同济大学(高等数学)_第四章_不定积分
- 格式:doc
- 大小:3.45 MB
- 文档页数:48
高等数学第七版同济大学数学系编引言高等数学是大学数学的重要基础课程之一,在同济大学数学系编写的《高等数学第七版》中,涵盖了数学分析的基本概念、理论和方法。
本文将对该教材进行简要介绍,并总结其中一些重要的内容。
第一章函数与极限在高等数学中,函数是一个基本概念。
第一章主要介绍了函数的定义、性质以及各种类型的函数。
同时,还介绍了极限的概念和计算方法。
通过学习这一章,学生可以建立起对函数和极限的基本认识,并掌握一些常用函数的性质和极限的计算方法。
第二章导数与微分导数是微积分的重要概念,也是研究函数变化率的工具。
第二章主要介绍了导数的定义、基本运算规则以及导数的几何意义。
同时,还对一些特殊函数的导数进行了详细的讲解,如幂函数、指数函数、对数函数等。
此外,还介绍了高阶导数、隐函数的导数以及相关的微分公式。
第三章微分中值定理与导数的应用在第三章中,介绍了微分中值定理及其应用。
微分中值定理是研究函数在某一区间上的平均变化率与瞬时变化率之间关系的重要工具。
通过学习这一章,学生可以了解到微分中值定理的基本思想和证明方法,并学会使用它来解决一些实际问题,如函数的增减性、极值点的存在性等方面的问题。
第四章不定积分不定积分是微积分的重要组成部分,也是导数的逆运算。
第四章主要介绍了不定积分的概念、基本性质以及一些常用的积分公式和计算方法。
此外,还介绍了分部积分法、换元积分法和定积分的求值法等内容。
第五章定积分与其应用定积分是微积分中的另一个重要概念,它不仅可以表示曲线下的面积,还可以表示一些实际问题中的累积量。
第五章主要介绍了定积分的定义、基本性质以及计算方法。
同时,还介绍了定积分的几何应用、物理应用和经济应用等方面的内容。
第六章微分方程微分方程是数学中的一门重要课程,也是自然科学、工程技术和经济管理等领域中常用的数学工具。
第六章主要介绍了一阶和二阶常微分方程以及它们的基本性质和解法。
通过学习这一章,学生可以了解到微分方程的基本概念和解法,并学会应用微分方程解决一些实际问题。
140 第四章 不定积分一般来说,在数学中一种运算的出现都伴随着它的逆运算.在第二章中,我们学习了导数与微分,导数与微分运算是否有逆运算?即已知函数()f x 的导数或微分,能否求出()f x ?这是我们这一章要讨论的问题.第一节 不定积分的概念与性质一、原函数与不定积分的概念如果在区间I 上,可导函数()F x 的导数为()f x ,即对任意x I ∈,都有()()F x f x '= 或 d ()()d F x f x x =,则称()F x 为()f x 在区间I 上的原函数.例如,因为,x R ∀∈(sin )cosx x '=,所以sin x 是cos x 的一个原函数;(1,1)x ∀∈-,(arcsin )x '=arcsin x(1,1)-内的一个原函数.由此可见,微分学的逆问题是:已知导函数()F x ',求原函数()F x .事实上,研究原函数需要解决下面两个问题:(1)满足何种条件的函数存在原函数?(2)如果原函数存在,它是否唯一?关于第一个问题,我们用原函数存在定理回答.(原函数存在定理) 如果函数()f x 在区间I 上连续,则()f x 在区间I 上一定有原函数,即存在区间I 上的可导函数()F x ,使得对任一x ∈I ,有()()F x f x '=.将在第五章给出此定理的证明.这个定理简单地说就是:连续函数一定有原函数. 关于第二个问题的答案是如果原函数存在则不唯一.设()F x 是函数()f x 的一个原函数,即()()F x f x '=,则[()]()F x C f x '+=,其中C 是任意常数.这就是说,原函数存在的话,则有无穷多个.不妨假设()F x 与()G x 是函数()f x 的任意两个原函数, 则有()()F x f x '=,()()G x f x '=.从而有(()())0F x G x '-=,即()()F x G x C -=.因此,()f x 的任意两个原函数之间只相差一个常数.换句话说()f x 的原函数的全体可表示为()F x C +,其中C 为任意常数.据此,我们给出下述定义.在区间I 上,()f x 的带有任意常数项的原函数,称为()f x 在区间I 上的不定积分,记作()d f x x ⎰.其中记号⎰称为积分号,()f x 称为被积函数,()d f x x 称为被积表达式,x 称为积分变量.由不定积分的定义,如果()F x 为()f x 的一个原函数,则()d ()f x x F x C =+⎰ (C 为任意常数).●●例1 因为 32()3x x '=,所以233d x x x C =+⎰.141●●例2 因为当0x >时,1(ln )x x '=;当0x <时,11[ln()]()x x x x ''-=-=-,所以1(ln ||)x x'=,因此有1d ln ||x x C x=+⎰.●●例3 设曲线过点2(e ,3),且其上任一点处的斜率等于该点横坐标的倒数,求此曲线 的方程.解 设所求曲线方程为()y f x =,其上任一点(,)x y 处切线的斜率为d 1d y x x=,从而 1d ln ||y x x C x==+⎰,由2(e )3f =,得1C =,因此所求曲线方程为ln ||1y x =+.在直角坐标系中,()f x 的任意一个原函数()F x 的图形我们称为()f x 的一条积分曲线,不定积分()d f x x ⎰在几何上表示一簇积分曲线,这些积分曲线可由某一条积分曲线沿y 轴方向平移得到,它们在横坐标相同点处的切线有相同的斜率,因而切线相互平行.●●例4 一物体由静止开始作直线运动,t 秒末的速度是23t (m /s ),问:(1)在3s 末,物体与出发点之间的距离是多少?(2)物体走完216m 需多少时间?解 设物体的位置函数为()s s t =,则d ()d s v t t =,即2d 3d st t=,从而23d s t t =⎰=3t C +,由(0)0s =,得0C =,于是有3s t =.当3t =时,物体与出发点之间的距离3(3)27s t ==(m); 当216s =时,6t =(s).由原函数与不定积分的概念可得:d()d ()d f x x f x x =⎰或 d ()d ()d f x x f x x =⎰; ()d ()F x x F x C '=+⎰ 或 d ()()F x F x C =+⎰.由此可见,微分运算与不定积分运算互为逆运算,对函数()f x 先积分再微分,作用互相抵消;对函数()F x 先微分再积分,其结果只差一个常数.二、基本积分表因为不定积分运算是导数运算的逆运算,所以不难从导数公式得到相应的积分公式.现将一些基本积分公式罗列如下,通常称之为基本积分公式表.(1) d k x kx C =+⎰ (k 为常数),(2) 1d 1x x x C μμμ+=++⎰ (1μ≠-), (3) d ln ||xx C x =+⎰, (4) 2d arctan 1xx C x =++⎰,(5) arcsin x C =+, (6) cos d sin x x x C =+⎰, (7) sin d cos x x x C =-+⎰, (8) 22d sec d tan cos x x x x C x ==+⎰⎰, (9) 22d csc d cot sin xx x x C x==-+⎰⎰, (10)sec tan d sec x x x x C =+⎰,142 (11) csc cot d csc x x x x C =-+⎰, (12)e d e x x x C =+⎰, (13) d ln xxa a x C a=+⎰,(14)sh d ch x x x C =+⎰,(15) ch d sh x x x C =+⎰.以上公式可以联系求导公式记忆,且要求能够灵活运用.三、不定积分的性质根据不定积分的定义,可以得到下列性质. 性质1 设函数()f x 及()g x 的原函数存在,则[()()]d ()d ()d f x g x x f x x g x x ±=±⎰⎰⎰.证 因为([()()]d )()()f x g x x f x g x '±=±⎰,[()d ()d ]f x x g x x '±=⎰⎰[()d ][()d ]f x x g x x ''±⎰⎰=()()f x g x ±.由不定积分及原函数的定义,性质1得证.性质1可以推广到有限个函数的情形.性质2 设函数()f x 的原函数存在,k 为非零常数,则()d ()d kf x x k f x x =⎰⎰. 证 与性质1的证明类似,从略.利用基本积分表和不定积分的两个性质,通过对被积函数作恒等变形,可以求出一些简单的不定积分,这种求积分的方法通常叫直接积分法.●●例5求解4133d 3x x xC C --=-+=+⎰.●●例6求5)d x x .解3225)d (5)d x x x x x =-⎰322d 5d x x x x =-⎰⎰532123x x C =-+3123x x C =-. 检验积分结果是否正确,只要对结果求导,看它的导数是否等于被积函数,相等时结果是正确的,否则结果是错误的.●●例7 求32(1)d x x x +⎰. 解 33222(1)331d d x x x x x x x x ++++=⎰⎰2313d x x x x ⎛⎫=+++ ⎪⎝⎭⎰ 211d 3d 3d d x x x x x x x=+++⎰⎰⎰⎰21133ln ||2x x x C x =++-+. ●●例8 求221d (1)x x x x x -++⎰.143解 22221(1)d d (1)(1)x x x x x x x x x x -++-=++⎰⎰211d d 1x x x x =-+⎰⎰ln||arctan x x C =-+. ●●例9 求23e d x x x ⎰.解 23e d xxx =⎰9e d xxx ⎰(9e)d xx =⎰(9e)ln(9e)x C =+23e 12ln3x xC =++. ●●例10 求2cot d x x ⎰.解 22cot d (csc 1)d x x x x =-⎰⎰2csc d d x x x =-⎰⎰cot x x C =--+.●●例11 求2cos d 2xx ⎰.解 2cos d 2x x ⎰1cos d 2x x +=⎰11d cos d 22x x x =+⎰⎰1(sin )2x x C =++.●●例12 设 1,1,()1,2,x x f x x x +≤⎧=⎨>⎩求()d f x x ⎰.解 因为当1x ≤时,()1f x x =+,即21()d ;2x f x x x C =++⎰当1x >时,()2f x x =,此时22()d f x x x C =+⎰.又因为()f x 的原函数在(,)-∞+∞上每一点都连续,所以211lim 2x x x C -→⎛⎫++= ⎪⎝⎭221lim()x x C +→+ 从而有121112C C ++=+,即1212C C +=.记1C C =,则 22,1,2()d 1, 1.2x x C x f x x x C x ⎧++≤⎪⎪=⎨⎪++>⎪⎩⎰由例12可知,当被积函数是一个分段连续函数时,它的原函数必定为连续函数,可以先分别求出各区间段上的不定积分,再由原函数的连续性确定各积分常数之间的关系,注意不定积分中只含有一个任意的常数.习 题 4-11.求下列不定积分:(1) 5d x -⎰; (2) 2(23)d x x x +⎰;(3) 221d (1)x x x x x +++⎰;(4) 2cot d x x ⎛⎫⎪⎭⎰;(5) 3102d x x x ⎰;(6) 2sin d 2xx ⎰;144 (7) cos2d cos sin xx x x+⎰;(8) 22cos2d cos sin xx x x⎰;(9) sec (sec tan )d x x x x -⎰; (10){}max ||,1d x x ⎰. 2.设某曲线上任意点处的切线的斜率等于该点横坐标的立方,又知该曲线通过原点,求此曲线方程.3.验证函数21sin 2x ,21cos 2x -,1cos 24x -是某同一函数的原函数.第二节 换元积分法应用不定积分的性质和基本积分公式只能计算出一些简单的函数的不定积分,对计算较复杂的函数的不定积分,根据函数的不同形式,需要一定的计算技巧.本节与下节所讲的换元积分法和分部积分法是计算不定积分最基本、最常用的两种方法.一、第一类换元积分法设函数()F u 为函数()f u 的原函数,即()()F u f u '=或()d ()f u u F u C =+⎰.如果()u x ϕ=,且()x ϕ可微,则d[()]()()()()[()]()d F x F u x f u x f x x xϕϕϕϕϕ''''===. 即[()]F x ϕ为[()]()f x x ϕϕ'的原函数,从而()()[()]()d [()][()][()d ]u x u x f x x x F x C F u C f u u ϕϕϕϕϕ=='=+=+=⎰⎰.因此有如下定理:设()f u 存在原函数,()u x ϕ=可微,则()[()]()d [()d ]u x f x x x f u u ϕϕϕ='=⎰⎰ (1) 公式(1)称为第一类换元积分公式.由此定理可见,被积表达式中的d x 也可以当作变量x 的微分来看待.如何应用公式(1)来求不定积分呢?为了求不定积分()d g x x ⎰,把它凑成如下的形式[()]()d f x x x ϕϕ'⎰,作代换()u x ϕ=,于是得()d f u u ⎰,若()d f u u ⎰=()F u C +,再代回原来的变量x ,就求得积分()d [()]g x x F x C ϕ=+⎰.由于在积分过程中,将()x ϕ'与d x 凑成d ()x ϕ,所以第一类换元积分法也叫凑微分法.●●例1 求2sin 2d x x ⎰. 解 令2u x =,有2sin 2d sin 2(2)d sin d cos x x x x x u u u C '===-+⎰⎰⎰,将2u x =回代,得2sin 2d x x ⎰cos 2x C =-+.●●例2 求1d 12x x-⎰.145解 11111d (2)d (12)d 12212212x x x x x x x '=--=-----⎰⎰⎰11d(12)212x x=---⎰, 令12u x =-,得1d 12x x =-⎰111d ln ||22u u C u -=-+⎰1ln |12|2x C --+=. ●●例3求x . 解x =2)d x x '--2)x =-- 令21u x =-,则xu =-1122d 2u u u C -=-=-+=-⎰1222(1)x C -+. 