2018年暨南大学硕士研究生报录比
- 格式:xls
- 大小:72.00 KB
- 文档页数:12
暨南大学招生基本信息解读暨南大学(Jinan University),简称暨大(JNU),位于广东省广州市,是中国第一所由国家创办的华侨学府,是中央部属高校、全国重点大学,直属“国务院侨务办公室”领导,被誉为“中国第一侨校”。
学校是国家“211工程”、"985平台“重点建设大学。
截至2018年5月,学校拥有硕士学位授权一级学科点41个,博士学位授权一级学科点23个,专业学位授权类别27种;有博士后流动站16个,博士后科研工作站1个。
拥有国家二级重点学科4个、国务院侨办重点学科8个、国家中医药管理局重点学科2个、广东省一级学科重点学科21个、广东省二级学科重点学科4个。
暨南大学有药学1个学科入选了双一流学科建设名单。
暨南大学的研究生总体难度【比较难】。
考研难易主要看招生单位所处的地域、名气、排名等,因为报考生源不同。
一般来说发达地区特别是大城市的重点大学都难考,而非重点大学则相对好考。
暨南大学是【211高校】,所在城市位于【广东】。
学校金融专业管理专业这些会比较好吧,生物技术也不是不好,就是得读的深。
会计,金融,新闻很好,就业率高,薪资高,计算机,软件工程毕业后也是待遇很好,一般的专业,就很一般了。
所以可以推荐大家报考,文科生可能比较难考。
暨南大学是一所综合型大学,但是比较偏向于文科,是一所历史悠久的大学。
暨大的社会认可度也是不低的,也许,与它的强项专业是新闻与传播有关。
暨南大学的优势学科绝大多数是文科类的,尤其是经济类和新闻类,而理工科学校并没有舍得投入,所以如果你读文科的话,暨南大学很适合你,但是如果你是理工科的话,我还是建议你选择其它的理工科学校。
暨南大学近三年硕士招生人数一览表。
2020年暨南大学计划招收硕士研究生3600名(含拟接收推荐免试生)。
其中:全日制硕士研究生3200名左右(学术学位硕士研究生约1600名,专业学位硕士研究生约1600名),非全日制硕士研究生400名左右。
2018学硕专硕报录比出炉(这些院校最难考)从北京教育考试院研招办获悉,全国报考北京招生单位的考生为322897人(不含推免考生),较2017年增加33402人,增幅达到11.5%,其中报考专业学位的考生超过一半。
具体来说,在报考北京招生单位的考生中,146192人报考学术型专业,占45.3%,176705人报考专业学位,占54.7%;279311人报考全日制硕士研究生,占86.5%,43586人报考非全日制硕士研究生,占13.5%。
今年是统筹全日制和非全日制硕士研究生管理的第一年,教育部下达给北京的硕士生招生计划为101756人,包括全日制学术学位招生计划45311人,全日制专业学位招生计划36417人,非全日制学术学位招生计划389人,非全日制专业学位招生计划19639人。
通过2018报考北京招生单位的考生及2018北京硕士招生计划,可粗略计算2018北京学硕报录比3.20:1,专硕报录比3.15:1;当然,这只是北京市整体情况,热门院校的报录比更高,竞争更加激烈。
(数据来源:北京研招办)一般情况来说,某院校的报考人数越多证明它越难考,因此19考研的小伙伴们对自己的实力没有十足的把握,建议避开这些历年来都火爆的一塌糊涂的院校。
从一些省份的教育考试院所公布的数据得知,下面这些研究生院校的报考人数常年都超过1万!下面我们以2018年报名人数为例,看看哪些院校报考需谨慎!19考研筒子们最好笔记,转告更多的人群~北京12所院校报考超1万从志愿来看,12个招生单位的报考人数均超过1万人,分别为北京大学、中国人民大学、中国科学院大学、对外经济贸易大学、清华大学、中国传媒大学、北京师范大学、北京理工大学、中央财经大学、北京航空航天大学、北京交通大学和中国政法大学。
在专业上,报考北京院校的考生中,工商管理专业报考人数居首,为19749人,随后为会计专业的13124人和法律硕士(非法学)专业的12957人,报考人数居第四至十位的专业依次为金融、公共管理、计算机技术、法律硕士(法学)、广播电视、软件工程、计算机科学与技术。
暨南大学2018MPAcc录取情况分析凯程苏苏老师整理了暨南大学2018MPAcc的录取情况分析,分享给大家。
暨南大学管理学院位于本部石牌校区,校区坐落于广州市天河区,毗邻广州CBD中心——珠江新城,学校隶属211工程大学,综合实力在广东前三,会计系在全国排名靠前,实力毋庸置疑。
这就是一所传说中的实力强、位置好、校区美的三好大学,如果你的研究生生涯想在暨南大学度过,那么你要加倍努力。
一、复试情况2018年暨南大学MPACC复试分数线:246/42/82。
暨南大学2018年MPACC招收131人(推免58+少干6+非全1人)统考中109人进入复试270以上:2人260—269:21人250—259:48人246—249:38人最低分246,最高分274进入暨南大学复试的同学分数都是高分。
二、最终录取在最终录取中,全日制录取了56人,复试录取比1:1.95。
统考录取录取人数:56270以上:2人260—269:20人250—259:27人246—248:7人最低分246,最高分274三、淘汰情况暨南大学复试竞争激烈程度不言而喻,复试109个人中刷了53个,能进入复试的考生实力都是非常强的考生,复试淘汰是比较遗憾的:260分以上有1位考生被淘汰250分以上有21位考生被淘汰240分以上有31位考生被淘汰也有个别考生复试逆袭成功,因为考生实力比较接近,复试逆袭也不意外,实力在伯仲之间。
四、复试录取率在各个分数段的录取率中:270分以上被录取概率为100%260—269被录取概率为95.2%250—259被录取概率为56.2%246—249被录取概率为18.4%通过上面的数据分析,不难发现:不论你考哪个学校,初试分数一定要考高分,排名越靠前,你被录取的概率就越大,每个学校逆袭的同学都会有,但是低分复试是非常被动的,大家的备考过程中还是要重视初试。
感谢凯程对本文的贡献!。
暨南大学2018年硕士生入学复试方案学院(公章):
参考材料
同时报送1、各专业复试小组教师与秘书名单;2、各专业复试考生名单、考生编号、初试各科分数、总分及初试排名。
注:1.请各参加复试的同学加QQ群:2018环院研究生复试群707254309。
2.石牌校区教学楼“A”指“富力教学大楼”;番禺校区教学楼“N”指“恒大楼”。
3.复试笔试参考书:蒋展鹏等编著的《环境工程学》、陈怀满等编著的《环境土壤学》第十章及第十一章的内容、刘培桐主编《环境学概论》第二版。
参考材料
参考材料
参考材料
参考材料
参考材料
参考材料
参考材料
参考材料
参考材料。
