数列前n项和的求和公式
- 格式:doc
- 大小:90.00 KB
- 文档页数:6
数列前n项和的求和公式
前n项求和公式:Sn=na1+0.5n(n-1)d,数列求和对按照一定规律排列的数进行求和。
求Sn实质上是求{an}的通项公式,应注意对其含义的理解。
常见的方法有公式法、错位相减法、倒序相加法、分组法、裂项法、数学归纳法、通项化归、并项求和。
数列是高中代数的重要内容,又是学习高等数学的基础。
在高考和各种数学竞赛中都占有重要的地位。
数列求和是数列的重要内容之一,除了等差数列和等比数列有求和公式外,大部分数列的求和都需要有一定的技巧。
数列求前N项和方法总结(方法大全数列是一组按照一定规律排列的数。
在数列中,常常需要求出数列的前N项和,以便进一步分析和运用。
下面将对常见的数列的前N项和求解方法进行总结。
1.等差数列:等差数列是相邻两项之差相等的数列。
记数列首项为a,公差为d,第n项为an。
a.求前N项和公式:Sn = (a + an) * n / 2b.证明:首先将等差数列分为两部分:第一部分是首项a和末项an,共有n 项,它们的和为 (a + an) * n / 2;第二部分是每一项与对应的倒数项的和,它们的和恰好也是 (a + an) * n / 2、将两部分的和相加即得 Sn = (a + an) * n / 22.等比数列:等比数列是相邻两项之比相等的数列。
记数列首项为a,公比为r,第n项为an。
a.公比不为1的情况:求前N项和公式:Sn=a*(1-r^n)/(1-r)b.公比为1的情况:求前N项和公式:Sn=a*nc.证明:利用等比数列的性质,将等比数列的前N项和与它的下一项相乘,两者相减可得到Sn=a*(1-r^n)/(1-r)。
3.平方数列:平方数列是由平方数组成的数列,例如1,4,9,16,25,...。
a.求前N项和公式:Sn=n*(n+1)*(2n+1)/6b.证明:利用平方数的性质,可以得到平方数列的前N项和的通项公式为Sn=n*(n+1)*(2n+1)/64.立方数列:立方数列是由立方数组成的数列,例如1,8,27,64,125,...。
a.求前N项和公式:Sn=(n*(n+1)/2)^2b.证明:利用立方数的性质,可以得到立方数列的前N项和的通项公式为Sn=(n*(n+1)/2)^25.斐波那契数列:斐波那契数列是指从0和1开始,后一项等于前两项之和的数列,例如0,1,1,2,3,5,...。
a.求前N项和公式:Sn=F(n+2)-1其中F(n)是斐波那契数列的第n项。
b.证明:通过归纳法可以证明斐波那契数列的前N项和等于第N+2项减去1除了上述常见的数列,还有很多其他的数列以及求前N项和的方法。
求数列前N 项和的七种方法点拨:1.公式法等差数列前n 项和:n(a 1+a n ) y 亠 n(n +1) _, Si — — na q 十 d2 ' 2特别的,当前n 项的个数为奇数时,S 2k 岀=(2k +1)_a k 41,即前n 项和为中间项乘以项数。
这个公式在很多时候可以简化运算。
等比数列前n 项和: q=1 时,q H 1, s n = a1 " q),特别要注意对公比的讨论。
其他公式:用常用公式)1 1迂R _ 1丄 1一丄—2n21、S nn=Z k kd :3、S n [例1]弓(卄)2、 n =送k 3 k=12 计+1)] 2 1S n=!: k =-n(n+1)(2n+1)6—1 2 3 已知 log 3 X = - 7,求 X + X + X +…+log 23 x n +…的前n 项和.解:由log 3—1 =log 3 X = —log s 2 = log 2 3 1 x =— 2 由等比数列求和公式得S n = X + X 2 +(利_ x(1 -x n) —1-x[例 2]设 S n = 1+2+3+ …+n , n € N *,求 f (n)= S n(n + 32)S n屮 的最大值.解: 由等差数列求和公式得 1 1S n = — n(n +1) , S n* = -(n +1)(n + 2)2 2 (利用常用公式)f(n)= S n(n + 32)盼 2n 2 + 3 4n+64□ +34+^ (屛--)2+5O 50 •••当亦=2,即 n = 8 时,f(n)max\l n 50 2.错位相减法这种方法是在推导等比数列的前 n 项和公式时所用的方法,这种方法主要用于求数列 {a n • b n }的前n 项和,其中{ a n }、{ b n }分别是等差数列和等比数列[例 3]求和:S n =1+3x+ 5x 2+7x 3 + ”””+(2n - 1)x n " 解:由题可知,{ (2 n- 1)x n 』}的通项是等差数列{2n — 1}的通项与等比数列{x n」}的 通项之积设 xS n =1x+3x 2+5x 3+7x 4 + …+(2门_〔以 ①一②得(1-x)S n =1+2X +2X 2+2x 3+2x 4 + …+2x n 」一(2 门_ 1)x n(错位相减)nJ1 — x n再利用等比数列的求和公式得: (1 -x )S n =1+2x ・ -(2 n -1)x n1-x G (2n - 1)x n +—(2n + 1)x n +(1 +x)Sn =(1-x)2[例4]求数列贪…前n项的和.解:由题可知,{2n2n }的通项是等差数列{2n }的通项与等比数列{右}的通项之积 设S =2+土 十-6+ …+空以6--2小32n(错位相减)练习:求:S n =1+5x+9x 2+ ....... +(4n-3)x n "1解:Si=1+5x+9)(+ ........ +(4n-3)x n-1①两边同乘以X ,得23X S n =x+5 X +9x + ...... +(4 n-3)x①-②得,(1-x ) S=1+4(X+ X 2+X 3+当 x=1 时,S=1+5+9+ ......... + (4n-3)3.