露点温度计算表
- 格式:doc
- 大小:48.50 KB
- 文档页数:1
露点温度计算公式露点温度是衡量空气湿度的重要指标,它指当空气中的水蒸气继续冷却至一定温度时,开始凝结成水滴的温度。
露点温度就是这样一个温度,它可以衡量出空气湿度的大小。
露点温度是由不同因素影响的,它受到空气中水蒸气含量、空气温度和大气压力的影响。
所以,当这三种因素发生变化时,露点温度也会发生变化。
露点温度的计算公式可以用来计算出露点温度值,以便更好地理解空气湿度的状况。
一般来说,露点温度的计算公式有两种,即Kelvin 和Saturation Formula。
Kelvin计算公式可以用来计算出湿度超过七十五分之一的露点温度。
公式如下:露点温度(°K)=蒸气压(mb)/6.11 x 10^(-7) x e(-6.11 /(273.16+温度(°C))另外一种计算露点温度的方法是使用Saturation Formula计算公式,它可以用来计算低于或等于七十五分之一的露点温度。
公式如下:露点温度(°C)= 273.16 (245.4 /ln (蒸气压(mb)/6.11 x 10^(-7))露点温度的计算公式可以用来计算出当前空气湿度情况。
通过使用上述公式,我们可以根据空气温度、空气湿度和大气压力来计算出当前的露点温度。
以上就是有关露点温度计算公式的介绍。
在实际生活中,使用露点温度计算公式可以更好地了解空气湿度的变化情况。
从而可以采取相应的措施来保障我们自身的舒适度,以及维护好室内空气质量。
露点温度计算公式不仅可以用来衡量空气湿度,还可以用来衡量大气中的水汽浓度。
因为露点温度是由水汽和大气中的其他气体的混合物的温度所决定的,所以可以用它来衡量水汽浓度。
此外,露点温度计算公式还可以用来预测水汽在大气中的运动变化情况,为气象预报提供依据。
另外,它还可以用来衡量大气中气溶胶的湿度,这些气溶胶有助于气象观测、气候模拟和气象预报。
以上就是有关露点温度计算公式的介绍,它是一种非常重要的应用,可以用来衡量空气湿度,也可以用来对大气中的水汽浓度、气溶胶湿度及气溶胶的运动变化情况进行预测。
excel 温度与相对湿度换算露点温度公式
在Excel中,可以使用一些简单的数学公式来进行温度与相对湿度之间的换算,从而得到露点温度。
露点温度是指空气中的水蒸气饱和所需要的温度,达到该温度时,空气中的水蒸气开始凝结成露或者冰。
下面是一个可以用来在Excel中进行露点温度计算的公式:
露点温度(°C)= (237.7 * (LN(相对湿度/100) + ((17.27 * 温度) / (237.7 + 温度)))) /
(17.27 - (LN(相对湿度/100) + ((17.27 * 温度) / (237.7 + 温度)))))
使用此公式,您需要将温度和相对湿度的数据输入到相应的单元格中,然后在
另一个单元格中应用上述公式即可计算出露点温度。
请确保输入的温度单位为摄氏度,相对湿度的范围在0到100之间。
举个例子,假设温度数据输入到单元格A1,相对湿度数据输入到单元格B1,
则公式应该写作:
=(237.7*(LN(B1/100)+((17.27*A1)/(237.7+A1))))/(17.27-
(LN(B1/100)+((17.27*A1)/(237.7+A1))))
将公式输入到相应的单元格后,按下回车键即可得到计算结果。
使用Excel进行温度与相对湿度的换算以及露点温度的计算可以帮助您更好地
了解空气中的湿度状况,对于气象预测、室内环境监测等领域具有重要的应用。
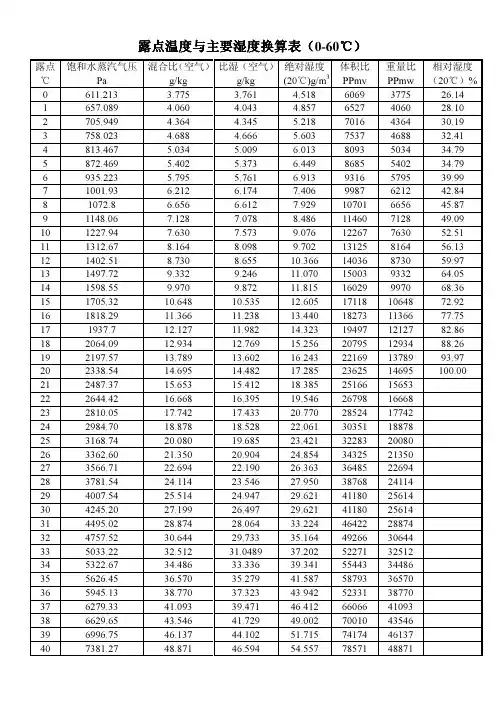