2018年各学院硕士研究生报考录取情况统计表学院名称报考人数上线人数录取人数推免生最高分最低分平均分哲学与政府管理学院255104868419311356国际商学院322478217415330348教育学院194862818128423312364新闻与传播学院89921012933413337371国际汉学院294152653405335370体育学院35815610018402266325文学院149141515945416345376外国语学院110351613421433328384音乐学院523757926409335359美术学院98517911038429337362西北历史环境与经济社会11647346399304355发展研究院中国西部边疆研究院219143384323353历史文化学院98327612629411316362数学与信息科学学院89542012326437286358物理学与信息技术学院43115116514412260316化学化工学院66425820219423261326地理科学与旅游学院55830911925424262348生命科学学院52726814311399265327食品工程与营养科学学院15479676375262305计算机科学学院2759911014384261311远程教育学院1655368338350宗教研究中心191310377305338材料科学与工程学院11249715363266313心理学院9181461129388320348现代教学技术教育部重点245172371283330实验室民族教育学院716369322345教育实验经济研究所185122381330348西北濒危药材资源开发国4633362395280330家工程实验室“一带一路”建设与中亚2131386315351研究协同创新中心马克思主义学院2351116414431322365西北国土资源研究中心214359284324注:1.报考人数、上线人数、最高分、最低分及平均分不包含推免生。
历年暨南大学考研报录比各专业汇总-暨大考研难不难?-暨大考研哪些专业最好考?报录比是指实际报考的人数和实际录取人数的比例。
报录比可以反映各个专业的热门程度和报考难度,不过不能衡量一个专业的好坏。
鸿知暨大考研网为各位考生们汇总了暨南大学2014-2017年的考研报录比,借此考生可以对暨南大学各个专业的报考难度有一个基础的了解,不过单凭报录比评估各专业的考研难度往往不够准确,所以考生们还可以点击暨南大学考研在线咨询入口,免费提问暨大研一研二的学长学姐或经验丰富的考研老师们。
鸿知暨大考研网还提供暨大各专业历年考研真题,详情点击请历年暨南大学考研真题答案汇总阅览。
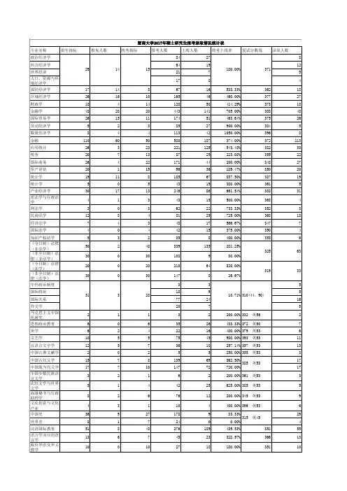
2017暨大考研报录比(完整版)学院名称专业名称招生指标推免人数统考指标报考人数上线人数统考上线率复试分数线录取人数备注经济学院政治经济学29 14 1584 27180.00% 3718经济学院西方经济学64 19 12经济学院世界经济21 7 5经济学院人口、资源与环境经济学17 8 4经济学院国民经济学17 14 3 67 16 533.33% 362 18经济学院区域经济学26 16 10 165 46 460.00% 377 27经济学院财政学18 4 14 128 58 414.29% 373 18经济学院金融学48 28 20 443 141 705.00% 388 48经济学院国际贸易学26 15 11 174 51 463.64% 375 26经济学院劳动经济学5 2 3 85 27 900.00% 384 5暨南大学考研在线咨询入口链接地址:/news/details.aspx?id=2818 历年暨南大学考研真题答案下载链接地址:/kaoyan/经济学院数量经济学8 4 4 113 42 1050.00% 396 8经济学院金融110 60 50 580 187 374.00% 372 113(专业学位)经济学院应用统计26 3 23 221 125 543.48% 382 30(专业学位)经济学院税务20 7 13 87 29 223.08% 355 22(专业学位)经济学院国际商务26 4 22 171 44 200.00% 348 27(专业学位)经济学院资产评估20 1 19 96 36 189.47% 350 20(专业学位)经济学院统计学19 11 8 185 67 837.50% 387 19经济学院统计学5 0 5 43 19 380.00% 361 5产业经济研究院产业经济学30 17 13 246 86 661.54% 388 31法学院/知识产权学院宪法学与行政法学4 1 3 43 15 500.00% 363 4法学刑法 3 0 3 62 22 733.33% 352 3识产权学院暨南大学考研在线咨询入口链接地址:/news/details.aspx?id=2818 历年暨南大学考研真题答案下载链接地址:/kaoyan/法学院/知识产权学院民商法学12 8 4 81 29 725.00% 368 13法学院/知识产权学院经济法学7 4 3 48 17 566.67% 347 7法学院/知识产权学院国际法学4 0 4 42 15 375.00% 350 4法学院/知识产权学院知识产权法学5 3 2 35 8 400.00% 353 6法学院/知识产权学院(全日制)法律(非法学)50 2 48 339 135 281.25%325 63(专业学位)法学院/知识产权学院(非全日制)法律(非法学)30 0 30 108 9 30.00%法学院/知识产权学(全日制)法律20 0 20 210 64 320.00% 319 33(专业学位)学)法学院/知识产权学院(非全日制)法律(法学)30 0 30 147 8 26.67%国际关系学院/华侨华人研究院中外政治制度31 3 283 310.71%310(44、90)5国际关系学院/华侨华人研究院国际政治18 9 5国际关系学院/华侨华人研究院国际关系77 24 16国际关系学院/华侨华人研究院外交学20 7 5暨南大学考研在线咨询入口链接地址:/news/details.aspx?id=2818 历年暨南大学考研真题答案下载链接地址:/kaoyan/马克思主义学院马克思主义中国化研究2 1 13 2 200.00% 332英56 2马克思想 6 0 6 35 26 433.33% 372英50 7思主义学院政治教育文学院美学 6 2 4 22 16 400.00% 379英53 6文学院文艺学10 5 5 75 45 900.00% 393英53 11文学院汉语言文字学12 5 7 36 18 257.14% 357英53 13文学院中国古典文献学2 0 2 5 5 250.00% 355英53 3文学院中国古代文学15 7 8 139 