反序相加法求和再把它与原数列相加,就可以得到n 个(印+ a n )•[例 5]求sin 21 +sin 22 + sin 23 + …+sin 288 +sin 289 的值20 20 2 0 2 0 2解:设 S =sin 1 +sin 2 +sin 3 + …+sin 88 +sin 89将①式右边反序得S =si n 289 +si n 2 88 +…+sin3 +sin2 +si n 1(反序)2 2又因为 sinx=cos(90 -x),sin x + cosx=1 ①(反序相加)2S=(sin 21 +cos 21)+(sin 2 2 + cos 22 ) + …+ (sin 289 +cos 289 ) = 89S= 44.5担=;2(设制错位)十243 十2642n+(^1)Sn2+&p.,2_2n 22=2S n =41-产 n +2-尹2n 2n + =2n-n nx ) - (4n-3) x当X 工1时,S= I4x(1-x n)1-x(4n-3)这是推导等差数列的前 n 项和公式时所用的方法,就是将一个数列倒过来排列(反序),4.分组法求和有一类数列,既不是等差数列, 也不是等比数列, 若将这类数列适当拆开, 可分为几个组求和)将其每一项拆开再重新组合得(分组)=2(13 +23+…+n 3) +3(12 +22+ …+门2)+(1 + 2+…+n)2 2n 2(n +1)2 十 n(n +1)(2n +1)十 n(n + 1)(分组求和)n(n +1)2( n +2)等差、等比或常见的数列,然后分别求和,再将其合并即可[例6]求数列的前n 项和:1+1, 1+4, [ +7,…,n-2 ,-a a a 解: 1 1 1设 S n = (1 +1) +(- +4) +(p +7) + …”+(—+3n -2)a a a将其每一项拆开再重新组合得S n = (1 + 1a+…+1n」)+(1 +4 + 7+…+3n -2) a(分组)当a= 1时, S n=n+(3n—1)n(3n+ 1)n(分当a H 1时,-7 十(3n —1)n2a -a 1』+ (3n -1)n a —1[例7]求数列{n (n+1)(2n+1)}的前n 项和.解:设 a k =k(k +1)(2k +1) =2k 3+ 3k 2+kS n =2 k(k+1)(2k+1)=k 吕nZ (2k 3+3k 2+k)kTS nn2Z k3k 3 n+32:[例10]在数列{a n }中,a n =n +1 n +1 乙+…,又b n =—2一,求数列{b n }的前an r a n +n +11 1 1 1练习:求数列12,24,38^**(^2^)^*啲前n 项和。
求数列前n 项和8种的方法一.公式法(定义法): 1.等差数列求和公式:11()(1)22n n n a a n n S na d ++==+特别地,当前n 项的个数为奇数时,211(21)k k S k a ++=+,即前n 项和为中间项乘以项数。
这个公式在很多时候可以简化运算; 2.等比数列求和公式: (1)1q =时,1n S na =; (2)()1111nn a q q S q-≠=-,,特别要注意对公比的讨论;3.可转化为等差、等比数列的数列;4.常用公式:(1)1nk k ==∑12123(1)n n n ++++=+;(2)21nk k ==∑222216123(1)(21)n n n n ++++=++;(3)31nk k ==∑33332(1)2123[]n n n +++++=;(4)1(21)n k k =-=∑2n 1)-(2n ...531=++++.例1 已知3log 1log 23-=x ,求⋅⋅⋅++⋅⋅⋅+++n x x x x 32的前n 项和. 解:由212log log 3log 1log 3323=⇒-=⇒-=x x x由等比数列求和公式得 n n x x x x S +⋅⋅⋅+++=32=xx x n--1)1(=211)211(21--n =1-n 21例2 设123n s n =++++,*n N ∈,求1)32()(++=n nS n S n f 的最大值.解:易知 )1(21+=n n S n , )2)(1(211++=+n n S n∴ 1)32()(++=n nS n S n f =64342++n n n=n n 64341++=50)8(12+-nn 501≤∴ 当 88-n ,即n =8时,501)(max =n f .二.倒序相加法:如果一个数列{a n },与首末两端等“距离”的两项的和相等或等于同一常数,那么求这个数列的前n 项和即可用倒序相加法。
前n项求和公式方法前n项求和是数学中常见的问题,也是数学分析和离散数学中的重要内容。
在实际问题中,我们经常需要计算一系列数的和,而求和公式方法可以帮助我们快速、准确地得出结果。
本文将介绍前n项求和的常见方法,帮助读者更好地理解和运用这一数学工具。
一、等差数列求和公式。
等差数列是指数列中相邻两项之差保持不变的数列,其通项公式为an=a1+(n-1)d,其中a1为首项,d为公差,n为项数。
对于等差数列的前n项和Sn,我们可以利用等差数列求和公式来求解。
等差数列的前n项和公式为Sn=n(a1+an)/2,通过这一公式,我们可以快速求解等差数列的前n项和,而不必逐项相加。
二、等比数列求和公式。
等比数列是指数列中相邻两项之比保持不变的数列,其通项公式为an=a1q^(n-1),其中a1为首项,q为公比,n为项数。
对于等比数列的前n项和Sn,我们可以利用等比数列求和公式来求解。
等比数列的前n项和公式为Sn=a1(q^n-1)/(q-1),通过这一公式,我们可以快速求解等比数列的前n项和。
三、其他常见求和公式。
除了等差数列和等比数列的求和公式外,还有一些常见的数学序列和级数的求和公式,如调和级数、幂级数等。
这些求和公式在实际问题中也有着广泛的应用,可以帮助我们快速求解各种数学问题。
四、求和公式的应用。
前n项求和公式在实际问题中有着广泛的应用,如在物理、工程、经济学等领域都能看到其身影。
通过求和公式,我们可以快速计算各种数学模型中的累加和,从而得出有用的结论和推论。
因此,掌握前n项求和公式的方法对于解决实际问题具有重要意义。
五、总结。
通过本文的介绍,我们了解了前n项求和的常见方法,包括等差数列求和公式、等比数列求和公式以及其他常见求和公式。
