化工基础课后习题答案(高教版)
- 格式:doc
- 大小:768.00 KB
- 文档页数:27
化学工程基础—李德华编著(第三版)知识点汇总第一章 化学工业与化学工程掌握:1. 化工基础的主要研究内容是(三传一反)。
可以为一个空或四个空。
2. 化工生产过程可认为是由(化学反应过程)和(单元操作)所组成。
第7页。
3. 化工数据:我国法定计量单位是以(国际单位制)为基础的。
所有物理量都可以由(7)个基本单位导出。
会简单的换算。
了解:1. 化学与化工的区别和联系; 联系:化工以化学学科研究的成果为基础,化学通过化工来实现其研究价值。
区别:规模:“三传”(传动、传热、传质)对反应的影响;实现原料预处理和产物的后处理涉及了“单元操作”;经济性;安全性;环保;等等工程问题。
2. 化工过程开发的主要研究方法有哪些? 逐级经验放大法;数学模型放大法第二章 流体流动过程第一节 概述 知识点: 1. 流体是什么?流体是气体与液体的总称。
2. 流体具有哪些性质? 具有压缩性;无固定形状,随容器形状而变化; 受外力作用时内部产生相对运动第二节 流体静力学基本方程式 知识点: 1. 概念:密度,比体积,重点是压力垂直作用在单位面积上的力称为压强,习惯上称之为压力,用符号p 表示。
2. 压力中需掌握单位换算,以及绝对压力、真空度、表压、当地大气压之间的关系。
atm 1(标准大气压)O mH mmHg Pa 2533.1076010013.1==⨯=3.流体静力学方程式及适用条件,19页2-9。
(1)适用于重力场中静止、连续的同种不可压缩性流体;4.静力学方程在U形管上的压力测量。
重点是会选取等压面,等压面选取的条件是(静止的,连通的,同一种流体的同一水平面)。
第三节流体流动的基本方程式1.体积流量,质量流量,体积平均流速及它们之前的关系,并会简单的单位换算。
掌握公式22页的2-15,2-16。
2.定态流动时的连续性方程,即为质量流量为常数。
23页的2-20。
3.背过实际流体的伯努利方程,并理解每一项的物理意义。
第四章:传质过程1. 压强为 1.013×105Pa 、温度为 25℃的系统中,N 2和O 2的混合气发生定常态扩散过程。
已知相距 5.00×10-3m 的两截面上,氧气的分压分别为 1.25×104Pa 、7.5×103Pa ;0℃时氧气在氮气中的扩散系数为 1.818×10-5 m 2·s -1。
求等物质的量反向扩散时:(1)氧气的扩散通量; (2)氮气的扩散通量;(3)与分压为 1.25×104Pa 的截面相距 2.5×10-3m 处氧气的分压。
解:(1)首先将 273K 时的扩散系数换算为 298K 时的值:P 0 T 1.75D = D 0P ( T 0) 5273 + 25 = 1.818×10-5 × 1.013×10 1.013×105 × ( 等物质的量反向扩散时氧的扩散通量为:N A= RTD l = ( p A,1– p A,2)2.119×10-51.75 =2.119×10-5 m 2·s -1273 )= 8.314 × 298 ×5.00×10-3 × (1.25×104 - 7.5×103 ) = 8.553×10-3 mol· m 2·s -1(2)由于该扩散过程为等物质的量反向扩散过程,所以 - N A= N B,即氮气的扩散通 量也为 8.553×10-3 mol· m 2·s -1。
(3)因为系统中的扩散过程为定常态,所以为定值,则:/p A,2/ = p A,1- N ARTl1.52×(1014)Pa 和反向扩散与单向扩散的传(2)H 质通量大小。
解:(1)当NH 3和H 2作等物质的量反向扩散时:N A= RTD l = ( p A,1– p A,2)1p B,m = p B.2- p B.1 = 9.65×104 - 8.614 ×104-27 = 9.12×104Pa㏑p B.2 ㏑ 9.65×10 p B.17.83×10-5 8.61×1041.013×105N A= 8.314 × 298 × 0.02 × 9.12×104 × (1.52×104 - 4.80×103)= 1.825 ×10-2 mol· m 2·s -1计算结果表明,单向扩散时的传质通量比等物质的量反向扩散时的传质通量大,前者是后者的 PPN A-5= 5.29×10l mol· m -2·s -1根据扩散量等于蒸发量,得:N A· A · dt = MρAA · A · dl23t = 995.7 × 10l 2p B,m = p B.1 - p B.2 = 9.624×104 - 1.0046×105-13 = 9.84×104Pa㏑ p B.1 p B.㏑ 9.624×10 1.006×105-51.0 =2.4×10 1.013×1058.314 × 293l G· 9.84×104( 5065 - 660)l G= 4.47×10-5m武汉大学3。
化工基础习题+参考答案一、单选题(共100题,每题1分,共100分)l、()的特点是对演练情景进行口头演练,一般是在会议室内举行。
A、功能演练B、全面演练C、桌面演练正确答案:C2、《危险化学品安全管理条例》规定,国家对危险化学品生产、储存实行()制度。
A、审批B、许可C、资质认证D、安全评价制度正确答案:A3、某离心泵在运行1年后,发现在启动时有气缚现象发生,下列措施合理的是()。
A、检查进口管路是否有泄涌现象B、降低泵的安装高度是否合适C、停泵,向泵内重新灌液D、检查出口管路阻力是否过大正确答案:A4、硫酸生产的炉气净化工序中一冼与二冼不能除去()。
A、水蒸气B、矿尘C、珅氧化物D、硒氧化物正确答案:A5、离心泵的效率n与流量Q的关系为()。
A、Q增大,n先增大后减小B、Q增大则n增大C、Q增大,n先减小后增大D、Q增大则n减小正确答案:A6、燃烧的发生必须同时具备三个条件,下列哪项()不属于条件之一。