69 862.50%385英5317文学院中国现当代文学17 7 10 147 72 720.00% 17文学院中国少数民族语言文学3 2 1 6 2 200.00% 361英53 3文学院比较文学与世界文学5 1 4 42 25 625.00% 385英53 5暨南大学考研在线咨询入口链接地址:/news/details.aspx?id=2818 历年暨南大学考研真题答案下载链接地址:/kaoyan/文学院高级秘书与行政助理学8 2 6 76 12 200.00% 345英53 9文学院文化创意与文化产业4 3 1 10 4 400.00% 396英53 6文学中国36 9 27 178 9 33.33% 315英45 29院史文学院世界史8 1 7 24 0 0.00% 4暨南大学考研在线咨询入口链接地址:/news/details.aspx?id=2818 历年暨南大学考研真题答案下载链接地址:/kaoyan/华文学院汉语国际教育51 8 43 276 189 439.53% 351 55(专业学位)华文学院语言学及应用语言学13 6 7 45 23 328.57% 366 13华文学院海外华语及华文教学10 0 10 27 18 180.00% 351 10外国语学院英语语言文学6 2 4 39 8 200.00% 356 6外国语学院日语语言文学3 1 2 10 5 250.00% 378 3外国语学院外国语言学及应用语言学10 2 8 67 13 162.50% 350 10外国语学院(全日制)英语笔译49 20 29 548 147 506.90%366 56(专业学位)外国语学院(非全日制)英语笔译20 0 20 34 2 10.00%新闻与传播学院新闻学61 37 24 127 127 529.17%365(60、60、100)16新闻与传播学院传播学170 170 23新闻与传播学院广告学75 75 14新闻与传播学院广播电视学21 21 10暨南大学考研在线咨询入口链接地址:/news/details.aspx?id=2818 历年暨南大学考研真题答案下载链接地址:/kaoyan/新闻与传播学院新闻与传播130 86 44 799 249 565.91%365(60、60、95)140(专业学位)新闻与传播学院广播电视30 14 16 168 39 243.75%340(50、50、90)32(专业学位)信息科学技术学院应用统计12 1 11 53 30 272.73% 国家线12(专业学位)信息科学技术学院基础数学3 0 3 12 5 166.67% 国家线 3信息科学技术学院计算数学3 0 3 6 1 33.33% 国家线 2信息科学技术学院概率论与数理统计2 1 1 63 300.00% 国家线 2信息科学技术学院应用数学3 0 3 26 13 433.33% 国家线 3信息科学运筹学与3 1 2 14 4 200.00% 国家线 3技术学院控制论暨南大学考研在线咨询入口链接地址:/news/details.aspx?id=2818 历年暨南大学考研真题答案下载链接地址:/kaoyan/信息科学技术学院电路与系统2 1 1 14 4 400.00% 国家线 2信息科学技术学院微电子学与固体电子学4 1 3 125 166.67% 国家线 5信息科学技术学院通信与信息系统11 3 8 35 18 225.00% 国家线11信息科学技术学院信号与信息处理7 3 4 33 15 375.00% 国家线8信息科学技术学院计算机系统结构5 0 5 37 17 340.00% 国家线 5信息科学技术学院计算机软件与理论4 0 4 22 11 275.00% 国家线 4信息科学技术学院计算机应用技术8 5 3 41 14 466.67% 国家线11信息科学技术学院软件工程5 2 3 39 15 500.00% 国家线 5信息科学技术学院电子与通信工程24 0 24 95 56 233.33% 国家线27(专业学位)信息科学技术计算机技术15 1 14 88 48 342.86% 国家线15(专业学位)学院暨南大学考研在线咨询入口链接地址:/news/details.aspx?id=2818 历年暨南大学考研真题答案下载链接地址:/kaoyan/信息科学技术学院软件工程15 0 15 122 73 486.67% 国家线15(专业学位)理工学院理论物理15 0 159 320.00%国家线 3理工学院凝聚态物理39 17 国家线9理工学院计算物理1 0 国家线 5理工学院光学 3 0 3 9 6 200.00% 国家线 3理工学院一般力学与力学基础16 0 16 0 0 0.00% 国家线3理工学院固体力学4理工学院工程力学10理工学院光学工程16 2 14 54 35 250.00% 300 19理工学院物理电子学2 0 2 6 1 50.00% 国家线 2理工学院结构工程5 1 4 21 9 225.00% 303 5理工学院食品科学23 4 19 108 80 421.05% 33021理工学院粮食、油脂及植物蛋白工程2理工学院光学工程14 1 13 36 27 207.69% 278 18(专业学位)理工学院建筑与土木工程13 0 13 42 30 230.77% 285 14(专业学位)理工学院食品工程13 0 13 19 11 84.62% 国家线13(专业学位)生命科学技术学院动物学4 0 4 11 4 100.00% 300 4生命科学技术学院水生生物学20 0 20 78 35 175.00% 国家线20生命科学技术学院微生物学19 0 19 118 56 294.74% 309英55 22生命科学技术学院神经生物学12 0 12 48 26 216.67% 295 12生命科学技术学院遗传学9 0 9 47 24 266.67% 305 9生命科学技术学院发育生物学4 0 4 24 9 225.00% 300 4生命科学技术学院细胞生物学8 0 8 53 30 375.00% 329 8生命科学技术学院生物化学与分子生物学57 8 49 198 104 212.24% 302 57暨南大学考研在线咨询入口链接地址:/news/details.aspx?id=2818 历年暨南大学考研真题答案下载链接地址:/kaoyan/生命科学再生医学7 4 3 11 9 300.00% 310 11技术学院生命科学技术学院海洋生物学与生物技术11 0 11 22 8 72.73% 国家线10暨南大学考研在线咨询入口链接地址:/news/details.aspx?id=2818 历年暨南大学考研真题答案下载链接地址:/kaoyan/生命科学技术学院生物医药12 3 9 58 31 344.44% 328 12生命科学技术学院生态学13 0 13 75 34 