上海交通大学外国留学生本科入学考试数学(样题)(理科含答案)
- 格式:pdf
- 大小:239.66 KB
- 文档页数:4
1交大附中2024学年第一学期高三年级数学摸底考2024.09一、填空题(本大题共有12题,满分54分,第1-6题每题4分,第7-12题每题5分) 1.已知全集U R =,集合{|},{|13}A x x a B x x =<=−<<,且B A ⊆,则实数a 的取值范围 是 .2.已知常数0a >且1a ≠,无论a 为何值,函数21x y a −=+的图像恒经过一个定点,则这个点 的坐标为 .3.用简单随机抽样的方法从含n 个个体的总体中,逐个抽取一个样本量为3的样本,若其中 个体a 在第一次就被抽取的可能性为18,那么n = . 4.两正数a 与b 的几何平均值为2,则2a 与2b 的算术平均值的最小值为 .5.已知二项式31nx x ⎛⎫+ ⎪⎝⎭的展开式中存在常数项,正整数n 的最小值为 .6.不等式21log x x <−+的解集是 .7.已知等差数列{}n a 的首项11,n a S =−表示{}n a 的前n 项和,若数列{}n S 是严格增数列,则{}n a 的公差d 取值范围是 .8.已知()()()()1f x x x a x b =+++.若()y f x =为奇函数,则()'0f = . 9.满足定义域为{}1234,,,且值域为{}123,,的函数共有 个.10.已知函数()(0,0,02)y Asin x A =ω+φ>ω>≤φ<π的图像与直线(0)y b b A =<<的三个 相邻交点的横坐标依次是1,2,4,则ϕ=11.已知实数,,a b c 成公比为q 的等比数列,抛物线2x y =上每一点到直线0ax by c ++=的距 离均大于98,则q 的取值范围是 .212.在边长为1的正六边形ABCDEF 中,以A 为起点其它5个顶点之一为终点的向量分别 记为12345,,,,a a a a a ,以D 为起点其它5个顶点之一为终点的向量分别记为12345,,,,d d d d d ,若,m M 分别为()()i j k r s t a a a d d d ++⋅++的最小值、最大值,其中{}{}{}{}12345,12345i ,j,k ,,,,r ,s,t ,,,,⊂⊂。
上海交通大学外国留学生本科入学考试科目:语文(文科) 时间:120分钟 姓名: ________________ 分数: ________ 、汉语基础知识(30分)(一)选择题,完成 1 —10题。
(20 分)F 列划线字的注音,有错误的一项是下列句子,对于划线词词义的解释,正确的一项是 我猛然想起曾经搭过他的车,怪不得这么面熟。
A. 贮藏伫立 娇生贯养 搬门弄斧 B. 云霄兀宵 直言不讳 按步就班 C. 狼藉书籍 意气用事 一筹莫展 D. 锤背捶炼 出人头地 不记其数 选出既有同义词、又有反义词的一组1、 A. 银行(h eng ) 间(ji ①)断端(du 0!)正 莘莘学子(sh e n ) B. 行情 ( h eng ) 离间(jicn ) 湍(tu 31 )急 皮开肉绽(zh cn ) C. 假(ji a )设 干劲(jin) 喘(chu a )气 面面相觑(x u ) D. 2、 放假(ji a ) 下列各组词语中,没有错别字的一项是劲敌(j ing )揣(chu a )测 虎视眈眈(dm ) A.顽强一坚强柔弱- -刚强 B.机灵一迟钝 聪明- -愚蠢D. 丰富一贫乏简朴一奢侈 4、1) 3、坚决一果断 C. 愉快一高兴2) 不要再买点心了,再买妈妈又该说我们了。
3) 吃了这副药,再好好休息一个星期,你的病准好。
4) 沉重的心理负担加上长时间身体的劳累使他害了肺病。
A. 解释允许B .乘责备 定 得 C.买劝说 按时 治 D.撞 表扬 准备 查5、依次填入下列句子横线处的词语,最恰当的一项是 1)要进一步采取有力措施,有效 _________________ 投资过快的增长势头,保持经济平稳发展。
2) 前不久,这里曾山洪 _____________ ,致使公路堵塞,桥梁冲垮,交通瘫痪。
3) 传统文化是有优点, _____________ 任何一种东西优点再多, ________________ 看不 到缺点那就不会有危机感,也就不会有所创新。
2019年上海交通大学国际本科生入学考试大纲数学一、考试目的上海交通大学留学生本科入学数学考试,是以报考我校的具有高中毕业学历的外国学生为对象而进行的选拔考试。
数学考试旨在测试考查考生的数学素养,包括数学基础知识与基本技能、逻辑推理能力、运算能力、空间想象能力、数学应用与探究能力。
二、考试基本要求留学生本科入学数学考试测试考生各项数学素养如下:1.记忆。
能识别或记住有关的数学事实材料,使之再认或再现;能在标准的情景中作简单的套用,或按照示例进行模仿;2.解释性理解。
明了知识的来龙去脉,领会知识的本质,能用自己的语言或转换方式正确表达知识内容;在一定的变式情境中能区分知识的本质属性与非本质属性,会把简单变式转换为标准式,并解决有关的问题;3.探究性理解。
能把握知识的本质及其内容、形式的变化;能从实际问题中抽象出数学模型或作归纳假设进行探索,能把具体现象上升为本质联系,从而解决问题;会对数学内容进行拓展或对数学问题进行延伸,会对解决问题过程的合理性、完整性、简捷性作有效的思考。
三、试卷结构汉语考试釆用笔试的方式进行。
笔试共25题,满分100分。
汉语笔试要求考生在90分钟内完成。
答案必须写在答题纸上,写在试卷上无效。
对进入考场的计算器品牌和型号不作规定,但附带计算器功能的无线通讯工具、记忆存储等设备和附带无线通讯功能、记忆存储功能、具有图像功能的计算器不得带入考场。
按测量目标划分:四、考试内容和要求文理科共同考试内容:一、集合与命题:集合及其表示、子集、交集、并集、补集;命题的四种形式;充分条件、必要条件、充分必要条件;子集推出关系。
二、不等式:不等式的基本性质及其证明;基本不等式;一元二次不等式(组)的解法;分式不等式的解法;含有绝对值的不等式的解法。
三、数列与数学归纳法:数列的有关概念;等差数列;等比数列;简单的递推数列;数列的极限;无穷等比数列各项的和;数列的实际应用问题;数学归纳法;归纳-猜测-论证。
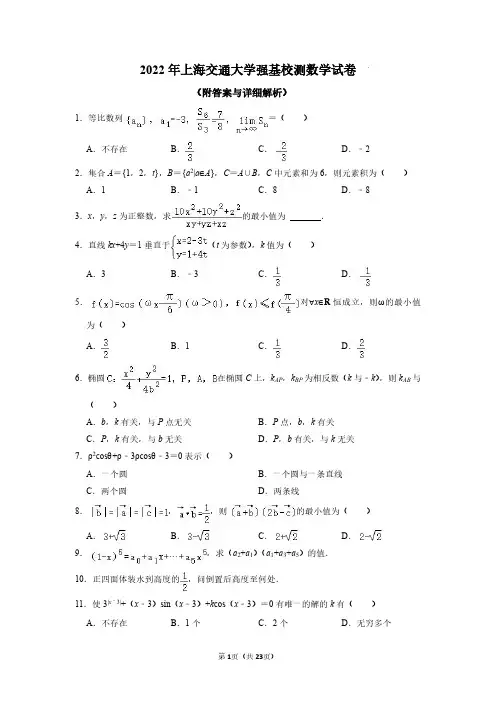