对换元法熟练后,可直接凑微分,省去换元、还原中间变量步骤. ●●例4 求22e d x x x ⎰.解 22e d x x x ⎰=22e ()d x x x '⎰222e d()e x x x C ==+⎰. ●●例5 求tan d x x ⎰.解 tan d x x ⎰=sin 1d d(cos )ln |cos |cos cos x x x x C x x=-=-+⎰⎰. 类似可求得cot d x x =⎰ln |sin |x C +. ●●例6 求221d (0)x a a x ≠+⎰.解 22222111111d d d arctan 11x x x x C a x a a a aa x x a a ⎛⎫===+ ⎪+⎝⎭⎛⎫⎛⎫++ ⎪ ⎪⎝⎭⎝⎭⎰⎰⎰.类似地可求得arcsin xC a =+ (0)a >. ●●例7 求221d (0)x a x a ≠-⎰. 解 221111d d 2x x x a a x a x a ⎛⎫=- ⎪--+⎝⎭⎰⎰111[d()d()]2x a x a a x a x a=--+-+⎰⎰ 1[ln ||ln ||]2x a x a C a =--++ 1ln ||x a C x a -=++. ●●例8求x . 解xx =⎰2=⎰C =-.●●例9 求x .146 解xarcsin x x =⎰21arcsin d(arcsin )(arcsin )2x x x C ==+⎰.●●例10求x .解x1221d (arctan )d(arctan )1x x x x ==+⎰322(arctan )3x C =+. ●●例11 求2ed 1e x xx +⎰. 解 2e d 1exx x +⎰21e d 1e xx x =⋅+⎰21d(e )1(e )x x =+⎰arctan(e )x C =+. ●●例12 求1d ln x x x ⎰.解 1d ln x x x ⎰111d d(ln )ln |ln |ln ln x x x C x x x=⋅==+⎰⎰.下面积分的过程中,往往要用到一些三角恒等式.●●例13 求csc d x x ⎰.解 11csc d d d sin 2sin cos 22x x x x x x x ==⎰⎰⎰=21d 2tan cos 22x x x ⎰1d tan 2tan 2x x ⎛⎫= ⎪⎝⎭⎰=ln |tan |2x C +,因为tan 2x =2sin 2sin 1cos 22csc cot sin sin cos 2x x x x x x x -===-,所以 csc d x x =⎰ln |csc cot |x x C -+.●●例14 求sec d x x ⎰.解 sec d x x ⎰ππcsc()d()22x x =++⎰ππln csc()cot()22x x C =+-++ln |sec tan |x x C =++.●●例15 求5cos d x x ⎰.解 5cos d x x ⎰=4cos cos d x x x ⋅=⎰4cos d(sin )x x =⎰22(1sin )d(sin )x x -⎰=24(12sin sin )d(sin )x x x -+⎰=3521sin sin sin 35x x x C -++.●●例16 求33tan sec d x x x ⎰.解 33tan sec d x x x ⎰22tan sec tan sec d x x x x x =⋅⎰22tan sec d(sec )x x x =⎰22(sec 1)sec d(sec )x x x =-⎰42(sec sec )d(sec )x x x =-⎰5311sec sec 53x x C =-+.147●●例17 求2cos d x x ⎰.解 21cos21cos d d [d cos2d ]22x x x x x x x +==+⎰⎰⎰⎰ 11cos2d(2)sin 22424x x x x x C =+=++⎰. ●●例18 求4sec d x x ⎰. 解 4sec d x x ⎰=2222sec sec d sec d(tan )(tan 1)d(tan )x x x x x x x ⋅==+⎰⎰⎰31tan tan 3x x C =++. ●●例19 求24tan sec d x x x ⎰.解 24tan sec d x x x ⎰=222tan sec sec d x x x x ⋅⎰22tan sec d(tan )x x x =⎰22tan (tan 1)d(tan )x x x =+⎰42(tan tan )d(tan )x x x =+⎰5311tan tan 53x x C =++. ●●例20 求sin sin3d x x x ⎰.解 利用积化和差公式:1sin sin [cos()cos()]2αβαβαβ=-+--,sin sin3d x x x ⎰1[cos4cos(2)]d 2x x x =---⎰11cos4d cos2d 22x x x x =-+⎰⎰ 11cos4d(4)cos2d(2)84x x x x =-+⎰⎰ 11sin 4sin 284x x C =-++. 二、第二类换元积分法有些积分采用前面所学的积分方法来计算很困难甚至无法计算,而要采用下面将要介绍的所谓第二类换元积分法来求积分.设()x t ϕ=是单调的可导函数,且()0t ϕ'≠.又设[()]()f t t ϕϕ'具有原函数,则有换元公式()d f x x ⎰1()[[()]()d ]t x f t t t ϕϕϕ-='=⎰, (2) 其中1()t x ϕ-=为()x t ϕ=的反函数.证 设[()]()f t t ϕϕ'的原函数为()t Φ,记1[()]()x F x ϕ-Φ=,利用复合函数及反函数的求导法则,得d d ()d d tF x t xΦ'=⋅=1[()]()()f t t t ϕϕϕ'⋅'[()]()f t f x ϕ==, 即()F x 是()f x 的一个原函数.所以有()d ()f x x F x C =+=⎰1[()]x C ϕ-Φ+1()[[()]()d ]t x f t t t ϕϕϕ-='=⎰公式(2)称为第二类换元积分公式. ●●例21求x (0)a >.148 解 令sin x a t =,ππ()22t -<<cos a t =,d cos d x a t t =,因此有cos cos d x a t a t t =⎰22cos d a t t =⎰21cos2d 2t a t +=⎰22sin 224a a t t C =++22sin cos 22a a t t t C =++ . 因为sin x a t =,ππ()22t -<<,所以sin x t a=,arcsin ,xt a =cos t =于是x21arcsin 22a x C a =+.●●例22求 (0)a >.解 令tan x a t =,ππ22t -<<sec a t =,2d sec d x a t t =,因此有2111sec d sec d sec ln |sec tan |a t t t t a txt t C C a===++=+⎰⎰ln |x C =+其中1ln C C a =-.为了把新变量t 还原为x 的函数,可以根据tan xt a=作辅助三角形,俗称小三角形还原法,如图4-1所示.●●例23求(0a >).解 被积函数的定义域为x a >和x a <-两个区间,故在两个区间分别求不定积分.(1) 当x a >时,设πsec (0)2x a t t =<<,则tan a t ,且d sec tan d x a t t t =.故sec tan d sec d tan a t tt t ta t==⎰⎰ln(sec tan ).t t C =++为了把sec t 及tan t 换成x 的函数,依据sec xt a=作辅助三角形(图4-2),得tan t =,所以,1ln x C a ⎛=+ ⎝⎭ln(,x C =+其中1ln .C C a =- (2)当x a <-时,令x u =-,那么u a >,由以上分析有(1ln u C=-=-++1ln(x C=--+1C=+(ln x C=-+,其中12ln.C C a=-综合以上(1)与(2)两种分析情况,把以上两个结果合起来,可写成ln|x C=+.sinx a t=去根号;当被积时,作代换secx a t=换tanx a t=去根号.时,为了去根号,还可用公式22ch sh1t t-=,采用双曲代换sh,chx a t x a t==来去根号.如例22中,可设shx a t=,==cha t,即可去根号.有些积分的计算可采用所谓的倒代换.●●例24求.解设1,xt=那么21d dx tt=-,于是21d t-==-(arcsin)t C=-±+1arcsin||Cx=-+.在本节的几个例题中,有几个积分是以后经常会遇到的,所以它们也常被当作公式来使用,现罗列如下:(16)tan d ln|cos|x x x C=-+⎰, (17)cot d ln|sin|x x x C=+⎰, (18)sec d ln|sec tan|x x x x C=++⎰, (19)csc d ln|csc cot|x x x x C=-+⎰,(20)22d1arctanx xCa x a a=++⎰, (21)22d1ln2x x aCx a a x a-=+-+⎰, (22)arcsinxCa=+, (23)ln(x C=++, (24)ln x C=+.●●例25 求2d23xx x++⎰.解22d1d23212xxx x x x=+++++⎰⎰1)x=+,利用公式(20)便得2d23xCx x=++⎰.149150 ●●例26求解==利用公式(23)便得ln(1x C =+++ln(1x C =++.●●例27求解1d x ⎛⎫- ⎪=利用公式(22)便得21arcsin 3x C -=+. 习 题 4-21.填空:(1) 21d d()x x=;(2) 1d d()x x=;(3) e d d()x x =; (4) 2sec d d()x x =; (5) sin d d()x x =;(6) cos d d()x x =;d()x =;d()x =; (9) tan sec d d()x x x =;(10) 21d d()1x x =+;d()x =;(12) d d()x x =.2.求下列不定积分:(1) x ; (2)4ln d x x x⎰;(3) 12ed xx x ⎰;(4)23(e 2e 2)e d x x x x ++⎰;(5) ;(6)21ln d (ln )xx x x +⎰;(7) 1d ln lnln x x x x ⎰;(8)1d e ex xx -+⎰;(9) x ; (10) 32d 3x x x+⎰;151(11) x ;(12) 21d 2x x x --⎰;(13) 2sin ()d t t ωϕ+⎰;(14) x ;(15) ln cot d sin 2xx x⎰;(16) x ;(17) 4cos d x x ⎰;(18)x ; (19)3cos d x x ⎰(20)arccos xx ;(21)x(22)x ; (23)35sin cos d x x x ⎰ (24)35tan sec d x x x ⎰; (25)cos5sin 4d x x x ⎰; (26)34tan sec d x x x ⎰;(27)x; (28)x(29);(30)x ;(31)2x ; (32)21d 323x x x ++⎰(33)x ;(34)x第三节 分部积分法前面一节我们利用复合函数的求导法则得到了换元积分法,利用它可以求出一些函数的积分,但是对于形如e d x x x ⎰、ln d x x x ⎰、sin d x x x ⎰等的积分,用直接积分法或换元积分法都无法计算. 这些积分的被积函数都有共同的特点,即都是两种不同类型函数的乘积,这就启发我们把两个函数乘积的微分法则反过来用于求这类不定积分,这就是另一个基本的积分方法:分部积分法.设函数()u u x =、()v v x =具有连续导数,则有[()()]()()()()u x v x u x v x u x v x '''=+, 两端求不定积分,得()()()()d ()()d u x v x u x v x x u x v x x ''=+⎰⎰,移项得 ()()d ()()()()d u x v x x u x v x u x v x x ''=-⎰⎰, 或()d ()()()()d ()u x v x u x v x v x u x =-⎰⎰,152 为方便起见,简记为d d u v x u v vu x ''=-⎰⎰ (1) 或d d u v u v v u =-⎰⎰ (2) 公式(1)或(2)称为不定积分的分部积分公式.当()()d u x v x x '⎰不容易积分,但()()d u x v x x '⎰容易积分时,我们就可以用分部积分把不容易积分的()()d u x v x x '⎰计算出来. ●●例1 求sin d x x x ⎰.解 令u x =,sin (cos )v x x ''==-,代入分部积分公式得sin d d(cos )x x x x x =-⎰⎰cos cos d x x x x =---⎰cos sin x x x C =-++.值得注意,如在例1中,若是令sin u x =,22x v x '⎛⎫'== ⎪⎝⎭,代入分部积分公式得2sin d sin d()2x x x x x =⎰⎰22sin d(sin )22x x x x =-⎰22sin cos d 22x x x x x =-⎰.上式最后一个积分比原来的积分还复杂,由此可知,若u v 、的选取不当,可能使积分计算很复杂甚至计算不出来. ●●例2 求2e d x x x ⎰.解 22222e d d(e )e e d()e 2e d x x x x x x x x x x x x x x ==-=-⎰⎰⎰⎰22e 2de e 2(e e d )x x x x x x x x x x =-=--⎰⎰2e 2e 2e .x x x x x C =-++从例1和例2可以看出,当被积函数是幂函数与正弦(余弦)函数乘积或是幂函数与指数函数乘积,分部积分时,取幂函数为u ,其余部分凑为d v . ●●例3 求ln d x x x ⎰.解 22211ln d ln d()ln d(ln )22x x x x x x x x x ⎡⎤==-⎣⎦⎰⎰⎰()22222111ln d ln 22211ln .24x x x x x x x C x x x C ⎛⎫=-=-+ ⎪⎝⎭=-+⎰ ●●例4 求arctan d x x x ⎰.