高中数学公式定理定律概念大全75720
- 格式:doc
- 大小:719.00 KB
- 文档页数:12
高中数理化生:公式定理定律概念大全
一、定律:
1、对称定律:任何的形状如果关于某一特定的线条对称,那么该形状就是对称的。
2、位置定律:两个平行或非平行的直线,任何一点以某一点为中心,做同样方向和角度的旋转都不会改变相对位置。
3、轴对称定律:物体如果沿着某一垂线(轴线)进行翻转,对称的部分的形状不会改变,则称为轴对称。
4、动作定律:如果人正确使用物体,那么物体状态改变的中心点都以使用人手来位置为中心,而且变化角度也恒定。
二、定理:
1、三角形外角和定理:任何一个三角形的三个外角之和等于π(即180度)。
2、勾股定理:在一个直角三角形中,两条直角边长的平方之和等于斜边长的平方,也就是a²+b²=c².
3、梯形面积定理:梯形的面积等于两条小边之和乘以高除以2,也就是s=(a+b)*h/2.
4、勾股纳矩形定理:若在等腰直角三角形中选定两个对角线,则这两个对角线的乘积正好等于对角线对应的直角边乘积,也就是a×b=c×d.
三、公式:
1、直角三角形面积公式:Sh = 1/2*a*h.
2、梯形面积公式:S = 1/2(a + b) * h
3、圆面积公式:S = πr².
4、椭圆面积公式:S = π ab,其中a、b分别是椭圆的长短轴的长度。
5、球的表面积公式:S=4πr²。
抛物线:y = ax *+ bx + c就是y等于ax 的平方加上bx再加上ca 〉0时开口向上a < 0时开口向下c = 0时抛物线经过原点b = 0时抛物线对称轴为y轴还有顶点式y = a(x+h)* + k就是y等于a乘以(x+h)的平方+k-h是顶点坐标的xk是顶点坐标的y一般用于求最大值与最小值抛物线标准方程:y^2=2px它表示抛物线的焦点在x的正半轴上,焦点坐标为(p/2,0)准线方程为x=—p/2由于抛物线的焦点可在任意半轴,故共有标准方程y^2=2px y^2=—2px x^2=2py x^2=-2p y圆:体积=4/3(pi)(r^3)面积=(pi)(r^2)周长=2(pi)r圆的标准方程(x—a)2+(y—b)2=r2 注:(a,b)是圆心坐标圆的一般方程x2+y2+Dx+Ey+F=0 注:D2+E2-4F〉0(一)椭圆周长计算公式椭圆周长公式:L=2πb+4(a—b)椭圆周长定理:椭圆的周长等于该椭圆短半轴长为半径的圆周长(2πb)加上四倍的该椭圆长半轴长(a)与短半轴长(b)的差。
(二)椭圆面积计算公式椭圆面积公式:S=πab椭圆面积定理:椭圆的面积等于圆周率(π)乘该椭圆长半轴长(a)与短半轴长(b)的乘积。
以上椭圆周长、面积公式中虽然没有出现椭圆周率T,但这两个公式都是通过椭圆周率T 推导演变而来。
常数为体,公式为用.椭圆形物体体积计算公式椭圆的长半径*短半径*PAI*高三角函数:两角和公式sin(A+B)=sinAcosB+cosAsinB sin(A-B)=sinAcosB—sinBcosAcos(A+B)=cosAcosB-sinAsinB cos(A—B)=cosAcosB+sinAsinBtan(A+B)=(tanA+tanB)/(1-tanAtanB) tan(A-B)=(tanA-tanB)/(1+tanAtanB)cot(A+B)=(cotAcotB-1)/(cotB+cotA) cot(A—B)=(cotAcotB+1)/(cotB-cotA)倍角公式tan2A=2tanA/(1—tan2A)cot2A=(cot2A—1)/2cotacos2a=cos2a-sin2a=2cos2a—1=1-2sin2asinα+sin(α+2π/n)+sin(α+2π*2/n)+sin(α+2π*3/n)+……+sin[α+2π*(n—1)/n]=0 cosα+cos(α+2π/n)+cos(α+2π*2/n)+cos(α+2π*3/n)+……+cos[α+2π*(n—1)/n]=0 以及sin^2(α)+sin^2(α—2π/3)+sin^2(α+2π/3)=3/2tanAtanBtan(A+B)+tanA+tanB-tan(A+B)=0四倍角公式:sin4A=—4*(cosA*sinA*(2*sinA^2—1))cos4A=1+(—8*cosA^2+8*cosA^4)tan4A=(4*tanA-4*tanA^3)/(1-6*tanA^2+tanA^4)五倍角公式:sin5A=16sinA^5—20sinA^3+5sinAcos5A=16cosA^5—20cosA^3+5cosAtan5A=tanA*(5-10*tanA^2+tanA^4)/(1-10*tanA^2+5*tanA^4)六倍角公式:sin6A=2*(cosA*sinA*(2*sinA+1)*(2*sinA-1)*(—3+4*sinA^2))cos6A=((-1+2*cosA^2)*(16*cosA^4-16*cosA^2+1))tan6A=(—6*tanA+20*tanA^3-6*tanA^5)/(-1+15*tanA^2—15*tanA^4+tanA^6)七倍角公式:sin7A=-(sinA*(56*sinA^2-112*sinA^4—7+64*sinA^6))cos7A=(cosA*(56*cosA^2—112*cosA^4+64*cosA^6—7))tan7A=tanA*(-7+35*tanA^2—21*tanA^4+tanA^6)/(—1+21*tanA^2—35*tanA^4+7*t anA^6)八倍角公式:sin8A=—8*(cosA*sinA*(2*sinA^2-1)*(—8*sinA^2+8*sinA^4+1))cos8A=1+(160*cosA^4-256*cosA^6+128*cosA^8-32*cosA^2)tan8A=-8*tanA*(-1+7*tanA^2—7*tanA^4+tanA^6)/(1—28*tanA^2+70*tanA^4-28*tanA^6+tanA^8)九倍角公式:sin9A=(sinA*(—3+4*sinA^2)*(64*sinA^6-96*sinA^4+36*sinA^2—3))cos9A=(cosA*(-3+4*cosA^2)*(64*cosA^6—96*cosA^4+36*cosA^2-3))tan9A=tanA*(9—84*tanA^2+126*tanA^4—36*tanA^6+tanA^8)/(1—36*tanA^2+126*tanA^4-84*tanA^6+9*tanA^8)十倍角公式:sin10A=2*(cosA*sinA*(4*sinA^2+2*sinA—1)*(4*sinA^2—2*sinA—1)*(—20*sinA^2+5+16*sinA^4))cos10A=((—1+2*cosA^2)*(256*cosA^8—512*cosA^6+304*cosA^4—48*cosA^2+1)) tan10A=-2*tanA*(5—60*tanA^2+126*tanA^4—60*tanA^6+5*tanA^8)/(—1+45*tanA^2-210*tanA^4+210*tanA^6-45*tanA^8+tanA^10)·万能公式:sinα=2tan(α/2)/[1+tan^2(α/2)]cosα=[1-tan^2(α/2)]/[1+tan^2(α/2)]tanα=2tan(α/2)/[1-tan^2(α/2)]半角公式sin(A/2)=√((1—cosA)/2)sin(A/2)=—√((1—cosA)/2)cos(A/2)=√((1+cosA)/2)cos(A/2)=-√((1+cosA)/2)tan(A/2)=√((1-cosA)/((1+cosA)) tan(A/2)=-√((1-cosA)/((1+cosA))cot(A/2)=√((1+cosA)/((1—cosA)) cot(A/2)=-√((1+cosA)/((1-cosA))和差化积2sinAcosB=sin(A+B)+sin(A-B)2cosAsinB=sin(A+B)—sin(A—B)2cosAcosB=cos(A+B)-sin(A—B) —2sinAsinB=cos(A+B)-cos(A—B)sinA+sinB=2sin((A+B)/2)cos((A—B)/2 cosA+cosB=2cos((A+B)/2)sin((A—B)/2)tanA+tanB=sin(A+B)/cosAcosB tanA-tanB=sin(A-B)/cosAcosBcotA+cotBsin(A+B)/sinAsinB -cotA+cotBsin(A+B)/sinAsinB某些数列前n项和1+2+3+4+5+6+7+8+9+…+n=n(n+1)/2 1+3+5+7+9+11+13+15+…+(2n-1)=n22+4+6+8+10+12+14+…+(2n)=n(n+1) 1^2+2^2+3^2+4^2+5^2+6^2+7^2+8^2+…+n^2=n(n+1)(2n+1)/61^3+2^3+3^3+4^3+5^3+6^3+…n^3=(n(n+1)/2)^2 1*2+2*3+3*4+4*5+5*6+6*7+…+n (n+1)=n(n+1)(n+2)/3正弦定理a/sinA=b/sinB=c/sinC=2R 注: 其中R 表示三角形的外接圆半径余弦定理b2=a2+c2-2accosB 注:角B是边a和边c的夹角乘法与因式分a2-b2=(a+b)(a—b) a3+b3=(a+b)(a2-ab+b2) a3-b3=(a—b(a2+ab+b2)三角不等式|a+b|≤|a|+|b||a—b|≤|a|+|b| |a|≤b<=〉-b≤a≤b|a-b|≥|a|—|b|-|a|≤a≤|a|一元二次方程的解-b+√(b2—4ac)/2a —b-√(b2—4ac)/2a根与系数的关系x1+x2=—b/a x1*x2=c/a 注:韦达定理判别式b2—4a=0 注:方程有相等的两实根b2-4ac>0 注:方程有两个不相等的个实根b2-4ac<0 注:方程有共轭复数根公式分类公式表达式圆的标准方程(x—a)2+(y—b)2=r2 注:(a,b)是圆心坐标圆的一般方程x2+y2+Dx+Ey+F=0 注:D2+E2-4F〉0抛物线标准方程y2=2px y2=—2px x2=2py x2=-2py直棱柱侧面积S=c*h 斜棱柱侧面积S=c’*h正棱锥侧面积S=1/2c*h' 正棱台侧面积S=1/2(c+c’)h'圆台侧面积S=1/2(c+c')l=pi(R+r)l 球的表面积S=4pi*r2圆柱侧面积S=c*h=2pi*h 圆锥侧面积S=1/2*c*l=pi*r*l弧长公式l=a*r a是圆心角的弧度数r 〉0 扇形面积公式s=1/2*l*r锥体体积公式V=1/3*S*H 圆锥体体积公式V=1/3*pi*r2h斜棱柱体积V=S’L 注:其中,S’是直截面面积,L是侧棱长柱体体积公式V=s*h 圆柱体V=pi*r2h图形周长面积体积公式长方形的周长=(长+宽)×2正方形的周长=边长×4长方形的面积=长×宽正方形的面积=边长×边长三角形的面积已知三角形底a,高h,则S=ah/2已知三角形三边a,b,c,半周长p,则S=√[p(p - a)(p —b)(p —c)](海伦公式)(p =(a+b+c)/2)和:(a+b+c)*(a+b—c)*1/4已知三角形两边a,b,这两边夹角C,则S=absinC/2设三角形三边分别为a、b、c,内切圆半径为r则三角形面积=(a+b+c)r/2设三角形三边分别为a、b、c,外接圆半径为r则三角形面积=abc/4r已知三角形三边a、b、c,则S=√{1/4[c^2a^2—((c^2+a^2-b^2)/2)^2]}(“三斜求积" 南宋秦九韶)| a b 1 |S△=1/2 * | c d 1 || e f 1 |【| a b 1 || c d 1 |为三阶行列式,此三角形ABC在平面直角坐标系内A(a,b),B(c,d), C(e, f),这里ABC|e f 1 |选区取最好按逆时针顺序从右上角开始取,因为这样取得出的结果一般都为正值,如果不按这个规则取,可能会得到负值,但不要紧,只要取绝对值就可以了,不会影响三角形面积的大小!】秦九韶三角形中线面积公式:S=√[(Ma+Mb+Mc)*(Mb+Mc-Ma)*(Mc+Ma—Mb)*(Ma+Mb-Mc)]/3其中Ma,Mb,Mc为三角形的中线长。
1.1 集合的概念与运算(1)元素a 和集合A 之间的关系:a ∈A ,或a ∉A ;(2)常用数集: 自然数集:N 正整数集:*N 或N +整数集:Z 有理数集:Q 实数集:R子集(1)定义:A 中的任何元素都属于B ,则A 叫B 的子集 ;记作:A ⊆B ,注意:A ⊆B 时,A 有两种情况:A =φ与A ≠φ(2)性质:①A A A ⊆⊆φ,;②若C B B A ⊆⊆,,则C A ⊆; ③若A B B A ⊆⊆,则A =B ; 真子集(1)定义:A 是B 的子集 ,且B 中至少有一个元素不属于A ;记作:B A ⊂; (2)性质:①,A A φφ≠⊂;②若,A B B C ⊂⊂,则A C ⊂; 补集:(1)定义:记作:},|{A x U x x A C U ∉∈=且;(2)性质:A A C C U A C A A C A U UU U ===)(,, φ; 交集与并集 (1)交集:{|,且}AB x x A x B =∈∈性质:①φφ== A A A A , ②若B B A = ,则A B ⊆ (2)并集:{|,或}AB x x A x B =∈∈性质:①A A A A A ==φ , ②若B B A = ,则B A ⊆集合运算中常用结论 (1)U U AB A A B B A BC B C A =⇔=⇔⊆⇔⊆(2)含n 个元素的集合的所有子集有n 2个简易逻辑真值表:p 或q ,同假为假,否则为真; p 且q ,同真为真, 否则为假; 非p ,真假相反。
四种命题(1)命题的四种形式:原命题:若p 则q ; 逆命题:若q 则p ; 否命题:若⌝p 则⌝q ; 逆否命题:若⌝q 则⌝p ; 注意:①互为逆否的两个命题是等价的; ②“命题的否定”与“否命题” 不同;(2)利用集合之间的包含关系判断命题之间的充要关系 设满足条件p 的元素构成集合A , 满足条件q 的元素构成集合B①若A B ⊆,则p 是q 成立的充分条件; ②若A B =,则p 是q 的充要条件; ③若A B ⊂,则p 是q 的充分不必要条件;④若,且A B B A ⊄⊄,则p 是q 的既不充分也不必要条件。
高中数学公式与定理大全(最全)word资料高中数学公式与定理大全数学公式抛物线:y = ax *+ bx + c就是y等于ax 的平方加上bx再加上ca > 0时开口向上a < 0时开口向下c = 0时抛物线经过原点b = 0时抛物线对称轴为y轴还有顶点式y = a(x+h)* + k就是y等于a乘以(x+h)的平方+k-h是顶点坐标的xk是顶点坐标的y一般用于求最大值与最小值抛物线标准方程:y^2=2px它表示抛物线的焦点在x的正半轴上,焦点坐标为(p/2,0) 准线方程为x=-p/2 由于抛物线的焦点可在任意半轴,故共有标准方程y^2=2px y^2=-2px x^2=2py x^2=-2py圆:体积=4/3(pi)(r^3)面积=(pi)(r^2)周长=2(pi)r圆的标准方程(x-a)2+(y-b)2=r2 注:(a,b)是圆心坐标圆的一般方程x2+y2+Dx+Ey+F=0 注:D2+E2-4F>0(一)椭圆周长计算公式椭圆周长公式:L=2πb+4(a-b)椭圆周长定理:椭圆的周长等于该椭圆短半轴长为半径的圆周长(2πb)加上四倍的该椭圆长半轴长(a)与短半轴长(b)的差。
(二)椭圆面积计算公式椭圆面积公式:S=πab椭圆面积定理:椭圆的面积等于圆周率(π)乘该椭圆长半轴长(a)与短半轴长(b)的乘积。
以上椭圆周长、面积公式中虽然没有出现椭圆周率T,但这两个公式都是通过椭圆周率T推导演变而来。
常数为体,公式为用。
椭圆形物体体积计算公式椭圆的长半径*短半径*PAI*高三角函数:两角和公式sin(A+B)=sinAcosB+cosAsinB sin(A-B)=sinAcosB-sinBcosAcos(A+B)=cosAcosB-sinAsinB cos(A-B)=cosAcosB+sinAsinBtan(A+B)=(tanA+tanB)/(1-tanAtanB) tan(A-B)=(tanA-tanB)/(1+tanAtanB) cot(A+B)=(cotAcotB-1)/(cotB+cotA) cot(A-B)=(cotAcotB+1)/(cotB-cotA)倍角公式tan2A=2tanA/(1-tan2A) cot2A=(cot2A-1)/2cotacos2a=cos2a-sin2a=2cos2a-1=1-2sin2asinα+sin(α+2π/n)+sin(α+2π*2/n)+sin(α+2π*3/n)+……+sin[α+2π*(n-1)/n]=0 cosα+cos(α+2π/n)+cos(α+2π*2/n)+cos(α+2π*3/n)+……+cos[α+2π*(n-1)/n]=0以及sin^2(α)+sin^2(α-2π/3)+sin^2(α+2π/3)=3/2tanAtanBtan(A+B)+tanA+tanB-tan(A+B)=0·万能公式:sinα=2tan(α/2)/[1+tan^2(α/2)]cosα=[1-tan^2(α/2)]/[1+tan^2(α/2)]tanα=2tan(α/2)/[1-tan^2(α/2)]半角公式sin(A/2)=√((1-cosA)/2) sin(A/2)=-√((1-cosA)/2)cos(A/2)=√((1+cosA)/2) cos(A/2)=-√((1+cosA)/2)tan(A/2)=√((1-cosA)/((1+cosA)) tan(A/2)=-√((1-cosA)/((1+cosA))cot(A/2)=√((1+cosA)/((1-cosA)) cot(A/2)=-√((1+cosA)/((1-cosA))和差化积2sinAcosB=sin(A+B)+sin(A-B) 2cosAsinB=sin(A+B)-sin(A-B)2cosAcosB=cos(A+B)-sin(A-B) -2sinAsinB=cos(A+B)-cos(A-B)sinA+sinB=2sin((A+B)/2)cos((A-B)/2 cosA+cosB=2cos((A+B)/2)sin((A-B)/2)tanA+tanB=sin(A+B)/cosAcosB tanA-tanB=sin(A-B)/cosAcosBcotA+cotBsin(A+B)/sinAsinB -cotA+cotBsin(A+B)/sinAsinB某些数列前n项和1+2+3+4+5+6+7+8+9+…+n=n(n+1)/21+3+5+7+9+11+13+15+…+(2n-1)=n22+4+6+8+10+12+14+…+(2n)=n(n+1)1^2+2^2+3^2+4^2+5^2+6^2+7^2+8^2+…+n^2=n(n+1)(2n+1)/61^3+2^3+3^3+4^3+5^3+6^3+…n^3=(n(n+1)/2)^21*2+2*3+3*4+4*5+5*6+6*7+…+n(n+1)=n(n+1)(n+2)/3正弦定理a/sinA=b/sinB=c/sinC=2R 注:其中R 表示三角形的外接圆半径余弦定理b2=a2+c2-2accosB 注:角B是边a和边c的夹角乘法与因式分a2-b2=(a+b)(a-b) a3+b3=(a+b)(a2-ab+b2)a3-b3=(a-b(a2+ab+b2)三角不等式|a+b|≤|a|+|b| |a-b|≤|a|+|b| |a|≤b<=>-b≤a≤b|a-b|≥|a|-|b| -|a|≤a≤|a|一元二次方程的解-b+√(b2-4ac)/2a -b-√(b2-4ac)/2a根与系数的关系x1+x2=-b/a x1*x2=c/a 注:韦达定理判别式b2-4a=0 注:方程有相等的两实根b2-4ac>0 注:方程有两个不相等的个实根b2-4ac<0 注:方程有共轭复数根公式分类公式表达式圆的标准方程(x-a)2+(y-b)2=r2 注:(a,b)是圆心坐标圆的一般方程x2+y2+Dx+Ey+F=0 注:D2+E2-4F>0抛物线标准方程y2=2px y2=-2px x2=2py x2=-2py直棱柱侧面积S=c*h 斜棱柱侧面积S=c'*h正棱锥侧面积S=1/2c*h' 正棱台侧面积S=1/2(c+c')h'圆台侧面积S=1/2(c+c')l=pi(R+r)l 球的表面积S=4pi*r2圆柱侧面积S=c*h=2pi*h 圆锥侧面积S=1/2*c*l=pi*r*l弧长公式l=a*r a是圆心角的弧度数r >0 扇形面积公式s=1/2*l*r锥体体积公式V=1/3*S*H 圆锥体体积公式V=1/3*pi*r2h斜棱柱体积V=S'L 注:其中,S'是直截面面积,L是侧棱长柱体体积公式V=s*h 圆柱体V=pi*r2h图形周长面积体积公式长方形的周长=(长+宽)×2正方形的周长=边长×4长方形的面积=长×宽正方形的面积=边长×边长三角形的面积已知三角形底a,高h,则S=ah/2已知三角形三边a,b,c,半周长p,则S=√[p(p - a)(p - b)(p - c)] (海伦公式)(p=(a+b+c)/2)和:(a+b+c)*(a+b-c)*1/4已知三角形两边a,b,这两边夹角C,则S=absinC/2设三角形三边分别为a、b、c,内切圆半径为r则三角形面积=(a+b+c)r/2设三角形三边分别为a、b、c,外接圆半径为r则三角形面积=abc/4r已知三角形三边a、b、c,则S=√{1/4[c^2a^2-((c^2+a^2-b^2)/2)^2]} (“三斜求积” 南宋秦九韶)| a b 1 |S△=1/2 * | c d 1 || e f 1 |【| a b 1 || c d 1 | 为三阶行列式,此三角形ABC在平面直角坐标系内A(a,b),B(c,d),C(e,f),这里ABC| e f 1 |选区取最好按逆时针顺序从右上角开始取,因为这样取得出的结果一般都为正值,如果不按这个规则取,可能会得到负值,但不要紧,只要取绝对值就可以了,不会影响三角形面积的大小!】秦九韶三角形中线面积公式:S=√[(Ma+Mb+Mc)*(Mb+Mc-Ma)*(Mc+Ma-Mb)*(Ma+Mb-Mc)]/3其中Ma,Mb,Mc为三角形的中线长.平行四边形的面积=底×高梯形的面积=(上底+下底)×高÷2直径=半径×2 半径=直径÷2圆的周长=圆周率×直径=圆周率×半径×2圆的面积=圆周率×半径×半径长方体的表面积=(长×宽+长×高+宽×高)×2长方体的体积=长×宽×高正方体的表面积=棱长×棱长×6正方体的体积=棱长×棱长×棱长圆柱的侧面积=底面圆的周长×高圆柱的表面积=上下底面面积+侧面积圆柱的体积=底面积×高圆锥的体积=底面积×高÷3长方体(正方体、圆柱体)的体积=底面积×高平面图形名称符号周长C和面积S正方形a—边长C=4aS=a2长方形a和b-边长C=2(a+b)S=ab三角形a,b,c-三边长h-a边上的高s-周长的一半A,B,C-内角其中s=(a+b+c)/2 S=ah/2=ab/2?sinC=[s(s-a)(s-b)(s-c)]1/2=a2sinBsinC/(2sinA)数学定理1 过两点有且只有一条直线2 两点之间线段最短3 同角或等角的补角相等4 同角或等角的余角相等5 过一点有且只有一条直线和已知直线垂直6 直线外一点与直线上各点连接的所有线段中,垂线段最短7 平行公理经过直线外一点,有且只有一条直线与这条直线平行8 如果两条直线都和第三条直线平行,这两条直线也互相平行9 同位角相等,两直线平行10 内错角相等,两直线平行11 同旁内角互补,两直线平行12两直线平行,同位角相等13 两直线平行,内错角相等14 两直线平行,同旁内角互补15 定理三角形两边的和大于第三边16 推论三角形两边的差小于第三边17 三角形内角和定理三角形三个内角的和等于180°18 推论1 直角三角形的两个锐角互余19 推论2 三角形的一个外角等于和它不相邻的两个内角的和20 推论3 三角形的一个外角大于任何一个和它不相邻的内角21 全等三角形的对应边、对应角相等22边角边公理(sas) 有两边和它们的夹角对应相等的两个三角形全等23 角边角公理( asa)有两角和它们的夹边对应相等的两个三角形全等24 推论(aas) 有两角和其中一角的对边对应相等的两个三角形全等25 边边边公理(sss) 有三边对应相等的两个三角形全等26 斜边、直角边公理(hl) 有斜边和一条直角边对应相等的两个直角三角形全等27 定理1 在角的平分线上的点到这个角的两边的距离相等28 定理2 到一个角的两边的距离相同的点,在这个角的平分线上29 角的平分线是到角的两边距离相等的所有点的集合30 等腰三角形的性质定理等腰三角形的两个底角相等(即等边对等角)31 推论1 等腰三角形顶角的平分线平分底边并且垂直于底边32 等腰三角形的顶角平分线、底边上的中线和底边上的高互相重合33 推论3 等边三角形的各角都相等,并且每一个角都等于60°34 等腰三角形的判定定理如果一个三角形有两个角相等,那么这两个角所对的边也相等(等角对等边)35 推论1 三个角都相等的三角形是等边三角形36 推论2 有一个角等于60°的等腰三角形是等边三角形37 在直角三角形中,如果一个锐角等于30°那么它所对的直角边等于斜边的一半38 直角三角形斜边上的中线等于斜边上的一半39 定理线段垂直平分线上的点和这条线段两个端点的距离相等40 逆定理和一条线段两个端点距离相等的点,在这条线段的垂直平分线上41 线段的垂直平分线可看作和线段两端点距离相等的所有点的集合42 定理1 关于某条直线对称的两个图形是全等形43 定理2 如果两个图形关于某直线对称,那么对称轴是对应点连线的垂直平分线44定理3 两个图形关于某直线对称,如果它们的对应线段或延长线相交,那么交点在对称轴上45逆定理如果两个图形的对应点连线被同一条直线垂直平分,那么这两个图形关于这条直线对称46勾股定理直角三角形两直角边a、b的平方和、等于斜边c的平方,即a^2+b^2=c^247勾股定理的逆定理如果三角形的三边长a、b、c有关系a^2+b^2=c^2 ,那么这个三角形是直角三角形48定理四边形的内角和等于360°49四边形的外角和等于360°50多边形内角和定理n边形的内角的和等于(n-2)×180°51推论任意多边的外角和等于360°52平行四边形性质定理1 平行四边形的对角相等53平行四边形性质定理2 平行四边形的对边相等54推论夹在两条平行线间的平行线段相等55平行四边形性质定理3 平行四边形的对角线互相平分56平行四边形判定定理1 两组对角分别相等的四边形是平行四边形57平行四边形判定定理2 两组对边分别相等的四边形是平行四边形58平行四边形判定定理3 对角线互相平分的四边形是平行四边形59平行四边形判定定理4 一组对边平行相等的四边形是平行四边形60矩形性质定理1 矩形的四个角都是直角61矩形性质定理2 矩形的对角线相等62矩形判定定理1 有三个角是直角的四边形是矩形63矩形判定定理2 对角线相等的平行四边形是矩形64菱形性质定理1 菱形的四条边都相等65菱形性质定理2 菱形的对角线互相垂直,并且每一条对角线平分一组对角66菱形面积=对角线乘积的一半,即s=(a×b)÷267菱形判定定理1 四边都相等的四边形是菱形68菱形判定定理2 对角线互相垂直的平行四边形是菱形69正方形性质定理1 正方形的四个角都是直角,四条边都相等70正方形性质定理2正方形的两条对角线相等,并且互相垂直平分,每条对角线平分一组对角71定理1 关于中心对称的两个图形是全等的72定理2 关于中心对称的两个图形,对称点连线都经过对称中心,并且被对称中心平分73逆定理如果两个图形的对应点连线都经过某一点,并且被这一点平分,那么这两个图形关于这一点对称74等腰梯形性质定理等腰梯形在同一底上的两个角相等75等腰梯形的两条对角线相等76等腰梯形判定定理在同一底上的两个角相等的梯形是等腰梯形77对角线相等的梯形是等腰梯形78平行线等分线段定理如果一组平行线在一条直线上截得的线段相等,那么在其他直线上截得的线段也相等79 推论1 经过梯形一腰的中点与底平行的直线,必平分另一腰80 推论2 经过三角形一边的中点与另一边平行的直线,必平分第三边81 三角形中位线定理三角形的中位线平行于第三边,并且等于它的一半82 梯形中位线定理梯形的中位线平行于两底,并且等于两底和的一半l=(a+b)÷2 s=l×h83 (1)比例的基本性质如果a:b=c:d,那么ad=bc 如果ad=bc,那么a:b=c:d84 (2)合比性质如果a/b=c/d,那么(a±b)/b=(c±d)/d85 (3)等比性质如果a/b=c/d=…=m/n(b+d+…+n≠0),那么(a+c+…+m)/(b+d+…+n)=a/b86 平行线分线段成比例定理三条平行线截两条直线,所得的对应线段成比例87 推论平行于三角形一边的直线截其他两边(或两边的延长线),所得的对应线段成比例88 定理如果一条直线截三角形的两边(或两边的延长线)所得的对应线段成比例,那么这条直线平行于三角形的第三边89 平行于三角形的一边,并且和其他两边相交的直线,所截得的三角形的三边与原三角形三边对应成比例90 定理平行于三角形一边的直线和其他两边(或两边的延长线)相交,所构成的三角形与原三角形相似91 相似三角形判定定理1 两角对应相等,两三角形相似(asa)92 直角三角形被斜边上的高分成的两个直角三角形和原三角形相似93 判定定理2 两边对应成比例且夹角相等,两三角形相似(sas)94 判定定理3 三边对应成比例,两三角形相似(sss)95 定理如果一个直角三角形的斜边和一条直角边与另一个直角三角形的斜边和一条直角边对应成比例,那么这两个直角三角形相似96 性质定理1 相似三角形对应高的比,对应中线的比与对应角平分线的比都等于相似比97 性质定理2 相似三角形周长的比等于相似比98 性质定理3 相似三角形面积的比等于相似比的平方99 任意锐角的正弦值等于它的余角的余弦值,任意锐角的余弦值等于它的余角的正弦值100任意锐角的正切值等于它的余角的余切值,任意锐角的余切值等于它的余角的正切值101圆是定点的距离等于定长的点的集合102圆的内部可以看作是圆心的距离小于半径的点的集合103圆的外部可以看作是圆心的距离大于半径的点的集合104同圆或等圆的半径相等105到定点的距离等于定长的点的轨迹,是以定点为圆心,定长为半径的圆106和已知线段两个端点的距离相等的点的轨迹,是着条线段的垂直平分线107到已知角的两边距离相等的点的轨迹,是这个角的平分线108到两条平行线距离相等的点的轨迹,是和这两条平行线平行且距离相等的一条直线109定理不在同一直线上的三点确定一个圆。
