2009年广州市高三第一次模拟考试试题答案
- 格式:doc
- 大小:582.50 KB
- 文档页数:6
09年高考模拟试题广东省华南师大附中2009届高三综合测试(理) 测试题 2019.91,如图,已知矩形ABCD 中,AB=1,BC=a (a ≥2), PA ⊥平面ABCD.(1)问BC 边上是否存在点Q ,使得PQ ⊥QD ,并说明理由(2)若PA=1,且BC 边上有且只有一个点Q ,使得PQ ⊥QD ,求此时二面角Q-PD-A 的正切值.QPDCBA2,已知y 轴右侧一动圆1C 与一定圆4)2(:222=+-y x C 外切,也与y 轴相切.(1)求动圆1C 圆心的轨迹C ;(2)过点T (-2,0)作直线l 与轨迹C 交于A 、B 两点,求一点)0,(0x E ,使得AEB ∆ 是以点E 为直角顶点的等腰直角三角形。
3,设函数满足1)0(=f ,且对任意R y x ∈,,都有 2)()()()1(+--⋅=+x y f y f x f xy f . (Ⅰ)求)(x f 的解析式;(Ⅱ)若数列满足:(),且, 求数列的通项;(Ⅲ)求证:4,已知函数 f (x) = x 3 -(l -3)x 2 -(l +3)x + l -1(l > 0)在区间[n, m]上为减函数,记m 的最大值为m 0,n 的最小值为n 0,且满足m 0-n 0 = 4.(1)求m 0,n 0的值以及函数f (x)的解析式;(2)已知等差数列{x n }的首项x 1 = ,公差d = .又过点A(0, f (0)),B(1, f (1))的直线方程为y=g(x).试问:在数列{x n }中,哪些项满足f (x n )>g(x n )?(3)若对任意x 1,x 2∈[a, m 0](x 1 ≠ x 2),都有成立,求a 的最小值.()f x {}n a 13()1n n a f a +=-*n N ∈11a ={}n a (1)3112,().22(1)f n n N f n -*⎛⎫≤+<∈ ⎪-⎝⎭()()()121222f x f x x x f++<5,计算:= .6,在等比数列中,若,则的值为 . 7,一个公司有N 个员工,下设一些部门,现采用分层抽样方法从全体员工中抽取一个容量为n 的样本 (N 是n 的倍数).已知某部门被抽取了m 个员工,那么这一部门的员工数是 . 8,已知函数f(x)满足:f(p+q)=f(p)f(q), f(1)=3,则)7()8()4()5()6()3()3()4()2()1()2()1(2222f f f f f f f f f f f f +++++++= .9,(不等式选讲选做题)若b a 、为正实数,3=+b a ,则b a +++11的最大值是______10,(几何证明选讲选做题)如图所示,AC 和AB 分别是圆O 的切线,B 、C 为切点,且OC = 3,AB = 4,延长OA 到D 点,则△ABD 的面积是_________测试题答案1,解:(1)假设存在符合条件的点Q, 连AQ, 因PA ⊥平面ABCD, 则AQ 是PQ 在平面ABCD 上的射影.由三垂线定理知.QD AQ QD PQ ⊥⇔⊥22(sin 2)x dx-+⎰{}n a 151,4a a ==3a QPDCBA当2>a 时,因AB=1, 则以AD 为直径的圆与边BC 必交于两点, 这两点满足AQ ⊥DQ, 也就是说BC 边上存在两个点满足QD PQ ⊥;当2=a 时,因AB=1, 则以AD 为直径的圆与边BC 相切,切点Q 满足AQ ⊥DQ, 即BC 边上存在唯 一点Q 满足QD PQ ⊥; (2)由(1)知, 此时BC=2,Q 为BC 中点. 因PA ⊥平面ABCD, PA ⊂ 平面PAD, 则平面PAD ⊥平面ABCD, 且平面PAD ∩平面ABCD=AD.取AD 的中点G ,连QG, 则QG ⊥AD ⇒ QG ⊥平面PAD,作PD GH ⊥于H, 连QH ,则GH 是QH 在平面PAD 上射影, 故QHG PD QH ∠⊥所以,是二面角Q-PD-A 的平面角,在PAD Rt ∆中,PDGD PA HG ⋅=51511=⨯=,在Rt △ABC 中,.5tan ==∠GH QGQHG即二面角Q-PD-A 的正切值为5.2, 解(1)由题意知动点C 1到定点(2,0)与到定直线2-=x 的距离相等,则动点M 的轨迹是以定点(2,0)为焦点,定直线2-=x 为准线的抛物线。
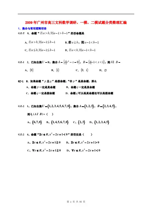
2009年广州市高三文科数学调研、一模、二模试题分类整理汇编1.集合与常用逻辑用语GZ-T 8. 命题“,11a b a b >->-若则”的否命题...是 A .,11a b a b >-≤-若则 B .若b a ≥,则11-<-b a C .,11a b a b ≤-≤-若则 D .,11a b a b <-<-若则GZ-1 2.已知全集=UR ,集合{}02=-=x x x A ,{}11<<-=x x B ,则=B AA .{}0B .{}1 C .{}1,0 D .∅GZ-1 8.如果命题“p 且q ”是假命题,“非p ”是真命题,那么 A .命题p 一定是真命题 B .命题q 一定是真命题C .命题q 一定是假命题D .命题q 可以是真命题也可以是假命题GZ-2 1、已知全集{}1,2,3,4,5,6,7,8U =,集合{}1,2,3A =,{}2,3,4,5B =,则()U A B ð=( ) A 、{}6,7,8 B 、{}1,4,5,6,7,8 C 、{}2,3 D 、{}1,2,3,4,5GZ-2 4、命题“2,210x R x x ∃∈-+<”的否定是( )A 、2,210x R x x ∃∈-+≥B 、2,210x R x x ∃∈-+>C 、2,210x R x x ∀∈-+≥D 、2,210x R x x ∀∈-+<2.函数、导数 GZ-T 5.已知函数()f x 是定义在R 上的奇函数,当0>x 时,()2x f x =,则(2)f -=A .14 B .4- C .41- D .4GZ-T 11. 函数22()log (1)f x x =-的定义域为 .GZ-T 21. (本题满分14分)已知函数()a ax x x x f -+-=2331(a ∈R).(1) 当3-=a 时,求函数()x f 的极值;(2)若函数()x f 的图象与x 轴有且只有一个交点,求a 的取值范围.GZ-1 6.已知∈b a ,R 且b a >,则下列不等式中成立的是 A .1>baB .22b a >C .()0lg >-b aD .ba⎪⎭⎫⎝⎛<⎪⎭⎫ ⎝⎛2121GZ-1 10.在区间[]1,0上任意取两个实数b a ,,则函数()b ax x x f -+=321在区间[]1,1-上有且仅有一个零点的概率为A .81B .41C .87D .43GZ-1 20.(本小题满分12分)某车间有50名工人,要完成150件产品的生产任务, 每件产品由3个A 型零件和1个B 型零件配套组成. 每个工人每小时能加工5个A 型零件或者3个B 型零件, 现在把这些工人分成两组同时工作(分组后人数不再进行调整), 每组加工同一种型号的零件.设加工A 型零件的工人人数为x 名(∈x N *). (1)设完成A 型零件加工所需时间为()x f 小时,写出()x f 的解析式;(2)为了在最短时间内完成全部生产任务,x 应取何值?GZ-2 3、已知函数(4),0()(4),0x x x f x x x x +<⎧=⎨-≥⎩,则函数()f x 的零点个数为( )A 、1B 、2C 、3D 、4GZ-2 7、曲线3y x =在点(1,1)处的切线与x 轴及直线x =1所围成的三角形的面积为( )A 、112 B 、16 C 、13 D 、12GZ-2 21、(本小题满分14分)已知函数2(),()ln ,0a f x x g x x x a x=+=+>其中。
2009年广州一模作文试题解析及典型例文高考模拟卷高三下册粤教版语文试题下载试题预览2009年广州一模作文试题解析及典型例文【原题直播】24、请以“一叶落知天下秋?”为标题,写一篇不少于800字的文章(不能写成诗歌)。
可论述你的观点,可叙说你的故事,可抒发你的情感。
(60分)总述:今天进行的广州一模试卷,拿到作文试题不禁莞尔,实在不知道为什么会出这么一个题目,是命题人的无知还是对高考的不了解?这道试题就是2005年浙江省的高考试题啊!2005年浙江的高考作文试题是这样的:26阅读下面的文字,根据要求作文。
(60分)唐诗曰:“一叶落知天下秋。
”宋诗云:“春色满园关不住,一枝红杏出墙来。
”一叶飘零而知秋,一枝勃发而见春。
寻常细微之物常常是大千世界的缩影,无限往往收藏于有限中。
请以“一枝一叶一世界”为话题,自拟标题写一篇文章。
【注意】①所写内容必须在话题范围之内。
②立意自定,角度自选。
③除诗歌外,文体不限。
④不少于800字。
⑤不得抄袭。
命题人这么没有预测性地拿出这样的模拟试题,浪费钱财不说,更浪费时间精力。
高三学生贵如金子的时间,老师还得要批改这样毫无意义的学生作文,出点新鲜的行不?不过,要说有什么不同的,倒是很值得一说的,诸位一定看到文章的题目后面凭空多了这么一个“?”,很稀奇也很创新,所以也就平添了诸多趣味,更值得玩味。
另外,我们还是第一次看到广东命题能够命出这么具有文学意味的题目的。
【审题和立意】因为多了这么一个问号,这句本来耳熟能详的唐诗一下子变了口味,那么这样的“?”到底是有意还是设题失误?如果是有意为之,就给我们考生另辟了一个思维的通道;如果是设题失误,也许命题人后来知道了拾人牙慧,也正好借坡下驴,顺水推舟,造成既成事实,生米让考生自己做熟饭去吧。
既然已经出现在试题之中,板上就已经钉钉子了,那么我们只能从第一种的角度去审题和立意,如果多去想第二种,那就真得会埋汰命题人了。
不过老实说,对于这种拾人牙慧的做法,我们还是很嗤之以鼻的。
广东省各市2009届高三语文最新模拟试卷汇编(共13套)1、2008——2009学年越秀区高三摸底调研测试语文试卷本试卷共8页,24小题,满分150分。
考试用时150分钟。
注意事项:1、答卷前,考生务必用黑色字迹的钢笔或签字笔将自己的姓名和考生号、试室号、座位号填写在答题卡上。
用2B铅笔将试卷类型(B)填涂在答题卡相应位置上。
将条形码横贴在答题卡右上角“条形码粘贴处”。
2、选择题每小题选出答案后,用2B铅笔把答题卡上对应题目选项的答案信息点涂黑;如需改动,用橡皮擦干净后,再选涂其他答案。
答案不能答在试卷上。
3、非选择题必须用黑色字迹的钢笔或签字笔作答,答案必须写在答题卡各题目指定区域内相应位置上;如需改动,先划掉原来的答案,然后再写上新的答案;不准使用铅笔和涂改液。
不按以上要求作答的答案无效。
4、作答选做题时,请先用2B铅笔填涂选做题的题组号对应的信息点,再作答,漏涂、错涂、多涂的,答案无效。
5、考生必须保持答题卡的整洁。
考试结束后,将试卷和答题卡一并交回。
一、本大题4小题,每小题3分,共12分。
1.下列词语中加点的字,每对读音都不相同的一项是:A.驾驭./与.会栅.栏/删.除参.加/参.差不齐B.复辟./媲.美嫔.妃/濒.危毒蛇./虚与委蛇.C. 古刹./诧.异绚.烂/殉.职曾.祖/曾.经沧海D.信笺./翩跹.伫.立/贮.存呼吁./长吁.短叹2.下面语段中画线的成语,使用恰当的一项是:武侠小说《紫灵》有这样一个情节:“……他们这些无所不能而存活在世上的残暴强盗,一个个仰面摔倒在地上,嘴里惨叫了几声,蹬了蹬两腿,结束了他们罪不容诛的一生。
他们哪一个人的手上不是沾满了无辜者的鲜血而恶贯满盈?今天得到这样的结果,真是罚不当罪,不过也算是他们死得其所。
A.无所不能 B.罪不容诛 C.罚不当罪 D.死得其所3.下列各句中,没有语病的一项是(3分)A.落实科学发展观,要加快体制创新的步伐。
为此,必须紧紧抓住关键环节,即消除体制障碍、推进配套机构改革、加强物质载体建设。