解 22211arctan d arctan d()arctan d(arctan )22x x x x x x x x x ⎡⎤==-⎣⎦⎰⎰⎰ 222221arctan d 2111arctan 1d 21x x x x x x x x x ⎛⎫=- ⎪+⎝⎭⎡⎤⎛⎫=-- ⎪⎢⎥+⎝⎭⎣⎦⎰⎰153()21arctan arctan 2x x x x C =-++. 从例3和例4可以看出,当被积函数是幂函数与对数函数乘积或是幂函数与反三角函数函数乘积,分部积分时,取对数函数或反三角函数为u ,其余部分凑为d v . ●●例5 求arcsin d x x ⎰.解 arcsin d x x ⎰arcsin d(arcsin )x x x x =-⎰arcsin x x x =-21arcsin )2x x x =+-arcsin x x C =.●●例6 求ln d x x ⎰.解 ln d x x ⎰ln d(ln )x x x x =-⎰1ln d x x x x x=-⋅⎰ln d x x x =-⎰ln x x x C =-+.从例5和例6可以看出,当某些被积函数(如对数函数、反三角函数)是单个函数时,可选v x =直接用分部积分法求积分. ●●例7 求e sin d x x x ⎰.解 e sin d sin de e sin e d(sin )x x x x x x x x x ==-⎰⎰⎰e sin e cos d e sin cos d(e )e sin [e cos e d(cos )]e sin e cos e sin d ,x x x x xxxx x x x x x x x x x x x x x x =-=-=--=--⎰⎰⎰⎰因此得 1e sin d e (sin cos )2x x x x x x C =-+⎰.●●例8 求3sec d x x ⎰.解 3sec d sec d tan sec tan tan d(sec )x x x x x x x x ==-⎰⎰⎰2233s e c t a n t a n s e c d s e c t a n (s e c 1)s e c d s e c t a n s e c ds e c ds e c t a n l n |s e ct a n |s e cd ,x x x x x x x x x x x x x x x x x x x x x x =-=--=-+=++-⎰⎰⎰⎰⎰因此得()31sec d sec tan ln |sec tan |2x x x x x x C =+++⎰ ●●例9 求22d ()n nxI x a =+⎰(n 为正整数).解 用分部积分法,当1n >时,有154 222122122d 2(1)d ()()()n n n x x x n x x a x a x a --=+-+++⎰⎰22212212212(1)d ()()()n n n x a n x x a x a x a --⎛⎫=+-- ⎪+++⎝⎭⎰, 即2112212(1)()()n n n n xI n I a I x a ---=+--+, 于是122211(23)2(1)()n n n xI n I a n x a --⎡⎤=+-⎢⎥-+⎣⎦. 以此作递推公式,并由11arctan xI C a a=+,即可得n I .在积分过程中,有时分部积分法与其他方法结合使用,会更加容易积分. ●●例10求x ⎰.解 令t =,则 2x t =,d 2d x t t =,因此e 2d 2e d 2de 2(e e )t t t t t x t t t t t t C ====-+⎰⎰⎰⎰1)C =+.习 题 4-3求下列积分: (1) sin 2d x x x ⎰; (2) e d x x x -⎰; (3) 2ln d x x x ⎰; (4) arccos d x x ⎰; (5) 2cos d x x x ⎰; (6) e sin 2d x x x -⎰; (7) 2arctan d x x x ⎰;(8) 2cos d x x x ⎰; (9)x ;(10)23e d x x x ⎰; (11)cosln d x x ⎰;(12)()d xf x x ''⎰.第四节 几种特殊类型函数的积分我们已知道,任何一个初等函数的导数仍为初等函数,而相当多的初等函数虽然也存在原函数,但它们的原函数却不是初等函数,也就是通常说的“这个不定积分积不出来”.例如,sin d x x x ⎰, 2sin d x x ⎰,2e d x x -⎰.这些不定积分都积不出来.下面再举几个著名的积不出来的不定积分:x ,2d (1sin )x k x +⎰(01)k <<.155分别称为第一、二、三种椭圆积分.它们是在计算椭圆弧长时碰到的,故由此而得名.法国数学家刘维尔(Liouville)曾证明了它们的积分不能用初等函数表示,故积不出来.下面介绍几类特殊类型函数的不定积分.一、有理函数的积分形如10111011()()n n n nm m m ma x a x a x a P x Q xb x b x b x b ----++++=++++ (1)的函数称为有理函数.其中012,,,,n a a a a 及012,,,,m b b b b 为常数,且00a ≠,00b ≠.如果(1)式中多项式()P x 的次数n 小于多项式()Q x 的次数m ,则称此分式为真分式;如果多项式()P x 的次数n 大于或等于多项式()Q x 的次数m ,称分式为假分式.利用综合除法(带余除法)可得,任意一个假分式可转化为多项式与真分式之和.例如:422212111x x x x x x +++=-+++, 因此,我们只需研究真分式的积分.根据多项式理论,任一多项式()Q x 在实数范围内能分解为一次质因式和二次质因式的乘积,即220()()()()()Q x b x a x b x px q x rx s αβλμ=--++++(2)其中2240,,40p q r s -<-<.如果(1)的分母多项式分解为(2)式,则(1)式可分解为如下部分分式之和:121211()()()()()()()()B A A A B B P x Q x x a x a x a x b x b x b βαααββ--=+++++++++------11222212()()()M x N M x N M x N x p x q x p x q x p x qλλλλ-++++++++++++++ 11222212()()()R x S R x S R x S x rx s x rx s x rx s μμμμ-+++++++++++++(3)其中,,,,,i i i i i A B M N ,R 及i S 均为常数.例如 22221(1)(1)(1)x x x x x ++++1A x =+21A x +32(1)A x +++1121M x N x ++2221M x N x x ++++3322(1)M x N x x ++++. 把真分式写成部分分式的代数和时,每个k 重因子(一次或二次)一定要有k 项;每个一次因子所对应的部分分式分子是常数,每个二次质因式所对应的分式的分子是一次因式,含两个常数,分式中的常数可以用“待定系数法”或“赋值法”来确定.我们用具体例子来说明.●●例1 将真分式232(1)(2)x x x ++-分解为最简分式.解 设 231213232(1)(2)1(1)(1)2A A AB x x x x x x x +=++++-+++-,通分整理后,有156 ********(2)(1)(2)(1)(2)(1)x A x A x x A x x B x +=-++-++-++(4)3211213211()(3)(33)A B x A B x A A A B x =++++--+3211(222)A A A B +---+比较两端同类项系数,得方程组1121321132110313302222A B A B A A A B A A A B +=⎧⎪+=⎪⎨--+=⎪⎪---+=⎩解得 129A =-, 213A =, 31A =-, 129B =.或者在(4)式中应用赋值法,更简单些. 令1x =-,得 333A =-,31A =-.令2x =, 得 1627B =,129B =.令0x =, 得 32112222A A A B =---+.(5) 令1x =, 得 32113248A A A B =---+.(6)联立(5)与(6)式, 得129A =-,213A =,于是232322112(1)(2)9(1)3(1)(1)9(2)x x x x x x x +=-+-++-+++-.●●例2 求22d 23x x x x -++⎰.解 由于分母已为二次质因式,而且分子可写为12(22)32x x -=+-21(23)32x x '=++-,于是22222221(22)322d d 23231(23)d d 3223231d(23) 3223x x x xx x x x x x xx x x x x x x x x +--=++++'++=-++++++=-++⎰⎰⎰⎰⎰21ln(23)2x x C =+++. ●●例3 求44d 1x x -⎰.解 因为4241121111x x x x =----++,所以 424112d d 1111x x x x x x =----++⎰⎰2112d d d 111x x x x x x=---++⎰⎰⎰1572112d(1)d(1)d 111x x x x x x=--+--++⎰⎰⎰1ln 2arctan 1x x C x -=-++. 由上面的例子可知,把真分式分解为部分分式的代数和,并用待定系数法或赋值法求出分解式中的常数后,求有理函数的不定积分,可归结为求下列部分分式的不定积分A x a -,()kA x a -,2()k Mx N x px q +++ 前两类函数的不定积分我们都能求.关键是第三类函数的不定积分,下面讨论它的计算.把分母中的二次质因式配方,得22224p p x px q x q ⎛⎫++=++- ⎪⎝⎭,令2p x t +=,则d d x t =,并记222x px q t a ++=+,Mx N Mt b +=+,其中224p a q =-,2Mpb N =-,于是有 22222d d d ()()()n n n Mx N Mt t b tx x px q t a t a +=+++++⎰⎰⎰,当1n =时,有222222d d d 2ln()arctan .2Mx N Mt t b tx xpx q t a t a px M bx px q C aa +=++++++=++++⎰⎰⎰ 当1n >时,有222122d d ()2(1)()()n n n Mx N M tx b x px q n t a t a -+=-+++-++⎰⎰, 上式最后一个积分的求法见本章第三节例9.总之,有理函数的积分,理论上总可以积出来,它的原函数是初等函数,即有理函数的积分是初等函数.●●例4 求2221d (22)x x x x +-+⎰. 解 在本题中,由于被积函数的分母只有单一因式,因此,部分分式分解能被简化为2222221(22)(21)(22)(22)x x x x x x x x +-++-=-+-+222121.22(22)x x x x x -=+-+-+ 现分别计算部分分式的不定积分如下:122d d(1)arctan(1).22(1)1x x x C x x x -==-+-+-+⎰⎰158222221(22)1d d (22)(22)x x x x x x x x --+=-+-+⎰⎰222d(22)(22)x x x x -+=+-+⎰22d(1)(1)1x x -⎡⎤-+⎣⎦⎰2221d(1)22(1)1x x x x --=+-+⎡⎤-+⎣⎦⎰, 令1x t -=, 由递推公式,求得22d(1)(1)1x x -=⎡⎤-+⎣⎦⎰2222d 1d (1)2(1)21t t t t t t =++++⎰⎰ 2211arctan(1).2(22)2x x C x x -=+-+-+ 于是得到2222133d arctan(1)(22)2(22)2x x x x C x x x x +-=+-+-+-+⎰,其中12C C C =+. 二、可化为有理函数的积分举例由函数()u x 、()v x 及常数经过有限次四则运算所得的函数称为关于()u x 、()v x 的有理式,并用((),())R u x v x 来表示. 例如,(sin ,cos )d R x x x ⎰是关于sin x 、cos x 的有理式的不定积分.通过代换tan 2xu =(ππx -<<),可把这种类型的积分化为以u 为变量的有理函数的积分,因为22222sin cos 2tan2222sin 2sin cos ,221sin cos 1tan 222x x x x x u x x x x u ====+++ 2222222222cos sin 1tan 1222cos cos sin ,221sin cos 1tan 222x x x x x u x u ---=-===+++22d d(2arctan )d 1x u u u==+. 所以 2222212d (sin ,cos )d (,)111u u uR x x x R u u u -=+++⎰⎰. ●●例5 求1sin d sin (1cos )xx x x ++⎰. 解 作变量代换 tan 2xu =,可得22sin 1u x u =+,221cos 1u x u -=+,22d d 1x u u =+,159因此得22222211sin 2111d d (2)d sin (1cos )1221111ux u x u u u x x uu u u u u +++=⋅=++++⎛⎫-+ ⎪++⎝⎭⎰⎰⎰ 21(2ln ||)22u u u C =+++211tan tan ln |tan |42222x x xC =+++.●●例6 求cot d sin cos 1xx x x ++⎰.解 作变量代换 tan 2xu =,可得22sin 1u x u =+,221cos 1u x u -=+,22d d 1x u u =+, 因此得2221cot 22d d 21sin cos 11111u x u x u u u x x u u u -=⋅-+++++++⎰⎰1111d (d d )(ln ||)222u u u u u u C u u -==-=-+⎰⎰⎰1(ln tan tan )222x xC =-+. 