2022年上海交通大学强基校测数学试卷(附答案与详细解析)1.等比数列=()A.不存在B.C.D.﹣22.集合A={1,2,t},B={a2|a∈A},C=A∪B,C中元素和为6,则元素积为()A.1B.﹣1C.8D.﹣83.x,y,z为正整数,求的最小值为.4.直线kx+4y=1垂直于(t为参数),k值为()A.3B.﹣3C.D.5.对∀x∈R恒成立,则ω的最小值为()A.B.1C.D.6.椭圆在椭圆C上,k AP,k BP为相反数(k与﹣k),则k AB与()A.b,k有关,与P点无关B.P点,b,k有关C.P,k有关,与b无关D.P,b有关,与k无关7.ρ2cosθ+ρ﹣3ρcosθ﹣3=0表示()A.一个圆B.一个圆与一条直线C.两个圆D.两条线8.,,则的最小值为()A.B.C.D.9.,求(a2+a1)(a1+a3+a5)的值.10.正四面体装水到高度的,问倒置后高度至何处.11.使3|x﹣3|+(x﹣3)sin(x﹣3)+k cos(x﹣3)=0有唯一的解的k有()A.不存在B.1个C.2个D.无穷多个12.两个圆柱体底面积S1,S2,体积V1,V2,侧面积相等,,求的值.13.双曲线,焦点为A,B,点C在双曲线上,,求△ABC的周长.14.A={1,2,⋯,100},B={3x|x∈A},C={2x|x∈A},求B∩C中元素个数.15.在中有极大值,则a的取值范围为()A.(1,2)B.(1,+∞)C.(2,+∞)D.16.⊙O1,⊙O2与y=kx,x轴正半轴均相切,r1r2=2,交点P(2,2),则k=()A.1B.C.D.17.偶函数f(x)满足f(x+4)=f(x)+2f(2),求f(2022)的值.18.sin(2022πx)=x2实根个数为.19.求方程的根为.20.F1,F2为双曲线两焦点(焦点在x轴),直线AB经过F1且与双曲线左右两支交于点A,B,2AF1=AB,∠F1AF2=120°,求双曲线的离心率.21.f(x)=|x+1|+|x|﹣|x﹣2|,f(f(x))+1=0根的个数为()A.1B.2C.3D.022.△ABC,M为平面上一点,=()A.3B.8C.D.23.已知集合A={(x,y)|x2+y2≤2,x∈Z,y∈Z},则A中元素的个数为()A.4B.5C.8D.924.=()A.B.C.2D.125.空间中到正方体ABCD﹣A1B1C1D1棱A1D1,AB,CC1距离相等的点有()A.无数B.0C.2D.326.a>b>0,则最小值为()A.B.C.D.427.多项式f(x),g(x),问两命题“f(x)是g(x)因式”,“f(f(x))是g(g(x))因式”充分必要关系.28.等势集合指两个集合间一一对应,下列为等势集合的是()A.[0,1]与{E|0≤E≤1}B.[0,1]与{a,b,c,d}C.(0,1)与[0,1]D.{1,2,3}与{a,b,c,d}29.f(x)=lnx﹣mx2+(1﹣2m)x+1,对∀x>0,f(x)≤0,求整数m的最小值.30.数列{a n},a1=2,a2=6,a n+2﹣2a n+1+a n=2,求.31.椭圆,弦AB中垂线过,求离心率e的取值范围.32.椭圆的焦点为F1,F2,点P在上,当∠F1PF2最大时,则=()A.B.C.D.33.△ABC中,A=3B=9C,cos A cos B+cos B cos C+cos C cos A=()A.B.C.D.34.8个点将半圆分成9段弧,以10个点(包括2个端点)为顶点的三角形中钝角三角形有()个A.55B.112C.156D.12035.,求的值.36.f(x)=|x|+2x+1+3x的反函数为g(x),(g(x2))2=1的根有()个A.1B.2C.3D.437.,f(x)在(3,f(3))处切线方程为()A.2x+y+9=0B.2x+y﹣9=0C.﹣2x+y+9=0D.﹣2x+y﹣9=02022年上海交通大学强基校测数学试卷参考答案与试题解析1.等比数列=()A.不存在B.C.D.﹣2【分析】运用等比数列前n项和公式求S n,再求极限即可.【解答】解:∵等比数列{a n},a1=﹣3,=,∴=,解得,q=﹣,S n=,∴=﹣2.故选:D.【点评】本题考查了等比数列的基本运算,极限的计算,是基础题.2.集合A={1,2,t},B={a2|a∈A},C=A∪B,C中元素和为6,则元素积为()A.1B.﹣1C.8D.﹣8【分析】根据集合C6可得B中的元素,进而可以求C中的元素,由此即可求解,注意分类讨论.【解答】解:因为A={1,2,t},B={a2|a∈A},所以1∈B,4∈B,t2∈B,所以以1∈C,4∈C,t2∈C,若t2=1,则t=1(舍去)或﹣1,此时C={1,2,4,﹣1},符合题意,所以C中的元素的积为1×2×4×(﹣1)=﹣8,若t2=2,则t=或﹣,此时C={1,2,4,}或{1,2,4,﹣},与已知C中的元素和为6不符,若t2=t,则t=0或1(舍去),此时C={1,2,4,0},也与已知C中的元素和为6不符,若t2≠1,2,t,则C={1,2,4,t,t2},则1+2+4+t+t2=6,即t2+t+1=0,方程无解,综上,C中元素的积为﹣8,故选:D.【点评】本题考查了集合元素的性质以及并集的应用,涉及到分类讨论思想的应用,考查了学生的运算转化能力,属于中档题.3.x,y,z为正整数,求的最小值为4.【分析】直接利用关系式的变换和不等式的应用求出结果.【解答】解:引入参数k值,使之满足+,依据取等号的条件,有2k=,整理得:t=4,故的最小值为4.故答案为:4.【点评】本题考查的知识要点:关系式的变换,不等式的应用,主要考查学生的运算能力和数学思维能力,属于中档题.4.直线kx+4y=1垂直于(t为参数),k值为()A.3B.﹣3C.D.【分析】先将参数方程化为普通方程,再结合直线垂直的性质,即可求解.【解答】解:(t为参数),消去参数t可得,4x+3y﹣11=0,∵直线kx+4y=1垂直于(t为参数),∴,解得k=﹣3.故选:B.【点评】本题主要考查参数方程的应用,属于基础题.5.对∀x∈R恒成立,则ω的最小值为()A.B.1C.D.【分析】由余弦函数的最值和相应自变量的取值,令k=0,可得所求最小值.【解答】解:对∀x∈R恒成立,可得f(x)的最大值为f(),且为1,则﹣=2kπ,k∈Z,解得ω=8k+,k∈Z,由ω>0,可得k=0时,ω的最小值为.故选:D.【点评】本题考查三角函数的最值和不等式恒成立问题解法,考查方程思想和运算能力,属于基础题.6.椭圆在椭圆C上,k AP,k BP为相反数(k与﹣k),则k AB与()A.b,k有关,与P点无关B.P点,b,k有关C.P,k有关,与b无关D.P,b有关,与k无关【分析】设P(m,n),则直线PA的方程为y﹣n=k(x﹣m),与椭圆方程联立方程组可得A点坐标,同理可得B点坐标,从而可得k AB=.