组成⼀正三⾓形,焦点在x 轴上,且a c - =3, 那么椭圆的⽅程是.6.已知点M 为椭圆15922=+y x 上⼀动点,F 为椭圆的右焦点,定点)2,1(-A ,则||23||MF MA +的最⼩值为_________ 7.直线134=+y x 椭圆191622=+y x 相交于A ,B 两点,该椭圆上点P ,使得PAB ?⾯积等于3,这样的点P 共有个.8.已知P 是椭圆63222=+y x 上的点,则点P 到椭圆的⼀个焦点的最短距离为_______.9.椭圆5522=+ky x 的⼀个焦点是)2,0(,那么=k 10.已知双曲线22215x y a -=的右焦点为(3,0),,则该双曲线的离⼼率等于 .11.双曲线22221x y a b-=的两条渐进线互相垂直,则该双曲线的离⼼率为 12.在平⾯直⾓坐标系xoy 中,若双曲线⽅程为22213x y m m -=+的焦距为6,则实数m=13.双曲线1422=-y x 的顶点到其渐近线的距离等于_________.14.已知双曲线22221(0,0)x y a b a b-=>>的渐近线⽅程为y ,则该双曲线的离⼼率为.15.已知双曲线22221(0,0)x y a b a b-=>>的渐近线⽅程为y ,则该双曲线的离⼼率为.16.设P 是双曲线22219x y a -=上⼀点,双曲线的⼀条渐近线⽅程为320x y -=,12F F ,分别是双曲线的左、右焦点,若13PF =,则2PF 的值为.17.双曲线221416x y -=的渐近线⽅程为. 18.以双曲线2213y x -=的左焦点为圆⼼,实轴长为半径的圆的标准⽅程为___________. 19.抛物线28y x =的焦点坐标为 .20.点P 是抛物线24y x =上⼀动点,则点P 到y 轴距离与点P 到点A (2,3)距离之和的最⼩值等于 .21.若点A 的坐标为(3,2),F 为抛物线22y x =的焦点,点P 是抛物线上的⼀动点,则PA PF +取得最⼩值时,点P 的坐标是。
2024年数学九年级上册解析几何基础练习题(含答案)试题部分一、选择题:1. 在平面直角坐标系中,点A(2, 3)关于x轴的对称点是()A. (2, 3)B. (2, 3)C. (2, 3)D. (2, 3)2. 已知点P在第二象限,且到x轴的距离是4,到y轴的距离是3,则点P的坐标是()A. (3, 4)B. (3, 4)C. (4, 3)D. (4, 3)3. 直线y=2x+1的斜率是()A. 1B. 2C. 1D. 24. 下列函数中,哪一个是一次函数?()A. y=x^2B. y=2xC. y=x^3D. y=1/x5. 在平面直角坐标系中,点A(1, 2)和点B(2, 4)所在的直线方程是()A. y=2x+4B. y=2x+4C. y=x+3D. y=x+36. 一次函数y=kx+b的图象经过一、二、四象限,则k和b的取值范围是()A. k>0, b>0B. k<0, b>0C. k>0, b<0D. k<0, b<07. 下列各点中,哪一个点不在直线y=x+3上?()A. (1, 2)B. (2, 1)C. (1, 4)D. (2, 5)8. 已知直线y=2x+1与y轴的交点坐标是(0, a),则a的值为()A. 0B. 1C. 2D. 19. 在平面直角坐标系中,两条平行线的斜率分别是2和2,则这两条直线()A. 相交B. 平行C. 重合D. 垂直10. 已知一次函数y=kx+b的图象与y轴交于点(0, 3),且过点(1,5),则该函数的解析式为()A. y=2x+3B. y=3x+3C. y=2x+3D. y=3x+3二、判断题:1. 一次函数的图象是一条直线。
()2. 两条平行线的斜率一定相等。
()3. 一次函数y=kx+b中,当k>0时,直线必经过第一象限。
()4. 点(0, 0)是所有直线上的点。
()5. 直线y=2x+1的斜率为2,说明直线与x轴的夹角为60度。
解析几何(尤承业)前四章部分习题答案第一章:平面几何基础1.证明:若两条直线的斜率相等,则它们平行。
证明:设直线l1的斜率为k1,直线l2的斜率为k2。
若k1=k2,则有k1x+b1=k2x+b2,即(k1-k2)x=b2-b1。
由于k1-k2=0,所以方程化简为0x=b2-b1。
由于任何实数乘以0都等于0,所以此方程有解,即二者平行。
2.已知直线l1的斜率为k1,直线l2经过点A(a,b)且与l1垂直,求直线l2的方程。
解:由直线l1的斜率为k1,可知l1的斜率为k1的直线上任意一点(x1,y1)与原点(0,0)的斜率为k1,即有y1/x1=k1,即y1=k1x1。
由于直线l2经过点A(a,b)且与l1垂直,所以直线l2的斜率为-1/k1。
设直线l2的方程为y=-1/k1 x + c,代入点A(a,b)可得b=-1/k1*a+c,即c=b+a/k1。
所以直线l2的方程为y=-1/k1 x + b+a/k1。
3.已知直线l1过点A(a,b)和点B(c,d),求直线l1的方程。
解:由于直线l1过点A(a,b)和点B(c,d),所以直线l1的斜率为直线AB的斜率。
设直线l1的方程为y=kx+m,代入点A(a,b)和点B(c,d)可得方程组: b=ka+m d=kc+m将第一个方程乘以k,得到bk=ka^2+km,再用第二个方程减去这个等式,可得d-b = kc-ka^2+km-km,即d-b=k(c-a)。
所以直线l1的方程为y=(d-b)/(c-a)x + (ad-bc)/(c-a)。
第二章:直线与圆1.已知直线l的方程为y=ax+b,圆C的圆心为O(h,k),半径为r,求直线l与圆C的交点坐标。
解:设直线l与圆C的交点为点P(x,y),代入直线l的方程可得y=ax+b。
将这个方程代入圆C的方程(x-h)^2+(y-k)^2=r^2中,得到(x-h)^2+(ax+b-k)^2=r^2。
展开后整理得到一个二次方程,即x^2+(a^2+1)x-2ah+(b-k)^2-r^2=0。