这些方法在数学分析、离散数学以及实际问题中都有着广泛的应用,对于提高数学水平和解决实际问题具有重要意义。
希望读者通过本文的学习,能够更好地掌握前n项求和的方法,提高数学运算能力,为今后的学习和工作打下坚实的数学基础。
求前n 项和的几种方法求数列前N 项和的方法1. 公式法(1)等差数列前n 项和:特别的,当前n 项的个数为奇数时,211(21)k k S k a ++=+,即前n 项和为中间项乘以项数。
这个公(2q=11q S ≠,(31、=S n 3、=S n [例1][例2]设2. 这种方法是在推导等比数列的前n 项和公式时所用的方法,这种方法主要用于求数列{a n · b n }的前n 项和,其中{a n }、{b n }分别是等差数列和等比数列.[例3]求和:132)12(7531--+⋅⋅⋅++++=n n x n x x x S ………………………①[例4]求数列⋅⋅⋅⋅⋅⋅,22,,26,24,2232n n 前n 项的和. 练习:求:S n =1+5x+9x 2+······+(4n -3)x n-1答案:当x=1时,S n =1+5+9+······+(4n-3)=2n 2-n当x ≠1时,S n =11-x [4x(1-x n )1-x +1-(4n-3)x n ]3. 倒序相加法求和这是推导等差数列的前n 项和公式时所用的方法,就是将一个数列倒过来排列(反序),再把[例5]求4. [例6]5. (1(3(5))2)(1(1)1(1[21)2)(1(1++-+=+-=n n n n n n n a n (6)n n n n n n n n S n n n n n n n n n a 2)1(11,2)1(12121)1()1(221)1(21+-=+-⋅=⋅+-+=⋅++=-则 [例9]求数列⋅⋅⋅++⋅⋅⋅++,11,,321,211n n 的前n 项和.[例10]在数列{a n }中,11211++⋅⋅⋅++++=n n n n a n ,又12+⋅=n n n a a b ,求数列{b n }的前n 项的和.[例11]求证:1sin 1cos 89cos 88cos 12cos 1cos 11cos 0cos 12=+⋅⋅⋅++ 解:设89cos 88cos 12cos 1cos 11cos 0cos 1+⋅⋅⋅++=S ∵ n n n n tan )1tan()1cos(cos 1sin -+=+(裂项) ∴ 89cos 88cos 12cos 1cos 11cos 0cos 1+⋅⋅⋅++=S (裂项求和) =]}88tan 89[tan )2tan 3(tan )1tan 2(tan )0tan 1{(tan 1 -+-+-+-∴6. [[例7. [例练习:求5,55,555,…,的前n 项和。
求数列前N 项和的七种方法1. 公式法等差数列前n 项和:特别的,当前n 项的个数为奇数时,211(21)k k S k a ++=+,即前n 项和为中间项乘以项数。
这个公式在很多时候可以简化运算。
等比数列前n 项和:q=1时,1n S na =()1111nn a q q S q -≠=-,,特别要注意对公比的讨论。
其他公式:1、)1(211+==∑=n n k S n k n2、)12)(1(6112++==∑=n n n k S n k n 3、213)]1(21[+==∑=n n k S n k n[例1]已知3log 1log 23-=x ,求⋅⋅⋅++⋅⋅⋅+++n x x x x 32的前n 项和. 解:由212log log 3log 1log 3323=⇒-=⇒-=x x x 由等比数列求和公式得n n x x x x S +⋅⋅⋅+++=32(利用常用公式) =x x x n--1)1(=211)211(21--n =1-n 21 [例2]设S n =1+2+3+…+n ,n ∈N *,求1)32()(++=n n S n S n f 的最大值. 解:由等差数列求和公式得)1(21+=n n S n ,)2)(1(211++=+n n S n (利用常用公式) ∴1)32()(++=n n S n S n f =64342++n n n=n n 64341++=50)8(12+-n n 501≤ ∴当88-n ,即n =8时,501)(max =n f 2. 错位相减法这种方法是在推导等比数列的前n 项和公式时所用的方法,这种方法主要用于求数列{a n · b n }的前n 项和,其中{a n }、{b n }分别是等差数列和等比数列.[例3]求和:132)12(7531--+⋅⋅⋅++++=n n x n x x x S ………………………①解:由题可知,{1)12(--n x n }的通项是等差数列{2n -1}的通项与等比数列{1-n x }的通项之积设n n x n x x x x xS )12(7531432-+⋅⋅⋅++++=……………………….②(设制错位) ①-②得n n n x n x x x x x S x )12(222221)1(1432--+⋅⋅⋅+++++=--(错位相减) 再利用等比数列的求和公式得:n n n x n xx x S x )12(1121)1(1----⋅+=-- ∴21)1()1()12()12(x x x n x n S n n n -+++--=+ [例4]求数列⋅⋅⋅⋅⋅⋅,22,,26,24,2232n n 前n 项的和. 解:由题可知,{n n 22}的通项是等差数列{2n}的通项与等比数列{n 21}的通项之积 设n n n S 2226242232+⋅⋅⋅+++=…………………………………① 14322226242221++⋅⋅⋅+++=n n n S ……………………………②(设制错位) ①-②得1432222222222222)211(+-+⋅⋅⋅++++=-n n n n S (错位相减) ∴1224-+-=n n n S 练习:求:S n =1+5x+9x 2+······+(4n-3)x n-1解:S n =1+5x+9x 2+······+(4n-3)x n-1①①两边同乘以x ,得xS n =x+5x 2+9x 3+······+(4n-3)x n ②①-②得,(1-x )S n =1+4(x+x 2+x 3+······+n x )-(4n-3)x n当x=1时,S n =1+5+9+······+(4n-3)=2n 2-n当x ≠1时,S n =11-x [4x(1-x n )1-x +1-(4n-3)x n] 3. 