广东省广州市越秀区2009 届高三摸底调研测试数学(理科)试题卷本试卷共4页,21小题,满分150分.考试用时120分钟. 注意事项:1.答选择题前,考生务必用黑色字迹的钢笔或签字笔将自己的姓名、考生号、考试科目填写在答题卡上,并用2B 铅笔将相应的信息点涂黑.2.选择题每小题选出答案后,用2B 铅笔把答题卡上对应题目的答案标号涂黑;如需改动,用橡皮擦干净后,再选涂其它答案,答案不能答在试卷上. 3.非选择题必须用黑色字迹的钢笔或签字笔作答,答案必须写在答题卡各题目指定区域内的相应位置上;如需改动,先划掉原来的答案,然后再写上新的答案;不准使用铅笔和涂改液.不按以上要求作答的答案无效.4.考生必须保持答题卡的整洁,考试结束后,将试卷和答题卡一并交回.参考公式:如果事件A 、B 互斥,那么()()()P A B P A P B +=+ 如果事件A 、B 相互独立,那么()()()P A B P A P B ⋅=⋅如果事件A 在一次试验中发生的概率是p ,那么在n 次独立重复试验中恰好发生k 次的概率()()C 1n kk kn n P k p p -=-球的表面积公式24S R π=,其中R 是球的半径第Ⅰ卷 (选择题 满分40分)一、选择题(本大题共8小题,每小题5分,满分40分,在每小题给出的四个选项中,只有一项是符合题目要求的)1. 若集合A={x |x 2 – x <0}, B ={x | -1<x <3},则A∩B 等于( * )A.{x |0<x <1}B.{x | -1<x <3}C.{x |1<x <3}D.φ 2. 2(sin cos )1y x x =+-是 ( * )A.最小正周期为2π的偶函数B.最小正周期为2π的奇函数C.最小正周期为π的偶函数D.最小正周期为π的奇函数3. 若复数(a 2 - 4a +3)+(a -1)i 是纯虚数,则实数a 的值为( * )A.1B.3C.1或3D.-14. 在边长为1的等边ABC ∆中,设,,BC a CA b AB c a b b c c a ===⋅+⋅+⋅=,则( * )A .32-B .0C .32D .3 5. P 是双曲线)0,0(12222>>=-b a by a x 左支上的一点,F 1、F 2分别是左、右焦点,且焦距为2c ,则21F PF ∆的内切圆的圆心的横坐标为( * )(A )a -(B )b - (C )c - (D )c b a -+6. 设P 为曲线C :223y x x =++上的点,且曲线C 在点P 处的切线的倾斜角的取值范围为04π⎡⎤⎢⎥⎣⎦,,则点P 的横坐标的取值范围为 ( * )A .112⎡⎤--⎢⎥⎣⎦, B .[]10-, C .[]01,D .112⎡⎤⎢⎥⎣⎦,7. 已知{}(,)|6,0,0x y x y x y Ω=+≤≥≥,{}(,)|4,0,20A x y x y x y =≤≥-≥,若向区域Ω内随机投一点P ,则点P 落在区域A 内的概率为 ( * ) A .13 B .23 C .19 D .298.函数f (x )的图象是如图所示的折线段OAB ,点A 坐标 为(1,2),点B 坐标为(3,0).定义函数()()(1)g x f x x =⋅-. 则函数g (x )最大值为( * )A.0B.2C.1D.4第II 卷(非选择题 满分110分二、填空题(本大题共7小题,考生作答6小题,每小题5分,满分(一)必做题(912题)9. 一个球的内接长方体的长、宽、高分别为1、2、3, 则这个球的表面积是 * .10. 3名医生和6名护士被分配到3所学校为学生体检,每校分配1名医生和2名护士。
试卷类型:A 2009年广州市普通高中毕业班综合测试(一)物理2009.3 本试卷共8页,20小题,满分150分.考试用时120分钟.注意事项:1.答卷前,考生务必用2B铅笔在“考生号”处填涂考生号。
用黑色字迹的钢笔或签字笔将自己所在的市、县,区、学校,以及自己的姓名、考生号、试室号和座位号填写在答题卡上。
用2B铅笔将试卷类型(A)填涂在答题卡相应位置上。
2.选择题每小题选出答案后,用2B铅笔把答题卡上对应题目选项的答案信息点涂黑,如需改动,用橡皮擦干净后,再选涂其他答案,答案不能答在试卷上。
3.非选择题必须用黑色字迹钢笔或签字笔作答,答案必须写在答题卡各题目指定区域内相应位置上;如需改动,先划掉原来的答案,然后再写上新的答案;不准使用铅笔和涂改液。
不按以上要求作答的答案无效。
4.作答选做题时,请先用28铅笔填涂选做题的题号对应的信息点,再作答。
漏涂、错涂、多涂的,答案无效。
5.考生必须保持答题卡的整洁。
考试结束后,将试卷和答题卡一并交回。
选择题(共48分)一、本题共l2小题.在每小题给出的四个选项中,有一个或一个以上选项符合题目要求,全部选对得4分,选不全得2分,有选错或不答的得0分.1.万有引力定律的发现实现了物理学史上的第一次大统一——“地上物理学”和“天上物理学”的统一.它表明天体运动和地面上物体的运动遵循相同的规律.牛顿在发现万有引力定律的过程中将行星的椭圆轨道运动假想成圆周运动;另外,还应用到了其它的规律和结论,其中有A.牛顿第二定律B.牛顿第三定律C.开普勒的研究成果D.卡文迪许通过扭秤实验得出的引力常数2.仔细观察氢原子的光谱,发现它只有几条分离的不连续的亮线,其原因是A.氢原子只有几个能级B.氢原子只能发出平行光C.氢原子有时发光,有时不发光D.氢原子辐射的光子的能量是不连续的,所以对应的光的频率也是不连续的3.火警的报警系统通常利用镅(24195Am)衰变成镎(23793Np)时放出一种很容易被空气阻隔的新粒子,这种粒子是A.42He B.11H C.1n D.01e4.线圈通以如图1所示的随时间变化的电流,则A.0—t1时间内线圈中的自感电动势最大B.t1—t2时间内线圈中的自感电动势最大C.t2—t3时间内线圈中的自感电动势最大D.t1—t2时间内线圈中的自感电动势为零5.如图2所示是一种汽车安全带控制装置的示意图.当汽车处于静止或匀速直线运动时,摆锤竖直悬挂,锁棒水平,棘轮可以自由转动,安全带能被拉动.当汽车突然刹车时,摆锤由于惯性绕轴摆动,使得锁棒锁定棘轮的转动,安全带不能被拉动.若摆锤从图中实线位置摆到虚线位置,汽车的可能运动方向和运动状态是A.向左行驶、突然刹车B.向右行驶、突然刹车C.向左行驶、匀速直线运动D.向右行驶、匀速直线运动6.如图3所示,轻质弹簧连接A、B两物体,A放在水平地面上、B的上端通过细线挂在天花板上;已知A 的重力为8N、B的重力为6N、弹簧的弹力为4N.则地面受到的压力大小和细线受到的拉力大小可能是A.18N和10NB.4N和10NC.12N和2ND.14N和2N7.标有“8V 6.4W”和“8V 20W”字样的a、b两只灯泡连接在如图4所示的电路中,C点接地.如果将电路中a、b两灯的位置互换,则A.B点电势提高B.B点电势降低C.两灯的亮度不改变D.a灯变暗,b灯变亮8.如图5所示,在同一平面内四根彼此绝缘、固定放置的通电直导线,开始通入的电流i4=i3>i2>i1.如果要使四根导线围成的方框中心点O的磁场减弱,可以A.只减弱i1,其它电流不变B.只增强i2,其它电流不变C.同时减弱i3、i4到某一定值,其它电流不变D.同时增强i3、i4到某一定值,其它电流不变9.如图6所示,原、副线圈匝数比为2∶1的理想变压器正常工作时A.原、副线圈磁通量之比为2∶1B.原、副线圈电流之比为1∶2C.输入功率和输出功率之比为1∶1D.原、副线圈磁通量变化率之比为1∶110.如图7所示,匀强电场方向平行于xOy平面,在xOy平面内有一个半径为R=5cm的圆,圆上有一动点P,半径OP与x轴方向的夹角为θ,P点沿圆周移动时,O、P两点的电势差满足U OP=25sinθ(V),则该匀强电场的大小和方向分别为A.5V/m,沿x轴正方向B.25V/m,沿y轴负方向C.500V/m ,沿y轴正方向D.2502V/m,沿x轴负方向11.质量为1kg的物体以某一初速度在水平地面上滑行,由于受到地面摩擦阻力作用,其动能随位移变化的图线如图8所示,g=10m/s2,则物体在水平地面上A.所受合外力大小为5NB.滑行的总时间为4sC.滑行的加速度大小为lm/s2D.滑行的加速度大小为2.5m/s212.飞机在水平地面上空的某一高度水平匀速飞行,每隔相等时间投放一个物体.如果以第一个物体a的落地点为坐标原点、飞机飞行方向为横坐标的正方向,在竖直平面内建立直角坐标系.如图9所示是第5个物体e离开飞机时,抛出的5个物体(a、b、c、d、e)在空间位置的示意图,其中可能的是非选择题(共102分)二、本题共8小题,13—14题为选做题,l5—20题为必做题.按题目要求作答.解答题应写出必要的文字说明、方程和重要演算步骤,只写出最后答案的不能得分.有数值计算的题,答案中必须明确写出数值和单位.(一) 选做题请考生从下面给出的两组选做题中选择其中的一组进行答题(不能同时选做两组,否则选做无效,不能得分),并在答题卡上将所选做题组对应的信息点涂满、涂黑.第一组:适合选修3—3(含2—2)模块的考生13.(10分)(1)布朗运动是大量液体分子对悬浮微粒撞击的引起的,是大量液体分子不停地做无规则运动所产生的结果.布朗运动的激烈程度与和有关.(2)如图l0所示,在注射器中封有一定质量的气体,缓慢推动活塞使气体的体积减小,并保持气体温度不变,则管内气体的压强(填“增大”、“减小”或“不变”),按照气体分子热运动理论从微观上解释,这是因为:第二组:适合选修3—4模块的考生14.(10分)(1)露珠在阳光下显得晶莹明亮是由于光的现象造成的;通过手指缝看日光灯,可以看到彩色条纹是由于光的现象造成的;水面上的汽油薄膜呈现彩色花纹是由于光的现象造成的.(2)如图11所示的装置,在曲轴上悬挂一个弹簧振子,若不转动手把,让其上下振动,其周期为T1,现使手把以周期T2匀速转动(T2>T1),振动稳定后,要使弹簧振子的振幅增大,可以让把手的转速(填“适当增大”、“适当减小”或“不变”),这是因为:(二)必做题15.(12分)(1)用如图12所示的游标卡尺测量圆形钢管内径的操作方法是:把(填“A”、“B”、“C”或“D”)放入到圆形钢管内,并尽量把它们拉开到最大位置.某同学用图l2所示的游标卡尺测量圆形钢管内径时的测量结果如图13所示,则该圆形钢管的内径是cm.(2)“验证机械能守恒定律”的实验可以采用如图l4所示的(甲)或(乙)方案来进行.①比较这两种方案,(填“甲”或“乙”)方案好些,理由是.②如图15是该实验中得到的一条纸带,测得每两个计数点间的距离如图中所示,已知每两个计数点之间的时间间隔T=0.1s .物体运动的加速度a = ;该纸带 是采用 (填“甲”或“乙”)实验方案得到的.简要写出判断依据 .③如图16是采用(甲)方案时得到的一条纸带,在计算图中N 点速度时,几位同学分别用 下列不同的方法进行,其中正确的是 A .gnT v N =B .Ts s v n n N 21++=C .Td d v n n N 211-+-=D .T n g v N )1(-=16.(12分)在“用电流表和电压表测电池的电动势和内电阻”的实验中,提供的器材有: A .干电池一节 B .电流表(量程0.6A) C .电压表(量程3V) D .电键S 和若干导线 E .滑动变阻器R 1(最大阻值20Ω,允许最大电流1A) F .滑动变阻器R 2(最大阻值300Ω,允许最大电流0.5A) G .滑动变阻器R 3 (最大阻值l000Ω,允许最大电流0.1A)(1) ①按如图17所示电路测量干电池的电动势和内阻,滑动变阻器应选 (填写代号).②为使测量尽可能精确,用笔画线代替导线将如图l8所示的实物图连接成实验电路(已 连接了部分线),要求变阻器的滑动触头滑至最右端时,其使用电阻值最大.(2)实验步骤:①按实验要求连接好电路.闭合电键前把变阻器的滑动触头滑至一端,使接入电路的阻值最大.②闭合电键,调节滑动变阻器,使 的指针有明显偏转,读取 和 的示数.用同样方法测量多组数据. ③断开电键,整理好器材. ⑧数据处理.(3)将实验测得的数据标在如图l9所示的坐标图中,请作出U —I 图线,由此求得待测电池的 电动势E= V ,内电阻r= Ω.(结果保留三位有效数字) 17.(18分)(1)为了安全,在高速公路上行驶的汽车之间应保持必要的距离.已知某段高速公路的最高限速v =108km /h ,假设前方车辆突然停止,后面车辆司机从发现这一情况起,经操纵刹车到汽车开始减速经历的时间(即反应时间)t=0.50s ,刹车时汽车受到阻力的大小为汽车重力的0.50倍.