B、氧化剂C、可燃物D、人正确答案:D7、生产经营单位的()有依法获得安全生产保障的权利,并应当依法履行安全生产方面的义务。
A、生产人员B、在职人员C、从业人员D、全体人员正确答案:C8、穿工作服的作用()。
A、整齐统一B、保护内衣不被污染C、标志自己在上班D、防止皮肤吸收毒物、高温辐射和防静电正确答案:D9、某离心泵出口处压力表的读数为55kPa, 当地大气压为10lkPa, 则泵出口处的绝对压强为:()。
A、156kPaB、101kPaC、45kPaD、56kPa正确答案:A10、对某种具体的、特定类型的紧急情况,例如危险物质泄淜、火灾、某一自然灾害等的应急而制定的应急预案为()A、专项应急预案B、综合应急预案C、现场处置方案正确答案:A11、如下哪一种不是传热的基本方式()。
A、热传导B、热辐射D、间壁换热正确答案:D12、国家标准GB281l-2007中对安全帽的基本要求中,哪项没有要求()。
化工基础练习题(附答案)1、流化床反应器内的固体颗粒的运动形式可以近似看作( )A、理想置换B、平推流C、理想混合D、活塞流答案:C2、化工生产过程按其操作方法可分为间歇、连续、半间歇操作。
其中属于稳定操作是( )A、连续操作B、间歇操作C、半间歇操作答案:A3、在化工生产过程中常涉及的基本规律有( )A、热量衡算和平衡关系B、物料衡算、热量衡算和过程速率C、物料衡算、热量衡算、平衡关系和过程速率D、物料衡算和热量衡算答案:C4、碱洗塔水洗段的主要作用是( )A、洗涤裂解气中二氧化碳B、涤裂解气中夹带的碱液C、洗涤裂解气中的硫化氢D、洗涤裂解气中的苯答案:B5、下列聚合物中最易发生解聚反应的是( )A、PPB、PEC、PSD、PMMA答案:D6、加热炉烟气中CO 含量随过剩空气量的变化规律是:过剩空气从大变小时,CO 含量从()变(),当过剩空气量较大时,CO 的含量变化较()。
以下合适的是( )A、高低B、低高C、高低D、低高答案:B7、分子筛再生适合在( )状态下进行。
A、低温,低压B、高温,高压C、低温,高压D、高温,低压答案:D8、可逆反应2NO2 N2O4+Q,50℃时平衡常数K1,0℃ 时平衡常数K2,100℃时平衡常数K3,则K1,K2,K3之间的数量关系是( )。
A、K1<K2<K3B、K2>K1>K3C、K1=K2=K3D、K3>K2>K1答案:B9、反应一个国家石油化学工业发展规模和水平的物质是( )。
A、乙烯B、苯乙烯C、石油D、丁二烯答案:A10、已知环氧乙烷合成反应器生产能力为144t/d,年工作时间8000h,按乙烯原料计算,生成环氧乙烷的选择性为71%,通入反应器的乙烯为43720kg/h,下列生产指标正确的是(原子量:C-12,H-1,O-16) ( )A、反应器年生产能力为48kt/a,乙烯转化率为12.3%B、反应器年生产能力为52.56kt/a,乙烯转化率为12.3%;C、反应器年生产能力为48kt/a,乙烯的转化率为8.73%D、反应器年生产能力为52.56kt/a,乙烯的转化率为8.73%答案:A11、实际生产过程中,为提高反应过程的目的产物的单程收率,宜采用以下措施( )新版取消A、延长反应时间,提高反应的转化率,从而提高目的产物的收率B、缩短反应时间,提高反应的选择性,从而提高目的产物的收率C、选择合适的反应时间和空速,从而使转化率与选择性的乘积即单程收率达最大D、选择适宜的反应器类型,从而提高目的产物的收率答案:C12、以下对硫酸生产中二氧化硫催化氧化采用“两转两吸”流程叙述正确的是( )A、最终转化率高,尾气中二氧化硫低B、进转化器中的炉气中二氧化硫的起始浓度高C、催化剂利用系数高D、用于该流程的投资较其他流程的投资少答案:D13、降低( )可以在不改变反应压力和温度的前题下使加氢和裂化的深度均增大。
化学工程基础课后习题及答案化学工程基础课后习题及答案【篇一:化工基础第5章习题答案】xt>5.2气体的吸收1.空气和co2的混合气体中,co2的体积分数为20%,求其摩尔分数y和摩尔比y各为多少?解因摩尔分数=体积分数,y?0.2摩尔分数摩尔比 y?y0.20.25 1?y1?0.22. 20℃的l00g水中溶解lgnh3, nh3在溶液中的组成用摩尔分数x、浓度c及摩尔比x表示时,各为多少?解摩尔分数x?1/17=0.01051/17?100/18浓度c的计算20℃,溶液的密度用水的密度?s?998.2kg/m3代替。
溶液中nh3的量为 n?1?10?3/17kmol 溶液的体积v?101?10?3/998.2 m3n1?10?3/17溶液中nh3的浓度c?==0.581kmol/m3 ?3v101?10/998.299.82c?sx??0.010?5.0kmol582/m3 或ms18nh3与水的摩尔比的计算 x?1/170.0106100/18x0.0105??0.0106 1?x1?0.0105或 x?3.进入吸收器的混合气体中,nh3的体积分数为10%,吸收率为90%,求离开吸收器时nh3的组成,以摩尔比y和摩尔分数y表示。
吸收率的定义为y被吸收的溶质量y1?y21?2原料气中溶质量 y1 y1解原料气中nh3的摩尔分数y?0.1 摩尔比 y1?y10.10.111 1?y11?0.1吸收器出口混合气中nh3的摩尔比为y2?(1??)y1?(1?0.9)?0.111?0.0111摩尔分数 y2?y20.0111=?0.01098 1?y21?0.01114.l00g水中溶解lg nh3,查得20℃时溶液上方nh3的平衡分压为798pa。
此稀溶液的气液相平衡关系服从亨利定律,试求亨利系数e(单位为kpa)、溶解度系数h[单位为kmol/(m3?kpa)]和相平衡常数m。
总压为100kpa。
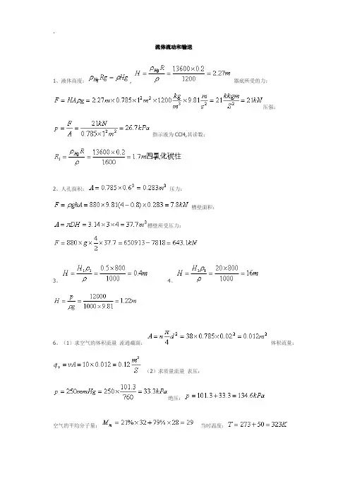