反序相加法求和这是推导等差数列的前n 项和公式时所用的方法,就是将一个数列倒过来排列(反序),再把它与原数列相加,就可以得到n 个)(1n a a +.[例5]求 89sin 88sin 3sin 2sin 1sin 22222++⋅⋅⋅+++的值解:设 89sin 88sin 3sin 2sin 1sin 22222++⋅⋅⋅+++=S ………….①将①式右边反序得1sin 2sin 3sin 88sin 89sin 22222+++⋅⋅⋅++=S …②(反序)又因为1cos sin ),90cos(sin 22=+-=x x x x①+②得(反序相加))89cos 89(sin )2cos 2(sin )1cos 1(sin 2222222 ++⋅⋅⋅++++=S =89∴S =44.54. 分组法求和有一类数列,既不是等差数列,也不是等比数列,若将这类数列适当拆开,可分为几个等差、等比或常见的数列,然后分别求和,再将其合并即可.[例6]求数列的前n 项和:231,,71,41,1112-+⋅⋅⋅+++-n aa an ,… 解:设)231()71()41()11(12-++⋅⋅⋅++++++=-n a a a S n n 将其每一项拆开再重新组合得)23741()1111(12-+⋅⋅⋅+++++⋅⋅⋅+++=-n aa a S n n (分组) 当a =1时,2)13(n n n S n -+==2)13(n n +(分组求和)当1≠a 时,2)13(1111n n a a S n n -+--==2)13(11n n a a a n -+--- [例7]求数列{n(n+1)(2n+1)}的前n 项和.解:设k k k k k k a k ++=++=2332)12)(1(∴∑=++=n k n k k k S 1)12)(1(=)32(231k k k nk ++∑=将其每一项拆开再重新组合得3211123n n nn k k k S k k k ====++∑∑∑(分组) =)21()21(3)21(2222333n n n +⋅⋅⋅++++⋅⋅⋅++++⋅⋅⋅++22(1)(1)(21)(1)222n n n n n n n ++++=++(分组求和) =2)2()1(2++n n n 练习:求数列∙∙∙+∙∙∙),21(,,813,412,211n n 的前n 项和。
前n项求和公式方法在数学中,前n项求和是一个常见的问题。
当我们遇到一个数列或者序列时,往往需要求出它的前n项和,这就需要我们掌握一些求和公式的方法。
本文将介绍几种常见的前n项求和公式方法,希望能对大家有所帮助。
首先,我们来介绍最基本的求和公式方法——等差数列的求和公式。
对于一个等差数列$a_1, a_2, a_3, \cdots, a_n$,它的前n项和可以用如下公式表示:$$S_n = \frac{n}{2}(a_1 + a_n)$$。
其中,$S_n$表示前n项和,$a_1$表示首项,$a_n$表示末项,$n$表示项数。
这个公式非常简单,只需要知道首项、末项和项数就可以直接求出前n项和。
其次,我们来介绍等比数列的求和公式方法。
对于一个等比数列$a_1, a_2, a_3, \cdots, a_n$,它的前n项和可以用如下公式表示:$$S_n = \frac{a_1(1 r^n)}{1 r}$$。
其中,$S_n$表示前n项和,$a_1$表示首项,$r$表示公比,$n$表示项数。
这个公式同样也非常简单,只需要知道首项、公比和项数就可以直接求出前n项和。
接着,我们来介绍一种更加通用的求和公式方法——数学归纳法。
数学归纳法是一种数学证明方法,它也可以用来推导出一些数列的前n项求和公式。
以等差数列为例,我们可以通过数学归纳法来推导出等差数列的前n项和公式。
首先,我们可以验证当$n=1$时等式成立;然后,假设当$n=k$时等式成立,即$S_k =\frac{k}{2}(a_1 + a_k)$;最后,我们可以通过$k$到$k+1$的推导,得出当$n=k+1$时等式也成立。
通过数学归纳法,我们可以得出等差数列的前n项和公式,这种方法同样适用于其他类型的数列。
最后,我们来介绍一种比较特殊的求和公式方法——Telescoping Series(消去法)。
Telescoping Series是一种特殊的数列求和方法,它利用数列中相邻项之间的抵消来简化求和过程。
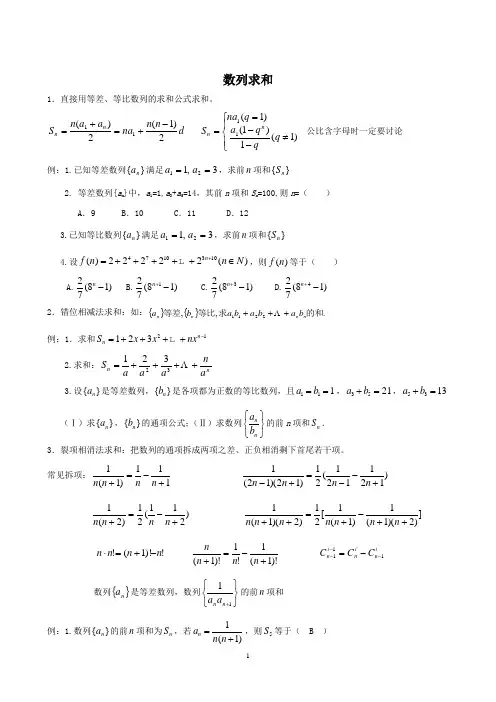
数列求和1.直接用等差、等比数列的求和公式求和。
d n n na a a n S n n 2)1(2)(11-+=+= ⎪⎩⎪⎨⎧≠--==)1(1)1()1(11q qq a q na S n n 公比含字母时一定要讨论例:1.已知等差数列}{n a 满足,11=a 32=a ,求前n 项和}{n S2. 等差数列{a n }中,a 1=1,a 3+a 5=14,其前n 项和S n =100,则n =( ) A .9 B .10 C .11 D .123.已知等比数列}{n a 满足,11=a 32=a ,求前n 项和}{n S4.设4710310()22222()n f n n N +=+++++∈ ,则()f n 等于( )A.2(81)7n - B.12(81)7n +- C.32(81)7n +- D.42(81)7n +- 2.错位相减法求和:如:{}{}.,,2211的和求等比等差n n n n b a b a b a b a +++例:1.求和21123n n S x x nx-=++++2.求和:n n an a a a S ++++=32321 3.设{}n a 是等差数列,{}n b 是各项都为正数的等比数列,且111a b ==,3521a b +=,5313a b +=(Ⅰ)求{}n a ,{}n b 的通项公式;(Ⅱ)求数列n n a b ⎧⎫⎨⎬⎩⎭的前n 项和n S .3.裂项相消法求和:把数列的通项拆成两项之差、正负相消剩下首尾若干项。