数学公式定律概念总结大全数学公式、定律和概念是数学领域的基础,也是数学知识体系的重要组成部分。
本文将给出数学公式、定律和概念的总结,供读者参考。
下面是数学公式、定律和概念的详细解释。
一、数学公式1.傅里叶级数公式:用正弦和余弦函数的级数来表示一个周期函数。
傅里叶级数公式的一般表达式如下:f(x) = a₀ + Σ(aₙcos(nx) + bₙsin(nx))其中a₀,aₙ,bₙ为待定系数。
2.二项式定理:用于计算二项式的展开式。
二项式定理的表达式如下:(a+b)ⁿ=ΣC(n,k)a^(n-k)b^k,其中C(n,k)为二项式系数。
3.欧拉公式:描述了复数与三角函数之间的关系。
欧拉公式的表达式如下:e^(ix) = cos(x) + isin(x),其中e为自然对数的底,i为单位虚数单位。
4.洛必达法则:一种求解不定型的极限问题的方法。
洛必达法则表达式如下:lim(x→a)(f(x)/g(x)) = lim(x→a)(f'(x)/g'(x)),其中f(x)和g(x)为函数,a为常数。
5.泰勒展开式:将函数表示为无穷级数的形式,用于近似计算复杂函数的值。
泰勒展开式的表达式如下:f(x)=f(a)+f'(a)(x-a)+f''(a)(x-a)²/2!+...,其中f(x)为函数,a为常数。
二、数学定律1.皮亚诺定理:描述了整数被除数除以整数除数的商和余数之间的关系。
皮亚诺定理的表述如下:对于任意的整数a和正整数b,存在唯一的整数q和r,使得a = bq + r,其中0 ≤ r < b。
2.贝祖定理:描述了两个整数的最大公约数与其线性表示之间的关系。
贝祖定理的表述如下:对于任意的整数a、b和它们的最大公约数d,存在整数x和y,使得ax + by = d。
3.矩阵行列式性质定理:描述了行列式的性质和计算方法。
矩阵行列式性质定理的表述如下:-行列式互换两行(列),行列式变号。
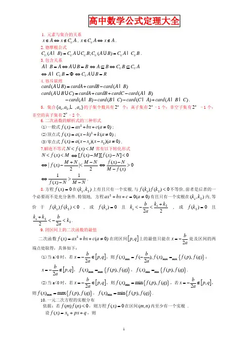
高中数学常用公式定理1. 元素与集合的关系U x A x C A ∈⇔∉,U x C A x A ∈⇔∉. 2.包含关系A B A A B B =⇔=U U A B C B C A ⇔⊆⇔⊆3.集合A 中有n )(N n ∈个元素,则集合A 的所有不同子集个数共有n 2个;真子集有2n –1个;非空子集有2n –1个;非空的真子集有2n –2个.4. 二次函数c bx ax y ++=2的图象的对称轴方程是abx 2-=,顶点坐标是⎪⎪⎭⎫ ⎝⎛--a b ac a b 4422, 二次函数的解析式的三种形式: (1)一般式2()(0)f x ax bx c a =++≠; (2)顶点式2()()(0)f x a x h k a =-+≠; (3)零点式12()()()(0)f x a x x x x a =--≠.5.解连续不等式()N f x M <<常有以下转化形式:()N f x M <<⇔[()][()]0f x M f x N --<6. 方程有实数根函数的图象与x 轴有交点函数有零点.零点存在性定理:函数在区间上的图像是连续的,且,那么函数在区间上至少有一个零点. 即存在,使得,这个c 也就是方程的根.7.闭区间上的二次函数的最值二次函数)0()(2≠++=a c bx ax x f 在闭区间[]q p ,上的最值只能在abx 2-=处及区间的两端点处取得. 8.()0f x =⇔()y f x =⇔()y f x =[,]a b ()()0f a f b <()f x [,]a b (,)c a b ∈()0f c =()0f x =9.10.逆命题若q则p互否逆否命题注意:全称命题与存在命题的否定关系。
11.充要条件:(1)充分条件:若p q⇒,则p是q充分条件.(2)必要条件:若q p⇒,则p是q必要条件.(3)充要条件:若p q⇒,且q p⇒,则p是q充要条件.注:如果甲是乙的充分条件,则乙是甲的必要条件;反之亦然.12.函数的单调性(1)设[]2121,,xxbaxx≠∈⋅那么[]1212()()()0x x f x f x-->⇔[]b axfxxxfxf,)()()(2121在⇔>--上是增函数;[]1212()()()0x x f x f x --<⇔[]b a x f x x x f x f ,)(0)()(2121在⇔<--上是减函数.(2)设函数)(x f y =在某个区间内可导,如果0)(>'x f ,则)(x f 为增函数;如果0)(<'x f ,则)(x f 为减函数.13.如果函数)(x f 和)(x g 都是减函数,则在公共定义域内,和函数)()(x g x f +也是减函数; 如果函数)(u f y =和)(x g u =在其对应的定义域上都是减函数,则复合函数)]([x g f y =是增函数. 复合函数的单调性口诀:同增异减.14.奇偶函数的图象特征奇函数的图象关于原点对称,偶函数的图象关于y 轴对称;反过来,如果一个函数的图象关于原点对称,那么这个函数是奇函数;如果一个函数的图象关于y 轴对称,那么这个函数是偶函数.15.若函数)(x f y =是偶函数,则)()(a x f a x f --=+;若函数)(a x f y +=是偶函数,则)()(a x f a x f +-=+.16.对于函数)(x f y =(R x ∈),)()(x b f a x f -=+恒成立,则函数)(x f 的对称轴是函数2ba x +=;两个函数)(a x f y +=与)(xb f y -= 的图象关于直线2ba x +=对称. 17. 函数()y f x =的图象的对称性: ①函数()y f x =的图象关于直线x a =对称()()f a x f a x ⇔+=-(2)()f a x f x ⇔-=.②函数()y f x =与函数()y f x =-的图象关于直线0x =(即y 轴)对称.18.多项式函数110()n n n n P x a x a x a --=+++的奇偶性多项式函数()P x 是奇函数⇔()P x 的偶次项(即奇数项)的系数全为零.多项式函数()P x 是偶函数⇔()P x 的奇次项(即偶数项)的系数全为零.19.函数()y f x =的图象的对称性函数()y f x =的图象关于直线x a =对称()()f a x f a x ⇔+=-(2)()f a x f x ⇔-=.20.若将函数)(x f y =的图象右移a 、上移b 个单位,得到函数b a x f y +-=)(的图象;若将曲线0),(=y x f 的图象右移a 、上移b 个单位,得到曲线0),(=--b y a x f 的图象. 21.几个函数方程的周期(约定a>0)(1))()(a x f x f +=,则)(x f 的周期T=a ; (2)0)()(=+=a x f x f ,或)0)(()(1)(≠=+x f x f a x f , 或1()()f x a f x +=-(()0)f x ≠,则)(x f 的周期T=2a ; 22.分数指数幂 :(1)m na =0,,a m n N *>∈,且1n >). (2)1m nm naa-=(0,,a m n N *>∈,且1n >).23.根式的性质:(1)n a =.(2)当na =; 当n,0||,0a a a a a ≥⎧==⎨-<⎩.24.有理指数幂的运算性质:(1) (0,,)r s r s a a a a r s Q +⋅=>∈. (2) ()(0,,)r s rs a a a r s Q =>∈. (3)()(0,0,)r r r ab a b a b r Q =>>∈.注: 若a >0,p 是一个无理数,则a p 表示一个确定的实数.上述有理指数幂的运算性质,对于无理数指数幂都适用. 25.指数式与对数式的互化式:log ba Nb a N =⇔=(0,1,0)a a N >≠>. 26.对数的换底公式log log log m a m NN a=(0a >,且1a ≠,0m >,且1m ≠, 0N >). 推论 log log m n a a nb b m =(0a >,且1a >,,0m n >,且1m ≠,1n ≠,0N >).若a >0,a ≠1,M >0,N >0,则 (1)log ()log log a a a MN M N =+;(2) log log log aa a MM N N=-; (3)log log ()n a a M n M n R =∈.27.设函数)0)((log )(2≠++=a c bx ax x f m ,记ac b 42-=∆.若)(x f 的定义域为R ,则0>a ,且0<∆;若)(x f 的值域为R ,则0>a ,且0≥∆.对于0=a 的情形,需要单独检验. 28. 平均增长率的问题如果原来产值的基础数为N ,平均增长率为p ,则对于时间x 的总产值y ,有(1)x y N p =+.29.数列的同项公式与前n 项的和的关系11,1,2n n n s n a s s n -=⎧=⎨-≥⎩( 数列{}n a 的前n 项的和为12n n s a a a =+++).30.等差数列的通项公式*11(1)()n a a n d dn a d n N =+-=+-∈;其前n 项和公式为1()2n n n a a s +=1(1)2n n na d -=+211()22d n a d n =+-. 31.等比数列的通项公式1*11()n nn a a a q q n N q-==⋅∈; 其前n 项的和公式为11(1),11,1n n a q q s q na q ⎧-≠⎪=-⎨⎪=⎩或11,11,1n n a a qq q s na q -⎧≠⎪-=⎨⎪=⎩. 32.若m 、n 、p 、q ∈N ,且q p n m +=+,那么:当数列{}n a 是等差数列时,有q p n m a a a a +=+;当数列{}n a 是等比数列时,有q p n m a a a a ⋅=⋅。
高中数学公式定理大全有了这些,普通题、难题、偏题、怪题、竞赛题都不是问题,熟练掌握、灵活运用,大大提高解题效率、节省宝贵时间!公式:抛物线:y = ax *+ bx + c就是y等于ax 的平方加上bx再加上ca > 0时开口向上a < 0时开口向下c = 0时抛物线经过原点b = 0时抛物线对称轴为y轴还有顶点式y = a(x+h)* + k就是y等于a乘以(x+h)的平方+k-h是顶点坐标的xk是顶点坐标的y一般用于求最大值与最小值抛物线标准方程:y^2=2px它表示抛物线的焦点在x的正半轴上,焦点坐标为(p/2,0) 准线方程为x=-p/2由于抛物线的焦点可在任意半轴,故共有标准方程y^2=2px y^2=-2px x^2=2py x^2=-2py圆:体积=4/3(pi)(r^3)面积=(pi)(r^2)周长=2(pi)r圆的标准方程(x-a)2+(y-b)2=r2 注:(a,b)是圆心坐标圆的一般方程x2+y2+Dx+Ey+F=0 注:D2+E2-4F>0(一)椭圆周长计算公式椭圆周长公式:L=2πb+4(a-b)椭圆周长定理:椭圆的周长等于该椭圆短半轴长为半径的圆周长(2πb)加上四倍的该椭圆长半轴长(a)与短半轴长(b)的差。
(二)椭圆面积计算公式椭圆面积公式:S=πab椭圆面积定理:椭圆的面积等于圆周率(π)乘该椭圆长半轴长(a)与短半轴长(b)的乘积。
以上椭圆周长、面积公式中虽然没有出现椭圆周率T,但这两个公式都是通过椭圆周率T 推导演变而来。
常数为体,公式为用。
椭圆形物体体积计算公式椭圆的长半径*短半径*PAI*高三角函数:两角和公式sin(A+B)=sinAcosB+cosAsinB sin(A-B)=sinAcosB-sinBcosAcos(A+B)=cosAcosB-sinAsinB cos(A-B)=cosAcosB+sinAsinBtan(A+B)=(tanA+tanB)/(1-tanAtanB) tan(A-B)=(tanA-tanB)/(1+tanAtanB)cot(A+B)=(cotAcotB-1)/(cotB+cotA) cot(A-B)=(cotAcotB+1)/(cotB-cotA)倍角公式tan2A=2tanA/(1-tan2A) cot2A=(cot2A-1)/2cotacos2a=cos2a-sin2a=2cos2a-1=1-2sin2asinα+sin(α+2π/n)+sin(α+2π*2/n)+sin(α+2π*3/n)+……+sin[α+2π*(n-1)/n]=0cosα+cos(α+2π/n)+cos(α+2π*2/n)+cos(α+2π*3/n)+……+cos[α+2π*(n-1)/n]=0 以及sin^2(α)+sin^2(α-2π/3)+sin^2(α+2π/3)=3/2tanAtanBtan(A+B)+tanA+tanB-tan(A+B)=0四倍角公式:sin4A=-4*(cosA*sinA*(2*sinA^2-1))cos4A=1+(-8*cosA^2+8*cosA^4)tan4A=(4*tanA-4*tanA^3)/(1-6*tanA^2+tanA^4)五倍角公式:sin5A=16sinA^5-20sinA^3+5sinAcos5A=16cosA^5-20cosA^3+5cosAtan5A=tanA*(5-10*tanA^2+tanA^4)/(1-10*tanA^2+5*tanA^4)六倍角公式:sin6A=2*(cosA*sinA*(2*sinA+1)*(2*sinA-1)*(-3+4*sinA^2))cos6A=((-1+2*cosA^2)*(16*cosA^4-16*cosA^2+1))tan6A=(-6*tanA+20*tanA^3-6*tanA^5)/(-1+15*tanA^2-15*tanA^4+tanA^6)七倍角公式:sin7A=-(sinA*(56*sinA^2-112*sinA^4-7+64*sinA^6))cos7A=(cosA*(56*cosA^2-112*cosA^4+64*cosA^6-7))tan7A=tanA*(-7+35*tanA^2-21*tanA^4+tanA^6)/(-1+21*tanA^2-35*tanA^4+7*tanA^6)八倍角公式:sin8A=-8*(cosA*sinA*(2*sinA^2-1)*(-8*sinA^2+8*sinA^4+1))cos8A=1+(160*cosA^4-256*cosA^6+128*cosA^8-32*cosA^2)tan8A=-8*tanA*(-1+7*tanA^2-7*tanA^4+tanA^6)/(1-28*tanA^2+70*tanA^4-28*tanA^6+tan A^8)九倍角公式:sin9A=(sinA*(-3+4*sinA^2)*(64*sinA^6-96*sinA^4+36*sinA^2-3))cos9A=(cosA*(-3+4*cosA^2)*(64*cosA^6-96*cosA^4+36*cosA^2-3))tan9A=tanA*(9-84*tanA^2+126*tanA^4-36*tanA^6+tanA^8)/(1-36*tanA^2+126*tanA^4-84*t anA^6+9*tanA^8)十倍角公式:sin10A=2*(cosA*sinA*(4*sinA^2+2*sinA-1)*(4*sinA^2-2*sinA-1)*(-20*sinA^2+5+16*sinA ^4))cos10A=((-1+2*cosA^2)*(256*cosA^8-512*cosA^6+304*cosA^4-48*cosA^2+1))tan10A=-2*tanA*(5-60*tanA^2+126*tanA^4-60*tanA^6+5*tanA^8)/(-1+45*tanA^2-210*tan A^4+210*tanA^6-45*tanA^8+tanA^10)·万能公式:sinα=2tan(α/2)/[1+tan^2(α/2)]cosα=[1-tan^2(α/2)]/[1+tan^2(α/2)]tanα=2tan(α/2)/[1-tan^2(α/2)]半角公式sin(A/2)=√((1-cosA)/2) sin(A/2)=-√((1-cosA)/2)cos(A/2)=√((1+cosA)/2) cos(A/2)=-√((1+cosA)/2)tan(A/2)=√((1-cosA)/((1+cosA)) tan(A/2)=-√((1-cosA)/((1+cosA))cot(A/2)=√((1+cosA)/((1-cosA)) cot(A/2)=-√((1+cosA)/((1-cosA))和差化积2sinAcosB=sin(A+B)+sin(A-B) 2cosAsinB=sin(A+B)-sin(A-B)2cosAcosB=cos(A+B)-sin(A-B) -2sinAsinB=cos(A+B)-cos(A-B)sinA+sinB=2sin((A+B)/2)cos((A-B)/2 cosA+cosB=2cos((A+B)/2)sin((A-B)/2)tanA+tanB=sin(A+B)/cosAcosB tanA-tanB=sin(A-B)/cosAcosBcotA+cotBsin(A+B)/sinAsinB -cotA+cotBsin(A+B)/sinAsinB某些数列前n项和1+2+3+4+5+6+7+8+9+…+n=n(n+1)/2 1+3+5+7+9+11+13+15+…+(2n-1)=n22+4+6+8+10+12+14+…+(2n)=n(n+1) 1^2+2^2+3^2+4^2+5^2+6^2+7^2+8^2+…+n^2=n(n+1)(2n+1)/61^3+2^3+3^3+4^3+5^3+6^3+…n^3=(n(n+1)/2)^2 1*2+2*3+3*4+4*5+5*6+6*7+…+n(n+1)=n(n+1)(n+2)/3正弦定理a/sinA=b/sinB=c/sinC=2R 注:其中R 表示三角形的外接圆半径余弦定理b2=a2+c2-2accosB 注:角B是边a和边c的夹角乘法与因式分a2-b2=(a+b)(a-b) a3+b3=(a+b)(a2-ab+b2) a3-b3=(a-b(a2+ab+b2)三角不等式|a+b|≤|a|+|b| |a-b|≤|a|+|b| |a|≤b<=>-b≤a≤b|a-b|≥|a|-|b| -|a|≤a≤|a|一元二次方程的解-b+√(b2-4ac)/2a -b-√(b2-4ac)/2a根与系数的关系x1+x2=-b/a x1*x2=c/a 注:韦达定理判别式b2-4a=0 注:方程有相等的两实根b2-4ac>0 注:方程有两个不相等的个实根b2-4ac<0 注:方程有共轭复数根公式分类公式表达式圆的标准方程(x-a)2+(y-b)2=r2 注:(a,b)是圆心坐标圆的一般方程x2+y2+Dx+Ey+F=0 注:D2+E2-4F>0抛物线标准方程y2=2px y2=-2px x2=2py x2=-2py直棱柱侧面积S=c*h 斜棱柱侧面积S=c'*h正棱锥侧面积S=1/2c*h' 正棱台侧面积S=1/2(c+c')h'圆台侧面积S=1/2(c+c')l=pi(R+r)l 球的表面积S=4pi*r2圆柱侧面积S=c*h=2pi*h 圆锥侧面积S=1/2*c*l=pi*r*l弧长公式l=a*r a是圆心角的弧度数r >0 扇形面积公式s=1/2*l*r锥体体积公式V=1/3*S*H 圆锥体体积公式V=1/3*pi*r2h斜棱柱体积V=S'L 注:其中,S'是直截面面积,L是侧棱长柱体体积公式V=s*h 圆柱体V=pi*r2h图形周长面积体积公式长方形的周长=(长+宽)×2正方形的周长=边长×4长方形的面积=长×宽正方形的面积=边长×边长三角形的面积已知三角形底a,高h,则S=ah/2已知三角形三边a,b,c,半周长p,则S=√[p(p - a)(p - b)(p - c)] (海伦公式)(p=(a+b+c)/2)和:(a+b+c)*(a+b-c)*1/4已知三角形两边a,b,这两边夹角C,则S=absinC/2设三角形三边分别为a、b、c,内切圆半径为r则三角形面积=(a+b+c)r/2设三角形三边分别为a、b、c,外接圆半径为r则三角形面积=abc/4r已知三角形三边a、b、c,则S=√{1/4[c^2a^2-((c^2+a^2-b^2)/2)^2]} (“三斜求积” 南宋秦九韶)| a b 1 |S△=1/2 * | c d 1 || e f 1 |【| a b 1 || c d 1 | 为三阶行列式,此三角形ABC在平面直角坐标系内A(a,b),B(c,d), C(e,f),这里ABC | e f 1 |选区取最好按逆时针顺序从右上角开始取,因为这样取得出的结果一般都为正值,如果不按这个规则取,可能会得到负值,但不要紧,只要取绝对值就可以了,不会影响三角形面积的大小!】秦九韶三角形中线面积公式:S=√[(Ma+Mb+Mc)*(Mb+Mc-Ma)*(Mc+Ma-Mb)*(Ma+Mb-Mc)]/3其中Ma,Mb,Mc为三角形的中线长.平行四边形的面积=底×高梯形的面积=(上底+下底)×高÷2直径=半径×2 半径=直径÷2圆的周长=圆周率×直径=圆周率×半径×2圆的面积=圆周率×半径×半径长方体的表面积=(长×宽+长×高+宽×高)×2长方体的体积=长×宽×高正方体的表面积=棱长×棱长×6正方体的体积=棱长×棱长×棱长圆柱的侧面积=底面圆的周长×高圆柱的表面积=上下底面面积+侧面积圆柱的体积=底面积×高圆锥的体积=底面积×高÷3长方体(正方体、圆柱体)的体积=底面积×高平面图形名称符号周长C和面积S正方形a—边长C=4aS=a2长方形a和b-边长C=2(a+b)S=ab三角形a,b,c-三边长h-a边上的高s-周长的一半A,B,C-内角其中s=(a+b+c)/2 S=ah/2=ab/2?sinC=[s(s-a)(s-b)(s-c)]1/2=a2sinBsinC/(2sinA)定理:1 过两点有且只有一条直线2 两点之间线段最短3 同角或等角的补角相等4 同角或等角的余角相等5 过一点有且只有一条直线和已知直线垂直6 直线外一点与直线上各点连接的所有线段中,垂线段最短7 平行公理经过直线外一点,有且只有一条直线与这条直线平行8 如果两条直线都和第三条直线平行,这两条直线也互相平行9 同位角相等,两直线平行10 内错角相等,两直线平行11 同旁内角互补,两直线平行12两直线平行,同位角相等13 两直线平行,内错角相等14 两直线平行,同旁内角互补15 定理三角形两边的和大于第三边16 推论三角形两边的差小于第三边17 三角形内角和定理三角形三个内角的和等于180°18 推论1 直角三角形的两个锐角互余19 推论2 三角形的一个外角等于和它不相邻的两个内角的和20 推论3 三角形的一个外角大于任何一个和它不相邻的内角21 全等三角形的对应边、对应角相等22边角边公理(sas) 有两边和它们的夹角对应相等的两个三角形全等23 角边角公理( asa)有两角和它们的夹边对应相等的两个三角形全等24 推论(aas) 有两角和其中一角的对边对应相等的两个三角形全等25 边边边公理(sss) 有三边对应相等的两个三角形全等26 斜边、直角边公理(hl) 有斜边和一条直角边对应相等的两个直角三角形全等27 定理1 在角的平分线上的点到这个角的两边的距离相等28 定理2 到一个角的两边的距离相同的点,在这个角的平分线上29 角的平分线是到角的两边距离相等的所有点的集合30 等腰三角形的性质定理等腰三角形的两个底角相等(即等边对等角)31 推论1 等腰三角形顶角的平分线平分底边并且垂直于底边32 等腰三角形的顶角平分线、底边上的中线和底边上的高互相重合33 推论3 等边三角形的各角都相等,并且每一个角都等于60°34 等腰三角形的判定定理如果一个三角形有两个角相等,那么这两个角所对的边也相等(等角对等边)35 推论1 三个角都相等的三角形是等边三角形36 推论2 有一个角等于60°的等腰三角形是等边三角形37 在直角三角形中,如果一个锐角等于30°那么它所对的直角边等于斜边的一半38 直角三角形斜边上的中线等于斜边上的一半39 定理线段垂直平分线上的点和这条线段两个端点的距离相等40 逆定理和一条线段两个端点距离相等的点,在这条线段的垂直平分线上41 线段的垂直平分线可看作和线段两端点距离相等的所有点的集合42 定理1 关于某条直线对称的两个图形是全等形43 定理2 如果两个图形关于某直线对称,那么对称轴是对应点连线的垂直平分线44定理3 两个图形关于某直线对称,如果它们的对应线段或延长线相交,那么交点在对称轴上45逆定理如果两个图形的对应点连线被同一条直线垂直平分,那么这两个图形关于这条直线对称46勾股定理直角三角形两直角边a、b的平方和、等于斜边c的平方,即a^2+b^2=c^2 47勾股定理的逆定理如果三角形的三边长a、b、c有关系a^2+b^2=c^2 ,那么这个三角形是直角三角形48定理四边形的内角和等于360°49四边形的外角和等于360°50多边形内角和定理n边形的内角的和等于(n-2)×180°51推论任意多边的外角和等于360°52平行四边形性质定理1 平行四边形的对角相等53平行四边形性质定理2 平行四边形的对边相等54推论夹在两条平行线间的平行线段相等55平行四边形性质定理3 平行四边形的对角线互相平分56平行四边形判定定理1 两组对角分别相等的四边形是平行四边形57平行四边形判定定理2 两组对边分别相等的四边形是平行四边形58平行四边形判定定理3 对角线互相平分的四边形是平行四边形59平行四边形判定定理4 一组对边平行相等的四边形是平行四边形60矩形性质定理1 矩形的四个角都是直角61矩形性质定理2 矩形的对角线相等62矩形判定定理1 有三个角是直角的四边形是矩形63矩形判定定理2 对角线相等的平行四边形是矩形64菱形性质定理1 菱形的四条边都相等65菱形性质定理2 菱形的对角线互相垂直,并且每一条对角线平分一组对角66菱形面积=对角线乘积的一半,即s=(a×b)÷267菱形判定定理1 四边都相等的四边形是菱形68菱形判定定理2 对角线互相垂直的平行四边形是菱形69正方形性质定理1 正方形的四个角都是直角,四条边都相等70正方形性质定理2正方形的两条对角线相等,并且互相垂直平分,每条对角线平分一组对角71定理1 关于中心对称的两个图形是全等的72定理2 关于中心对称的两个图形,对称点连线都经过对称中心,并且被对称中心平分73逆定理如果两个图形的对应点连线都经过某一点,并且被这一点平分,那么这两个图形关于这一点对称74等腰梯形性质定理等腰梯形在同一底上的两个角相等75等腰梯形的两条对角线相等76等腰梯形判定定理在同一底上的两个角相等的梯形是等腰梯形77对角线相等的梯形是等腰梯形78平行线等分线段定理如果一组平行线在一条直线上截得的线段相等,那么在其他直线上截得的线段也相等79 推论1 经过梯形一腰的中点与底平行的直线,必平分另一腰80 推论2 经过三角形一边的中点与另一边平行的直线,必平分第三边81 三角形中位线定理三角形的中位线平行于第三边,并且等于它的一半82 梯形中位线定理梯形的中位线平行于两底,并且等于两底和的一半l=(a+b)÷2 s=l×h83 (1)比例的基本性质如果a:b=c:d,那么ad=bc 如果ad=bc,那么a:b=c:d84 (2)合比性质如果a/b=c/d,那么(a±b)/b=(c±d)/d85 (3)等比性质如果a/b=c/d=…=m/n(b+d+…+n≠0),那么(a+c+…+m)/(b+d+…+n)=a /b86 平行线分线段成比例定理三条平行线截两条直线,所得的对应线段成比例87 推论平行于三角形一边的直线截其他两边(或两边的延长线),所得的对应线段成比例88 定理如果一条直线截三角形的两边(或两边的延长线)所得的对应线段成比例,那么这条直线平行于三角形的第三边89 平行于三角形的一边,并且和其他两边相交的直线,所截得的三角形的三边与原三角形三边对应成比例90 定理平行于三角形一边的直线和其他两边(或两边的延长线)相交,所构成的三角形与原三角形相似91 相似三角形判定定理1 两角对应相等,两三角形相似(asa)92 直角三角形被斜边上的高分成的两个直角三角形和原三角形相似93 判定定理2 两边对应成比例且夹角相等,两三角形相似(sas)94 判定定理3 三边对应成比例,两三角形相似(sss)95 定理如果一个直角三角形的斜边和一条直角边与另一个直角三角形的斜边和一条直角边对应成比例,那么这两个直角三角形相似96 性质定理1 相似三角形对应高的比,对应中线的比与对应角平分线的比都等于相似比97 性质定理2 相似三角形周长的比等于相似比98 性质定理3 相似三角形面积的比等于相似比的平方99 任意锐角的正弦值等于它的余角的余弦值,任意锐角的余弦值等于它的余角的正弦值100任意锐角的正切值等于它的余角的余切值,任意锐角的余切值等于它的余角的正切值101圆是定点的距离等于定长的点的集合102圆的内部可以看作是圆心的距离小于半径的点的集合103圆的外部可以看作是圆心的距离大于半径的点的集合104同圆或等圆的半径相等105到定点的距离等于定长的点的轨迹,是以定点为圆心,定长为半径的圆106和已知线段两个端点的距离相等的点的轨迹,是着条线段的垂直平分线107到已知角的两边距离相等的点的轨迹,是这个角的平分线108到两条平行线距离相等的点的轨迹,是和这两条平行线平行且距离相等的一条直线109定理不在同一直线上的三点确定一个圆。