该段高速公路上以最高限速行驶的汽车,至少应保持的距离为多大?取g=10m /s 2.(2)如图20所示,在绝缘的光滑水平面上有A 、B 两个点电荷,A 带正电,B 带负电,电量都是q ,它们之间的距离为d .为使两电荷在电场力作用下都处于静止状态,必须在水平方向加一个匀强电场.求:两电荷都处于静止状态时,AB 连线的中点处场强大小和方向.(已知静电力常数为k )18.(17分)在水平光滑的绝缘桌面内建立如图21所示的直角坐标系,将第Ⅰ、Ⅱ象限称为区域一,第Ⅲ、Ⅳ象限称为区域二,其中一个区域内有匀强电场,另一个区域内有大小为2×10-2T 、方向垂直桌面的匀强磁场.把一个荷质比为mq=2×108C /kg 的正电荷从坐标为(0,-l)的A 点处由静止释放,电荷以一定的速度从坐标为(1,0)的C 点第一次经x 轴进入区域一,经过一段时间,从坐标原点D 再次回到区域二. (1)指出哪个区域是电场、哪个区域是磁场以及电场和磁场的方向.(2)求电场强度的大小.(3)求电荷第三次经过x 轴的位置.19.(16分)如图22所示,电阻不计的两光滑金属导轨相距L 放在水平绝缘桌面上,半径为R 的14圆弧部分处在竖直平面内,水平直导轨部分处在磁感应强度为B 、方向竖直向下的匀强磁场中,末端与桌面边缘平齐.两金属棒ab 、cd 垂直两导轨且与导轨接触良好,ab 棒质量为2m 、电阻为r ,cd 棒质量为m 、电阻为r .开始时cd 棒静止在水平直导轨上,ab 棒从圆弧导轨的顶端无初速释放,进入水平直 导轨后与cd 棒始终没有接触并一直向右运动,最后两棒都离开导轨落到地面上.两棒落地点到桌面边缘的水平距离之比为3∶1,求: (1)cd 棒在水平直导轨上的最大加速度. (2)两棒在导轨上运动的过程中产生的焦耳热.20.(17分)如图23(甲)所示,在光滑水平地面上固定B 、C 两个钉子,足够长的细线一端拴在B 钉上,另一端系一小球A ;拉直细线使A 、B 、C 在同一直线上,现给A 球一个垂直于AB 方向的水平初速度,使小球在水平地面上做圆周运动,运动过程中细线与钉子相碰时没有能量损失.从小球刚运动时开始计时,在0≤t <10s 时间内细线拉力F 大小的变化图线如图23(乙)所示.试通过分析与计算,在图23(乙)中作出在10s≤t≤20s时间内细线拉力F大小的变化图线(设细线在运动过程中没有被拉断).2009年广州市普通高中毕业班综合测试(一)物理试题参考答案及评分标准一、选择题(在每小题给出的四个选项中,有一个或一个以上选项符合题目要求,全咨鲜先对得4分,选不全得2分,有选错或不答的得0分.)二、非选择题13.(10分)(1)不平衡;微粒的质量;液体的温度.(每空2分)(评分说明:第2空填“微粒大小”的也算对;第3空只填“温度”没有“液体的”给l分)(2)增大;分子的平均动能不变,分子的密集程度增大.(每空2分)(评分说明:没有“平均动能不变”的给I分;“单位体积内分子数增多”也算对)14. (10分)(1)全反射;衍射;干涉;(每空2分)(2)适当增大;驱动力的频率(或周期)越接近物体的固有频率(或周期),受迫振动振福越大.(每空2分)(评分说明:最后一空有“条件”和“结沦”两部分组成,叙述不清给1分.答成:“T1、T2接近时,振幅增大”也算对.答成共振条件的也算对.)15.(12分)(1)B(1分);1.34(2分)(2)①甲(I分)因为这个方案摩擦阻力小,误差小,操作方便,实验器材少(2分)(评分说明:能答到关键点“摩擦阻力小”给2分,否则只给I分.)②d = 4.8tn/s2 (2分)(4.7m/s2 - 4.9m/s2都给分,单位错0分);乙(1分),因为物体运动的加速度比重力加速度小很多(1分).③BC (2分)16. (12分)(1)①E(或R1)(2分);②如图(3分,有一处错不给这3分)(2)②电流表;电流表;电压表(每对一空给1分)(3)如图(正确的给2分),E=1.50V,r=1.88Ω(每对一项给1分)(E: 1.47-1.50(V),r: 1.80- 1.88(Ω)均算对](评分说明:(3)的作图没有用直尺而是徒手画的不给这2分;如果没有作图得出E、r,即使正确也不能给分.作了图但不规范或不符合要求的,作图分不给,正确得出E、r的分照给.结果没有保留三位有效数字的不能给分.)。
广东省2009届高三数学一模试题分类汇编——概率理珠海市第四中学 邱金龙1、(2009广州一模)甲、乙两名同学参加一项射击游戏,两人约定,其中任何一人每射击一次, 击中目标得2分,未击中目标得0分.若甲、乙两名同学射击的命中率分别 为35和p ,且甲、乙两人各射击一次所得分数之和为2的概率为920,假设 甲、乙两人射击互不影响 (1)求p 的值;(2) 记甲、乙两人各射击一次所得分数之和为ξ,求ξ的分布列和数学期望.(本题主要考查概率、随机变量的分布列及其数学期望等基础知识,考查运算求解能力) 解:(1)设“甲射击一次,击中目标”为事件A ,“乙射击一次,击中目标”为事件B ,“甲射击一次,未击中目标”为事件A ,“乙射击一次,未击中目标”为事件B ,则32P(A)P(A)P(B)p P(B)1p 55====-,,,,……1分依题意得329(1p)p 5520-+=, ……3分解得3p 4=,故p 的值为34. ……5分(2)ξ的取值分别为0,2,4. ……6分211P(0)P(AB)P(A)P(B)5410ξ===⋅=⨯=, ……8分9P(2)20ξ==,339P(4)P(AB)P(A)P(B)5420ξ===⋅=⨯=, ……10分∴ξ的分布列为……12分∴E ξ=19927024.10202010⨯+⨯+⨯= ……14分 2、(2009广东三校一模)如图,B A ,两点有5条连线并联,它们在单位时间能通过的信息量依次为2,3,4,3,2.现从中任取三条线且记在单位时间内通过的信息总量为ξ.(1)写出信息总量ξ的分布列;(2)求信息总量ξ的数学期望.3 322 4 AB(1)由已知,ξ的取值为10,9,8,7 . 2分()517352212===C C C P ξ , ()10383511222212=+==C C C C C P ξ, ()52935111212===C C C C P ξ, ()10110351112===C C C P ξ 8分 ξ∴的分布列为:9分(2)()101019528103751⨯+⨯+⨯+⨯=ξE 11分 4.8542==12分 3、(2009东莞一模)某公司有10万元资金用于投资,如果投资甲项目,根据市场分析知道:一年后可能获利10﹪,可能损失10﹪,可能不赔不赚,这三种情况发生的概率分别为21,41,41;如果投资乙项目,一年后可能获利20﹪,也可能损失20﹪,这两种情况发生的概率分别为)(和1 =+βαβα. (1)如果把10万元投资甲项目,用ξ表示投资收益(收益=回收资金-投资资金),求ξ的概率分布及ξE ;(2)若把10万元投资投资乙项目的平均收益不低于投资甲项目的平均收益,求α的取值范围.解:(1)依题意,ξ的可能取值为1,0,-1 ………1分ξ的分布列为 …4分 ξE =24-=4…………6分(2)设η表示10万元投资乙项目的收益,则η的分布列为……8分依题意要求1424α-≥… 11分∴9116α≥≥………12分注:只写出916α≥扣1分 4、(2009番禺一模)某射击测试规则为:每人最多有3次射击机会,射手不放过每次机会,击中目标即终止射击,第i 次击中目标得4i -(123)i =,,分,3次均未击中目标得0分.已知某射手每次击中目标的概率为0.8,其各次射击结果互不影响. (1)求该射手恰好射击两次的概率;(2)该射手的得分记为ξ,求随机变量ξ的分布列及数学期望.解(1)设该射手第i 次击中目标的事件为(123)i A i =,,,则()0.8()0.2i i P A P A ==,,…1分 该射手恰好射击2次,则第1次没击中目标,第2次击中目标,表示的事件为12A A , ……2分 由于1A ,2A 相互独立,则 1212()()()0.20.80.16P A A P A P A ==⨯=. ……4分 即该射手恰好射击两次的概率为0.16; ……5分 (2)ξ可能取的值为0,1,2,3. ……6分 由于(0)P ξ==3121233()()()()(0.2)0.08P A A A P A P A P A === ……7分(1)P ξ==2121233()()()()(0.2)0.80.032P A A A P A P A P A ==⨯=; ……8分 (2)P ξ==1212()()()0.20.80.16P A A P A P A ==⨯=; ……9分1(3)()0.8P P A ξ=== ……10分则ξ的分布列为……11分故ξ的数学期望为00.00810.03220.1630.8 2.752E ξ=⨯+⨯+⨯+⨯=. ……12分 5、(2009茂名一模)旅游公司为3个旅游团提供4条旅游线路,每个旅游团任选其中一条. (Ⅰ)求3个旅游团选择3条不同的线路的概率; (Ⅱ)求选择甲线路旅游团数的分布列和期望.解:1)3个旅游团选择3条不同线路的概率为:P 1=834334=A ……4分(2)设选择甲线路旅游团数为ξ,则ξ=0,1,2,3………………5分P (ξ=0)=64274333= P (ξ=1)=6427433213=⋅C P (ξ=2)= 64943313=⋅C P (ξ=3)= 6414333=C …9分∴ξ的分布列为:………………10分∴期望E ξ=0×6427+1×6427+2×649+3×641=43………………12分6、(2009汕头一模)某电台“挑战主持人,’节目的挑战者闯第一关需要回答三个问题,其中前两个问题回答正确各得10分,回答不正确得0分,第三个题目,回答正确得20分,回答不正确得一10分,总得分不少于30分即可过关。
实用文档 广东省2009届高三数学一模试题分类汇编平面向量 1、(2009广州一模)已知平面内不共线的四点0,A ,B ,C 满足12OB OA OC 33=+,则|AB |:|BC |=A.1:3B.3:1C. 1:2D. 2:1 D2、(2009东莞一模)已知),(,,2121R b a AC b a AB ,b a ∈+=+=λλλλ若是不共线的向量,则A 、B 、C 三点共线的充要条件为A .121-==λλB 121==λλC .0121=-λλD .1121=+⋅λλC3、(2009番禺一模)设P 是双曲线1y x =上一点,点P 关于直线y x =的对称点为Q ,点O 为坐标原点,则OP OQ ⋅=( ).A .1B .2C .3D .0 B4、(2009茂名一模)已知向量(2,1),(1,),,a a b k a b =+=⊥若则实数k 等于( )A 、12B 、3C 、-7D 、-2实用文档图4、(2009韶关一模理)若=a ,=b ,则∠AOB 平分线上的向量OM 为A.||||b b a a + B.λ(||||b b a a +),λ由OM 确定 C.||b a b a ++ D.||||||||b a b a a b ++ B 5、(2009韶关一模文)已知()()2,1,1,3-=-=b a ,若()()b k a b a ++-∥2,则实数k 的值是A. -17B. 21-C. 1819D.35 B 6、(2009深圳一模)已知AD 是ABC ∆的中线,),(R AC AB AD ∈+=μλμλ,那么λμ+= ;若︒=∠120A ,2AB AC ⋅=-,则AD 的最小值是 .17、(2009江门一模)如图4,已知点)1 , 1(A 和单位圆上半部分上的动点B .⑴若⊥,求向量;实用文档 ⑵求||OB OA +的最大值.