常见拆项:111)1(1+-=+n n n n )121121(21)12)(12(1+--=+-n n n n )211(21)2(1+-=+n n n n ])2)(1(1)1(1[21)2)(1(1++-+=++n n n n n n n!)!1(!n n n n -+=⋅)!1(1!1)!1(+-=+n n n n in i n i n C C C 111----=数列{}n a 是等差数列,数列⎭⎬⎫⎩⎨⎧+11n n a a 的前n 项和例:1.数列{}n a 的前n 项和为n S ,若1(1)n a n n =+,则5S 等于( B )A .1B .56 C .16 D .1302.已知数列}{n a 的通项公式为1(1)n a n n =+,求前n 项的和;3.已知数列}{n a 的通项公式为11n a n n =++,求前n 项的和.4.已知数列}{n a 的通项公式为n a =12n +,设13242111n n n T a a a a a a +=+++⋅⋅⋅ ,求n T . 5.求)(,32114321132112111*N n n∈+++++++++++++++。
等差数列公式前n项和公式什么是等差数列公式前n项和公式?等差数列是一类特殊的数列,它的每一项与它的前一项之差相等。
等差数列的第一项为a,其公差为d,则所求的前n项和即为:Sn=n/2(2a+(n-1)d)以下为证明等差数列前n项和公式:1.设 0 <= n < 2,此时,前n项和只有一项,令S0 = a;2.设 n >= 2,此时前n项和为两项以上,也可以表示为Sn= S n-1 +an其中S n-1前 n-1的和,an第 n的值3.公式(2)两边同时求和n次,即可得到:S n = a + (a + d) + (a + 2d) +......+(a+(n-1)d)4.于等差数列都具有加法结合性,可以简写为:Sn=n/2(2a+(n-1)d)由上面的证明,我们可以对等差数列前n项和公式有更深入的认识,运用它们能够解决大量的算术问题。
例1.等差数列 2,4,6,8,10...的前10项和解:此数列的首项a=2,公差d=2,前n项的和S10 为:S10= 10/2 (2*2 + (10-1)*2)= 10/2 (4 + 18)= 10/2 (22)= 110即等差数列 2,4,6,8,10...的前10项和为 110 。
例2.等差数列 12,18,24,30,36...的前9项和解:此数列的首项a=12,公差d=6,前n项的和S9 为:S9= 9/2 (2*12 + (9-1)*6)= 9/2 (24 + 48)= 9/2 (72)= 324即等差数列 12,18,24,30,36...的前9项和为 324 。
等差数列前n项和公式的运用非常广泛,对于等差数列的分析和求和,能够一次性解决很多问题,极大地节约了时间,它也被广泛应用于几何、统计学、概率论等领域中。
象征着数学推理能力的等差数列前n项和公式,是运用数学方法求解实际问题的有力工具。
等差数列前N项和的公式等差数列是指数列中相邻的两项之差恒定的数列。
前N项和是指数列前N项的和。
设等差数列的首项为a,公差为d。
根据等差数列的性质可知,第n 项为a+(n-1)d。
前N项和可以用以下公式表示:Sn=(a+a+d+a+2d+...+a+(N-2)d+a+(N-1)d)/2为了求解这个等差数列前N项和的公式,我们可以先求等差数列中首项为a、末项为a+(N-1)d的数列的和Sn',然后将Sn'跟Sn进行比较。
Sn'=(a+a+d+a+2d+...+a+(N-2)d+a+(N-1)d)=(N/2)(2a+(N-1)d)因此,Sn=(N/2)(2a+(N-1)d)/2=(N/2)(a+a+(N-1)d)化简得到Sn=(N/2)(2a+(N-1)d)这就是等差数列前N项和的公式,可以用来计算任意等差数列的前N 项和。
下面我们来通过例子进一步说明:例1:求等差数列1,4,7,10,...的前N项和。
首项a=1,公差d=3根据公式Sn=(N/2)(2a+(N-1)d),得到Sn=(N/2)(2*1+(N-1)*3)=(N/2)(2+3N-3)=(N/2)(3N-1)。
例2:求等差数列2,5,8,11,...的前N项和。
首项a=2,公差d=3根据公式Sn=(N/2)(2a+(N-1)d),得到Sn=(N/2)(2*2+(N-1)*3)=(N/2)(4+3N-3)=(N/2)(3N+1)。
通过这两个例子,我们可以看出等差数列前N项和的公式的应用广泛性和有效性。
总结:等差数列的前N项和公式是Sn=(N/2)(a+a+(N-1)d),其中Sn 表示前N项的和,a是首项,d是公差。
这个公式可以用来计算任意等差数列的前N项和。
数列前n项和公式
前n项和公式是Sn=na1(q=1)。
数列公式前n项和是Sn=na1(q=1),如果一个数列从第2项起,每一项与它的前一项的比等于同一个常数,且每一项都不为
0(常数),这个数列就叫做等比数列。
这个常数叫做等比数列的公比,公比通常用字母q表示。
如果一个数列从第二项起,每一项与它的前一项的差等于同一个常数,这个数列就叫做等差数列,而这个常数叫做等差数列的公差,公差通常用字母d表示,如果{cn},cn=an·bn,其中{an}为等差数列,{bn}为等比数列,那么这个数列就叫做差比数列。
等差数列求和公式的特点
在等差数列中,若Sn为该数列的前n项和,S2n为该数列的前2n项和,S3n为该数列的前3n项和,则Sn,S2n-Sn,S3n-S2n也为等差数列。
等差数列是常见数列的一种,可以用AP表示,如果一个数列从第二项起,每一项与它的前一项的差等于同一个常数,这个数列就叫做等差数列,而这个常数叫做等差数列的公差,公差常用字母d表示。
例如:1,3,5,7,9……(2n-1)。
等差数列{an}的通项公式为:an=a1+(n-1)d。
前n项和公式为:Sn=n*a1+n(n-1)d/2或Sn=n(a1+an)/2,注意以上整数。
