《海上货物运输》计算公式总结
- 格式:docx
- 大小:36.85 KB
- 文档页数:2
海运运费的计算方法1.班轮运价(一)有关名词:1.基本费率(BASIC RATE),是指每一记费单位(如一运费吨)货物收取的基本运费。
基本费率有等级费率,货种费率,从价费率,特殊费率和均一费率之分。
班轮运费是由基本运费和附加费两部分组成。
2.附加费(SURCHARGES):为了保持在一定时期内基本费率的稳定,又能正确反映出各港的各种货物的航运成本,班轮公司在基本费率之外,又规定了各种费用。
主要有:(1)燃油附加费(BUNKER SURCHARGE OR BUNKER ADJUSTMENT FACTOR--B.A.F.).在燃油价格突然上涨时加收.(2)货币贬值附加费(DEVALUATION SURCHARGE OR CURRENCY ADJUSTMENT FACTOR--C.A.F.).在货币贬值时,船方为实际收入不致减少,按基本运价的一定百分比加收的附加费.(3)转船附加费(TRANSHIPMENT SURCHARGE).凡运往非基本港的货物,需转船运往目的港,船方收取的附加费,其中包括转船费和二程运费.(4)直航附加费(DIRECT ADDITIONAL).当运往非基本港的货物达到一定的货量,船公司可安排直航该港而不转船时所加收的附加费.(5)超重附加费(HEAVY LIFT ADDITIONAL)超长附加费(LONG LENGTH ADDITIONAL)和超大附加费(SURCHARGE OF BULKY CARGO)。
当一件货物的毛重或长度或体积超过或达到运价本规定的数值时加收的附加费。
(6)港口附加费(PORT ADDITIONAL OR PORT SUECHARGE)。
有些港口由于设备条件差或装卸效率低,以及其他原因,船公司加收的附加费。
(7)港口拥挤附加费(PORT CONGESTION SURCHARGE)。
有些港口由于拥挤,船舶停泊时间增加而加收的附加费。
(8)选港附加费(OPTIONAL SURCHARGE)。
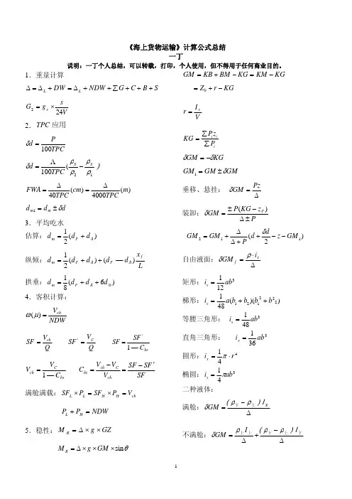
《海上货物运输》三副考试计算公式总结一、 船舶与货运基础知识部分1.船舶重量性能:2.船舶容积性能:舱容系数概念:3.平均吃水的计算:4. 每厘米吃水吨数TPC5、舷外水密度改变对吃水的修正淡水水尺超额量F.W.A :半淡水水尺超额量:舷外水密度改变对吃水的修正近似计算公式:6.干舷: 7. 亏舱率:LD W ∆-∆=∑∑--∆-∆=--=CG C G DW NDW L NDWV chi .∑=μwA TPC⋅⋅=ρ01.0⎪⎪⎭⎫⎝⎛-⨯∆=01100ρρρρδρTPC d d TPC P δ⨯=100TPCP d 100=⇒δ)(40)(4000..cm TPCm TPC A W F ∆=∆=)025.1(..40ρδρ-⨯=A W F d 2211ρρd d =d D d D F -≈-+=εchcch chs b v v v v v C -==δ.8.积载因数:亏舱率和积载因数的使用:(SF 1 不包括亏舱积载因数 SF 2:包括亏舱积载因数 Vch 货物所占舱容 Vc 货物量尺体积)9.满载满舱的计算:(1) 积载因数为不包括亏舱的积载因数: (2) 积载因数为包括亏舱的积载因数:二、稳性部分1.稳性力矩方程:2.初稳性方程:3.初稳性高度GM 的计算: KM=KB+BMBM: KG:4.液舱内自由液面对GM 的影响:对矩形: 5.船内载荷移动对初稳性的影响(1)船内载荷横移:(2)船内载荷垂移:载荷下移,重心下移,Z 取“+”,GM 增加; 载荷上移,重心上移,Z 取“-”,GM 减小。
bsC F S F S -=1..12∑∑=Q VF S c1.∑∑=Q VF S ch2.212.......F S F S F S vv v C chc ch s b -=-=⎩⎨⎧-⋅∑=⋅+⋅=+)1(......s b ch i L L H H L H C V F S P F S P NDW P P ⎩⎨⎧∑=⋅+⋅=+ch i L L H HL H VF S P F S P NDWP P .....GZ M R ⋅∆=).81.9(m kN Sin GM GZ M R θ⋅⋅∆=⋅∆=KGKM GM -=V I BM x=∆⋅∑=)(i i Z P KG ∆=∑xf i GM ρδ)(01f f GM KG KM GM GM GM δδ+-=-=3121b i x=GMPytg GMtg Py ⋅∆=⇒⋅∆=θθ∆⋅=ZP GM δbscch C V V -=1(3)船内悬挂重物对GM 的影响(5)少量载荷变动对初稳性的影响:(P:加载取 + ,减载取 - )6.大倾角稳性的表示:7.静稳性曲线:8稳性衡准数K :9.横摇周期T θ我国国内: (GM 为未经过自由液面修正的初稳性高度)IMO 近似算法:10.稳性调整:(1)垂向移动载荷(船内问题)单向移动载荷(适于不满舱):双向轻重货等体积垂向对调(适于满舱):(2)、加减载荷(船外问题)(3)初始横倾角的调整:● 载荷横向移动调整初始横倾角:● 横向不对称加减载荷调整初始横倾角:∆⋅-=Z P GM GM 1∆⋅-=⇒ZP GM δPKP KG P GM +∆-⋅=)(δGZ M R ⋅∆=θsin KG KN KH KN GZ -=-=GMKG B fT 22458.0+=θ2)(θT fB GM =ZGM P ∆⋅=δZ GM P ∆⋅=δ⎩⎨⎧⋅=⋅=-L L H H L H F S P F S P PP P ..P KP KG P GM ±∆-⋅±=)(δw h w h M M Kmin.min .==GMyP tg tg ⋅∆⋅=-01θθGM P Pytg tg ).(01±∆=-θθ三、船舶强度部分1.拱垂变形的判断: ➢ d z > d m :中垂变形 ➢ d z < d m :中拱变形 ➢ d z = d m :无拱垂变形拱垂变形值:2.按照舱容比分配货物:3.许用均布载荷经验公式法:上甲板:Hc 轻结构取1.2,重结构取1.5中间甲板和内底板:(Hd 为底舱或者中间舱高度,u 为船舶设计舱容系数,若无资料,u 取1.39,重质加强取0.83)4.