专题09平面解析几何(第一部分)一、填空题1.圆22(1)25-+=x y 的圆心与抛物线22(0)y px p =>的焦点F 重合,A 为两曲线的交点,则原点到直线AF 的距离为.2.在平面直角坐标系中,经过三点(0,0),(1,1),(2,0)的圆的方程为.3.已知圆C 的圆心在x 轴的正半轴上,点M 在圆C 上,且圆心到直线20x y -=的距C 的方程为. 4y 轴交于点A ,与圆()2211x y +-=相切于点B ,则AB =.5.若直线()00x y m m -+=>与圆()()22113x y -+-=相交所得的弦长为m ,则m =.6.已知直线80x +=和圆222(0)x y r r +=>相交于,A B 两点.若||6AB =,则r 的值为.二、解答题7.已知椭圆22221(0)x y a b a b+=>>的左右顶点分别为12,A A ,右焦点为F ,已知123,1A F A F ==.(1)求椭圆的方程和离心率;(2)点P 在椭圆上(异于椭圆的顶点),直线2A P 交y 轴于点Q ,若三角形1A PQ 的面积是三角形2A PF 面积的二倍,求直线2A P 的方程.8.椭圆()222210x y a b a b +=>>的右焦点为F 、右顶点为A ,上顶点为B ,且满足BF AB =. (1)求椭圆的离心率e ;(2)直线l 与椭圆有唯一公共点M ,与y 轴相交于N (N 异于M ).记O 为坐标原点,若=OM ON ,且OMN V三、单选题9.双曲线22221()00a x y a bb >-=>,的左、右焦点分别为12.F F P 、是双曲线右支上一点,且直线2PF 的斜率为2.12PF F △是面积为8的直角三角形,则双曲线的方程为( )A .22182y x -=B .22184x y -=C .22128x y -=D .22148x y -=10.已知双曲线22221(0,0)x y a b a b -=>>的左、右焦点分别为12F F 、.过2F 向一条渐近线作垂线,垂足为P .若22PF =,直线1PF ,则双曲线的方程为( )A .22184x y -=B .22148x y -=C .22142x y -=D .22124x y -=11.已知抛物线212,,y F F =分别是双曲线22221(0,0)x y a b a b-=>>的左、右焦点,抛物线的准线过双曲线的左焦点1F ,与双曲线的渐近线交于点A ,若124F F A π∠=,则双曲线的标准方程为( )A .22110x y -=B .22116y x -=C .2214y x -=D .2214x y -=12.设双曲线C 的方程为22221(0,0)x y a b a b-=>>,过抛物线24y x =的焦点和点(0,)b 的直线为l .若C 的一条渐近线与l 平行,另一条渐近线与l 垂直,则双曲线C 的方程为( )A .22144x y -=B .2214y x -=C .2214x y -=D .221x y -=13.已知双曲线22221(0,0)x y a b a b-=>>的离心率为2,过右焦点且垂直于x 轴的直线与双曲线交于,A B 两点.设,A B 到双曲线的同一条渐近线的距离分别为1d 和2d ,且126,d d +=则双曲线的方程为A .22139x y -=B .22193x y -=C .221412x y -=D .221124x y -=14.【陕西省西安市长安区第一中学上学期期末考】已知双曲线22221(0,0)x y a b a b-=>>的左焦点为F ,点A 在双曲线的渐近线上,OAF △是边长为2的等边三角形(O 为原点),则双曲线的方程为( )A .221412x y -=B .221124x y -=C .2213x y -=D .2213y x -=15.已知双曲线22221(0,0)x y a b a b-=>>的左焦点为F ,若经过F 和(0,4)P 两点的直线平行于双曲线的一条渐近线,则双曲线的方程为A .22144x y -=B .22188x y -=C .22148x y -=D .22184x y -=16.已知双曲线222=14x y b-(b>0),以原点为圆心,双曲线的实半轴长为半径长的圆与双曲线的两条渐近线相交于A ,B ,C ,D 四点,四边形ABCD 的面积为2b ,则双曲线的方程为A .223=144x y -B .224=143x y -C .22=144x y -D .22=1412x y -17.已知双曲线的焦距为,且双曲线的一条渐近线与直线垂直,则双曲线的方程为A .B .C .D .18.已知双曲线22221(0,0)x y a b a b-=>>的一个焦点为(2,0)F ,且双曲线的渐近线与圆()2223x y -+=相切,则双曲线的方程为A .221913x y -=B .221139x y -=C .2213x y -=D .2213y x -=19.已知双曲线()222210,0x y a b a b-=>> 的一条渐近线过点( ,且双曲线的一个焦点在抛物线2y = 的准线上,则双曲线的方程为A .2212128x y -=B .2212821x y -=C .22134x y -=D .22143x y -=20.已知双曲线22221(0,0)x y a b a b-=>>的右焦点与抛物线22(0)y px p =>的焦点重合,抛物线的准线交双曲线于A ,B 两点,交双曲线的渐近线于C 、D 两点,若|CD AB .则双曲线的离心率为( )AB C .2 D .321.已知抛物线24y x =的焦点为F ,准线为l .若l 与双曲线22221(0,0)x y a b a b-=>>的两条渐近线分别交于点A 和点B ,且||4||AB OF =(O 为原点),则双曲线的离心率为AB C .2D。
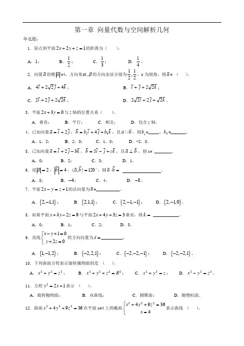
第一章 向量代数与空间解析几何单选题:1.原点到平面122=++z y x 的距离为( )。
A .1;B .21; C .31; D .41。
2.向量a 的模a =4,方向角βα,的方向余弦分别为21,21,r 为锐角,则a = ( )。
A .k j i 4224++; B .k j i 22++; C .k j i 2222++; D .k j i 2222++。
3.平面032=+y x 与z 轴的位置关系( )。
A .垂直;B .平行;C .相交;D .包含z 轴。
4.已知向量j i a 2+=,k b j i b b 314++=,且//a b ,则1b =_____,3b =_______。
A .1,2;B .2,0;C .1,0;D .-2,0。
5.已知向量k j i a 32-+=,k c j i b +-=5,且a ⊥b ,则c= ________。
A .0;B .2;C .3;D .1。
6.设2=a ,4=b , 120,=〉〈b a ,则=⋅b a 。
A .8;B .4-;C .4;D .8-。
7.平面12+=-z y x 的法向量为n =___________。