流体流动和输送1、液体高度:, 器底所受的力:压强:指示液为CCl4,其读数:2、人孔面积:压力:槽壁面积:槽壁所受压力:3、 4、6、(1)求空气的体积流量流通截面:体积流量:(2)求质量流量表压:绝压:空气的平均分子量:当时温度:空气密度:∴质量流量:7**、对容器A 孔口流速:体积流量:流出的总体积:液体降至0.5m处所需时间:剩余部分为非稳定流动,所需时间:对于容B由于B下端有短管,管内流体在流动中有下拉液体的作用,故需时间短。
8、以水平管中心线为基准面,在1-1,,2-2,间列柏式,在操作条件下,甲烷的密度:水柱压差计读数:9、10、对孔板流量计:流量与流速度关系:,即,(1)当读数为80mmHg时,,即误差=1.2%(2)读数为20mmHg时,,即误差=4.9%(3)指示液为四氯化碳时,∴流量的相对误差与以上相同。
11、体积流量:质量流量:导管中苯的流速:12、忽略阻力,,,,将数据代入,得体积流量:13、,,, , ∴=,空气流量:质量流量:,∵,,,解得,,体积流量:14、当量直径:流速:湍流15、相对粗糙度:,查图得16、,,查图得H1=0,H2=10,v1=0,v2=2.2,P2=0,17、用试差法求流量,∵λ=f(Re),Re=f(v),难以直接求解。
由Re~λ图可见,对ε=0.001的无缝钢管而言,Re在2×104~1×107之间,λ值在0.02~0.028之间,设λ=0.025,H1=5,H2=0,P1=P2=0(表压),v1=0,查图得λ=0.0235,苯的体积流量:qv=1.47×0.785×0.0282=0.91L/S(若设λ=0.024,qv=0.92L/S)校核:基本相符。
18、强烈湍流时,λ可看作常数。
,,10=1.2764×10-6/d5d5=1.2764×10-7,∴d=42mm19、(1)、(2)、(3)、20、(1)、,增加3倍(2)、(3)、,增加1倍21、(1)、, ,,,∴(2)、,,,,22、,查图,λ=0.034,∵ P1=P2=0,H1=0,动压头可忽略有效功率:轴功率:23、,H1=0,v1=0,H2=15,v2=0.74,P1=P2=0(表压)∴理论功率:轴功率:24、,∴主管中水的流量:支管中流量:25、支路管道26、40mm水柱=0.4kPa(表压),绝对压:101.3+0.4=101.4kPa 50℃空气密度:空气在导管中流速:, , 查图λ=0.026输送功率:效率:27、(1)、更换后,输出量为:扬程:(2)、两台并联两台并联后输出水量最多能达到20m3/h,但是在6.3m的扬程下,而不是25m。
目录第一章流体流动与输送机械 (2)第二章非均相物系分离 (32)第三章传热 (42)第四章蒸发 (69)第五章气体吸收 (73)第六章蒸馏 (95)第七章固体干燥 (119)第一章 流体流动与输送机械1. 某烟道气的组成为CO 2 13%,N 2 76%,H 2O 11%(体积%),试求此混合气体在温度500℃、压力101.3kPa 时的密度。
解:混合气体平均摩尔质量kg/mol 1098.2810)1811.02876.04413.0(33--⨯=⨯⨯+⨯+⨯=∑=i i m M y M ∴ 混合密度333kg/m 457.0)500273(31.81098.28103.101=+⨯⨯⨯⨯==-RT pM ρm m2.已知20℃时苯和甲苯的密度分别为879 kg/m 3和867 kg/m 3,试计算含苯40%及甲苯60%(质量%)的混合液密度。
解:8676.08794.012211+=+=ρρρa a m混合液密度 3kg/m 8.871=m ρ3.某地区大气压力为101.3kPa ,一操作中的吸收塔塔内表压为130kPa 。
若在大气压力为75 kPa 的高原地区操作该吸收塔,且保持塔内绝压相同,则此时表压应为多少?解:''表表绝+p p p p p a a =+=∴kPa 3.15675)1303.101)(''=-==+(-+真表a a p p p p4.如附图所示,密闭容器中存有密度为900 kg/m 3的液体。
容器上方的压力表读数为42kPa ,又在液面下装一压力表,表中心线在测压口以上0.55m ,其读数为58 kPa 。
试计算液面到下方测压口的距离。
解:液面下测压口处压力 gh p z g p p ρρ+=∆+=10m 36.255.081.990010)4258(30101=+⨯⨯-=+ρ-=ρ-ρ+=∆∴h g p p g p gh p z题4 附图5. 如附图所示,敞口容器内盛有不互溶的油和水,油层和水层的厚度分别为700mm 和600mm 。
化工原理第二版第1章蒸馏1.已知含苯0.5(摩尔分率)的苯-甲苯混合液,若外压为99kPa,试求该溶液的饱和温度。
苯和甲苯的饱和蒸汽压数据见例1-1附表。
t(℃) 80.1 85 90 95 100 105x 0.962 0.748 0.552 0.386 0.236 0.11解:利用拉乌尔定律计算气液平衡数据查例1-1附表可的得到不同温度下纯组分苯和甲苯的饱和蒸汽压PB *,PA*,由于总压P = 99kPa,则由x = (P-PB *)/(PA*-PB*)可得出液相组成,这样就可以得到一组绘平衡t-x图数据。
以t = 80.1℃为例 x =(99-40)/(101.33-40)= 0.962 同理得到其他温度下液相组成如下表根据表中数据绘出饱和液体线即泡点线由图可得出当x = 0.5时,相应的温度为92℃2.正戊烷(C5H12)和正己烷(C6H14)的饱和蒸汽压数据列于本题附表,试求P =13.3kPa下该溶液的平衡数据。