高中数学常用公式定理以及结论大全 德胜教育打 造 品 牌 教 育 共 铸 美 好 明 天1 1. 元素与集合的关系 U x A x C A ∈⇔∉,U x C A x A ∈⇔∉. 2.德摩根公式 ();()U U U U U U C A B C A C B C A B C A C B == . 3.包含关系 A B A A B B =⇔= U U A B C B C A ⇔⊆⇔⊆U A C B ⇔=Φ U C A B R ⇔=4.容斥原理()()card A B cardA cardB card A B =+-()()card A B C cardA cardB cardC card A B =++-()()()()card A B card B C card C A card A B C ---+ .5.集合12{,,,}n a a a 的子集个数共有2n个;真子集有2n–1个;非空子集有2n–1个;非空的真子集有2n–2个.6.二次函数的解析式的三种形式(1)一般式2()(0)f x ax bx c a =++≠; (2)顶点式2()()(0)f x a x h k a =-+≠; (3)零点式12()()()(0)f x a x x x x a =--≠. 7.解连不等式()N f x M <<常有以下转化形式()N f x M <<⇔[()][()]0f x M f x N --<⇔|()|22M N M N f x +--<⇔()0()f x NM f x ->- ⇔11()f x N M N>--. 8.方程0)(=x f 在),(21k k 上有且只有一个实根,与0)()(21<k f k f 不等价,前者是后者的一个必要而不是充分条件.特别地, 方程)0(02≠=++a c bx ax 有且只有一个实根在),(21k k 内,等价于0)()(21<k f k f ,或0)(1=k f 且22211k k a bk +<-<,或0)(2=k f 且22122k abk k <-<+.9.闭区间上的二次函数的最值二次函数)0()(2≠++=a c bx ax x f 在闭区间[]q p ,上的最值只能在abx 2-=处及区间的两端点处取得,具体如下: (1)当a>0时,若[]q p abx ,2∈-=,则{}min m ax max ()(),()(),(2bf x f f x fp f q a=-=; []q p abx ,2∉-=,{}max max ()(),()f x f p f q =,{}minmin ()(),()f x f p f q =.(2)当a<0时,若[]q p abx ,2∈-=,则{}min ()min (),()f x f p f q =,若[]q p abx ,2∉-=,则{}max()maxf x f p =,{}min ()min (),()f x f p f q =.10.一元二次方程的实根分布依据:若()()0f m f n <,则方程0)(=x f 在区间(,)m n 内至少有一个实根 .设q px x x f ++=2)(,则(1)方程0)(=x f 在区间),(+∞m 内有根的充要条件为0)(=m f 或德胜教育打 造 品 牌 教 育 共 铸 美 好 明 天2 2()0()0402f m f n p q p m n >⎧⎪>⎪⎪⎨-≥⎪⎪<-<⎪⎩或()0()0f m af n =⎧⎨>⎩或()0()0f n af m =⎧⎨>⎩; (3)方程0)(=x f 在区间(,)n -∞内有根的充要条件为()0f m <或2402p q pm ⎧-≥⎪⎨-<⎪⎩ . 11.定区间上含参数的二次不等式恒成立的条件依据(1)在给定区间),(+∞-∞的子区间L (形如[]βα,,(]β,∞-,[)+∞,α不同)上含参数的二次不等式(,)0f x t ≥(t 为参数)恒成立的充要条件是min (,)0()f x t x L ≥∉.(2)在给定区间),(+∞-∞的子区间上含参数的二次不等式(,)0f x t ≥(t 为参数)恒成立的充要条件是(,)0()man f x t x L ≤∉.(3)0)(24>++=c bx ax x f 恒成立的充要条件是000a b c ≥⎧⎪≥⎨⎪>⎩或240a b ac <⎧⎨-<⎩. 12.14.四种命题的相互关系15.充要条件(1)充分条件:若p q ⇒,则p 是q 充分条件.(2)必要条件:若q p ⇒,则p 是q 必要条件.(3)充要条件:若p q ⇒,且q p ⇒,则p 是q 充要条件.高中数学常用公式定理以及结论大全 德胜教育打 造 品 牌 教 育 共 铸 美 好 明 天3 注:如果甲是乙的充分条件,则乙是甲的必要条件;反之亦然. 16.函数的单调性(1)设[]2121,,x x b a x x ≠∈⋅那么[]1212()()()0x x f x f x -->⇔[]b a x f x x x f x f ,)(0)()(2121在⇔>--上是增函数;[]1212()()()0x x f x f x --<⇔[]b a x f x x x f x f ,)(0)()(2121在⇔<--上是减函数.(2)设函数)(x f y =在某个区间内可导,如果0)(>'x f ,则)(x f 为增函数;如果0)(<'x f ,则)(x f 为减函数.17.如果函数)(x f 和)(x g 都是减函数,则在公共定义域内,和函数)()(x g x f +也是减函数; 如果函数)(u f y =和)(x g u =在其对应的定义域上都是减函数,则复合函数)]([x g f y =是增函数.18.奇偶函数的图象特征奇函数的图象关于原点对称,偶函数的图象关于y 轴对称;反过来,如果一个函数的图象关于原点对称,那么这个函数是奇函数;如果一个函数的图象关于y 轴对称,那么这个函数是偶函数.19.若函数)(x f y =是偶函数,则)()(a x f a x f --=+;若函数)(a x f y +=是偶函数,则)()(a x f a x f +-=+.20.对于函数)(x f y =(R x ∈),)()(x b f a x f -=+恒成立,则函数)(x f 的对称轴是函数2ba x +=;两个函数)(a x f y +=与)(xb f y -= 的图象关于直线2ba x +=对称.21.若)()(a x f x f +--=,则函数)(x f y =的图象关于点)0,2(a对称; 若)()(a x f x f +-=,则函数)(x f y =为周期为a 2的周期函数.22.多项式函数110()n n n n P x a x a x a --=+++ 的奇偶性多项式函数()P x 是奇函数⇔()P x 的偶次项(即奇数项)的系数全为零. 多项式函数()P x 是偶函数⇔()P x 的奇次项(即偶数项)的系数全为零. 23.函数()y f x =的图象的对称性(1)函数()y f x =的图象关于直线x a =对称()()f a x f a x ⇔+=-(2)()f a x f x ⇔-=.(2)函数()y f x =的图象关于直线2a bx +=对称()(f a m x f bm x ⇔+=- ()()f a b mx f mx ⇔+-=.24.两个函数图象的对称性(1)函数()y f x =与函数()y f x =-的图象关于直线0x =(即y 轴)对称. (2)函数()y f mx a =-与函数()y f b mx =-的图象关于直线2a bx m+=对称.(3)函数)(x f y =和)(1x fy -=的图象关于直线y=x 对称.25.若将函数)(x f y =的图象右移a 、上移b 个单位,得到函数b a x f y +-=)(的图象;若将曲线0),(=y x f 的图象右移a 、上移b 个单位,得到曲线0),(=--b y a x f 的图象.26.互为反函数的两个函数的关系a b f b a f =⇔=-)()(1.27.若函数)(b kx f y +=存在反函数,则其反函数为])([11b x f ky -=-,并不是)([1b kx fy +=-,而函数)([1b kx f y +=-是])([1b x f ky -=的反函数. 28.几个常见的函数方程(1)正比例函数()f x cx =,()()(),(1)f x y f x f y f c +=+=.(2)指数函数()xf x a =,()()(),(1)0f x y f x f y f a +==≠.高中数学常用公式定理以及结论大全 德胜教育打 造 品 牌 教 育 共 铸 美 好 明 天4 (3)对数函数()log a f x x =,()()(),()1(0,1)f xy f x f y f a a a =+=>≠. (4)幂函数()f x x α=,'()()(),(1)f xy f x f y f α==.(5)余弦函数()cos f x x =,正弦函数()s i g x x =,()()()()()f x y f x f y g x g y -=+,0()(0)1,lim 1x g x f x→==. 29.几个函数方程的周期(约定a>0)(1))()(a x f x f +=,则)(x f 的周期T=a ; (2)0)()(=+=a x f x f , 或)0)(()(1)(≠=+x f x f a x f , 或1()()f x a f x +=-(()0)f x ≠,或[]1(),(()0,1)2f x a f x +=+∈,则)(x f 的周期T=2a ;(3))0)(()(11)(≠+-=x f a x f x f ,则)(x f 的周期T=3a ; (4))()(1)()()(212121x f x f x f x f x x f -+=+且1212()1(()()1,0||2)f a f x f x x x a =⋅≠<-<,则)(x f 的周期T=4a ; (5)()()(2)(3)(4)f x f x a f x a f x a f x a +++++++()()(2)(3)(4)f x f x a f x a f x a f x a =++++,则)(x f 的周期T=5a ;(6))()()(a x f x f a x f +-=+,则)(x f 的周期T=6a. 30.分数指数幂(1)mna=(0,,a m n N *>∈,且1n >).(2)1m nm na a -=(0,,a m n N *>∈,且1n >). 31.根式的性质 (1)n a =.(2)当na =; 当n,0||,0a a a a a ≥⎧==⎨-<⎩.32.有理指数幂的运算性质(1) (0,,)r s r sa a a a r s Q +⋅=>∈.(2) ()(0,,)r s rsa a a r s Q =>∈.(3)()(0,0,)r r r ab a b a b r Q =>>∈. 注: 若a >0,p 是一个无理数,则a p表示一个确定的实数.上述有理指数幂的运算性质,对于无理数指数幂都适用. 33.指数式与对数式的互化式 log baN b a N =⇔=(0,1,0)a a N >≠>. 34.对数的换底公式 log log log m a m N N a = (0a >,且1a ≠,0m >,且1m ≠, 0N >). 推论 log log m n a a n b b m =(0a >,且1a >,,0m n >,且1m ≠,1n ≠, 0N >).35.对数的四则运算法则若a >0,a ≠1,M >0,N >0,则(1)log ()log log a a a MN M N =+;(2) log log log aa a MM N N =-; (3)log log ()na a M n M n R =∈.高中数学常用公式定理以及结论大全 德胜教育 打 造 品 牌 教 育 共 铸 美 好 明 天5 36.设函数)0)((log )(2≠++=a c bx ax x f m ,记ac b 42-=∆.若)(x f 的定义域为R ,则0>a ,且0<∆;若)(x f 的值域为R ,则0>a ,且0≥∆.对于0=a 的情形,需要单独检验. 37. 对数换底不等式及其推广若0a >,0b >,0x >,1x a ≠,则函数log ()ax y bx =(1)当a b >时,在1(0,)a 和1(,)a+∞上log ()ax y bx =为增函数., (2)当a b <时,在1(0,)a 和1(,)a +∞上log ()ax y bx =为减函数. 推论:设1n m >>,0p >,0a >,且1a ≠,则 (1)log ()log m p m n p n ++<. (2)2log log log 2a a am nm n +<. 38. 平均增长率的问题如果原来产值的基础数为N ,平均增长率为p ,则对于时间x 的总产值y ,有(1)x y N p =+.39.数列的同项公式与前n 项的和的关系11,1,2n n n s n a s s n -=⎧=⎨-≥⎩( 数列{}n a 的前n 项的和为12n n s a a a =+++ ). 40.等差数列的通项公式*11(1)()n a a n d dn a d n N =+-=+-∈;其前n 项和公式为1()2n n n a a s +=1(1)2n n na d -=+211()22d n a d n =+-. 41.等比数列的通项公式 1*11()n n n a a a q q n N q -==⋅∈; 其前n 项的和公式为 11(1),11,1n n a q q s q na q ⎧-≠⎪=-⎨⎪=⎩或11,11,1n n a a qq q s na q -⎧≠⎪-=⎨⎪=⎩.42.等比差数列{}n a :11,(0)n n a qa d a b q +=+=≠的通项公式为1(1),1(),11n n n b n d q a bq d b q d q q -+-=⎧⎪=+--⎨≠⎪-⎩;其前n 项和公式为(1),(1)1(),(1)111n n nb n n d q s d q db n q q q q +-=⎧⎪=-⎨-+≠⎪---⎩. 43.分期付款(按揭贷款)每次还款(1)(1)1nnab b x b +=+-元(贷款a 元,n 次还清,每期利率为b ). 44.常见三角不等式高中数学常用公式定理以及结论大全 德胜教育打 造 品 牌 教 育 共 铸 美 好 明 天6 (1)若(0,)2x π∈,则sin tan x x x <<.(2) 若(0,)2x π∈,则1sin cos x x <+≤(3) |sin ||cos |1x x +≥.45.同角三角函数的基本关系式22sin cos 1θθ+=,tan θ=θθcos sin ,tan 1cot θθ⋅=. 46.正弦、余弦的诱导公式212(1)sin ,sin()2(1)s ,nn n co απαα-⎧-⎪+=⎨⎪-⎩212(1)s ,s ()2(1)s i n ,nn co n co απαα+⎧-⎪+=⎨⎪-⎩47.和角与差角公式sin()sin cos cos sin αβαβαβ±=±;cos()cos cos sin sin αβαβαβ±= ;tan tan tan()1tan tan αβαβαβ±±= .22sin()sin()sin sin αβαβαβ+-=-(平方正弦公式);22cos()cos()cos sin αβαβαβ+-=-.sin cos a b αα+=)αϕ+(辅助角ϕ所在象限由点(,)a b 的象限决定,tan baϕ= ).48.二倍角公式sin 2sin cos ααα=.2222cos 2cos sin 2cos 112sin ααααα=-=-=-.22tan tan 21tan ααα=-.49. 三倍角公式3sin 33sin 4sin 4sin sin()sin()33ππθθθθθθ=-=-+.3cos34cos 3cos 4cos cos()cos()33ππθθθθθθ=-=-+.323tan tan tan 3tan tan()tan()13tan 33θθππθθθθθ-==-+-.50.三角函数的周期公式函数sin()y x ωϕ=+,x ∈R 及函数cos()y x ωϕ=+,x ∈R(A,ω,ϕ为常数,且A ≠0,ω>0)的周期2T πω=;函数tan()y x ωϕ=+,,2x k k Z ππ≠+∈(A,ω,ϕ为常数,且A ≠0,ω>0)的周期T πω=. 51.正弦定理2sin sin sin a b cR A B C===. 52.余弦定理2222cos a b c bc A =+-; 2222cos b c a ca B =+-; 2222cos c a b ab C =+-.53.面积定理 (1)111222a b c S ah bh ch ===(a b c h h h 、、分别表示a 、b 、c 边上的高).高中数学常用公式定理以及结论大全 德胜教育打 造 品 牌 教 育 共 铸 美 好 明 天7 (2)111sin sin sin 222S ab C bc A ca B ===.(3)OABS ∆=54.三角形内角和定理在△ABC 中,有()A B C C A B ππ++=⇔=-+222C A B π+⇔=-222()C A B π⇔=-+. 55. 简单的三角方程的通解sin (1)arcsin (,||1)k x a x k a k Z a π=⇔=+-∈≤. s 2arccos (,||1)co x a x k a k Z a π=⇔=±∈≤.tan arctan (,)x a x k a k Z a R π=⇒=+∈∈.特别地,有sin sin (1)()k k k Z αβαπβ=⇔=+-∈.s cos 2()co k k Z αβαπβ=⇔=±∈.tan tan ()k k Z αβαπβ=⇒=+∈.56.最简单的三角不等式及其解集sin (||1)(2arcsin ,2arcsin ),x a a x k a k a k Z πππ>≤⇔∈++-∈.sin (||1)(2arcsin ,2arcsin ),x a a x k a k a k Z πππ<≤⇔∈--+∈. cos (||1)(2arccos ,2arccos ),x a a x k a k a k Z ππ>≤⇔∈-+∈.cos (||1)(2arccos ,22arccos ),x a a x k a k a k Z πππ<≤⇔∈++-∈.tan ()(arctan ,),2x a a R x k a k k Z πππ>∈⇒∈++∈.tan ()(,arctan ),2x a a R x k k a k Z πππ<∈⇒∈-+∈.57.实数与向量的积的运算律 设λ、μ为实数,那么(1) 结合律:λ(μa )=(λμ)a ;(2)第一分配律:(λ+μ)a =λa +μa;(3)第二分配律:λ(a +b )=λa +λb . 58.向量的数量积的运算律: (1) a ·b= b ·a (交换律); (2)(λa )·b= λ(a ·b )=λa ·b = a ·(λb ); (3)(a +b )·c= a ·c +b ·c. 59.平面向量基本定理如果e 1、e 2是同一平面内的两个不共线向量,那么对于这一平面内的任一向量,有且只有一对实数λ1、λ2,使得a=λ1e 1+λ2e 2.不共线的向量e 1、e 2叫做表示这一平面内所有向量的一组基底. 60.向量平行的坐标表示设a =11(,)x y ,b =22(,)x y ,且b ≠0,则a b(b ≠0)12210x y x y ⇔-=. 53. a 与b 的数量积(或内积) a ·b =|a ||b |cos θ. 61. a ·b 的几何意义数量积a ·b 等于a 的长度|a |与b 在a 的方向上的投影|b |cos θ的乘积. 62.平面向量的坐标运算(1)设a =11(,)x y ,b =22(,)x y ,则a+b=1212(,)x x y y ++.(2)设a =11(,)x y ,b =22(,)x y ,则a-b=1212(,)x x y y --.(3)设A 11(,)x y ,B 22(,)x y ,则2121(,)AB OB OA x x y y =-=--.(4)设a =(,),x y R λ∈,则λa=(,)x y λλ.(5)设a =11(,)x y ,b =22(,)x y ,则a ·b=1212()x x y y +.63.两向量的夹角公式cos θ=(a =11(,)x y ,b =22(,)x y ).64.平面两点间的距离公式,A B d=||AB ==11(,)x y ,B 22(,)x y ).65.向量的平行与垂直高中数学常用公式定理以及结论大全 德胜教育打 造 品 牌 教 育 共 铸 美 好 明 天8 设a =11(,)x y ,b =22(,)x y ,且b ≠0,则 A ||b ⇔b =λa 12210x y x y ⇔-=. a ⊥b(a ≠0)⇔a ·b=012120x x y y ⇔+=.66.线段的定比分公式 设111(,)P x y ,222(,)P x y ,(,)P x y 是线段12PP的分点,λ是实数,且12PP PP λ= ,则121211x x x y y y λλλλ+⎧=⎪⎪+⎨+⎪=⎪+⎩⇔121OP OP OP λλ+=+ ⇔12(1)OP tOP t OP =+- (11t λ=+). 67.三角形的重心坐标公式△ABC 三个顶点的坐标分别为11A(x ,y )、22B(x ,y )、33C(x ,y ),则△ABC 的重心的坐标是123123(,)33x x x y y y G ++++. 68.点的平移公式''''x x h x x h y y k y y k ⎧⎧=+=-⎪⎪⇔⎨⎨=+=-⎪⎪⎩⎩''OP OP PP ⇔=+ . 注:图形F 上的任意一点P(x ,y)在平移后图形'F 上的对应点为'''(,)P x y ,且'PP的坐标为(,)h k .69.“按向量平移”的几个结论(1)点(,)P x y 按向量a =(,)h k 平移后得到点'(,)P x h y k ++.(2) 函数()y f x =的图象C 按向量a =(,)h k 平移后得到图象'C ,则'C 的函数解析式为()y f x h k =-+.(3) 图象'C 按向量a =(,)h k 平移后得到图象C ,若C 的解析式()y f x =,则'C 的函数解析式为()y f x h k =+-.(4)曲线C :(,)0f x y =按向量a =(,)h k 平移后得到图象'C ,则'C 的方程为(,)0f x h y k --=.(5) 向量m =(,)x y 按向量a =(,)h k 平移后得到的向量仍然为m =(,)x y .70. 三角形五“心”向量形式的充要条件设O 为ABC ∆所在平面上一点,角,,A B C 所对边长分别为,,a b c ,则(1)O 为ABC ∆的外心222OA OB OC ⇔== .(2)O 为ABC ∆的重心0OA OB OC ⇔++=.(3)O 为ABC ∆的垂心OA OB OB OC OC OA ⇔⋅=⋅=⋅.(4)O 为ABC ∆的内心0aOA bOB cOC ⇔++=.(5)O 为ABC ∆的A ∠的旁心aOA bOB cOC ⇔=+.71.常用不等式:(1),a b R ∈⇒222a b ab +≥(当且仅当a =b 时取“=”号).(2),a b R +∈⇒2a b+≥当且仅当a =b 时取“=”号). (3)3333(0,0,0).a b c abc a b c ++≥>>>(4)柯西不等式22222()()(),,,,.a b c d ac bd a b c d R ++≥+∈(5)b a b a b a +≤+≤-. 72.极值定理已知y x ,都是正数,则有(1)若积xy 是定值p ,则当y x =时和y x +有最小值p 2; (2)若和y x +是定值s ,则当y x =时积xy 有最大值241s . 推广 已知R y x ∈,,则有xy y x y x 2)()(22+-=+ (1)若积xy 是定值,则当||y x -最大时,||y x +最大; 当||y x -最小时,||y x +最小.高中数学常用公式定理以及结论大全 德胜教育打 造 品 牌 教 育 共 铸 美 好 明 天9 (2)若和||y x +是定值,则当||y x -最大时, ||xy 最小; 当||y x -最小时, ||xy 最大.73.一元二次不等式20(0)ax bx c ++><或2(0,40)a b ac ≠∆=->,如果a 与2ax bx c ++同号,则其解集在两根之外;如果a 与2ax bx c ++异号,则其解集在两根之间.简言之:同号两根之外,异号两根之间.121212()()0()x x x x x x x x x <<⇔--<<;121212,()()0()x x x x x x x x x x <>⇔--><或.74.含有绝对值的不等式 当a> 0时,有22x a x a a x a <⇔<⇔-<<.22x a x a x a >⇔>⇔>或x a <-.75.无理不等式 (1()0()0()()f x g x f x g x ≥⎧⎪>⇔≥⎨⎪>⎩. (22()0()0()()0()0()[()]f x f x g x g x g x f x g x ≥⎧≥⎧⎪>⇔≥⎨⎨<⎩⎪>⎩或. (32()0()()0()[()]f x g x g x f x g x ≥⎧⎪<⇔>⎨⎪<⎩. 76.指数不等式与对数不等式(1)当1a >时,()()()()f x g x a a f x g x >⇔>;()0log ()log ()()0()()a a f x f x g x g x f x g x >⎧⎪>⇔>⎨⎪>⎩.(2)当01a <<时,()()()()f x g x a a f x g x >⇔<;()0log ()log ()()0()()a a f x f x g x g x f x g x >⎧⎪>⇔>⎨⎪<⎩77.