【解答】解:设P(m,n),则直线PA的方程为y﹣n=k(x﹣m),由,消去y得22+[k(x﹣m)+n]2=4b2,∴(b2+k2)x2+(2nk﹣2mk2)x+k2m2﹣2mkn+n2﹣4b2=0,∴m+x A=﹣,∴x A=﹣﹣m,y A=k(﹣﹣2m)+n,同理可得x B=﹣m,y B=﹣k(﹣2m)+n,∴k AB===.故选:D.【点评】本题考查直线与椭圆的位置关系,考查学生的运算求解能力,属中档题.7.ρ2cosθ+ρ﹣3ρcosθ﹣3=0表示()A.一个圆B.一个圆与一条直线C.两个圆D.两条线【分析】根据已知条件,推得ρ=3或ρcosθ=﹣1,再结合极坐标公式,即可求解.【解答】解:∵ρ2cosθ+ρ﹣3ρcosθ﹣3=0,∴(ρ﹣3)(ρcosθ+1)=0,解得ρ=3或ρcosθ=﹣1,∵ρ2=x2+y2,x=ρcosθ,∴x2+y2=9或x=﹣1,故ρ2cosθ+ρ﹣3ρcosθ﹣3=0表示一个圆与一条直线.故选:B.【点评】本题主要考查简单曲线的极坐标公式,考查转化能力,属于基础题.8.,,则的最小值为()A.B.C.D.【分析】设=(1,0),=(,),=(cosα,sinα),根据向量的数量积以及三角函数的有关知识即可求解结论.【解答】解:∵,,可设=(1,0),=(,),=(cosα,sinα),α∈[0,2π),∴=(,)•(2﹣cosα,﹣sinα)=3﹣cosα﹣sinα=3﹣sin(α+),∴当sin(α+)=1时,取最小值3﹣.故选:B.【点评】本题主要考查向量数量积的应用以及三角函数的有关知识,属于中档题.9.,求(a2+a1)(a1+a3+a5)的值.【分析】分别令x=1和x=﹣1,可列式得a1+a3+a5=﹣16,又利用二项展开式可得,a1=﹣=﹣5,=10,从而可解.【解答】解:当x=0时,a0=1,又当x=1时,a0+a1+a2+a3+a4+a5=0.当x=﹣1时,a0﹣a1+a2﹣a3+a4﹣a5=32,以上两式相减得,2a1+2a3+2a5=﹣32,则a1+a3+a5=﹣16,又根据二项展开式可得,a1=﹣=﹣5,=10,则a1+a2=5,则(a2+a1)(a1+a3+a5)=﹣80.【点评】本题考查二项展开式相关知识,属于中档题.10.正四面体装水到高度的,问倒置后高度至何处.【分析】设正四面体的底面积为S,高为h,体积为V=,可得有水部分的体积为,倒置后,再由体积比是相似比的立方求解.【解答】解:设正四面体的底面积为S,高为h,体积为V=,正四面体装水到高度的,则上面无水部分也为正四面体,底面积为,高为,体积为,有水部分的体积为,倒置后,下面正四面体的体积是,即有水部分的体积与原正四面体的体积比为,∴倒置后高度至何处原正四面体高的.【点评】本题考查棱锥的结构特征,考查运算求解能力,是基础题.11.使3|x﹣3|+(x﹣3)sin(x﹣3)+k cos(x﹣3)=0有唯一的解的k有()A.不存在B.1个C.2个D.无穷多个【分析】令3﹣x=t,则3|t|+t sin t+k cos t=0,构造函数f(t)=3|t|+t sin t+k cos t,且t∈R,得出f(t)为偶函数,根据偶函数的对称性,假设有f(t1)=0,必有f(﹣t1)=0,与题设矛盾,则只有f(0)=0,即可得出答案.【解答】解:令3﹣x=t,则3|t|+t sin t+k cos t=0,设f(t)=3|t|+t sin t+k cos t,且t∈R,则f(﹣t)=3|﹣t|+(﹣t)sin(﹣t)+k cos(﹣t)=3|t|+t sin t+k cos t=f(t),∴f(t)为偶函数,则f函数(t)的图象关于y轴对称,由偶函数的对称性,若f(t)=0的零点不为t=0,则有f(t1)=0,必有f(﹣t1)=0,不满足f(t)=0的唯一性,∴只能是f(0)=0,即3|0|+0+k cos0=0,解得k=﹣1,故k只有唯一一个,故选:B.【点评】本题考查函数的零点与方程根的关系,根据函数的性质,考查转化思想,函数思想的应用,属于中档题.12.两个圆柱体底面积S1,S2,体积V1,V2,侧面积相等,,求的值.【分析】设出底面半径和高,由题意结合侧面积和体积的关系得到半径的比值,然后计算底面积的比值即可.【解答】解:设两圆柱的底面半径为r1,r2,高为h1,h2,由题意可得:2πr1h1=2πr2h2,即,且,从而.故答案为:.【点评】本题主要考查圆柱的侧面积公式,圆柱的体积公式,圆柱的底面积公式等知识,属于基础题.13.双曲线,焦点为A,B,点C在双曲线上,,求△ABC的周长.【分析】利用双曲线方程求解b,c,结合余弦定理,以及双曲线的定义,转化求解即可.【解答】解:双曲线,可得a=2,c=4,A(﹣4,0),B(4,0),不妨设C 在第一象限,由双曲线的定义可知|AC|﹣|CB|=2a=4,可得|AC|2+|BC|2﹣2|AC||BC|=16,cos∠ACB=,由余弦定理可得|AB|2=|AC|2+|BC|2﹣2|AC||BC|cos∠ACB,即64=|AC|2+|BC|2﹣2|AC||BC|×,解得|AC|=10,|BC|=6,|AB|=8,则△ABC的周长为:24.故答案为:24.【点评】本题考查双曲线的简单性质的应用,余弦定理以及双曲线定义的应用,是中档题.14.A={1,2,⋯,100},B={3x|x∈A},C={2x|x∈A},求B∩C中元素个数.【分析】集合B中的元素为300以内3的倍数,集合C中的元素为200以内2的倍数,即可解出.【解答】解:由题意可知,集合B中的元素为300以内3的倍数,集合C中的元素为200以内2的倍数,所以B∩C中的元素为200以内6的倍数,所以元素共有≈33,即B∩C中共有33个元素.【点评】本题考查了交集,学生的逻辑思维能力,数学运算能力,属于基础题.15.在中有极大值,则a的取值范围为()A.(1,2)B.(1,+∞)C.(2,+∞)D.【分析】对f(x)求导,根据f(x)在中有极大值,可得方程f'(x)=0在区间内有解,然后求出a的取值范围即可.【解答】解:由,得,∵函数在区间内有极大值,∴方程在区间内有解,即方程在区间内有解,∴在区间内有解,故,则a的取值范围是(1,2).故选:A.【点评】本题考查了利用导数研究函数的单调性与极值,考查了转化思想和方程思想,属中档题.16.⊙O1,⊙O2与y=kx,x轴正半轴均相切,r1r2=2,交点P(2,2),则k=()A.1B.C.D.【分析】由题意画出图形,可得两圆交点P(2,2)在直线y=kx的右下方,求出OP所在直线的斜率,结合选项得答案.