第7章 船舶阻力近似估算方法
- 格式:ppt
- 大小:27.87 MB
- 文档页数:40
第一章总论1. 什么是“船舶快速性”?船舶快速性研究的主要内容有哪些?2. 为什么船舶快速性问题,通常分成“船舶阻力”和“船舶推进”两部分来研究?3. 简述水面舰船阻力的组成,及每种阻力的成因?4. 简述船舶阻力分类方法。
5. 什么是船舶动力相似定律?研究船舶动力相似定律有何意义?6•在什么条件下,任意2条形似船,只要它们的Re和Fr相等,则它们有相同的总阻力系数?7•已知某远洋货轮的水线长152m,设计航速16.45kn,制作长为3.04m的船模,进行阻力试验。
分别求满足粘性力、重力相似条件的船模速度(假定实船与船模的流体运动粘性系数相同)?8. 某舰设计水线长L=84.4m,湿面积S=728m2,航速Vs=34kn。
今用a=40的船模在重力相似条件下进行阻力试验,测得水池温度t=12C (淡水)。
试求:1)相应的船模速度Vm(m/s)?2)此时实船及船模的雷诺数各是多少?3)若测得该相应速度时船模的兴波阻力为Rwm=0.52kgf,试求该舰(在15C海水)的兴波阻力Rws?第二章粘性阻力1. 实际工程中是怎样处理船舶粘性阻力的?2. 试述摩擦阻力的成因,及流体流态、雷诺数、船体湿面积对摩擦阻力的影响。
3. 船体表面边界层与平板边界层有哪些不同?4. 小结平板摩擦阻力系数计算公式,公式名称、表达式、参数、适用范围等。
5. 试述船体表面粗糙度对摩擦阻力的影响及其计算处理方法。
6. 什么是污底?污底对船舶阻力有什么影响?7. 减少船体摩擦阻力的有效、实用方法有哪些?8. 试述粘压阻力的成因、基本特性,及船体粘压阻力的处理方法。
9. 船舶设计时从降低船体粘压阻力出发,应该注意哪些方面?10. 试述琼斯尾流测量法确定船体粘性阻力的基本原理和方法11. 某海上单桨运输船,水线长L=126m宽B=18m,吃水T=5.6m,方形系数Cb=0.62,速度Vs=12kn,试用各种公式计算摩擦阻力(ts=15E ,A Cf =0.0004)。
船舶阻力数值计算1.船体阻力的计算船体阻力是船舶行驶时由于水的粘性作用在船体表面产生的阻力。
常用的方法有几种,其中一种是波尔根公式:R=К*S*V²其中,R表示船体阻力,К为波尔根系数,S为船体湿表面积,V为船舶的航行速度。
2.波浪阻力的计算波浪阻力是船舶行驶时由于船体在海水中的波浪作用下产生的阻力。
波浪阻力一般可以通过计算波浪幅度的方法来获得,其中较为常用的是费尔康普公式:R_wave = К_wave * ρ * g * A_wave * L / 2其中,R_wave表示波浪阻力,К_wave为波浪阻力系数,ρ为水密度,g为重力加速度,A_wave为波浪振幅,L为船长。
3.粘性阻力的计算粘性阻力是由于水分子的粘性作用在船体周围产生的阻力。
根据流体力学的相关理论,可以通过雷诺数来计算粘性阻力。
一种常用的计算方法是维塔公式:R_viscous = К_viscous * μ * V * S / L其中,R_viscous表示粘性阻力,К_viscous为粘性阻力系数,μ为水的黏度,S为船体湿表面积,L为船长。
4.附加阻力的计算附加阻力是由于船舶与船艏、船尾以及侧板、船舶结构等水流非均匀情况下的相互作用而产生的阻力。
附加阻力的计算比较复杂,常常需要通过模型试验或者计算流体力学模拟方法来进行。
其中一种常用的方法是简化模型试验法,通过对一系列模型试验的数据进行曲线拟合,得到附加阻力的数学模型。
总结起来,船舶阻力数值的计算是一个相对复杂的过程,需要考虑船体阻力、波浪阻力、粘性阻力和附加阻力等多个方面。