261.54% 310 13生命科学技术学院环境科学6 1 57 5 100.00% 国家线8生命科学技术学院生物医学工程7 0 7 14 5 71.43% 290 6生命科学技术学院免疫学10 2 8 26 17 212.50% 297 10生命科学技术学院生物医学工程14 0 14 5 3 21.43% 265 9(专业学位)生命科学技术学院生物工程20 0 20 24 18 90.00% 国家线22(专业学位)管理学院审计20 3 17 119 98 576.47% 234 22(专业学位)管理学院应用心理学23 6 17 334 123 723.53%352(44、132)27管理工业40 5 35 128 99 282.86% 340 45 (专学院工程业学位)管理学院管理科学与工程14 4 10 73 14 140.00%341(46、69)14管理学院会计学30 19 11 343 62 563.64%365(46、69)31管理学院企业管理30 17 13 355 54 415.38%357(46、69)30管理学院旅游管理12 10 2 17 0 0.00%340(46、69)11管理学院技术经济及管理7 2 5 44 9 180.00%341(46、69)7管理学院国际商务15 11 4 50 6 150.00%357(46、69)15管理学院财务管理10 5 5 72 16 320.00%356(46、69)10管理学院工商管理20 0 20 67 43 215.00%170(42、84)239(专业学位)管理学院工商管理150 0 150 817 353 235.33%管理学院会计110 56 54 840 734 1359.26%248 131(专业学位)管理学院会计40 0 40 259 142 355.00%暨南大学考研在线咨询入口链接地址:/news/details.aspx?id=2818 历年暨南大学考研真题答案下载链接地址:/kaoyan/管理学院旅游管理12 0 12 56 21 175.00% 170 20(专业学位)管理学院工程管理14 0 14 100 59 421.43% 170 49(专业学位)医学院生理学3 0 34 1 33.33% 国家线 3医学院人体解剖与组织胚4 0 4 1 1 25.00% 国家线 4胎学医学院免疫学4 0 4 4 1 25.00% 国家线 3医学院病原生物学3 0 3 0 0 0.00% 国家线 4医学院病理学与病理生理学15 0 15 10 4 26.67% 国家线12医学院流行病与卫生统计学7 0 7 57 47 671.43% 366英60 7医学院劳动卫生与环境卫生学2 0 2 9 8 400.00% 313英50 2医学院营养与食品卫生学2 1 1 9 2 200.00% 326英50 2暨南大学考研在线咨询入口链接地址:/news/details.aspx?id=2818 历年暨南大学考研真题答案下载链接地址:/kaoyan/医学院儿少卫生与妇幼保健学2 0 2 10 7 350.00% 326英50 2医学院卫生毒理学1 0 1 0 0 0.00% 国家线 1医学院中医临床基础2 0 2 1 1 50.00% 国家线 2医学院中医诊断学1 0 1 1 1 100.00% 国家线 1医学院中医内科学2 0 2 10 6 300.00% 国家线 4医学院中医骨伤科学1 0 12 0 0.00% 国家线 1医学院中医妇科学1 0 1 1 1 100.00% 国家线 1医学院针灸推拿学1 0 1 52 200.00% 国家线 1医学院中西医结合基础3 0 3 2 2 66.67% 国家线 3医学院中西医结合临床4 0 4 8 6 150.00% 国家线 4医学院药理学5 1 4 2 0 0.00% 国家线 4医学院口腔医学11 0 11 160 47 427.27% 315 13(专业学位)医学院公共卫生12 1 11 3 3 27.27% 国家线8(专业学位)暨南大学考研在线咨询入口链接地址:/news/details.aspx?id=2818 历年暨南大学考研真题答案下载链接地址:/kaoyan/医学院中医内科学4 0 4 22 8 200.00% 国家线 5(专业学位)医学院中医骨伤学1 0 1 7 4 400.00% 国家线 1(专业学位)医学院针灸推拿学1 0 1 16 5 500.00% 国家线 1(专业学位)医学院中西医结合临床7 0 7 49 21 300.00% 国家线11(专业学位)药学院药物化学89 27 62261 261420.97% 33951药学院药剂学108 108 8药学院药物分析学48 48 5药学院微生物与生化药学50 50 9药学院药理学144 144 18药学院中药学20 3 17 108 108 635.29% 319 20药学院临床药学2 1 1 15 1 100.00% 295 2药学院药学45 0 45 31 31 68.89% 295 38(专业学位)第一临床医学院内科学5 0 5 24 7 140.00% 295 5第一临床医学院儿科学1 0 1 3 0 0.00% 318 1暨南大学考研在线咨询入口链接地址:/news/details.aspx?id=2818 历年暨南大学考研真题答案下载链接地址:/kaoyan/第一临床医学院神经病学2 1 13 1 100.00% 306 2第一临床医学院皮肤病与性病学1 0 1 5 1 100.00% 323 1第一临床医学院影像医学与核医学3 0 3 12 3 100.00% 297 3第一临床医学院临床检验诊断学0 0 0 4 0 0 0第一临床外科学4 0 4 21 4 100.00% 295 4医学院第一临床医学院妇产科学1 0 1 72 200.00% 319 1第一临床医学院眼科学3 0 3 5 3 100.00% 306 3第一临床医学院肿瘤学2 0 2 63 150.00% 299 2第一临床医学院麻醉学1 1 0 8 1 335 1第一临床医学院护理学1 0 1 29 10 1000.00% 382 1暨南大学考研在线咨询入口链接地址:/news/details.aspx?id=2818 历年暨南大学考研真题答案下载链接地址:/kaoyan/第一临床医学院内科学37 0 37 195 100 270.27% 326 38(专业学位)第一临床医学院儿科学6 0 6 25 8 133.33% 295 6(专业学位)第一临床医学院神经病学10 0 10 30 16 160.00% 302 10(专业学位)第一临床医学院精神病与精神卫生学2 0 2 17 5 250.00% 315 3(专业学位)第一临床医学皮肤病与性病4 0 4 34 10 250.00% 332 