一些简单的无理函数的积分可以通过变量代换化为有理函数的积分. ●●例7求解u =,得 32x u =-,2d 3d x u u =,代入得2223111d 3d 31d 111 3(ln |1|)2u u u u u u u u u uu u C-+⎛⎫===-+ ⎪+++⎝⎭=-+++⎰⎰⎰3ln |1C =+. ●●例8 求.解令16t x =,得5d 6d x t t =,代入得2563226d 1116d 6d ()1t t t t t tt t t t t t ⋅⎛⎫===-⎪+++⎝⎭⎰⎰⎰6[ln ln(1)]ln 1)t t C x C =-++=-+.●●例9 求x .解 t =,则2211t x t-=+,224d d (1)t x t t -=+;代入得160 x 2224d (1)(1)t t t t -=-+⎰2222d 11t t t ⎛⎫=+ ⎪-+⎝⎭⎰1ln2arctan 1t t C t -=+++C =+.例8、例9式为u ,这样的变换具有反函数,且反函数为有理函数,从而可将原积分化为有理函数的积分.习 题 4-4求下列不定积分:(1)3d 1x x x -⎰;(2)5438d x x x x x +--⎰; (3)2222213d (2)(1)x x x x x ++-+⎰; (4)226114d (1)x x x x x -+-⎰; (5)32d 1xx x x x -+-⎰; (6)2dx⎰;(7)x ; (8)x . 第五节 积分表的使用通过前面的讨论可以看出,积分的计算要比导数的计算显得更加灵活、复杂,我们会遇到更多不同类型的不定积分的计算问题,为了应用上的方便,把常用的积分公式汇集成表,这种表叫做积分表.积分表是按照被积函数的类型来排列的,求积分时,可根据被积函数的类型直接或经过简单的变形后,在表内查得所需的结果. 本书末附录4是一份简单的积分表,可供查阅.●●例1 求2d (1)xx x +⎰. 解 被积函数含有a bx +,在积分表(二)中查得公式(4)()221d ln x a x a bx C b a bxa bx ⎛⎫=+++ ⎪+⎝⎭+⎰, 现在1a =,1b =,于是21d ln 1(1)1x x x C x x =+++++⎰.●●例2求.解这个积分不能在表中直接查到,需要先进行变量代换.令2x u=2ux=,dd2ux=,于是1d2u==⎰34)1Ca=-+,现在2a=,x相当于u,于是有12C=-,再把2u x=代入,最后得到12C=.●●例3 求4sin d x x⎰.解在积分表(八)中查到公式(50)12sin cos1sin d sin dnn nx x nx x x xn n---=-+⎰⎰,现在4n=,于是有342sin cos3sin d sin d44x xx x x x=-+⎰⎰,对积分2sin d x x⎰,利用公式(48),得21sin d sin224xx x x C=-+⎰,从而所求积分为34sin cos31sin d sin24424x x xx x x C⎛⎫=-+-+⎪⎝⎭⎰.一般说来,查积分表可以节省计算积分的时间,但只有掌握了前面学习过的基本积分公式才能灵活地使用积分表,而且对一些比较简单的积分,应用基本积分法来计算比查表更快些,例如23sin cos dx x x⎰,用变换sinu x=很快就可得到结果,所以求积分时,究竟是直接计算,还是查表,或两者结合使用,应该具体问题具体分析,从而选择一个更快捷的方式.习题4-5利用积分表计算下列不定积分:(1);(2)3ln d x x⎰;(3)221d(1)xx+⎰;(4);161162 (5)x x ⎰; (6)(7) 6cos d x x ⎰;(8)2e sin3d x x x -⎰.第六节 数学模型●●例 (石油的消耗量)近年来,世界范围内每年的石油消耗率呈指数增长,增长指数大约为0.07. 1970年初,消耗率大约为每年161亿桶.设()R t 表示从1970年起第t 年的石油消耗率,则0.07()161e t R t =(亿桶).试用此式估算从1970年到1990年间石油消耗的总量.解 设()T t 表示从1970年起(0t =)直到第t 年的石油消耗总量.我们要求从1970年到1990间石油消耗的总量,即求(20)T .由于()T t 是石油消耗的总量,所以()T t '就是石油消耗率()R t ,即()()T t R t '=,那么()T t 就是()R t 的一个原函数.0.070.070.07161()()d 161e d e 2 300e 0.07t tt T t R t t t C C ===+=+⎰⎰. 因为 (0)0T =,所以, 2 300C =-,得 0.07() 2 300(e 1)t T t =-.从1970年到1990年间石油的消耗总量为:0.0720(20) 2 300(e 1)7 027T ⨯=-≈(亿桶).第七节 数学实验利用Matlab 软件中的函数int 可以对不定积分进行符号计算,其调用格式和功能如下说明:在初等函数范围内,不定积分有时是不存在的,也就是说,即使()f x 是初等函数,但是不定积分()d f x x ⎰却不一定是初等函数.例如,2e x -,sin xx ,e x x,1log a x 是初等函数,而2ed x x -⎰,sin d x x x ⎰,e d xx x⎰,1d log a x x ⎰却不能用初等函数表示出来.比如,输入程序: >> syms x>> F=int(sin(x)/x) 运行后屏幕显示:F =sinint(x)其中sinint(x)是非初等函数,称作积分正弦函数.在使用int 函数求不定积分时,读者要注意这种情况.●●例1 求2sin dx x x⎰.解用符号积分命令int计算此积分,Matlab程序为>> syms x;>> int(x^2*sin(x))结果为ans =-x^2*cos(x)+2*cos(x)+2*x*sin(x) 如果用微分命令diff验证积分正确性,Matlab程序为>> diff(-x^2*cos(x)+2*cos(x)+2*x*sin(x))结果为ans =x^2*sin(x)●●例2 求下列函数的一个原函数:(1);(2)sec(sec tan)x x x-;(3)11cos2x+;(4(5)2arctanx x;(6)223310xx x++-解(1)相应的Matlab程序为>> clear all;>> syms x;>> f=x*sqrt(x);>> int(f,x)结果为ans =2/5*x^(5/2);(2)相应的Matlab程序为>> clear all>> syms x;>> f=sec(x)*(sec(x)-tan(x));>> int(f,x)结果为ans =sin(x)/cos(x)-1/cos(x);(3)相应的Matlab程序为>> clear all>> syms x;>> f=1/(1+cos(2*x));>> int(f,x)结果为ans =1/2*tan(x);(4)相应的Matlab程序为>> clear all>> syms x;>> f=log(x+1)/sqrt(x+1);>> int(f,x)结果为ans =2*log(x+1)*(x+1)^(1/2)-4*(x+1)^(1/2);(5)相应的Matlab程序为163164 >> clear all >> syms x ;>> f=x^2*atan(x); >> int(f,x)结果为ans =1/3*x^3*atan(x)-1/6*x^2+1/6*log(x^2+1);(6)相应的Matlab 程序为 >> clear all >> syms x ;>> f=(2*x+3)/(x^2+3*x-10); >> int(f,x)结果为ans =log(x^2+3*x-10).●●例3 设曲线通过点(1,2),且其切线的斜率为2329x x +-,求此曲线的方程并绘制其图像.解 设所求的曲线方程为()y f x =,根据题意,2329y x x '=+-,所以2d (329)d y y x x x x '==+-⎰⎰相应的Matlab 程序为 >> syms x C ;>> f=3*x^2+2*x-9; >> F=int(f)+C ; >> y=simple(F)结果为y =x^3+x^2-9*x+C.即斜率为2329x x +-的曲线方程为329y x x x C =+-+.又因为曲线通过点(1,2),代入曲线方程,得9C =.于是,所求曲线方程为3299y x x x =+-+. 作曲线图,输入程序 >> clear>> x=-5:0.1:5; f=3*x.^2+2*x-9;y=x.^2+x.^3-9*x+9; >> x0=1;y0=2;>> plot(x0,y0,'ro',x,f,'g*',x,y,'b-') >> grid>> legend('点(1,2)','函数f=3x^2+2x-9的曲线','函数f=3x^2+2x-9过点(1,2)的积分曲线')运行结果如图4-3.函数2329f x x =+-过点(1,2)的积分曲线图4-3165本章复习题A一、填空1. 已知()F x 是sin xx的一个原函数,则2d[()]F x = . 2. 已知函数()y f x =的导数为2y x '=,且1x =时2y =,则此函数为 . 3. 如果()d ln f x x x x C =+⎰,则()f x = .4.已知()d sin f x x x x C =++⎰,则e (e 1)d xxf x +⎰= . 5.如果 2(sin )cos d sin f x x x x C =+⎰,则()f x = .二、求下列不定积分1. 21cos d 1cos2x x x ++⎰;2.d 1e xx+⎰; 3.2352d 4x xx x ⋅-⋅⎰;4.2(arcsin )d x x ⎰;5.;6.322d (1)x x x +⎰;7.8.x ; 9.54tan sec d x x x ⎰;10.;11.23e d x x x ⎰;12.ln ln d x x x⎰.三、设 1,0,()1,01,1,2,x f x x x x x <⎧⎪=+≤≤⎨⎪>⎩求()d f x x ⎰.四、若I tan d ,n n x x =⎰,,3,2 =n 证明121I tan I 1n n n x n --=--. 本章复习题B一、填空1.已知()F x 是2e x -= . 2.若22(sin )cos f x x '=,则()f x = .3.设()f x '=,则(1)d f x x -⎰= .4.已知()f x 的一个原函数是2e x -,则()d xf x x '⎰= . 二、求下列不定积分1.2arctan e d e xxx ⎰;2.d sin 22sin xx x+⎰;。
高等数学(同济第七版)上册-知识点总结第一章 函数与极限一. 函数的概念1.两个无穷小的比较设0)(lim ,0)(lim ==x g x f 且l x g x f =)()(lim(1)l = 0,称f (x)是比g(x)高阶的无穷小,记以f (x) = 0[)(x g ],称g(x)是比f(x)低阶的无穷小。
(2)l ≠ 0,称f (x)与g(x)是同阶无穷小。
(3)l = 1,称f (x)与g(x)是等价无穷小,记以f (x) ~ g(x)2.常见的等价无穷小当x →0时 sin x ~ x ,tan x ~ x ,x arcsin ~ x ,x arccos ~ x ,1− cos x ~ 2/2^x , x e −1 ~ x ,)1ln(x + ~ x ,1)1(-+αx ~ x α 二.求极限的方法1.两个准则准则 1. 单调有界数列极限一定存在准则 2.(夹逼定理)设g (x ) ≤ f (x ) ≤ h (x )若A x h A x g ==)(lim ,)(lim ,则A x f =)(lim2.两个重要公式公式11sin lim 0=→xx x 公式2e x x x =+→/10)1(lim 3.用无穷小重要性质和等价无穷小代换4.用泰勒公式当x 0→时,有以下公式,可当做等价无穷小更深层次)()!12()1(...!5!3sin )(!...!3!2112125332++++-+++-=++++++=n n n n nx x o n x x x x x x o n x x x x e )(!2)1(...!4!21cos 2242n n n x o n x x x x +-+++-= )()1(...32)1ln(132n n n x o nx x x x x +-++-=++ )(!))1()...(1(...!2)1(1)1(2n n x o x n n x x x +---++-++=+ααααααα )(12)1(...53arctan 1212153+++++-+-+-=n n n x o n x x x x x 5.洛必达法则定理1 设函数)(x f 、)(x F 满足下列条件:(1)0)(lim 0=→x f x x ,0)(lim 0=→x F x x ; (2))(x f 与)(x F 在0x 的某一去心邻域内可导,且0)(≠'x F ;(3))()(lim 0x F x f x x ''→存在(或为无穷大),则 这个定理说明:当)()(lim 0x F x f x x ''→存在时,)()(lim 0x F x f x x →也存在且等于)()(lim 0x F x f x x ''→;当)()(lim 0x F x f x x ''→为无穷大时,)()(lim 0x F x f x x →也是无穷大. 这种在一定条件下通过分子分母分别求导再求极限来确定未定式的极限值的方法称为洛必达(H L 'ospital )法则.∞∞型未定式 定理2 设函数)(x f 、)(x F 满足下列条件:(1)∞=→)(lim 0x f x x ,∞=→)(lim 0x F x x ; (2))(x f 与)(x F 在0x 的某一去心邻域内可导,且0)(≠'x F ;(3))()(lim 0x F x f x x ''→存在(或为无穷大),则 注:上述关于0x x →时未定式∞∞型的洛必达法则,对于∞→x 时未定式∞∞型同样适用. 使用洛必达法则时必须注意以下几点:(1)洛必达法则只能适用于“00”和“∞∞”型的未定式,其它的未定式须先化简变形成“00”或“∞∞”型才能运用该法则; (2)只要条件具备,可以连续应用洛必达法则;(3)洛必达法则的条件是充分的,但不必要.因此,在该法则失效时并不能断定原极限不存在.6.利用导数定义求极限 基本公式)()()(lim 0'000x f xx f x x f x =∆-∆+→∆(如果存在) 7.利用定积分定义求极限基本格式⎰∑==∞→101)()(1lim dx x f n k f n n k n (如果存在) 三.函数的间断点的分类函数的间断点分为两类:(1)第一类间断点设0x 是函数y = f (x )的间断点。