这些阻力的计算方法也是不同的,从经验公式到数值模拟等各种方法都有。
在实际计算中,需要根据船舶的具体情况选择合适的计算方法,并结合实测数据或者试验数据进行验证,以保证计算结果的准确性和可靠性。
船舶阻力总结[最终定稿]第一篇:船舶阻力总结船舶阻力总结——By Mr.Torpedo 说明:1、本资料仅供20120114班内部分享。
2、题目纯属个人编写,与考试形式关系不大,仅仿照老师上课所述考试内容,将书上的重要知识点加以总结,仅供参考。
第一章绪论1、简述船舶阻力的概念。
2、什么是船舶快速性?船舶具有良好快速性应满足什么条件?3、什么是船舶阻力曲线?什么是有效功率曲线?分别如何表示阻力性能?4、船舶阻力研究中常用的速度单位有哪些?他们之间换算关系如何?5、船舶阻力中常用的相似准数有哪些?6、船舶的航态如何划分?7、排水型船舶的航态如何划分?8、船舶阻力有哪些研究方法?9、船舶阻力中的坐标系如何选取?10、船舶阻力的成分如何划分?11、船体阻力的成分如何划分?第二章粘性阻力1、什么是粘性阻力?它包括哪两部分成分?2、简述粘性阻力的成因(力学观点、能量观点)3、相当平板理论的内容4、1957年国际船模试验池实船—船模换算公式的表达式?5、简述船体表面弯曲对摩擦阻力的影响6、什么是形状效应?在阻力计算中如何计入形状效应的影响?7、船体表面粗糙度包括哪两方面内容?如何修正?8、船体湿表面积如何计算?9、简述污底的形成、影响及其防治方法。
10、如何减小船体的摩擦阻力?11、粘压阻力的影响因素有哪些?设计中如何避免?12、螺旋桨对粘压阻力有何影响?第三章船舶兴波兴波阻力1、船舶在水面航行如何兴起波浪?2、兴波阻力的成因?3、船舶兴波包括哪两部分?各有什么特点?4、兴波阻力的成分?5、写出与x轴夹角为 的基元波波数的表达式。
6、船行波的范围?7、深水域和浅水域的压力点兴波范围有何特点?8、什么是兴波长度?如何用兴波长度衡量兴波干扰?9、什么是兴波干扰?何为有利干扰、不利干扰?10、简述○P理论的内容。
11、薄船理论有哪些基本假定?写出流场速度势的表达式、基本方程和边界条件。
12、Michell积分反映了船型对兴波阻力的哪些影响?13、减小兴波阻力有哪些方法?14、破波阻力出现时,波浪运动分哪几个发展阶段?15、波浪破碎方式?16、破波阻力的特性有哪些?第四章船舶阻力的确定方法1、确定船舶阻力的方法有哪些?2、写出二因次换算法的假设和计算方法。
《船舶阻力》思考题与习题第一章 总论1)《船舶阻力》学科的研究任务与研究方法。
答:本课程着重介绍船舶航行时所受到的阻力的产生原因,各种阻力的特性,决定阻力的方法,影响阻力的因素以及减少阻力的途径等问题。
2)船舶在水中航行时,流场中会产生那些重要物理现象?它们与阻力有何关系?3)影响船舶阻力的主要因素有那些?4)各阻力成分及其占总阻力的比例与航速有何关系?低速船 摩擦阻力70%~80%,粘压阻力10%以上兴波阻力很小高速船 兴波阻力40%~50%,摩擦阻力50%粘压阻力5%5)物体在理想流体无界域中运动时有无阻力?应该注意的是压阻力中包含有粘压阻力和兴波阻力两类不同性质的力。
兴波阻力既使在理想流体中仍然存在,而摩擦阻力和粘压阻力两者都是由于水的粘性而产生的,在理想流体中并不存在。
6)何谓二物理系统的动力相似?7)何谓傅汝德(Froude )相似律?8)何谓雷诺(Reynolds )相似律?9) 船模试验中能否实现“全相似”?为什么?10)何谓“相应速度”(又称“相当速度”)?相应速度(模型)11)某海船航速)(0.100m L =,)(0.14m B =,)(0.5m T =,)(0.42003m =∇,湿面积s=5.90(m2),V=17.0(kts),阻力试验中所用船模缩尺比25=α,在相当速度下测得兴波阻力w R =9.8(n),试验水温为12︒C ,试求:i )船模的相当速度及排水量;ii )20︒C 海水中实船的兴波阻力w R 。