【解答】解:如图,⊙O1,⊙O2均与直线y=kx相切,则两圆交点P(2,2)在直线y=kx的右下方,而OP所在直线当斜率为1,可得k>1,结合选项可知,k=.故选:B.【点评】本题考查圆与圆、直线与圆的位置关系,考查数形结合思想,是中档题.17.偶函数f(x)满足f(x+4)=f(x)+2f(2),求f(2022)的值.【分析】由偶函数的定义和赋值法,可得f(2)=0,推得f(x)的周期,计算可得所求值.【解答】解:偶函数f(x)满足f(x+4)=f(x)+2f(2),令x=﹣2,则f(2)=f(﹣2)+2f(2),即f(2)+f(﹣2)=0,又f(﹣2)=f(2),可得f(2)=0,所以f(x+4)=f(x),即f(x)的最小正周期为4,所以f(2022)=f(4×505+2)=f(2)=0.【点评】本题考查函数的奇偶性和周期性的定义和运用,考查方程思想和运算能力,属于基础题.18.sin(2022πx)=x2实根个数为4044.【分析】设f(x)=sin(2022πx),g(x)=x2,求出f(x)的周期,由f(x)的最大值为1,x∈[﹣1,1],时,0≤g(x)≤1,利用f(x)的周期,得出两者图象交点的个数,从而得出答案.【解答】解:设f(x)=sin(2022πx),g(x)=x2,∴g(﹣1)=g(1)=1,x>1或x<﹣1时,g(x)>1,f(x)≤1,两者无交点,∴f(x)=sin(2022πx)的周期为T==,在[0,1]上有1011个周期,在[﹣1,0)上有1011个周期,f(﹣1)=sin(﹣2022π)=0,f(1)=sin(2022π)=0,x=﹣1在f(x)增区间上,x=1在f(x)增区间上,因此在[﹣1,1]上的每个区间[﹣1+,﹣1+)(k∈N*,k≤2021)上,f(x)与g(x)的图象都是两个交点,共4044个交点,即原方程有4044个解.故答案为:4044.【点评】本题考查了函数的零点与方程根的关系,属于中档题.19.求方程的根为无实数解.【分析】对于方程,两边平方,利用三角函数的平方关系、倍角公式、三角函数的单调性与值域即可得出结论.【解答】解:∵方程,两边平方可得:sin2x+cos2x+|2sin x cos x|=,∴1+|sin2x|=∴|sin2x|=﹣1<0,因此方程无实数解.故答案为:无实数解.【点评】本题考查了平方关系、倍角公式、三角方程的解法、三角函数的单调性与值域,考查了推理能力与计算能力,属于基础题.20.F1,F2为双曲线两焦点(焦点在x轴),直线AB经过F1且与双曲线左右两支交于点A,B,2AF1=AB,∠F1AF2=120°,求双曲线的离心率.【分析】根据双曲线的定义以及余弦定理即可求解结论.【解答】解:如图,∵2AF1=AB,∠F1AF2=120°,设2AF1=AB=2x,则AF2=2a+x,BF2=3x﹣2a,且∠BAF2=60°,∴在△ABF2中,AF22=AB2+BF22,可得(3x﹣2a)2=(2x)2+(2a+x)2﹣2•2x•(2a+x)×cos60°,①在△AF1F2中,F1F22=AF12+AF22,可得(2c)2=x2+(2a+x)2﹣2•x•(2a+x)×cos120°,②可得:x=2a且4c2=3x2+4a2+6ax,代入可得c=a,故离心率e=.故答案为:.【点评】本题主要考查双曲线的定义应用以及余弦定理的应用,考查计算能力,属于中档题.21.f(x)=|x+1|+|x|﹣|x﹣2|,f(f(x))+1=0根的个数为()A.1B.2C.3D.0【分析】根据绝对值的意义,求出f(x)的表达式,利用换元法转化为两个函数交点个数问题进行求解即可.【解答】解:当x≤﹣1时,f(x)=﹣(x+1)﹣x+(x﹣2)=﹣x﹣3,当﹣1<x<0时,f(x)=x+1﹣x+(x﹣2)=x﹣1,当0≤x≤2时,f(x)=x+1+x+(x﹣2)=3x﹣1,当x>2时,f(x)=x+1+x﹣(x﹣2)=x+3,作出f(x)的图象如图:设t=f(x),由f(t)+1=0,得f(t)=﹣1,得t=0或t=﹣2,当t=0时,f(x)=0,有两个根,当t=﹣2时,f(x)=﹣2,有1个根,综上f(f(x))+1=0的根的个数为3个,故选:C.【点评】本题主要考查函数与方程的应用,根据绝对值的意义求出函数f(x)的表达式,利用换元法转化为两个函数交点个数问题是解决本题的关键,是中档题.22.△ABC,M为平面上一点,=()A.3B.8C.D.【分析】延长AM交BC于G,则=λ+(1﹣λ),因为A,M,G三点共线,所以,即=t(),所以=,则,故且t=,又=,故,所以=,,从而可得面积之比.【解答】解:如图,延长AM交BC于G,则=λ+(1﹣λ),因为A,M,G三点共线,所以,即=t(),所以=,则,故且t=,又=,故,所以=,,=S△ABM=S△ABM,所以S△BGM所以=3.故选:A.【点评】本题考查平面向量的线性运算,属于中档题.23.已知集合A={(x,y)|x2+y2≤2,x∈Z,y∈Z},则A中元素的个数为()A.4B.5C.8D.9【分析】集合A的元素代表圆周及其内部的点,分坐标轴和象限进行讨论,即可得到结论【解答】解:根据题意:A={(,y)|x2+y2≤2,x,y∈Z}={(﹣1,﹣1),(﹣1,0),(﹣1,1),(0,﹣1),(0,0)(0,1),(1,﹣1),(1,0),(1,1)}共9个元素,是平面直角坐标系中9个点.故选:D.【点评】本题考查集合的表示以及点与圆的位置关系,解题时需注意集合A的元素为两坐标均为整数的点,本题属于基础题.24.=()A.B.C.2D.1【分析】由两角差的正弦公式、正切公式,结合特殊角的三角函数值,计算可得所求值.【解答】解:tan15°+2sin15°=tan(45°﹣30°)+2sin(45°﹣30°)=+2×=2﹣+﹣1=1.故选:D.【点评】本题考查三角函数的求值,考查转化思想和运算能力,属于基础题.25.空间中到正方体ABCD﹣A1B1C1D1棱A1D1,AB,CC1距离相等的点有()A.无数B.0C.2D.3【分析】由于点D、B1显然满足要求,猜想B1D上任一点都满足要求,然后证明结论.【解答】解:在正方体ABCD﹣A1B1C1D1上建立如图所示空间直角坐标系,并设该正方体的棱长为1,连接B1D,并在B1D上任取一点P,因为,所以设P(a,a,a),其中0≤a≤1,作PE⊥平面A1D,垂足为E,再作EF⊥A1D1,垂足为F,则PF是点P到直线A1D1的距离,所以,同理点P到直线AB、CC1的距离也是,所以B1D上任一点与正方体ABCD﹣A1B1C1D1的三条棱AB、CC1、A1D1所在直线的距离都相等,所以与正方体ABCD﹣A1B1C1D1的三条棱AB、CC1、A1D1所在直线的距离相等的点有无数个.