数列前n 项和的求法总结核心提示:求数列的前n 项和要借助于通项公式,即先有通项公式,再在分析数列通项公式的基础上,或分解为基本数列求和,或转化为基本数列求和。
当遇到具体问题时,要注意观察数列的特点和规律,找到适合的方法解题。
一. 公式法(1) 等差数列前n 项和: S n=n(a 1+a n )2=na 1+n(n+1)2d(2) 等比数列前n 项和: q =1时, S n=na 1;q ≠1时, S n =a 1(1−q n )1−q(3) 其他公式: S n=1+2+3+⋯+n =12n (n +1)S n =12+22+32+⋯+n 2=16n(n +1)(2n +1)S n =13+23+33+⋯+n 3=[12n (n +1)]2例题1:求数列 112,214,318,……,(n +12n ),…… 的前n 项和S n解:点拨:这道题只要经过简单整理,就可以很明显的看出:这个数列可以分解成两个数列,一个等差数列,一个等比数列,再分别运用公式求和,最后把两个数列的和再求和。
练习:二.倒序相加法如果一个数列{an},与首末项等距的两项之和等于首末两项之和,可采用把正着写与倒着写的两个和式相加,就得到一个常数列的和,这一求和方法称为倒序相加法。
我们在学知识时,不但要知其果,更要索其因,知识的得出过程是知识的源头,也是研究同一类知识的工具,例如:等差数列前n项和公式的推导,用的就是“倒序相加法”。
例题1:设等差数列{an },公差为d,求证:{an}的前n项和Sn=n(a1+an)/2解:Sn =a1+a2+a3+...+an①倒序得:Sn =an+an-1+an-2+…+a1②①+②得:2Sn =(a1+an)+(a2+an-1)+(a3+an-2)+…+(an+a1)又∵a1+an=a2+an-1=a3+an-2=…=an+a1∴2Sn =n(a2+an) Sn=n(a1+an)/2点拨:由推导过程可看出,倒序相加法得以应用的原因是借助a1+an=a2+an-1=a3+an-2=…=an+a1即与首末项等距的两项之和等于首末两项之和的这一等差数列的重要性质来实现的。
(推荐)数列前n项和的求法数列前n项和的求法是初高中学习数学的基础知识,也是有关级数问题的基本运算。
数列前n项和既可以采用公式法求出,也可以采用数值法求出,还有定积分法求出。
一、公式法:数列中从第一项到第n项,如果有确定的求和公式,将公式代入到求和的范围内,并根据它的特点,采用求和的方法,能够求出其前n项和。
例如,设数列为an=1/n方(n=1,2,3,…),函数表达式为:Sn=1+1/2+1/3+…+1/n (n>0)根据函数表达式,可求出:Sn=Sn-1+1/n令S1=1从n=2开始,根据上述公式不断往后推,而得到答案:二、数值法:数值法求出数列前n项和时,需要采用台集算法,又称“一般性递推法”。
即依次将数列的每一项数值相加,不断积累求和,用积累和代替求和,从而可以得到数列前n项和。
依次将数列的每一项数值相加,从n=1开始,依次累加,而得到答案:Sn=1+(1+2)+(1+2+3)+…+(1+2+3+…+n)=n(n+1)/2三、定积分法:若原数列中有一定规律,可以由由数列转化为积分,再利用积分公式求出其前n项和。
例如,设数列为二项式级数{1, 4, 9, 16, 25, 36,…,n2},函数表达式为:现将原数列进行前后移动,将n2整合为一项,得出:又令y=n2,则可将上式转化为定积分:Sn=∫1y(3y2+3y+1/6)dy化简得:Sn= y3/3+y2+y/6+C(C为任意常数)令y=n2得出:Sn=n(n2+2n+2)/3数列前n项和的求法除以上三种数学求法,还有一种称之为“折半法”的方法,它的主要原理是借助折半法公式:把前半段数列和(Sn/2)和后半段数列和(Sn-1-Sn/2)结合起来,计算整个数列的前n项和。
以上就是关于数列前n项和求法的介绍,对于不同的数列,可以采取不同的求法,根据数列的特点,选择合适的方法,以便求出相应的答案。
数列的前n 项和一、公式法1、通项公式:(1)、等差数列的通项公式:a n =a 1+(n -1)d =a m +(n -m)d ; (2)、等比数列的通项公式:11-=n n q a a =m n m n q a a -=;2、a n 与Sn 的有关系:a n =⎩⎨⎧≥-=-)2(,)1(,11n S S n S n n3、前n 项和:(1)、等差数列前n 项和:Sn =2)(1n a a n +=na 1+d n n 2)1(- (2)、等比数列前n 项和:Sn =⎪⎩⎪⎨⎧≠--=--=)1(11)1()1(,111q q q a a q q a q na n n例1:已知n S =1+2+3+4+……+n ,(n ∈N +),求1)32(++n nS n S 的最大值。
【解析】: )1(21+=n n S n ,1)32(++n n S n S =64342++n n n=34641++nn ≤501变式练习1:在等比数列{n a }中,2a -1a =2,且22a 为31a 和3a 的等差中项,求数列{n a }的通项公式及前n 项和。
【解析】:设该数列的公比为q ,由已知,可得a 1q -a 1=2,4a 1q =3a 1+a 1q 2,所以,a 1(q -1)=2,q 2-4q +3=0,解得q =3或q =1.由于a 1(q -1)=2,因此q =1不合题意,应舍去.故公比q =3,首项a 1=1.所以,数列的前n 项和S n =312n -.变式练习2:已知{n a }是公差不为零的等差数列,1a =1,且1a ,3a ,9a 成等比数列。
(1)求数列{n a }的通项公式;(2)求数列{n a2}的前n 项和n S 。
【解析】:n a =n n S =221-+n二、分组求和法:在直接运用公式法求和有困难时,常将“和式”中“同类项”先合并在一起,再运用公式法求和。
例2: 求数列的前n 项和:121,241,381,……(n +n 21) 【解析】: n n n n S 2112)1(-++=变式练习1:求数列0.9,0.99,0.999,0.9999,0.99999……的前n 项和Sn 。