斜率公式2121y y k x x -=-(111(,)P x y 、222(,)P x y ).78.直线的五种方程(1)点斜式 11()y y k x x -=- (直线l 过点111(,)P x y ,且斜率为k ). (2)斜截式 y kx b =+(b 为直线l 在y 轴上的截距). (3)两点式 112121y y x x y y x x --=--(12y y ≠)(111(,)P x y 、222(,)P x y(12x x ≠)).(4)截距式1x ya b+=(a b 、分别为直线的横、纵截距,0a b ≠、) (5)一般式 0Ax By C ++=(其中A 、B 不同时为0).79.两条直线的平行和垂直(1)若111:l y k x b =+,222:l y k x b =+ ①121212||,l l k k b b ⇔=≠; ②12121l l k k ⊥⇔=-.(2)若1111:0l A x B y C ++=,2222:0l A x B y C ++=,且A 1、A 2、B 1、B 2都不为零,高中数学常用公式定理以及结论大全 德胜教育打 造 品 牌 教 育 共 铸 美 好 明 天10 ①11112222||A B C l l A B C ⇔=≠; ②1212120l l A A B B ⊥⇔+=; 80.夹角公式 (1)2121tan ||1k k k k α-=+.(111:l y k x b =+,222:l y k x b =+,121k k ≠-)(2)12211212tan ||A B A B A A B B α-=+.(1111:0l A x B y C ++=,2222:0l A x B y C ++=,12120A AB B +≠). 直线12l l ⊥时,直线l 1与l 2的夹角是2π.81. 1l 到2l 的角公式(1)2121tan 1k k k k α-=+.(111:l y k x b =+,222:l y k x b =+,121k k ≠-)(2)12211212tan A B A B A A B B α-=+.(1111:0l A x B y C ++=,2222:0l A x B y C ++=,12120A AB B +≠). 直线12l l ⊥时,直线l 1到l 2的角是2π.82.四种常用直线系方程(1)定点直线系方程:经过定点000(,)P x y 的直线系方程为00()y y k x x -=-(除直线0x x =),其中k 是待定的系数; 经过定点000(,)P x y 的直线系方程为00()()0A x x B y y -+-=,其中,A B 是待定的系数.(2)共点直线系方程:经过两直线1111:0l A x B y C ++=,2222:0l A x B y C ++=的交点的直线系方程为111222()()0A x B y C A x B y C λ+++++=(除2l ),其中λ是待定的系数. (3)平行直线系方程:直线y kx b =+中当斜率k 一定而b 变动时,表示平行直线系方程.与直线0Ax By C ++=平行的直线系方程是0Ax By λ++=(0λ≠),λ是参变量.(4)垂直直线系方程:与直线0Ax By C ++= (A ≠0,B ≠0)垂直的直线系方程是0Bx Ay λ-+=,λ是参变量.83.点到直线的距离d =(点00(,)P x y ,直线l :0Ax By C ++=).84. 或0<所表示的平面区域设直线:0l Ax By C ++=,则0Ax By C ++>或0<所表示的平面区域是:若0B ≠,当B 与Ax By C ++同号时,表示直线l 的上方的区域;当B 与Ax By C ++异号时,表示直线l 的下方的区域.简言之,同号在上,异号在下.若0B =,当A 与Ax By C ++同号时,表示直线l 的右方的区域;当A 与Ax By C ++异号时,表示直线l 的左方的区域. 简言之,同号在右,异号在左.85. 111222()()0A x B y C A x B y C ++++>或0<所表示的平面区域 设曲线111222:()()0C A x B y C A x B y C ++++=(12120A A B B ≠),则 111222()()0A x B y C A x B y C ++++>或0<所表示的平面区域是:111222()()0A x B y C A x B y C ++++>所表示的平面区域上下两部分; 111222()()0A x B y C A x B y C ++++<所表示的平面区域上下两部分.86. 圆的四种方程(1)圆的标准方程 222()()x a y b r -+-=.(2)圆的一般方程 220x y Dx Ey F ++++=(224D E F +->0).(3)圆的参数方程 cos sin x a r y b r θθ=+⎧⎨=+⎩.德胜教育打 造 品 牌 教 育 共 铸 美 好 明 天11 端点是11、22). 87. 圆系方程(1)过点11(,)A x y ,22(,)B x y 的圆系方程是1212112112()()()()[()()()()]0x x x x y y y y x x y y y y x x λ--+--+-----=1212()()()()()0x x x x y y y yax by c λ⇔--+--+++=,其中0a x b y c ++=是直线AB 的方程,λ是待定的系数. (2)过直线l :0Ax By C ++=与圆C :220x y Dx Ey F ++++=的交点的圆系方程是22()0x y Dx Ey F Ax By C λ+++++++=,λ是待定的系数.(3)过圆1C :221110x y D x E y F ++++=与圆2C :222220x y D x E y F ++++=的交点的圆系方程是2222111222()0x y D x E y F x y D x E y F λ+++++++++=,λ是待定的系数.88.点与圆的位置关系点00(,)P x y 与圆222)()(r b y a x =-+-的位置关系有三种 若d =d r >⇔点P 在圆外;d r =⇔点P 在圆上;d r <⇔点P 在圆内.89.直线与圆的位置关系直线0=++C By Ax 与圆222)()(r b y a x =-+-的位置关系有三种:0<∆⇔⇔>相离r d ; 0=∆⇔⇔=相切r d ; 0>∆⇔⇔<相交r d .其中22BA CBb Aa d +++=.90.两圆位置关系的判定方法条公切线外离421⇔⇔+>r r d ;条公切线外切321⇔⇔+=r r d ;条公切线相交22121⇔⇔+<<-r r d r r ; 条公切线内切121⇔⇔-=r r d ;无公切线内含⇔⇔-<<210r r d .91.圆的切线方程(1)已知圆220x y Dx Ey F ++++=.①若已知切点00(,)x y 在圆上,则切线只有一条,其方程是0000()()022D x xE y y x x y yF ++++++=. 当00(,)x y 圆外时, 0000()()022D x xE y y x x y yF ++++++=表示过两个切点的切点弦方程.②过圆外一点的切线方程可设为00()y y k x x -=-,再利用相切条件求k ,这时必有两条切线,注意不要漏掉平行于y 轴的切线.③斜率为k 的切线方程可设为y kx b =+,再利用相切条件求b ,必有两条切线.(2)已知圆222x y r +=.①过圆上的000(,)P x y 点的切线方程为200x x y y r +=; ②斜率为k 的圆的切线方程为y kx =±92.椭圆22221(0)x y a b a b +=>>的参数方程是cos sin x a y b θθ=⎧⎨=⎩.93.椭圆22221(0)x y a b a b+=>>焦半径公式高中数学常用公式定理以及结论大全 德胜教育打 造 品 牌 教 育 共 铸 美 好 明 天12 )(21c a x e PF +=,)(22x ca e PF -=.94.椭圆的的内外部(1)点00(,)P x y 在椭圆22221(0)x y a b a b +=>>的内部2200221x y a b ⇔+<. (2)点00(,)P x y 在椭圆22221(0)x y a b a b+=>>的外部2200221x y a b⇔+>. 95. 椭圆的切线方程(1)椭圆22221(0)x y a b a b+=>>上一点00(,)P x y 处的切线方程是00221x x y ya b+=. (2)过椭圆22221(0)x y a b a b+=>>外一点00(,)P x y 所引两条切线的切点弦方程是00221x x y ya b+=. (3)椭圆22221(0)x y a b a b+=>>与直线0Ax By C ++=相切的条件是22222A a B b c +=.96.双曲线22221(0,0)x y a b a b -=>>的焦半径公式21|()|a PF e x c =+,22|()|a PF e x c=-.97.双曲线的内外部(1)点00(,)P x y 在双曲线22221(0,0)x y a b a b -=>>的内部2200221x y a b⇔->.(2)点00(,)P x y 在双曲线22221(0,0)x y a b a b -=>>的外部2200221x y a b⇔-<.98.双曲线的方程与渐近线方程的关系(1)若双曲线方程为12222=-b y a x ⇒渐近线方程:22220x y a b-=⇔x a b y ±=. (2)若渐近线方程为x aby ±=⇔0=±b y a x ⇒双曲线可设为λ=-2222by a x . (3)若双曲线与12222=-b y a x 有公共渐近线,可设为λ=-2222by a x (0>λ,焦点在x 轴上,0<λ,焦点在y 轴上).99. 双曲线的切线方程(1)双曲线22221(0,0)x y a b a b-=>>上一点00(,)P x y 处的切线方程是00221x x y ya b-=. (2)过双曲线22221(0,0)x y a b a b-=>>外一点00(,)P x y 所引两条切线的切点弦方程是00221x x y ya b-=. (3)双曲线22221(0,0)x y a b a b-=>>与直线0Ax By C ++=相切的条件是22222A a B b c -=.100. 抛物线px y 22=的焦半径公式高中数学常用公式定理以及结论大全 德胜教育打 造 品 牌 教 育 共 铸 美 好 明 天13 抛物线22(0)y px p =>焦半径02p CF x =+. 过焦点弦长p x x px p x CD ++=+++=212122. 101.抛物线px y 22=上的动点可设为P ),2(2 y py 或或)2,2(2pt pt PP (,)x y ,其中 22y px = .102.二次函数2224()24b ac b y ax bx c a x a a-=++=++(0)a ≠的图象是抛物线:(1)顶点坐标为24(,)24b ac b a a --;(2)焦点的坐标为241(,)24b ac b a a -+-;(3)准线方程是2414ac b y a--=.103.抛物线的内外部(1)点00(,)P x y 在抛物线22(0)y px p =>的内部22(0)y px p ⇔<>. 点00(,)P x y 在抛物线22(0)y px p =>的外部22(0)y px p ⇔>>. (2)点00(,)P x y 在抛物线22(0)y px p =->的内部22(0)y px p ⇔<->. 点00(,)P x y 在抛物线22(0)y px p =->的外部22(0)y px p ⇔>->. (3)点00(,)P x y 在抛物线22(0)x py p =>的内部22(0)x py p ⇔<>. 点00(,)P x y 在抛物线22(0)x py p =>的外部22(0)x py p ⇔>>. (4) 点00(,)P x y 在抛物线22(0)x py p =>的内部22(0)x py p ⇔<>. 点00(,)P x y 在抛物线22(0)x py p =->的外部22(0)x py p ⇔>->. 104. 抛物线的切线方程(1)抛物线px y 22=上一点00(,)P x y 处的切线方程是00()y y p x x =+. (2)过抛物线px y 22=外一点00(,)P x y 所引两条切线的切点弦方程是00()y y p x x =+.(3)抛物线22(0)y p x p =>与直线0Ax By C ++=相切的条件是22pB AC =.105.两个常见的曲线系方程(1)过曲线1(,)0f x y =,2(,)0f x y =的交点的曲线系方程是12(,)(,)0f x y f x y λ+=(λ为参数).(2)共焦点的有心圆锥曲线系方程22221x y a k b k+=--,其中22max{,}k a b <.当22min{,}k a b >时,表示椭圆; 当2222min{,}max{,}a b k a b <<时,表示双曲线.106.直线与圆锥曲线相交的弦长公式AB =1212||||AB x x y y ==-=-(弦端点A ),(),,(2211y x B y x ,由方程⎩⎨⎧=+=0)y ,x (F bkx y 消去y 得到02=++c bx ax ,0∆>,α为直线AB 的倾斜角,k 为直线的斜率).107.圆锥曲线的两类对称问题(1)曲线(,)0F x y =关于点00(,)P x y 成中心对称的曲线是00(2-,2)0F x x y y -=.(2)曲线(,)0F x y =关于直线0Ax By C ++=成轴对称的曲线是22222()2()(,)0A Ax By C B Ax By C F x y A B A B ++++--=++.108.“四线”一方程对于一般的二次曲线220Ax Bxy Cy Dx Ey F +++++=,用0x x 代2x ,用0y y 代2y ,用002x y xy +代xy ,用02x x +代x ,用02y y+代y 即得方程高中数学常用公式定理以及结论大全 德胜教育打 造 品 牌 教 育 共 铸 美 好 明 天14 0000000222x y xy x x y yAx x B Cy y D E F ++++⋅++⋅+⋅+=,曲线的切线,切点弦,中点弦,弦中点方程均是此方程得到.109.证明直线与直线的平行的思考途径 (1)转化为判定共面二直线无交点; (2)转化为二直线同与第三条直线平行; (3)转化为线面平行; (4)转化为线面垂直; (5)转化为面面平行.110.证明直线与平面的平行的思考途径 (1)转化为直线与平面无公共点; (2)转化为线线平行; (3)转化为面面平行.111.证明平面与平面平行的思考途径 (1)转化为判定二平面无公共点; (2)转化为线面平行; (3)转化为线面垂直.112.证明直线与直线的垂直的思考途径 (1)转化为相交垂直; (2)转化为线面垂直;(3)转化为线与另一线的射影垂直; (4)转化为线与形成射影的斜线垂直. 113.证明直线与平面垂直的思考途径(1)转化为该直线与平面内任一直线垂直; (2)转化为该直线与平面内相交二直线垂直; (3)转化为该直线与平面的一条垂线平行; (4)转化为该直线垂直于另一个平行平面; (5)转化为该直线与两个垂直平面的交线垂直. 114.证明平面与平面的垂直的思考途径 (1)转化为判断二面角是直二面角; (2)转化为线面垂直.115.空间向量的加法与数乘向量运算的运算律(1)加法交换律:a +b =b +a .(2)加法结合律:(a +b )+c =a +(b +c ). (3)数乘分配律:λ(a +b )=λa +λb .116.平面向量加法的平行四边形法则向空间的推广 始点相同且不在同一个平面内的三个向量之和,等于以这三个向量为棱的平行六面体的以公共始点为始点的对角线所表示的向量.117.共线向量定理对空间任意两个向量a 、b (b ≠0 ),a ∥b ⇔存在实数λ使a =λb . P A B 、、三点共线⇔||AP AB ⇔AP t AB = ⇔(1)OP t OA tOB =-+.||AB CD ⇔AB、CD 共线且A B C D 、不共线⇔A B t C D = 且AB CD 、不共线.118.共面向量定理向量p 与两个不共线的向量a 、b 共面的⇔存在实数对,x y ,使p ax by =+. 推论 空间一点P 位于平面MAB 内的⇔存在有序实数对,x y ,使MP xMA yMB =+ ,或对空间任一定点O ,有序实数对,x y ,使OP OM xMA yMB =++.119.对空间任一点O 和不共线的三点A 、B 、C ,满足OP xOA yOB zOC =++(x y z k ++=),则当1k =时,对于空间任一点O ,总有P 、A 、B 、C 四点共面;当1k ≠时,若O ∈平面ABC ,则P 、A 、B 、C 四点共面;若O ∉平面ABC ,则P 、A 、B 、C 四点不共面.C A B 、、、D 四点共面⇔AD 与AB 、AC 共面⇔AD xAB yAC =+⇔ (1)OD x y OA xOB yOC =--++(O ∉平面ABC ).120.空间向量基本定理如果三个向量a 、b 、c 不共面,那么对空间任一向量p ,存在一个唯一的有序实数组x ,y ,z ,使p =x a +y b +z c .推论 设O 、A 、B 、C 是不共面的四点,则对空间任一点P ,都存在唯一的三个有序实数x ,y ,z ,使OP xOA yOB zOC =++.高中数学常用公式定理以及结论大全 德胜教育打 造 品 牌 教 育 共 铸 美 好 明 天15 121.射影公式 已知向量AB=a 和轴l ,e 是l 上与l 同方向的单位向量.作A 点在l 上的射影'A ,作B 点在l 上的射影'B ,则''||cos A B AB = 〈a ,e 〉=a ·e122.向量的直角坐标运算设a =123(,,)a a a ,b =123(,,)b b b 则 (1)a +b =112233(,,)a b a b a b +++; (2)a -b =112233(,,)a b a b a b ---; (3)λa =123(,,)a a a λλλ (λ∈R); (4)a ·b =112233a b a b a b ++; 123.设A 111(,,)x y z ,B 222(,,)x y z ,则 AB OB OA =-= 212121(,,)x x y y z z ---.124.空间的线线平行或垂直设111(,,)a x y z =r ,222(,,)b x y z =r,则a b r r P ⇔(0)a b b λ=≠r r r r ⇔121212x x y y z zλλλ=⎧⎪=⎨⎪=⎩;a b ⊥r r ⇔0a b ⋅=r r⇔1212120x x y y z z ++=.125.夹角公式设a =123(,,)a a a ,b =123(,,)b b b ,则 cos 〈a ,b 〉.推论 2222222112233123123()()()a b a b a b a a a b b b ++≤++++,此即三维柯西不等式.126. 四面体的对棱所成的角四面体ABCD 中, AC 与BD 所成的角为θ,则 2222|()()|cos 2AB CD BC DA AC BD θ+-+=⋅. 127.异面直线所成角cos |cos ,|a b θ=r r=||||||a b a b ⋅=⋅r rr r (其中θ(090θ<≤o o)为异面直线a b ,所成角,,a b r 分别表示异面直线a b ,的方向向量)128.直线AB 与平面所成角sin ||||AB m arc AB m β⋅= (m为平面α的法向量). 129.若ABC ∆所在平面若β与过若AB 的平面α成的角θ,另两边AC ,BC 与平面α成的角分别是1θ、2θ,A B 、为ABC ∆的两个内角,则2222212sin sin (sin sin )sin A B θθθ+=+.特别地,当90ACB ∠=时,有22212sin sin sin θθθ+=.130.若ABC ∆所在平面若β与过若AB 的平面α成的角θ,另两边AC ,BC 与平面α成的角分别是1θ、2θ,''A B 、为ABO ∆的两个内角,则222'2'212tan tan (sin sin )tan A B θθθ+=+.特别地,当90AOB ∠=时,有22212sin sin sin θθθ+=. 131.二面角l αβ--的平面角德胜教育打 造 品 牌 教 育 共 铸 美 好 明 天16 132.三余弦定理设AC 是α内的任一条直线,且BC ⊥AC ,垂足为C ,又设AO 与AB 所成的角为1θ,AB 与AC 所成的角为2θ,AO 与AC 所成的角为θ.则12cos cos cos θθθ=.133. 三射线定理若夹在平面角为ϕ的二面角间的线段与二面角的两个半平面所成的角是1θ,2θ,与二面角的棱所成的角是θ,则有22221212sin sin sin sin 2sin sin cos ϕθθθθθϕ=+- ; 1212||180()θθϕθθ-≤≤-+ (当且仅当90θ= 时等号成立).134.空间两点间的距离公式若A 111(,,)x y z ,B 222(,,)x y z ,则 ,A B d =||AB = =.135.点Q 到直线l 距离h =(点P 在直线l 上,直线l 的方向向量a =PA ,向量b =PQ ).136.异面直线间的距离||||CD n d n ⋅=(12,l l 是两异面直线,其公垂向量为n ,C D 、分别是12,l l 上任一点,d 为12,l l 间的距离).137.点B 到平面α的距离||||AB n d n ⋅=(n为平面α的法向量,AB 是经过面α的一条斜线,A α∈). 138.异面直线上两点距离公式d =d ='E AA F ϕ=--). (两条异面直线a 、b 所成的角为θ,其公垂线段'AA 的长度为h.在直线a 、b上分别取两点E 、F ,'A E m =,AF n =,EF d =). 139.三个向量和的平方公式2222()222a b c a b c a b b c c a ++=+++⋅+⋅+⋅2222||||cos ,2||||cos ,2||||cos ,a b c a b a b b c b c c a c a=+++⋅+⋅+⋅140. 长度为l 的线段在三条两两互相垂直的直线上的射影长分别为123l l l 、、,夹角分别为123θθθ、、,则有2222123l l l l =++222123cos cos cos 1θθθ⇔++=222123sin sin sin 2θθθ⇔++=.(立体几何中长方体对角线长的公式是其特例).141. 面积射影定理'cos S S θ=.(平面多边形及其射影的面积分别是S 、'S ,它们所在平面所成锐二面角的为θ).142. 斜棱柱的直截面已知斜棱柱的侧棱长是l ,侧面积和体积分别是S 斜棱柱侧和V 斜棱柱,它的直截面的周长和面积分别是1c 和1S ,则①1S c l =斜棱柱侧. ②1V S l =斜棱柱.143.作截面的依据三个平面两两相交,有三条交线,则这三条交线交于一点或互相平行. 144.棱锥的平行截面的性质高中数学常用公式定理以及结论大全 德胜教育打 造 品 牌 教 育 共 铸 美 好 明 天17 如果棱锥被平行于底面的平面所截,那么所得的截面与底面相似,截面面积与底面面积的比等于顶点到截面距离与棱锥高的平方比(对应角相等,对应边对应成比例的多边形是相似多边形,相似多边形面积的比等于对应边的比的平方);相应小棱锥与小棱锥的侧面积的比等于顶点到截面距离与棱锥高的平方比.145.欧拉定理(欧拉公式)2V F E +-=(简单多面体的顶点数V 、棱数E 和面数F).(1)E =各面多边形边数和的一半.特别地,若每个面的边数为n 的多边形,则面数F 与棱数E 的关系:12E nF =; (2)若每个顶点引出的棱数为m ,则顶点数V 与棱数E 的关系:12E mV =. 146.球的半径是R ,则其体积343V R π=, 其表面积24S R π=.147.球的组合体(1)球与长方体的组合体:长方体的外接球的直径是长方体的体对角线长. (2)球与正方体的组合体:正方体的内切球的直径是正方体的棱长, 正方体的棱切球的直径是正方体的面对角线长, 正方体的外接球的直径是正方体的体对角线长. (3) 球与正四面体的组合体:棱长为a的正四面体的内切球的半径为12a ,外接球的半径为4a . 148.柱体、锥体的体积13V Sh =柱体(S 是柱体的底面积、h 是柱体的高). 13V Sh =锥体(S 是锥体的底面积、h 是锥体的高). 149.分类计数原理(加法原理)12n N m m m =+++ .150.分步计数原理(乘法原理)12n N m m m =⨯⨯⨯ . 151.排列数公式mnA =)1()1(+--m n n n =!!)(m n n -.(n ,m ∈N *,且m n ≤).注:规定1!0=. 152.排列恒等式(1)1(1)m m n nA n m A -=-+; (2)1mmn n n A A n m -=-; (3)11m m n n A nA --=;(4)11n n n n n n nA A A ++=-; (5)11m m m n n nA A mA -+=+. (6) 1!22!33!!(1)!1n n n +⋅+⋅++⋅=+- . 153.组合数公式m n C=m n mmA A =m m n n n ⨯⨯⨯+-- 21)1()1(=!!!)(m n m n -⋅(n ∈N *,m N ∈,且m n ≤).154.组合数的两个性质(1)mn C =mn n C - ; (2) mn C +1-m n C =m n C 1+.注:规定10=n C .155.组合恒等式 (1)11mm n n n m C C m--+=;高中数学常用公式定理以及结论大全 德胜教育打 造 品 牌 教 育 共 铸 美 好 明 天18 (2)1mmn n n C C n m -=-; (3)11mm n n n C C m--=;(4)∑=nr r nC0=n2;(5)1121++++=++++r n r n r r r r r rC C C C C . (6)n n n r n n n n C C C C C 2210=++++++ . (7)14205312-+++=+++n n n n n n n C C C C C C . (8)1321232-=++++n n n n n n n nC C C C . (9)r n m r n r m n r m n r m C C C C C C C +-=+++0110 . (10)n n n n n n n C C C C C 22222120)()()()(=++++ .156.排列数与组合数的关系m mn nA m C =⋅! . 157.单条件排列以下各条的大前提是从n 个元素中取m 个元素的排列. (1)“在位”与“不在位”①某(特)元必在某位有11--m n A 种;②某(特)元不在某位有11---m n mn A A (补集思想)1111---=m n n AA(着眼位置)11111----+=m n m m n AAA(着眼元素)种.(2)紧贴与插空(即相邻与不相邻)①定位紧贴:)(n m k k ≤≤个元在固定位的排列有km k n k k A A --种.②浮动紧贴:n 个元素的全排列把k 个元排在一起的排法有kk k n k n A A 11+-+-种.注:此类问题常用捆绑法;③插空:两组元素分别有k 、h 个(1+≤h k ),把它们合在一起来作全排列,k 个的一组互不能挨近的所有排列数有kh h h A A 1+种.(3)两组元素各相同的插空m 个大球n 个小球排成一列,小球必分开,问有多少种排法?当1+>m n 时,无解;当1+≤m n 时,有n m n nn m C A A 11++=种排法.(4)两组相同元素的排列:两组元素有m 个和n 个,各组元素分别相同的排列数为nn m C +.158.分配问题(1)(平均分组有归属问题)将相异的m 、n 个物件等分给m 个人,各得n 件,其分配方法数共有mnn nn nn mn nn mn nmn n mn C C C C C N )!()!(22=⋅⋅⋅⋅⋅=-- . (2)(平均分组无归属问题)将相异的m ·n 个物体等分为无记号或无顺序的m 堆,其分配方法数共有mn nn n n n mn n n mn n mn n m mn m C C C C C N )!(!)!(!...22=⋅⋅⋅⋅=--. (3)(非平均分组有归属问题)将相异的) 12m P(P=n +n ++n 个物体分给m 个人,物件必须被分完,分别得到1n ,2n ,…,m n 件,且1n ,2n ,…,m n 这m个数彼此不相等,则其分配方法数共有!!...!!!! (212)11m n n n n p n p n n n m p m C C C N m m=⋅⋅=-.(4)(非完全平均分组有归属问题)将相异的) 12m P(P=n +n ++n 个物体分给m 个人,物件必须被分完,分别得到1n ,2n ,…,m n 件,且1n ,2n ,…,m n 这m 个数中分别有a 、b 、c 、…个相等,则其分配方法数有!...!!! (2)11c b a m C C C N m mn n n n p n p ⋅⋅=- 12!!!!...!(!!!...)m p m n n n a b c =.(5)(非平均分组无归属问题)将相异的) 12m P(P=n +n ++n 个物体分为任意的1n ,2n ,…,m n 件无记号的m 堆,且1n ,2n ,…,m n 这m 个数彼此不相。