A .{}2,1,1-;B .{}2,1,1;C .{}2,1,1--;D .{}2,1,0-。
8.如果平面92=-+z ky x 与平面3342=++z y x 垂直,则=k ____________。
A .0;B .1;C .2;D .3。
9.直线1020x y y z -+=⎧⎨+=⎩的方向向量为s =__________。
A .{}1,1,2-; B .{}2,2,1-; C .{}2,2,1---; D .{}2,2,1--。
10.下列曲面方程表示旋转抛物面的是 ( )。
A .222z y x =+;B .2222R z y x =++;C .z y x =+22;D .222z y x =-。
11.方程122+=x y 表示 ( )。
高一数学解析几何初步试题一、平面上的解析几何1.已知两点 $A(-1,2)$,$B(3,-4)$,求 $AB$ 的中点坐标以及斜率。
两点的中点坐标为 $M(\dfrac{-1+3}{2},\dfrac{2-4}{2})=(1,-1)$。
$AB$ 的斜率为 $\dfrac{-4-2}{3-(-1)}=-\dfrac{3}{2}$。
2.已知直线 $l$ 的斜率为 $k$,与 $x$ 轴交点为 $A$,与 $y$ 轴交点为 $B$,且 $AB=3$,求 $l$ 的解析式。
设 $l$ 的解析式为 $y=kx+b$。
由题,$A(-\dfrac{b}{k},0)$,$B(0,b)$。
由勾股定理得:$(\dfrac{b}{k})^2+b^2=3^2$。
解得:$b=\dfrac{3}{\sqrt{k^2+1}}$。
因此,$l$ 的解析式为 $y=kx+\dfrac{3}{\sqrt{k^2+1}}$。
二、空间解析几何1.已知四点 $A(2,-1,3)$,$B(1,0,2)$,$C(-1,1,-2)$,$D(1,-2,0)$,求$AB$ 向量与 $CD$ 向量的夹角。
$AB$ 向量为 $\overrightarrow{AB}=<1,1,-1>$,$CD$ 向量为$\overrightarrow{CD}=<2,3,-2>$则$\cos\theta=\dfrac{\overrightarrow{AB}·\overrightarrow{CD}}{|\overrightarrow{AB}||\overrightarrow{CD}|}=\dfrac{1-3+2}{\sqrt{1^2+1^2+(-1)^2}\sqrt{2^2+3^2+(-2)^2}}=\dfrac{0}{\sqrt{3}\sqrt{17}}=0$。
因此,$AB$ 向量与 $CD$ 向量的夹角为 $90^\circ$。
2.已知 $A(1,-1,0)$,$B(-1,2,1)$,$C(3,-2,2)$,求 $\triangle ABC$ 的面积。
第一章向量代数习题1.11.试证向量加法的结合律,即对任意向量,,a b c 成立()().a b c a b c ++=++证明:作向量,,uuu r uuu r uuu rAB a BC b CD c ===(如下图),则()(),uuu r uuu r uuu r uuur uuu r uuura b c AB BC CD AC CD AD ++=++=+=()(),uuu r uuu r uuu r uuu r uuu r uuurAB a b c BC CD AB BD AD ++=++=+=故()().a b c a b c ++=++2.设,,a b c 两两不共线,试证顺次将它们的终点与始点相连而成一个三角形的充要条件是0.a b c ++=证明:必要性,设,,a b c 的终点与始点相连而成一个三角形ABC ∆,则0.uuu r uuu r uuu r uuur uuu r uuu ra b c AB BC CA AC CA AA ++=++=+==充分性,作向量,,uuu ruuu ruuu rAB a BC b CD c ===,由于0,uuu r uuu r uuu r uuur uuu r uuura b c AB BC CD AC CD AD =++=++=+=所以点A 与D 重合,即三向量,,a b c 的终点与始点相连构成一个三角形。
3.试证三角形的三中线可以构成一个三角形。
证明:设三角形ABC ∆三边,,AB BC CA 的中点分别是,,D E F (如下图),并且记,,uuu r uuu r uuu rAB a b BC c CA ===,则根据书中例1.1.1,三条中线表示的向量分别是111(),(),(),222uuu r uuur uuur CD c b AE a c BF b a =−=−=−所以,111()()()0,222uuu r uuur uuurCD AE BF c b a c b a ++=−+−+−=故由上题结论得三角形的三中线,,CD AE BF 可以构成一个三角形。
苏教版高中数学选择性必修第一册平面解析几何(第1~3章)阶段测试(Word含解析)苏教版高中数学选择性必修第一册平面解析几何(第1~3章)阶段测试(满分150分,时间120分钟)一、单项选择题:本题共8小题,每小题5分,共40分.在每小题给出的四个选项中,只有一项是符合题目要求的.1.已知抛物线关于坐标轴对称,顶点在原点,且过点P(-4,4),则抛物线的标准方程为()A.y2=-4x B.x2=4yC.y2=-4x或x2=4y D.y2=4x或x2=-4y2.“a=-1”是“直线ax+2y+2=0与直线x+(a-1)y+1=0平行”的()A.充分不必要条件B.必要不充分条件C.充要条件D.既不充分也不必要条件3.已知5<m<6,则曲线+=1与曲线+=1的()A.焦距相等B.离心率相同C.焦点坐标相同D.顶点坐标相同4.已知O为坐标原点,F1,F2分别为椭圆C:+=1的左、右焦点,A为椭圆C上一点,且AF2⊥F1F2,AF1与y轴交于点B,则OB的长为() A.B.C.D.5.若圆x2+y2-10x+9=0被直线y=kx+k-2截得的两段圆弧的长度之比为1⊥3,则实数k的值为()A.1B.C.1或-D.0或6.已知直线l过抛物线C:y2=8x的焦点F,且与抛物线C在第一象限内交于点M,点N在抛物线C的准线l1上,且MN⊥l1.若点M到直线NF的距离是4,则直线l的斜率是()A.-B.C.-D.7.已知双曲线-=1(a>0,b>0)的左、右焦点分别为F1,F2,抛物线y2=2px(p>0)的焦点与点F2重合.设P为抛物线与双曲线的一个交点,若cos⊥PF1F2=,则双曲线的离心率为()A.