实际负荷的计算:均布载荷:集中载荷:最小衬垫面积Smin:M z d d -=δ1200BP L <δ有利拱垂范围:8001200BP BP L L <≤δ正常拱垂范围:600800BPBP LL <≤δ极限拱垂范围:600BP L ≥δ危险拱垂范围:QV V P c hi c hi i∑⋅∑=..%)101(±⨯=±='i i i i P P P P δμγ)5.1(2.181.981.9或⋅=⋅⋅=c c d H P μγd c d d H H P ⋅=⋅⋅=81.981.9SFH S P P d⨯=⨯='81.981.9nWP ⋅='81.9d dd P PS P P S S P P =⇒'=⇒='min四.船舶吃水差部分1.吃水差概念和计算:2. 船舶空载航行时对船舶吃水要求的经验公式法:3.MTC :4.首、尾吃水的计算5.纵向移动载荷对吃水差的影响:6.少量载荷变动对吃水差的影响:7.舷外水密度变化对吃水差的影响:8.利用吃水差比尺调整吃水差: AF d d t -=MTCx x MTC MTC M t b g L 100)(100100-⋅∆=⋅∆==⎩⎨⎧+≥≥≤)(202.0)(025.0150(min)(min)m L d m L d m L BP M BP F BP ,⎩⎨⎧+≥+≥>)(202.0)(2012.0150(min)(min)m L d m L d m L BP M BP F BP ,BPLBP L L BM L GM MTC 100100⋅∆≈⋅∆=∆=∑iig xP x ⎪⎪⎪⎩⎪⎪⎪⎨⎧⋅+-=⋅-+=t L x L d d t L x L d d BP fBP MA BPf BP M F 22MTC x P t 100⋅=δt L x L d d t L x L d d BPf BPA A BP f BP F F δδ⋅+-=⋅-+=2,20101MTCx x P t f P 100)(-=δMTC x x P L x L TPC P d f P BP f BP F 100)(2100-⨯-+=δMTCx x P L x L TPC P d f P BP f BPA 100)(2100-⨯+-=δF F F d d d δ+=1A A A d d d δ+=1t t t δ+=1MTCx x d TPC t f b )(-⋅=ρδδAF d d t δδδ-=100)100(1Pd d F F ±⋅=+δδ五、其他部分1.高密度散装固体装载的限重:每一货舱中的货物重量应满足:经充分平舱后的每一货舱的货物重量应满足:机舱后部各底舱轴隧的加强作用,应满足:2.高密度散装固体装载的限高:未平舱或仅作部分平舱时,自舱底起算的货堆高度应满足:机舱后部各底舱由于轴隧的加强作用,其货堆高度应满足:3.大型散货船最大吃水和最小吃水的确定:sbd P 9.0max ≤sbd P 08.1max ≤sbd P 19.1m ax ≤sd F S H ⨯⨯≤.1.1m ax sd F S H ⨯⨯≤.21.1max4.散装货物水尺检量对装卸货重量的计算: 装货: 卸货:5. 横向一侧系索总道数N的确定awd D H D d -+=max )()(a a f f G G Q ∑-∆-∑-∆=)()(f f a a G G Q ∑-∆-∑-∆=wH h h H d ++-=21m in。
《海上货物运输》计算公式总结海上货物运输是一种主要的国际物流方式,计算货物的运输费用是货物运输过程中的重要环节。
在进行海上货物运输计算时,主要涉及到货物的重量、体积、运输距离以及其他各种费用。
以下是海上货物运输计算的一些常用公式和注意事项。
1.货物重量计算公式:货物重量计算是海上货物运输费用计算的基础,常见的货物重量计算公式有以下几种:1.1毛重计算公式:毛重=净重+包装重量其中,净重是指货物本身的重量,包装重量是指货物包装材料的重量。
1.2体积重量计算公式:体积重量 = 长(cm) × 宽(cm) × 高(cm) / 6000其中,长、宽、高分别为货物的长度、宽度和高度,6000是计算单位。
1.3体积重量与实际重量比较:实际重量与体积重量两者比较,选择较大值作为货物的计费重量,运输费用将以计费重量为基准计算。
2.货物运输费用计算公式:在进行货物运输费用计算时,需要考虑运输距离、货物重量以及其他各种费用。
常见的运输费用计算公式有以下几种:2.1运输费用计算公式:运输费用=基本运费+附加费用其中,基本运费是指货物的基本运输费用,附加费用是指货物运输过程中的一些额外费用,如港口费用、保险费用等。
2.2基本运费计算公式:基本运费=运输距离×运输单位价格其中,运输距离是指货物从出发港口到目的港口的距离,运输单位价格是指货物每单位距离的运输费用。
2.3附加费用计算公式:附加费用=货物包装费用+港口费用+保险费用+其他费用其中,货物包装费用是指货物包装过程中的费用,港口费用是指货物在港口停靠期间产生的费用,保险费用是指货物运输过程中的保险费用,其他费用是指其他与货物运输相关的费用。
3.货物运输时间计算公式:货物运输时间是指货物从出发港口到目的港口的运输时间。
货物运输时间的计算主要根据货物运输距离和运输速度来确定。
常见的货物运输时间计算公式有以下几种:3.1货物运输时间计算公式:货物运输时间=运输距离/运输速度其中,运输速度是指货物运输的速度,可以根据实际情况进行估计。
FOB CFR CIF与FCA CPT CIP价格换算一、FOB、CFR、CIF与FCA、CPT、CIP区别和责任划分FOB、CFR、CIF和FCA、CPT、CIP的主要区别是前三种是海上运输,后三种都是货交承运人,无特定的运输方式。
责任的划分也从货交承运人开始。
FOB的运输方式为海上运输,责任划分从货物越过船舷开始由卖方负责出关,买方负责入关CFR 责任划分从货物越过船边开始CIF 与上面不同的是CIF中包含保险FCA是货交承运人CPT当中包含买方要运费付至CIP中买方除了要支付运费以外还要支付保险费二、FOB、CFR、CIF的价格构成的计算公式在我国进出口业务中,最常采用的贸易术语是FOB、CFR和CIF三种。
这三种贸易术语仅适用于海上或内河运输。
在价格构成中,通常包括三方面的内容:生产或采购成本、各种费用和净利润。
FOB、CFR和CIF价格构成的计算公式如下:1、FOB价=生产/采购成本价+国内费用+净利润2、CFR价=生产/采购成本价+国内费用+国外运费+净利润,即FOB价+国外运费3、CIF价=生产采购成本价+国内费用+国外运费+国外保险费+净利润,即FOB价+国外运费+国外保险费三、FCA、CPT和CIP价格构成的计算公式FCA、CPT和CIP三种贸易术语,是国际商会为适应国际贸易的新发展而制定的贸易术语。