解:⑴依题意,)sin , (cos θθB ,πθ≤≤0(不含1个或2个端点也对)----------2分)1 , 1(=OA ,)sin , (cos θθ=OB (写出1个即可)---------3分因为⊥,所以0=⋅ ---------4分,即0sin cos =+θθ---------5分解得43πθ=---------7分,所以)22 , 22(-=OB ----------------------------------8分 ⑵)sin 1 , cos 1(θθ++=+--------9分,22)sin 1(cos 1(||θ+++=+θ)OB OA------10分 )cos (sin 23θθ++=------11分 )4sin(223πθ++=------12分 当4πθ=时,||+取得最大值,12223||max +=+=+---13实用文档分8、(2009湛江一模)已知向量)3,cos 2(2x a =→-,)2sin ,1(x b =→-,函数→-→-⋅=b a x f )(,2)(→-=b x g . (Ⅰ)求函数)(x g 的最小正周期;(Ⅱ)在∆ABC 中,c b a ,,分别是角C B A ,,的对边,且3)(=C f ,1=c ,32=ab ,且b a >,求b a ,的值.解:(Ⅰ)234cos 2124cos 112sin 1)(22+-=-+=+==→-x x x b x g ---------2分∴函数)(x g 的最小周期242ππ==T ----------4分 (Ⅱ)x x x x b a x f 2sin 3cos 2)2sin ,1()3,cos 2()(22+=⋅=⋅=→-→- 1)62sin(22sin 312cos ++=++=πx x x -------------6分 31)62sin(2)(=++=πC C f ∴1)62sin(=+πC ------------7分 C 是三角形内角∴)613,6(62πππ∈+C , ∴262ππ=+C 即:6π=C -------------8分实用文档 ∴232cos 222=-+=ab c a b C 即:722=+b a ----------------10分将32=ab 可得:71222=+a a 解之得:432或=a ∴23或=a ∴32或=b b a >∴2=a 3=b ------------12分。
2009年广州市普通高中毕业班综合测试(一)数 学(文 科) 2009.3本试卷共4页,21小题, 满分150分。
考试用时120分钟。
注意事项:1.答卷前,考生务必用2B 铅笔在“考生号”处填涂考生号,用黑色字迹钢笔或签字笔将自己的市、县/区、学校,以及自己的姓名和考生号、试室号、座位号填写在答题卡。
用2B 铅笔将试卷类型(A )填涂在答题卡相应位置上。
2.选择题每小题选出答案后,用2B 铅笔把答题卡上对应题目选项的答案信息点涂黑,如需改动,用橡皮擦干净后,再选涂其他答案,答案不能答在试卷上。
3. 非选择题必须用黑色字迹钢笔或签字笔作答,答案必须写在答题卡各题目指定区域内相应位置上;如需改动,先划掉原来的答案,然后再写上新的答案;不准使用铅笔和涂改液。
不按以上要求作答的答案无效。
4.作答选做题时,请先用2B 铅笔填涂选做题的题号对应的信息点,再作答。
漏涂、错涂、多涂的,答案无效。
5.考生必须保持答题卡的整洁。
考试结束后,将试卷和答题卡一并交回。
参考公式:锥体的体积公式Sh V 31=, 其中S 是锥体的底面积, h 是锥体的高.如果事件A 、B 互斥,那么()()()P A B P A P B +=+.一、选择题:本大题共10小题,每小题5分,满分50分.在每小题给出的四个选项中,只有一项是符合题目要求的. 1.函数()x x x f cos sin =的最小正周期为 A .2π B.π C.π2 D. π42.已知全集=U R ,集合{}02=-=x x x A ,{}11<<-=x x B ,则=B AA .{}0B .{}1C .{}1,0D .∅ 3.已知z =i (1+i )(i 为虚数单位),则复数z 在复平面上所对应的点位于 A .第一象限B .第二象限C .第三象限D .第四象限4.某商场在国庆黄金周的促销活动中,对10月2日9时至14时的销售额进行统计,其频率分布直方图如图1所示. 已知9时至10时的销售额为2.5万元,则11时至12时 的销售额为A . 6万元B . 8万元C . 10万元D . 12万元5.已知过()a A ,1-、()8,a B 两点的直线与直线012=+-y x 平行, 则a 的值为A. 10-B. 2C. 5D. 17 6.已知∈b a ,R 且b a >,则下列不等式中成立的是A .1>baB .22b a >C .()0lg >-b aD .ba⎪⎭⎫⎝⎛<⎪⎭⎫ ⎝⎛21217.阅读图2的程序框图( 框图中的赋值符号“=”也可以写成“←”或“:=”),若输出S 的值等于16,那么在程序框图中的判断框内应填写的条件是A .5>i ? B. 6>i ? C. 7>i ? D. 8>i ? 8.如果命题“p 且q ”是假命题,“非p ”是真命题,那么 A .命题p 一定是真命题B .命题q 一定是真命题C .命题q 一定是假命题D .命题q 可以是真命题也可以是假命题9.已知平面内不共线的四点C B A O ,,,满足3231+=,=A .3:1B . 1:3C . 2:1D . 1:2 10.在区间[]1,0上任意取两个实数b a ,,则函数()b ax x x f -+=321在区间[]1,1-上有且仅有一个零点的概率为 A .81 B .41C .87D .43二、填空题:本大题共5小题,考生作答4小题,每小题5分,满分20分. (一)必做题(11~13题)11. 椭圆141622=+y x 的离心率为 . 12.已知数列{}n a 的前n 项和为n S ,对任意∈n N *都有12-=n n a S ,则1a 的值为 ,数列{}n a 的通项公式=n a .13. 一个几何体的三视图及其尺寸(单位:cm )如图3所示,则该几何体的侧面积为 cm 2.(二)选做题(14~15题,考生只能从中选做一题)14.(坐标系与参数方程选做题)在极坐标系中,直线24sin =⎪⎭⎫⎝⎛+πθρ被圆4=ρ截得的弦长为__ .15.(几何证明选讲选做题)已知PA 是圆O (O 为圆心)的切线,切点为A ,PO 交圆O 于C B ,两点,︒=∠=30,3PAB AC ,则线段PB 的长为 .三、解答题:本大题共6小题,满分80分.解答须写出文字说明、证明过程和演算步骤.16. (本小题满分12分)某校高三级要从3名男生c b a 、、和2名女生e d 、中任选3名代表参加学校的演讲比赛. (1)求男生a 被选中的概率;(2)求男生a 和女生d 至少有一人被选中的概率.17. (本小题满分14分)已知△ABC 的内角C B A ,,所对的边分别为,,,c b a 且53cos ,2==B a . (1) 若4=b , 求A sin 的值;(2) 若△ABC 的面积,4=∆ABC S 求c b ,的值.18. (本小题满分14分)如图4,A A1是圆柱的母线,AB 是圆柱底面圆的直径,C 是底面圆周上异于,A B 的任意一点, 12AA AB ==.(1)求证:BC ⊥平面AC A 1;(2)求三棱锥1A ABC -的体积的最大值.19. (本小题满分14分)设点11(,)A x y 、22(,)B x y 是抛物线24x y =上不同的两点,且该抛物线在点A 、B 处的两条切线相交于点C ,并且满足0AC BC ⋅=. (1) 求证:124x x =-;(2) 判断抛物线24x y =的准线与经过A 、B 、C 三点的圆的位置关系,并说明理由.20.(本小题满分12分)某车间有50名工人,要完成150件产品的生产任务,每件产品由3个A 型零件和1个B 型零件配套组成.每个工人每小时能加工5个A 型零件或者3个B 型零件,现在把这些工人分成两组同时工作(分组后人数不再进行调整),每组加工同一种型号的零件.设加工A 型零件的工人人数为x 名(∈x N *).(1)设完成A 型零件加工所需时间为()x f 小时,写出()x f 的解析式; (2)为了在最短时间内完成全部生产任务,x 应取何值?21. (本小题满分14分)已知数列{}n a 的相邻两项1,+n n a a 是关于x 的方程022=+-n n b x x ∈n (N )*的两根,且11=a .(1) 求证: 数列⎭⎬⎫⎩⎨⎧⨯-n n a 231是等比数列; (2) 设n S 是数列{}n a 的前n 项和, 问是否存在常数λ,使得0>-n n S b λ对任意∈n N *都成立,若存在, 求出λ的取值范围; 若不存在, 请说明理由.2009年广州市普通高中毕业班综合测试(一)数学(文科)试题参考答案及评分标准说明:1.参考答案与评分标准指出了每道题要考查的主要知识和能力,并给出了一种或几种解法供参考,如果考生的解法与参考答案不同,可根据试题主要考查的知识点和能力比照评分标准给以相应的分数.2.对解答题中的计算题,当考生的解答在某一步出现错误时,如果后继部分的解答未改变该题的内容和难度,可视影响的程度决定后继部分的得分,但所给分数不得超过该部分正确解答应得分数的一半;如果后继部分的解答有较严重的错误,就不再给分.3.解答右端所注分数,表示考生正确做到这一步应得的累加分数.4.只给整数分数,选择题和填空题不给中间分.一、选择题:本大题主要考查基本知识和基本运算.共10小题,每小题5分,满分50分.二、填空题:本大题主要考查基本知识和基本运算.本大题共5小题,每小题5分,满分20分,其中14~15题是选做题,考生只能选做一题.第12题第一个空2分,第二个空3分. 11.23 12.1;12-n 13.80 14.34 15.1 三、解答题:本大题共6小题,满分80分.解答须写出文字说明、证明过程和演算步骤. 16.(本小题满分12分)(本小题主要考查古典概率等基础知识,考查运算求解能力)解:从3名男生c b a 、、和2名女生e d 、中任选3名代表的可能选法是:c b a ,,;d b a ,,;e b a ,,;d c a ,,;e c a ,,;e d a ,,;e c b ,,;d c b ,,;e d b ,,;e d c ,,共10种.(1)男生a 被选中的的情况共有6种,于是男生a 被选中的概率为53106=. (2)男生a 和女生d 至少有一人被选中的情况共有9种,故男生a 和女生d 至少有一人被选中的概率为109.16.(本小题满分14分)(本小题主要考查正弦定理、余弦定理、同角三角函数的基本关系等基础知识,考查运算求解能力)解: (1)∵053cos >=B , 且π<<B 0, ∴ 54cos 1sin 2=-=B B .由正弦定理得BbA a sin sin =, ∴524542sin sin =⨯==b B a A . (2)∵,4sin 21==∆B ac S ABC∴454221=⨯⨯⨯c .∴ 5=c .由余弦定理得B ac c a b cos 2222-+=,∴ 175352252cos 22222=⨯⨯⨯-+=-+=B ac c a b . 18.(本小题满分14分)(本小题主要考查空间中线面的位置关系、几何体体积等基础知识,考查空间想象能力、推理论证能力和运算求解能力)(1)证明:∵C 是底面圆周上异于A 、B 的一点,且AB 为底面圆的直径,∴BC AC ⊥. …… 2分∵1AA ⊥平面ABC ,BC ⊂平面ABC ,∴1BC AA ⊥. …… 4分 ∵⊂=11,AA A AC AA 平面AC A 1,⊂AC 平面AC A 1, ∴BC ⊥平面1A AC . …… 6分(2)解法1:设AC x =,在Rt △ABC 中,BC 0<x <2),故111111332A ABC ABC V S AA AC BC AA -∆=⋅=⨯⋅⋅13=(0<x <2),即113A ABCV -== ∵202,04x x <<<<,∴当22x =,即x 1A ABC -的体积的最大值为32.解法2: 在Rt △ABC 中,4222==+AB BC AC , BC AC A A A A S V ABC ABC A ⨯⨯⨯⨯=⋅=-213131111∆BC AC ⨯⨯=3123122BC AC +⨯≤2312AB ⨯=32=. 当且仅当BC AC =时等号成立,此时2==BC AC .∴三棱锥ABC A -1的体积的最大值为32. 19.