故选:A.【点评】本题主要考查合情推理的能力及空间中点到线的距离的求法,考查了推理论证能力,属于中档题.26.a>b>0,则最小值为()A.B.C.D.4【分析】利用基本不等式可解.【解答】解:∵a>b>0,则a=≥2=3,当且仅当,即a=,b=时取等号.故选:C.【点评】本题考查基本不等式相关知识,属于基础题.27.多项式f(x),g(x),问两命题“f(x)是g(x)因式”,“f(f(x))是g(g(x))因式”充分必要关系.【分析】根据充分条件和必要条件的定义进行判断即可.【解答】解:不充分反例:设f(x)=x﹣1,g(x)=x(x﹣1),故f(f(x))=x﹣2,g(g(x))=x(x﹣1)(x2﹣x﹣1),故不充分,不必要反例:设f(x)=x,g(x)=x(x﹣1),故f(f(x))=x+1,g(g(x))=x(x+1)(x2+x+1),故不必要.∴“f(x)是g(x)因式”是“f(f(x))是g(g(x))因式”的既不充分也不必要条件.【点评】本题主要考查充分条件和必要条件的判断,根据充分条件和必要条件的定义是解决本题的关键.28.等势集合指两个集合间一一对应,下列为等势集合的是()A.[0,1]与{E|0≤E≤1}B.[0,1]与{a,b,c,d}C.(0,1)与[0,1]D.{1,2,3}与{a,b,c,d}【分析】根据等势集合的定义,即可解出.【解答】解:根据等势集合的定义可判断选项A正确,选项B、C、D错误,故选:A.【点评】本题考查了等势集合的定义,学生的逻辑推理能力,属于基础题.29.f(x)=lnx﹣mx2+(1﹣2m)x+1,对∀x>0,f(x)≤0,求整数m的最小值.【分析】结合函数解析式的特征分别考查m=0和m=1两种情况即可求得整数m的最小值.【解答】解:当m=0时,f(x)=lnx+x+1,此时f(1)>0不合题意,当m=1时,f(x)=lnx﹣x2﹣x+1,,当时,f'(x)>0,f(x)单调递增,当时,f'(x)<0,f(x)单调递减,函数的最大值为,即m=1满足题意,下面证明当m≥1时,f(x)≤0对x>0恒成立,由于f(x)≤(x﹣1)﹣mx2+(1﹣2m)x+1=﹣mx2+(1﹣2m)x,其对称轴为,故当x>0时,f(x)<0,综上可得,整数m的最小值为1.【点评】本题主要考查利用导数研究不等式恒成立问题,利用导数研究函数的单调性与函数的最值等知识,属于中等题.30.数列{a n},a1=2,a2=6,a n+2﹣2a n+1+a n=2,求.【分析】变形可得(a n+2﹣a n+1)﹣(a n+1﹣a n)=2,设b n=a n+1﹣a n,可得数列{b n}是首项为4,公差为2的等差数列,根据等差数列的通项公式求得b n,再利用累加法求得a n,然后由裂项求和法,得解.【解答】解:因为a n+2﹣2a n+1+a n=2,所以(a n+2﹣a n+1)﹣(a n+1﹣a n)=2,设b n=a n+1﹣a n,则b n+1﹣b n=2,且b1=a2﹣a1=6﹣2=4,所以数列{b n}是首项为4,公差为2的等差数列,所以b n=4+(n﹣1)×2=2(n+1),所以a n+1﹣a n=2(n+1),所以a n=(a n﹣a n﹣1)+(a n﹣1﹣a n﹣2)+…+(a2﹣a1)+a1=2n+2(n﹣1)+…+(6﹣2)+2=2[n+(n﹣1)+…+2+1]=2×=n(n+1),所以==﹣,所以=(1﹣)+(﹣)+…+(﹣)=1﹣=.【点评】本题考查数列的求和,根据数列递推式,构造新数列,熟练掌握累加法,裂项求和法是解题的关键,考查逻辑推理能力和运算能力,属于中档题.31.椭圆,弦AB中垂线过,求离心率e的取值范围.【分析】设A(x1,y1),B(x2,y2),x1≠x2,则,整理化简得x1+x2=,再由﹣2a<x1+x2<2a即可求出结果.【解答】解:设A(x1,y1),B(x2,y2),x1≠x2,令b2=9,则,即,∴=,∴x1+x2=,∵﹣a≤x1≤a,﹣a≤x2≤a,∴﹣2a<x1+x2<2a,则>﹣2a,即,∴>,又0<e<1,∴,即离心率e的取值范围(,1).【点评】本题主要考查了椭圆的性质,属于中档题.32.椭圆的焦点为F1,F2,点P在上,当∠F1PF2最大时,则=()A.B.C.D.【分析】由平面几何知识可得当过F1与F2的圆与直线相切时,切点P 满足∠F1PF2最大,此时圆心A在y轴上,设A(0,t),则圆的半径r=AP=AF2,又∠BPF2=∠BF1P,从而得△∠BPF2∽△BF1P,从而得==,再计算即可得解.【解答】解:由题意可得F2(,0),且直线与x轴的交点B为(,0),由平面几何知识可得:当过F1与F2的圆与直线相切时,切点P满足∠F1PF2最大,此时圆心A在y轴上,设A(0,t),则圆的半径r=AP=AF2,又∠BPF2=∠BF1P,∴△BPF2∽△BF1P,∴=====.故选:A.【点评】本题考查椭圆的性质,平面几何知识,属中档题.33.△ABC中,A=3B=9C,cos A cos B+cos B cos C+cos C cos A=()A.B.C.D.【分析】运用三角函数积化和差公式,得到角为等差数列的余弦和,即可求解.【解答】解:∵△ABC中,A=3B=9C,C=,∴cos A cos B+cos B cos C+cos C cos A=[cos(A+B)+cos(A﹣B)+cos(C+B)+cos(B﹣C)+cos(A+C)+cos(A﹣C)]=[cos2C+cos4C+cos6C+cos8C+cos10C+cos12C]=[cos+cos+cos+cos+cos+cos],又sin cos=[sin﹣sin],sin cos=[sin﹣sin],sin cos=[sin﹣sin],sin cos=[sin﹣sin],sin cos=[sin﹣sin],sin cos=[sin﹣sin],上述各式相加得,cos+cos+cos+cos+cos+cos=﹣,故选:B.【点评】本题考查了三角变换求值,对角为等差数列的余弦和一般乘以角的正弦累加即可,是中档题.34.8个点将半圆分成9段弧,以10个点(包括2个端点)为顶点的三角形中钝角三角形有()个A.55B.112C.156D.120【分析】根据题意,用排除法分析,先利用组合数公式计算其中三角形的数目,排除其中直角三角形的数目,计算可得答案.