它们的适用范围比较广,其价格构成也有三部分:生产或采购成本、各种费用和净利润。
由于采用的运输方式不同,交货地点和交贷方式不同,有关费用也有所不同。
FCA、CPT和CIP的价格构成的计算公式如下:1、FCA价=生产/采购成本价+国内费用+净利润2、CPT价=生产/采购成本价+国内费用+国外运费+净利润,即FCA价十国外运费3、CIP价=生产/采购成本价+国内运费+国外运费+国外保险费+净利润,即FCA价+国外运费+国外保险费四、FOB、CFR、CIF价格换算公式1、FOB价换算为其他价CFR价=FOB价+国外运费CIF价=(FOB价+国外运费)/(1―投保加成x保险费率)2、CFR价换算为其他价FOB价=CFR价―国外运费CIF价=CFR价/(1―投保加成x保险费率)3、CIF价换算为其他价FOB价=CIF价x(1―投保加成X保险费率)―国外运费CFR价=CIF价x(1―投保加成x保险费率)五、FCA、CPT、CIP价格换算公式1、FCA价换算为其他价CPT价=FCA价+国外运费CIP价=(FCA价+国外运费)/(1―投保加成x保险费率)2、CPT价换算为其他价FCA价=CPT价―国外运费CIP价=CPT价/(1―投保加成x保险费率)3、CIP价换算为其他价FCA价=CIP价x(1―投保加成x保险费率)―国外运费CPT价=CIP价x(1―投保加成x保险费率)。
船舶货运计算汇编一、舷外水密度改变对船舶吃水的影响计算 通用公式12d (1)100TPC ρ∆δρ=- ;近似估算公式2211d d ρρ=例1:某船从密度为ρ1=1.021g/cm 3的水域驶入密度为ρ2=1.003g/cm 3的水域,船舶排水量Δ=64582t,每厘米吃水吨数TPC=54.41t,则船舶平均吃水改变量δd=_______cm 。
A.20.6B.19.9C.22.1D.21.4例2:船舶由水密度ρ=1.010g/cm 3的水域驶入标准海水水域,吃水约减小 。
A .1.5%B .3.0%C .4.5%D .6.0%解:由近似估算公式计算得,1.010×d 1=1.025×d 2 ,所以d 2=0.985 d 1 ,吃水改变量为(d 2- d 1)/d 1=0.015所以应选A 。
二、利用FWA 判断船舶是否超载FWA 是船舶淡水超额量,是船舶从标准海水驶入标准淡水时船舶吃水增加量,当船舶位于半淡水水域时,船舶半淡水超额量计算公式为:()FW A d ⨯⨯-=40025.12ρδ (cm) 式中2ρ是半淡水的密度,只要船舶吃水超过载重线的部分不大于δd ,则船舶就没超载,否则就超载。
例1:已知某轮淡水水尺超额量FWA=0.35 m ,当船舶从ρ=1.010 t/m 3的水域驶往ρ=1.025t/m 3的水域时,船舶平均吃水的变化量_______。
A .增大0.25mB .减少0.21mC .增大0.21mD .无法计算解:将上述数据代入公式即得δd=21cm ,所以应选B例2:某轮装货后将相应载重线上缘没入水中28cm ,泊位舷外水密度ρ=1.003 t/m 3,FWA=0.34m ,则该轮______。
A .已经超载B .船舶不适航C .没有超载D .不能确定解:将上述数据代入公式可得δd=22×0.34/25=30cm ,即本船在该半淡水港可将载重线上缘没入水中30厘米,而实际上该船只将载重线上缘没入水中28cm ,所以该船没有超载。
船舶货运公式总结1. 纵倾平均吃水2+=+⋅fF A m bpx d d d t L 2. 横倾平均吃水 222+++===P S AP ASFP FA m d d d d d d d 3. 任意倾斜平均吃水6+++++=+⋅fFP FS P S AP AS m bpx d d d d d d d t L4. 倾斜+(中拱中垂变形)平均吃水 +68+=+⋅fF A m bpx d d d d t L 5. 每厘米吃水吨数 100⋅=WA TPC ρ6. 密度变化平均吃水的该变量21100⎛⎫∆=⋅- ⎪⎝⎭S S P P P d TPC P P δ7. 淡水超额量()()400040FWA m cm TPC TPC∆∆==8. 半淡水超额量()()224140401≈-⋅-SFWA P FWA P FWA9. 12∆⎧⎪⎧⎪⎪⎪∆⎧⎨⎪∑⎨⎨⎪⎩⎪⎪⎪⎪⎩⎩LNDW G DW G G C 10. 船舶常数C = 营运后的L ∆ — 出厂时的L ∆ 11. 舱容系数 ()3=∑chV m t NDWμ12. 实际排水体积=m K V ⋅(船壳系数⨯型排水体积) 船壳系数 1.003~1.007=K13. 船舶干舷=型深+干舷甲板厚度-型吃水 =+-F D d ε14. 亏舱率-==C h Cbs C hC hV V VC V V δ15. 不包括方舱的积载固数0SF 0CV SF P=(C V --量尺体积)16. 包括方舱的积载固数1SF1C V hSF P =(CV --货舱容积) 17. 011SF SF Cbs=-18. 最浅水深处吃水:L w a d Dd H D =+-Dd -基准水深 w H -利用潮高 a D -高潮水深19.+=-∑⎧⎨⋅+⋅=∑-∑⎩H L LL H C h C P P NDW PP SF PH SF V V 20. 拱垂直 =⊗-=md d δ|船中左右舷平均吃水-首尾平均吃水|21. 甲板上强度经验公式9.81=⋅C H Pd μ( 1.5C H m -或1.2m )22. 中间甲板和舱底强度经验公式9.81=⋅C H Pd μ(C H 为舱高)331.390.72C m tt m μγ⎧=⎪⎨=⎪⎩(轻) 330.831.2Cmt t m μγ⎧=⎪⎨=⎪⎩(重) 23. 初稳性力矩9.81sin =⋅∆⋅⋅S M GM θ24. 大倾角稳性力矩=9.81⋅∆⋅S M GZ25. KM KG GM -=(初稳性高度) 26. KG (船重心高度)=∑∆i iPZ (∑i i PZ --全船垂向总力矩) 27. 第i 层高度 cici c c V h H V h=⋅重心系数中部货舱取0.5 高层取0.54~0.58 28. 