(本小题满分14分)(本小题主要考查圆、抛物线、直线、导数等基础知识和数学探究,考查数形结合的数学思想方法,以及推理论证能力、运算求解能力和创新意识)(1)解:由24x y =,得214y x =,则12y x '=, ∴抛物线24x y =在点11(,)A x y ,22(,)B x y 处的切线的斜率分别为112x ,212x .∵0AC BC ⋅=,∴AC BC ⊥. ∴抛物线24x y =在点11(,)A x y ,22(,)B x y 处两切线相互垂直. ∴112x 2112x ⨯=-.∴124x x =-. (2)解法1:∵0AC BC ⋅=,∴AC BC ⊥. ∴经过,,A B C 三点的圆的圆心为线段AB 的中点D ,圆心D 1212(,)22x x y y ++. ∵抛物线24x y =的准线方程为1y =-, ∴点D 1212(,)22x x y y ++到直线1y =-的距离为=d 1212y y ++,∵经过,,A B C 三点的圆的半径r ,由于2114x y =,2224x y =,且124x x =-,则212121()116y y x x ==,∴r ==.即12122122y y y y r +++===+,∴ r d =.∴抛物线24x y =的准线与经过,,A B C 三点的圆相切. 解法2:由(1)知抛物线24x y =在点11(,)A x y 处的切线斜率为112x , 又,4121y x =∴ 切线AC 所在的直线方程为:()11212141x x x x y -=- 即2114121x x x y -=. ① 同理可得, 切线BC 所在的直线方程为:2224121x x x y -=. ②由①,②得点C 的横坐标221x x x C +=,纵坐标C y 1-=,即⎪⎭⎫ ⎝⎛-+1,221x x C . ∵0AC BC ⋅=,∴AC BC ⊥. ∴经过,,A B C 三点的圆的圆心为线段AB 的中点D ,圆心D 1212(,)22x x y y ++. ∵抛物线24x y =的准线方程为1y =-, ∴点D 到直线1y =-的距离为=d 1212y y ++, ∵经过,,A B C 三点的圆的半径1221++==y y CD r , ∴ r d =.∴抛物线24x y =的准线与经过,,A B C 三点的圆相切.20.(本小题满分12分)(本小题主要考查函数最值、不等式、导数及其应用等基础知识,考查分类与整合的数学思想方法,以及运算求解能力和应用意识)解:(1)生产150件产品,需加工A 型零件450个,则完成A 型零件加工所需时间()x f ∈==x xx (905450N *,且)491≤≤x . (2)生产150件产品,需加工B 型零件150个,则完成B 型零件加工所需时间()x g ()∈-=-=x xx (5050503150N *,且)491≤≤x .设完成全部生产任务所需时间为()x h 小时,则()x h 为()x f 与()x g 的较大者. 令()()x g x f ≥,即xx -≥505090, 解得71321≤≤x . 所以,当321≤≤x 时,()()x g x f >;当4933≤≤x 时,()()x g x f <.故()()()⎪⎩⎪⎨⎧≤≤∈-≤≤∈=4933,,5050321,,90**x N x xx N x x x h .当321≤≤x 时,()0902'<-=x x h ,故()x h 在[]32,1上单调递减, 则()x h 在[]32,1上的最小值为()1645329032==h (小时); 当4933≤≤x 时,()()050502'>-=x x h ,故()x h 在[]49,33上单调递增,则()x h 在[]49,33上的最小值为()175033505033=-=h (小时);()()3233h h > ,∴()x h 在[]49,1上的最小值为()32h .32=∴x .答:为了在最短时间内完成生产任务,x 应取32.21.(本小题满分14分)(本小题主要考查数列的通项公式、数列前n 项和、不等式等基础知识,考查化归与转化、分类与整合、特殊与一般的数学思想方法,以及推理论证能力、运算求解能力和抽象概括能力) (1)证法1: ∵1,+n n a a 是关于x 的方程022=+-n n b x x ∈n (N )*的两根,∴⎩⎨⎧==+++.,211n n n n n n a a b a a由n n n a a 21=++,得⎪⎭⎫⎝⎛⨯--=⨯-++n n n n a a 23123111, 故数列⎭⎬⎫⎩⎨⎧⨯-n n a 231是首项为31321=-a ,公比为1-的等比数列.证法2: ∵1,+n n a a 是关于x 的方程022=+-n n b x x ∈n (N )*的两根,∴⎩⎨⎧==+++.,211n n n n n n a a b a a∵nn n n nn n n n a a a a 2312312231231111⨯-⨯--=⨯-⨯-+++1231231-=⨯-⎪⎭⎫ ⎝⎛⨯--=n n n n a a , 故数列⎭⎬⎫⎩⎨⎧⨯-n n a 231是首项为31321=-a ,公比为1-的等比数列.(2)解: 由(1)得()1131231--⨯=⨯-n n n a , 即()[]nn n a 1231--=. ∴()[]()[]111121291+++--⨯--==n n n n n n n a a b ()[]1229112---=+nn . ∴n n a a a a S ++++= 321 ()()()()[]{}nn 111222231232-++-+--++++=()⎥⎦⎤⎢⎣⎡----=+21122311n n .要使0>-n n S b λ对任意∈n N *都成立,即()[]1229112---+n n ()02112231>⎥⎦⎤⎢⎣⎡-----+nn λ(*)对任意∈n N *都成立.① 当n 为正奇数时, 由(*)式得[]1229112-++n n ()01231>--+n λ, 即()()1212911+-+n n ()01231>--+n λ, ∵0121>-+n ,∴()1231+<n λ对任意正奇数n 都成立. 当且仅当1=n 时, ()1231+n 有最小值1. ∴1<λ.② 当n 为正偶数时, 由(*)式得[]1229112--+n n ()02231>--+n λ, 即()()1212911-++n n ()01232>--n λ, ∵012>-n , ∴()12611+<+n λ对任意正偶数n 都成立. 当且仅当2=n 时, ()12611++n 有最小值23. ∴<λ23. 综上所述, 存在常数λ,使得0>-n n S b λ对任意∈n N *都成立, λ的取值范围是()1,∞-.。
2009届广东省六校高三年级第一次联考生物试卷第I卷选择题洪64分)一、单项选择题(本大题共20小题,每小题2分,共40分,在每小题中只有一项为最适答案)1•下列关于病毒叙述,正确的是A .烟草花叶病毒可以不依赖宿主细胞而增殖B •流感病毒的核酸位于衣壳外面的囊膜上C .肠道病毒可在经高温灭菌的培养基上生长增殖D •人类免疫缺陷病毒感染可导致获得性免疫缺陷综合症2•从细胞膜上提取了某种成分,用非酶法处理后,加入双缩脲试剂处理后出现紫色,若加入斐林或班氏试剂并加热,出现砖红色,该成分是A .糖脂 B.磷脂 C.糖蛋白 D .脂蛋白3•现有氨基酸800个,其中氨基总数为810个,羧基总数为808个,则由这些氨基酸合成的含有2条肽链的蛋白质共有肽键、氨基和羧基的数目依次分别为A . 798、2 和2B . 798、12 和10 内外C. 799、1 和14.已知分泌蛋白的新生肽链上有一段可以引导其进入内质网的特殊系列(图中功能缺失,则该蛋白5•下列关于叶绿体和光合作用的描述中,正确的是A .叶片反射绿光故呈绿色,因此日光中绿光透过叶绿体的比例最小B •叶绿体的类囊体膜上含有自身光合作用所需的各种色素C .光照下叶绿体中的ATP主要是由光合作用合成的糖经有氧呼吸产生的D •光合作用强烈时,暗反应过程直接将3个CO2分子合成一个三碳化合物D . 799、11 和9P肽段),若p肽段A.无法继续合成C •可以被加工成熟B .可以进入高尔基体D.无法被分秘到细胞外6.为证实叶绿体有放氧功能,可利用含有水绵与好氧细菌的临时装片进行实验,装片需要给予定的条件,这些条件是A .光照、有空气、临时装片中无B .光照、无空气、临时装片中有C .黑暗、有空气、临时装片中无D .黑暗、无空气、临时装片中有7•下列细胞中,可能已发生癌变的是A .细胞膜上糖蛋白减少的细胞C •自由水含量减少的细胞8•下列对有关实验的描述中,错误的是A •分离叶绿体中的色素时,不同色素随层析液在滤纸上的扩散速度不同B .用低倍镜观察不到紫色洋葱鳞片叶外表皮细胞的质壁分离和复原过程C .观察叶片细胞的叶绿体时,先在低倍镜下找到叶片细胞再换高倍镜观察D .甲基绿染色可使人口腔上皮细胞的细胞核呈绿色9.下图为处于不同分裂时期的某生物的细胞示意图,下列叙述正确的是甲乙丙10 •下列大肠杆菌某基因的碱基序列的变化,对其所控制合成的多肽的氨基酸序列影响最大的是(不考虑终止密码子)—ATG Gdt CTG CTG A ............... G AG TTC TAA—14 7 10 13 wo iQj 106A .第6位的C被替换为TB .第9位与第10位之间插入1个TC .第100、101、102位被替换为TTTD .第103至105位被替换为1个T11. 普通小麦中有高杆抗病和矮杆易感病两个品种,控制两对相对性状的基因分别位于两对同源染色体上。
2009届广东省五校高三第一次联考历史试题本卷满分150分。
考试用时l20分钟。
注意事项:1.答卷前,考生务必用黑色字迹的钢笔或签字笔将自己的姓名和考生号、试室号、座位号填写在答题卡上。
用2B铅笔将试卷类型(A)填涂在答题卡相应位置上。
2.选择题每小题选出答案后,用2B铅笔把答题卡上对应题目选项的答案信息点涂黑,如需改动,用橡皮擦干净后,再选涂其他答案,答案不能答在试卷上。
3.非选择题必须用黑色字迹钢笔或签字笔作答,答案必须写在答题卡各题目指定区域内相应位置上;如需改动,先划掉原来的答案,然后再写上新的答案;不准使用铅笔和涂改液。
不按以上要求作答的答案无效。
4.作答选做题时,请先用2B铅笔填涂选做题的题号对应的信息点,再作答。
漏涂、错涂、多涂的,答案无效。
5.考生必须保持答题卡的整洁。
考试结束后,将试卷和答题卡一并交回。
第一部分选择题(共75分)一、选择题:本大题共25小题,每小题3分,共计75分。
在每小题列出的四个选项中,只有一项是符合题目要求的。
1.某一本历史著作有这样的叙述:“在万历的祖父嘉靖皇帝以前,大学士为三至六人,皇帝可能对其中的一人咨询较为频繁,但从名义上说,他和另外的几位大学士仍处于平等的地位。
这以后的情况发生了变化,张居正名为首辅或称元辅,其它大学士的任命则出于他的推荐,……”文中所指的制度是()A.汉代内外朝B.唐代三省制C.明代内阁制D.清代设军机处2.右图所示的是()C.元朝的疆域D.明朝的疆域3.我们古代,私商取代官商成为商人的主体,这件事发生在()A .春秋战国时期B.秦汉时期C.唐宋时期D.明朝中后期4.下面是朱熹为湖南岳麓书院的题字,这些题字反映了()①儒家思想是人身修养的重要内容②书院注重对学子个人品德的养成③儒家传统道德是维护封建统治的重要工具④理学的伪善和欺骗性A. ①②③B.②③④C.①③④D.①②③④5.书法是体现中华民族文化特色的一种艺术形式。
下列各项中,既有审美价值又有实用价值,并且是雅俗共赏的字体是()A.B.C.D.6.1940年12月30日,中国共产党创建的第一个广播电台——延安新华广播电台第一次正式播音。
试卷类型:A 2009年广州市普通高中毕业班综合测试(一)生物2009 . 3第一部分选择题(共64分)一、单项选择题:本题包括20小题,每小题2分,共40分。
每小题给出的四个选项中,只有一个选项最符合题目要求。
多选、错选均不得分。