4(专业学位)院学第一临床医学院影像医学与核医学15 0 15 102 48 320.00% 324 17(专业学位)第一临床医学院临床检验诊断学5 0 5 21 4 80.00% 311 5(专业学位)第一临床医学院外科学37 0 37 188 86 232.43% 315 37(专业学位)第一临床医学院妇产科学12 0 12 56 29 241.67% 304 12(专业学位)暨南大学考研在线咨询入口链接地址:/news/details.aspx?id=2818 历年暨南大学考研真题答案下载链接地址:/kaoyan/第一临床医学院眼科学6 0 6 16 9 150.00% 299 6(专业学位)第一临床医学院耳鼻咽喉科学4 0 4 1 0 0.00% 300 2(专业学位)第一临床医学院康复医学与理疗学3 0 3 18 6 200.00% 306 3(专业学位)第一临床医学院麻醉学4 0 4 36 15 375.00% 335 5(专业学位)第一临床医学院急诊医学3 0 3 10 1 33.33% 314 2(专业学位)第一临床医学院全科医学(不授博士学8 0 8 20 4 50.00% 298 8(专业学位)位)第一临床医学院临床病理学(不授博士学位)1 0 1 3 1 100.00% 323 1(专业学位)第一临床医学院护理12 0 12 44 20 166.67% 309 12(专业学位)第二临床医学院内科学10 0 10 72 40 400.00% 332 13(专业学位)暨南大学考研在线咨询入口链接地址:/news/details.aspx?id=2818 历年暨南大学考研真题答案下载链接地址:/kaoyan/第二临床医学院儿科学1 0 1 4 1 100.00% 328 1(专业学位)第二临床医学院神经病学1 0 12 1 100.00% 319 1(专业学位)第二临床医学院影像医学与核医学6 1 5 37 12 240.00% 300 8(专业学位)第二临床医学院临床检验诊断学0 0 0 3 0 0 0(专业学位)第二临床医学院外科学4 1 3 28 11 366.67% 303 7(专业学位)第二临床医学院妇产科学3 0 3 114 133.33% 298 4(专业学位)第二临床眼科学3 0 3 17 8 266.67% 304 4(专业学医学院位)第二临床医学院耳鼻咽喉科学1 0 1 4 1 100.00% 302 1(专业学位)第二临床医学院麻醉学1 0 1 18 5 500.00% 315 2(专业学位)环境学院环境科学32 4 2851 38135.71%334 14环境学院环境工程90 62 334 18暨南大学考研在线咨询入口链接地址:/news/details.aspx?id=2818 历年暨南大学考研真题答案下载链接地址:/kaoyan/环境学院环境工程26 0 26 47 35 134.62% 国家线27(专业学位)公共管理学院/应急管理学院行政管理31 21 10132 28280.00% 36514公共管理学院/应急管理学院教育经济与管理17 6 5公共管理学院/应急管理学院社会保障35 15 4公共管理学院/应急管理学院土地资源管理17 2 4公共应急21 8 6管理学院/应急管理学院管理公共管理学院/应急管理学院公共管理60 0 60 168 81 135.00% 170 79(专业学位)暨南大学考研在线咨询入口链接地址:/news/details.aspx?id=2818 历年暨南大学考研真题答案下载链接地址:/kaoyan/艺术学院电影8 3 5 31 10 200.00% 337 10(专业学位)艺术学院美术 6 2 4 27 9 225.00% 341 7(专业学位)艺术学院艺术设计4 0 4 75 125.00% 337 4(专业学位)电气信息学院(包装工程研究所)包装工程7 6 1 12 8 800.00% 290 9深圳旅游学院旅游管理6 6 0 1 0仅招推免生6深圳旅游学院旅游管理20 0 20 25 12 60.00%170(84、42)12(专业学位)光子技术研究院光通信与光传感32 1 31 72 52 167.74% 国家线34国际商学院国际商务11 3 8 14 1 12.50% 340 11经济与社劳动经济20 8 12 0 0 0.00%仅招推免生8会研究院学化学与材料学院无机化学54 2 5261 2955.77% 32319化学与材料学院分析化学52 26 10化学与材料学院有机化学63 31 8化学与材料学院物理化学43 29 14化学与材料学院高分子化学与物理14 6 3暨南大学考研在线咨询入口链接地址:/news/details.aspx?id=2818 历年暨南大学考研真题答案下载链接地址:/kaoyan/化学与材料学院材料物理与化学6 0 6 9 8 133.33% 265 6化学与材料学院材料学22 1 2152 40190.48% 26512化学与材料学院材料加工工程17 15 6化学与材料学院生物材料13 8 4化学与材料学院应用化学5 0 5 31 22 440.00% 305 6化学与材料学院材料工程13 0 13 9 5 38.46% 265 9(专业学位)化学与材料学院化学工程14 0 14 21 14 100.00% 280 14(专业学位)暨南大学考研在线咨询入口链接地址:/news/details.aspx?id=2818 历年暨南大学考研真题答案下载链接地址:/kaoyan/质谱仪器与大气环境研究所环境科学4 1 3 1 1 33.33% 国家线 3质谱仪器与大气环境研究所环境工程2 0 2 2 2 100.00% 国家线 2质谱仪器与大气环境研究所环境工程6 0 6 6 4 66.67% 国家线 5(专业学位)环境与气候研究院环境科学3 0 3 3 3 100.00% 265 3环境与气候研究院环境工程3 0 3 5 5 166.67% 265 3环境与气候研究院环境工程15 0 15 2 1 6.67% 265 15(专业学位)先进耐磨腐蚀与功材料学4 2 2 13 12 600.00% 国家线 4能材料研究院先进耐磨腐蚀与功能材料研究院材料加工工程5 0 56 6 120.00% 国家线 5暨南大学考研在线咨询入口链接地址:/news/details.aspx?id=2818 历年暨南大学考研真题答案下载链接地址:/kaoyan/先进耐磨腐蚀与功能材料研究院材料工程8 0 8 2 1 12.50% 国家线 5(专业学位)2016暨大考研报录比(完整版)代码学院名称专业代码专业名称招生指标推免人数统考指标报考人数上线人数统考上线率复试分数线录取人数001 经济学院020101政治经济学9 0 9 51 9 100.00% 347,45,68 9001 经济学院020104西方经济学9 