温度C5H12223.1 233.0 244.0 251.0 260.6 275.1291.7 309.3K C6H14248.2 259.1 276.9 279.0 289.0 304.8322.8 341.9饱和蒸汽压(kPa) 1.3 2.6 5.3 8.0 13.3 26.6 53.2 101.3解:根据附表数据得出相同温度下C5H12(A)和C6H14(B)的饱和蒸汽压以t = 248.2℃时为例,当t = 248.2℃时 PB* = 1.3kPa查得PA*= 6.843kPa得到其他温度下A¸B的饱和蒸汽压如下表t(℃) 248 251 259.1 260.6 275.1 276.9 279 289 291.7 304.8 309.3PA*(kPa) 6.843 8.00012.472 13.30026.600 29.484 33.42548.873 53.200 89.000101.300PB*(kPa) 1.300 1.634 2.600 2.826 5.027 5.300 8.000 13.300 15.694 26.600 33.250利用拉乌尔定律计算平衡数据平衡液相组成以260.6℃时为例当t= 260.6℃时 x = (P-PB *)/(PA*-PB*)=(13.3-2.826)/(13.3-2.826)= 1 平衡气相组成以260.6℃为例当t= 260.6℃时 y = PA*x/P = 13.3×1/13.3 = 1同理得出其他温度下平衡气液相组成列表如下t(℃) 260.6 275.1 276.9 279 289x 1 0.3835 0.3308 0.0285 0y 1 0.767 0.733 0.524 0根据平衡数据绘出t-x-y曲线3.利用习题2的数据,计算:⑴相对挥发度;⑵在平均相对挥发度下的x-y数据,并与习题2 的结果相比较。
化工基础试题初级一1、在国际单位制中,重量的单位是(),1公斤力=()牛顿。
答:牛顿9.82、汽化有两种方式,即( )和( )。
答:蒸发沸腾3、热传递是由于物体之间()的不同而引起的,其基本的方式有( ),( ),( )。
答:温度热传导热对流热辐射4.依靠流体流动作相对位移而进行的传热叫(),它有(),()两种形式。
答:对流传热自然对流强制对流5.在液体表面进行的汽化现象叫(),在液体内部和表面同时进行的汽化现象叫()。
答:蒸发沸腾6.大气压、绝对压力与表压三者之间的关系为()。
答:绝对压力=大气压+表压7.压缩比是压缩机()和()之比。
答:出口气体绝对压力入口气体绝对压力8.按照泵的吸入方式可将离心泵分为()和()两类。
答:单吸泵双吸泵9.当被测容器内压力大于外界大气压,所用测压仪表称为(),当被测容器内压力小于外界大气压,所用测压仪表称为()。
答:压力表真空表10.离心泵叶轮的作用是将()传给液体使流体的()和()均有所提高。
答:原动机的机械能静压能动能11.离心泵叶轮按结构不同一般可分为(),(),()三种类型。
答:闭式半开式开式25. 1211灭火器适用于()。
答:可燃性气体、液体、电气火灾39.测量仪表测量目的是________。
答:为了获得被测量的真实值40、气动仪表所用的能源是_______,标准信号是_________。
答:压缩空气,20-100KPa45.在自动调节系统中,调节器的积分时间越大,表示其积分作用_________。
答:越弱46. 在生产中,要求自动调节系统的过渡过程必须是一个_________振荡过程。
答:衰减47. DCS的含义是___________。
答:分散型控制系统48. DCS操作画面中,MAN表示________,AUTO表示_________。
答:手动,自动选择题1.氧气呼吸器在使用前,应检查氧气压力大于()atm。
A.80B.100C.30答:B2.安全阀起跳压力为压力容器工作压力的_________倍。
《化工基础》习题参考答案精馏部分的参考答案9、解:(1)回收率以质量分数表示,并已知:Wf=0.15, Wd=0.90, Ww=0.01 %4.94)01.090.0(15.0)01.015.0(90.0=-⨯-⨯=--•=•w d w f f d F D f d W W W W W W M M W W (2) 回收率以摩尔分数表示,先求f χ,d χ,w χ.以100g 计,则:21046.6188546154615-⨯=+=f χ11079.7181046904690-⨯=+=d χ 31041899461461-⨯=+=w χ ∴%4.941041079.71041046.61046.61079.7313221=⨯-⨯⨯-⨯•⨯⨯=••------F D f d χχ 即回收率相同。
13、解:qd q d M M y R R χχχ--=+1(1) qq q y χααχ)1(1-+=(2) 其中(q χ,y q )为q 线与相平衡线的交点。
当q=1时,q χ=f χ,代入以上(1),(2)两式得:y q =0.62,R M =1.5 当q=0时,y q =f χ,再代入(1),(2)两式得:q χ=0.214,R M =3.019、解:由723.01=+R R 得回流比R =2.61 又由263.01=+R dχ 得塔顶组成d χ=0.95∵q=1,∴两线交点的横坐标χ=f χ即0.723f χ+0.263=1.25f χ-0.0187解得f χ=0.535根据y=1.25x-0.0187,经(x w , x w ),即x w =1.25 x w -0.0187解得x w =0.07521.解:y 1=x d =0.90 然后交替使用n n n x x y )1(1-+=αα 和111+++=+R x x R R y d n n 求得:x 3=0.78532.解:a)回流比略b)求q联立:361.063.0+=x y 和00966.0805.1-=x y得交点(x,y )=(0.3155,0.560) 代入11---=q x x q q y f 得:q =0.65534.解:(1)方法一∵全回流∴41.01==-n n x y ,28.01==+n n x y若用气相表示则:中间一层板n 的板效率1*1++--=n n n n mvn y y y y E 其中:*n y 与n x =0.28成相平衡,由平衡数据表:0.28与0.26很接近。