注:1节(knot)=1.852(公里/小时)12)设825.1V R f ∝,2V R vp ∝,4V R w ∝,在某一航速下,t f R R %80=,t vp R R %10=,t w R R %10=,试计算当速度增加50%后,f R 、vp R 、w R 各占总阻力的百分比。
第二章 粘性阻力1)何谓“相当平板”?相当平板:同速度、同长度、同湿表面相当平板假定:实船或者船模的摩擦阻力分别等于与其同速度,同长度,同湿面积的光滑平板摩擦阻力。
船舶阻力复习及答案第一章概述1.船舶快速性,船舶快速性问题的分解。
船的快速性:在给定的主机功率下,这种快速性对某艘速度较高的船是有好处的。
或者,一个当一艘给定的船需要达到一定的速度时,主机功率越小,速度越快。
船舶快速性被简化为两个部分:“船舶阻力”部分:研究恒速直线航行时船体遇到的各种阻力问题。
“船舶推进”部分:研究克服船体阻力的推进器及其与船体的相互作用,以及船舶、机器和螺旋桨(推力进入设备)匹配问题。
2.船舶阻力,船舶阻力研究的主要内容和方法。
船舶阻力:在航行过程中,由于流体(水和空气)阻止船舶前进的力,它与船体的运动同相。
反作用力被称为船的阻力。
船舶阻力研究的主要内容:1.以一定速度在水中直线航行的船舶遇到各种阻力的原因和特性;2.阻力随速度、船型和外部条件的变化规律;3.研究降低阻力的方法,寻求设计低阻力的优秀船型。
4.如何准确估算船舶阻力,为螺旋桨(螺旋桨)设计提供依据,以确定主机功率。
研究船舶阻力的方法;1.理论研究方法:应用流体力学理论,通过观察、调查、思考和分析问题,抓住问题主题的核心和关键,决定要采取的措施。
2.试验方法:包括船模试验和实船试验。
船模试验是基于对问题本质的理性理解,根据相似性该理论在测试单元中进行测试,以获得问题的定性和定量解决方案。
3.数值模拟:根据数学模型,用数值方法预测船舶的航行性能,优化船型和螺旋桨设计。
3.水面舰船阻力的构成及各阻力产生的原因。
船舶在水面航行的阻力包括裸船体阻力和附加阻力,其中附加阻力包括空气阻力、风暴阻力和附体阻力。
船体阻力产生的原因:波浪在船体运动过程中上升,船头的波峰增加了头部压力,而船尾的波谷降低了尾部压力,产生了波浪阻力;由于水的粘性,在船体周围形成一个“边界层”,使船体在运动过程中受到摩擦阻力。
涡流通常是在船体曲率突然变化时产生的,尤其是在船尾,导致涡流的出现。
举升船体前后的压力不平衡,导致粘性压力阻力。
4.船舶阻力的分类方法。
《船舶快速性》:上篇《船舶阻力》思考题及参考答案第一章绪论一、名词解释兴波阻力、摩擦阻力、粘压阻力、雷诺定律(粘性阻力相似定律)、傅汝德定律(兴波阻力相似定律、重力相似定律)、全相似定律、形似船、相应速度、傅汝德比较定律、相当平板假定、傅汝德假定二、问答题1、根据船体周围流体的流动状态分析阻力的成因及分类?(船舶在水中航行时,其周围流场产生哪些物理现象?它们与阻力有何关系?)(船舶阻力为何要划分几种不同的阻力成分,如何划分?)2、总阻力中各阻力成分随Fr数的变化(不同航速的船)大致占总阻力的百分数是多少?3、在船模试验时,为什么实船与船模之间不能实现全动力相似?4、傅汝德比较定律是如何推导出来的?5、傅汝德假定的根据是什么?其有什么局限性?6、傅汝德换算关系式是如何推导出来的?(在船模试验中,如何计算实船的阻力?)第二章粘性阻力一、名词解释边界层、界层边界、尺度效应(尺度作用)、普遍粗糙度、局部粗糙度、傅汝德法(二因次换算法)、三因次换算法、形状因子(形状因素)、形状系数二、问答题1、在计算船体摩擦阻力时,为什么要引入“相当平板”概念?2、船体周围的边界层与平板的有何不同?3、影响边界层内流体流态的主要因素是什么?为什么实船可以不考虑界层层流的影响,而船模必须考虑层流的影响,如不考虑则会出现什么问题?答:出现问题:摩擦阻力是界层内层流流动的比紊流流动的的大;粘压阻力是界层内紊流流动的比层流流动的的大。