授课教案
课程名称:高等数学
授课专业:
总学时:
开课单位:
制定人:
审核人:
制定时间:
教案
新课和新上课的教师要求写详案。
4.要求教师上课必带教案。
5.“备注”填写历年更新的内容(手写)。
6.教案可带附件(课程内容补充材料)。
教案
C
+
3
+5)5
C
+
新课和新上课的教师要求写详案。
4.要求教师每学期上交教案。
教案
新课和新上课的教师要求写详案。
4.要求教师每学期上交教案。
教案
新课和新上课的教师要求写详案。
4.要求教师上课必带教案。
5.“备注”填写历年更新的内容(手写)。
6.教案可带附件(课程内容补充材料)。
教案
新课和新上课的教师要求写详案。
4.要求教师上课必带教案。
5.“备注”填写历年更新的内容(手写)。
6.教案可带附件(课程内容补充材料)。
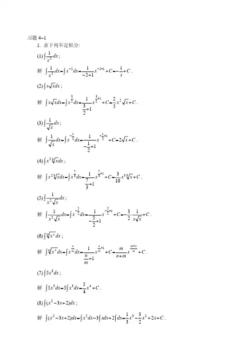
第4章不定积分习题4-11.求下列不定积分:知识点:直接积分法的练习——求不定积分的基本方法。
思路分析:利用不定积分的运算性质和基本积分公式,直接求出不定积分!★(1)思路: 被积函数52x-=,由积分表中的公式(2)可解。
解:532223x dx x C --==-+⎰★(2)dx-⎰思路:根据不定积分的线性性质,将被积函数分为两项,分别积分。
解:1141113332223()24dx x x dx x dx x dx x x C --=-=-=-+⎰⎰⎰⎰★(3)22xx dx +⎰()思路:根据不定积分的线性性质,将被积函数分为两项,分别积分。
解:2232122ln 23x xxx dx dx x dx x C +=+=++⎰⎰⎰()★(4)3)x dx -思路:根据不定积分的线性性质,将被积函数分为两项,分别积分。
解:3153222223)325x dx x dx x dx x x C -=-=-+⎰⎰⎰★★(5)4223311x x dx x +++⎰思路:观察到422223311311x x x x x ++=+++后,根据不定积分的线性性质,将被积函数分项,分别积分。
解:42232233113arctan 11x x dx x dx dx x x C x x ++=+=++++⎰⎰⎰ ★★(6)221x dx x +⎰思路:注意到222221111111x x x x x +-==-+++,根据不定积分的线性性质,将被积函数分项,分别积分。
解:2221arctan .11x dx dx dx x x C x x =-=-+++⎰⎰⎰注:容易看出(5)(6)两题的解题思路是一致的。
一般地,如果被积函数为一个有理的假分式,通常先将其分解为一个整式加上或减去一个真分式的形式,再分项积分。
★(7)x dx x x x ⎰34134(-+-)2 思路:分项积分。
解:3411342x dx xdx dx x dx x dx x x x x --=-+-⎰⎰⎰⎰⎰34134(-+-)2 223134ln ||.423x x x x C --=--++ ★(8)23(1dx x -+⎰思路:分项积分。
第4章 不定积分4.1 复习笔记一、不定积分的概念与性质 1.原函数存在定理如果函数f (x )在区间I 上连续,则在区间I 上存在可导函数F (x )使对任意x ∈I 都有F ′(x )=f (x ),即连续函数一定有原函数。
2.基本积分表()d k x kx C k =+⎰是常数()1d 11x x x C μμμμ+=+≠-+⎰d ln xx C x =+⎰ 2d arctan 1xx C x =++⎰arcsin x C =+⎰cos d sin x x x C =+⎰ sin d cos x x x C =-+⎰22d sec d tan cos x x x x C x ==+⎰⎰ 22d csc d cot sin x x x x C x ==-+⎰⎰sec tan d sec x x x x C =+⎰ csc cot d csc x x x x C =-+⎰e d e x xx C =+⎰d ln xxa a x C a =+⎰3.不定积分的性质 (1)性质1设函数f (x )及g (x )的原函数存在,则()()()()d d d f x g x x f x x g x x +=+⎡⎤⎣⎦⎰⎰⎰ 注:性质1对于有限个函数都是成立的。
(2)性质2设函数f (x )的原函数存在,k 为非零常数,则()()d d kf x x k f x x =⎰⎰二、换元积分法 1.第一类换元法设f (u )具有原函数,u =φ(x )可导,则有换元公式()[()]()d [()d ]u x f x x x f u u ϕϕϕ='=⎰⎰2.第二类换元法设x =ψ(t )是单调的可导函数,并且ψ′(t )≠0又设f[ψ(t )]ψ′(t )具有原函数,则有换元公式1()()d [[()]()d ]t x f x x f t t t ψψψ-='=⎰⎰其中ψ-1(t )是x =ψ(t )的反函数。
积分学不定积分定积分微分与积分是一对互逆的运算第四章不定积分§1 不定积分的定义与性质1.问题的提出2.定积分的定义3.定积分的性质例, ,(sin )cos ()x x x '=∀∈-∞+∞一、原函数存在定理定义1若在I 上恒有F '(x )=f (x )(即d F (x )=f (x )d x ),称F (x ) 为f (x ) 在I 上的一个原函数。
上的一个在是原函数),( cos sin +∞-∞=∴I x x (1) 满足什么条件的函数有原函数?问题:(2) 若原函数存在,如何求出?复习:原函数存在定理:连续函数一定有原函数.(sin 1)(sin 3)(sin )cos ,x x x C x '''+=+=+=原函数F (x )不唯一,但只相差一个常数可以看出:简言之:原函数之间只相差一个常数。
⎰=xatt f x d )()(Φ例:积分常数积分号被积函数定义2:Cx F dx x f +=⎰)()(被积表达式积分变量函数f (x )在区间I 上的全体原函数称为f (x )在I 上的不定积分,记为:不定积分是全体原函数的集合。
⎰dx x f )(C 不可丢!前面两例可写作:⎰+=C x xdx sin cos , ,(sin )cos ()x x x '=∀∈-∞+∞问:不定积分的几何意义?不定积分的几何意义xyoxCx F y +=)()(x F y =是积分曲线上、下平移所得到一族积分曲线,称为积分曲线族.)(x F 在点处有相同的斜率,即这些切线互相平行.x )(x f x x f d )(⎰()F x C=+称为的积分曲线.不定积分的几何意义:的原函数的图形称为的积分曲线.的图形的所有积分曲线组成f d)xx(的积分曲线族.yxO0x每条积分曲线上,横坐标相同的点处的切线是平行的例1.设曲线通过点(1, 2), 且其上任一点处的切线斜率等于该点横坐标的两倍, 求此曲线的方程.解:所求曲线过点(1, 2) ,故有因此所求曲线为12+=x y yx)2,1(O[xd d)1(⎰x x f d )(])(x f =[d ⎰x x f d )(]x x f d )(=或C x +=⎰d )2()(x F ')(x F 或C +=⎰d )(x F )(x F 二.不定积分的性质微分运算与求不定积分的运算是互逆的:线性性质⎰=±dx x g x f )]()([)1(;)()(⎰⎰±dx x g dx x f ⎰=dx x kf )()2(.)(⎰dx x f k (k 是常数,)0≠k⎰+=k Ckx kdx ()1(是常数););1(1)2(1-≠μ++μ=+μμ⎰C x dx x ;||ln )3(⎰+=C x xdx ⎰=C dx 0⎰+=C x dx 1基本积分表⎰=xdx cos )6(;sin C x +⎰=xdx sin )7(;cos C x +-⎰=xdx 2sec ;tan C x +⎰=xdx 2csc ;cot C x +-=⎰dx e x )5(;C e x +=⎰dx a x )4(;ln 1C a a x +(8)(9)⎰=xdx x tan sec )12(;sec C x +⎰=xdx x cot csc )13(;csc C x +-=+⎰dx x211)11(C x +arctan =-⎰dx x 211)10(C x +arcsin C x arc +-=cot C x +-=arccos 注:检验积分结果正确与否的方法是积分结果求导= 被积函数。
第四章 不定积分4.1 复习笔记一、不定积分的概念与性质1.原函数与不定积分的概念(1)原函数①定义如果在区间I 上,可导函数的导函数为,即对任意一,都有,则函数就称为在区间I 上的一个原函数.②原函数存在定理如果函数在区间I 上连续,则在区间I 上存在可导函数使对任一都有即连续函数一定有原函数.③注意两点a .如果有一个原函数,则就有无限多个原函数.b .若和都是的原函数,则()Fx ()x φ()f x(C 0为某个常数)(2)不定积分在区间I 上,函数的带有任意常数项的原函数称为(或)在区间I上的不定积分,记作,其中称为积分号,称为被积函数,称为被积表达式,x称为积分变量.2.基本积分表3.不定积分的性质(1)性质1设函数的原函数存在,则注:性质1对于有限个函数都是成立的.(2)性质2设函数的原函数存在,k为非零常数,则二、换元积分法1.第一类换元法设具有原函数,可导,则有换元公式()[()]()[()]u x f x x dx f u du ϕϕϕ='=⎰⎰2.第二类换元法设是单调的可导函数,并且又设具有原函数,则有换元公式1()()[[()]()]t x f x dx f t t dtψψψ-='=⎰⎰其中的反函数.三、分部积分法1.分部积分法设函数具有连续导数,则两个函数乘积的导数公式为移项,得对这个等式两边求不定积分,得称为分部积分公式.注:2.运用分部积分法需注意(1)v 要容易求得;(2)要比容易积出;(3)遵循“反对幂指三”原则.①“反对幂指三”定义“反对幂指三”分别指反三角函数、对数函数、幂函数、指数函数和三角函数.②“反对幂指三”原则“反对幂指三”原则是指在用分部积分法计算积分时,若出现上面相关函数,把被积表达式按照“反对幂指三”的积分次序,排在前面的看成“u”,排在后面的看成“dv”.【例】3.常见函数的不定积分四、有理函数的积分1.有理函数的积分(1)相关概念①有理函数 两个多项式的商称为有理函数.②有理分式 有理函数又称有理分式.③真分式 当P(x)的次数小于Q(x)的次数时,称这有理函数为真分式.④假分式 当P(x)的次数大于Q(x)的次数时,称这有理函数为假分式.(2)真分式的分解对于真分式,如果分母可分解为两个多项式的乘积且Q 1(x)与Q 2(x)没有公因式,则它可分拆成两个真分式之和。
第四章不定积分前面讨论了一元函数微分学,从本章开始我们将讨论高等数学中的第二个核心内容:一元函数积分学.本章主要介绍不定积分的概念与性质以及基本的积分方法.第1节不定积分的概念与性质不定积分的概念在微分学中,我们讨论了求一个已知函数的导数(或微分)的问题,例如,变速直线运动中已知位移函数为=,s s t()则质点在时刻t的瞬时速度表示为=.()v s t'实际上,在运动学中常常遇到相反的问题,即已知变速直线运动的质点在时刻t的瞬时速度v v t=,()求出质点的位移函数=.s s t()即已知函数的导数,求原来的函数.这种问题在自然科学和工程技术问题中普遍存在.为了便于研究,我们引入以下概念.1.1.1原函数定义 1 如果在区间I 上,可导函数()F x 的导函数为()f x ,即对任一x I ∈,都有()()F x f x '= 或 d ()()d F x f x x =,那么函数()F x 就称为()f x 在区间I 上的原函数.例如,在变速直线运动中,()()s t v t '=,所以位移函数()s t 是速度函数()v t 的原函数;再如,(sin )'cos x x =,所以sin x 是cos x 在(,)-∞+∞上的一个原函数.1(ln )'(0),x x x =>所以ln x 是1x 在(0,)+∞的一个原函数.一个函数具备什么样的条件,就一定存在原函数呢这里我们给出一个充分条件.定理1 如果函数()f x 在区间I 上连续,那么在区间I 上一定存在可导函数()F x ,使对任一∈x I 都有()()'=F x f x .简言之,连续函数一定有原函数.由于初等函数在其定义区间上都是连续函数,所以初等函数在其定义区间上都有原函数.定理1的证明,将在后面章节给出.关于原函数,不难得到下面的结论:若()()'=F x f x ,则对于任意常数C ,()+F x C 都是()f x 的原函数.也就是说,一个函数如果存在原函数,则有无穷多个.假设()F x 和()φx 都是()f x 的原函数,则[()()]0'-≡F x x φ,必有()()φ-F x x =C ,即一个函数的任意两个原函数之间相差一个常数.因此我们有如下的定理:定理2 若()F x 和()φx 都是()f x 的原函数,则()()-=F x x C φ(C 为任意常数).若()()'=F x f x ,则()+F x C (C 为任意常数)表示()f x 的所有原函数.我们称集合{}()|F x C C +-∞<<+∞为()f x 的原函数族.由此,我们引入下面的定义.1.1.2不定积分定义2 在区间I 上,函数()f x 的所有原函数的全体,称为()f x 在I 上的不定积分,记作()d ⎰f x x .其中⎰称为积分号,()f x 称为被积函数,()d f x x 称为被积表达式,x 称为积分变量.由此定义,若()F x 是()f x 的在区间I 上的一个原函数,则()f x 的不定积分可表示为()d ()=+⎰f x x F x C .注 (1)不定积分和原函数是两个不同的概念,前者是个集合,后者是该集合中的一个元素.(2)求不定积分,只需求出它的某一个原函数作为其无限个原函数的代表,再加上一个任意常数C .例1 求23d x x ⎰. 解 因为32()3,'=x x 所以233d x x x C =+⎰.例2 求sin cos d x x x ⎰.解 (1)因为2(sin )2sin cos ,'=x x x 所以21sin cos d sin 2x x x x C =+⎰.(2)因为2(cos )2cos sin ,'=-x x x 所以21sin cos d cos 2x x x x C =-+⎰.(3)因为(cos 2)2sin 24sin cos ,'=-=-x x x x 所以1sin cos d cos 24=-+⎰x x x x C . 