【解答】解:根据题意,如图:在10个点中,任意三点不共线,在其中任取3个点,可以组成C=120个三角形,其中没有锐角三角形,直角三角形有8个,(包含AB两点在内8个三角形),则钝角三角形有120﹣8=112个.故选:B.【点评】本题考查排列组合的应用,涉及圆周角定理,属于基础题.35.,求的值.【分析】易知a n+1=a n(a n+1),可得=﹣+,再采用裂项求和法,推出=4﹣,然后求得0<<1,即可得解.【解答】解:因为a n+1=a n2+a n=a n(a n+1),所以==﹣,即=﹣+,所以=++…+=(﹣+)+(﹣+)+…+(﹣+)=﹣=4﹣,因为a n+1=a n2+a n>a n,所以<,且a5>1,所以a2023>1,所以0<<1,所以=[4﹣]=3.【点评】本题考查数列的求和,熟练掌握裂项求和法是解题的关键,考查逻辑推理能力和运算能力,属于中档题.36.f(x)=|x|+2x+1+3x的反函数为g(x),(g(x2))2=1的根有()个A.1B.2C.3D.4【分析】由(g(x2))2=1求得g(x2)=±1,根据反函数的定义列方程求解即可.【解答】解:因为(g(x2))2=1,所以g(x2)=±1,当g(x2)=1时,f(1)=1+2+1+3=7,令x2=7,解得x=±;当g(x2)=﹣1时,f(﹣1)=1﹣2+1+3﹣1=,令x2=,解得x=±;所以方程(g(x2))2=1的根有4个.故选:D.【点评】本题考查了反函数的定义与应用问题,也考查了分类讨论思想,是基础题.37.,f(x)在(3,f(3))处切线方程为()A.2x+y+9=0B.2x+y﹣9=0C.﹣2x+y+9=0D.﹣2x+y﹣9=0【分析】根据已知条件,结合导数的几何意义,求出f'(3)=﹣2,再结合直线的点斜式公式,即可求解.【解答】解:∵,令△x=x﹣2,∴=,解得f'(3)=﹣2,∴f(x)在(3,f(3))处切线方程为y﹣3=﹣2(x﹣3),即2x+y﹣9=0.故选:B.【点评】本题主要考查导数的几何意义,考查转化能力,属于基础题.。
第11章 级数1.写出下列级数的前5项:(1) 11(1)3n nn -∞=-∑;(2) 113(21)242n n n ∞=⨯-⨯∑;(3) 21(ln )nn n ∞=∑;(4) 1!n n n n ∞=∑ 解答:(1)23451111133333-+-+-; (2) 1131351357135792242462468246810••••••••••+++++••••••••••;(3) 2345611111(ln 2)(ln 3)(ln 4)(ln 5)(ln 6)+++++; (4)234511212312341234512345••••••••••+++++。
所属章节:第十一章第一节 难度:一级2.写出下列级数的通项:(1) 2341357++++;(2)2-+;(3)2242468x x ++++⨯⨯⨯⨯解答:(1) 21nn -; (2) 1(1)(1)n n n --+;(3)2242n xn•。
所属章节:第十一章第一节 难度:一级3.已知级数的部分和S n ,写出该级数,并求和:(1) 1n n S n+=;(2) 212n n n S -=;解答:(1) 一般项为111121u S +===,111,2,3,1(1)n n n n n u S S n n n n n -+-=-=-==--,故该级数为212(1)n n n∞=--∑,该级数的和为1lim lim 1n n n n S n →∞→∞+==;(2) 一般项为1112u S ==,11121211,2,3,222n n n n n n n n u S S n -----=-=-==,故该级数为112n n ∞=∑,该级数的和为21lim lim 12n n n n n S →∞→∞-== 。
所属章节:第十一章第一节难度:一级4.根据定义求出下列级数的和:(1) 1326n nnn ∞=+∑;(2) 11(2)n n n ∞=+∑;(3) 1(1)(2)(3)n nn n n ∞=+++∑;(4) 1n ∞=∑解答:(1) 111113211332()()1162321123nnn n n n n n ∞∞∞===+=+=+=--∑∑∑; (2) 1111111111113()(1)(2)222324354n n n n nn ∞∞===-=-+-+-+=++∑∑; (3) 111123111111[()]()()2(1)(2)(3)2122322334n n nn n n n n n∞∞===-+-⋅=-++⨯=++++++∑∑; (4)11n n∞∞===-∑∑1n ∞==∑1==-所属章节:第十一章第一节难度:一级5.证明下列级数发散: (1)121n nn ∞=+∑;(2) 12nn n ∞=∑;(3) 11nn n n ∞=⎛⎫⎪+⎝⎭∑;(4)111n nnn nn n +∞=⎛⎫+ ⎪⎝⎭∑解答:(1) 由于10212n n u n =→≠+,所以级数121n n n ∞=+∑发散;(2) 由于20nn u n =→+∞≠,所以级数12n n n∞=∑发散;(3) 由于1()01n n n u n e =→≠+,所以级数11nn n n ∞=⎛⎫⎪+⎝⎭∑发散; (4) 由于1111011(1)()(1)n n nn nn n n n nn n u n e n n n ++=≥=→≠+++,所以级数111n nn n n n n +∞=⎛⎫+ ⎪⎝⎭∑发散。
上海交通大学外国留学生本科入学考试大纲数学【考试要求】考试对象为报考上海交通大学的国外留学生,为上海交通大学各院系录取新生提供考生知识能力方面的信息。
数学考试旨在考查中学数学的基础知识、基本技能和思维能力、运算能力,以及运用有关数学知识分析问题和解决问题的能力。
【考试形式】考试题型为选择题,填空题和解答题;数学各部分内容在试卷中的占分比例:代数:约50%左右三角:约20%左右平面解析几何:约30%左右【参考书目】《数学》(高一、高二年级第一学期和第二学期用书)上海市高级中学课本上海中小学课程教材改革委员会编上海教育出版社出版、发行【考试内容】(标记“*”部分仅为理科考试内容)(一)代数部分1.集合:理解集合及其表示,掌握子集、交集、并集、补集的概念,了解空集和全集的意义,了解属于、包含、相等关系的意义,能掌握有关的术语和符号,能正确表示一些简单的集合。
2.不等式:掌握区间符号的表达,会解一元一次不等式(组)、一元二次不等式;掌握简单的分式不等式,简单绝对值不等式,简单无理不等式的解法;掌握不等式的性质,会应用基本不等式(a2+b2≥2ab,abba≥+2)。