化工基础练习题及答案一、单选题(共43题,每题1分,共43分)1.对可逆反应C(s)+H2O(g)===CO(g)+H2(g)△H>,下列说法正确的是()。
A、达到平衡时,反应物的浓度和生成物的浓度相等B、达到平衡时,反应物和生成物的浓度不随时间的变化而变化C、由于反应前后分子数相等,所以增加压力对平衡没有影响D、升高温度使正反应速率增大,逆反应速率减小,结果平衡向右移正确答案:B2.铅蓄电池充电时,在阴极上发生的反应为()。
A、2H++2e-===H2B、PbS4+2H2O===Pb2+4H++SO42-+2e-C、pb2++SO42-===PbS4D、PbS4+2e-===Pb+SO42-正确答案:D3.用乙醇生产乙烯利用的化学反应是()。
A、水解反应B、脱水反应C、氧化反应D、水和反应正确答案:B4.下列有关硝酸反应的叙述中错误的是()。
A、浓硫酸和硫化亚铁反应有硫化氢气体放出B、硝酸加热时有二氧化氮、氧气放出C、硝酸和碳酸钠反应有二氧化碳气体放出D、浓硝酸和铜反应有二氧化氮气体放出正确答案:A5.下列物质中,由于发生化学反应而使酸性高锰酸钾褪色,又能使溴水因发生反应而褪色的是()。
A、苯B、乙烷C、甲苯D、乙烯正确答案:D6.普通玻璃电极不能测定强碱性溶液,是由于()。
A、玻璃被碱腐蚀B、NH4+有干扰C、钠离子在电极上有响应D、OH-在电极上有响应正确答案:C7.下列有机物质中,须保存于棕色试剂瓶中的是()。
A、氯仿B、二硫化碳C、四氯化碳D、丙酮正确答案:A8.下列哪种情况下的气体属于理想气体()。
A、高压、低温B、低压、低温C、低压、高温D、高压、高温正确答案:C9.浓硫酸使蔗糖炭化,是利用浓硫酸的()。
A、酸性B、氧化性C、脱水性D、吸水性正确答案:C10.某元素R的气态氢化物的化学式为H2R,则它的最高价氧化物对应的水化物的化学式为()。
A、H3R4B、H2R3C、HRO4D、H2R4正确答案:D11.下列烯烃中哪个不是最基本的有机合成原料“三烯”中的一个()。
《化工基础》作业参考答案一填空1.化学反应工程、典型化工生产工艺。
2.大,小3.上升,下降4.挥发度,提馏段。
5.混合,浓度差6.固体燃料气化法,烃类蒸汽转化法7.宏观,直管;8.轴向,0.5;9.甲烷,氢气;10.气体,溶解度;11.减少,靠近;12.边界层,薄;13.黏度,吸收速率或传质系数;14.五氧化二钒,转化塔;15.64/Re,管路粗糙度;16.轻组分(易挥发),重组分(难挥发);17.利税总额,总投资。
18.返混,相等;19.混合物,泛点;20.总吸收系数,气膜;21.中间试验,工业化装置;22.硫铁矿,含硫废物。
23.阻力系数法,当量长度法;24. 轴向,2;25. 一氧化碳,氢气;26. 吸收剂,惰性组分;27. 增大,远离;28. 热量传递,质量传递;29. 叶轮,静压能;30. 气相传质分系数,气膜层;31. 天然气,生物质;32. 返混,相等;33. 边界层,薄;34. 98.3%,40—50℃;35.3:1,2.7—2.9;二判断题1× 2× 3∨ 4× 5∨ 6∨ 7× 8∨ 9× 10× 11× 12∨13× 14× 15× 16∨ 17× 18∨19× 20× 21× 22∨ 23× 24∨25.×;26.∨;27.×;28. ∨;29.×;30.×;31. ×;32.∨;33. ×;34.×;35.∨36. ×;37. ∨;38. ∨;39.∨;三选择题1.B 2.A 3.D 4. C 5. B 6. C 7. D 8. A9.C; 10.B; 11.A;12.C;13.D;14.B;15.C;16.B;17.A;18.C; 19.D;20.C;21.A;22.A;23.B;24.D25.D;26.A; 27.D;28.B;29.D;30.C;31.C;32.A;33.C;34.B;35.A;36. A;37.D;38. D;39.C;40.B;41.D;42.C;43.C;44. A;45.B;46.B;47.D;48.C;49.C;50.D;51.C;52.A;53.C;54.B;55.D;四简答题1.流型有两种。
第二章 流体流动与输送1、一个工程大气压是 9.81⋅104Pa ,一个工程大气压相当于多少毫米汞柱?相当于多少 米水柱?相当于密度为 850kg ⊕ m 3的液体多少米液柱?解:已知:〉Hg = 13600 kg ⊕ m 3〉 3H 2O = 1000 kg ⊕ m〉料 = 850 kg ⊕ m 3求:h Hg 、 h H 2O 、h 料〉 = 9.81⋅104Pa 因;P = 〉Hg ⊕ g ⊕ h Hg = 〉 ⊕ g ⊕h H 2O = 〉料 ⊕ g ⊕ h 料PH 2O ⋅ 4 所以:h Hg =〉 ⊕g= 9.81 10 ⋅ = 0.735mHg = 735mmHg Hg13600 9.81⋅4 h = P = 9.81 10 = 10.0mH OH 2O 〉 ⊕ ⋅ 2 H 2Og 1000 9.81⋅ 4h 料 = P = 9.81 10 = 11.8m 液柱〉 ⊕g⋅ 料 850 9.812、一个物理大气压是 760 毫米汞柱,问其相当于多少 Pa ?相当于多少米水柱? 解:因P = 〉Hg ⊕ g ⊕ h Hg = 〉H 2O ⊕ g ⊕ 〉 ⊕h h H 2O⋅所以: h H 2O = -13Hg Hg 〉 = -1313600 0.760 = 10.33mH 2OH O-131000 2P = h Hg ⊕ 〉Hg ⊕ g = 13600 ⋅ 0.760 ⋅ 9.81 = 1.013 ⋅ 105Pa3、在附图所示的气柜内盛有密度为0.80kg ⊕ m 3的气体,气柜与开口U 形管压差计相连, 指示液水银面的读数R 为 0.4m ,开口支管水银面上灌有一段高度R 2为 0.01m 的清水。
左侧水 银面与侧压口中心 线垂 直距离,试求测压口中心截面 处的绝对压强。