自由液面对稳性的影响⋅=∆xi GM ρδ○1 等腰梯形:()()221212148=++x i l b b b b ○2 矩形:31=12x i lb ○3 等腰三角形:31=48x i lb ○4 直角梯形:()()221212136=++x i l b b b b ○5 直角三角形:3136=x i lb○6 圆形:414=x i r π○7 椭圆形:314=x i ab π29. 载荷水平横移:tan P Y GM θ⋅=∆⋅⋅ 30. 载荷垂向移动:⋅=⋅∆P Z GM δ31. 重量大量增减:1∆+∑=∆+∑i iiKG PZKG P32. 重量少量增减:()∑-=∆+∑i i iP KG KP GM P δ33.2B D >对sm θ减小值()2021B S K D θ⎛⎫=-- ⎪⎝⎭注: 2.5B D>取2.5, 1.5K >取1.534.2240.58B KG T fGMθ+=(T θ--横摇周期)35. fBT GMθ=(f取0.88左右)36. 我国建议远洋船舶纵向浮态公式○1 min min0.0251500.022F bpbp bp d L L m d L μ≥⎧⎪≤⎨≥+⎪⎩○2 min min0.01221500.022F bp bp bp d L L m d L μ≥+⎧⎪>⎨≥+⎪⎩37. 吃水差()=100g b X X t MTC∆-38. 首吃水 2=-+⋅bpf F m bpL X d d t L39. 尾吃水 2+=-⋅bpf A m bpL X d d t L40. 载荷纵移吃水差改变量:100=PXt MTCδ(P 前移X 为+,P 后移为-)41. 少量增减()100100=-=p f P d TPCP X X t MTCδδ42. 舷外水密度变化: ()21100∆-⎛⎫=- ⎪⎝⎭b f s s X X P P t MTC P P δ43. 大量增减 ()111111=+100∆∆⎧∆-⎪∆+∑⇒=⎨=⎪∆+∑⎩g b g i i g i PX X X P X t X MTC P44. 每一货舱最大装载重量应满足:max 0.9=s P lbd 如果充分平舱,则增装20%即max 1.08=s P lbd机舱后部各底舱由于轴隧的加强作用,可增装32%,即max 1.188=s P lbd45. 舱内货物的堆高应满足:max 1.1=⋅s H SF d机舱各部由于轴隧的加强作用可增高10%即max 1.21=⋅s H SF d。
《海上货物运输》三副考试计算公式总结一、 船舶与货运基础知识部分1.船舶重量性能:2.船舶容积性能:舱容系数概念:3.平均吃水的计算:4. 每厘米吃水吨数TPC5、舷外水密度改变对吃水的修正淡水水尺超额量F.W.A :半淡水水尺超额量:舷外水密度改变对吃水的修正近似计算公式:6.干舷: 7. 亏舱率:LD W ∆-∆=∑∑--∆-∆=--=CG C G DW NDW L NDWV chi .∑=μwA TPC⋅⋅=ρ01.0⎪⎪⎭⎫⎝⎛-⨯∆=01100ρρρρδρTPC d d TPC P δ⨯=100TPCP d 100=⇒δ)(40)(4000..cm TPCm TPC A W F ∆=∆=)025.1(..40ρδρ-⨯=A W F d 2211ρρd d =d D d D F -≈-+=εchcch chs b v v v v v C -==δ.8.积载因数:亏舱率和积载因数的使用:(SF 1 不包括亏舱积载因数 SF 2:包括亏舱积载因数 Vch 货物所占舱容 Vc 货物量尺体积)9.满载满舱的计算:(1) 积载因数为不包括亏舱的积载因数: (2) 积载因数为包括亏舱的积载因数:二、稳性部分1.稳性力矩方程:2.初稳性方程:3.初稳性高度GM 的计算: KM=KB+BMBM: KG:4.液舱内自由液面对GM 的影响:对矩形: 5.船内载荷移动对初稳性的影响(1)船内载荷横移:(2)船内载荷垂移:载荷下移,重心下移,Z 取“+”,GM 增加; 载荷上移,重心上移,Z 取“-”,GM 减小。
bsC F S F S -=1..12∑∑=Q VF S c1.∑∑=Q VF S ch2.212.......F S F S F S vv v C chc ch s b -=-=⎩⎨⎧-⋅∑=⋅+⋅=+)1(......s b ch i L L H H L H C V F S P F S P NDW P P ⎩⎨⎧∑=⋅+⋅=+ch i L L H HL H VF S P F S P NDWP P .....GZ M R ⋅∆=).81.9(m kN Sin GM GZ M R θ⋅⋅∆=⋅∆=KGKM GM -=V I BM x=∆⋅∑=)(i i Z P KG ∆=∑xf i GM ρδ)(01f f GM KG KM GM GM GM δδ+-=-=3121b i x=GMPytg GMtg Py ⋅∆=⇒⋅∆=θθ∆⋅=ZP GM δbscch C V V -=1(3)船内悬挂重物对GM 的影响(5)少量载荷变动对初稳性的影响:(P:加载取 + ,减载取 - )6.大倾角稳性的表示:7.静稳性曲线:8稳性衡准数K :9.横摇周期T θ我国国内: (GM 为未经过自由液面修正的初稳性高度)IMO 近似算法:10.稳性调整:(1)垂向移动载荷(船内问题)单向移动载荷(适于不满舱):双向轻重货等体积垂向对调(适于满舱):(2)、加减载荷(船外问题)(3)初始横倾角的调整:● 载荷横向移动调整初始横倾角:● 横向不对称加减载荷调整初始横倾角:∆⋅-=Z P GM GM 1∆⋅-=⇒ZP GM δPKP KG P GM +∆-⋅=)(δGZ M R ⋅∆=θsin KG KN KH KN GZ -=-=GMKG B fT 22458.0+=θ2)(θT fB GM =ZGM P ∆⋅=δZ GM P ∆⋅=δ⎩⎨⎧⋅=⋅=-L L H H L H F S P F S P PP P ..P KP KG P GM ±∆-⋅±=)(δw h w h M M Kmin.min .==GMyP tg tg ⋅∆⋅=-01θθGM P Pytg tg ).(01±∆=-θθ三、船舶强度部分1.拱垂变形的判断: ➢ d z > d m :中垂变形 ➢ d z < d m :中拱变形 ➢ d z = d m :无拱垂变形拱垂变形值:2.按照舱容比分配货物:3.许用均布载荷经验公式法:上甲板:Hc 轻结构取1.2,重结构取1.5中间甲板和内底板:(Hd 为底舱或者中间舱高度,u 为船舶设计舱容系数,若无资料,u 取1.39,重质加强取0.83)4.