3.函数:理解函数的定义域,值域,奇偶性,增减性的概念;了解反函数的意义,掌握反函数求法;理解一次函数、反比例函数的概念,掌握它们的图像性质和解析式。
理解二次函数的概念以及图像和性质,会求二次函数的解析式及最大,最小值,能灵活运用二次函数的性质解决有关问题。
4.指数和对数函数:理解指数与对数的概念,掌握有关的性质和运算法则;理解指数函数、对数函数的概念,掌握它们的图像和性质,解决与之相关的问题;会解简单的指数方程和对数方程,会解简单的指数不等式和对数不等式。
5.数列和极限:理解等差数列与等比数列的概念,掌握等差数列与等比数列的通项公式及前n项和的公式;了解极限的意义,掌握数列极限的四则运算法则,会求公比的绝对值小于1的无穷等比数列的和。
6.复数:理解复数的概念,复数的模,及其几何意义;掌握复数的四则运算;会在复数范围内解实系数一元二次方程。
上海交通大学外国留学生本科入学考试(样题2)科目:数学(理科)建议用时:90分钟一、选择题(每小题4分, 共48分)1. 函数)1(11-≠+-=xxy的反函数是()( find the inverse function of)1(11-≠+-=xxy)(A))0(11≠--=xxy(B))0(11≠+-=xxy(C))(1Rxxy∈+-=(D) )(1Rxxy∈--=2.已知集合{}(1)0P x x x=-≥,11Q xx⎧⎫=>⎨⎬-⎩⎭,则P Q等于()(A)∅(B) {}1 x x≥(C) {}1x x>(D){}1xx x<0或≥3.7(1)x+的展开式中,2x的系数等于( )( Expand7(1)x+,find the coefficient in term of 2x)(A) 42 (B) 35 (C) 28 (D) 214.过点(1,0)且与直线22=--yx平行的直线方程是(find the equation of a straight linewhich pass through(1,0)and is parallel to the line :22=--yx)()(A)12=--yx(B) 012=+-yx(C)22=-+yx(D) 012=-+yx5. i是虚数单位(imaginary unit i),计算(simplify the expression)22(1)12iii+---=( )(A) 0 (B) 2 (C)i3(D) i3-6.从0,2中选一个数字,从1,3,5中选两个数字,组成无重复数字三位数.其中奇数的个数为( A three-digit number is formed by randomly selecting one digit from 0 and 2 , two digits from 1,3and 5 ,how many different odd numbers can be formed without replacement) ( )(A)24 (B) 18 (C) 12 (D) 6 7. 若等差数列(arithmetic sequence){}n a 的前5项和525S =,且23a =,则7a =( ) (A)12 (B)13 (C)14 (D) 158.与椭圆(ellipse ) 1422=+y x 有相同的焦点且过点P(2,1)的双曲线方程是(find theequation of the hyperbola which pass point P and has the same focuses with the above ellipse ) ( )(A) 1422=-y x(B) 13322=-y x (C) 1222=-y x(D) 1222=-y x9.若函数1ax y x =+的图像关于直线y x =对称,则a 为 ( graphing the function 1axy x =+,the equation of the line of symmetry is y x =, find the value of a )( )(A) 1 (B) 1- (C)1± (D) 010. 有4张卡片上分别写有数字1,2,3,4,从中随机抽取2张,则取出的2张卡片上的数字之和为奇数的概率为(number 1,2,3,4 on four cards respectively, choose two cards from thefour cards ,what is the probability that the sum of two numbers on the cards is a odd number ) ( )(A) 13 (B) 12(C)23 (D)3411. 若4tan 1tan =+θθ,则=θ2sin ( )(A) 15 (B) 14 (C)13 (D)1212. 已知椭圆(ellipse )的焦点(focus) )0,1(1-F , )0,1(2F ,P 是椭圆上一点,且21FF 是1PF ,2PF 的等差中项(1PF ,21F F and2PF make a arithmetic sequence),则椭圆的方程是(find the equation of the hyperbola ) ( )(A) 14522=+y x (B) 22143x y += (C) 15422=+y x (D) 22134x y +=二. 填空题: (每题5分,共40分)13. 函数1()lg(1)1f x x x =++-的定义域是(find the range of values of x )14. 若函数52++=x mx y 在[2,)-+∞上是增函数,则m 的取值范围是(For function of52++=x mx y , as values of x increase in the interval [2,)-+∞, do the values of yincrease . Find the range of values of m )15.过原点的直线与圆C :044222=+--+y x y x 相交所得的弦长为2,则该直线的方程为( find the equation of a line which pass through ()0,0 and cuts circle C with the points A and B , then 2=AB )16. 已知向量(vector)(3,1)a = ,(1,3)b = , (,2)c k = ,若()a c b -⊥则k =17. 计算:=-+-∞→)23(lim 2n n n n 18. 