1. 元素与集合的关系U x A x C A ∈⇔∉,U x C A x A ∈⇔∉. 2.德摩根公式();()U U U U U U C A B C A C B C A B C A C B == .3.包含关系A B A A B B =⇔= U U A B C B C A ⇔⊆⇔⊆U A C B ⇔=Φ U C A B R ⇔=4.容斥原理()()card A B cardA cardB card A B =+-()()card A B C cardA cardB cardC card A B =++-()()()()card A B card B C card C A card A B C ---+ .5.集合12{,,,}n a a a 的子集个数共有2n 个;真子集有2n –1个;非空子集有2n –1个;非空的真子集有2n –2个.6.二次函数的解析式的三种形式(1)一般式2()(0)f x ax bx c a =++≠;(2)顶点式2()()(0)f x a x h k a =-+≠; (3)零点式12()()()(0)f x a x x x x a =--≠. 7.解连不等式()N f x M <<常有以下转化形式()N f x M <<⇔[()][()]0f x M f x N --< ⇔|()|22M N M N f x +--<⇔()0()f x N M f x ->-⇔11()f x NM N>--.8.方程0)(=x f 在),(21k k 上有且只有一个实根,与0)()(21<k f k f 不等价,前者是后者的一个必要而不是充分条件.特别地, 方程)0(02≠=++a c bx ax 有且只有一个实根在),(21k k 内,等价于0)()(21<k f k f ,或)(1=k f 且22211k k ab k +<-<,或)(2=k f 且22122k abk k <-<+.9.闭区间上的二次函数的最值二次函数)0()(2≠++=a c bx ax x f 在闭区间[]q p ,上的最值只能在ab x 2-=处及区间的两端点处取得,具体如下:(1)当a>0时,若[]q p ab x ,2∈-=,则{}m in m ax m ax()(),()(),()2b f x f f x f p f q a=-=;[]q p ab x ,2∉-=,{}max max()(),()f x f p f q =,{}min min ()(),()f x f p f q =.(2)当a<0时,若[]q p ab x ,2∈-=,则{}min ()min (),()f x f p f q =,若[]q p ab x ,2∉-=,则{}max ()max (),()f x f p f q =,{}min ()min (),()f x f p f q =.10.一元二次方程的实根分布依据:若()()0f m f n <,则方程0)(=x f 在区间(,)m n 内至少有一个实根 . 设q px x x f ++=2)(,则(1)方程0)(=x f 在区间),(+∞m 内有根的充要条件为0)(=m f 或2402p q p m ⎧-≥⎪⎨->⎪⎩;(2)方程0)(=x f 在区间(,)m n 内有根的充要条件为()()0f m f n <或2()0()0402f m f n p q p m n >⎧⎪>⎪⎪⎨-≥⎪⎪<-<⎪⎩或()0()0f m af n =⎧⎨>⎩或()0()0f n af m =⎧⎨>⎩; (3)方程0)(=x f 在区间(,)n -∞内有根的充要条件为()0f m <或2402p q p m ⎧-≥⎪⎨-<⎪⎩ .11.定区间上含参数的二次不等式恒成立的条件依据(1)在给定区间),(+∞-∞的子区间L (形如[]βα,,(]β,∞-,[)+∞,α不同)上含参数的二次不等式(,)0f x t ≥(t 为参数)恒成立的充要条件是m in (,)0()f x t x L ≥∉.(2)在给定区间),(+∞-∞的子区间上含参数的二次不等式(,)0f x t ≥(t 为参数)恒成立的充要条件是(,)0()m an f x t x L ≤∉.(3)0)(24>++=c bx ax x f 恒成立的充要条件是000a b c ≥⎧⎪≥⎨⎪>⎩或2040a b ac <⎧⎨-<⎩.12. 13.14.四种命题的相互关系若非p则非q 互逆 若非q则非p15.充要条件(1)充分条件:若p q ⇒,则p 是q 充分条件.(2)必要条件:若q p ⇒,则p 是q 必要条件.(3)充要条件:若p q ⇒,且q p ⇒,则p 是q 充要条件. 注:如果甲是乙的充分条件,则乙是甲的必要条件;反之亦然. 16.函数的单调性(1)设[]2121,,x x b a x x ≠∈⋅那么 []1212()()()0x x f x f x -->⇔[]b a x f x x x f x f ,)(0)()(2121在⇔>--上是增函数; []1212()()()0x x f x f x --<⇔[]b a x f x x x f x f ,)(0)()(2121在⇔<--上是减函数.(2)设函数)(x f y =在某个区间内可导,如果0)(>'x f ,则)(x f 为增函数;如果0)(<'x f ,则)(x f 为减函数.17.如果函数)(x f 和)(x g 都是减函数,则在公共定义域内,和函数)()(x g x f +也是减函数; 如果函数)(u f y =和)(x g u =在其对应的定义域上都是减函数,则复合函数)]([x g f y =是增函数.18.奇偶函数的图象特征奇函数的图象关于原点对称,偶函数的图象关于y 轴对称;反过来,如果一个函数的图象关于原点对称,那么这个函数是奇函数;如果一个函数的图象关于y 轴对称,那么这个函数是偶函数.19.若函数)(x f y =是偶函数,则)()(a x f a x f --=+;若函数)(a x f y +=是偶函数,则)()(a x f a x f +-=+.20.对于函数)(x f y =(R x ∈),)()(x b f a x f -=+恒成立,则函数)(x f 的对称轴是函数2b a x +=;两个函数)(a x f y +=与)(x b f y -= 的图象关于直线2b a x +=对称.21.若)()(a x f x f +--=,则函数)(x f y =的图象关于点)0,2(a对称; 若)()(a x f x f +-=,则函数)(x f y =为周期为a 2的周期函数.22.多项式函数110()n n n n P x a x a x a --=+++ 的奇偶性多项式函数()P x 是奇函数⇔()P x 的偶次项(即奇数项)的系数全为零. 多项式函数()P x 是偶函数⇔()P x 的奇次项(即偶数项)的系数全为零. 23.函数()y f x =的图象的对称性(1)函数()y f x =的图象关于直线x a =对称()()f a x f a x ⇔+=- (2)()f a x f x ⇔-=.(2)函数()y f x =的图象关于直线2a b x +=对称()()f a mx f b mx ⇔+=-()()f a b mx f mx ⇔+-=.24.两个函数图象的对称性(1)函数()y f x =与函数()y f x =-的图象关于直线0x =(即y 轴)对称. (2)函数()y f mx a =-与函数()y f b mx =-的图象关于直线2a b x m+=对称.(3)函数)(x f y =和)(1x f y -=的图象关于直线y=x 对称.25.若将函数)(x f y =的图象右移a 、上移b 个单位,得到函数b a x f y +-=)(的图象;若将曲线0),(=y x f 的图象右移a 、上移b 个单位,得到曲线0),(=--b y a x f 的图象.26.互为反函数的两个函数的关系a b fb a f =⇔=-)()(1.27.若函数)(b kx f y +=存在反函数,则其反函数为])([11b x fky -=-,并不是)([1b kx fy +=-,而函数)([1b kx fy +=-是])([1b x f ky -=的反函数.28.几个常见的函数方程(1)正比例函数()f x cx =,()()(),(1)f x y f x f y f c +=+=.(2)指数函数()x f x a =,()()(),(1)0f x y f x f y f a +==≠.(3)对数函数()log a f x x =,()()(),()1(0,1)f xy f x f y f a a a =+=>≠.(4)幂函数()f x x α=,'()()(),(1)f xy f x f y f α==.(5)余弦函数()cos f x x =,正弦函数()sin g x x =,()()()()()f x y f x f y g x g y -=+,()(0)1,lim1x g x f x→==.29.几个函数方程的周期(约定a>0)(1))()(a x f x f +=,则)(x f 的周期T=a ; (2)0)()(=+=a x f x f , 或)0)(()(1)(≠=+x f x f a x f ,或1()()f x a f x +=-(()0)f x ≠,或[]1(),(()0,1)2f x a f x +=+∈,则)(x f 的周期T=2a ;(3))0)(()(11)(≠+-=x f a x f x f ,则)(x f 的周期T=3a ;(4))()(1)()()(212121x f x f x f x f x x f -+=+且1212()1(()()1,0||2)f a f x f x x x a =⋅≠<-<,则)(x f 的周期T=4a ;(5)()()(2)(3)(4)f x f x a f x a f x a f x a +++++++()()(2)(3)(4)f x f x a f x a f x a f x a =++++,则)(x f 的周期T=5a ;(6))()()(a x f x f a x f +-=+,则)(x f 的周期T=6a. 30.分数指数幂(1)mn a =(0,,a m n N *>∈,且1n >).(2)1m nmnaa -=(0,,a m n N *>∈,且1n >).31.根式的性质(1)na =.(2)当na =; 当n,0||,0a a a a a ≥⎧==⎨-<⎩.32.有理指数幂的运算性质 (1) (0,,)rsr s a a aa r s Q +⋅=>∈.(2) ()(0,,)rsrsa a a r s Q =>∈. (3)()(0,0,)rrrab a b a b r Q =>>∈.注: 若a >0,p 是一个无理数,则a p 表示一个确定的实数.上述有理指数幂的运算性质,对于无理数指数幂都适用.33.指数式与对数式的互化式log ba Nb a N =⇔=(0,1,0)a a N >≠>.34.对数的换底公式log log log m a m N N a=(0a >,且1a ≠,0m >,且1m ≠, 0N >).推论 log log mn a a n b b m=(0a >,且1a >,,0m n >,且1m ≠,1n ≠, 0N >).35.对数的四则运算法则若a >0,a ≠1,M >0,N >0,则 (1)log ()log log a a a M N M N =+; (2) log log log aa a M M N N=-; (3)log log ()na a Mn M n R =∈.36.设函数)0)((log )(2≠++=a c bx axx f m,记ac b 42-=∆.若)(x f 的定义域为R ,则0>a ,且0<∆;若)(x f 的值域为R ,则0>a ,且0≥∆.对于0=a 的情形,需要单独检验.37. 对数换底不等式及其推广 若0a >,0b >,0x >,1x a ≠,则函数log ()ax y bx =(1)当a b >时,在1(0,)a 和1(,)a +∞上log ()ax y bx =为增函数. ,(2)当a b <时,在1(0,)a和1(,)a+∞上log ()ax y bx =为减函数.推论:设1n m >>,0p >,0a >,且1a ≠,则 (1)log ()log m p m n p n ++<. (2)2log log log 2a a a m n m n +<.38. 平均增长率的问题如果原来产值的基础数为N ,平均增长率为p ,则对于时间x 的总产值y ,有(1)x y N p =+. 39.数列的同项公式与前n 项的和的关系11,1,2n n n s n a s s n -=⎧=⎨-≥⎩( 数列{}n a 的前n 项的和为12n n s a a a =+++ ).40.等差数列的通项公式*11(1)()n a a n d dn a d n N =+-=+-∈;其前n 项和公式为1()2n n n a a s +=1(1)2n n na d -=+211()22d n a d n =+-.41.等比数列的通项公式1*11()n n n a a a q q n N q-==⋅∈;其前n 项的和公式为11(1),11,1n n a q q s qna q ⎧-≠⎪=-⎨⎪=⎩ 或11,11,1n n a a qq q s na q -⎧≠⎪-=⎨⎪=⎩.42.等比差数列{}n a :11,(0)n n a qa d a b q +=+=≠的通项公式为 1(1),1(),11n n n b n d q a bq d b q d q q -+-=⎧⎪=+--⎨≠⎪-⎩;其前n 项和公式为(1),(1)1(),(1)111nn nb n n d q s d q db n q q q q +-=⎧⎪=-⎨-+≠⎪---⎩. 43.分期付款(按揭贷款)每次还款(1)(1)1nnab b x b +=+-元(贷款a 元,n 次还清,每期利率为b ).44.常见三角不等式(1)若(0,)2x π∈,则sin tan x x x <<.(2) 若(0,)2x π∈,则1sin cos x x <+≤(3) |sin ||cos |1x x +≥.45.同角三角函数的基本关系式22sin cos 1θθ+=,tan θ=θθcos sin ,tan 1cot θθ⋅=. 46.正弦、余弦的诱导公式212(1)sin ,sin()2(1)s ,nn n co απαα-⎧-⎪+=⎨⎪-⎩ 212(1)s ,s()2(1)sin ,nn co n co απαα+⎧-⎪+=⎨⎪-⎩47.和角与差角公式sin()sin cos cos sin αβαβαβ±=±;cos()cos cos sin sin αβαβαβ±= ;tan tan tan()1tan tan αβαβαβ±±=.22sin()sin()sin sin αβαβαβ+-=-(平方正弦公式); 22cos()cos()cos sin αβαβαβ+-=-. sin cos a b αα+=)αϕ+(辅助角ϕ所在象限由点(,)a b 的象限决定,tan b aϕ=).48.二倍角公式sin 2sin cos ααα=.2222cos 2cos sin 2cos 112sin ααααα=-=-=-.22tan tan 21tan ααα=-. 49. 三倍角公式3sin 33sin 4sin 4sin sin()sin()33ππθθθθθθ=-=-+.3cos 34cos 3cos 4cos cos()cos()33ππθθθθθθ=-=-+.323tan tan tan 3tan tan()tan()13tan 33θθππθθθθθ-==-+-.50.三角函数的周期公式函数sin()y x ωϕ=+,x ∈R 及函数cos()y x ωϕ=+,x ∈R(A,ω,ϕ为常数,且A ≠0,ω>0)的周期2T πω=;函数tan()y x ωϕ=+,,2x k k Z ππ≠+∈(A,ω,ϕ为常数,且A ≠0,ω>0)的周期T πω=. 51.正弦定理2sin sin sin a b c R ABC===.52.余弦定理2222cos a b c bc A =+-; 2222cos b c a ca B =+-; 2222cos c a b ab C =+-.53.面积定理 (1)111222a b c S ah bh ch ===(a b c h h h 、、分别表示a 、b 、c 边上的高).(2)111sin sin sin 222S ab C bc A ca B ===.(3)O A B S ∆=54.三角形内角和定理在△ABC 中,有()A B C C A B ππ++=⇔=-+222C A B π+⇔=-222()C A B π⇔=-+.55. 简单的三角方程的通解sin (1)arcsin (,||1)kx a x k a k Z a π=⇔=+-∈≤. s 2arccos (,||1)co x a x k a k Z a π=⇔=±∈≤.tan arctan (,)x a x k a k Z a R π=⇒=+∈∈.特别地,有sin sin (1)()kk k Z αβαπβ=⇔=+-∈. s cos 2()co k k Z αβαπβ=⇔=±∈.tan tan ()k k Z αβαπβ=⇒=+∈.56.最简单的三角不等式及其解集sin (||1)(2arcsin ,2arcsin ),x a a x k a k a k Z πππ>≤⇔∈++-∈.sin (||1)(2arcsin ,2arcsin ),x a a x k a k a k Z πππ<≤⇔∈--+∈. cos (||1)(2arccos ,2arccos ),x a a x k a k a k Z ππ>≤⇔∈-+∈. cos (||1)(2arccos ,22arccos ),x a a x k a k a k Z πππ<≤⇔∈++-∈.tan ()(arctan ,),2x a a R x k a k k Z πππ>∈⇒∈++∈.tan ()(,arctan ),2x a a R x k k a k Z πππ<∈⇒∈-+∈.57.实数与向量的积的运算律 设λ、μ为实数,那么(1) 结合律:λ(μa )=(λμ)a ;(2)第一分配律:(λ+μ)a =λa +μa; (3)第二分配律:λ(a +b )=λa +λb . 58.向量的数量积的运算律: (1) a ·b= b ·a (交换律); (2)(λa )·b= λ(a ·b )=λa ·b = a ·(λb ); (3)(a +b )·c= a ·c +b ·c. 59.平面向量基本定理如果e 1、e 2是同一平面内的两个不共线向量,那么对于这一平面内的任一向量,有且只有一对实数λ1、λ2,使得a=λ1e 1+λ2e 2.不共线的向量e 1、e 2叫做表示这一平面内所有向量的一组基底. 60.向量平行的坐标表示 设a =11(,)x y ,b =22(,)x y ,且b ≠0,则a b(b ≠0)12210x y x y ⇔-=. 53. a 与b 的数量积(或内积) a ·b =|a ||b |cos θ. 61. a ·b 的几何意义数量积a ·b 等于a 的长度|a |与b 在a 的方向上的投影|b |cos θ的乘积. 62.平面向量的坐标运算(1)设a =11(,)x y ,b =22(,)x y ,则a+b=1212(,)x x y y ++. (2)设a =11(,)x y ,b =22(,)x y ,则a-b=1212(,)x x y y --.(3)设A 11(,)x y ,B 22(,)x y ,则2121(,)AB OB OA x x y y =-=--.(4)设a =(,),x y R λ∈,则λa=(,)x y λλ.(5)设a =11(,)x y ,b =22(,)x y ,则a ·b=1212()x x y y +. 63.两向量的夹角公式cos θ=(a =11(,)x y ,b =22(,)x y ). 64.平面两点间的距离公式 ,A B d=||AB ==(A 11(,)x y ,B 22(,)x y ).65.向量的平行与垂直设a =11(,)x y ,b =22(,)x y ,且b ≠0,则 A ||b ⇔b =λa 12210x y x y ⇔-=. a ⊥b(a ≠0)⇔a ·b=012120x x y y ⇔+=. 66.线段的定比分公式设111(,)P x y ,222(,)P x y ,(,)P x y 是线段12P P 的分点,λ是实数,且12P P PP λ=,则 121211x x x y y y λλλλ+⎧=⎪⎪+⎨+⎪=⎪+⎩⇔121O P O P O P λλ+=+ ⇔12(1)OP tOP t OP =+- (11t λ=+).67.三角形的重心坐标公式△ABC 三个顶点的坐标分别为11A(x ,y )、22B(x ,y )、33C(x ,y ),则△ABC 的重心的坐标是123123(,)33x x x y y y G ++++.68.点的平移公式''''x x h x x h y y k y y k⎧⎧=+=-⎪⎪⇔⎨⎨=+=-⎪⎪⎩⎩''O P O P P P ⇔=+ . 注:图形F 上的任意一点P(x ,y)在平移后图形'F 上的对应点为'''(,)P x y ,且'PP的坐标为(,)h k .69.“按向量平移”的几个结论(1)点(,)P x y 按向量a =(,)h k 平移后得到点'(,)P x h y k ++.(2) 函数()y f x =的图象C 按向量a =(,)h k 平移后得到图象'C ,则'C 的函数解析式为()y f x h k =-+.(3) 图象'C 按向量a =(,)h k 平移后得到图象C ,若C 的解析式()y f x =,则'C 的函数解析式为()y f x h k =+-.(4)曲线C :(,)0f x y =按向量a =(,)h k 平移后得到图象'C ,则'C 的方程为(,)0f x h y k --=.(5) 向量m =(,)x y 按向量a =(,)h k 平移后得到的向量仍然为m =(,)x y . 70. 三角形五“心”向量形式的充要条件设O 为A B C ∆所在平面上一点,角,,A B C 所对边长分别为,,a b c ,则 (1)O 为A B C ∆的外心222O A O B O C ⇔== .(2)O 为A B C ∆的重心0OA OB OC ⇔++=.(3)O 为A B C ∆的垂心OA OB OB OC OC OA ⇔⋅=⋅=⋅.(4)O 为A B C∆的内心0aOA bOB cOC ⇔++=.(5)O 为A B C ∆的A ∠的旁心aOA bOB cOC ⇔=+.71.常用不等式:(1),a b R ∈⇒222a b ab +≥(当且仅当a =b 时取“=”号).(2),a b R +∈⇒2a b +≥(当且仅当a =b 时取“=”号).(3)3333(0,0,0).a b c abc a b c ++≥>>> (4)柯西不等式22222()()(),,,,.a b c d ac bd a b c d R ++≥+∈(5)b a b a b a +≤+≤-. 72.极值定理已知y x ,都是正数,则有(1)若积xy 是定值p ,则当y x =时和y x +有最小值p 2;(2)若和y x +是定值s ,则当y x =时积xy 有最大值241s .推广 已知R y x ∈,,则有xy y x y x 2)()(22+-=+ (1)若积xy 是定值,则当||y x -最大时,||y x +最大; 当||y x -最小时,||y x +最小.(2)若和||y x +是定值,则当||y x -最大时, ||xy 最小; 当||y x -最小时, ||xy 最大.73.一元二次不等式20(0)a x b xc ++><或2(0,40)a ba c ≠∆=->,如果a 与2ax bx c ++同号,则其解集在两根之外;如果a 与2ax bx c ++异号,则其解集在两根之间.简言之:同号两根之外,异号两根之间.121212()()0()x x x x x x x x x <<⇔--<<; 121212,()()0()x x x x x x x x x x <>⇔--><或.74.含有绝对值的不等式 当a> 0时,有22x a x aa x a <⇔<⇔-<<.22x a x a x a >⇔>⇔>或x a <-.75.无理不等式(1()0()0()()f x g x f x g x ≥⎧⎪>⇔≥⎨⎪>⎩.(22()0()0()()0()0()[()]f x f x g x g x g x f x g x ≥⎧≥⎧⎪>⇔≥⎨⎨<⎩⎪>⎩或. (32()0()()0()[()]f x g x g x f x g x ≥⎧⎪<⇔>⎨⎪<⎩.76.指数不等式与对数不等式 (1)当1a >时,()()()()f x g x aaf xg x >⇔>;()0log ()log ()()0()()a a f x f x g x g x f x g x >⎧⎪>⇔>⎨⎪>⎩.(2)当01a <<时,()()()()f x g x aaf xg x >⇔<;()0log ()log ()()0()()a a f x f x g x g x f x g x >⎧⎪>⇔>⎨⎪<⎩77.斜率公式2121y y k x x -=-(111(,)P x y 、222(,)P x y ). 78.直线的五种方程(1)点斜式 11()y y k x x -=- (直线l 过点111(,)P x y ,且斜率为k ). (2)斜截式 y kx b =+(b 为直线l 在y 轴上的截距). (3)两点式 112121y y x x y y x x --=--(12y y ≠)(111(,)P x y 、222(,)P x y (12x x ≠)).(4)截距式1x ya b+=(a b 、分别为直线的横、纵截距,0a b ≠、) (5)一般式 0Ax By C ++=(其中A 、B 不同时为0).79.两条直线的平行和垂直(1)若111:l y k x b =+,222:l y k x b =+ ①121212||,l l k k b b ⇔=≠; ②12121l l k k ⊥⇔=-.(2)若1111:0l A x B y C ++=,2222:0l A x B y C ++=,且A 1、A 2、B 1、B 2都不为零,①11112222||A B C l l A B C ⇔=≠;②1212120l l A A B B ⊥⇔+=; 80.夹角公式 (1)2121tan ||1k k k k α-=+.(111:l y k x b =+,222:l y k x b =+,121k k ≠-) (2)12211212tan ||A B A B A A B B α-=+.(1111:0l A x B y C ++=,2222:0l A x B y C ++=,12120A A B B +≠). 直线12l l ⊥时,直线l 1与l 2的夹角是2π.81. 1l 到2l 的角公式 (1)2121tan 1k k k k α-=+.(111:l y k x b =+,222:l y k x b =+,121k k ≠-) (2)12211212tan A B A B A A B B α-=+.