或B.或3C.2或D.2或38.若A,B分别为圆M:x2+(y-3)2=1与圆N:(x-3)2+(y-8)2=4上的动点,点C在直线x+y=0上运动,则AC+BC的最小值为()A.7B.8C.9D.10二、多项选择题:本题共4小题,每小题5分,共20分.在每小题给出的选项中,有多项符合题目要求.全部选对的得5分,部分选对的得2分,有选错的得0分.9.已知点A(-1,0),B(1,0),直线AP,BP相交于点P,且两直线的斜率之积为m,则下列说法中正确的有()A.当m=-1时,点P的轨迹为圆(除去与x轴的交点)B.当-1<m<0时,点P的轨迹为焦点在x轴上的椭圆(除去与x轴的交点)C.当0<m<1时,点P的轨迹为焦点在x轴上的抛物线D.当m>1时,点P的轨迹为焦点在x轴上的双曲线(除去与x轴的交点)10.已知P是椭圆C:+y2=1上的一个动点,Q是圆D:(x+1)2+y2=上的一个动点,则下列结论中正确的有()A.椭圆C的焦距为B.椭圆C的离心率为C.圆D在椭圆C的内部D.PQ长的最小值为11.已知直线l1:x-y-1=0,动直线l2:(k+1)x+ky+k=0(k⊥R),则下列结论中正确的有()A.存在k,使得l2的倾斜角为90°B.对任意的k,l1与l2都有公共点C.对任意的k,l1与l2都不重合D.对任意的k,l1与l2都不垂直12.我们把离心率e=的双曲线称为黄金双曲线.如图,双曲线-=1(a>0,b>0)的左、右焦点分别为F1,F2,左、右顶点分别为A1,A2,B1(0,b),B2(0,-b),过点F2(c,0)作MN⊥x轴,交双曲线于点M,N,则下列说法中正确的有()(第12题)A.双曲线x2-=1是黄金双曲线B.若b2=ac,则该双曲线是黄金双曲线C.若⊥F1B1A2=90°,则该双曲线是黄金双曲线D.若⊥MON=90°,则该双曲线是黄金双曲线三、填空题:本题共4小题,每小题5分,共20分.其中第15题第一个空2分、第二个空3分.13.若直线x=2被圆(x-a)2+y2=4截得的弦长为2,则实数a的值为________.14.已知双曲线C:-=1(a>0,b>0)的一条渐近线与直线l:x+y=0垂直,且双曲线C的一个焦点到直线l的距离为2,则双曲线C的标准方程为________.15.若直线l过点(4,1),且与x轴、y轴的正半轴分别交于点A,B,O为坐标原点,则⊥AOB面积的最小值为________,当⊥AOB的面积取得最小值时直线l的方程是________.16.已知椭圆E:+=1(a>b>0),直线x+y=1与椭圆E交于点M,N,以线段MN为直径的圆经过原点.若椭圆E的离心率不大于,则a的取值范围是________.四、解答题:本题共6小题,共70分.解答时应写出文字说明、证明过程或演算步骤.17.(10分)有下列3个条件:①方程+=1表示的曲线是焦点在x轴上的椭圆;②点(m,m)在圆(x-2)2+y2=20外;③直线2x-y-m =0与圆(x-m)2+(y-1)2=没有公共点.从中任选1个,补充到下面的问题中并解答.已知条件p:________,条件q:方程+=1表示的曲线是双曲线.若p是q的必要不充分条件,求实数t的取值范围.注:如果选择多个条件分别解答,按第一个解答计分.18.(12分)已知圆C1:x2+y2+2x+2y-8=0与圆C2:x2+y2-2x +10y-24=0相交于点A,B.(1)求公共弦AB所在直线的方程;(2)求经过A,B两点且面积最小的圆的方程.19.(12分)过点M(2,4)作两条互相垂直的直线,分别交x轴的正半轴、y轴的正半轴于点A,B.若四边形OAMB被直线AB平分,求直线AB 的方程.20.(12分)在平面直角坐标系xOy中,已知圆O:x2+y2=1,A,B 是直线x-y+m=0(m⊥R)与圆O的两个公共点,点C在圆O上.(1)若⊥ABC为正三角形,求直线AB的方程;(2)若直线x-y-=0上存在点P满足·=0,求m的取值范围.21.(12分)如图,椭圆+=1(a>b>0)的左、右焦点分别为F1,F2,点P在椭圆上,点M在PF1上,且满足=λ(λ>0),PO⊥F2M(O为坐标原点).(第21题)(1)若椭圆的方程为+=1,P(2,),求点M的横坐标;(2)若λ=2,求椭圆的离心率e的取值范围.22.(12分)已知椭圆C的焦点在x轴上,离心率为,它的一个顶点恰好是抛物线x2=4y的焦点.(1)求椭圆C的方程.(2)如图,直线x=2与椭圆C交于P,Q两点,点P位于第一象限,A,B 是椭圆C上位于直线x=2两侧的动点.①若直线AB的斜率为,求四边形APBQ面积的最大值.②当点A,B运动时,满足⊥APQ=⊥BPQ,那么直线AB的斜率是否为定值?请说明理由.(第22题)参考答案与解析1. C2.C3.A4.A5.C提示由题意得圆心(5,0)到直线y=kx+k -2的距离为26.D提示由题意可知F(2,0).设M(x0,y0),则N(-2,y0),所以直线NF的方程为y=-(x-2),即y0x+4y-2y0=0.因为点M到直线NF的距离是4,所以=4.因为点M在抛物线C上,所以y=8x0,从而=4,整理得y(y+16)=64×48,解得y0=4,所以x0=6,即M(6,4),故直线l的斜率是=7.D提示过点P分别向x轴和抛物线的准线作垂线,垂足分别为M,N.设PF1=m,PF2=n,则F1M=PN=PF2=PF1cos⊥PF1F2=.因为PF1-PF2=2a,所以m-=2a,即m=7a,n=5a.在⊥PF1F2中,cos⊥PF1F2==,即c2-5ac+6a2=0,故e2-5e+6=0,解得e=2或3(第8题)8.A提示如图,设圆M′是圆M:x2+(y-3)2=1关于直线x+y =0对称的圆,可得M′(-3,0),半径r=1,所以圆M′的方程为(x+3)2+y2=1.易知当C为线段NM′与直线x+y=0的交点时,AC+BC 取得最小值,为NM′-3.因为点N(3,8),所以NM′==10,因此AC+BC的最小值为NM′-3=79.ABD提示设P(x,y)(x≠±1),则kAP·kBP=·=m(x≠±1),即x2+=1(x≠±1).当m=-1时,x2+y2=1(x≠±1)表示圆(除去与x轴的交点),故A正确;当-10时,x2-=1(x≠±1)表示焦点在x轴上的双曲线(除去与x轴的交点),故C错误,D正确10.BC提示由椭圆C的方程可得a2=6,b2=1,所以c2=a2-b2=5,从而焦距2c=2,故A不正确.离心率e===,故B正确.设P(x,y),则PD2=(x+1)2+y2=(x+1)2+1-=2+≥>,所以圆D在椭圆C的内部,故C正确.