实际负荷的计算:均布载荷:集中载荷:最小衬垫面积Smin:M z d d -=δ1200BP L <δ有利拱垂范围:8001200BP BP L L <≤δ正常拱垂范围:600800BPBP LL <≤δ极限拱垂范围:600BP L ≥δ危险拱垂范围:QV V P c hi c hi i∑⋅∑=..%)101(±⨯=±='i i i i P P P P δμγ)5.1(2.181.981.9或⋅=⋅⋅=c c d H P μγd c d d H H P ⋅=⋅⋅=81.981.9SFH S P P d⨯=⨯='81.981.9nWP ⋅='81.9d dd P PS P P S S P P =⇒'=⇒='min四.船舶吃水差部分1.吃水差概念和计算:2. 船舶空载航行时对船舶吃水要求的经验公式法:3.MTC :4.首、尾吃水的计算5.纵向移动载荷对吃水差的影响:6.少量载荷变动对吃水差的影响:7.舷外水密度变化对吃水差的影响:8.利用吃水差比尺调整吃水差: AF d d t -=MTCx x MTC MTC M t b g L 100)(100100-⋅∆=⋅∆==⎩⎨⎧+≥≥≤)(202.0)(025.0150(min)(min)m L d m L d m L BP M BP F BP ,⎩⎨⎧+≥+≥>)(202.0)(2012.0150(min)(min)m L d m L d m L BP M BP F BP ,BPLBP L L BM L GM MTC 100100⋅∆≈⋅∆=∆=∑iig xP x ⎪⎪⎪⎩⎪⎪⎪⎨⎧⋅+-=⋅-+=t L x L d d t L x L d d BP fBP MA BPf BP M F 22MTC x P t 100⋅=δt L x L d d t L x L d d BPf BPA A BP f BP F F δδ⋅+-=⋅-+=2,20101MTCx x P t f P 100)(-=δMTC x x P L x L TPC P d f P BP f BP F 100)(2100-⨯-+=δMTCx x P L x L TPC P d f P BP f BPA 100)(2100-⨯+-=δF F F d d d δ+=1A A A d d d δ+=1t t t δ+=1MTCx x d TPC t f b )(-⋅=ρδδAF d d t δδδ-=100)100(1Pd d F F ±⋅=+δδ五、其他部分1.高密度散装固体装载的限重:每一货舱中的货物重量应满足:经充分平舱后的每一货舱的货物重量应满足:机舱后部各底舱轴隧的加强作用,应满足:2.高密度散装固体装载的限高:未平舱或仅作部分平舱时,自舱底起算的货堆高度应满足:机舱后部各底舱由于轴隧的加强作用,其货堆高度应满足:3.大型散货船最大吃水和最小吃水的确定:sbd P 9.0max ≤sbd P 08.1max ≤sbd P 19.1m ax ≤sd F S H ⨯⨯≤.1.1m ax sd F S H ⨯⨯≤.21.1max4.散装货物水尺检量对装卸货重量的计算: 装货: 卸货:5. 横向一侧系索总道数N的确定awd D H D d -+=max )()(a a f f G G Q ∑-∆-∑-∆=)()(f f a a G G Q ∑-∆-∑-∆=wH h h H d ++-=21m in。
海运体积重量计算公式
海运计费的重要参数之一为体积重量,它是实际运输重量与基于体积的费用之间的重要换算参数。
海运公司根据客户的出发地和运输需求,计算出体积重量。
体积重量的计算公式可以简单表述为:海运体积重量=体积/体积重量比例,其中体积指的是货物的实际体积,体积重量比例是指海运公司根据不同航线和运输目的地确定的换算比例,一般为6000立方厘米=1吨。
实际的体积重量即以上计算公式的结果。
因此,海运体积重量的费用往往会比实际运输重量的费用高。
在货物量大、体积小的情况下,为了降低运费开支,客户应尽量减少货物的体积,降低体积重量,以节省成本。
此外,实际运输重量和体积重量的比值也会影响运费标准,所以客户也应当合理衡量这两者间的比例关系。
总之,在海运费用计算中,体积重量是非常重要的参数,它不但关系到客户的运费开支,也影响到海运公司的货运效率。
所以客户应当仔细算好体积重量,做好正确的结算,这有助于提高海运行业的可持续发展。
《船舶货运》计算题小结一. 水密度修正公式应用.1. 计算公式(1) )(T PC 100d 01ρρ-ρρ⨯∆=δρ (m) 式中: 1ρ--新水域水密度;0ρ----原水域水密度。
(2) TPC100P d =δ (m) 式中: P 加载时取正;卸载时取负。
2. 计算题型(1) 已知始发港吃水,求目的港吃水; (2) 已知目的港吃水,求始发港吃水.3. 计算例题〔1〕某轮在海水中的吃水为时,查得排水量△=18000t ,TPC=25t/cm 。
计划由标准海水港驶往一半淡水港(ρ=1.010),抵达目的港的平均吃水限制为8m ,预计途中消耗油水200t ,在不考虑其他因素的情况下,问出发时该轮的平均吃水为多少?(答案:d=)〔2〕某轮自大连港开往非洲某港,开航时平均吃水d m =.排水量为19120t ,途中消耗油水共1000t ,求到达非洲某港(ρ3)时的平均吃水是多少?(TPC=25t/cm) (答案: )m 71.8d =二. 满舱满载公式应用1. 计算公式(1) 货物积载因数S.F 为包括亏舱: (题中不给出货物的亏舱率) ch.i L L H H L H V F .S P F .S P NDWP P ∑=⨯+⨯=+ (2) 货物积载因数S.F 为不包括亏舱: (题中应给出货物的亏舱率,而且一般设各种货物的亏舱率均相等) )C 1(V F .S P F .S P NDWP P s .b ch .i L L H H L H -∑=⨯+⨯=+2. 计算题型(1)已知货物积载因数为包括亏舱,求使船舶满舱满载的轻重货重量 (2) 已知货物积载因数为不包括亏舱,求使船舶满舱满载的轻重货重量3. 计算例题(1) 某轮满载排水量∆=19650t ,∆L =5560t ,航次储备量∑G 有燃油1429t ,淡水325t ,备品28t,船舶常数为200t ,船舶总舱容为19864m 3。