(1111:0l A x B y C ++=,2222:0l A x B y C ++=,12120A A B B +≠). 直线12l l ⊥时,直线l 1到l 2的角是2π.82.四种常用直线系方程 (1)定点直线系方程:经过定点000(,)P x y 的直线系方程为00()y y k x x -=-(除直线0x x =),其中k 是待定的系数; 经过定点000(,)P x y 的直线系方程为00()()0A x x B y y -+-=,其中,A B 是待定的系数.(2)共点直线系方程:经过两直线1111:0l A x B y C ++=,2222:0l A x B y C ++=的交点的直线系方程为111222()()0A x B y C A x B y C λ+++++=(除2l ),其中λ是待定的系数. (3)平行直线系方程:直线y kx b =+中当斜率k 一定而b 变动时,表示平行直线系方程.与直线0Ax By C ++=平行的直线系方程是0Ax By λ++=(0λ≠),λ是参变量. (4)垂直直线系方程:与直线0Ax By C ++= (A ≠0,B ≠0)垂直的直线系方程是0Bx Ay λ-+=,λ是参变量.83.点到直线的距离d =(点00(,)P x y ,直线l :0Ax By C ++=).84. 0Ax By C ++>或0<所表示的平面区域设直线:0l Ax By C ++=,则0Ax By C ++>或0<所表示的平面区域是:若0B ≠,当B 与Ax By C ++同号时,表示直线l 的上方的区域;当B 与Ax By C ++异号时,表示直线l 的下方的区域.简言之,同号在上,异号在下.若0B =,当A 与Ax By C ++同号时,表示直线l 的右方的区域;当A 与Ax By C ++异号时,表示直线l 的左方的区域. 简言之,同号在右,异号在左.85. 111222()()0A x B y C A x B y C ++++>或0<所表示的平面区域设曲线111222:()()0C A x B y C A x B y C ++++=(12120A A B B ≠),则111222()()0A x B y C A x B y C ++++>或0<所表示的平面区域是: 111222()()0A x B y C A x B y C ++++>所表示的平面区域上下两部分; 111222()()0A x B y C A x B y C ++++<所表示的平面区域上下两部分.86. 圆的四种方程(1)圆的标准方程 222()()x a y b r -+-=.(2)圆的一般方程 220x y Dx Ey F ++++=(224D E F +->0). (3)圆的参数方程 cos sin x a r y b r θθ=+⎧⎨=+⎩.(4)圆的直径式方程 1212()()()()0x x x x y y y y --+--=(圆的直径的端点是11(,)A x y 、22(,)B x y ).87. 圆系方程(1)过点11(,)A x y ,22(,)B x y 的圆系方程是1212112112()()()()[()()()()]0x x x x y y y y x x y y y y x x λ--+--+-----=1212()()()()()0x x x x y y y y ax by c λ⇔--+--+++=,其中0a x b y c ++=是直线A B 的方程,λ是待定的系数.(2)过直线l :0Ax By C ++=与圆C :220x y Dx Ey F ++++=的交点的圆系方程是22()0x y Dx Ey F Ax By C λ+++++++=,λ是待定的系数.(3) 过圆1C :221110x y D x E y F ++++=与圆2C :222220x y D x E y F ++++=的交点的圆系方程是2222111222()0x y D x E y F x y D x E y F λ+++++++++=,λ是待定的系数.88.点与圆的位置关系点00(,)P x y 与圆222)()(r b y a x =-+-的位置关系有三种若d =d r >⇔点P 在圆外;d r =⇔点P 在圆上;d r <⇔点P 在圆内.89.直线与圆的位置关系直线0=++C By Ax 与圆222)()(r b y a x =-+-的位置关系有三种: 0<∆⇔⇔>相离r d ; 0=∆⇔⇔=相切r d ; 0>∆⇔⇔<相交r d .其中22BA CBb Aa d +++=.90.两圆位置关系的判定方法设两圆圆心分别为O 1,O 2,半径分别为r 1,r 2,d O O =21 条公切线外离421⇔⇔+>r r d ; 条公切线外切321⇔⇔+=r r d ;条公切线相交22121⇔⇔+<<-r r d r r ; 条公切线内切121⇔⇔-=r r d ; 无公切线内含⇔⇔-<<210r r d .91.圆的切线方程(1)已知圆220x y Dx Ey F ++++=.①若已知切点00(,)x y 在圆上,则切线只有一条,其方程是 0000()()022D x xE y y x x y yF ++++++=.当00(,)x y 圆外时, 0000()()022D x xE y y x x y yF ++++++=表示过两个切点的切点弦方程.②过圆外一点的切线方程可设为00()y y k x x -=-,再利用相切条件求k ,这时必有两条切线,注意不要漏掉平行于y 轴的切线.③斜率为k 的切线方程可设为y kx b =+,再利用相切条件求b ,必有两条切线. (2)已知圆222x y r +=.①过圆上的000(,)P x y 点的切线方程为200x x y y r +=;②斜率为k 的圆的切线方程为y kx =±92.椭圆22221(0)x y a b a b +=>>的参数方程是cos sin x a y b θθ=⎧⎨=⎩.93.椭圆22221(0)x y a b ab +=>>焦半径公式 )(21cax e PF +=,)(22x c ae PF -=.94.椭圆的的内外部(1)点00(,)P x y 在椭圆22221(0)x y a b a b +=>>的内部2200221x y a b ⇔+<. (2)点00(,)P x y 在椭圆22221(0)x y a b ab+=>>的外部22221x y a b ⇔+>.95. 椭圆的切线方程 (1)椭圆22221(0)x y a b ab+=>>上一点00(,)P x y 处的切线方程是00221x x y y ab+=.(2)过椭圆22221(0)x y a b ab+=>>外一点00(,)P x y 所引两条切线的切点弦方程是00221x x y y ab+=.(3)椭圆22221(0)x y a b ab +=>>与直线0Ax By C ++=相切的条件是22222A aB b c +=. 96.双曲线22221(0,0)x y a b ab-=>>的焦半径公式21|()|aPF e x c=+,22|()|aPF e x c=-.97.双曲线的内外部(1)点00(,)P x y 在双曲线22221(0,0)x y a b a b -=>>的内部2200221x y a b ⇔->.(2)点00(,)P x y 在双曲线22221(0,0)xya b a b -=>>的外部22221x y a b⇔-<. 98.双曲线的方程与渐近线方程的关系(1)若双曲线方程为12222=-by ax ⇒渐近线方程:22220x y ab-=⇔x ab y ±=.(2)若渐近线方程为x ab y ±=⇔0=±by a x ⇒双曲线可设为λ=-2222by ax .(3)若双曲线与12222=-bya x有公共渐近线,可设为λ=-2222by ax (0>λ,焦点在x 轴上,0<λ,焦点在y 轴上).99. 双曲线的切线方程(1)双曲线22221(0,0)x y a b ab-=>>上一点00(,)P x y 处的切线方程是00221x x y y ab-=.(2)过双曲线22221(0,0)x y a b ab-=>>外一点00(,)P x y 所引两条切线的切点弦方程是00221x x y y ab-=.(3)双曲线22221(0,0)xya b a b-=>>与直线0Ax By C ++=相切的条件是22222A aB b c -=.100. 抛物线px y 22=的焦半径公式抛物线22(0)y px p =>焦半径02p C F x =+.过焦点弦长p x x p x p x CD ++=+++=212122.101.抛物线px y 22=上的动点可设为P ),2(2y py 或或)2,2(2pt pt P P (,)x y ,其中22y px = .102.二次函数2224()24b ac b y ax bx c a x aa-=++=++(0)a ≠的图象是抛物线:(1)顶点坐标为24(,)24bac ba a --;(2)焦点的坐标为241(,)24b ac b a a-+-;(3)准线方程是2414ac b y a--=.103.抛物线的内外部(1)点00(,)P x y 在抛物线22(0)y px p =>的内部22(0)y px p ⇔<>. 点00(,)P x y 在抛物线22(0)y px p =>的外部22(0)y px p ⇔>>. (2)点00(,)P x y 在抛物线22(0)y px p =->的内部22(0)y px p ⇔<->. 点00(,)P x y 在抛物线22(0)y px p =->的外部22(0)y px p ⇔>->. (3)点00(,)P x y 在抛物线22(0)x py p =>的内部22(0)x py p ⇔<>. 点00(,)P x y 在抛物线22(0)x py p =>的外部22(0)x py p ⇔>>. (4) 点00(,)P x y 在抛物线22(0)x py p =>的内部22(0)x py p ⇔<>. 点00(,)P x y 在抛物线22(0)x py p =->的外部22(0)x py p ⇔>->. 104. 抛物线的切线方程(1)抛物线px y 22=上一点00(,)P x y 处的切线方程是00()y y p x x =+.(2)过抛物线px y 22=外一点00(,)P x y 所引两条切线的切点弦方程是00()y y p x x =+. (3)抛物线22(0)y px p =>与直线0Ax By C ++=相切的条件是22pB AC =.105.两个常见的曲线系方程(1)过曲线1(,)0f x y =,2(,)0f x y =的交点的曲线系方程是12(,)(,)0f x y f x y λ+=(λ为参数).(2)共焦点的有心圆锥曲线系方程22221xya kb k+=--,其中22max{,}k a b <.当22m in{,}k a b >时,表示椭圆; 当2222m in{,}m ax{,}a b k a b <<时,表示双曲线.106.直线与圆锥曲线相交的弦长公式 AB =或1212||||AB x x y y ==-=-(弦端点A ),(),,(2211y xB y x ,由方程⎩⎨⎧=+=0)y ,x (F b kx y 消去y 得到02=++c bx ax ,0∆>,α为直线A B 的倾斜角,k 为直线的斜率).107.圆锥曲线的两类对称问题(1)曲线(,)0F x y =关于点00(,)P x y 成中心对称的曲线是00(2-,2)0F x x y y -=. (2)曲线(,)0F x y =关于直线0Ax By C ++=成轴对称的曲线是22222()2()(,)0A Ax By C B Ax By C F x y A BA B++++--=++.108.“四线”一方程对于一般的二次曲线220Ax Bxy C y D x Ey F +++++=,用0x x 代2x ,用0y y 代2y ,用002x y xy +代xy ,用02x x +代x ,用02y y +代y 即得方程0000000222x y xy x x y y A x x B C y y D E F ++++⋅++⋅+⋅+=,曲线的切线,切点弦,中点弦,弦中点方程均是此方程得到.109.证明直线与直线的平行的思考途径 (1)转化为判定共面二直线无交点;(2)转化为二直线同与第三条直线平行; (3)转化为线面平行; (4)转化为线面垂直; (5)转化为面面平行.110.证明直线与平面的平行的思考途径 (1)转化为直线与平面无公共点; (2)转化为线线平行; (3)转化为面面平行.111.证明平面与平面平行的思考途径 (1)转化为判定二平面无公共点; (2)转化为线面平行; (3)转化为线面垂直.112.证明直线与直线的垂直的思考途径 (1)转化为相交垂直; (2)转化为线面垂直;(3)转化为线与另一线的射影垂直; (4)转化为线与形成射影的斜线垂直. 113.证明直线与平面垂直的思考途径(1)转化为该直线与平面内任一直线垂直; (2)转化为该直线与平面内相交二直线垂直; (3)转化为该直线与平面的一条垂线平行; (4)转化为该直线垂直于另一个平行平面; (5)转化为该直线与两个垂直平面的交线垂直. 114.证明平面与平面的垂直的思考途径 (1)转化为判断二面角是直二面角; (2)转化为线面垂直.115.空间向量的加法与数乘向量运算的运算律 (1)加法交换律:a +b =b +a .(2)加法结合律:(a +b )+c =a +(b +c ). (3)数乘分配律:λ(a +b )=λa +λb .116.平面向量加法的平行四边形法则向空间的推广 始点相同且不在同一个平面内的三个向量之和,等于以这三个向量为棱的平行六面体的以公共始点为始点的对角线所表示的向量.117.共线向量定理对空间任意两个向量a 、b (b ≠0 ),a ∥b ⇔存在实数λ使a =λb . P A B 、、三点共线⇔||AP AB ⇔AP t AB =⇔(1)O P t O A tO B =-+ .||AB CD ⇔AB、CD 共线且A B C D 、不共线⇔AB tCD = 且A B C D 、不共线.118.共面向量定理向量p 与两个不共线的向量a 、b 共面的⇔存在实数对,x y ,使p ax by =+.推论 空间一点P 位于平面MAB 内的⇔存在有序实数对,x y ,使M P x M A y M B =+,或对空间任一定点O ,有序实数对,x y ,使O P O M x M A y M B =++.119.对空间任一点O 和不共线的三点A 、B 、C ,满足O P xO A yO B zO C =++(x y z k ++=),则当1k =时,对于空间任一点O ,总有P 、A 、B 、C 四点共面;当1k ≠时,若O ∈平面ABC ,则P 、A 、B 、C 四点共面;若O ∉平面ABC ,则P 、A 、B 、C 四点不共面.C A B 、、、D 四点共面⇔AD 与AB、A C 共面⇔A D x A B y A C =+ ⇔(1)O D x y O A xO B yO C =--++(O ∉平面ABC ).120.空间向量基本定理如果三个向量a 、b 、c 不共面,那么对空间任一向量p ,存在一个唯一的有序实数组x ,y ,z ,使p =x a +y b +z c .推论 设O 、A 、B 、C 是不共面的四点,则对空间任一点P ,都存在唯一的三个有序实数x ,y ,z ,使O P xO A y O B z O C =++ .121.射影公式 已知向量AB=a 和轴l ,e 是l 上与l 同方向的单位向量.作A 点在l 上的射影'A ,作B 点在l 上的射影'B ,则''||cos A B AB =〈a ,e 〉=a ·e122.向量的直角坐标运算设a =123(,,)a a a ,b =123(,,)b b b 则 (1)a +b =112233(,,)a b a b a b +++; (2)a -b =112233(,,)a b a b a b ---; (3)λa =123(,,)a a a λλλ (λ∈R); (4)a ·b =112233a b a b a b ++;123.设A 111(,,)x y z ,B 222(,,)x y z ,则 AB OB OA =-= 212121(,,)x x y y z z ---. 124.空间的线线平行或垂直 设111(,,)a x y z =r ,222(,,)b x y z =r,则 a b r r P ⇔(0)a b b λ=≠r r r r ⇔121212x x y y z zλλλ=⎧⎪=⎨⎪=⎩;a b ⊥r r ⇔0a b ⋅=r r⇔1212120x x y y z z ++=.125.夹角公式设a =123(,,)a a a ,b =123(,,)b b b ,则 cos 〈a ,b 〉.推论 2222222112233123123()()()a b a b a b a a a b b b ++≤++++,此即三维柯西不等式.126. 四面体的对棱所成的角四面体A B C D 中, A C 与B D 所成的角为θ,则 2222|()()|cos 2AB CD BC DA AC BDθ+-+=⋅.127.异面直线所成角cos |cos ,|a b θ=r r=||||||a b a b ⋅=⋅r rr r(其中θ(090θ<≤oo)为异面直线a b ,所成角,,a b r分别表示异面直线a b ,的方向向量)128.直线A B 与平面所成角sin ||||AB m arc AB m β⋅=(m为平面α的法向量). 129.若A B C ∆所在平面若β与过若A B 的平面α成的角θ,另两边A C ,B C 与平面α成的角分别是1θ、2θ,A B 、为A B C ∆的两个内角,则2222212sin sin (sin sin )sin A B θθθ+=+.特别地,当90ACB ∠= 时,有22212sin sin sin θθθ+=.130.若A B C ∆所在平面若β与过若A B 的平面α成的角θ,另两边A C ,B C 与平面α成的角分别是1θ、2θ,''A B 、为A B O ∆的两个内角,则222'2'212tan tan (sin sin )tan A B θθθ+=+.特别地,当90AOB ∠= 时,有22212sin sin sin θθθ+=.131.二面角l αβ--的平面角cos ||||m n arc m n θ⋅= 或cos ||||m narc m n π⋅-(m ,n 为平面α,β的法向量).132.三余弦定理设AC 是α内的任一条直线,且BC ⊥AC ,垂足为C ,又设AO 与AB 所成的角为1θ,AB 与AC 所成的角为2θ,AO 与AC 所成的角为θ.则12cos cos cos θθθ=.133. 三射线定理若夹在平面角为ϕ的二面角间的线段与二面角的两个半平面所成的角是1θ,2θ,与二面角的棱所成的角是θ,则有22221212sin sin sin sin 2sin sin cos ϕθθθθθϕ=+- ;1212||180()θθϕθθ-≤≤-+ (当且仅当90θ=时等号成立).134.空间两点间的距离公式若A 111(,,)x y z ,B 222(,,)x y z ,则,A B d =||AB ==.135.点Q 到直线l 距离h =(点P 在直线l 上,直线l 的方向向量a =PA,向量b =P Q ).136.异面直线间的距离||||C D n d n ⋅=(12,l l 是两异面直线,其公垂向量为n ,C D 、分别是12,l l 上任一点,d 为12,l l 间的距离).137.点B 到平面α的距离||||A B n d n ⋅=(n 为平面α的法向量,A B 是经过面α的一条斜线,A α∈).138.d =.d =d ='E AAF ϕ=--).(两条异面直线a 、b 所成的角为θ,其公垂线段'AA 的长度为h.在直线a 、b 上分别取两点E 、F ,'A E m =,A F n =,E F d =).139.三个向量和的平方公式2222()222a b c a b c a b b c c a ++=+++⋅+⋅+⋅2222||||cos ,2||||cos ,2||||cos ,a b c a b a b b c b c c a c a =+++⋅+⋅+⋅140. 长度为l 的线段在三条两两互相垂直的直线上的射影长分别为123l l l 、、,夹角分别为123θθθ、、,则有2222123l l l l =++222123cos cos cos 1θθθ⇔++=222123sin sin sin 2θθθ⇔++=.(立体几何中长方体对角线长的公式是其特例).141. 面积射影定理'cos SS θ=. (平面多边形及其射影的面积分别是S 、'S ,它们所在平面所成锐二面角的为θ). 142. 斜棱柱的直截面已知斜棱柱的侧棱长是l ,侧面积和体积分别是S 斜棱柱侧和V 斜棱柱,它的直截面的周长和面积分别是1c 和1S ,则①1S c l =斜棱柱侧. ②1V S l =斜棱柱.143.作截面的依据三个平面两两相交,有三条交线,则这三条交线交于一点或互相平行. 144.棱锥的平行截面的性质如果棱锥被平行于底面的平面所截,那么所得的截面与底面相似,截面面积与底面面积的比等于顶点到截面距离与棱锥高的平方比(对应角相等,对应边对应成比例的多边形是相似多边形,相似多边形面积的比等于对应边的比的平方);相应小棱锥与小棱锥的侧面积的比等于顶点到截面距离与棱锥高的平方比.145.欧拉定理(欧拉公式)2V F E +-=(简单多面体的顶点数V 、棱数E 和面数F).(1)E =各面多边形边数和的一半.特别地,若每个面的边数为n 的多边形,则面数F 与棱数E 的关系:12E nF =;(2)若每个顶点引出的棱数为m ,则顶点数V 与棱数E 的关系:12E m V =.146.球的半径是R ,则 其体积343V R π=,其表面积24S R π=. 147.球的组合体(1)球与长方体的组合体:长方体的外接球的直径是长方体的体对角线长. (2)球与正方体的组合体:正方体的内切球的直径是正方体的棱长, 正方体的棱切球的直径是正方体的面对角线长, 正方体的外接球的直径是正方体的体对角线长. (3) 球与正四面体的组合体:棱长为a 的正四面体的内切球的半径为12a ,外接球的半径为4a .148.柱体、锥体的体积13V Sh =柱体(S 是柱体的底面积、h 是柱体的高). 13V Sh =锥体(S 是锥体的底面积、h 是锥体的高).149.分类计数原理(加法原理)12n N m m m =+++ .150.分步计数原理(乘法原理) 12n N m m m =⨯⨯⨯ . 151.排列数公式mn A =)1()1(+--m n n n =!!)(m n n -.(n ,m ∈N *,且m n ≤).注:规定1!0=. 152.排列恒等式(1)1(1)m m n n A n m A -=-+; (2)1m mn n n A A n m-=-;(3)11m m n n A nA --=; (4)11n n n n n n nA A A ++=-; (5)11m m m n n n A A m A -+=+.(6) 1!22!33!!(1)!1n n n +⋅+⋅++⋅=+- . 153.组合数公式m nC=mn m mA A=mm n n n ⨯⨯⨯+-- 21)1()1(=!!!)(m n m n -⋅(n ∈N *,m N ∈,且m n ≤).154.组合数的两个性质 (1)mn C =mn nC - ; (2) mn C +1-m nC =mn C 1+.注:规定10=n C .155.组合恒等式 (1)11mm n nn m C C m --+=;(2)1m mn n n C C n m -=-;(3)11m m n n n C C m--=;(4)∑=n r r n C 0=n 2;(5)1121++++=++++r n r n r r r r r r C C C C C . (6)nn n r n n n n C C C C C 2210=++++++ .(7)14205312-+++=+++n n n n n n n C C C C C C .(8)1321232-=++++n n n n n n n nC C C C .(9)rn m r n r m n r m n r m C C C C C C C +-=+++0110 .(10)nn n n n n n C C C C C 22222120)()()()(=++++ .156.排列数与组合数的关系mmn n A m C =⋅! .157.单条件排列以下各条的大前提是从n 个元素中取m 个元素的排列. (1)“在位”与“不在位”①某(特)元必在某位有11--m n A 种;②某(特)元不在某位有11---m n m n A A (补集思想)1111---=m n n A A (着眼位置)11111----+=m n m m n A A A (着眼元素)种. (2)紧贴与插空(即相邻与不相邻)①定位紧贴:)(n m k k ≤≤个元在固定位的排列有k m k n k k A A --种.②浮动紧贴:n 个元素的全排列把k 个元排在一起的排法有kk k n k n A A 11+-+-种.注:此类问题常用捆绑法;③插空:两组元素分别有k 、h 个(1+≤h k ),把它们合在一起来作全排列,k 个的一组互不能挨近的所有排列数有k h h h A A 1+种.(3)两组元素各相同的插空m 个大球n 个小球排成一列,小球必分开,问有多少种排法? 当1+>m n 时,无解;当1+≤m n 时,有nm n nnm C A A 11++=种排法.(4)两组相同元素的排列:两组元素有m 个和n 个,各组元素分别相同的排列数为nnm C +. 158.分配问题(1)(平均分组有归属问题)将相异的m 、n 个物件等分给m 个人,各得n 件,其分配方法数共有mnn n n n n mn n n mn n mn n mn C C C C C N )!()!(22=⋅⋅⋅⋅⋅=-- .(2)(平均分组无归属问题)将相异的m ·n 个物体等分为无记号或无顺序的m 堆,其分配方法数共有 mnnnn nn mn nn mn nmn n m mn m C C C C C N )!(!)!(!...22=⋅⋅⋅⋅=--.(3)(非平均分组有归属问题)将相异的) 12m P(P=n +n ++n 个物体分给m 个人,物件必须被分完,分别得到1n ,2n ,…,m n 件,且1n ,2n ,…,m n 这m 个数彼此不相等,则其分配方法数共有!!...!!!! (212)11m n n nn p n p n n n m p m C C C N mm=⋅⋅=-.(4)(非完全平均分组有归属问题)将相异的) 12m P(P=n +n ++n 个物体分给m 个人,物件必须被分完,分别得到1n ,2n ,…,m n 件,且1n ,2n ,…,m n 这m 个数中分别有a 、b 、c 、…个相等,则其分配方法数有!...!!!...211c b a m C C C N mm nn n n p n p ⋅⋅=- 12!!!!...!(!!!...)m p m n n n a b c =.(5)(非平均分组无归属问题)将相异的) 12m P(P=n +n ++n 个物体分为任意的1n ,2n ,…,m n 件无记号的m 堆,且1n ,2n ,…,m n 这m 个数彼此不相等,则其分配方法数有!!...!!21m n n n p N =.(6)(非完全平均分组无归属问题)将相异的) 12m P (P =n +n ++n 个物体分为任意的1n ,2n ,…,m n 件无记号的m 堆,且1n ,2n ,…,m n 这m 个数中分别有a 、b 、c 、…个相等,则其分配方法数有!...)!!(!!...!!21c b a n n n p N m =.(7)(限定分组有归属问题)将相异的p (2m p n n n = 1+++)个物体分给甲、乙、丙,……等m 个人,物体必须被分完,如果指定甲得1n 件,乙得2n 件,丙得3n 件,…时,则无论1n ,2n ,…,m n 等m 个数是否全相异或不全相异其分配方法数恒有!!...!!...21211m nn n n p n p n n n p C C C N mm =⋅=-.159.“错位问题”及其推广贝努利装错笺问题:信n 封信与n 个信封全部错位的组合数为。