例3 求1d x x ⎰.解 由于0x >时,1(ln )'=x x ,所以ln x 是1x 在(0,)+∞上的一个原函数,因此在(0,)+∞内,1d ln x x C x =+⎰.又当0x <时,[]1ln()x x '-=,所以ln()-x 是1x 在(,0)-∞上的一个原函数,因此在(,0)-∞内,1d ln()=-+⎰x x C x . 综上,1d ln x x C x =+⎰.例4 在自由落体运动中,已知物体下落的时间为t ,求t 时刻的下落速度和下落距离.解 设t 时刻的下落速度为()=v v t ,则加速度d ()d v a t g t ==(其中g 为重力加速度).因此()()d d v t a t t g t gt C ===+⎰⎰, 又当0t =时,(0)0=v ,所以0C =.于是下落速度()=v t gt .又设下落距离为()=s s t ,则ds ()dt=v t .所以 21()()d d 2===+⎰⎰s t v t t gt t gt C , 又当0t =时,(0)0=s ,所以0C =.于是下落距离21()2=s t gt . 1.1.3不定积分的几何意义设函数()f x 是连续的,若()()F x f x '=,则称曲线()y F x =是函数()f x 的一条积分曲线.因此不定积分()d ()f x x F x C =+⎰在几何上表示被积函数的一族积分曲线.积分曲线族具有如下特点(如图):(1)积分曲线族中任意一条曲线都可由其中某一条平移得到;(2)积分曲线上在横坐标相同的点处的切线的斜率是相同的,即在这些点处对应的切线都是平行的.图4-1例5 设曲线通过点(1,2),且其上任一点处的切线斜率等于这点横坐标的两倍,求此曲线方程.解 设曲线方程()=y f x ,曲线上任一点(,)x y 处切线的斜率d 2d y x x=,即()f x 是2x 的一个原函数.因为22d =+⎰x x x C ,又曲线过(1,2),所以21C =+,1C =.于是曲线方程为21y x =+.基本积分公式由定义可知,求原函数或不定积分与求导数或求微分互为逆运算,我们把求不定积分的运算称为积分运算.既然积分运算与微分运算是互逆的,那么很自然地从导数公式可以得到相应的积分公式. 例如,因11x μμ+'⎛⎫ ⎪+⎝⎭=x μ,所以11x x dx C μμμ+=++⎰(1μ≠-).类似可以得到其他积分公式,下面一些积分公式称为基本积分公式.①d k x kx C =+⎰(k 是常数); ②1d 1x x x C μμμ+=++⎰(1μ≠-); ③1d ln x x C x=+⎰; ④sin d cos x x x C =-+⎰;⑤cos d sin x x x C =+⎰; ⑥221d sec d tan cos x x x x C x ==+⎰⎰; ⑦221d csc d cot sin x x x x C x==-+⎰⎰; ⑧sec tan d sec x x x x C =+⎰;⑨csc cot d csc x x x x C =-+⎰; ⑩21d arctan C 1x x x =++⎰,21d cot 1x arc x C x -=++⎰;⑪arcsin x x C =+,arccos x x C =+⎰;⑫e d e x x x C =+⎰;⑬d ln x x a a x C a=+⎰; 以上13个基本积分公式,是求不定积分的基础,必须牢记.下面举例说明积分公式②的应用.例6求不定积分x x ⎰. 解x x ⎰52d x x =⎰512512x C +=++7227x C =+. 以上例子中的被积函数化成了幂函数x μ的形式,然后直接应用幂函数的积分公式②求出不定积分.但对于某些形式复杂的被积函数,如果不能直接利用基本积分公式求解,则可以结合不定积分的性质和基本积分公式求出一些较为复杂的不定积分.不定积分的性质根据不定积分的定义,可以推得它有如下两个性质.性质1 积分运算与微分运算互为逆运算(1)()d ()'⎡⎤=⎣⎦⎰f x x f x 或d ()d ()d ⎡⎤=⎣⎦⎰f x x f x x .(2)()d ()'=+⎰F x x F x C 或d ()()=+⎰F x F x C性质2 设函数()f x 和()g x 的原函数存在,则[]()()d ()d ()d +=+⎰⎰⎰f x g x x f x x g x x .易得性质2对于有限个函数的都是成立的.性质3 设函数()f x 的原函数存在,k 为非零的常数,则()d =⎰kf x x ()d ⎰k f x x .由以上两条性质,得出不定积分的线性运算性质如下:[]()()d ()d ()d +=+⎰⎰⎰kf x lg x x k f x x l g x x .例7 求23d 1⎛⎫+⎝⎰x x .解23d 1⎛⎫+⎝x x 213d 21x x x =-+⎰3arctan x =2arcsin x -C +.例8 求221d (1)+++⎰x x x x x .解 原式=22(1)d (1)+++⎰x x x x x 211d 1x x x ⎛⎫=+ ⎪+⎝⎭⎰3arctan 3x x x C =-++.例9 求2e d x x x ⎰.解 原式(2e)d x x =⎰1(2e)ln 2e x C =+2e 1ln 2x x C =++.例10 求1d 1sin x x +⎰. 解 1d 1sin x x+⎰()()1sin d 1sin 1sin x x x x -=+-⎰21-sin d cos x x x =⎰ 2(sec sec tan )d =-⎰x x x x tan sec x x C =-+. 例11 求2tan d x x ⎰.解 2tan d x x ⎰=2(sec 1)d tan -=-+⎰x x x x C .注 本节例题中的被积函数在积分过程中,要么直接利用积分性质和基本积分公式,要么将函数恒等变形再利用积分性质和基本积分公式,这种方法称为基本积分法.此外,积分运算的结果是否正确,可以通过它的逆运算(求导)来检验,如果它的导函数等于被积函数,那么积分结果是正确的,否则是错误的.下面再看一个抽象函数的例子:例12 设22(sin )cos '=f x x ,求()f x解 由222(sin )cos 1sin '==-f x x x ,可得()1'=-f x x , 从而21()2=-+f x x x C .习题4-11.求下列不定积分. (1)41d x x⎰; (2)x ⎰; (3); (4)()2d ax b x -⎰;(5)22d 1x x x +⎰; (6)4223d 1x x x x +++⎰;(7)x ; (8)22d 1x x⎛⎫+⎝⎰; (9)32e d xx x ⎛⎫- ⎪⎝⎭⎰; (10)()22d 1x x x +⎰;(11)x ;(12)2tan d x x ⎰;(13)2sin d 2x x ⎰; (14)cos 2d cos sin x xx x-⎰;(15)21cos d 1cos 2xx x++⎰; (16)()sec sec tan d x x x x +⎰;(17)2352d 3x xxx ⋅-⋅⎰;(18)x .2.已知某产品产量的变化率是时间t 的函数,()=+f t at b (a ,b 为常数).设此产品的产量函数为()p t ,且(0)0=p ,求()p t .3.验证12arcsin(21)arccos(12)=-+=-+x C x C 3C =.4.设33()d f x x x C '=+⎰,求()f x第2节 换元积分法和不定积分法换元积分法上一节介绍了利用基本积分公式与积分性质的直接积分法,这种方法所能计算的不定积分是非常有限的.因此,有必要进一步研究不定积分的求法.这一节,我们将介绍不定积分的最基本也是最重要的方法——换元积分法,简称换元法.其基本思想是:利用变量替换,使得被积表达式变形为基本积分公式中的形式,从而计算不定积分. 换元法通常分为两类,下面首先讨论第一类换元积分法.2.1.1第一类换元积分法定理1 设()f u 具有原函数,()=u x ϕ可导,则有换元公式()[()]()d ()d =⎡⎤'=⎣⎦⎰⎰u x f x x x f u u ϕϕϕ.(4.2.1)证明 不妨令()F u 为()f u 的一个原函数,则[]()()d ()=⎡⎤=+⎣⎦⎰u x f u u F x C ϕϕ.由不定积分的定义只需证明([()])[()]()''=F x f x x ϕϕϕ,利用复合函数的求导法则显然成立.注 由此定理可见,虽然不定积分[()]()d '⎰f x x x ϕϕ是一个整体的记号,但从形式上看,被积表达式中的d x 也可以当做自变量x 的微分来对待.从而微分等式()d d '=x x u ϕ可以方便地应用到被积表达式中.例1 求33e d x x ⎰.解 3333e d e (3)d e d(3)x x x x x x x '=⋅=⎰⎰⎰e d =⎰u u e =+u C ,最后,将变量3u x =代入,即得333ed e xx x C =+⎰.根据例1第一类换元公式求不定积分可分以下步骤:(1)将被积函数中的简单因子凑成复合函数中间变量的微分; (2)引入中间变量作换元;(3)利用基本积分公式计算不定积分; (4)变量还原.显然最重要的是第一步——凑微分,所以第一类换元积分法通常也称为凑微分法.例2 求()9945d x x +⎰.解 被积函数9945()+x 是复合函数,中间变量45=+u x ,45()=4'+x ,这里缺少了中间变量u 的导数4,可以通过改变系数凑出这个因子:99999911(45)d (45)(45)d (45)d(45)44'+=⋅+⋅+=++⎰⎰⎰x x x x x x x 991d 4=⎰u u 1001001(45)4100400+=⋅+=+u x C C .例3 求22d xx x a +⎰. 解221x a +为复合函数,22u x a =+是中间变量,且222x a x '+=(), 22222222221111d ()d d()22'=⋅+=++++⎰⎰⎰x x x a x x a xax a x a 221111d ln ln()222==+=++⎰u u C x a C u .对第一类换元法熟悉后,可以整个过程简化为两步完成. 例4 求x ⎰.解 322211)(1)23=--=--+⎰x x x C . 注 如果被积表达式中出现()d +f ax b x ,-1()d ⋅m m f x x x ,通常作如下相应的凑微分:1()d ()d()+=++f ax b x f ax b ax b a, 111()d ()d()-+=⋅++n n n n f ax b x x f ax b ax b a n. 例5 求1d (12ln )x x x +⎰.解 因为1d d ln x x x=,亦即11d d(1+2ln )2x x x=,所以1111d d ln d(1+2ln )(12ln )12ln 212ln x x x x x x x==+++⎰⎰⎰ 1ln 1+2ln 2x C =+.例6 求arctan 22d 1xx x +⎰.解 因为21d d arctan 1x x x =+,所以 arctan arctan arctan 222d 2d arctan ln 21x x xx x C x ==++⎰⎰.例7 求x .解x =x C ==-⎰.在例4至例7中,没有引入中间变量,而是直接凑微分.下面是根据基本微分公式推导出的常用的凑微分公式.①x=②211d d x x x =-. ③1d dln x x x=.④e d de x x x =. ⑤ cos d d sin x x x =.⑥ sin d d cos x x x =-. ⑦221d sec d d tan cos ==x x x x x.⑧ 221d csc d d cot sin =-=-x x x x x.d(arcsin )d(arccos )x x x ==-.⑩21d d(arctan )d(arccot )1x x x x ==-+. 在积分的运算中,被积函数有时还需要作适当的代数式或三角函数式的恒等变形后,再用凑微分法求不定积分.例8 求221d x a x +⎰. 解 将函数变形2222111.1a x a x a =+⎛⎫+ ⎪⎝⎭,由d d xx a a=,所以得到 221d x a x +⎰2111darctan 1x xC aa a ax a ==+⎛⎫+ ⎪⎝⎭⎰. 例9求x .解1x x x aa ⎛⎫==⎪⎝⎭ arcsinxC a=+. 例10 求tan d x x ⎰.解 tan d x x ⎰=sin d d cos ln cos cos cos x x x x C xx-==-+⎰⎰.同理,我们可以推得cot d ln sin x x x C =+⎰.例11 求3sin d x x ⎰.解 3222sin d sin sin d sin dcos (1-cos )dcos x x x x x x x x x ==-=-⎰⎰⎰⎰31cos cos 3x x C =-++.例12 求23sin cos d x x x ⎰.解 232222sin cos d sin cos cos d sin cos dsin x x x x x x x x x x ==⎰⎰⎰2224sin (1sin )dsin (sin sin )dsin x x x x x x =-=-⎰⎰3511sin sin 35x x C =-+. 例13 求2sin d x x ⎰.解 21cos 211sin d d sin 2224x x x x x x C -==-+⎰⎰.例14 求sec d x x ⎰. 解 12211sec d d cos d cos d sin d sin cos 1sin x x x x x x x x x x--====-⎰⎰⎰⎰⎰ 1sin 1ln ln sec tan 2sin 1x C x x C x +=+=++-. 同理,我们可以推得csc d ln csc cot x x x x C =--+⎰.注 对形如sin cos d m n x x x ⎰的积分,如果m ,n 中有奇数,取奇次幂的底数(如n 是奇数,则取cos x )与d x 凑微分,那么被积函数一定能够变形为关于另一个底数的多项式函数,从而可以顺利的计算出不定积分;如果m ,n 均为偶数,则利用倍角(半角)公式降幂,直至将三角函数降为一次幂,再逐项积分.例15 求sin 2cos3d x x x ⎰.解 sin 2cos3d x x x ⎰=11sin 5d sin d 22x x x x -⎰⎰=11cos5cos 102x x C -++=11cos cos5210x x C -+. 