(当地大气压m强为 3,水银密度解:设大气因1.01 Pm33PP mn武汉大学取水的密度〉H2O = 1000kg ⊕P A = Pa + R2 〉H2O g + R〉Hg g h〉气g (3)= 1.0133 ⋅ 105 + 0.01 ⋅ 1000 ⋅ 9.81 + 0.4 ⋅ 13600 ⋅ 9.81 0.76 ⋅ 0.8 ⋅ 9.81= 154788.5PaH 1.55 ⋅ 105Pa由于〉气 < 〉Hg 及〉气 < 〉H 2O ,且R 2值很小,故在工程计算中往往略去式(3)中R 2 〉H 2O g及h 〉气g 两项,即将式(3)简化为:P A = Pa + R 〉Hg g= 1.0133 ⋅ 105+ 0.4 ⋅ 13600 ⋅ 9.81= 154696.4 H 1.55 ⋅ 105Pa4、用 U 形管压力计测容器内的压力(如附图)。
流体流动和输送1、液体高度:, 器底所受的力:压强:指示液为CCl4,其读数:2、人孔面积:压力:槽壁面积:槽壁所受压力:3、4、6、(1)求空气的体积流量流通截面:体积流量:(2)求质量流量表压:绝压:空气的平均分子量:当时温度:空气密度:∴质量流量:7**、对容器A 孔口流速:体积流量:流出的总体积:液体降至处所需时间:剩余部分为非稳定流动,所需时间:对于容B|由于B下端有短管,管内流体在流动中有下拉液体的作用,故需时间短。
8、以水平管中心线为基准面,在1-1,,2-2,间列柏式,在操作条件下,甲烷的密度:水柱压差计读数:!9、10、对孔板流量计:流量与流速度关系:,即,(1)当读数为80mmHg时,,即误差=%(2)读数为20mmHg时,,即误差=%(3)指示液为四氯化碳时,∴流量的相对误差与以上相同。
11、体积流量:质量流量:导管中苯的流速:12、忽略阻力,《,,,将数据代入,得体积流量:13、,,, , ∴=,空气流量:质量流量:,∵,,,|解得,,体积流量:14、当量直径:流速:湍流15、相对粗糙度:,查图得16、,,,查图得H1=0,H2=10,v1=0,v2=,P2=0,17、用试差法求流量,∵λ=f(Re),Re=f(v),难以直接求解。
由Re~λ图可见,对ε=的无缝钢管而言,Re在2×104~1×107之间,λ值在~之间,设λ=,H1=5,H2=0,P1=P2=0(表压),v1=0《,查图得λ=,苯的体积流量:qv=××=S(若设λ=,qv=S)校核:基本相符。
18、强烈湍流时,λ可看作常数。
,,,10=×10-6/d5d5=×10-7,∴d=42mm19、(1)、(2)、(3)、20、(1)、,增加3倍(2)、(3)、,增加1倍;21、(1)、, ,,,∴(2)、,,,,…22、,查图,λ=,∵P1=P2=0,H1=0,动压头可忽略有效功率:轴功率:23、,H1=0,v1=0,H2=15,v2=,P1=P2=0(表压)∴理论功率:轴功率:;24、,∴主管中水的流量:支管中流量:25、支路管道26、40mm水柱=(表压),绝对压:+= 50℃空气密度:空气在导管中流速:, , 查图λ=,输送功率:效率:27、(1)、更换后,输出量为:扬程:(2)、两台并联两台并联后输出水量最多能达到20m3/h,但是在的扬程下,而不是25m。
实际并联两台的输出水量总小于20m3/h。
两台串联的水泵扬程最多为,但是在流量为10m3/h时,实际串联两台的扬程总小于。
28、30℃时水的蒸汽压:当地大气压:允许安装高度:现安装在水源上3m处,不能正常运转。
29、允许安装高度=允许吸上高度-当地大气压低于标准大气压折算的压头-水蒸气压高于20℃水蒸气压折算的压头-阻力-动压头50℃水蒸气压:,20℃为蒸汽压之差=大气压之差=-100==(1)、当流量为20m3/h时],允许安装高度:Hg=(2)、流量为30m3/h,允许安装高度:Hg=30、流动型态由Re决定,要使流动型态相似,则两种情况下Re应相等。
设1为设备条件,2为模型条件,31、(1)、:(2)、,(3)、传热1、a、散热速率:29606.024.09.024.060700mW tA=+-=∆=Φ∑λδ交界面温度:℃44424.09.0960700/1112=-=Φ-=δλAtt}b、23606.024.009.01.09.024.060700mW tA=++-=∆=Φ∑λδ2、根据,()ttA-'=Φ1α炉气温度:℃73230960700/1=+=Φ+='αAtt外界温度:℃122096060/233=-=Φ-='αAtt4、设交界面温度为t()()30803021-=-=Φδλδλt ∴℃230305050200305021=+⨯=+⨯=δδt6、设饱和蒸汽的K m W.100002=α,304kPa 饱和蒸汽温度=134℃∵2212412<=r r ,∴mm r m 5.2222124=+= 不保温时:()()m W r r r t t l m 257024.01510225.045003.0021.01000012013414.32112221121=⨯+⨯+⨯-⨯⨯=++-=Φαλδαπ保温时:()()mWr r r r t t lm m 7.107024.0151037.015.003.00225.045003.0021.01000012013414.32112222221111121=⨯+⨯+⨯+⨯-⨯⨯=+++-=Φαλδλδαπ)7、(1)、12ln 12r r t l λπ∆=Φ,57.13060ln 3090ln ln ln 1212==⎪⎪⎭⎫ ⎝⎛⎪⎪⎭⎫ ⎝⎛''=Φ'Φr r r r ,∴Φ=Φ'63.0(2)、22121ln 12r r r tl αλπ+∆=Φ342.106.01013060ln 15.0109.01013090ln 15.011ln 11ln122122212=⨯+⨯+='+'+=Φ'Φr r r r r r αλαλ,∴Φ=Φ'746.08、(1)、设绝热层外表面温度为t()()045.0121202025.0045.0ln15.013002⨯-=-t l t l ππ,解得t=110℃(2)、()())045.0(121202045.0045.0ln10.01025.0045.0ln 15.013002δπδπ+⨯-=++-t l t l 用试探法求得δ==20mm ℃10417520025300ln)175200()25300(=-----=∆m t11、()1023323223105.14)105.1(1201501018002.181.9⨯=⨯-⨯⨯⨯⨯=∆=--μβρtgl Gr>2215.0105.1102.2Pr 33=⨯⨯⨯==-λμC7101010210319105.1422Pr ⨯>⨯=⨯⨯=⨯Gr ,为湍流∴K m W Gr d.2316.372Pr)(135.0==λα釜壁温度认为=蒸汽温度,主要是因为新器壁的导热系数很大,即钢的导热系数大。