由题意可得PQ长的最小值为-=,故D 不正确11.ABD提示对于动直线l2:(k+1)x+ky+k=0(k⊥R),当k=0时,斜率不存在,倾斜角为90°,故A正确;联立可得(2k+1)x =0,此方程恒有解,可得l1与l2有交点,故B正确;当k=-时,=成立,此时l1与l2重合,故C错误;由于直线l1:x-y-1=0的斜率为1,动直线l2的斜率不存在或斜率为-=-1-≠-1,所以对于任意的k,l1与l2都不垂直,故D正确12.BCD提示在双曲线x2-=1中,因为e=≠,所以双曲线x2-=1不是黄金双曲线,故A 不正确.因为b2=ac,所以e===,从而e2-e-1=0,解得e=或e=(舍去),所以该双曲线是黄金双曲线,故B正确.因为F1,F2为左、右焦点,A1,A2为左、右顶点,B1(0,b),B2(0,-b),且⊥F1B1A2=90°,所以B1F+B1A=A2F,即b2+c2+b2+a2=(a+c)2,整理得b2=ac.由B知该双曲线是黄金双曲线,故C正确.因为MN经过右焦点F2且MN⊥F1F2,⊥MON=90°,所以NF2=OF2,从而=c,即b2=ac.由B知该双曲线是黄金双曲线,故D正确13.1或314.-=1 15.8x+4y-8=0提示由题意设直线l:y=k(x-4)+1,则OA =>0,OB=1-4k>0,解得k4.若q为真,则有m-t>0,m-t-10,b>0,直线AB的方程为+=1,即bx+ay=ab.因为MA⊥MB,所以2(2-a)+4(4-b)=0,即a=10-2b.由题意得点O到直线AB的距离等于点M到直线AB的距离,即=.因为2b+4a-ab=2b+40-8b-10b +2b2=2b2-16b+40=2(b-4)2+8>0,所以10b-2b2=2b2-16b +40,即2b2-13b+20=0,解得b=或b=4,从而a=5或a=2,所以直线AB的方程为x+2y-5=0或2x+y-4=020.(1)由⊥ABC为正三角形,得⊥AOB=2⊥ACB=,所以⊥ABO=⊥BAO=,从而原点O到直线AB的距离d=1×sin=.由点到直线的距离公式得=,解得m=或-,所以直线AB的方程为x-y+1=0或x-y-1=0(2)因为·=0,所以点P在以AB为直径的圆上.设该圆的圆心为(x0,y0),则解得故以AB为直径的圆的方程为2+2=1-,其中-<m<.又点P在直线x -y-=0上,即直线与圆有公共点,所以≤,即2m2+2m+1≤0,解得-≤m≤.综上,m的取值范围是21.(1)因为+=1,所以F1(-2,0),F2(2,0).又P(2,),所以kOP=,kF1M=,故kF2M=-,所以直线F2M:y=-(x-2),直线F1M:y=(x+2).联立解得x=,所以点M 的横坐标为(2)设P(x0,y0),M(xM,yM).因为=2,所以=(x0+c,y0)=(xM+c,yM),所以点M的坐标为,故=x0-c,y0.因为PO⊥F2M,=(x0,y0),所以x0+y=0,即x+y=2cx0.联立消去y0得c2x-2a2cx0+a2(a2-c2)=0,解得x0=或x0=.因为-a<x0.综上,椭圆的离心率e的取值范围为22.(1) 设椭圆C的方程为+=1(a>b>0),焦距为2c.因为它的一个顶点恰好是抛物线x2=4y的焦点(0,),所以b=.因为离心率e====,解得a=2,故椭圆C的方程为+=1(2)① 设A(x1,y1),B(x2,y2),直线AB的方程为y=x+t,代入椭圆C的方程化简可得x2+2tx+2t2-4=0.由Δ=4t2-4(2t2-4)>0,解得-2<t<2.利用根与系数的关系可得x1+x2=-2t,x1x2=2t2-4.在+=1中,令x=2,得P(2,1),Q(2,-1),所以四边形APBQ的面积S=S⊥APQ +S⊥BPQ=·PQ·|x1-x2|=×2×|x1-x2|=|x1-x2|===,故当t=0时,四边形APBQ的面积取得最大值,为4② 当⊥APQ=⊥BPQ时,直线PA,PB的斜率之和等于0,故设直线PA的斜率为k,则直线PB 的斜率为-k,所以直线PA的方程为y-1=k(x-2),把它代入椭圆C 的方程化简可得(1+4k2)x2+8k(1-2k)x+4(1-2k)2-8=0,故x1+2=.同理可得直线PB的方程为y-1=-k(x-2),x2+2=,所以x1+x2=,x1-x2=,因此kAB=====。
习题1答案1.(1) 有两个分量为零;(2)有一个分量为零;(3)y 坐标为3;(4)z 坐标为±5.2.A 位于xOz 面上;B 位于yOz 面上;C 位于z 轴上;D 位于y 轴上.3.A 在Ⅳ卦限;B 在Ⅴ卦限;C 在Ⅷ卦限;D 在Ⅲ卦限.4. (1) (2,-3,1),(-2,-3,-1),(2,3,-1);(2) (2,3,1),(-2,-3,1),(-2,3,-1);(3) (-2,3,1);(1)(a , b , -c ), (-a , b , c ), (a , -b , c );(2) (a , -b , -c ),(-a , b , -c ),(-a , -b , c );(3) (-a , -b , -c );5. 提示:CA =CB =66.(0,1,-2).7. 134+e e ; 123243-+-e e e ; 3243107-+-e e e .8. 提示:2102AB BC CD AB ++=+=a b .9. B (-2,4,-3) 10. 21P P = (-2, -2, -2); 521P P = (-10, -10, -10). 11. =a 3, =b 38, =c 3; 333(,,)333=a , 235(,,)383838-=b ,212(,,)333--=c ;12()()()()1111,,,2222AB BC CD DA =-=+=-=-+a b a b b a a b ..13.24334233CD BC ⎧=-⎪⎪⎨⎪=-⎪⎩l kl k.14.方法1:→+→=→AM OA OM .方法2:提示:延长 O M 至 N ,使 2ON OM =.15.提示:方法1:()()1123OM OA OB OC AM BM CM =+++++.方法2:坐标法.16.提示:→→→+=AM OA OM ,→→→+=BM OB OM ,→→→+=CM OC OM ,→→→+=DM OD OM17.提示:取AC 的中点O ,则OM ,ON 分别为中位线.18.1))(21→→→+=AC AB AD ,→→→-=AB AC BE 21,→→→-=AC AB CF 21.2) 0=++→→→CF BE AD .19.