高中数学公式定理大全有了这些,普通题、难题、偏题、怪题、竞赛题都不是问题,熟练掌握、灵活运用,大大提高解题效率、节省宝贵时间!公式:抛物线:ψ = αξ *+ βξ + χ就是ψ等于αξ 的平方加上 βξ再加上 χ α > 0时开口向上 α < 0时开口向下 χ = 0时抛物线经过原点 β = 0时抛物线对称轴为ψ轴 还有顶点式ψ = α(ξ+η)* + κ 就是ψ等于α乘以(ξ+η)的平方+κ -η是顶点坐标的ξ κ是顶点坐标的ψ 一般用于求最大值与最小值 抛物线标准方程:ψ⊥2=2πξ 它表示抛物线的焦点在ξ的正半轴上,焦点坐标为(π/2,0) 准线方程为ξ=-π/2 由于抛物线的焦点可在任意半轴,故共有标准方程ψ⊥2=2πξ ψ⊥2=-2πξ ξ⊥2=2πψ ξ⊥2=-2πψ圆:体积=4/3(πι)(ρ⊥3) 面积=(πι)(ρ⊥2) 周长=2(πι)ρ 圆的标准方程 (ξ-α)2+(ψ-β)2=ρ2 注:(α,β)是圆心坐标 圆的一般方程 ξ2+ψ2+∆ξ+Eψ+Φ=0 注:∆2+E2-4Φ>0(一)椭圆周长计算公式 椭圆周长公式:Λ=2β+4(α-β) 椭圆周长定理:椭圆的周长等于该椭圆短半轴长为半径的圆周长(2β)加上四倍的该椭圆长半轴长(α)与短半轴长(β)的差。
(二)椭圆面积计算公式 椭圆面积公式: ∑=αβ 椭圆面积定理:椭圆的面积等于圆周率( )乘该椭圆长半轴长(α)与短半轴长(β)的乘积。
以上椭圆周长、面积公式中虽然没有出现椭圆周率T,但这两个公式都是通过椭圆周率T推导演变而来。
常数为体,公式为用。
椭圆形物体 体积计算公式椭圆 的 长半径*短半径*∏AI*高三角函数: 两角和公式 σιν(A+B)=σινAχοσB+χοσAσινB σιν(A-B)=σινAχοσB-σινBχοσA χοσ(A+B)=χοσAχοσB-σινAσινB χοσ(A-B)=χοσAχοσB+σινAσινB ταν(A+B)=(τανA+τανB)/(1-τανAτανB) ταν(A-B)=(τανA-τανB)/(1+τανAτανB) χοτ(A+B)=(χοτAχοτB-1)/(χοτB+χοτA) χοτ(A-B)=(χοτAχοτB+1)/(χοτB-χοτA) 倍角公式 ταν2A=2τανA/(1-ταν2A) χοτ2A=(χοτ2A-1)/2χοτα χοσ2α=χοσ2α-σιν2α=2χοσ2α-1=1-2σιν2α-1)/ν]=0 σιν〈+σιν(〈+2/ν)+σιν(〈+2*2/ν)+σιν(〈+2*3/ν)++σιν[〈+2*(ν-1)/ν]=0 以及 χοσ〈+χοσ(〈+2/ν)+χοσ(〈+2*2/ν)+χοσ(〈+2*3/ν)++χοσ[〈+2*(νσιν⊥2(〈)+σιν⊥2(〈-2/3)+σιν⊥2(〈+2/3)=3/2τανAτανBταν(A+B)+τανA+τανB-ταν(A+B)=0 四倍角公式: σιν4A=-4*(χοσA*σινA*(2*σινA⊥2-1)) χοσ4A=1+(-8*χοσA⊥2+8*χοσA⊥4) ταν4A=(4*τανA-4*τανA⊥3)/(1-6*τανA⊥2+τανA⊥4) 五倍角公式: σιν5A=16σινA⊥5-20σινA⊥3+5σινA χοσ5A=16χοσA⊥5-20χοσA⊥3+5χοσA ταν5A=τανA*(5-10*τανA⊥2+τανA⊥4)/(1-10*τανA⊥2+5*τανA⊥4) 六倍角公式: σιν6A=2*(χοσA*σινA*(2*σινA+1)*(2*σινA-1)*(-3+4*σινA⊥2)) χοσ6A=((-1+2*χοσA⊥2)*(16*χοσA⊥4-16*χοσA⊥2+1)) ταν6A=(-6*τανA+20*τανA⊥3-6*τανA⊥5)/(-1+15*τανA⊥2-15*τανA⊥4+τανA⊥6) 七倍角公式: σιν7A=-(σινA*(56*σινA⊥2-112*σινA⊥4-7+64*σινA⊥6)) χοσ7A=(χοσA*(56*χοσA⊥2-112*χοσA⊥4+64*χοσA⊥6-7)) ταν7A=τανA*(-7+35*τανA⊥2-21*τανA⊥4+τανA⊥6)/(-1+21*τανA⊥2-35*τανA⊥4+7*τανA⊥6)八倍角公式: σιν8A=-8*(χοσA*σινA*(2*σινA⊥2-1)*(-8*σινA⊥2+8*σινA⊥4+1)) χοσ8A=1+(160*χοσA⊥4-256*χοσA⊥6+128*χοσA⊥8-32*χοσA⊥2) ταν8A=-8*τανA*(-1+7*τανA⊥2-7*τανA⊥4+τανA⊥6)/(1-28*τανA⊥2+70*τανA⊥4-28*τανA⊥6+τανA⊥8)九倍角公式: σιν9A=(σινA*(-3+4*σινA⊥2)*(64*σινA⊥6-96*σινA⊥4+36*σινA⊥2-3)) χοσ9A=(χοσA*(-3+4*χοσA⊥2)*(64*χοσA⊥6-96*χοσA⊥4+36*χοσA⊥2-3)) ταν9A=τανA*(9-84*τανA⊥2+126*τανA⊥4-36*τανA⊥6+τανA⊥8)/(1-36*τανA⊥2+126*τανA⊥4-84*τανA⊥6+9*τανA⊥8)十倍角公式: σιν10A=2*(χοσA*σινA*(4*σινA⊥2+2*σινA-1)*(4*σινA⊥2-2*σινA-1)*(-20*σινA⊥2+5+16*σινA⊥4))χοσ10A=((-1+2*χοσA⊥2)*(256*χοσA⊥8-512*χοσA⊥6+304*χοσA⊥4-48*χοσA⊥2+1)) ταν10A=-2*τανA*(5-60*τανA⊥2+126*τανA⊥4-60*τανA⊥6+5*τανA⊥8)/(-1+45*τανA⊥2-210*τανA⊥4+210*τανA⊥6-45*τανA⊥8+τανA⊥10)∙万能公式: σιν〈=2ταν(〈/2)/[1+ταν⊥2(〈/2)], χοσ〈=[1-ταν⊥2(〈/2)]/[1+ταν⊥2(〈/2)] ταν〈=2ταν(〈/2)/[1-ταν⊥2(〈/2)] 半角公式 σιν(A/2)=((1-χοσA)/2) σιν(A/2)=-((1-χοσA)/2) χοσ(A/2)=((1+χοσA)/2) χοσ(A/2)=-((1+χοσA)/2) ταν(A/2)=((1-χοσA)/((1+χοσA)) ταν(A/2)=-((1-χοσA)/((1+χοσA)) χοτ(A/2)=((1+χοσA)/((1-χοσA)) χοτ(A/2)=-((1+χοσA)/((1-χοσA)) 和差化积 2σινAχοσB=σιν(A+B)+σιν(A-B) 2χοσAσινB=σιν(A+B)-σιν(A-B) 2χοσAχοσB=χοσ(A+B)-σιν(A-B) -2σινAσινB=χοσ(A+B)-χοσ(A-B) σινA+σινB=2σιν((A+B)/2)χοσ((A-B)/2 χοσA+χοσB=2χοσ((A+B)/2)σιν((A-B)/2) τανA+τανB=σιν(A+B)/χοσAχοσB τανA-τανB=σιν(A-B)/χοσAχοσB χοτA+χοτBσιν(A+B)/σινAσινB -χοτA+χοτBσιν(A+B)/σινAσινB 某些数列前ν项和 1+2+3+4+5+6+7+8+9++ν=ν(ν+1)/2 1+3+5+7+9+11+13+15++(2ν-1)=ν2 2+4+6+8+10+12+14++(2ν)=ν(ν+1) 1⊥2+2⊥2+3⊥2+4⊥2+5⊥2+6⊥2+7⊥2+8⊥2++ν⊥2=ν(ν+1)(2ν+1)/61⊥3+2⊥3+3⊥3+4⊥3+5⊥3+6⊥3+ν⊥3=(ν(ν+1)/2)⊥2 1*2+2*3+3*4+4*5+5*6+6*7++ν(ν+1)=ν(ν+1)(ν+2)/3正弦定理 α/σινA=β/σινB=χ/σινX=2P 注: 其中 P 表示三角形的外接圆半径 余弦定理 β2=α2+χ2-2αχχοσB 注:角B是边α和边χ的夹角 乘法与因式分 α2-β2=(α+β)(α-β) α3+β3=(α+β)(α2-αβ+β2) α3-β3=(α-β(α2+αβ+β2)三角不等式 |α+β|δ|α|+|β| |α-β|δ|α|+|β| |α|δβ<=>-βδαδβ |α-β|ε|α|-|β| -|α|δαδ|α|一元二次方程的解 -β+(β2-4αχ)/2α -β-(β2-4αχ)/2α 根与系数的关系 ξ1+ξ2=-β/α ξ1*ξ2=χ/α 注:韦达定理 判别式 β2-4α=0 注:方程有相等的两实根 β2-4αχ>0 注:方程有两个不相等的个实根 β2-4αχ<0 注:方程有共轭复数根公式分类 公式表达式 圆的标准方程 (ξ-α)2+(ψ-β)2=ρ2 注:(α,β)是圆心坐标 圆的一般方程 ξ2+ψ2+∆ξ+Eψ+Φ=0 注:∆2+E2-4Φ>0 抛物线标准方程 ψ2=2πξ ψ2=-2πξ ξ2=2πψ ξ2=-2πψ 直棱柱侧面积 ∑=χ*η 斜棱柱侧面积 ∑=χ∍*η正棱锥侧面积 ∑=1/2χ*η∍ 正棱台侧面积 ∑=1/2(χ+χ∍)η∍ 圆台侧面积 ∑=1/2(χ+χ∍)λ=πι(P+ρ)λ 球的表面积 ∑=4πι*ρ2 圆柱侧面积 ∑=χ*η=2πι*η 圆锥侧面积 ∑=1/2*χ*λ=πι*ρ*λ 弧长公式 λ=α*ρ α是圆心角的弧度数ρ >0 扇形面积公式 σ=1/2*λ*ρ 锥体体积公式 ς=1/3*∑*H 圆锥体体积公式 ς=1/3*πι*ρ2η 斜棱柱体积 ς=∑∍Λ 注:其中,∑∍是直截面面积, Λ是侧棱长 柱体体积公式 ς=σ*η 圆柱体 ς=πι*ρ2η 图形周长 面积 体积公式 长方形的周长=(长+宽)⋅2 正方形的周长=边长⋅4 长方形的面积=长⋅宽 正方形的面积=边长⋅边长三角形的面积 已知三角形底α,高η,则∑=αη/2 已知三角形三边α,β,χ,半周长π,则∑= [π(π - α)(π - β)(π - χ)] (海伦公式)(π=(α+β+χ)/2) 和:(α+β+χ)*(α+β-χ)*1/4 已知三角形两边α,β,这两边夹角X,则∑=αβσινX/2 设三角形三边分别为α、β、χ,内切圆半径为ρ 则三角形面积=(α+β+χ)ρ/2 设三角形三边分别为α、β、χ,外接圆半径为ρ 则三角形面积=αβχ/4ρ 已知三角形三边α、β、χ,则∑= {1/4[χ⊥2α⊥2-((χ⊥2+α⊥2-β⊥2)/2)⊥2]} (三斜求积 南宋秦九韶) | α β 1 | ∑△=1/2 * | c d 1 | | ε φ 1 | 【| α β 1 || χ δ 1 | 为三阶行列式,此三角形ABX在平面直角坐标系内A(α,β),B(χ,δ), X(ε,φ),这里ABX| ε φ 1 | 选区取最好按逆时针顺序从右上角开始取,因为这样取得出的结果一般都为正值,如果不按这个规则取,可能会得到负值,但不要紧,只要取绝对值就可以了,不会影响三角形面积的大小!】秦九韶三角形中线面积公式: ∑=[(Mα+Mβ+Mχ)*(Mβ+Mχ-Mα)*(Mχ+Mα-Mβ)*(Mα+Mβ-Mχ)]/3 其中Mα,Mβ,Mχ为三角形的中线长. 平行四边形的面积=底⋅高 梯形的面积=(上底+下底)⋅高⎪2 直径=半径⋅2 半径=直径⎪2 圆的周长=圆周率⋅直径= 圆周率⋅半径⋅2 圆的面积=圆周率⋅半径⋅半径 长方体的表面积= (长⋅宽+长⋅高+宽⋅高)⋅2 长方体的体积 =长⋅宽⋅高 正方体的表面积=棱长⋅棱长⋅6 正方体的体积=棱长⋅棱长⋅棱长 圆柱的侧面积=底面圆的周长⋅高 圆柱的表面积=上下底面面积+侧面积 圆柱的体积=底面积⋅高 圆锥的体积=底面积⋅高⎪3 长方体(正方体、圆柱体) 的体积=底面积⋅高 平面图形 名称 符号 周长X和面积∑ 正方形 α边长 X=4α ∑=α2 长方形 α和β-边长 X=2(α+β) ∑=αβ 三角形 α,β,χ-三边长 η-α边上的高 σ-周长的一半 A,B,X-内角 其中σ=(α+β+χ)/2 ∑=αη/2 =αβ/2?σινX =[σ(σ-α)(σ-β)(σ-χ)]1/2 =α2σινBσινX/(2σινA)定理:1 过两点有且只有一条直线2 两点之间线段最短3 同角或等角的补角相等4 同角或等角的余角相等5 过一点有且只有一条直线和已知直线垂直6 直线外一点与直线上各点连接的所有线段中,垂线段最短7 平行公理 经过直线外一点,有且只有一条直线与这条直线平行8 如果两条直线都和第三条直线平行,这两条直线也互相平行9 同位角相等,两直线平行10 内错角相等,两直线平行11 同旁内角互补,两直线平行 12两直线平行,同位角相等13 两直线平行,内错角相等14 两直线平行,同旁内角互补15 定理 三角形两边的和大于第三边16 推论 三角形两边的差小于第三边17 三角形内角和定理 三角形三个内角的和等于180︒18 推论1 直角三角形的两个锐角互余19 推论2 三角形的一个外角等于和它不相邻的两个内角的和20 推论3 三角形的一个外角大于任何一个和它不相邻的内角21 全等三角形的对应边、对应角相等 22边角边公理(σασ) 有两边和它们的夹角对应相等的两个三角形全等23 角边角公理( ασα)有两角和它们的夹边对应相等的两个三角形全等24 推论(αασ) 有两角和其中一角的对边对应相等的两个三角形全等25 边边边公理(σσσ) 有三边对应相等的两个三角形全等26 斜边、直角边公理(ηλ) 有斜边和一条直角边对应相等的两个直角三角形全等27 定理1 在角的平分线上的点到这个角的两边的距离相等28 定理2 到一个角的两边的距离相同的点,在这个角的平分线上29 角的平分线是到角的两边距离相等的所有点的集合30 等腰三角形的性质定理 等腰三角形的两个底角相等 (即等边对等角)31 推论1 等腰三角形顶角的平分线平分底边并且垂直于底边32 等腰三角形的顶角平分线、底边上的中线和底边上的高互相重合33 推论3 等边三角形的各角都相等,并且每一个角都等于60︒34 等腰三角形的判定定理 如果一个三角形有两个角相等,那么这两个角所对的边也相等(等角对等边)35 推论1 三个角都相等的三角形是等边三角形36 推论 2 有一个角等于60︒的等腰三角形是等边三角形37 在直角三角形中,如果一个锐角等于30︒那么它所对的直角边等于斜边的一半38 直角三角形斜边上的中线等于斜边上的一半39 定理 线段垂直平分线上的点和这条线段两个端点的距离相等40 逆定理 和一条线段两个端点距离相等的点,在这条线段的垂直平分线上41 线段的垂直平分线可看作和线段两端点距离相等的所有点的集合42 定理1 关于某条直线对称的两个图形是全等形43 定理 2 如果两个图形关于某直线对称,那么对称轴是对应点连线的垂直平分线 44定理3 两个图形关于某直线对称,如果它们的对应线段或延长线相交,那么交点在对称轴上 45逆定理 如果两个图形的对应点连线被同一条直线垂直平分,那么这两个图形关于这条直线对称 46勾股定理 直角三角形两直角边α、β的平方和、等于斜边χ的平方,即α⊥2+β⊥2=χ⊥247勾股定理的逆定理 如果三角形的三边长α、β、χ有关系α⊥2+β⊥2=χ⊥2 ,那么这个三角形是直角三角形 48定理 四边形的内角和等于360︒ 49四边形的外角和等于360︒ 50多边形内角和定理 ν边形的内角的和等于(ν-2)⋅180︒ 51推论 任意多边的外角和等于360︒ 52平行四边形性质定理1 平行四边形的对角相等 53平行四边形性质定理2 平行四边形的对边相等 54推论 夹在两条平行线间的平行线段相等 55平行四边形性质定理3 平行四边形的对角线互相平分56平行四边形判定定理1 两组对角分别相等的四边形是平行四边形 57平行四边形判定定理2 两组对边分别相等的四边形是平行四边形 58平行四边形判定定理3 对角线互相平分的四边形是平行四边形 59平行四边形判定定理4 一组对边平行相等的四边形是平行四边形 60矩形性质定理1 矩形的四个角都是直角 61矩形性质定理2 矩形的对角线相等 62矩形判定定理1 有三个角是直角的四边形是矩形 63矩形判定定理2 对角线相等的平行四边形是矩形 64菱形性质定理1 菱形的四条边都相等 65菱形性质定理2 菱形的对角线互相垂直,并且每一条对角线平分一组对角 66菱形面积=对角线乘积的一半,即σ=(α⋅β)⎪2 67菱形判定定理1 四边都相等的四边形是菱形 68菱形判定定理2 对角线互相垂直的平行四边形是菱形 69正方形性质定理1 正方形的四个角都是直角,四条边都相等 70正方形性质定理2正方形的两条对角线相等,并且互相垂直平分,每条对角线平分一组对角71定理1 关于中心对称的两个图形是全等的72定理2 关于中心对称的两个图形,对称点连线都经过对称中心,并且被对称中心平分 73逆定理 如果两个图形的对应点连线都经过某一点,并且被这一点平分,那么这两个图形关于这一点对称 74等腰梯形性质定理 等腰梯形在同一底上的两个角相等 75等腰梯形的两条对角线相等 76等腰梯形判定定理 在同一底上的两个角相等的梯形是等腰梯形 77对角线相等的梯形是等腰梯形 78平行线等分线段定理 如果一组平行线在一条直线上截得的线段相等,那么在其他直线上截得的线段也相等79 推论1 经过梯形一腰的中点与底平行的直线,必平分另一腰80 推论2 经过三角形一边的中点与另一边平行的直线,必平分第三边81 三角形中位线定理 三角形的中位线平行于第三边,并且等于它的一半82 梯形中位线定理 梯形的中位线平行于两底,并且等于两底和的一半 λ=(α+β)⎪2 σ=λ⋅η83 (1)比例的基本性质 如果α:β=χ:δ,那么αδ=βχ 如果αδ=βχ,那么α:β=χ:δ84 (2)合比性质 如果α/β=χ/δ,那么(α±β)/β=(χ±δ)/δ85 (3)等比性质 如果α/β=χ/δ==μ/ν(β+δ++ν⎺0),那么 (α+χ++μ)/(β+δ++ν)=α/β86 平行线分线段成比例定理 三条平行线截两条直线,所得的对应线段成比例87 推论 平行于三角形一边的直线截其他两边(或两边的延长线),所得的对应线段成比例 88 定理 如果一条直线截三角形的两边(或两边的延长线)所得的对应线段成比例,那么这条直线平行于三角形的第三边 89 平行于三角形的一边,并且和其他两边相交的直线,所截得的三角形的三边与原三角形三边对应成比例 90 定理 平行于三角形一边的直线和其他两边(或两边的延长线)相交,所构成的三角形与原三角形相似91 相似三角形判定定理1 两角对应相等,两三角形相似(ασα)92 直角三角形被斜边上的高分成的两个直角三角形和原三角形相似93 判定定理2 两边对应成比例且夹角相等,两三角形相似(σασ)94 判定定理3 三边对应成比例,两三角形相似(σσσ)95 定理 如果一个直角三角形的斜边和一条直角边与另一个直角三角形的斜边和一条直角边对应成比例,那么这两个直角三角形相似 96 性质定理1 相似三角形对应高的比,对应中线的比与对应角平分线的比都等于相似比97 性质定理2 相似三角形周长的比等于相似比98 性质定理3 相似三角形面积的比等于相似比的平方99 任意锐角的正弦值等于它的余角的余弦值,任意锐角的余弦值等 于它的余角的正弦值 100任意锐角的正切值等于它的余角的余切值,任意锐角的余切值等于它的余角的正切值101圆是定点的距离等于定长的点的集合 102圆的内部可以看作是圆心的距离小于半径的点的集合 103圆的外部可以看作是圆心的距离大于半径的点的集合 104同圆或等圆的半径相等 105到定点的距离等于定长的点的轨迹,是以定点为圆心,定长为半径的圆 106和已知线段两个端点的距离相等的点的轨迹,是着条线段的垂直平分线 107到已知角的两边距离相等的点的轨迹,是这个角的平分线 108到两条平行线距离相等的点的轨迹,是和这两条平行线平行且距离相等的一条直线 109定理 不在同一直线上的三点确定一个圆。
初高中数学公式定理大全1 过两点有且只有一条直线2 两点之间线段最短3 同角或等角的补角相等4 同角或等角的余角相等5 过一点有且只有一条直线和已知直线垂直6 直线外一点与直线上各点连接的所有线段中,垂线段最短7 平行公理经过直线外一点,有且只有一条直线与这条直线平行8 如果两条直线都和第三条直线平行,这两条直线也互相平行9 同位角相等,两直线平行10 内错角相等,两直线平行11 同旁内角互补,两直线平行12 两直线平行,同位角相等13 两直线平行,内错角相等14 两直线平行,同旁内角互补15 定理三角形两边的和大于第三边16 推论三角形两边的差小于第三边17 三角形内角和定理三角形三个内角的和等于180°18 推论1 直角三角形的两个锐角互余19 推论2 三角形的一个外角等于和它不相邻的两个内角的和20 推论3 三角形的一个外角大于任何一个和它不相邻的内角21 全等三角形的对应边、对应角相等22边角边公理(SAS) 有两边和它们的夹角对应相等的两个三角形全等23 角边角公理(ASA)有两角和它们的夹边对应相等的两个三角形全等24 推论(AAS) 有两角和其中一角的对边对应相等的两个三角形全等25 边边边公理(SSS)有三边对应相等的两个三角形全等26 斜边、直角边公理(HL)有斜边和一条直角边对应相等的两个直角三角形全等27 定理1 在角的平分线上的点到这个角的两边的距离相等28 定理2 到一个角的两边的距离相同的点,在这个角的平分线上29 角的平分线是到角的两边距离相等的所有点的集合30 等腰三角形的性质定理等腰三角形的两个底角相等(即等边对等角)31 推论1 等腰三角形顶角的平分线平分底边并且垂直于底边32 等腰三角形的顶角平分线、底边上的中线和底边上的高互相重合33 推论3 等边三角形的各角都相等,并且每一个角都等于60°34 等腰三角形的判定定理如果一个三角形有两个角相等,那么这两个角所对的边也相等(等角对等边)35 推论1 三个角都相等的三角形是等边三角形36 推论2 有一个角等于60°的等腰三角形是等边三角形38 直角三角形斜边上的中线等于斜边上的一半39 定理线段垂直平分线上的点和这条线段两个端点的距离相等40 逆定理和一条线段两个端点距离相等的点,在这条线段的垂直平分线上41 线段的垂直平分线可看作和线段两端点距离相等的所有点的集合42 定理1 关于某条直线对称的两个图形是全等形43 定理2 如果两个图形关于某直线对称,那么对称轴是对应点连线的垂直平分线44 定理3 两个图形关于某直线对称,如果它们的对应线段或延长线相交,那么交点在对称轴上45 逆定理如果两个图形的对应点连线被同一条直线垂直平分,那么这两个图形关于这条直线对称46 勾股定理直角三角形两直角边a、b的平方和、等于斜边c的平方,即a2+b2=c247 勾股定理的逆定理如果三角形的三边长a、b、c有关系a2+b2=c2,那么这个三角形是直角三角形48 定理四边形的内角和等于360°49 四边形的外角和等于360°50 多边形内角和定理n边形的内角的和等于(n—2)×180°51 推论任意多边的外角和等于360°52 平行四边形性质定理1 平行四边形的对角相等53 平行四边形性质定理2 平行四边形的对边相等54 推论夹在两条平行线间的平行线段相等55 平行四边形性质定理3 平行四边形的对角线互相平分56 平行四边形判定定理1 两组对角分别相等的四边形是平行四边形57 平行四边形判定定理2 两组对边分别相等的四边形是平行四边形58 平行四边形判定定理3 对角线互相平分的四边形是平行四边形59 平行四边形判定定理4 一组对边平行相等的四边形是平行四边形60 矩形性质定理1 矩形的四个角都是直角61 矩形性质定理2 矩形的对角线相等62 矩形判定定理1 有三个角是直角的四边形是矩形63 矩形判定定理2 对角线相等的平行四边形是矩形64 菱形性质定理1 菱形的四条边都相等65 菱形性质定理2 菱形的对角线互相垂直,并且每一条对角线平分一组对角66 菱形面积=对角线乘积的一半,即S=(a×b)÷267 菱形判定定理1 四边都相等的四边形是菱形68 菱形判定定理2 对角线互相垂直的平行四边形是菱形69 正方形性质定理1 正方形的四个角都是直角,四条边都相等70 正方形性质定理2正方形的两条对角线相等,并且互相垂直平分,每条对角线平分一组对角71 定理1 关于中心对称的两个图形是全等的72 定理2 关于中心对称的两个图形,对称点连线都经过对称中心,并且被对称中心平分73 逆定理如果两个图形的对应点连线都经过某一点,并且被这一点平分,那么这两个图形关于这一点对称74 等腰梯形性质定理等腰梯形在同一底上的两个角相等76 等腰梯形判定定理在同一底上的两个角相等的梯形是等腰梯形77 对角线相等的梯形是等腰梯形78 平行线等分线段定理如果一组平行线在一条直线上截得的线段相等,那么在其他直线上截得的线段也相等79 推论1 经过梯形一腰的中点与底平行的直线,必平分另一腰80 推论2 经过三角形一边的中点与另一边平行的直线,必平分第三边81 三角形中位线定理三角形的中位线平行于第三边,并且等于它的一半82 梯形中位线定理梯形的中位线平行于两底,并且等于两底和的一半L=(a+b)÷2 S=L×h83 (1)比例的基本性质如果a:b=c:d,那么ad=bc如果ad=bc,那么a:b=c:d84 (2)合比性质如果a/b=c/d,那么(a±b)/b=(c±d)/d85 (3)等比性质如果a/b=c/d=…=m/n(b+d+…+n≠0),那么(a+c+…+m)/(b+d+…+n)=a/b86 平行线分线段成比例定理三条平行线截两条直线,所得的对应线段成比例87 推论平行于三角形一边的直线截其他两边(或两边的延长线),所得的对应线段成比例88 定理如果一条直线截三角形的两边(或两边的延长线)所得的对应线段成比例,那么这条直线平行于三角形的第三边89 平行于三角形的一边,并且和其他两边相交的直线,所截得的三角形的三边与原三角形三边对应成比例90 定理平行于三角形一边的直线和其他两边(或两边的延长线)相交,所构成的三角形与原三角形相似91 相似三角形判定定理1 两角对应相等,两三角形相似(ASA)92 直角三角形被斜边上的高分成的两个直角三角形和原三角形相似93 判定定理2 两边对应成比例且夹角相等,两三角形相似(SAS)94 判定定理3 三边对应成比例,两三角形相似(SSS)95 定理如果一个直角三角形的斜边和一条直角边与另一个直角三角形的斜边和一条直角边对应成比例,那么这两个直角三角形相似96 性质定理1 相似三角形对应高的比,对应中线的比与对应角平分线的比都等于相似比97 性质定理2 相似三角形周长的比等于相似比98 性质定理3 相似三角形面积的比等于相似比的平方99 任意锐角的正弦值等于它的余角的余弦值,任意锐角的余弦值等于它的余角的正弦值100 任意锐角的正切值等于它的余角的余切值,任意锐角的余切值等于它的余角的正切值101 圆是定点的距离等于定长的点的集合102 圆的内部可以看作是圆心的距离小于半径的点的集合103 圆的外部可以看作是圆心的距离大于半径的点的集合104 同圆或等圆的半径相等105 到定点的距离等于定长的点的轨迹,是以定点为圆心,定长为半径的圆106 和已知线段两个端点的距离相等的点的轨迹,是着条线段的垂直平分线107 到已知角的两边距离相等的点的轨迹,是这个角的平分线108 到两条平行线距离相等的点的轨迹,是和这两条平行线平行且距离相等的一条直线109 定理不在同一直线上的三点确定一个圆.111 推论1 ①平分弦(不是直径)的直径垂直于弦,并且平分弦所对的两条弧②弦的垂直平分线经过圆心,并且平分弦所对的两条弧③平分弦所对的一条弧的直径,垂直平分弦,并且平分弦所对的另一条弧112 推论2 圆的两条平行弦所夹的弧相等113 圆是以圆心为对称中心的中心对称图形114 定理在同圆或等圆中,相等的圆心角所对的弧相等,所对的弦相等,所对的弦的弦心距相等115 推论在同圆或等圆中,如果两个圆心角、两条弧、两条弦或两弦的弦心距中有一组量相等那么它们所对应的其余各组量都相等116 定理一条弧所对的圆周角等于它所对的圆心角的一半117 推论1 同弧或等弧所对的圆周角相等;同圆或等圆中,相等的圆周角所对的弧也相等118 推论2 半圆(或直径)所对的圆周角是直角;90°的圆周角所对的弦是直径119 推论3 如果三角形一边上的中线等于这边的一半,那么这个三角形是直角三角形120 定理圆的内接四边形的对角互补,并且任何一个外角都等于它的内对角121 ①直线L和⊙O相交d<r ②直线L和⊙O相切d=r ③直线L和⊙O相离d >r122 切线的判定定理经过半径的外端并且垂直于这条半径的直线是圆的切线123 切线的性质定理圆的切线垂直于经过切点的半径124 推论1 经过圆心且垂直于切线的直线必经过切点125 推论2 经过切点且垂直于切线的直线必经过圆心126 切线长定理从圆外一点引圆的两条切线,它们的切线长相等,圆心和这一点的连线平分两条切线的夹角127 