求数列{a n }的前n 项和的方法(1)倒序相加法(2)公式法此种方法主要针对类似等差数列中112n n a a a a -+=+= ,具有这样特点的数列.此种方法是针对于有公式可套的数列,如等差、等比数列,关键是观察数列的特点,找出对应的公式. 例:等差数列求和12n n S a a a =+++111()[(1)]a a d a n d =+++++- ①把项的次序反过来,则:()[(1)]n n n n S a a d a n d =+-++-- ②①+②得:()1112()()n n n n n S a a a a a a =++++++ 个1()n n a a =+1()2n n n a a S +=公式: ①等差数列:11()(1)22n n n a a n n S na d +-==+ (1)2n n n na d -=-m n m n S S S mnd +=++*(2,,)2n n m mS S S n m m n N n n m--=>∈- ②等比数列:qqa a q q a S n n n --=--=11)1(11;(1)q ≠ n m n n m S S S q +=+ ③1+2+3+……+n =(1)2n n +; 2222123n ++++1(1)(21)6n n n =++ 3333123n ++++2(123)n =++++221(1)4n n =+(3)错位相减法(4)分组化归法此种方法主要用于数列}{n n b a 的求和,其中}{n a 为等差数列,}{n b 是公比为q 的等比数列,只需用n n S qS -便可转化为等比数列的求和,但要注意讨论q=1和q ≠1两种情况.此方法主要用于无法整体求和的数列,可将其通项写成等比、等差等我们熟悉的数列分别进行求和,再综合求出所有项的和.例:试化简下列和式:21123(0)n n S x x nx x -=++++≠解:①若x=1,则S n =1+2+3+…+n =(1)2n n + ②若x ≠1,则21123n n S x x nx -=++++ 2323n n xS x x x nx =++++ 两式相减得:2(1)1n x S x x -=+++…+n n nx x --1 11nn x nx x-=-- ∴ 21(1)1n nn x nx S x x-=---例:求数列1,112+,11124++,……, 11124+++……+112n -的和. 解:∵ 11111242n n a -=++++ 111()1221212nn --==-- ∴1111(1)(1)224n S =++++++ 1111(1)242n -+++++ 211(21)(2)(2)22=-+-+-11(2)2n -++-11112(1)242n n -=-++++11222n n -=-+(5)奇偶求和法(6)裂项相消法此种方法是针对于奇、偶数项,要考虑符号的数列,要求S n ,就必须分奇偶来讨论,最后进行综合.此方法主要针对12231111n na a a a a a -+++这样的求和,其中{a n }是等差数列.例:求和11357(1)(21)n n S n -=-++++--解:当n = 2k (k ∈N +)时,2(13)(57)n k S S ==-+-+[(43)(41)]k k +--- 2k n =-=-当21()n k k N +=-∈时,21222[(41)]n k k k S S S a k k -==-=----21k n=-=综合得:1(1)n n S n +=-例:{a n }为首项为a 1,公差为d 的等差数列,求12233411111n n nS a a a a a a a a -=++++解:∵1111()()kkk k k k k k a d aa a a a d d a a d ++-==++ 1111111()()k k k k d a a d d a a +=-=-+ ∴1223111111()()n S d a a d a a =-+- 1111()n nd a a -++-122311111111[()()()]n nd a a a a a a -=-+-++- 1111()nd a a =- 111[(1)]n a a n d -=+-(7)分类讨论(8)归纳—猜想—证明 此方法是针对数列{n a }的其中几项符号与另外的项不同,而求各项绝对值的和的问题,主要是要分段求.此种方法是针对无法求出通项或无法根据通项求出各项之和的数列,先用不完全归纳法猜出n S 的表达式,然后用数学归纳法证明之.例:已知等比数列{n a }中,1a =64,q=21,设n b =log 2n a ,求数列{|n b |}的前n 项和n S .解:n a =1a 1-n q =n-72∴n b = log 2n a =n -7 (1)当n ≤7时,n b ≥0此时,n S =-212n +213n (2)当n >7时,n b <0此时,n S =212n -213n +42(n ≥8)-212n +213n (n ≤7) ∴n S =212n -213n +42(n ≥8) 例:求和n S =21+23+25+…+2)12(-n解:11=S ,102=S ,353=S ,844=S ,1655=S ,…观察得:n S =)14(312-n n (待定系数法)证明:(1)当n =1时,)14(312-n n =1=1S ∴n =1时成立. (2)假设当n =k 时,k S =)14(312-k k 则n =k+1时,1+k S =k S +2)12(+k=)14(312-k k +2)12(+k=)12)(32(31+++k k k =]1)1(2][1)1(2[31-++++k k k n =k+1时,成立.由(1)、(2)知,对一切n ∈N *,n S =)14(312-n n .。
For personal use only in study and research; not for commercial use
数列求和的基本方法和技巧
一、利用常用求和公式求和
利用下列常用求和公式求和是数列求和的最基本最重要的方法.