提示:→→+→-=+i 11OP OP OP i i λ.(其中2 λ)20. 提示:A ,B ,C 三点共线,→→→+=OB OA OC μλ其中21.提示:A ,B ,C ,D 四点共面→→→+=CA k BC k AD 21. 22.)(32321r r r ++=→ED 23.提示:过L 作LD=BM .24.提示:证向量共线.25.1)3a -2b +c =,2)5a +6b +c 26.→AB (1,3,3)27.B (3,4,4)28. A (-1,2,4); B (8,-4,-2).29. (1) 3,57++i j k ; (2) 18,10214-++i j k ;(3) cos ∠(a ,b )=3221; sin ∠(a ,b )= 527; tan ∠(a ,b )=533. 30. (1) 10l =; (2) 2l =-.31. (1) 824j k --; (2) j k --; (3) 2 32. (1) 36; (2)3217, 3677. 33. 1.34.(1) 提示:()()()()[]⋅⋅-=-a a b c ac b a ab c a ac b .(2)提示: 因为 m 1m 2,所以,对该平面上任意矢量c =λm 1+μm 2.(3)提示: BC AC AB =-, AD CD CA =- .35.(1)5;(2)-3;(3)72-;(4)11. 36.(1) 32-(2) 222123=++r 14=, r 与a ,b ,c 的夹角分别为arccos 1414,14arccos 7,314arccos .14(3)cos (,)∠=a b 3π (4)40λ=37.解:1)向量a ,b ,c 不共面,c 不能表成a ,b 的线性组合.2)向量a ,b ,c 共面,b a c 3221+= 3)向量a ,b ,c 共面,c 不能表成a ,b 的线性组合.38. B (10,0,513) 39.|AB |=149,AB 边上的中线长:2461,|BC |=292,BC 边上的中线长:352, |AC |=212,AC 边上的中线长:2341.40.1)20 2)11.41.1)x ·y =354,105,2310==y x , 354(,)arccos242550∠=x y 2)x ·y =929,426,2237==y x , 929(,)arccos 952962∠=x y42.(3a +2b )·(2a -5b )=633314-,两向量间的夹角为π43. 43.略. 44.3=OL ,321531+=→OM ,(,)OL OM ∠3215633arccos --=45.D 分AB 的比为1,T 分AB 的中为b a .H 分AB 的线为θθcos 2cos 2ab b ab a--. 46.略.47.略.48. 略.49.1) a ×b=(6, 3 3), S=63;2) a ×b =(12,26, 8) , =2221S ; 3) a ×b = (72, 24, 0),=2410S . . 50.1) (2,1,2), (2, 1, 2).2) (16, 4, 16). 3) 2, 2.4) (3,4,5), (1, 2, 1).51.略.52.四面体的体积596V =. 53.提示:(a, b , c )=0.自我测验题1一、填空题.1.Ⅵ,(4,2,-6), (4,-2,-6),(8,-4,8).2.68,(-5,15,-7),-34,9299.3.求面积、求垂直向量、证明平行问题.4.0⋅=a b ,(),,0=a b c5.在三轴上的射影,1-1对应.二、判断题.1.√2.×3.√4. ×5.×三、计算题.1.1) x 与 y 共线或 x 与 y 中至少有一个为 0 . 2) x 与 y 共线或 x 与 y 中至少有一个为 0 . .2. 3a +3b -5c .3.x =2||b a b b ⨯-a .4.x =ba c ab ⋅⨯+α. 5..096172,22,63=+--z y x四、证明题.1.提示:证AD AB 与共线.2.略.。
高等代数与解析几何复习题(总18页)-本页仅作为预览文档封面,使用时请删除本页-高等代数与解析几何复习题第一章 矩阵一、 填空题1.矩阵A 与B 的乘积AB 有意义,则必须满足的条件是 。
2.设(),(),ij m s ij s n A a B b ⨯⨯==又()ij m n AB c ⨯=,问ij c = 。
3.设A 与B 都是n 级方阵,计算2()A B += , 2()A B -= ,()()A B A B +-= 。
4.设矩阵1234A ⎛⎫= ⎪⎝⎭,试将A 表示为对称矩阵与反对称矩阵的和 。
(注意:任意n 阶矩阵都可表示为对称矩阵与反对称矩阵的和)5.设(1,2,1)X =,(2,1,3)TY =-,201013122A -⎛⎫⎪= ⎪ ⎪-⎝⎭,计算XAY = 。
6.设向量()1,2,3,(1,1,1)T αβ==,则αβ= ,βα= 。
7.设矩阵2003A ⎛⎫= ⎪⎝⎭,则100A = 。
8.设矩阵200012035A ⎛⎫ ⎪= ⎪ ⎪⎝⎭,则1A -= 。
9.设准对角矩阵1200A A A ⎛⎫= ⎪⎝⎭,()f x 是多项式,则()f A = 。
10.设矩阵123456789A ⎛⎫ ⎪= ⎪ ⎪⎝⎭,则A 的秩()R A = 。
11.设*A 是n 阶方阵A 的伴随矩阵, d A =,则=*A A 。
12.设*A 是矩阵A 的伴随矩阵,则**_____________.AA A A ==13.矩阵123235471A ⎛⎫ ⎪=- ⎪ ⎪⎝⎭的秩为__________,A 的伴随矩阵*A = 。
14.设A 是3阶可逆方阵,B 是34⨯矩阵且()2R B =,则()R AB = 。
15.设102040203A ⎛⎫ ⎪= ⎪ ⎪⎝⎭,B 是34⨯矩阵且()2R B =,则()R AB = 。
16.试写出n 阶方阵A 可逆的几个充分必要条件(越多越好)。
17.设矩阵123235471A ⎛⎫⎪=- ⎪⎪⎝⎭,试写出行列式A 中(2,1)-元的代数余子式 ,A 中第三行元素的代数余子式之和= 。