4、船体表面弯曲度对摩擦阻力有何影响?5、为什么实船必须要考虑表面粗糙度对其摩擦阻力的影响而船摸则不需考虑?对于钢船如何考虑表面粗糙度的影响?6、船体的粘压阻力是怎样产生的?流线型物体的粘压阻力是怎样产生的?7、为什么船体的后体越细长越平顺,粘压阻力越小?试分析和说明粘性阻力较小的物体(如深水中航行的核潜艇)其形状是什么样子?8、如何减小粘性阻力(摩擦阻力、粘压阻力)?9、二因次换算法(傅汝德)和三因次换算法的区别是什么?分别是如何计算船舶粘压阻力的?第三章兴波阻力一、名词解释船行波、破波二、问答题1、大小不同但几何相似的两条船,在什么条件下它们的兴波图形相似,为什么?2、什么是横波、散波?什么是首波系,什么是尾波系?绘出船的兴波图形加以说明。
《船舶阻力》小结第一章 总论1)《船舶阻力》学科的研究任务与研究方法。
答:本课程着重介绍船舶航行时所受到的阻力的产生原因,各种阻力的特性,决定阻力的方法,影响阻力的因素以及减少阻力的途径等问题。
2)船舶在水中航行时,流场中会产生那些重要物理现象?它们与阻力有何关系?3)影响船舶阻力的主要因素有那些?4)各阻力成分及其占总阻力的比例与航速有何关系?低速船 摩擦阻力70%~80%,粘压阻力10%以上兴波阻力很小高速船 兴波阻力40%~50%,摩擦阻力50%粘压阻力5%5)物体在理想流体无界域中运动时有无阻力?应该注意的是压阻力中包含有粘压阻力和兴波阻力两类不同性质的力。
兴波阻力既使在理想流体中仍然存在,而摩擦阻力和粘压阻力两者都是由于水的粘性而产生的,在理想流体中并不存在。
6)何谓二物理系统的动力相似?7)何谓傅汝德(Froude )相似律?8)何谓雷诺(Reynolds )相似律?9) 船模试验中能否实现“全相似”?为什么?10)何谓“相应速度”(又称“相当速度”)?相应速度(模型)11)某海船航速)(0.100m L =,)(0.14m B =,)(0.5m T =,)(0.42003m =∇,湿面积s=5.90(m2),V=17.0(kts),阻力试验中所用船模缩尺比25=α,在相当速度下测得兴波阻力w R =9.8(n),试验水温为12︒C ,试求:i )船模的相当速度及排水量;ii )20︒C 海水中实船的兴波阻力w R 。
注:1节(knot)=1.852(公里/小时)12)设825.1V R f ∝,2V R vp ∝,4V R w ∝,在某一航速下,t f R R %80=,t vp R R %10=,t w R R %10=,试计算当速度增加50%后,f R 、vp R 、w R 各占总阻力的百分比。
第二章 粘性阻力1)何谓“相当平板”?相当平板:同速度、同长度、同湿表面相当平板假定:实船或者船模的摩擦阻力分别等于与其同速度,同长度,同湿面积的光滑平板摩擦阻力。
146第七章 阻力近似估算方法在船舶设计过程中,特别是在方案设计的初期,当主尺度和船型系数被确定以后,必须要知道主机功率以预报船舶能达到设计航速;如果主机功率已知,则需要估计阻力,以确定船的航速,便于初步分析、比较各种方案的优劣。
在此阶段,由于船舶线型尚未确定,因而还不能应用船模试验方法来确定阻力,所以只能用近似方法进行估算。