1.下列有关酶的叙述正确的是A.组成酶的基本单位都是氨基酸B.低温、高温、过酸、过碱都会使酶永久失活C.物质的跨膜运输、CO2的固定都需要酶的参与D.酶催化效率高是因为其降低活化能的作用显著2.关于右侧概念图的分析正确的是A.①和②所示的过程都需要消耗细胞内ATP水解释放的能量B.只有①所示的过程能逆浓度梯度运输物质C.大分子只有通过①所示的过程才能进入细胞D.腌制蜜饯时蔗糖进入细胞与过程①和②有直接关系3.科学家将人体皮肤细胞改造成了多能干细胞——“iPS细胞”,人类“iPS细胞”可以形成神经元等人体多种组织细胞。
以下有关说法正确的是A.iPS 细胞分化为神经细胞的过程体现了细胞的全能性B.iPS 细胞有细胞周期,它分化形成的神经细胞一般不具细胞周期C.iPS 细胞可分化形成多种组织细胞,说明“iPS 细胞”在分裂时很容易发生突变D.iPS 细胞可分化成人体多种组织细胞,是因为它具有不同于其他细胞的特定基因4.下列有关科学家的经典研究中,采取了同位素示踪法的是①恩格尔曼发现光合作用的部位②梅耶指出植物通过光合作用把光能转换为化学能③鲁宾和卡门证明光合作用释放的O2来自水④卡尔文探明了O2中的碳在光合作用中的转移途径A.①③B.②④C.①②D.③④5.关于细胞呼吸的叙述,正确的是A.水稻根部主要进行无氧呼吸,所以能长期适应缺氧环境B.荔枝在无O2、保持干燥、零下低温和无乙烯环境中,可延长保鲜时间C.快速登山时人体主要是从分解有机物产生乳酸的过程中获得能量D.玉米经酵母菌发酵可产生酒精,是通过酵母菌的无氧呼吸实现6.下图是同一细胞分裂不同时期的图像,据图分析可作出的判断是A.图①②③④表示一个完整的细胞周期B.若按分裂的先后顺序排列,应为①→④→③→②C.该种生物的叶肉细胞中共含有6个DNA分子D.图③过程发生了基因重组7.在同一区域中生长着两种杜鹃花,在人工条件下,它们之间都可以杂交成功。
2009年广州市普通高中毕业班综合测试(一)数 学(理 科)一、选择题:本大题共8小题,每小题5分,满分40分.在每小题给出的四个选项中,只有一项是符合题目要求的. 1.函数()x x f 2sin =的最小正周期为A .π B.π2C. π3D.π42.已知z =i (1+i )(i 为虚数单位),则复数z 在复平面上所对应的点位于 A .第一象限 B .第二象限C .第三象限D .第四象限3.某商场在国庆黄金周的促销活动中,对10月2号9时至14时 的销售额进行统计,其频率分布直方图如图1所示.已知9时 至10时的销售额为2.5万元,则11时至12时的销售额为 A . 6万元 B . 8万元C . 10万元D .12万元4.已知过()a A ,1-、()8,a B 两点的直线与直线012=+-y x 平行,则a 的值为A. 10-B. 17C. 5D. 25.阅读图2的程序框图(框图中的赋值符号“=”也可以写成“←”或“:=”),若输出的S 的值等于16,那么在程序框图中的判断框内应填写的条件是A .5>i ? B. 6>i ?C. 7>i ?D. 8>i ? 6.已知p :关于x 的不等式022>-+a ax x 的解集是R ,q :01<<-a ,则p 是q 的A .充分非必要条件B .必要非充分条件C .充分必要条件D .既非充分又非必要条件7.在()n n n x a x a x a x a a x +⋅⋅⋅++++=-3322101中,若0252=+-n a a ,则自然数n 的值是A .7B .8C .9D .10 8.在区间[]1,0上任意取两个实数b a ,,则函数()b ax x x f -+=321在区间[]1,1-上有且仅一个零点的概率为 A .81 B .41C .43D .87二、填空题:本大题共7小题,考生作答6小题,每小题5分,满分30分.(一)必做题(9~12题)9. 若()22log 2=+a ,则=a 3 .10.若⎰ax 0d x =1, 则实数a 的值是 .11.一个几何体的三视图及其尺寸(单位:cm )如图3所示, 则该几何体的侧面积为 cm 2. 12.已知数列{}n a 的前n 项和为n S ,对任意∈n N *都有3132-=n n a S ,且91<<kS (∈k N *),则1a 的值为 ,k 的值为 .(二)选做题(13~15题,考生只能从中选做两题) 13.(坐标系与参数方程选做题)在极坐标系中,直线24sin =⎪⎭⎫⎝⎛+πθρ被圆4=ρ截得的弦长为__ .14.(几何证明选讲选做题)已知PA 是圆O (O 为圆心)的切线,切点为A ,PO 交圆O 于C B , 两点,︒=∠=30,3PAB AC ,则线段PB 的长为 .15.(不等式选讲选做题)已知∈c b a ,,R ,且432,2222=++=++c b ac b a ,则实数a 的取值范围为_____________.三、解答题:本大题共6小题,满分80分.解答须写出文字说明、证明过程和演算步骤. 16.(本小题满分12分)已知△ABC 的内角C B A ,,所对的边分别为,,,c b a 且53cos ,2==B a . (1)若4=b , 求A sin 的值; (2) 若△ABC 的面积,4=∆ABC S 求c b ,的值.17.(本小题满分14分)甲、乙两名同学参加一项射击游戏,两人约定,其中任何一人每射击一次,击中目标得2分,未击中目标得0分. 若甲、乙两名同学射击的命中率分别为53和p , 且甲、乙两人各射击一次所得分数之和为2的概率为209.假设甲、乙两人射击互不影响. (1)求p 的值;(2)记甲、乙两人各射击一次所得分数之和为ξ,求ξ的分布列和数学期望.18. (本小题满分14分)如图4, 在三棱锥ABC P -中,⊥PA 平面ABC ,AC AB ⊥,F E D ,,分别是棱PC PB PA ,,的中点,连接EF DF DE ,,.(1) 求证: 平面//DEF 平面ABC ;(2) 若2==BC PA , 当三棱锥ABC P -的体积最大时, 求二面角D EF A --的平面角的余弦值.图419.(本小题满分12分)某车间有50名工人,要完成150件产品的生产任务,每件产品由3个A 型零件和1个B 型零件配套组成.每个工人每小时能加工5个A 型零件或者3个B 型零件,现在把这些工人分成两组同时工作(分组后人数不再进行调整),每组加工同一种型号的零件.设加工A 型零件的工人人数为x 名(∈x N *). (1)设完成A 型零件加工所需时间为()x f 小时,写出()x f 的解析式;(2)为了在最短时间内完成全部生产任务,x 应取何值?20.(本小题满分14分) 已知动圆C 过点()0,2-A ,且与圆()642:22=+-y x M 相内切.(1)求动圆C 的圆心的轨迹方程;(2)设直线:l y kx m =+(其中,)k m Z ∈与(1)中所求轨迹交于不同两点B ,D ,与双曲线112422=-y x 交于不同两点,E F ,问是否存在直线l ,使得向量DF BE +=0,若存在,指出这样的直线有多少条?若不存在,请说明理由.21. (本小题满分14分) 已知数列{}n a 的相邻两项1,+n n a a 是关于x 的方程022=+-n n b x x ∈n (N )*的两根,且 11=a .(1) 求数列{}n a 和{}n b 的通项公式;(2) 设n S 是数列{}n a 的前n 项和, 问是否存在常数λ,使得0>-n n S b λ对任意∈n N *都成立,若存在,求出λ的取值范围; 若不存在, 请说明理由.2009年广州市普通高中毕业班综合测试(一)数学(理科)试题参考答案及评分标准一、选择题:本大题主要考查基本知识和基本运算.共8小题,每小题5分,满分40分.题号 1 2 3 4 5 6 7 8 答案 A B C D A C B D二、填空题:本大题主要考查基本知识和基本运算.本大题共7小题,每小题5分,满分30分.其中13~15是选做题,考生只能选做两题. 第12题第一个空2分,第二个空3分.9.9 10.2 11.80 12.-1;4 13.3414.1 15.⎥⎦⎤⎢⎣⎡2,112三、解答题:本大题共6小题,满分80分.解答须写出文字说明、证明过程和演算步骤.16.(本小题满分12分)(本小题主要考查正弦定理、余弦定理、同角三角函数的基本关系等基础知识,考查运算求解能力)解: (1)∵053cos >=B , 且π<<B 0, ∴ 54cos 1sin 2=-=B B .由正弦定理得Bb A a sin sin =. ∴524542sin sin =⨯==b B a A . (2)∵,4sin 21==∆B ac S ABC∴454221=⨯⨯⨯c .∴ 5=c .由余弦定理得B ac c a bcos 2222-+=,∴175352252cos 22222=⨯⨯⨯-+=-+=B ac c a b .17.(本小题满分14分)(本小题主要考查概率、随机变量的分布列及其数学期望等基础知识,考查运算求解能力) 解:(1)记“甲射击一次,击中目标”为事件A ,“乙射击一次,击中目标”为事件B ,“甲射击一次,未击中目标”为事件A ,“乙射击一次,未击中目标”为事件B , 则()()52,53==A P A P,()()p B P p B P -==1,.依题意得()209531153=⎪⎭⎫ ⎝⎛-+-p p ,FEDCBAP 解得43=p .故p 的值为43.(2)ξ的取值分别为,4,2,0.()()()()10141520=⨯=⋅===B P A P B A P P ξ,()2092==ξP ,()()()()20943534=⨯=⋅===B P A P AB P P ξ,ξ∴的分布列为ξ0 2 4p101 209 209∴E .1027209420921010=⨯+⨯+⨯=ξ18.(本小题满分14分)(本小题主要考查空间中线面的位置关系、空间的角、几何体体积等基础知识,考查空间想象能力、推理论证能力和运算求解能力) (1) 证明: ∵E D ,分别是棱PB PA ,的中点,∴DE 是△PAB 的中位线.∴AB DE //. ∵⊄DE 平面⊂AB ABC ,平面,ABC∴//DE 平面ABC . 同理可证 //DF 平面ABC .∵⊂=DE D DF DE , 平面DEF ,⊂DF 平面DEF ,∴平面DEF // 平面ABC .(2) 求三棱锥ABC P -的体积的最大值, 给出如下两种解法: 解法1: 由已知⊥PA 平面ABC , AB AC ⊥,2==BC PA ∴4222==+BC AC AB.∴三棱锥ABC P -的体积为ABC S PA V∆⨯⨯=31AC AB PA ⨯⨯⨯⨯=2131 AC AB ⨯⨯⨯=261G FEDCBA P 23122AC AB +⨯≤2312BC ⨯=32=. 当且仅当AC AB =时等号成立,V 取得最大值,其值为32, 此时AC AB =2=.解法2:设x AB =,在R t △ABC 中,2224x AB BC AC -=-=()20<<x .∴三棱锥ABC P -的体积为ABC S PA V ∆⨯⨯=31AC AB PA ⨯⨯⨯⨯=2131 2431x x -= 42431x x -= ()423122+--=x . ∵40,202<<<<x x ,∴ 当22=x,即2=x 时,V 取得最大值,其值为32,此时2==AC AB .求二面角D EF A --的平面角的余弦值, 给出如下两种解法: 解法1:作EF DG ⊥,垂足为G , 连接AG . ∵ ⊥PA 平面ABC ,平面//ABC 平面DEF , ∴ ⊥PA 平面DEF .∵ ⊂EF 平面DEF ,∴ ⊥PA EF .∵ D PA DG = , ∴ ⊥EF 平面PAG . ∵⊂AG 平面PAG , ∴⊥EF AG .∴ AGD ∠是二面角D EF A --的平面角.在R t △EDF 中,121,2221=====BC EF AB DF DE , ∴21=DG .在R t △ADG 中,2541122=+=+=DG AD AG , 552521cos ===∠AG DG AGD .∴二面角D EF A --的平面角的余弦值为55. 解法2:分别以AP AC AB ,,所在直线为x 轴, y 轴, z 轴,建立如图的空间直角坐标系xyz A -,则()()⎪⎪⎭⎫ ⎝⎛⎪⎪⎭⎫ ⎝⎛1,22,0,1,0,22,1,0,0,0,0,0F E D A . ∴⎪⎪⎭⎫⎝⎛-=⎪⎪⎭⎫ ⎝⎛=0,22,22,1,0,22EF AE . 