第一章 向量代数习题1.11.试证向量加法的结合律,即对任意向量成立,,a b c ()().a b c a b c ++=++证明:作向量(如下图),,,AB a BC b CD c ===则 ()(),a b c AB BC CD AC CD AD ++=++=+=()(),a b c AB BC CD AB BD AD ++=++=+=故()().a b c a b c ++=++2.设两两不共线,试证顺次将它们的终点与始点相连而成一个三角形的充要条件,,a b c 是0.a b c ++=证明:必要性,设的终点与始点相连而成一个三角形,,,a b c ABC∆则0.a b c AB BC CA AC CA AA ++=++=+==充分性,作向量,由于,,AB a BC b CD c ===所以点与重合,即三向量0,a b c AB BC CD AC CD AD =++=++=+=A D 的终点与始点相连构成一个三角形。
,,a b c3.试证三角形的三中线可以构成一个三角形。
证明:设三角形三边的中点分别是(如下图),并且记ABC ∆,,AB BC CA ,,D E F,则根据书中例1.1.1,三条中线表示的向量分别是,,a ABb BCc CA ===111(),(),(),222CD c b AE a c BF b a =-=-=-所以,故由上题结论得三角形111()()()0,222CD AE BF c b a c b a ++=-+-+-=的三中线可以构成一个三角形。
,,CD AE BF 4.用向量法证明梯形两腰中点连线平行于上、下底且等于它们长度和的一半。
证明:如下图,梯形两腰中点分别为,记向量ABCD ,BC AD ,E F ,,AB a FA b ==则而向量与共线且同向,所以存在实数使得现,DF b = DC AB 0,λ>. DC AB λ=在由于是的中点,所以, FB b a =+,FC b a λ=-+E BC 且1111()()(1)(1).2222 FE FB FC b a a b a AB λλλ=+=++-=+=+111(1)()().222FE AB AB AB AB DC λλ=+=+=+故梯形两腰中点连线平行于上、下底且等于它们长度和的一半。
解析几何作业集内部资料请勿盗印第一章向量与坐标§1.1向量的概念1.下列情形中的向量终点各构成什么图形?(1)把空间中一切单位向量归结到共同的始点;(2)把平行于某一平面的一切单位向量归结到共同的始点;(3)把平行于某一直线的一切向量归结到共同的始点;(4)把平行于某一直线的一切单位向量归结到共同的始点.解:2.设点O 是正六边形ABCDEF 的中心,在向量OA 、OB 、OC 、OD 、OE 、OF 、AB 、BC 、CD 、DE 、EF和F A 中,哪些向量是相等的?解:图1-13.设在平面上给了一个四边形ABCD ,点K 、L 、M 、N 分别是边AB、BC、CD、DA的中点,求证:KL =NM .当ABCD 是空间四边形时,这等式是否也成立?解:AFBE CDO图1—24.如图1-3,设ABCD-EFGH是一个平行六面体,在下列各对向量中,找出相等的向量和互为相反向量的向量:(1)AB、CD;(2)AE、CG;(3)AC、EG;(4)AD、GF;(5)BE、CH.解:§1.2向量的加法1.要使下列各式成立,向量ba,应满足什么条件?(1-=+(2+=+(3-=+(4+=-(5-=-解:§1.3数量乘向量1、已知四边形ABCD中,→→→-=caAB2,→→→→-+=cbaCD865,对角线→AC、→BD的中点分别为E、F,求→EF.解:2、设→→→+=baAB5,→→→+-=baBC82,)(3→→→-=baCD,证明:A、B、D三点共线.解:3、在四边形ABCD中,→→→+=baAB2,→→→--=baBC4,→→→--=baCD35,证明ABCD 为梯形.解:6.设L、M、N分别是ΔABC的三边BC、CA、AB的中点,证明:三中线向量AL,BM,CN 可以构成一个三角形.解:7.设L、M、N是△ABC的三边的中点,O是任意一点,证明OA++OC=OL+OM+ON.OB解:8.如图1-5,设M是平行四边形ABCD的中心,O是任意一点,证明OA+OB+OC+OD=4OM.证明:Array图1-5 9在平行六面体ABCDEFGH(参看第一节第4题图)中,证明→→→→AC2.=AF++AGAH证明:11.用向量法证明,平行四边形的对角线互相平分.证明:§1.4向量的线性关系与向量的分解1.在平行四边形ABCD 中,(1)设对角线,,b BD a AC ==求.,,,DA CD BC AB (2)设边BC 和CD 的中点M 和N ,且q AN p AM ==,求CD BC ,。
解析几何作业集内部资料请勿盗印第一章向量与坐标§1.1向量的概念1.下列情形中的向量终点各构成什么图形?(1)把空间中一切单位向量归结到共同的始点;(2)把平行于某一平面的一切单位向量归结到共同的始点;(3)把平行于某一直线的一切向量归结到共同的始点;(4)把平行于某一直线的一切单位向量归结到共同的始点.解:2.设点O 是正六边形ABCDEF 的中心,在向量OA 、OB 、OC 、OD 、OE 、OF 、AB 、BC 、CD 、DE 、EF和F A 中,哪些向量是相等的?解:图1-13.设在平面上给了一个四边形ABCD ,点K 、L 、M 、N 分别是边AB、BC、CD、DA的中点,求证:KL =NM .当ABCD 是空间四边形时,这等式是否也成立?解:AFBE CDO图1—24.如图1-3,设ABCD-EFGH是一个平行六面体,在下列各对向量中,找出相等的向量和互为相反向量的向量:(1)AB、CD;(2)AE、CG;(3)AC、EG;(4)AD、GF;(5)BE、CH.解:§1.2向量的加法1.要使下列各式成立,向量ba,应满足什么条件?(1-=+(2+=+(3-=+(4+=-(5-=-解:§1.3数量乘向量1、已知四边形ABCD中,→→→-=caAB2,→→→→-+=cbaCD865,对角线→AC、→BD的中点分别为E、F,求→EF.解:2、设→→→+=baAB5,→→→+-=baBC82,)(3→→→-=baCD,证明:A、B、D三点共线.解:3、在四边形ABCD中,→→→+=baAB2,→→→--=baBC4,→→→--=baCD35,证明ABCD 为梯形.解:6.设L、M、N分别是ΔABC的三边BC、CA、AB的中点,证明:三中线向量AL,BM,CN 可以构成一个三角形.解:7.设L、M、N是△ABC的三边的中点,O是任意一点,证明OA++OC=OL+OM+ON.OB解:8.如图1-5,设M是平行四边形ABCD的中心,O是任意一点,证明OA+OB+OC+OD=4OM.证明:Array图1-5 9在平行六面体ABCDEFGH(参看第一节第4题图)中,证明→→→→AC2.=AF++AGAH证明:11.用向量法证明,平行四边形的对角线互相平分.证明:§1.4向量的线性关系与向量的分解1.在平行四边形ABCD 中,(1)设对角线,,b BD a AC ==求.,,,DA CD BC AB (2)设边BC 和CD 的中点M 和N ,且q AN p AM ==,求CD BC ,。