此外在某些不准备作船模试验的小型船舶或航速不重要的船舶的设计过程中,只能用近似方法来确定其阻力值。
近似估算阻力的方法很多,但所有这些方法不外乎是根据船模系列试验结果或者是在总结、分析大量的船模试验和实船试验的基础上得出的。
因此可以想象应用近似估算法所得结果的准确程度取决于设计船与母型船或设计船与各图谱所依据的船模系列之间的相似程度。
所以为了尽可能提高近似估算的准确性,应该有针对性地选择适当的估算方法。
阻力近似估算方法按计算内容可分为两类:一类是直接近似估算总阻力或有效功率;另一类是估算剩余阻力,而用相当平板公式计算摩擦阻力;如果依阻力近似估算方法的表达形式可分为图谱法和回归公式法两种;若根据估算方法的资料来源进行分类,则可分为船模系列资料估算法、归纳实船和船模资料估算法、母型船数据估算法等三类估算方法。
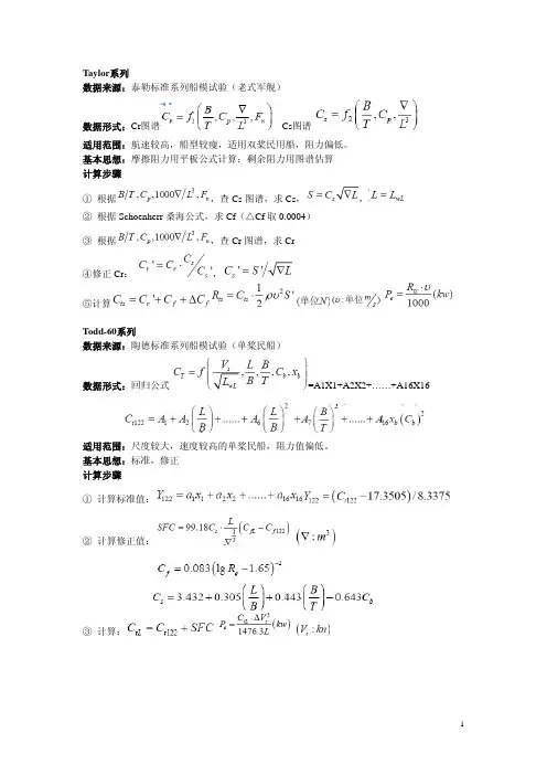
§ 7-1 船模系列试验资料估算法这类方法都是根据船模系列试验资料,直接给出阻力图表等,供实际估算应用。
一、泰洛(Taylor )法泰洛估算法是根据泰洛标准系列船模试验结果整理得到的。
其所用母型船虽为军舰(参见§6-1),但也可用于民用船,特别是双螺旋桨客船的阻力估算。
最初的泰洛法其阻力数据绘制成单位排水量剩余阻力的等值线,并均采用英制单位。
1954年盖脱勒(Gertler)将泰洛标准组阻力数据重新进行分析整理,并对水温、层流和限制航道的影响分别加以修正,最后整理出一套无量纲剩余阻力系数图表,其中摩擦阻力系数按桑海公式计算。
计算所用的船体湿面积可以由无量纲湿面积系数图谱求得。
第七章 船舶阻力船舶快速性:船舶消耗较小功率,维持一定航行速度的性能。
由船舶阻力和船舶推进两部分组成。
第一节 船舶阻力的分类及成因船舶阻力构成:空气阻力仅占其总阻力的2%~4%一、船体阻力的分类及成因1.按产生阻力的物理性质分类t w f pv R R R R =++船体总阻力=兴波阻力+摩擦阻力+粘压阻力(漩涡阻力)1)兴波阻力的成因:根据伯努利方程,当水流流经船体时,随着船长方向流速的变化,水面高度也会起变化。
在船舶首尾两端的速度最低处,产生水位上升,而在船体中部速度最高区域内,产生水位下降,这就是形成船波的原因。
伯努利方程:g u g p Z g u g p Z 2//2//22222111++=++ρρ首横波自首柱后一波峰开始,尾横波自尾柱前一波谷开始船首的波峰使首部压力增加,而船尾的波谷使尾部压力降低,于是产生首尾流体动压力差。
这种由兴波引起压力分布的改变所产生的阻力称为兴波阻力。
从能量观点来解释。
船行波必具有一定能量,这个能量只能由船舶克服流体阻力作功而转化出来,波浪的存在正说明了兴波阻力的存在。
2)摩擦阻力的成因:由于流体的粘性,水质点沿着船体表面运动,构成了阻碍船舶运动的力。
3)粘压阻力的成因:理想流体(无黏性)x 轴方向上来流的速度、压力变化水质点远处为V =V 0,接近A 点V 逐渐变小,到达A 点V =0,过A 点分流向后V 逐渐增大,到达C 点,V 达到最大值V 理,过C 点V 逐渐变小,到达B点V =0支流汇合,离开B 点V 逐渐增大恢复为V 0。
压力分布如曲线I.作用在前后体上的合力相等,阻力为零。
实际流体(有黏性)x 轴方向上来流的速度、压力变化由于黏性形成边界层(流速受到影响的水层)。
当水质点到达C 点,V 达到最大值V 实<V 理,由于动能较小,到达D 点V =0,过D 点在压力差的作用下水质点回流,形成许多不稳定的旋涡并与水流一起被冲向船后方。
旋涡的产生使船尾部压力降低,从而使船体沿船长方向的压力分布发生变化,即加大了船首尾压力差(压力分布如曲线Ⅲ)产生了阻力。