已配装铜块1=3/t),棉花2=3/t),问应再配沥青3=3/t)和亚麻4=3/t)各多少吨才能到达满舱满载?(各种货物积载因数包括亏舱) (答案: P H ,P L )(2) 某轮∆=12000t ,∆L =4000t ,∑G+C=1000t ,船舶总舱容为10000m 3.本航次计划配装罐头1=3/t),棉布2=3/t).还拟配装日用品3=3/t)及小五金. (SF 4=3/t).问为使船舶满舱满载,日用品和小五金应各配多少吨?(以上四种货均未考虑亏舱,设其亏舱率均为15%). (答案:P H =4271t ,P L =729t)三、 局部强度校核计算1. 计算公式(1) 上甲板允许载荷: C C C d H 81.9F .S H 81.9P γ⨯⨯=⨯= 甲板间舱和底舱: C d d C H 81.9F.S H 81.9P γ⨯⨯=⨯= 其中: 3C m /t 72.0=γ 则可推出: d d H 06.7P = (2) 实际载荷: S P 81.9P d⨯=' 或 i i d F .S h 81.9P ⨯=' (3) 最小底面积: dmin P P A =2. 计算题型 (1) 确定A min (一般计算上甲板装载重大件货物)(2) 校核 d dP P ≤'(一般校核二层甲板或底舱舱底板) 3. 计算例题(1) 某轮舱二层舱高为,底舱高,现拟在二层舱装钢板(S.F=3/t)高,底舱下部装一层钢管(S.F=3/t)高,上面再装一层水泥(S.F=3/t)高,试校核二层甲板和底舱底板的局部强度是否符合要求? (答案: P d(二)=25.769Kpa<P d'(二)=53.955Kpa;P d(底)=51.679Kpa<P d'(底)=68.67Kpa, 局部强度均受损)(2) 某轮上甲板拟装锅炉一只60t ,锅炉上原有木墩3只,每只为×2,重,已知甲板单位面积×,问装后局部强度怎样?假设不满足,应再加几只与原尺寸相同的支墩?(答案:P d'×9.81Kpa>P d ×,局部强度受损;需加支墩7只)四. 稳性计算1. 计算公式(1) 初稳性高度计算公式: KG KM GM -=(2) 船舶重心高度计算公式: ∆∑=i i Z P KG(3) 货物重心高度公式: i Z =2h i +货层底端距基线高度; d chi i H V h ⨯ν= (4) 少量载荷变动对GM 的影响修正公式: P )KP KG (P GM ±∆-⨯±=δ GM GM GM 01δ+=(5) 自由液面对GM 的影响修正公式: ∆ρ∑=δx i GM 自由液面对横倾轴的惯性矩: ⎪⎪⎪⎪⎩⎪⎪⎪⎪⎨⎧++⎪⎪⎪⎩⎪⎪⎪⎨⎧=κ=κ=κκ=b b )(b b (481481361121b i 2221213x 液舱内加一道纵向隔壁,x x i 41i =';加两道纵隔壁, x x i 91i =';余下依此类推. GM GM GM 01δ-=(6) 大量载荷变动后GM 的计算公式: 111KG KM GM -=KM 1由(i P ∑±∆)查载重表尺可得; 重心高度KG 1由合力矩定理重新计算:ii i 1P Z P KG KG ∑±∆∑±⋅∆= (7) 垂向移动载荷(单向移动): ∆=δPZ GM 其中12Z Z Z -=或已知 轻重货等体积对调: ⎩⎨⎧⨯=⨯=-LL H H L H F .S P F .S P P P P 其中Z GM P ∆⋅δ= (7) 调偏公式 (1) 船内问题,排水量不变,即船内横向移货: θ∆=GMtg Py(2) 船外问题,排水量发生变化,即打排压载水: θ'±∆=tg M G )P (Py ,GM GM M G δ+=',GM δ的求取同(4),上面两式的θ角均为调整角.2. 计算题型(1) 计算经少量载荷变动和(或)自由液面影响修正后的GM 值(2) 求取每票货物的重心高度及整个货舱的重心高度;全船重心高度.(3) 垂向移动载荷,轻重货物等体积对调,求满足稳性调整要求的轻重货调整重量.(4) 打排压载水调整稳性,求打排水的重量.(5) 调偏公式应用3. 计算例题(1)某轮满载出港时,∆=18597t ,全船垂向总力矩为,KM=.①求出港时的GM 1=? (答案:GM 1=)②现欲使GM 1增至,求需从二层舱向底舱移多少货?(底舱Zp=,二层舱Zp=)假设采用上下轻重货等体积对调,则二层舱的重货(S.F=3/t)和底舱的轻货(S.F=4.0)应各移多少才能满足要求?(答案:P h =410t ,P l =82t)③航行中油水消耗:油260t ,Zp=,自由液面力矩为1720t.m;淡水60t ,Zp=,水舱长为20m ,宽为10m ,存在自由液面,且舱内有两道纵向隔壁.求到港时的GM 3=? (答案:GM 3=)(2)某轮某底舱容积2710m 3,双层底高,舱高为,计划配装两种货物:下层焦宝石100t ,(S.F=3/t),上层花生果500t ,(S.F=3/t),试分别求该舱两种货物的重心高度和该舱的重心高度.(答案:Z j =,Z h =,Z=)(3)某轮装载后排水量为15890t ,全船垂向总力矩为,KM=,此时为将GM 调到,拟在船舶重心之下处加压载水,问应加多少吨方能到达要求?(答案:P=53.1t)(4)某轮空船排水量△L =5371t ,本航次净载重量NDW=13580t ,在舱内实装货物12187t ,;油,水等本航次储备量为1928t(液舱均满),船舶常数为200t ,全船垂向总力矩为,KM=.现拟在上甲板装载部分货物,假设要求GM ≥,求最多能在Zp=处装多少吨甲板货?(答案:P=715.8t)〔5〕某轮装载后排水量∆=19000t ,KG=,KM=,船舶右倾4°.现拟在左压载舱加满压载水该舱舱容中心位置为:Zp=,Yp=,问应加载多少吨才能将船舶调平?(答案:P=348.9t)五. 吃水差计算1. 计算公式 (1) 吃水差公式: MT C 100)x x (t b g -∆= 其中,∆∑=i i g x P x ,i x =21货堆长度+货堆侧端距船中距离;或=g x (中前力矩和+中后力矩和)/∆,其中中前力矩取正,中后取负.