6 3 51 9 300.00% 361,45,68 9001 经济学院020105世界经济5 3 2 7 2 100.00% 326,45,68 5001 经济学院020106人口、资源与环境经济学6 2 4 26 9 225.00% 362,45,68 6001 经济学院020201国民经济学19 12 7 125 29 414.29% 362,45,68 21001 经济020202 区域27 11 16 142 54 337.50% 354,45,68 27学院经济学暨南大学考研在线咨询入口链接地址:/news/details.aspx?id=2818 历年暨南大学考研真题答案下载链接地址:/kaoyan/001 经济学院020203财政学19 8 11 80 26 236.36% 350,45,68 19001 经济学院020204金融学50 33 17 363 90 529.41% 374,45,68 50001 经济学院020206国际贸易学28 13 15 196 54 360.00% 364,45,68 28001 经济学院020207劳动经济学4 0 4 24 2 50.00% 325,45,68 5001 经济学院020209数量经济学8 2 6 26 7 116.67% 330,45,68 8001 经济学院025100金融(专业学位)70 49 21 513 128 609.52% 374,45,68 77001 经济学院025200应用统计(专业学位)20 7 13 119 26 200.00% 334,45,68 23001 经济学院025300税务(专业学位)20 7 13 66 10 76.92% 325,45,68 20001 经济学院025400国际商务(专业学位)20 8 12 82 13 108.33% 327,45,68 21001 经济学院025600资产评估(专业学位)20 4 16 82 25 156.25% 325,45,68 21001 经济学院027000统计学20 7 13 154 51 392.31% 368,45,68 20001 经济学院071400统计学5 0 5 28 28 560.00% 327,39,59 5002 产业经济研究院020205产业经济学30 10 20 196 62 310.00% 347,51,68 31003 法学030103 宪法 4 0 4 28 10 250.00% 315 4院/知识产权学院学与行政法学暨南大学考研在线咨询入口链接地址:/news/details.aspx?id=2818 历年暨南大学考研真题答案下载链接地址:/kaoyan/003 法学院/知识产权学院030104刑法学3 0 3 26 7 233.33% 315 4003 法学院/知识产权学院030105民商法学12 5 7 85 32 457.14% 346 12003 法学院/知识产权学院030107经济法学7 1 6 44 18 300.00% 327 8003 法学院/知识产权学院030109国际法学4 2 2 22 8 400.00% 319 5003 法学院\知识产权学院0301Z1知识产权法学5 3 2 186 300.00% 316 6003 法学院/知识产权学院035101法律(非法学)(专业学位)45 0 45 229 98 217.78% 319 45003 法学院/知识产权学院035102法律(法学)(专业学位)25 0 25 120 30 120.00% 315 24004 国际关系学院030206国际政治29 3 26 84 35 134.62% 315,45,68 6/华侨华人研究院004 国际关系学院/华侨华人研究院030207国际关系0 0 #DIV/0! 18004 国际关系学院/华侨华人研究院030208外交学0 0 #DIV/0! 5005 社会科学部030503马克思主义中国化研究2 0 2 2 2 100.00% 323,46 2005 社会科学部030505思想政治教育6 0 6 15 11 183.33% 328,47 7006 文学院010106 美学 6 1 5 30 20 400.00% 379,36 6006 文学院050101文艺学10 2 8 53 31 387.50% 386,53 11006 文学院050103汉语言文字学12 4 8 49 32 400.00% 377,53 13006 文学院050105中国古代文学15 3 12 116 72 600.00% 382,53 18暨南大学考研在线咨询入口链接地址:/news/details.aspx?id=2818 历年暨南大学考研真题答案下载链接地址:/kaoyan/006 文学院050106中国现当代文学17 4 13 116 72 553.85% 381,53 21006 文学院050107中国少数3 2 1 7 5 500.00% 358,53 4民族语言文学006 文学院050108比较文学与世界文学5 1 4 33 25 625.00% 385,53 5006 文学院0501J1高级秘书与行政助理学8 2 6 86 47 783.33% 390,53 10006 文学院0501J8文化创意与文化产业4 0 4 8 2 50.00% 350,53 3006 文学院060200中国史36 5 31 122 60 193.55% 315,44 38006 文学院060300世界史8 2 6 18 10 166.67% 315,44 8007 华文学院045300汉语国际教育(专业学位)56 6 50 297 184 368.00% 355,45,68 59007 华文学院050102语言学及应用语言学13 5 8 40 30 375.00% 377,53,80 13007 华文学院0501Z2海外华语及华文教学10 1 9 32 26 288.89% 375,53,80 10暨南大学考研在线咨询入口链接地址:/news/details.aspx?id=2818 历年暨南大学考研真题答案下载链接地址:/kaoyan/008 外国语学院050201英语语言文学7 2 5 41 16 320.00% 375 8008 外国语学050205日语语言3 1 2 7 2 100.00% 367 2院文学008 外国语学院050211外国语言学及应用语言学10 0 10 49 15 150.00% 355 10008 外国语学院055101英语笔译(专业学位)49 8 41 386 67 163.41% 350 52009 新闻与传播学院050301新闻学60 31 29 287109 375.86%364,60,10019009 新闻与传播学院050302传播学0 #DIV/0! 