所谓的露点温度一定温度的空气中,水蒸气的最大含量称为[饱和水蒸汽量],此时的空气成为[饱和空气]饱和空气温度下降时,空气中的水蒸气将凝结成露.含有水蒸气的空气的饱和温度, 称为露点温度,露点温度由绝对湿度决定,例如:气温20度,相对湿度60%时,结露温度为12度(请参照如下数据温度表).露点温度通常是用于查看气体的干燥状态,相对湿度的小量变化也将引起露点温度的巨大变化, 因此可通过露点温度了解气体的干燥状态的细微变化,即使气体温度产生变化,露点温度也不会改变.应该指出的是,欧美地区比较频繁的使用相对湿度,海岸地区及农业地区的天气预报也经常使用露点温度.所谓的结露是指?所谓的结露现象是指容器内壁表面温度下降,室内空气温度下降到露点温度以下时,内壁及表面会发生水珠凝结的现象,这个现象称之为结露.结露是否发生取决于室内温度, 室内湿度及露点温度.露点温度即使没有下降到与外气温相同的,一定温度下仍有可能发生结露现象.所谓的表面结露是指?所谓的表面结露是指室内壁体表面温度低于室内露点温度或接近壁体表面温度时,冷却至露点温度以下,表面出现水滴附着现象称之为表面结露.所谓的内部结露是指?所谓的内部结露是指壁体内部产生的结露现象.室内的高温空气(湿气)在进入内壁及内部温度下降到结露温度以下,引起内部结露.湿度、露点和相关参数:表示湿度的参数有:·水汽分压·相对湿度·露点·霜点·绝对湿度·混合率·湿球温度·ppm ·平衡相对湿度·水活性·热焓水份含量表示方法大多数情况下用于固体或液体。
当用于气体时,这种概念就不适用了。
水汽压(Pw):是指在空气或气体中存在的水汽压。
饱和水汽压(Pws):在特定温度下水汽中的最大压力。
温度越高,空气中能承受的水蒸汽越多。
相对湿度(RH):指在特定温度下的水汽分压和饱和水汽压之比,是用百分比来表示:%RH=100%*(Pw/Pws)。
(1)首先需要知道氮气或者仪表风(压缩空气)中的含水量,这个可以用水分测试仪器来测的,最好的是卡尔费休法,测出的水分含量是以ppm 为单位的。
Ppm 表示的是水在气体中的体积浓浓度,1ppm=1mg/kg=1mg/L=1×10-6 。
根据体积浓度算出水蒸气在气体中水汽压力。
=P V P V 总总水水 即P 水(2)测量露点也有专门的仪器,计算的话,就先假设常压下24℃的氮气中测的的水汽ppm 值为3000ppm ,即含水量30%,则根据水和水蒸气热力性质图标手册第十页(压缩包中有),24摄氏度下的饱和水蒸气的压力为298.4pa ,298.4×30%=89.52pa ,查表知此时的露点在5到6摄氏度间,取5.5℃。
(3)但是这么算的话,要是含水量太低,就图表中就没有数据,所以还可以用经验公式如马格拉斯公式计算,马格拉斯公式如下:a d b+d d 10(/)(/)T T O o o E E b Log E E T a Log E E ⨯=⨯⨯=- 式中,E 为露点温度对应的饱和水汽压(即为实际水汽压)(hpa),E0为0℃的饱和水汽压,a 系数取7.69;b 系数取243.92。
根据(2)中的数据,实际水汽压为89.52,0℃时为61.12,带入公式得Td=5.37℃。
所以和靠图表的出的数值差不多。
接下来计算含水量低的时候的数值,比如23℃下含水量只有0.3%时的气体。
此时气体的水汽压为298.4×0.3%=0.9pa 。
带入马格拉斯公式得Td=-46.9℃。
所以氮气中的含水量越低,其露点温度越低。
(4)若不是常压下的气体。
则可以先算出大气压下的露点,再将其转化成压力下的露点(转化的图见压缩包)。
图中的直线表示的是压力值,由上而下的压力值分别是0mpa (常压),0.2mpa ,0.3mpa ,0.5mpa ,0.7mpa ,1.0mpa ,1.7mpa ,2.0mpa 。