(2)首尾吃水计算公式:⎪⎪⎪⎩⎪⎪⎪⎨⎧-∆⨯+-=⨯+-=-∆⨯-+=⨯-+=MT C 100)x x (L x 2L d t L x 2L d d MT C 100)x x (L x 2L d t L x 2L d d b g bp f bp M bp f bp M A b g bp f bp M bp f bp M F(3)少量载荷变动时,首尾吃水改变量公式: ⎪⎪⎪⎩⎪⎪⎪⎨⎧δ⨯+-δ=δδ⨯-+δ=δt L x 2L d d t L x 2L d d bp f bp A bp f bp F 吃水差改变量公式: A F f p d d MT C 100)x x (P t δ-δ=-±=δ⎪⎪⎪⎪⎪⎩⎪⎪⎪⎪⎪⎨⎧+=δ+=-=-⨯+-+=δ+=-⨯-++=δ+=⇒t t t d d t MT C 100)x x (P L x 2L T PC 100P d d d d MT C 100)x x (P L x 2L T PC 100P d d d d 1A 1F 1f p bp f bp A A A 1A f p bp f bp F F F 1F (4) 纵向移动载荷(单向): xt MTC 100P δ⋅= 轻重货等体积纵向对调: ⎩⎨⎧⨯=⨯=-LL H H L H F .S P F .S P P P P 其中x MTC 100t P ⋅δ= 打排压载水调整吃水差: f p x x MT C 100t P -⋅δ=2. 计算题型及例题(1) 某轮船长Lbp=140m ,满载出港,其平均吃水dm=,排水量△=16000t ,经计算得纵向力矩:船中前为×,船中后为×18600kn.m.此时浮心距船中距离Xb=-,漂心距船中距离Xf=-,×试求:①该轮出港时的首尾吃水是多少?②假设将吃水差调整为t=-,应从第一舱移多少货至第五舱?(纵向移动距离为80m).(答案:①d F =,d A =②移动货物P=60t)(2) 某轮抵目的港时的满载吃水d F =,d A =,该港允许进港的最大吃水为,已知该轮满载时的TPC=25t/cm ,×,X f =-,L bp =150m ,试问欲在第二货舱(Xp=+45m)和第四货舱(Xp=-40m)各驳卸多少吨货物才能到达9m 平吃水进港?(答案:第二货舱,第四货舱P=1897.6t)(3) 某轮首吃水d F =,尾吃水d A =,航行到某港口,该港允许吃水为,决定在中后处过驳卸货,调整尾吃水与港口吃水相同,问应驳卸多少吨货?(Xf=-,,×,Lbp=148m)(答案:P=160.8t)(4) 某轮船长140m ,TPC=25t/cm ,×,漂心在船中后6m 处,问需在船中前45m 处装多少吨货才能使尾吃水减少20cm?(答案:P=261.2t)(5)某轮尚有150t货物计划装船,此时已知Xf=-,L bp=138m,TPC=25t/cm,×,试计算:①货物装在漂心前40m处时,首尾吃水各变化多少?②为使尾吃水不变,该货物应装于中前多少米处?(答案:①δd F=+,δd A=-②中前Xp=)。
水路运输相关公式一、船舶航速相关。
1. 理论航速(静水航速)计算。
- 公式:V = √(frac{2P){ρS}}- 其中V为船舶理论航速(m/s);P为船舶有效功率(W);ρ为水的密度(kg/m³),海水的密度一般取1025kg/m³,淡水的密度取1000kg/m³;S为湿表面积(m²)2. 实际航速计算(考虑水流影响)- 顺流航速:V_顺=V_静+V_水- 其中V_顺为顺流航速,V_静为船舶在静水中的航速,V_水为水流速度。
- 逆流航速:V_逆=V_静-V_水二、船舶载货量相关。
1. 船舶排水量与载重量。
- 船舶排水量Δ:船舶在水中所排开水的重量,等于船舶自重加上载货量等(Δ = G,G为船舶总重量)。
- 载重量D:船舶允许装载的最大重量,D=Δ - Δ_空,其中Δ_空为船舶空船排水量。
2. 货物积载因数与船舶载货量关系。
- 货物积载因数SF=(V)/(W)(m³/t),其中V为货物的体积(m³),W为货物的重量(t)。
- 如果已知船舶的货舱容积V_舱和货物积载因数SF,船舶载货量W=frac{V_舱}{SF}(假设货物能充分利用货舱空间)三、运费计算相关。
1. 班轮运费计算。
- 班轮运费F = f× Q- 其中F为班轮运费;f为基本运费率(元/计费吨);Q为计费吨数。
计费吨数一般按货物的重量吨(W)和尺码吨(M)两者中较大者计算,重量吨按货物的毛重计算,尺码吨按货物的体积(1尺码吨 = 1立方米)计算。
2. 航次租船运费计算(包干运费)- 航次租船运费F = C- 其中C为双方约定的包干运费总额。
3. 航次租船运费计算(按货物数量计算)- F = f× Q- 这里f为约定的每吨货物的运费率,Q为货物的数量(吨)。
4. 航次租船运费计算(按船舶载重吨计算)- F = f× D- 其中f为每吨载重吨的运费率,D为船舶载重吨数。
平均使用载重吨=船舶净吨*营运天/日历天
周转量=货运量*平均运距
吨天(营运吨天、航行吨天、总吨天)=(营运天、航行天、日历天)*船舶净吨
吨位海里=船舶净吨*航行里程
每营运天(货运量、周转量)=(货运量、周转量)/营运天
营运率=营运吨天/总吨天
航行率=航行吨天/总吨天
载重量利用率=周转量/吨位海里=(货运量*平均运距)/(船舶净吨*航行里程)
吨位产量=周转量/(营运天/日历天*船舶净吨)
运输成本=航次成本+固定成本
航次成本=燃油费+港使费+滞期费+其它航次费+货物费
运输毛利=运输收入-运输成本
(航运部算法:运输毛利=运输收入-航次成本)
运输净利=运输收入-运输成本-三项费用(营业、财务、管理)净收入相当于期租水平(TCE)=(运输收入-航次成本)/营运天。
货运计算公式一、重量计算1、C G NDW DWL L +∑++∆=+∆=∆ 二、吃水1、纵倾:12()()fm F A F A x d d d d d L -=++ 2、拱垂变形:)6(81A Z F md d d d ++=(其中d z 为船中吃水) 3、水密度变化:2111()100S d δρρρ∆=- 三、稳性 1、f GM KM KG GM δ=-- , i x fGM i δρ⋅∑=∆ 1)矩形、等腰三角形、等腰梯形:))((222121481b b b b a x i ++=2)直角三角形:3361ab x i =3)直角梯形:))((222121361b b b b a x i ++=2、P Y GM tg θ⋅=∆⋅⋅ (本公式适用于横移,如果是加减少量载荷调整横倾,则先用公式4,得到新的排水量△+P 和GM 值,再代入本公式)3、P Z GMδ⋅=∆ (垂向移动) 4、()P KG Z GM Pδ-=∆+ (加减少量载荷,小于10%排水量) 5、横摇周期:022458.0GM KG B f T +=θ四、吃水差1、()100100g i i b b X X PX X MTC MTCt ∆-∑-∆==(吃水差的基本计算公式) 2、2L fm F X d d t L -=+⋅ , 2L fm A X d d t L +=-⋅3()100i i f P X X t MTC δ∑-=,210100L f i F F X P d d t L TPCδ-∑=++⋅,210100L f i A A X P d d t L TPC δ+∑=+-⋅(加减少量载荷) 4、吃水差调整(1)100t P XN MTC ⋅=⋅⋅ (纵向移动,精确计算) (2)()100t f P X X N MTC -=⋅⋅ (加减少量载荷,近似计算,因为没有考虑MT C 随着排水量变化)5、舷外水密度变化引起的吃水差的变化ρδδd x x t MTCTPC f b )(-= 五、重大件装卸1、吊卸()b b P Y P Y tg P Z GM θ⋅+⋅=⋅∆-∆排水量不变。