一般的,对于形如下列形式sin cos d mx nx x ⎰, sin sin d mx nx x ⎰, cos cos d mx nx x ⎰,的积分(m n ≠),先将被积函数用三角函数积化和差公式进行恒等变形后,再逐项积分.例16 求221d x x a -⎰. 解 因为 2211111()()2⎛⎫==- ⎪-+-+-⎝⎭x a x a a x a x a x a , 所以 221111111d d d d 22⎛⎫⎛⎫=-=- ⎪ ⎪-+-+-⎝⎭⎝⎭⎰⎰⎰⎰x x x x a x a x a a x a x a x a 111d()d()2x a x a a x a x a ⎛⎫=--+ ⎪-+⎝⎭⎰⎰()11ln ln ln 22x a x a x a C C a a x a-=--++=++. 这是一个有理函数(形如()()P x Q x 的函数称为有理函数,()P x ,()Q x 均为多项式)的积分,将有理函数分解成更简单的部分分式的形式,然后逐项积分,是这种函数常用的变形方法.下面再举几个被积函数为有理函数的例子.例17 求23d 56x x x x +-+⎰.解 先将有理真分式的分母256x x -+因式分解,得256-+=x x (2)-x (3)-x .然后利用待定系数法将被积函数进行分拆.设232356x A Bx x x x +=+---+=(3)(2)(2)(3)-+---A x B x x x ,从而 3(3)(2)+=-+-x A x B x , 分别将3,2x x ==代入3(3)(2)+=-+-x A x B x 中,易得56A B =-⎧⎨=⎩.故原式=56d 23x x x -⎛⎫+⎪--⎝⎭⎰=5ln 26ln 3x x C --+-+. 例18 求33d 1x x +⎰. 解 由321(1)(1)+=+-+x x x x , 令323111A Bx Cx x x x +=+++-+, 两边同乘以31x +,得23(1)()(1)=-++++A x x Bx C x .令1,x =-得1A =;令0,x =得2C =;令1x =,得1B =-. 所以32312111x x x x x -+=+++-+. 故3223121213d d ln 1d 12111-+--⎛⎫=+=+- ⎪++-+-+⎝⎭⎰⎰⎰x x x x x x x x x x x x =2221d 1d(1)32ln 12211324x x x x x x x ⎛⎫- ⎪-+⎝⎭+-+-+⎛⎫-+⎪⎝⎭⎰⎰.2.1.2 第二类换元积分方法定理2 设()=x t ψ是单调,可导的函数,并且()0'≠t ψ,又设[]()()'f t t ψψ具有原函数,则有换元公式,[]1()()d ()()d -=⎡⎤'=⎣⎦⎰⎰t x f x x f t t t ψψψ,其中,1()-x ψ是()=x t ψ的反函数.证明 设[]()()'f t t ψψ的原函数为()t φ.记1()()-⎡⎤=⎣⎦x F x φψ,利用复合函数及反函数求导法则得21=ln 1ln(1).2x x x C +--+++[][]d d 1()()()()()d d ()''=⋅=⋅=='t F x f t t f t f x t x t φψψψψ, 则()F x 是()f x 的原函数.所以11()()d ()[()][()]()d --=⎡⎤'=+=+=⎣⎦⎰⎰t x f x x F x C x C f t x t ψφψψψ.利用第二类换元法进行积分,重要的是找到恰当的函数()=x t ψ代入到被积函数中,将被积函数化简成较容易的积分,并且在求出原函数后将1()t x ψ-=还原.常用的换元法主要有三角函数代换法、简单无理函数代换法和倒代换法.一、三角函数代换法 例19 求22d a x x -⎰(0)>a .解 设ππsin ,,22x a t t ⎛⎫=∈- ⎪⎭⎝,22cos a x a t -=,d cos d x a t t =,于是22d a x x -⎰=2222cos cos d cos d sin cos 22a a a t a t t a t t t t t C ⋅==++⎰⎰.因为 ππsin ,,22x a t t ⎛⎫=∈- ⎪⎭⎝,所以arcsin ,xt a =为求出cos t ,利用sin xt a =作辅助三角形(图4-2),求得22cos a x t -=,所以 22222221d d arcsin 22a x a x x a x x x a x C a -=-=+-+⎰⎰.图4-2例20 求22x a+⎰(0)>a .解 令2ππtan ,,,d sec d 22x a t t x a t t ⎛⎫=∈-= ⎪⎭⎝,22x a +⎰=21cos sec d sec d ln sec tan t a t t t t t t C a⋅==++⎰⎰.利用tan xt a=作辅助三角形(图4-3),求得 22ππsec ,,22x a t t +⎛⎫=∈- ⎪⎭⎝ 所以 ()2222122ln ln xx a c x x a C a x a ⎛⎫+ ⎪=++=+++ +⎝⎭⎰.图4-3例21 求22x a-(0)>a .解 当x a >时,令πsec ,0,,d sec tan d 2x a t t x a t t t ⎛⎫=∈=⋅ ⎪⎭⎝,22x a -=11cot sec tan d sec d ln sec tan t a t t t t t t t C a⋅⋅⋅==++⎰⎰.利用cos at x=作辅助三角形(图4-4),求得22tan x a t -=,所以 ()2222122ln ln x x a C x x a C a ax a -=++=+-+-⎰,1(ln )C C a =-. 当x a <-时,令x u =-则u a >,由上面的结果,得()()2222112222ln ln u u a C x x a C x a u a =-=+-+=--+-+--⎰⎰=()221,(2ln )x x a C C C a ---+=-.综上,2222ln x x a C x a =+-+-⎰.图4-4注 22a x -,22a x +,22x a -可以作相应的换元:sin x a t =,tan x a t =,sec x a t =±将根号化去.但是具体解题时,要根据被积函数的具体情况,选取尽可能简捷的代换,不能只局限于以上三种代换.二、简单无理函数代换法例22 求.解 令2,d d 2u u x x u u ===,=d 11d 11u u u u u ⎛⎫=- ⎪++⎝⎭⎰⎰(ln 1ln 1u u C C =-++=+.例23 求.解 被积函数中出现了两个不同的根式,为了同时消去这两个根式,可以作如下代换:令t =6x t =,5d 6d x t t =,从而52232261d 6d 61d (1)11t t t t t t t t t ⎛⎫===- ⎪+++⎝⎭⎰⎰⎰6(arctan )t t C C =-+=+.例24 求x .解 为了去掉根式,作如下代换:t ,则211x t =-,222d d (1)tx t t =--,从而222222(1)d 2d (1)t x t t t t t t -=-⋅=--⎰⎰ 32322133x t C C x +⎛⎫=-+=-+ ⎪⎝⎭.一般的,如果积分具有如下形式(1)(R x x ⎰,则作变换t =(2)(R x x ⎰,则作变换t p 是m ,n 的最小公倍数;(3)(R x x ⎰,则作变换t =运用这些变换就可以将被积函数中的根数去掉,被积函数就化为有理函数.三、倒代换法在被积函数中如果出现分式函数,而且分母的次数大于分子的次数,可以尝试利用倒代换,即令1x t=,利用此代换,常常可以消去被积函数中分母中的变量因子x .例25 求6d (1)+⎰xx x .解 令211,d d x x t tt==-,6d (1)+⎰x x x =52661d d 1111t t t t t t t -=-+⎛⎫⋅+ ⎪⎝⎭⎰⎰661d(1)61+=-+⎰t t 61ln 16t C =-++ 611ln 16C x ⎛⎫=-++ ⎪⎝⎭. 例26求x . 解 设211,d d ,x x t tt==-则于是1222241d(1)d⎫=-=--⎪⎝⎭⎰x t a t t ttt,当0x>时,有31222222222231()(1)d(1)23-=---=-+⎰a xx a t a t Ca a x.x<时,结果相同.本例也可用三角代换法,请读者自行求解.四、指数代换例27求2de(e1)+⎰x x x.解设1e,d d,x t x tt==则于是222d1de(e1)(1)=++⎰⎰x xxtt t22111d arctan1t t Ctt t⎛⎫=-=--+⎪+⎝⎭⎰--e arctanex x C=--+.注本节例题中,有些积分会经常遇到,通常也被当作公式使用.承接上一节的基本积分公式,将常用的积分公式再添加几个(0a>):①tan d ln cosx x x C=-+⎰;②cot d ln sin x x x C =+⎰; ③cscd x ⎰=ln csc cot x x C -+; ④sec d ln sec tan x x x x C =++⎰; ⑤2211d arctan xx C a a a x =++⎰;⑥221d x x a-⎰=1ln 2x a C a x a -++; ⑦arcsin xx C a =+>(a 0); ⑧(ln x C =+;⑨ln x C =+.例28 求.解=2arcsin3-=+x C .例29 求.解=11ln(222=+x C . 例30 求解ln 1=-x C .例31 求322d (22)x x x x -+⎰.解 被积函数为有理函数,且分母为二次质因式的平方,把二次质因式进行配方:2(1)1x -+,令ππ1tan ,,22⎛⎫-=∈- ⎪⎝⎭x t t ,则2222sec x x t -+=,2d sec d x t t =.所以332224(1tan )d sec d (22)sec x t x t t x x t +=⋅-+⎰⎰23cos (1tan )d t t t =+⎰3(sin cos )d cos t t t t+=⎰ 3122(sin cos 3sin 3sin cos cos )d t t t t t t t -=+++⎰2ln cos cos 2sin cos t t t t t C =--+-+.图4-5按照变换ππ1tan ,22x tt ⎛⎫-=∈- ⎪⎝⎭作(辅助三角形图4-5),则有2cos 22t x x =-+,2sin 22t x x =-+,于是322221d ln(22)2arctan(1)2(22)22x x x x x x C x x x x =-++--+-+-+⎰.分部积分法前面我们得到了换元积分法.现在我们利用“两个函数乘积的求导法则”来推导求积分的另一种基本方法—分部积分法.定理1 设函数()=u u x ,()=v v x 具有连续的导数,则d d =-⎰⎰u v uv v u .(4.2.2)证明 微分公式d()d d =-uv u v v u 两边积分得d d =-⎰⎰uv u v v u ,移项后得d d =-⎰⎰u v uv v u .我们把公式(4.2.2)称为分部积分公式.它可以将不易求解的不定积分d u v ⎰转化成另一个易于求解的不定积分d v u ⎰.例32 求cos d x x x ⎰.解 根据分部积分公式,首先要选择u 和d v ,显然有两种方式,我们不妨先设,cos d d ,u x x x v == 即sin v x =,则cosd dsin sin sin d sin cos x x x x x x x x x x x C ==-=++⎰⎰⎰.采用这种选择方式,积分很顺利的被积出,但是如果作如下的选择:设cos ,d d ,u x x x v == 即212v x =,则 222111cos d cos d cos sin d 222x x x x x x x x x x ==-⎰⎰⎰,比较原积分cos d x x x ⎰与新得到的积分21sin d 2x x x ⎰,显然后面的积分变得更加复杂难以解出.由此可见利用分部积分公式的关键是恰当的选择u 和d v .如果选择不当,就会使原来的积分变的更加复杂.在选取u 和d v 时一般考虑下面两点: (1)v 要容易求得;(2)d v u ⎰要比d u v ⎰容易求出. 例33 求e d x x x ⎰.解 令,e d d ,e x x u x x v v ===,则e d dee e d e e xxx x x x x x x x x x C ==-=-+⎰⎰⎰.例34 求2e d x x x ⎰. 解 令2,e d d ,e x x u x x v v ===,则利用分部积分公式得22222e d dee e d e 2e d xxx x x x x x x x x x x x ==-=-⎰⎰⎰⎰,这里运用了一次分部积分公式后,虽然没有直接将积分积出,但是x 的幂次比原来降了一次,e d x x x ⎰显然比2e d x x x ⎰容易积出,根据例4.3.2,我们可以继续运用分部积分公式,从而得到222e d e 2e d e 2de x x x x x x x x x x x x =-=-⎰⎰⎰2e 2(e e )x x x x x C =--+2e (22)x x x C =-++.注 当被积函数是幂函数与正(余)弦或指数函数的乘积时,幂函数在d 的前面,正(余)弦或指数函数至于d 的后面.例35 求ln d x x x ⎰.解 令ln ,u x =21d d 2x x x =,212v x =,则222111ln d ln d ln d 22x x x x x x x x x x ⎛⎫==-⋅ ⎪⎝⎭⎰⎰⎰2211ln 22x x x C ⎛⎫=-+ ⎪⎝⎭22ln 124x x x C =-+.在分部积分公式运用比较熟练后,就不必具体写出u 和d v ,只要把被积表达式写成d ⎰u v 的形式,直接套用分部积分公式即可.例36 求arctan d x x x ⎰.解 222211arctan d arctan d arctan d 221x x x x x x x x x x ⎛⎫==- ⎪+⎝⎭⎰⎰⎰21(arctan arctan )2=-++x x x x C .注 当被积函数是幂函数与对数函数或反三角函数的乘积时,对数函数或反三角函数在d 的前面,幂函数至于d 的后面.下面再来举几个比较典型的分部积分的例子. 例37 求e sin d x x x ⎰.