圆的外切四边形的两组对边的和相等128 弦切角定理弦切角等于它所夹的弧对的圆周角129 推论如果两个弦切角所夹的弧相等,那么这两个弦切角也相等130 相交弦定理圆内的两条相交弦,被交点分成的两条线段长的积相等131 推论如果弦与直径垂直相交,那么弦的一半是它分直径所成的两条线段的比例中项132 切割线定理从圆外一点引圆的切线和割线,切线长是这点到割线与圆交点的两条线段长的比例中项133 推论从圆外一点引圆的两条割线,这一点到每条割线与圆的交点的两条线段长的积相等134 如果两个圆相切,那么切点一定在连心线上135 ①两圆外离d>R+r ②两圆外切d=R+r ③两圆相交R-r<d<R+r(R>r)④两圆内切d=R-r(R>r)⑤两圆内含d<R-r(R>r)136 定理相交两圆的连心线垂直平分两圆的公共弦137 定理把圆分成n(n≥3):⑴依次连结各分点所得的多边形是这个圆的内接正n边形⑵经过各分点作圆的切线,以相邻切线的交点为顶点的多边形是这个圆的外切正n边形138 定理任何正多边形都有一个外接圆和一个内切圆,这两个圆是同心圆139 正n边形的每个内角都等于(n-2)×180°/n140 定理正n边形的半径和边心距把正n边形分成2n个全等的直角三角形142 正三角形面积√3a/4 a表示边长143 如果在一个顶点周围有k个正n边形的角,由于这些角的和应为360°,因此k×(n-2)180°/n=360°化为(n-2)(k—2)=4144 弧长计算公式:L=n兀R/180145 扇形面积公式:S扇形=n兀R^2/360=LR/2146 内公切线长= d—(R-r) 外公切线长= d-(R+r)数学定理三角形三条边的关系:定理:三角形两边的和大于第三边推论:三角形两边的差小于第三边三角形内角和:三角形内角和定理三角形三个内角的和等于180°推论1 直角三角形的两个锐角互余推论2 三角形的一个外角等于和它不相邻的两个内角和推论3 三角形的一个外角大雨任何一个和它不相邻的内角角的平分线性质定理在角的平分线上的点到这个角的两边的距离相等几何语言:∵OC是∠AOB的角平分线(或者∠AOC=∠BOC)PE⊥OA,PF⊥OB点P在OC上∴PE=PF(角平分线性质定理)判定定理到一个角的两边的距离相等的点,在这个角的平分线上几何语言:∵PE⊥OA,PF⊥OBPE=PF∴点P在∠AOB的角平分线上(角平分线判定定理)等腰三角形的性质:等腰三角形的性质定理等腰三角形的两底角相等几何语言:∵AB=AC∴∠B=∠C(等边对等角)推论1 等腰三角形顶角的平分线平分底边并且垂直于底边几何语言:(1)∵AB=AC,BD=DC∴∠1=∠2,AD⊥BC(等腰三角形顶角的平分线垂直平分底边)(2)∵AB=AC,∠1=∠2∴AD⊥BC,BD=DC(等腰三角形顶角的平分线垂直平分底边)(3)∵AB=AC,AD⊥BC∴∠1=∠2,BD=DC(等腰三角形顶角的平分线垂直平分底边)几何语言:∵AB=AC=BC∴∠A=∠B=∠C=60°(等边三角形的各角都相等,并且每一个角都等于60°)等腰三角形的判定:判定定理如果一个三角形有两个角相等,那么这两个角所对的边也相等几何语言:∵∠B=∠C∴AB=AC(等角对等边)推论1 三个角都相等的三角形是等边三角形几何语言:∵∠A=∠B=∠C∴AB=AC=BC(三个角都相等的三角形是等边三角形)推论2 有一个角等于60°的等腰三角形是等边三角形几何语言:∵AB=AC,∠A=60°(∠B=60°或者∠C=60°)∴AB=AC=BC(有一个角等于60°的等腰三角形是等边三角形)推论3 在直角三角形中,如果一个锐角等于30°,那么它所对的直角边等于斜边的一半几何语言:∵∠C=90°,∠B=30°∴BC=AB或者AB=2BC(在直角三角形中,如果一个锐角等于30°,那么它所对的直角边等于斜边的一半)线段的垂直平分线:定理线段垂直平分线上的点和这条线段两个端点的距离相等几何语言:∵MN⊥AB于C,AB=BC,(MN垂直平分AB)点P为MN上任一点∴PA=PB(线段垂直平分线性质)逆定理和一条线段两个端点距离相等的点,在这条线段的垂直平分线上几何语言:∵PA=PB∴点P在线段AB的垂直平分线上(线段垂直平分线判定)轴对称和轴对称图形:定理1 关于某条之间对称的两个图形是全等形定理2 如果两个图形关于某直线对称,那么对称轴是对应点连线的垂直平分线定理3 两个图形关于某直线对称,若它们的对应线段或延长线相交,那么交点在对称轴上逆定理若两个图形的对应点连线被同一条直线垂直平分,那这两个图形关于这条直线对称勾股定理:勾股定理直角三角形两直角边a、b的平方和,等于斜边c的平方,即a2 +b2 =c2勾股定理的逆定理如果三角形的三边长a、b、c有关系,那么这个三角形是直角三角形四边形:定理任意四边形的内角和等于360°多边形内角和:定理多边形内角和定理n边形的内角的和等于(n -2)·180°推论任意多边形的外角和等于360°平行四边形及其性质性质定理1 平行四边形的对角相等性质定理2 平行四边形的对边相等推论夹在两条平行线间的平行线段相等性质定理3 平行四边形的对角线互相平分几何语言:∵四边形ABCD是平行四边形∴AD‖BC,AB‖CD(平行四边形的对角相等)∠A=∠C,∠B=∠D(平行四边形的对边相等)AO=CO,BO=DO(平行四边形的对角线互相平分)平行四边形的判定:判定定理1 两组对边分别平行的四边形是平行四边形几何语言:∵AD‖BC,AB‖CD∴四边形ABCD是平行四边形(两组对边分别平行的四边形是平行四边形)判定定理2 两组对角分别相等的四边形是平行四边形几何语言:∵∠A=∠C,∠B=∠D∴四边形ABCD是平行四边形(两组对角分别相等的四边形是平行四边形)判定定理3 两组对边分别相等的四边形是平行四边形几何语言:∵AD=BC,AB=CD∴四边形ABCD是平行四边形(两组对边分别相等的四边形是平行四边形)判定定理4 对角线互相平分的四边形是平行四边形几何语言:∵AO=CO,BO=DO∴四边形ABCD是平行四边形(对角线互相平分的四边形是平行四边形)判定定理5 一组对边平行且相等的四边形是平行四边形∵AD‖BC,AD=BC∴四边形ABCD是平行四边形(一组对边平行且相等的四边形是平行四边形)矩形:性质定理1 矩形的四个角都是直角性质定理2 矩形的对角线相等几何语言:∵四边形ABCD是矩形∴AC=BD(矩形的对角线相等)∠A=∠B=∠C=∠D=90°(矩形的四个角都是直角)推论直角三角形斜边上的中线等于斜边的一半几何语言:∵△ABC为直角三角形,AO=OC∴BO=AC(直角三角形斜边上的中线等于斜边的一半)判定定理1 有三个角是直角的四边形是矩形几何语言:∵∠A=∠B=∠C=90°∴四边形ABCD是矩形(有三个角是直角的四边形是矩形)判定定理2 对角线相等的平行四边形是矩形几何语言:∵AC=BD∴四边形ABCD是矩形(对角线相等的平行四边形是矩形)菱形:性质定理1 菱形的四条边都相等性质定理2 菱形的对角线互相垂直,并且每一条对角线平分一组对角几何语言:∵四边形ABCD是菱形∴AB=BC=CD=AD(菱形的四条边都相等)AC⊥BD,AC平分∠DAB和∠DCB,BD平分∠ABC和∠ADC (菱形的对角线互相垂直,并且每一条对角线平分一组对角)判定定理1 四边都相等的四边形是菱形几何语言:∵AB=BC=CD=AD∴四边形ABCD是菱形(四边都相等的四边形是菱形)判定定理2 对角线互相垂直的平行四边形是菱形几何语言:∵AC⊥BD,AO=CO,BO=DO∴四边形ABCD是菱形(对角线互相垂直的平行四边形是菱形)性质定理1 正方形的四个角都是直角,四条边都相等性质定理2 正方形的两条对角线相等,并且互相垂直平分,每条对角线平分一组对角中心对称和中心对称图形定理1 关于中心对称的两个图形是全等形定理2 关于中心对称的两个图形,对称点连线都经过对称中心,并且被对称中心平分逆定理如果两个图形的对应点连线都经过某一点,并且被这一点平分,那么这两个图形关于这一点对称梯形:等腰梯形性质定理等腰梯形在同一底上的两个角相等几何语言:∵四边形ABCD是等腰梯形∴∠A=∠B,∠C=∠D(等腰梯形在同一底上的两个角相等)等腰梯形判定定理在同一底上的两个角相等的梯形是等腰梯形几何语言:∵∠A=∠B,∠C=∠D∴四边形ABCD是等腰梯形(在同一底上的两个角相等的梯形是等腰梯形)三角形、梯形中位线三角形中位线定理三角形的中位线平行与第三边,并且等于它的一半几何语言:∵EF是三角形的中位线∴EF=AB(三角形中位线定理)梯形中位线定理梯形的中位线平行与两底,并且等于两底和的一半几何语言:∵EF是梯形的中位线∴EF=(AB+CD)(梯形中位线定理)比例线段:1、比例的基本性质如果a∶b=c∶d,那么ad=bc2、合比性质如果a/b=c/d那么(a±b)/b=(c±d)/d(也有一些资料将上式的两种情形分别称为“合比性质”和“分比性质”,合称为“合分比性质”)证明:因为a/b=c/d所以a/b±1=c/d±1所以(a±b)/b=(c±d)/d3、等比性质平行线分线段成比例定理平行线分线段成比例定理三条平行线截两条直线,所得的对应线段成比例∵l‖p‖a(三条平行线截两条直线,所得的对应线段成比例)推论平行与三角形一边的直线截其他两边(或两边的延长线),所得的对应线段成比例定理如果一条直线截三角形的两边(或两边的延长线)所得的对应线段成比例,那么这条直线平行与三角形的第三边垂直于弦的直径垂径定理垂直于弦的直径平分这条弦,并且平分弦所对的两条弧几何语言:∵OC⊥AB,OC过圆心(垂径定理)推论1(1)平分弦(不是直径)的直径垂直于弦,并且平分弦所对的两条弧几何语言:∵OC⊥AB,AC=BC,AB不是直径(平分弦(不是直径)的直径垂直于弦,并且平分弦所对的两条弧)(2)弦的垂直平分线过圆心,并且平分弦所对的两条弧几何语言:∵AC=BC,OC过圆心(弦的垂直平分线过圆心,并且平分弦所对的两条弧)(3)平分弦所对的一条弧的直径,垂直平分弦,并且平分弦所对的另一条弧几何语言:(平分弦所对的一条弧的直径,垂直平分弦,并且平分弦所对的另一条弧)推论2 圆的两条平分弦所夹的弧相等几何语言:∵AB‖CD圆心角、弧、弦、弦心距之间的关系定理在同圆或等圆中,相等的圆心角所对的弧相等,所对的弦相等,所对的弦的弦心距也相等推论在同圆或等圆中,如果两个圆心角、两条弧、两条弦或两条弦的弦心距中有一组量相等,那么它们所对应的其余各组量都分别相等圆周角:定理一条弧所对的圆周角等于它所对的圆心角的一半推论1 同弧或等弧所对的圆周角相等;同圆或等圆中,相等的圆周角所对的弧也相等推论2 半圆(或直径)所对的圆周角是直角;90°的圆周角所对的弦是直角推论3 如果三角形一边上的中线等于这边的一半,那么这个三角形是直角三角形圆的内接四边形:定理圆的内接四边形的对角互补,并且任何一个外角都等于它的内对角几何语言:∵四边形ABCD是⊙O的内接四边形∴∠A+∠C=180°,∠B+∠ADB=180°,∠B=∠ADE切线的判定和性质:几何语言:∵l ⊥OA,点A在⊙O上∴直线l是⊙O的切线(切线判定定理)切线的性质定理圆的切线垂直于经过切点半径几何语言:∵OA是⊙O的半径,直线l切⊙O于点A∴l ⊥OA(切线性质定理)推论1 经过圆心且垂直于切线的直径必经过切点推论2 经过切点且垂直于切线的直线必经过圆心切线长定理:定理从圆外一点引圆的两条切线,它们的切线长相等,圆心和这一点的连线平分两条切线的夹角几何语言:∵弦PB、PD切⊙O于A、C两点∴PA=PC,∠APO=∠CPO(切线长定理)弦切角:弦切角定理定义弦切角定理:弦切角的度数等于它所夹的弧的圆心角的度数的一半。
初高中数学公式定理大全1过两点有且只有一条直线2两点之间线段最短3同角或等角的补角相等4同角或等角的余角相等5过一点有且只有一条直线和已知直线垂直6直线外一点与直线上各点连接的所有线段中,垂线段最短7平行公理经过直线外一点,有且只有一条直线与这条直线平行8如果两条直线都和第三条直线平行,这两条直线也互相平行9同位角相等,两直线平行10内错角相等,两直线平行11同旁内角互补,两直线平行12两直线平行,同位角相等13两直线平行,内错角相等14两直线平行,同旁内角互补15定理三角形两边的和大于第三边16推论三角形两边的差小于第三边17三角形内角和定理三角形三个内角的和等于180°18推论1直角三角形的两个锐角互余19推论2三角形的一个外角等于和它不相邻的两个内角的和20推论3三角形的一个外角大于任何一个和它不相邻的内角21全等三角形的对应边、对应角相等22边角边公理(SAS)有两边和它们的夹角对应相等的两个三角形全等23角边角公理(ASA)有两角和它们的夹边对应相等的两个三角形全等24推论(AAS)有两角和其中一角的对边对应相等的两个三角形全等25边边边公理(SSS)有三边对应相等的两个三角形全等26斜边、直角边公理(HL)有斜边和一条直角边对应相等的两个直角三角形全等27定理1在角的平分线上的点到这个角的两边的距离相等28定理2到一个角的两边的距离相同的点,在这个角的平分线上29角的平分线是到角的两边距离相等的所有点的集合30等腰三角形的性质定理等腰三角形的两个底角相等(即等边对等角)31推论1等腰三角形顶角的平分线平分底边并且垂直于底边32等腰三角形的顶角平分线、底边上的中线和底边上的高互相重合33推论3等边三角形的各角都相等,并且每一个角都等于60°35推论1三个角都相等的三角形是等边三角形36推论2有一个角等于60°的等腰三角形是等边三角形37在直角三角形中,如果一个锐角等于30°那么它所对的直角边等于斜边的一半38直角三角形斜边上的中线等于斜边上的一半39定理线段垂直平分线上的点和这条线段两个端点的距离相等40逆定理和一条线段两个端点距离相等的点,在这条线段的垂直平分线上41线段的垂直平分线可看作和线段两端点距离相等的所有点的集合42定理1关于某条直线对称的两个图形是全等形43定理2如果两个图形关于某直线对称,那么对称轴是对应点连线的垂直平分线44定理3两个图形关于某直线对称,如果它们的对应线段或延长线相交,那么交点在对称轴上45逆定理如果两个图形的对应点连线被同一条直线垂直平分,那么这两个图形关于这条直线对称46勾股定理直角三角形两直角边a、b的平方和、等于斜边c的平方,即a2+b2=c247勾股定理的逆定理如果三角形的三边长a、b、c有关系a2+b2=c2,那么这个三角形是直角三角形48定理四边形的内角和等于360°49四边形的外角和等于360°50多边形内角和定理n边形的内角的和等于(n-2)×180°51推论任意多边的外角和等于360°52平行四边形性质定理1平行四边形的对角相等53平行四边形性质定理2平行四边形的对边相等54推论夹在两条平行线间的平行线段相等55平行四边形性质定理3平行四边形的对角线互相平分56平行四边形判定定理1两组对角分别相等的四边形是平行四边形57平行四边形判定定理2两组对边分别相等的四边形是平行四边形58平行四边形判定定理3对角线互相平分的四边形是平行四边形59平行四边形判定定理4一组对边平行相等的四边形是平行四边形60矩形性质定理1矩形的四个角都是直角61矩形性质定理2矩形的对角线相等62矩形判定定理1有三个角是直角的四边形是矩形63矩形判定定理2对角线相等的平行四边形是矩形64菱形性质定理1菱形的四条边都相等65菱形性质定理2菱形的对角线互相垂直,并且每一条对角线平分一组对角66菱形面积=对角线乘积的一半,即S=(a×b)÷267菱形判定定理1四边都相等的四边形是菱形68菱形判定定理2对角线互相垂直的平行四边形是菱形69正方形性质定理1正方形的四个角都是直角,四条边都相等71定理1关于中心对称的两个图形是全等的72定理2关于中心对称的两个图形,对称点连线都经过对称中心,并且被对称中心平分73逆定理如果两个图形的对应点连线都经过某一点,并且被这一点平分,那么这两个图形关于这一点对称74等腰梯形性质定理等腰梯形在同一底上的两个角相等75等腰梯形的两条对角线相等76等腰梯形判定定理在同一底上的两个角相等的梯形是等腰梯形77对角线相等的梯形是等腰梯形78平行线等分线段定理如果一组平行线在一条直线上截得的线段相等,那么在其他直线上截得的线段也相等79推论1经过梯形一腰的中点与底平行的直线,必平分另一腰80推论2经过三角形一边的中点与另一边平行的直线,必平分第三边81三角形中位线定理三角形的中位线平行于第三边,并且等于它的一半82梯形中位线定理梯形的中位线平行于两底,并且等于两底和的一半L=(a+b)÷2S=L×h83(1)比例的基本性质如果a:b=c:d,那么ad=bc如果ad=bc,那么a:b=c:d84(2)合比性质如果a/b=c/d,那么(a±b)/b=(c±d)/d85(3)等比性质如果a/b=c/d=…=m/n(b+d+…+n≠0),那么(a+c+…+m)/(b+d+…+n)=a/b86平行线分线段成比例定理三条平行线截两条直线,所得的对应线段成比例87推论平行于三角形一边的直线截其他两边(或两边的延长线),所得的对应线段成比例88定理如果一条直线截三角形的两边(或两边的延长线)所得的对应线段成比例,那么这条直线平行于三角形的第三边89平行于三角形的一边,并且和其他两边相交的直线,所截得的三角形的三边与原三角形三边对应成比例90定理平行于三角形一边的直线和其他两边(或两边的延长线)相交,所构成的三角形与原三角形相似91相似三角形判定定理1两角对应相等,两三角形相似(ASA)92直角三角形被斜边上的高分成的两个直角三角形和原三角形相似93判定定理2两边对应成比例且夹角相等,两三角形相似(SAS)94判定定理3三边对应成比例,两三角形相似(SSS)95定理如果一个直角三角形的斜边和一条直角边与另一个直角三角形的斜边和一条直角边对应成比例,那么这两个直角三角形相似96性质定理1相似三角形对应高的比,对应中线的比与对应角平分线的比都等于相似比97性质定理2相似三角形周长的比等于相似比98性质定理3相似三角形面积的比等于相似比的平方99任意锐角的正弦值等于它的余角的余弦值,任意锐角的余弦值等于它的余角的正弦值100任意锐角的正切值等于它的余角的余切值,任意锐角的余切值等于它的余角的正切值102圆的内部可以看作是圆心的距离小于半径的点的集合103圆的外部可以看作是圆心的距离大于半径的点的集合104同圆或等圆的半径相等105到定点的距离等于定长的点的轨迹,是以定点为圆心,定长为半径的圆106和已知线段两个端点的距离相等的点的轨迹,是着条线段的垂直平分线107到已知角的两边距离相等的点的轨迹,是这个角的平分线108到两条平行线距离相等的点的轨迹,是和这两条平行线平行且距离相等的一条直线109定理不在同一直线上的三点确定一个圆。
1.1 集合的概念与运算(1)元素a 和集合A 之间的关系:a ∈A ,或a ∉A ; (2)常用数集: 自然数集:N 正整数集:*N 或N +整数集:Z 有理数集:Q 实数集:R 子集(1)定义:A 中的任何元素都属于B ,则A 叫B 的子集 ;记作:A ⊆B ,注意:A ⊆B 时,A 有两种情况:A =φ与A ≠φ (2)性质:①A A A ⊆⊆φ,;②若C B B A ⊆⊆,,则C A ⊆; ③若A B B A ⊆⊆,则A =B ;真子集 (1)定义:A 是B 的子集 ,且B 中至少有一个元素不属于A ;记作:B A ⊂; (2)性质:①,A A φφ≠⊂;②若,A B B C ⊂⊂,则A C ⊂; 补集:(1)定义:记作:},|{A x U x x A C U ∉∈=且;(2)性质:A A C C U A C A A C A U UU U ===)(,,Y I φ; 交集与并集(1)交集:{|,且}A B x x A x B =∈∈I性质:①φφ==I I A A A A , ②若B B A =I ,则A B ⊆ (2)并集:{|,或}A B x x A x B =∈∈U性质:①A A A A A ==φY Y , ②若B B A =Y ,则B A ⊆ 集合运算中常用结论(1)U U A B A A B B A B C B C A =⇔=⇔⊆⇔⊆I U (2)含n 个元素的集合的所有子集有n2个简易逻辑真值表:p 或q ,同假为假,否则为真; p 且q ,同真为真, 否则为假; 非p ,真假相反。
四种命题(1)命题的四种形式: 原命题:若p 则q ; 逆命题:若q 则p ; 否命题:若⌝p 则⌝q ;逆否命题:若⌝q 则⌝p ; 注意:①互为逆否的两个命题是等价的;②“命题的否定”与“否命题”不同;(2)利用集合之间的包含关系判断命题之间的充要关系 设满足条件p 的元素构成集合A , 满足条件q 的元素构成集合B①若A B ⊆,则p 是q 成立的充分条件; ②若A B =,则p 是q 的充要条件;③若A B ⊂,则p 是q 的充分不必要条件;④若,且A B B A ⊄⊄,则p 是q 的既不充分也不必要条件。
函数名称函数的记号函数的图形函数的性质 指数函数?a):不论x 为何值,y 总为正数;?b):当x=0时,y=1. 对数函数?a):其图形总位于y 轴右侧,并过(1,0)点 ?b):当a >1时,在区间(0,1)的值为负;在区间(-,+∞)的值为正;在定义域内单调增.幂函数a 为任意实数这里只画出部分函数图形的一部分。
?令a=m/n ?a):当m 为偶数n 为奇数时,y 是偶函数;?b):当m,n 都是奇数时,y是奇函数; ?c):当m 奇n 偶时,y 在(-∞,0)无意义.1.指数运算:,a a a a a pp01010=≠=≠-(()) aaa aaa m nmn m nmn=≥=>-((010)),2. ()对数运算:·,log log log a a a M N M N M N =+>>00 log log log log log aa a a n a M N M N M nM =-=,1对数恒等式:a x a xlog =对数换底公式:log log log log log a c c a n a b b a b nmb m =⇒=第四章 基本初等函数(Ⅱ)1、角的换算(1)换算关系:8157)180(1)(180'≈==οοοππ弧度弧度(2)弧长公式:r l ⋅=α 扇形面积公式:22121r lr S α== 23、任意角的三角函数r y =αsin ,r x =αcos ,xy=αtan ,三角函数值的符号规律:“一全二正弦,三切四余弦”4、诱导公式:“απ±⋅2k ,奇变偶不变,符号看象限”5、同角三角函数的基本关系式: ①平方关系1cos sin 22=+αα;;②商式关系αααtan cos sin =;6、两角和与差公式()sin sin cos cos sin sin sin cos αβαβαβαβααα±=±=−→−−−=令22()cos cos cos sin sin cos cos sin αβαβαβαβααα±==−→−−−=-μ令222()tan tan tan tan tan αβαβαβ±=±1μ· =-=-⇒211222cos sin ααtan tan tan 2212ααα=-cos cos sin cos 22122122αααα=+=-注意:1.x y sin -=与x y sin =的单调性正好相反;x y cos -=与x y cos =的单调性也同样相反.一般地,若)(x f y =在],[b a 上递增(减),则)(x f y -=在],[b a 上递减(增).2.)sin(ϕω+=x y 或)cos(ϕω+=x y (0≠ω)的周期ωπ2=T .3. )sin(ϕω+=x y 的对称轴方程是2ππ+=k x (Z k ∈),对称中心(0,πk );)cos(ϕω+=x y 的对称轴方程是πk x =(Z k ∈),对称中心(0,21ππ+k );8.正弦定理:R C c B b A a 2sin sin sin ===, Λ==A bc S sin 21;余弦定理:2a =A bc cb cos 222-+ cosA=bca cb 2222-+第五章 立体几何1、.空间两条直线的位置关系: 平行、相交、异面2、直线与平面、位置关系:在面内、相交、平行 、直线与平面平行判定定理:如果平面外一条直线和这个平面内的一条直线平行,那么这条直线和这个平面平行性质定理:如果一条直线和一个平面平行,经过这条直线的平面和这个平面相交,那么这条直线和交线平行。
、直线与平面垂直判定定理:如果一条直线和一个平面内的两条相交直线都垂直,那么这条直线垂直于这个平面性质定理:如果两条直线同垂直于一个平面,那么这两条直线平行 3、平面与平面、位置关系:平行 ,相交 、两个平面平行判定定理:如果一个平面内有两条相交直线都平行于另一平面,那么这两个平面平行.另:垂直于同一条直线的两个平面平行.性质定理:如果两个平行平面同时和第三个平面相交,那么它们的交线平行.另:一条直线垂直于两个平行平面中的一个平面,必垂直于另一个平面.如果两个平面平行,那么其中一个平面内的直线平行于另一个平面、两个平面垂直判定定理:如果一个平面经过另一个平面的一条垂线,那么这两个平面互相垂直。
性质定理:如果两个平面垂直,那么在一个平面内垂直于它们交线的直线垂直于另一个平面。
5、简单几何体Sh V =棱柱 Sh V 31=棱锥 球V =34πR 3第六章 平面向量1.两个向量共线的充要条件:①向量b 与非零向量a 共线⇔有且仅有一个实数λ,使得b =λa . ② 若a =(11,y x ),b =(22,y x )则a ∥b 01221=-⇔y x y x . 2、向量的数量积:(1)定义:已知两个非零向量a 与b ,它们的夹角为θ,则a ·b =︱a ︱·︱b ︱cos θ.其中︱b ︱cos θ称为向量b 在a 方向上的投影. (2) 若a =(11,y x ),b =(22,y x )则a ﹒b =2121y y x x +(3)性质:a ⊥b ⇔a ·b =0⇔02121=+y y x x (,为非零向量); ︱a ︱=2121y x a a +=⋅;cos θ222221212121y x y x y y x x +⋅++.(3)若点),(),(2211y x B y x A ,则212222)()(y y x x AB -+-=第七章 平面解析几何1、直线和圆1.1 直线的倾斜角与斜率:直线的倾斜角范围是[0,π],直线的斜率:BA k x x y y k k -=--==,,tan 1212α 1.2 直线方程的几种形式:点斜式:)(00x x k y y -=-, 斜截式:b kx y +=1.3 两条直线的位置关系(1)平行: 若斜率存在:l 1:y=k 1x+b 1;l 2:y=k 2x+b 2有l 1∥l 2⇔k 1=k 2且b 1≠b 2;(2)垂直:若斜率存在:l 1:y=k 1x+b 1;l 2:y=k 2x+b 2有l 1⊥l 2⇔k 1·k 2=-1 l 1⊥l 2⇔k 1·k 2=-1点到直线的距离公式点),(00y x P 到直线0=++C By Ax l :的距离:2200BA CBy Ax d +++=两平行直线间的距离:两条平行直线002211=++=++C By Ax l C By Ax l :,:距离:2221BA C C d +-=圆的方程(1)圆的标准方程:222()()x a y b r -+-=.(2)圆的一般方程:220x y Dx Ey F ++++=(224D E F +->0). 直线与圆的位置关系: 相离、相切和相交。
判断方法(几何法):圆心到直线的距离⎪⎩⎪⎨⎧⇔>⇔=⇔<相离相切相交r d r d r d弦长问题:利用垂径定理,构造直角三角形解决2.圆锥曲线 一、椭圆1.椭圆方程的定义:为端点的线段以无轨迹方程为椭圆21212121212121,2,2,2F F F F a PF PF F F a PF PF F F a PF PF ==+<=+>=+平面内与两定点F1,F2的距离的和为常数(大于21F F )的点的轨迹。
其中两定点F1,F2叫焦点,定点间的距离叫焦距。
(1)①椭圆的标准方程:i .中心在原点,焦点在x 轴上:)0(12222>>=+b a b y a x . ii .中心在原点,焦点在y 轴上:)0(12222>>=+b a bx a y .几何性质①顶点:),0)(0,(b a ±±或)0,)(,0(b a ±±.②轴:对称轴:x 轴,y 轴;长轴长a 2,短轴长b 2.③焦点:)0,)(0,(c c -或),0)(,0(c c -.④焦距:2221,2b a c c F F -==. 二、双曲线1.双曲线的定义:的一个端点的一条射线以无轨迹方程为双曲线21212121212121,222F F F F a PF PF F F a PF PF F F a PF PF ==->=-<=-平面内与两个定点21,F F 距离的差的绝对值等于|)|2(221F F a a <的点的轨迹。