1、 等差数列求和公式:d n n na a a n S n n 2)
1(2)
(11-+=+=
2、等比数列求和公式:⎪⎩⎪⎨⎧
≠--=--==)
1(11)1()
1(111q q q a a
q q a q na S n n
n
3、 )1(211+==∑=n n k S n k n
4、)12)(1(6
1
12++==
∑=n n n k S n
k n
5、 213)]1(2
1[+==∑=n n k S n
k n
[例1] 已知3
log 1
log 23-=x ,求⋅⋅⋅++⋅⋅⋅+++n x x x x 32的前n 项和.
[例2] 设S n =1+2+3+…+n ,n ∈N *,求1
)32()(++=n n
S n S
n f 的最大值.
二、错位相减法求和
这种方法是在推导等比数列的前n 项和公式时所用的方法,这种方法主要用于求数列{a n ·
b n }的前n 项和,其中{}n a 、{}n b 分别是等差数列和等比数列.
[例3] 求和:1
32)12(7531--+⋅⋅⋅++++=n n x n x x x S ………………………①
[例4] 求数列
⋅⋅⋅⋅⋅⋅,22,,26,24,2232n n 前n 项的和.
三、倒序相加法求和
这是推导等差数列的前n 项和公式时所用的方法,就是将一个数列倒过来排列(反序),再把它与原数列相加,就可以得到n 个)(1n a a +.
[例5] 求 89sin 88sin 3sin 2sin 1sin 22222++⋅⋅⋅+++的值
四、分组法求和
有一类数列,既不是等差数列,也不是等比数列,若将这类数列适当拆开,可分为几个等差、等比或常见的数列,然后分别求和,再将其合并即可.
[例6] 求数列的前n 项和:231,,71,41,1112-+⋅⋅⋅+++-n a
a a n ,…
[例7] 求数列{n(n+1)(2n+1)}的前n 项和.
五、裂项法求和
这是分解与组合思想在数列求和中的具体应用. 裂项法的实质是将数列中的每项(通项)分解,然后重新组合,使之能消去一些项,最终达到求和的目的. 通项分解(裂项)如:
(1))()1(n f n f a n -+= (2)
n n n n tan )1tan()
1cos(cos 1sin -+=+ (3)1
11)1(1+-=+=n n n n a n (4))121121(211)12)(12()2(2+--+=+-=n n n n n a n (5)])
2)(1(1)1(1[21)2)(1(1++-+=+-=n n n n n n n a n (6) n n n n n n n n S n n n n n n n n n a 2)1(11,2)1(12121)1()1(221)1(21+-=+-⋅=⋅+-+=⋅++=
-则 [例9] 求数列
⋅⋅⋅++⋅⋅⋅++,11,,321,211n n 的前n 项和.
[例10] 在数列{a n }中,1
1211++⋅⋅⋅++++=
n n n n a n ,又12+⋅=n n n a a b ,求数列{b n }的前n 项的和.
[例11] 求证:
1
sin 1cos 89cos 88cos 12cos 1cos 11cos 0cos 12=+⋅⋅⋅++
六、合并法求和
针对一些特殊的数列,将某些项合并在一起就具有某种特殊的性质,因此,在求数列的和时,可将这些项放在一起先求和,然后再求S n .
[例12] 求cos1°+ cos2°+ cos3°+···+ cos178°+ cos179°的值.
[例13] 数列{a n }:n n n a a a a a a -====++12321,2,3,1,求S 2002
[例14] 在各项均为正数的等比数列中,若103231365log log log ,9a a a a a +⋅⋅⋅++=求的值.
七、利用数列的通项求和
先根据数列的结构及特征进行分析,找出数列的通项及其特征,然后再利用数列的通项揭示的规律来求数列的前n 项和,是一个重要的方法.
[例15] 求
1
1111111111个n ⋅⋅⋅+⋅⋅⋅+++之和 [例16] 已知数列{a n }:∑∞=+-+++=1
1))(1(,)3)(1(8n n n n a a n n n a 求的值.
For personal use only in study and research; not for commercial use.
Nur für den persönlichen für Studien, Forschung, zu kommerziellen Zwecken verwendet werden. Pour l 'étude et la recherche uniquement à des fins personnelles; pas à des fins commerciales.
толькодлялюдей, которыеиспользуютсядляобучения, исследованийинедолжныиспользоватьсявкоммерческихцелях.
以下无正文
For personal use only in study and research; not for commercial use.
Nur für den persönlichen für Studien, Forschung, zu kommerziellen Zwecken verwendet werden. Pour l 'étude et la recherche uniquement à des fins personnelles; pas à des fins commerciales.
толькодлялюдей, которыеиспользуютсядля
обучения, исследованийинедолжныиспользоватьсяв
коммерческихцелях.
以下无正文
For personal use only in study and research; not for commercial use。