13、∵7910210Pr ⨯>=⨯Gr ,属于自然对流中的湍流传热。
31Pr)(135.0Gr dλα=,其中223μβρtgl Gr ∆=,小管下标为1,大管为2,则3122231223212//⎪⎪⎭⎫ ⎝⎛=∆∆=l l t gl t gl Gr Gr μβρμβρ,1012123112===⎪⎪⎭⎫ ⎝⎛d d l l Gr Gr ,1//Pr Pr 12==λμλμC C因为温度和物系相同,λ、d 、C 、μ、ρ、β、Δt 均不变,因小管传热时7102Pr ⨯>⨯Gr ,则大管7102Pr ⨯>>⨯Gr ,10Pr Pr 31112212=⎪⎪⎭⎫⎝⎛=Gr Gr αα,>∵t A ∆=Φα,对单位面积而言,101212==ΦΦαα∴1210Φ=Φ,即单位面积的热损失不同,比值为10。
14、2212111ln 112r r r r t L αλαπ++∆=Φ初始时,令分母=P105335.00125.0150001011.00125.0ln 501011.0200011=⨯++⨯=p积垢后,令分母=P21532.00125.0150001011.00125.0ln 501010.0011.0ln 11010.0200011ln 1ln 112221122122111112=⨯+++⨯=+++=r r r r r r p αλλα∴%8.341532.005335.0111212===ΦΦp p 传热量为原来的%15、mt KA ∆=Φ,274.103840225.014.3m n dl A =⨯⨯⨯=⨯=π{℃4524050=+=∆m t ,381⨯=ρvA q m()SJt C vA t C q m 6443286090300012003802.0785.05.03821=-⨯⨯⨯⨯⨯=∆⨯⨯=∆=ΦρK m Jt A K m 213334574.10644328=⨯=∆Φ=冷流体的质量流量:()S kgt C q m 7.1020403000644328=-=∆Φ=17、并流:()()℃6.114180220100350ln1802201003501=-----=∆m t逆流:()()℃6.143100220180350ln1002201803502=-----=∆m t2211m m t KA t KA ∆=∆=Φ25.16.1146.1431221==∆∆=m m t t A A19、()74.1228.08.08.0==='v v ααK m W K 25.317137043500050050074.150050074.1==+⨯⨯⨯= ()()20221-''='-t C q T T C q mm ρρ,m mq q 2=',50212022-'='-t T ∴,216022T t '-='()()()2080002040001000002.020222-'=-'⨯⨯=-''t t t C q mρ()()()20120ln 20120205.31720800022222-''--'-'-⨯⨯=∆=-'T t T t t KA t m将216022T t '-='代入,设℃2.492='T ,整理4.352.296.64ln4.3579375.04.35=⨯=方程两边相等,说明假设正确,∴热流体出口温度=℃。
21、下标1表示热,2表示冷。
)285310()370420(2211-=-C q C q m m ,∴5.02211=C q C q m m?增长后:)285()370420(22211-'=-t C q C q m m22211285)350420(t C q C q m m '=+-,∴K t 3202='原来的传热温差:()Kt m 5.972)285370(3104201=-+-=∆管长增长后:()Kt m 5.822)285350(3204202=-+-=∆下标1为原来,2为增长后4.12853102853201212=--=∆∆=ΦΦt C q t C q m m ,4.1112212=∆∆=ΦΦm m t KA t KA ,655.15.825.974.112=⨯=A A∵rl A π2=,655.112=l l ,故增长%(2)、并流时))285310()370420(2211-=-C q C q m m ,5.02211=C q C q m m增长后:)285()350420(22211-=-t C q C q m m ,∴t2=320K原来:()()Kt m 5.92310370285420ln310370285420=-----=∆增长后:()()Kt m 8.69320350285420ln320350285420=-----=∆855.18.695.924.112=⨯=A A∴并流时换热器管长应增加%22、mt KA ∆=ΦJt C q Q m 100000000)2060(25001000=-⨯=∆=⨯Φ=τ`K m WK 221217.7401000080010000800=+⨯=+=αααα,一侧恒温,K t m 7.574080ln 4080=-=∆mm