设n ()z y x ,,=为平面AEF 的法向量,∴⎪⎩⎪⎨⎧=⋅=⋅.0,0EF n n 即⎪⎪⎩⎪⎪⎨⎧=+-=+.02222,022y x z x令2=x , 则1,2-==z y .∴n ()1,2,2-=为平面AEF 的一个法向量.∵平面DEF 的一个法向量为()100-=,,DA ,∴()()()5511221222=⨯-++==DA n cos. ∴二面角D EF A --的平面角的余弦值为55. 19.(本小题满分12分)(本小题主要考查函数最值、不等式、导数及其应用等基础知识,考查分类与整合的数学思想方法,以及运算求解能力和应用意识)解:(1)生产150件产品,需加工A 型零件450个,则完成A 型零件加工所需时间()x f ∈==x xx (905450N *,且)491≤≤x . (2)生产150件产品,需加工B 型零件150个,则完成B 型零件加工所需时间()x g()∈-=-=x xx (5050503150N *,且)491≤≤x .设完成全部生产任务所需时间为()x h 小时,则()x h 为()x f 与()x g 的较大者.令()()x g x f ≥,即xx -≥505090, 解得71321≤≤x .所以,当321≤≤x 时,()()x g x f >;当4933≤≤x 时,()()x g x f <.故()()()⎪⎩⎪⎨⎧≤≤∈-≤≤∈=4933,,5050321,,90**x N x xx N x x x h .当321≤≤x 时,()0902'<-=xx h ,故()x h 在[]32,1上单调递减,则()x h在[]32,1上的最小值为()1645329032==h (小时);当4933≤≤x 时,()()050502'>-=x x h ,故()x h 在[]49,33上单调递增, 则()x h在[]49,33上的最小值为()175033505033=-=h (小时);()()3233h h > ,∴()x h 在[]49,1上的最小值为()32h .32=∴x .答:为了在最短时间内完成生产任务,x 应取32.20.(本小题满分14分)(本小题主要考查圆、椭圆、直线等基础知识和数学探究,考查数形结合、分类与整合的数学思想方法,以及推理论证能力、运算求解能力和创新意识) 解:(1)圆()642:22=+-y x M, 圆心M 的坐标为()0,2,半径8=R .∵R AM <=4,∴点()0,2-A 在圆M 内. 设动圆C 的半径为r ,圆心为C ,依题意得CA r =,且r R CM -=,即AM CA CM>=+8.∴圆心C 的轨迹是中心在原点,以M A ,两点为焦点,长轴长为8的椭圆,设其方程为()012222>>=+b a b y a x , 则2,4==c a . ∴12222=-=c a b .∴所求动圆C 的圆心的轨迹方程为1121622=+y x .(2)由⎪⎩⎪⎨⎧=++=.11216,22y x m kx y 消去y 化简整理得:()0484843222=-+++m kmx x k . 设11(,)B x y ,22(,)D x y ,则122834kmx x k+=-+.△1()()()04844348222>-+-=m k km . ① 由⎪⎩⎪⎨⎧=-+=.1124,22y x m kx y 消去y 化简整理得:()01223222=----m kmx x k .设()()4433,,,y x F y x E ,则24332kkmx x -=+,△2()()()012342222>+-+-=m k km . ② ∵DF BE +=0,∴4231()()0x x x x -+-=,即1234x x x x +=+,∴2232438kkmk km -=+-. ∴02=km 或2231434k k -=+-.解得0k =或0m =. 当0k =时,由①、②得 3232<<-m , ∵∈m Z ,∴m 的值为2,3-- 1-,0,13,2,;当0m =,由①、②得 33<<-k , ∵∈k Z ,∴1,0,1-=k .∴满足条件的直线共有9条. 21.(本小题满分14分)(本小题主要考查数列的通项公式、数列前n 项和、不等式等基础知识,考查化归与转化、分类与整合、特殊与一般的数学思想方法,以及推理论证能力、运算求解能力和抽象概括能力) 解: (1) ∵1,+n n a a 是关于x 的方程022=+-n n b x x∈n (N )*的两根,∴⎩⎨⎧==+++.,211n n n n n n a a b a a求数列{}n a 的通项公式, 给出如下四种解法:解法1: 由n n n a a 21=++,得⎪⎭⎫ ⎝⎛⨯--=⨯-++n n n n a a 23123111, 故数列⎭⎬⎫⎩⎨⎧⨯-n na 231是首项为31321=-a ,公比为1-的等比数列. ∴()1131231--⨯=⨯-n n n a , 即()[]n n n a 1231--=. 解法2: 由n n n a a 21=++,两边同除以()11+-n , 得()()()n n n n n a a 21111--=---++, 令()n n na c 1-=, 则()n n n c c 21--=-+. 故()()()123121--++-+-+=n n n c c c c c c c c()()()()13222221-----------=n()()[]()2121211----⋅---=-n ()[]1231--=n ()2≥n . 且1111-=-=a c 也适合上式, ∴()n n a 1-()[]1231--=n , 即()[]n n n a 1231--=. 解法3: 由n n n a a 21=++,得1212+++=+n n n a a ,两式相减得n n n n n a a 22212=-=-++. 当n 为正奇数时,()()()235131--++-+-+=n n n a a a a a a a a25322221-+++++=n 41412121-⎪⎪⎭⎫ ⎝⎛-+=-n 312+=n ()3≥n . 且11=a 也适合上式.当n 为正偶数时,()()()246242--++-+-+=n n n a a a a a a a a264222221-+++++=n 41414122-⎪⎪⎭⎫ ⎝⎛-+=-n 312-=n ()4≥n . 且12112=-=a a 也适合上式.∴ 当∈n N *时,n a ()[]n n 1231--=. 解法4:由n n n a a 21=++,11=a ,得122-=a ()()()1231212122-=---+-=, ()()()123121211222332223+=----=+-=-=a a . 猜想n a ()[]n n 1231--=. 下面用数学归纳法证明猜想正确.① 当1=n 时,易知猜想成立;② 假设当kn =∈k (N *)时,猜想成立,即()[]k k k a 1231--=, 由k k k a a 21=++,得()[]()[]1111231123122+++--=---=-=k k k k k k k k a a , 故当1+=k n 时,猜想也成立.由①、②得,对任意∈n N *,n a ()[]n n 1231--=. ∴()[]()[]111121291+++--⨯--==n n n n n n n a a b ()[]1229112---=+n n . (2)n n a a a a S ++++= 321 ()()()()[]{}n n 111222231232-++-+--++++= ()⎥⎦⎤⎢⎣⎡----=+21122311n n . 要使0>-n nS b λ对任意∈n N *都成立,即()[]1229112---+n n ()02112231>⎥⎦⎤⎢⎣⎡-----+n n λ(*)对任意∈n N *都成立. ① 当n 为正奇数时, 由(*)式得[]1229112-++n n ()01231>--+n λ, 即()()1212911+-+n n ()01231>--+n λ, ∵0121>-+n , ∴()1231+<n λ对任意正奇数n 都成立. 当且仅当1=n 时, ()1231+n 有最小值1. ∴1<λ.② 当n 为正偶数时, 由(*)式得[]1229112--+n n ()02231>--+n λ, 即()()1212911-++n n ()01232>--n λ, ∵012>-n , ∴()12611+<+n λ对任意正偶数n 都成立. 当且仅当2=n 时, ()12611++n 有最小值23. ∴<λ23. 综上所述, 存在常数λ,使得0>-n nS b λ对任意∈n N *都成立, λ的取值范围是()1,∞-.。
2009届天河区普通高中毕业班综合测试(一)文 科 数 学本试卷共4页,21小题,满分150分.考试用时120分钟. 注意事项:1. 答卷前,考生务必用黑色字迹的钢笔或签字笔将自已的姓名和考生号、试室号、座位号填写在答题卡上.用2B 铅笔将试卷类型(A )填涂在答题卡相应位置上.选择题每小题选出答案后,用2B 铅笔把答题卡上对应题目选项的答案信息点涂黑,如需改动,用橡皮擦干净后,再选涂其他答案,答案不能答在试卷上.2. 非选择题必须用黑色字迹钢笔或签字笔作答,答案必须写在答题卡各题目指定区域内相应位置上;如需改动,先划掉原来的答案,然后再写上新的答案;不准使用铅笔和涂改液.不按以上要求作答的答案无效.3. 作答选做题时,请先用2B 铅笔填涂选做题的题号(或题组号)对应的信息点,再作答.漏涂、错涂、多涂的,答案无效.4. 考生必须保持答题卡的整洁.考试结束后,将试卷和答题卡一并交回. 参考公式:锥体的体积公式13V Sh =,其中S 是锥体的底面积,h 是锥体的高.如果事件A B ,互斥,那么()()()P A B P A P B +=+.一、选择题:本大题共10小题,每小题5分,满分50分.在每小题给出的四个选项中,只有一项是符合题目要求的.1.已知全集U =R ,集合{}22A x x =-<<,{}220B x x x =-≤,则AB =A .()0,2B .(]0,2C .[)0,2D .[]0,2 2.复数13z i =+,21z i =-,则复数12z z 在复平面内对应的点位于 A .第一象限B .第二象限C .第三象限D .第四象限3.下列函数中,在区间02π⎛⎫⎪⎝⎭,上为增函数且以π为周期的函数是A .sin2xy = B . sin y x = C . tan y x =- D . cos 2y x =- 4.直线20ax y a -+=与圆229x y +=的位置关系是A .相离B .相交C .相切D .不确定5.如图是2008年元旦晚会举办的挑战主持人大赛上,七位评委为某选手打出的分数的茎叶统计图,去掉一个最高分和一个最低分后,所剩数据的平均数和方差分别为A .84,4.84B .84,1.6C .85,1.6D .85,479844647936.偶函数)(x f 在区间[0,a ](a >0)上是单调函数,且(0)()0f f a ⋅<,则方程0)(=x f 在区间[-a ,a ]内根的个数是A. 3B. 2C. 1D. 07. 如图某河段的两岸可视为平行,在河段的一岸边选取两点A 、B ,观察对岸的点C,测得75CAB ∠=,45CBA ∠=,且200AB =米.则A 、C 两点的距离为米B.D.8.如图,水平放置的三棱柱的侧棱长和底边长均为2,且侧棱1111AA A B C ⊥面,正视图是边长为2的正方形,俯视图为一个等边三角形,该三棱柱的左视图面积为A. 4B. 32C. 22D. 39.设曲线11x y x +=-在点(32),处的切线与直线10ax y ++=垂直,则a = A .2B .12C .12-D .2- 10.如图,圆周上按顺时针方向标有1,2,3,4,5五个点。
广州市2009届高三六校第一次联考语文科试卷命题人:东莞中学叶健刚本试卷满分为150分,考试时间150分钟。
注意事项:1、答卷前,考生务必用黑色字迹的钢笔或签字笔将自己的姓名和考生号填写在答题卷上。