15009 新闻与传播学院0503Z1广告学0 #DIV/0! 14009 新闻与传播学院0503Z2广播电视学0 #DIV/0! 12009 新闻与传播学院055200新闻与传播(专业学位)105 40 65 632 257 395.38% 364,60,100 116暨南大学考研在线咨询入口链接地址:/news/details.aspx?id=2818 历年暨南大学考研真题答案下载链接地址:/kaoyan/009 新闻与传播学院135105广播电视30 5 25 78 40 160.00% 335,34,51 32010 信息科学技术学院025200应用统计(专业学位)11 2 9 41 9 100.00% 325,45,68 13010 信息科学070101基础数学3 0 3 9 5 166.67% 285,39,59 3技术学院010 信息科学技术学院070102计算数学3 2 1 5 1 100.00% 285,39,59 3010 信息科学技术学院070103概率论与数理统计2 1 1 8 2 200.00% 285,39,59 2010 信息科学技术学院070104应用数学3 1 2 8 5 250.00% 285,39,59 3010 信息科学技术学院070105运筹学与控制论3 0 3 114 133.33% 285,39,59 3010 信息科学技术学院080902电路与系统2 0 2 12 1 50.00% 265,36,54 2010 信息科学技术学院080903微电子学与固体电子学4 0 4 6 0 0.00% 265,36,54 3010 信息科学技术学院081001通信与信息系统11 3 8 39 10 125.00% 265,36,54 11暨南大学考研在线咨询入口链接地址:/news/details.aspx?id=2818 历年暨南大学考研真题答案下载链接地址:/kaoyan/010 信息科学技术学院081002信号与信息处理7 0 7 17 6 85.71% 265,36,54 7010 信息科学技术学院081201计算机系统结构5 0 5 246 120.00% 265,36,54 5010 信息科学技术081202计算机软件与4 3 1 11 4 400.00% 265,36,54 5学院理论010 信息科学技术学院081203计算机应用技术8 5 3 32 7 233.33% 265,36,54 8010 信息科学技术学院083500软件工程5 2 3 19 5 166.67% 285,39,59 5010 信息科学技术学院085208电子与通信工程(专业学位)19 0 19 54 11 57.89% 265,36,54 20010 信息科学技术学院085211计算机技术(专业学位)10 0 10 53 11 110.00% 265,36,54 13010 信息科学技术学院085212软件工程(专业学位)10 2 8 35 10 125.00% 265,36,54 15011 理工学院070201理论物理3 0 3 5 2 66.67%285,39,593011 理工学院070205凝聚态物理10 0 10 30 25 250.00% 11011 理工学院0702Z1计算物理3 0 3 2 2 66.67% 3011 理工学院080901物理电子学3 0 3 0 0 0.00% 2暨南大学考研在线咨询入口链接地址:/news/details.aspx?id=2818 历年暨南大学考研真题答案下载链接地址:/kaoyan/011 理工学院070207 光学 4 0 4 15 7 175.00%285,39,595011 理工学院080300光学工程15 0 15 41 15 100.00% 17011 理工学院085202光学工程(专业学位)9 0 9 18 8 88.89% 11011 理工学院080101力学与力学基础2 0 2 0 0 0.00% 265,36,54 2011 理工学院080102固体力学4 0 4 3 1 25.00% 265,36,54 3011 理工学院080104工程力学11 0 11 25 11 100.00% 265,36,54 11011 理工学院080501材料物理与化学6 0 6 5 4 66.67% 265,36,54 5011 理工学院080502材料学12 0 12 47 24 200.00% 265,36,54 12011 理工学院080503材料加工工程6 0 6 22 5 83.33% 265,36,54 6011 理工学院0805Z1生物材料6 1 5 3 1 20.00% 285,39,59 5011 理工学院085204材料工程(专业学位)9 0 9 8 1 11.11% 285,39,59 12011 理工学院081402结构工程5 0 5 17 4 80.00% 265,36,54 5暨南大学考研在线咨询入口链接地址:/news/details.aspx?id=2818 历年暨南大学考研真题答案下载链接地址:/kaoyan/011 理工学院083201食品科学18 2 16 111 45 281.25% 285,39,59 19011 理工学院083202粮食、油脂及植物蛋白工程3 1 2 3 0 0.00% 265,36,54 3011 理工学院085231食品工程(专业学位)9 0 9 11 6 66.67% 265,36,54 12011 理工学院085213建筑与土木工程(专9 0 9 28 14 155.56% 265,36,54 10位)012 生命科学技术学院070301无机化学55 1 54 183117 216.67%32622012 生命科学技术学院070302分析化学0 0.00% 11012 生命科学技术学院070303有机化学0 0.00% 8012 生命科学技术学院070304物理化学0 0.00% 14012 生命科学技术学院070305高分子化学与物理0 0.00% 3012 生命科学技术学院071002动物学4 0 4 6 3 75.00% 285,39,59 4暨南大学考研在线咨询入口链接地址:/news/details.aspx?id=2818 历年暨南大学考研真题答案下载链接地址:/kaoyan/012 生命科学技术学院071004水生生物学20 2 18 44 34 188.89% 285,39,59 19012 生命科学技术学院071005微生物学19 0 19 99 74 389.47% 289,39,59 21012 生命科学技术学院071006神经生物学12 0 12 14 9 75.00% 285,39,59 18012 生命科学技术学院071007遗传学11 0 11 22 13 118.18% 285,39,59 