《船舶货运》计算题小结一. 水密度修正公式应用.1. 计算公式(1) )(TPC 100d 01ρρ-ρρ⨯∆=δρ (m) 式中: 1ρ--新水域水密度;0ρ----原水域水密度。
(2) TPC100P d =δ (m) 式中: P 加载时取正;卸载时取负。
2. 计算题型(1) 已知始发港吃水,求目的港吃水; (2) 已知目的港吃水,求始发港吃水.3. 计算例题(1)某轮在海水中的吃水为8.00m 时,查得排水量△=18000t ,TPC=25t/cm 。
计划由标准海水港驶往一半淡水港(ρ=1.010),抵达目的港的平均吃水限制为8m ,预计途中消耗油水200t ,在不考虑其他因素的情况下,问出发时该轮的平均吃水为多少?(答案:d=7.97m)(2)某轮自港开往非洲某港,开航时平均吃水d m =9.0m.排水量为19120t ,途中消耗油水共1000t ,求到达非洲某港(ρ=1.010t/m 3)时的平均吃水是多少?(TPC=25t/cm) (答案: )m 71.8d =二. 满舱满载公式应用1. 计算公式(1) 货物积载因数S.F 为包括亏舱: (题中不给出货物的亏舱率)ch.i L L H H L H V F .S P F .S P NDWP P ∑=⨯+⨯=+ (2) 货物积载因数S.F 为不包括亏舱: (题中应给出货物的亏舱率,而且一般设各种货物的亏舱率均相等) )C 1(V F .S P F .S P NDWP P s .b ch .i L L H H L H -∑=⨯+⨯=+2. 计算题型(1)已知货物积载因数为包括亏舱,求使船舶满舱满载的轻重货重量 (2) 已知货物积载因数为不包括亏舱,求使船舶满舱满载的轻重货重量3. 计算例题(1) 某轮满载排水量=19650t ,L =5560t ,航次储备量∑G 有燃油1429t ,淡水325t ,备品28t,船舶常数为200t ,船舶总舱容为19864m 3。
水路运输的运费计算一、班轮运费计算1、在没有任何附加费情况下的计算公式:F=f*Q (f表示基本运价;Q表示计费吨)2、在有附加费,而且各附加费按基本费率的百分比收取,运费的计算公式:F=f*Q(1+S1+S2+……+Sn)(S1,S2,……Sn为各项附加费的百分比)3、在有附加费,而且各项附加费按绝对数收取,运费的计算公式:F=(f+S1+S2+……+Sn)Q (S1,S2,……Sn为各项附加费的绝对数)二、内河、沿海运费的计算1、运费=运价率*货物吨数运价率=(航行基价*里程+停泊基价)*级别系数2、综合基价=(运输陈本+利润+税金)/计划期换算货物周转量【元/(吨.公里)】3、运价率=综合基价*里程*极差系数(吨/系数)4、组合基价=航行基价*里程+停泊基价(元/吨)5、航行基价=(航行成本+利润+税金)/计划期换算周转量【元/(吨.公里)】6、停泊基价=(停泊成本+利润+税金)/计划期换算货运量(元/吨)7、运价率=组合基价*极差系数(元/吨)8、极差率=(后级运价率-前级运价率)/前级运价率*100%后级运价率-前级运价率*(1+极差率)(元/吨)9、各级运价率=基价*相应的级差系数10、运价率=(航行那几家*里程+停泊基价)*级别系数公路运输的计算一、运费的计算1、货物运费=货物运价*计费重量*运输里程2、整车货物运费=吨次数*计费重量+整车货物运价*计费重量*计费里程+其他费用3、零担货物运费=零担货物运价*计费重量*计费里程+其他费用4、重(空)集装箱运费=重(空)箱运价*计费箱数*计费里程+箱次费*计费箱数+其他费用5、包车运费=包车运价*包用车辆吨位*计费时间+其他费用航空运输的运费计算一、计算公式1、运费=计费重量*对应的单位运价+附加费二、计费重量1、体积重(千克)=长(厘米)*宽(厘米)*高(厘米)/6000 或体积重(千克)=货物的体积(立方米)*167(千克)测量数值尾数四舍五入2、毛重(千克)=货物的体积(立方米)*167(千克)多件货物的计费重量,总体积重和总毛重择大计算。
《海上货物运输》计算公式总结
海上货物运输是指通过海洋运输工具(船舶)将货物从一个地点运送到另一个地点的过程。
在海上货物运输过程中,涉及到许多计算公式,用于计算货物的装载量、运输成本、船舶尺寸等重要参数。
下面是一些常用的海上货物运输计算公式的总结。
1.货物装载容量计算公式:
货物装载容量=舱口净宽度×舱口长度×舱口高度×舱船长间距
2.载重吨计算公式:
载重吨=轻船的排水量-船舶的基本排水量
3.轻船排水量计算公式:
轻船排水量=轻船总重量/水的密度
4.轻船总重量计算公式:
轻船总重量=船体重量+机电设备重量+附属装置重量+燃油重量+起重机重量+其他设备重量
5.轻船总重心计算公式:
轻船总重心=(船体重心位置×船体重量+机电设备重心位置×机电设备重量+附属装置重心位置×附属装置重量+燃油重心位置×燃油重量+起重机重心位置×起重机重量+其他设备重心位置×其他设备重量)/轻船总重量
6.运输距离计算公式:
运输距离=起点至终点的直线距离+预计航线长度
7.运输时间计算公式:
运输时间=运输距离/船舶航速
8.燃料消耗计算公式:
燃料消耗=船舶燃料耗率×运输时间
9.运输成本计算公式:
运输成本=燃料消耗×燃料价格+船舶租赁费用+港口费用+保险费用+
人工费用+维护费用
10.船舶尺寸计算公式:
船舶尺寸=船舶长×船舶宽×船舶高
11.货物体积计算公式:
货物体积=货物长度×货物宽度×货物高度
12.货物密度计算公式:
货物密度=货物重量/货物体积
这些计算公式可以帮助我们在海上货物运输过程中准确计算各种参数,以确保货物的安全运输和有效管理。
通过合理的运输计算,可以提高运输
效率,降低运输成本,并确保货物按时准确地到达目的地。