解:图1-42.在平行六面体ABCD-EFGH 中,设,,,321e AE e AD e AB ===三个面上对角线向量设为,,,r AF q AH p AC ===试把向量r q p a νμλ++=写成321,,e e e 的线性组合。
解:3.设一直线上三点A ,B ,P 满足AP =λPB (λ≠-1),O 是空间任意一点,求证:λλ++=1OB OA OP 证明:4.在ABC ∆中,设,1e AB =2e AC =.(1)设E D 、是边BC 三等分点,将向量AE AD ,分解为21,e e 的线性组合;(2)设AT 是角A 的平分线(它与BC 交于T 点),将AT 分解为21,e e 的线性组合解:的重心(三中线之交点),求向量OG对于向量5.在四面体OABC中,设点G是ABCOA,,,的分解式。
OBOC解:C OPGA B(图1)6.用向量法证明以下各题(1)三角形三中线共点证明:A N MBLCO (图2)7.已知向量b a ,不共线,问b a c -=2与b a d 23-=是否线性相关?解:8.证明三个向量a=-1e +32e +23e ,b =41e -62e +23e ,c=-31e +122e +113e 共面,其中a 能否用b,c 线性表示?如能表示,写出线性表示关系式.解:§1.5标架与坐标3.在空间直角坐标系{O ;k j i,,}下,求P (2,-3,-1),M (a ,b ,c )关于(1)坐标平面;(2)坐标轴;(3)坐标原点的各个对称点的坐标.8.已知向量a ,b ,c 的分量如下:(1)a ={0,-1,2},b ={0,2,-4},c ={1,2,-1};(2)a ={1,2,3},b ={2,-1,0},c ={0,5,6}.试判别它们是否共面?能否将c 表成a ,b 的线性组合?若能表示,写出表示式.解:7.已知A,B,C 三点坐标如下:(1)在标架{}21,;e e O 下,()()().4,2,2,2,1,0--C B A (2)在标架{}321,,;e e e O 下,()()()4,3,2,2,0,1,0,1,0---C B A 判别它们是否共线?若共线,写出AB 和AC 的线性关系式.解:9.已知线段AB 被点C(2,0,2)和D(5,-2,0)三等分,试求这个线段两端点A 与B 的坐标.解:§1.6向量在轴上的射影1.已知向量AB 与单位向量e 的夹角为15010=,又如果e e -='.解:§1.7两向量的数性积1、已知向量b a ,互相垂直,向量c 与b a ,的夹角都是︒60,321===计算:22)2)(4();3).(23)(3();)()(2(;))(1(c b a c b b a b a b a b a -+---++解:2、计算下列各题.(1)已知,,a b c 两两垂直,且1,a = 2,b = 3,c = 求r a b c =++的长和它与,,a b c 的夹角.(2)已知2,a = 5,b =2(,),3a b π∠= 3,p a b =- 17.q a b λ=+ 问系数λ取何值时p 与q垂直?解:3、用向量法证明以下各题:(1)三角形的余弦定理a2=b2+c2-2bc cos A;(2)三角形各边的垂直平分线共点且这点到各顶点等距.证明:(1)(2)图1-11图1-125已知平行四边形以= a ﹛1,2,-1﹜,= b ﹛1,-2,1﹜为两边(1)求它的边长和内角(2)求它的两对角线的长和夹角解:6已知△ABC 的三顶点(0,0,3),A (4,0,0),B (0,8,3)C -,试求:(1)△三边长(2)△三内角(3)三中线长(4)角A 的角平分线向量AD (中点在BC 边上),并求AD 的方向余弦和单位向量解:§1.8两向量的矢性积1.已知1a = ,5,b = 3.a b ⋅= 试求:(1)a b⨯ (2)2()()a b a b ⎡⎤+⨯-⎣⎦(3)2(2)(2)a b b a ⎡⎤-⨯-⎣⎦解:2.证明:(1)(a ⨯b )2≤a 2⋅b 2,并说明在什么情形下等号成立.(2)如果a +b +c =0 ,那么a ⨯b =b ⨯c =c ⨯a ,并说明它的几何意义.4.已知:{}2,3,1a =- ,{}1,2,3,b =- 求与a ,b 都垂直,且满足下列条件的向量c :(1)c 为单位向量(2)10c d ⋅= ,其中d = {}2,1,7-.5.在直角坐标系内已知三点(5,1,1),A -(0,4,3),B -(1,3,7)C -,试求:(1)三角形ABC 的面积(2)三角形ABC 的三条高的长.6.已知:{}2,3,1,a = {}5,6,4b = ,试求:(1)以,a b 为边的平行四边形的面积.(2)这平行四边形的两条高的长.7.用向量方法证明:(1)三角形的正弦定理A a sin =B b sin =Cc sin .(2)三角形面积的海伦(Heron)公式,即三斜求积公式:∆2=p (p -a )(p -b )(p -c ).式中p =21(a +b +c )是三角形的半周长,∆为三角形的面积..§1.9三向量的混合积1.设a ,b ,c 为三个非零向量,证明(3)(a ,b ,c +λa +μb )=(a ,b ,c );(4)(a +b ,b +c ,c +a )=2(a ,b ,c ).3.u =11e a +21e b +31e c ,12e a v = +22e b +32e c ,w =13e a +23e b +33e c ,试证明(w v u ,,)=333222111c b a c b a c b a (1e ,2e ,3e ).4.已知直角坐标系内向量,,a b c 的分量,判别这些向量是否共面?如果不共面,求出以它们为三邻边作成的平行六面体体积.(1){}3,4,5a = ,{}1,2,2b = ,{}9,14,16c = .(2){}3,0,1a =- ,{}2,4,3b =- ,{}1,2,2c =-- .5.已知直角坐标系内D C ,,,B A 四点坐标,判别它们是否共面?如果不共面,求以它们为顶点的四面体体积和从顶点D 所引出的高的长.⑴()()()()17,14,10,3,2,2,6,4,4,1,0,1D C B A ;⑵()()()()8,4,5,7,3,6,2,1,4,1,3,2--D C B A .。