9012 生命科学技术学院071008发育生物学4 0 4 7 4 100.00% 287,39,59 4012 生命科学技术学院071009细胞生物学10 1 9 35 23 255.56% 315 8012 生命科学技术学院071010生物化学与分子生物学53 2 51 152 121 237.25% 311,39,59 61012 生命科学技术学院0710J5再生医学7 2 5 10 10 200.00% 301,39,59 11012 生命科学技术学院0710Z1海洋生物学与生物技术11 0 11 17 7 63.64% 285,39,59 9暨南大学考研在线咨询入口链接地址:/news/details.aspx?id=2818 历年暨南大学考研真题答案下载链接地址:/kaoyan/012 生命科学技术学院0710Z2生物医药12 0 12 89 68 566.67% 341 13012 生命科学技术学院071300生态学13 0 13 53 41 315.38% 320,39,59 15012 生命科学技术学院077601环境科学6 0 67 3 50.00% 285,39,59 6012 生命科学技术学院077700生物医学工程7 1 6 12 11 183.33% 285,39,59 7012 生命科学技术学院077802免疫学10 0 10 25 21 210.00% 314 10012 生命科学技术学院081704应用化学5 0 5 15 4 80.00% 282,36,54 7012 生命科学技术学院085216化学工程(专业学位)8 0 8 16 9 112.50% 290,36,54 8012 生命科学技术学院085230生物医学工程(专业学位)8 0 8 2 1 12.50% 265,36,54 5012 生命科学技术学院085238生物工程(专业学位)14 0 14 18 16 114.29% 265,36,54 14013 管理学院025700审计(专业学位)20 3 17 227 191 1123.53% 220 23暨南大学考研在线咨询入口链接地址:/news/details.aspx?id=2818 历年暨南大学考研真题答案下载链接地址:/kaoyan/013 管理学院040203应用心理学26 4 22 319 103 468.18% 353,45,68 27013 管理学院085236工业工程(专业学位)23 1 22 74 36 163.64% 310 27013 管理学院120100管理科学与工程14 9 5 44 6 120.00% 336,45,68 14013 管理学院120201会计学30 19 11 210 48 436.36% 356,45,68 32013 管理学院120202企业管理32 12 20 221 47 235.00% 344,45,68 33013 管理学院120203旅游管理16 15 1 40 3 300.00% 367,45,68 17013 管理学院120204技术经济及管理7 4 3 17 2 66.67% 349,45,68 7013 管理1202J3 国际15 12 3 49 4 133.33% 349,45,68 15学院商务013 管理学院1202Z1财务管理10 6 4 70 13 325.00% 354,45,68 10013 管理学院125100工商管理(专业学位)165 0 165 459 137 83.03% 165,78,39 125013 管理学院125300会计(专业学位)118 36 82 890 683 832.93% 165 127013 管理学院125400旅游管理(专业学位)20 0 20 40 4 20.00% 165,78,39 8013 管理学院125600工程管理(专业学位)25 0 25 47 13 52.00% 165 12暨南大学考研在线咨询入口链接地址:/news/details.aspx?id=2818 历年暨南大学考研真题答案下载链接地址:/kaoyan/014 医学院071003生理学3 0 34 1 33.33% 295,41,123 3014 医学院100101人体解剖与组织胚胎学6 0 6 1 0 0.00% 295,41,123 2014 医学院100102免疫学3 0 3 7 1 33.33% 295,41,123 2014 医学院100103病原生物学3 0 3 0 0 0.00% 295,41,123 2014 医学院100104病理学与病理生理学12 0 12 14 4 33.33% 295,41,123 9014 医学院100301口腔基础医学1 0 1 0 0 0.00% 295,41,123 0014 医学院100302口腔临床医学1 0 1 23 5 500.00% 295,41,123 1。
2018年暨南大学硕士研究生招生简章第一章总则第一条为加强对硕士学位研究生招生工作的管理,保证硕士研究生的入学质量和招生工作顺利进行,根据教育部的精神与要求,特制定我校2018年硕士研究生招生简章。
本招生简章若与教育部相关规定不一致,则以教育部文件为准。
第二条2018年暨南大学面向中国大陆高校计划招收全日制硕士生约2800人,其中学术型硕士生约1500人,专业学位硕士生约1 300人;计划招收非全日制硕士生约400人;共计划招收硕士生3200人。
实际招生规模以教育部下达计划为准。
其中,我校“少数民族高层次骨干人才计划”招生约40人,“退役大学生士兵专项硕士研究生招生计划”招生约20人,单独考试专项计划招生约10人。
第三条招生专业目录中公布的各学院、各学科专业的招生指标仅为预计招生数,且已包含推免生名额。
学校将根据推免生接收录取情况,于2017年10月中旬再详细公布各学院各专业的统招计划。
在2018年录取阶段,我校将根据教育部下达计划与统考生初、复试情况对各专业招生计划进行相应调整。
最终招生总人数以教育部正式下达的招生计划文件为准,拟招收推免生人数以最后推免生系统确认的录取人数为准。
第四条我校招收硕士研究生,是为了培养热爱祖国,拥护中国共产党的领导,拥护社会主义制度,遵纪守法,品德良好,具有服务国家服务人民的社会责任感,掌握本学科坚实的基础理论和系统的专业知识,具有创新精神、创新能力和从事科学研究、教学、管理等工作能力的高层次学术型专门人才以及具有较强解决实际问题的能力、能够承担专业技术或管理工作、具有良好职业素养的高层次应用型专门人才。
硕士研究生按其学习方式分为全日制硕士研究生和非全日制硕士研究生两种。
全日制研究生是指符合国家研究生招生规定,通过研究生入学考试或者国家承认的其他入学方式,被具有实施研究生教育资格的高等学校或其他高等教育机构录取,在基本修业年限或者学校规定年限内,全脱产在校学习的研究生。