解 (法一)e sin d sin de e sin e cos d x x x x x x x x x x ==-⎰⎰⎰e sin cos de x x x x =-⎰=e sin e cos e sin d x x x x x x x --⎰,∴ 1e sin d e (sin cos )2=-+⎰x xx x x x C . (法二)x e sin d e d(cos )e (cos )cos d(e )=-=-+⎰⎰⎰x x x x x x x x =e cos cos e d e cos e dsin x x x x x x x x x -+=-+⎰⎰ =e cos e sin sin de x x x x x x -+-⎰ =e cos e sin e sin d x x x x x x x -+-⎰,∴ 1e sin d e (sin cos )2=-+⎰x x x x x x C .当被积函数是指数函数与正(余)弦函数的乘积时,任选一种函数凑微分,经过两次分部积分后,会还原到原来的积分形式,只是系数发生了变化,我们往往称它为“循环法”,但要注意两次凑微分函数的选择要一致.例38 求3sec d x x ⎰.解 32sec d sec d tan sec tan sec tan d x x x x x x x x x ==⋅-⋅⎰⎰⎰3sec tan sec d sec d x x x x x x =⋅+-⎰⎰,利用 1sec d ln sec tan x x x x C =++⎰ 并解方程得3sec d x x ⎰=1(sec tan ln sec tan )2⋅++x x x x +C .在求不定积分的过程中,有时需要同时使用换元法和分部积分法.例39 求x ⎰.解 令2,d 2d t t x t t ===,e 2d 2de 2e 2e d 2e 2e t t t t t t x t t t t t t C C ===-=-+=-+⎰⎰⎰⎰.例40 求cos(ln )d x x ⎰. 解 令ln ,e ,d e d t t t x x x t ===,cos(ln )d x x ⎰=()()1cos e d e sin cos sin ln cos ln 22t t xt t t t C x x C ⋅=++=++⎰. 下面再看一个抽象函数的例子.例41 已知()f x 的一个原函数是sin x x,求()d '⎰xf x x解 因为()f x 的一个原函数是sin x x,所以sin ()d =+⎰x f x x C x,且 2sin cos sin ()'-⎛⎫==⎪⎝⎭x x x xf x x x .从而原式()()d d[()]()d '===-⎰⎰⎰xf x x x f x xf x f x x cos 2sin x x x C x-=+.习题4-2一、求下列不定积分. 1.2014(23)d -⎰x x ; 2.23d (12)-⎰xx ;3.()d +⎰k a bx x (0b ≠); 4.sin3d x x ⎰; 5.()cos d x x αβ-⎰; 6.tan5d x x ⎰; 7.3e d x x -⎰; 8.210d x x ⎰; 9.121e d x x x ⎰;10.2d 19x x +⎰;11.2d πsin 24x x ⎛⎫+ ⎪⎝⎭⎰;12.x ⎰;13.2(23)d 38--+⎰x xx x ; 14.;15.e sin e d x x x ⎰; 16.2e d x x x ⎰; 17.x ; 18.θ;19.;20.22(arctan )d 1+⎰x x x ;21.2d 3x x x+⎰;22.21d 413x x x x -++⎰;23.2cos d x x ⎰; 24.4sin d x x ⎰; 25.1tan d sin 2x x x+⎰;26.22cos sin d x x x ⎰; 27.3cos d x x ⎰; 28.35sin cos d x x x ⎰; 29.4sec d x x ⎰; 30.4tan d x x ⎰; 31.22d sin cos x x x⎰; 32.4;33.;34.322d (1)-⎰x x ;35.3322d (1)+⎰x x x ;36.2x ;37.3222d ()+⎰x x a ;38.x ; 39.; 40. 41.;42.;43.x ; 44.x ;45.42d xx x -⎰;46.2d (1)+⎰xx x .二、求下列不定积分.1.sin 2d x x x ⎰; 2.-(e e )d 2-⎰x x x x ;3.2cos d x x x ω⎰; 4.2d x x a x ⎰;5.ln d x x ⎰; 6.ln d n x x x ⎰(1n ≠); 7.arctan d x x ⎰; 8.arccos d x x ⎰; 9.e cos d ax nx x ⎰; 10.2ln(1)d +⎰x x x ;11.32ln d xx x⎰;12.2(arcsin )d ⎰x x ;13.2cos d x x x ⎰; 14.2tan d x x x ⎰;15.22cos d x x x ⎰; 16.2ln cos d cos xx x⎰; 17.3ln d x x x⎰; 18.x ⎰.三、已知()f x 的一个原函数是2-e x ,求()d '⎰xf x x .第3节 有理函数的积分有理函数的积分 有理函数的形式有理函数是指由两个多项式的商所表示的函数即具有如下形式的函数:mm m m nn n n b x b x b x b a x a x a x a x Q x P ++⋅⋅⋅++++⋅⋅⋅++=----11101110)()(其中m 和n 都是非负整数a 0a 1a 2a n 及b 0b 1b 2b m 都是实数并且a 00b 00当n m 时称这有理函数是真分式而当n m 时称这有理函数是假分式假分式总可以化成一个多项式与一个真分式之和的形式例如1111)1(1122223++=+++=+++x x x x x x x x真分式的不定积分求真分式的不定积分时如果分母可因式分解则先因式分解然后化成部分分式再积分例1 求⎰+-+dxx x x 6532解 ⎰+-+dx x x x 6532⎰--+=dx x x x )3)(2(3⎰---=dx x x )2536(⎰⎰---=dxx dx x 25366ln|x 3|5ln|x 2|C提示)3)(2()32()(23)3)(2(3----++=-+-=--+x x B A x B A x B x A x x x A B 13A 2B 3A 6B 5分母是二次质因式的真分式的不定积分例2 求⎰++-dxx x x 3222解 ⎰++-dx x x x 3222dx x x x x x )3213322221(22++-+++=⎰ dx x x dx x x x ⎰⎰++-+++=321332222122⎰⎰+++-++++=2222)2()1()1(332)32(21x x d x x x x d C x x x ++-++=21arctan 23)32ln(212提示321332221323)22(213222222++⋅-++-⋅=++-+=++-x x x x x x x x x x x例3 求⎰-dxx x 2)1(1解 ⎰⎰-+--=-dx x x x dx x x ])1(1111[)1(122 ⎰⎰⎰-+--=dx x dx x dx x 2)1(1111Cx x x +----=11|1|ln ||ln提示222)1(1)1(1)1(1)1(1-+--=-+-=-x x x x x x x x x 22)1(1111)1(1)1(1-+--=-+-+--=x x x x x x x x三角函数有理式的积分三角函数有理式是指由三角函数和常数经过有限次四则运算所构成的函数其特点是分子分母都包含三角函数的和差和乘积运算由于各种三角函数都可以用sin x 及cos x 的有理式表示故三角函数有理式也就是sin x 、cos x 的有理式用于三角函数有理式积分的变换:把sin x 、cos x 表成2tan x 的函数然后作变换2tan xu =222122tan 12tan 22sec 2tan 22cos 2sin 2sin u u x xx x x x x +=+===222222112sec 2tan 12sin 2cos cos u u x xx x x +-=-=-=变换后原积分变成了有理函数的积分例4 求⎰++dx x x x )cos 1(sin sin 1解 令2tan xu =则212sin u u x +=2211cos uu x +-=x 2arctanuduudx 212+=于是⎰++dx x x x )cos 1(sin sin 1⎰+-++++=)111(12)121(2222u u u u u u du u 212+⎰++=du u u )12(21 C u u u +++=|)|ln 22(212C x x x +++=|2tan |ln 212tan 2tan 412说明: 并非所有的三角函数有理式的积分都要通过变换化为有理函数的积分例如⎰⎰++=++=+Cx x d x dx x x)sin 1ln()sin 1(sin 11sin 1cos习题4-3求下列不定积分.1.x dx x +⎰33;2.x dx x x ++-⎰223310; 3.x dx x x +-+⎰2125;4.()dxx x +⎰21 ; 5.()()x dxx x ++-⎰22111;6.()()x dx x ++⎰22211;7.sin dx x+⎰23;8.cos dxx+⎰3;9.sin dx x+⎰2 ;10.sin cos dxx x++⎰1;11.sin cos dxx x -+⎰25;12.⎰.第4节 MATLAB软件的应用在高等数学中,经常利用函数图形研究函数的性质,在此,我们应用MATLAB命令来实现这一操作.MATLAB符号运算工具箱提供了int 函数来求函数的不定积分,该函数的调用格式为:Int(fx,x) %求函数f(x)关于x的不定积分参数说明:fx是函数的符号表达式,x是符号自变量,当fx只含一个变量时,x可省略.例计算下面的不定积分.sin .cos x xI dx x+=+⎰1syms xI=int((x+sin(x)/(1+cosx))) I=X*tan(x/2)说明:由上述运行结果可知,int 函数求取的不定积分是不带常数项的,要得到一般形式的不定积分,可以编写以下语句:syms x c fx=f(x); int(fx,x)+c 以sin cos x xI dx x+=+⎰1为例,编写如下语句可以得到其不定积分:syms x cfx=(x+sin(x))/(1+cos(x)); I=int(fx,x)+c I=C+x*tan(x/2)在上述语句的基础上再编写如下语句即可观察函数的积分曲线族:ezplot(fx,[-2,2])hf=ezplot(fx,[-2,2]);xx=linspace(-2,2);plot(xx,subs(fx,xx),’k’,’LineWidth’,2) hold onfor c=0:6Y=inline(subs(I,C,c));Plot(xx,y(xx),’LineStyle’,’- -’);Endlegend(‘函数曲线’,’积分曲线族’,4).总习题4(A)一、填空题1.若()=.f x的一个原函数为cos x,则()df x x2.设()d sin f x x x C =+⎰,则2(1)d xf x x -⎰=. 3.2e d x x x =⎰. 4.1d 1cos 2x x=+⎰.5.22(arctan )d 1x x x +⎰=.二、选择题1.曲线()y f x =在点(,())x f x 处的切线斜率为1x,且过点2(e ,3),则该曲线方程为.(A) ln y x = (B) ln 1y x =+ (C) 211y x =-+(D) ln 3y x =+2.设()f x 的一个原函数是2e x -,则()d xf x x '=⎰. (A) 222e x x C --+ (B) 222e xx --(C) 22e (21)xx C ---+(D) ()()d xf x f x x +⎰3.设()F x 是()f x 的一个原函数,则. (A) ()()d ()f x x F x '=⎰ (B) ()()d ()f x x f x '=⎰(C) d ()()F x F x =⎰(D) ()()d ()F x x f x '=⎰4.设()f x 的原函数为1x,则()f x '等于. (A) ln x(B) 1x(C) 21x -(D)32x5.2d x x x =⎰. (A) 22xxx C -+(B) 222ln 2(ln 2)x xx C -+(C) 22ln (ln 2)2xxx x C -+(D) 222x x C +三、计算下列各题1.x ;2.1d e e xxx --⎰; 3.2ln(1+)d x x ⎰; 4.2d 23++⎰xx x ;5.sin e cosxd x x ⎰; 6.742d (1)x x x +⎰;7.12e d x x -⎰; 8.;9.1d e 1x x -⎰; 10.3d (1)xx x -⎰;11.x x ;12.x ; 13.4d 1xx -⎰; 14.; 15.32ln d x x x ⎰; 16.17.x ⎰;18.19.20.4sin d 2x x ⎰;21.24(tantan )d x x x +⎰;22.2sec d 1tan ⎛⎫⎪+⎝⎭⎰x x x ;23.sin(lnx)d x ⎰; 24.5;25.x ;26.54tan sec d t t t ⎰;27.3sin x π⎰;28.64tan cos d sin x xx x⎰;29.44d sin cos x x x⎰;30.1sin d 1sin +-⎰x x x;31.x x;32.x ⎰;33.e (1)d +⎰x x x x ; 34.x ;35.2ln(1)d x x x +⎰; 36.x .(B)1.(1999、数学一)设()f x 是连续函数()F x 是()f x 的原函数,则( ).(A) 当()f x 是奇函数时,必是偶函数.(B) 当()f x 是偶函数时,()F x 必是奇函数.(C) 当()f x 是周期函数时,()F x 必是周期函数.(D) 当()f x 是单调增函数时,()F x 必是单调增函数.2.(2006、数学二) 求arctan xxe dx e ⎰. 3.(2003、数学二) 计算不定积分.)1(232arctan dx x xe x ⎰+.4.(2009、数学三)计算不定积分ln(1dx +⎰(0)x >.。