t dl K t KA ∆=∆=Φτm t d K Ql m 6.87.57048.014.37411800100000000=⨯⨯⨯=∆=πτkg H Q D 3.443.2258100000000==∆=,()℃饱和蒸汽的汽化热100--∆H∴把10吨20℃的盐水加热到60℃,需饱和蒸汽23、求换热面积:28.12022.014.313m dl n A =⨯⨯⨯==π热量衡算:油释出热量=水吸收热量·tC q T C q m m ∆=∆11)15(420036001400)90(22003600160022-⨯=-⨯t T 2267.1115t T -=()()1590ln1051590ln 159022222222----=-----=∆T t t T T t T t t m(未完)24、tC q t KA m m ∆=∆()2221000180000218020002)100(201005400t t t -=-=-+-⨯1920009600)20(200080012.05.0)(2212-=-⨯⨯⨯=-=∆t t t t C vA t C q m ρ—1920009600100018000022-=-t t解得t2=℃25、冷凝放热量:kJH D Q 440000880000500=⨯=∆=冷却放热量:kJt Cp q Q m 67900)305.78(2800500=-⨯=∆='S J Q Q q /14110036005079003600=='+=冷却水用量:t p C q m '∆'=ΦS kgp C q m 68.1204200141100)1535(=⨯=-'Φ=冷却段传热面积A2:S kJ9.183600679002==Φ,,15℃的水吸收q2的热量温度变为t2℃68.268.1420018900=⨯='Φ=∆p C q t mt2=t1+=15+=℃ Δt1=T2-t2=Δt2=T3-t1=30-15=15℃℃7.324.182.451582.60ln1582.60==-=∆m tK m W K 221218.41110007001000700=+⨯=+=αααα2224.17.328.41118900m t K A m =⨯=∆Φ=.冷凝段传热面积A1:S kJ /2.12236004400001==Φ℃的水吸收q1的热量温度变为t3=35℃℃7.51335.032.17355.7868.175.78ln)355.78()68.175.78(==-----=∆m tK m W K 221218.7771000350010003500=+⨯=+=αααα21104.37.518.777122200m t K A m =⨯=∆Φ=m d m 022.02222024==+=A=A1+A2=~根=12.322022.044.4ππ⨯⨯==dl A n化学反应器0、k 的单位: 1331-+--=h mkmol k n n ()()11--=时间浓度nC k ,浓度=3-m kmol0级反应:h m kmolk C 3=1级反应:()110)(--==S k C时间浓度 2级反应:()S kmol m S m kmol k C .)(311311=⎪⎭⎫ ⎝⎛==----时间浓度 S P k na P -=1 0级反应:S Pa k P /= 1级反应:1-=S k P 2级反应:11--=S Pa k P S m kmolr 3=时间浓度=@对于气相反应,n Ap A pk r =-,A r -的单位=S m kmol 3,p A 的单位=2m N ,k p 的单位=132223...---=⎪⎭⎫⎝⎛=-=S m N kmol m N S m kmolp r k n n n A A pk p 与k c 的关系:np nc pk C k =,p=CRT ,∴RT pC =n p nC p k RT p k =⎪⎭⎫ ⎝⎛,()n C p RT k k -=,或()n p C RT k k =1、化学计量式:Z B A 22→+ t=0时,n A0=,n B0=,n Z0=,t=t 时,n A =,43.014.008.014.000=-=-=A A A A n n n x∴,n B =n B0-n A0×x A =-×=—n Z =n Z0+n A0×x A =+×=反应进度:mol x n AAA 06.0143.014.00=⨯==νξ反应进行完全时的反应进度:mol x n BBB B 1.02.12.00=⨯==νξ2、(1)、速率常数k p = 其单位为,h P S P P S P p r k a a a a A A p .11/22===-=(2)、h m molh dt mol dn m V r A A .)()()(133=-=hmol m m mol h m mol C r k A A ..32332=⎪⎭⎫ ⎝⎛==对于理想气体,RT n p A A =,RT C RT V n p A AA ==,266.3A A p dt dp =-变为 ()()266.3RT C dt RT C d A A =-,∴ 266.3A A RTC dt dC =-∴⎥⎦⎤⎢⎣⎡⨯⨯=⨯⨯⎥⎦⎤⎢⎣⎡⨯⨯⨯⎥⎦⎤⎢⎣⎡⨯=hr kmol m K atm p K kmol atm m hr p k a a c 37310217.1400110132508206.0166.3(4、()倍6804.10002.0314.8/75000)92317731(/773/0923/0773923=====⨯---e ee eA e A r r R E R E RE6、对于二级反应,)11(10A A C C k t -=S t 5.1161101.0185.011=⎪⎭⎫ ⎝⎛-=,S t 4.1175101.0185.012=⎪⎭⎫⎝⎛-=讨论:对于二级反应,若要求C A 很低时,虽然初始浓度相差甚大,但所需要的反应时间却相差甚微。