2、选择题每小题选出答案后,用2B铅笔把答题卷对应题目的答案标号涂黑,如需改动,用橡皮擦干净后,再选涂其它答案,不能答在试卷上。
3、非选择题必须用黑色字迹钢笔或签字笔作答,答案必须写在答题卷各题目指定区域内的相应位置上;如需改动,先划掉原来的答案,然后再写上新的答案;不准使用铅笔和涂改液。
不按以上要求作答的答案无效。
4、考生必须保持答题卷的整洁,考试结束后,将答题卷交回。
一、本大题4小题,每小题3分,共12分。
1.下列词语中加点的字,读音全都正确的一组是()A.哺.(pǔ)育游弋.(yì)模.(mú)样面面相觑.(qù)B.恫吓.(hè)感喟.(kuì)勾.(gòu)当良莠.(yǒu)不齐C.针砭.(biān)蕴藉.(jiè)蹊.(qī)跷退避三舍.(shě)D.炽.(z hì)热痉挛.(luán)桎梏.(gù)咫.(zhǐ)尺天涯2.下列加点词语使用正确的一项是()A.在汉代文学中,借屈原之名表达自己情感的作家为数不少,提及屈原这位令人充满同情的诗人,往往使作家在身处坎坷之时顿将失意、挫折、忧愁幽思都涣然冰释....了。
B.我的家乡,是朔风劲吹,红日高悬的地方,是城头旌旗猎猎,大道甚嚣尘上....的地方;是慷慨悲歌,壮士远行,哥哥走西口,好汉上梁山的地方。
C.张家界的神仙池满布箭竹,景观兼有九寨沟和黄龙寺的特点,其中的金银滩更是奇特有趣。
全滩一半呈金黄色,一半呈乳白色,平分秋色....,互不相干。
D.为庆祝戏曲网的创办,我给网友展示一下我多年来对戏曲音像的一些收藏。
或许这些东西在很多人看来是一堆充满粉尘气息的过时之物,但我却认为烂船也有三斤铁.......,它们是我心中的财富。
2009年广州市普通高中毕业班综合测试(一)数学(文科)试题参考答案及评分标准说明:1.参考答案与评分标准指出了每道题要考查的主要知识和能力,并给出了一种或几种解法供参考,如果考生的解法与参考答案不同,可根据试题主要考查的知识点和能力比照评分标准给以相应的分数.2.对解答题中的计算题,当考生的解答在某一步出现错误时,如果后继部分的解答未改变该题的内容和难度,可视影响的程度决定后继部分的得分,但所给分数不得超过该部分正确解答应得分数的一半;如果后继部分的解答有较严重的错误,就不再给分.3.解答右端所注分数,表示考生正确做到这一步应得的累加分数.4.只给整数分数,选择题和填空题不给中间分.一、选择题:本大题主要考查基本知识和基本运算.共10小题,每小题5分,满分50分.二、填空题:本大题主要考查基本知识和基本运算.本大题共5小题,每小题5分,满分20分,其中14~15题是选做题,考生只能选做一题.第12题第一个空2分,第二个空3分. 11.23 12.1;12-n 13.80 14.34 15.1 三、解答题:本大题共6小题,满分80分.解答须写出文字说明、证明过程和演算步骤. 16.(本小题满分12分)(本小题主要考查古典概率等基础知识,考查运算求解能力)解:从3名男生c b a 、、和2名女生e d 、中任选3名代表的可能选法是:c b a ,,;d b a ,,;e b a ,,;d c a ,,;e c a ,,;e d a ,,;e c b ,,;d c b ,,;e d b ,,;e d c ,,共10种.(1)男生a 被选中的的情况共有6种,于是男生a 被选中的概率为53106=. (2)男生a 和女生d 至少有一人被选中的情况共有9种,故男生a 和女生d 至少有一人被选中的概率为109.16.(本小题满分14分)(本小题主要考查正弦定理、余弦定理、同角三角函数的基本关系等基础知识,考查运算求解能力)解: (1)∵053cos >=B , 且π<<B 0, ∴ 54cos 1sin 2=-=B B . 由正弦定理得B b A a sin sin =, ∴524542sin sin =⨯==b B a A . (2)∵,4sin 21==∆B ac S ABC ∴454221=⨯⨯⨯c . ∴ 5=c .由余弦定理得B ac c a b cos 2222-+=,∴ 175352252cos 22222=⨯⨯⨯-+=-+=B ac c a b . 18.(本小题满分14分)(本小题主要考查空间中线面的位置关系、几何体体积等基础知识,考查空间想象能力、推理论证能力和运算求解能力)(1)证明:∵C 是底面圆周上异于A 、B 的一点,且AB 为底面圆的直径,∴BC AC ⊥. …… 2分∵1AA ⊥平面ABC ,BC ⊂平面ABC ,∴1BC AA ⊥. …… 4分 ∵⊂=11,AA A AC AA 平面AC A 1,⊂AC 平面AC A 1, ∴BC ⊥平面1A AC . …… 6分(2)解法1:设AC x =,在Rt △ABC 中,BC 0<x <2),故111111332A ABC ABC V S AA AC BC AA -∆=⋅=⨯⋅⋅13=0<x <2),即113A ABCV -= ∵202,04x x <<<<,∴当22x =,即x =1A ABC -的体积的最大值为32. 解法2: 在Rt △ABC 中,4222==+AB BC AC ,BC AC A A A A S V ABC ABC A ⨯⨯⨯⨯=⋅=-213131111∆ BC AC ⨯⨯=3123122BC AC +⨯≤2312AB ⨯=32=. 当且仅当BC AC =时等号成立,此时2==BC AC . ∴三棱锥ABC A -1的体积的最大值为32.19.(本小题满分14分)(本小题主要考查圆、抛物线、直线、导数等基础知识和数学探究,考查数形结合的数学思想方法,以及推理论证能力、运算求解能力和创新意识)(1)解:由24x y =,得214y x =,则12y x '=,∴抛物线24x y =在点11(,)A x y ,22(,)B x y 处的切线的斜率分别为112x ,212x .∵0AC BC ⋅=,∴AC BC ⊥. ∴抛物线24x y =在点11(,)A x y ,22(,)B x y 处两切线相互垂直. ∴112x 2112x ⨯=-.∴124x x =-.(2)解法1:∵0AC BC ⋅=,∴AC BC ⊥.∴经过,,A B C 三点的圆的圆心为线段AB 的中点D ,圆心D 1212(,)22x x y y ++. ∵抛物线24x y =的准线方程为1y =-, ∴点D 1212(,)22x x y y ++到直线1y =-的距离为=d 1212y y ++,∵经过,,A B C 三点的圆的半径r ,由于2114x y =,2224x y =,且124x x =-,则212121()116y y x x ==,∴r ==.即12122122y y y y r +++====+,∴ r d =.∴抛物线24x y =的准线与经过,,A B C 三点的圆相切.解法2:由(1)知抛物线24x y =在点11(,)A x y 处的切线斜率为112x , 又,4121y x = ∴ 切线AC 所在的直线方程为:()11212141x x x x y -=- 即2114121x x x y -=. ① 同理可得, 切线BC 所在的直线方程为:2224121x x x y -=. ②由①,②得点C 的横坐标221x x x C +=,纵坐标C y 1-=,即⎪⎭⎫ ⎝⎛-+1,221x x C . ∵0AC BC ⋅=,∴AC BC ⊥.∴经过,,A B C 三点的圆的圆心为线段AB 的中点D ,圆心D 1212(,)22x x y y ++. ∵抛物线24x y =的准线方程为1y =-,∴点D 到直线1y =-的距离为=d 1212y y ++, ∵经过,,A B C 三点的圆的半径1221++==y y CD r ,∴ r d =. ∴抛物线24x y =的准线与经过,,A B C 三点的圆相切.20.(本小题满分12分)(本小题主要考查函数最值、不等式、导数及其应用等基础知识,考查分类与整合的数学思想方法,以及运算求解能力和应用意识)解:(1)生产150件产品,需加工A 型零件450个,则完成A 型零件加工所需时间()x f ∈==x xx (905450N *,且)491≤≤x . (2)生产150件产品,需加工B 型零件150个,则完成B 型零件加工所需时间()x g ()∈-=-=x xx (5050503150N *,且)491≤≤x .设完成全部生产任务所需时间为()x h 小时,则()x h 为()x f 与()x g 的较大者. 令()()x g x f ≥,即x x -≥505090,解得71321≤≤x . 所以,当321≤≤x 时,()()x g x f >;当4933≤≤x 时,()()x g x f <.故()()()⎪⎩⎪⎨⎧≤≤∈-≤≤∈=4933,,5050321,,90**x N x xx N x x x h .当321≤≤x 时,()0902'<-=xx h ,故()x h 在[]32,1上单调递减, 则()x h 在[]32,1上的最小值为()1645329032==h (小时); 当4933≤≤x 时,()()050502'>-=x x h ,故()x h 在[]49,33上单调递增,则()x h 在[]49,33上的最小值为()175033505033=-=h (小时);()()3233h h > ,∴()x h 在[]49,1上的最小值为()32h .32=∴x .答:为了在最短时间内完成生产任务,x 应取32.21.(本小题满分14分)(本小题主要考查数列的通项公式、数列前n 项和、不等式等基础知识,考查化归与转化、分类与整合、特殊与一般的数学思想方法,以及推理论证能力、运算求解能力和抽象概括能力) (1)证法1: ∵1,+n n a a 是关于x 的方程022=+-n n b x x ∈n (N )*的两根,∴⎩⎨⎧==+++.,211n n n n n n a a b a a 由n n n a a 21=++,得⎪⎭⎫⎝⎛⨯--=⨯-++n n n n a a 23123111, 故数列⎭⎬⎫⎩⎨⎧⨯-n n a 231是首项为31321=-a ,公比为1-的等比数列.证法2: ∵1,+n n a a 是关于x 的方程022=+-n n b x x ∈n (N )*的两根,∴⎩⎨⎧==+++.,211n n n n n n a a b a a∵nn n n nn n n n a a a a 2312312231231111⨯-⨯--=⨯-⨯-+++1231231-=⨯-⎪⎭⎫ ⎝⎛⨯--=n n n n a a , 故数列⎭⎬⎫⎩⎨⎧⨯-n n a 231是首项为31321=-a ,公比为1-的等比数列.(2)解: 由(1)得()1131231--⨯=⨯-n n n a , 即()[]nn n a 1231--=. ∴()[]()[]111121291+++--⨯--==n n n n n n n a a b ()[]1229112---=+nn . ∴n n a a a a S ++++= 321()()()()[]{}n n111222231232-++-+--++++= ()⎥⎦⎤⎢⎣⎡----=+21122311nn . 要使0>-n n S b λ对任意∈n N *都成立,即()[]1229112---+n n ()02112231>⎥⎦⎤⎢⎣⎡-----+nn λ(*)对任意∈n N *都成立.① 当n 为正奇数时, 由(*)式得[]1229112-++n n ()01231>--+n λ, 即()()1212911+-+n n ()01231>--+n λ,∵0121>-+n , ∴()1231+<n λ对任意正奇数n 都成立.当且仅当1=n 时, ()1231+n有最小值1.∴1<λ.② 当n 为正偶数时, 由(*)式得[]1229112--+n n ()02231>--+n λ, 即()()1212911-++n n ()01232>--nλ,∵012>-n , ∴()12611+<+n λ对任意正偶数n 都成立.当且仅当2=n 时, ()12611++n 有最小值23.∴<λ23.综上所述, 存在常数λ,使得0>-n n S b λ对任意∈n N *都成立, λ的取值范围是()1,∞-.。