方程2lg 2=x 的解=x19. 已知函数1)6sin(cos 4)(-+=πx x x f , 当∈x ⎥⎦⎤⎢⎣⎡-4,6ππ时,)(x f 的最小值 是(find the minimum value of )(x f )20. 与直线01=+-y x 垂直且与抛物线y x 42=相切的直线方程为(find the equation of a straight line which is perpendicular to the line: 01=+-y x and also touches theparabola :y x 42=) 三. 解答题 (每小题6分, 共12分) 21. 设数列(sequence){}n a 的前n 项和为n S , (n na a a a S++++= 321)已知11=a ,13nn n a S +=+,*n ∈N .()4,3,2,1 =n , 设3n n n b S =-,求数列{}n b 的通项公式;22. 已知ABC △的顶点A B ,在椭圆2234x y +=上,C 在直线2l y x =+:上, 且AB l ∥.当90ABC ∠=,且斜边AC 的长最大时,求AB 所在直线的方程.( Point A and B are on the track of ellipse2234x y +=, point C is on the line 2l y x =+:, AB l ∥ and 90ABC ∠=. When AC gets its maximumvalue, find the equation of the line which pass through points A and B )参考答案(理科)一. 选择题: (每题4分,共48分)1 2 3 4 5 6 A C D A D B 7 8 9 10 11 12 BCBCDB二. 填空题: (每题5分,共40分)13. (1,1)(1,)-+∞ 14. 410≤≤m15. 02=-y x 16. 0 17. -2 18. 10± 19. -1 20. 01=++y x 三. 解答题: (每题6分,共12分)21. nn b 2-=(*n ∈N ).22. 1y x =-.。
上海交通大学外国留学生本科入学考试(样题)科目:物理(理科) 建议用时:__45_分钟1. (1分)关于能量转化有下列说法:[ ]①太阳能热水器把太阳能转化为水的内能; ②电热水器把电能转化为水的内能; ③燃气热水器把电能转化为水的内能; ④空调把空气的内能转化为电能. 其中正确的是A .①②B .①③C .②③ D.①④ 2. (1分)如图所示的电场中, 下列关于A 点和B 点相比较的说法中正确的是[ ]A.B A E E =B.B A U U <C. B A E E <D. B A U U > 3. (1分)若某种媒质相对于空气的临界角是A ,真空中的光速是C ,那么光在这种媒质中的速率是:[ ]A . CsinAB .C/sinAC .sinA/CD .C4. (1分)下列各图为电流产生磁场的分布图,正确的分布图是[ ]IIII①②③④A.①③B. ②③C. ①④D.②④5.(1分)一质点作简谐运动,其位移x与时间t的关系曲线如图所示.由图可知,在t =4s 时,质[ ]A.速度为正的最大值,加速度为零B.速度为负的最大值,加速度为零C.速度为零,加速度为正的最大值D.速度为零,加速度为负的最大值6.(1分)在下列情况中,物体机械能守恒的是[ ]A.物体沿斜面匀速滑下B.降落伞在空中匀速下降C.不计空气阻力,斜向上抛出的物体在空中运动过程中D.起重机吊着重物加速上升7.7.(1分)某同学在单杠上做引体向上,如下图所示。
其中双臂用力最小的是[ ] t/sx0 2 46 A8. (1分)一物体以6m/s 的速度匀速运动了18m 后冲上一斜坡,在斜坡上又前进了18m ,速度刚好为零,则该物体在全程的平均速度大小为[ ]A.3m/sB.4m/sC.4.5 m/sD.5 m/s9. (1分)如下图表示一条放在磁场里的通电直导线,导线与磁场方向垂直,图中已经分别标明电流、磁感应强度和安培力三者方向的关系,其中正确的是[ ] 10.(1分)某放射性元素的原子核X 经过一次α衰变后,衰变为另一种元素的原子核Y ,则Y 与X 相比较,减少了[ ]A.1个质子、3个中子B.3个质子、1个中子C.2个质子、2个中子D.3个质子、2个中子11.(每空格0.5分,共1.5分)人类对光的本性的认识经历了曲折的过程,提出了各种学说:微粒说、波动说、电磁说、光子说等。
2011年普通高等学校招生全国统一考试数学理试题(上海卷,含答案)一、填空题(56分) 1、函数1()2f x x =-的反函数为1()f x -= 。
2、若全集U R =,集合{|1}{|0}A x x x x =≥≤,则U C A = 。
3、设m 为常数,若点(0,5)F 是双曲线2219y x m -=的一个焦点,则m = 。
4、不等式13x x+<的解为 。
5、在极坐标系中,直线(2cos sin )2ρθθ+=与直线c o s 1ρθ=的夹角大小为 。
6、在相距2千米的A 、B 两点处测量目标C ,若0075,60CAB CBA ∠=∠=,则A 、C 两点之间的距离是 千米。
7、若圆锥的侧面积为2π,底面积为π,则该圆锥的体积为 。
8、函数sin()cos()26y x x ππ=+-的最大值为 。
9、马老师从课本上抄录一个随机变量ε的概率分布律如下表请小牛同学计算ε的数学期望,尽管“!”处无法完全看清,且两个“?”处字迹模糊,但能肯定这两个“?”处的数值相同。
据此,小牛给出了正确答案E ε= 。
10、行列式a bc d(,,,{1,1,2}a b c d ∈-)的所有可能值中,最大的是 。
11、在正三角形ABC 中,D 是BC 上的点,3,1AB BD ==,则AB AD ⋅= 。
12、随机抽取9个同学中,至少有2个同学在同一月出生的概率是 (默认每月天数相同,结果精确到0.001)。
13、设()g x 是定义在R 上、以1为周期的函数,若()()f x x g x =+在[3,4]上的值域为[2,5]-,则()f x 在区间[10,10]-上的值域为 。
14、已知点(0,0)O 、0(0,1)Q 和0(3,1)R ,记00Q R 的中点为1P ,取01Q P 和10PR 中的一条,记其端点为1Q 、1R ,使之满足11(||2)(||2)0OQ OR --<;记11Q R 的中点为2P ,取12Q P 和21P R ?!?321P(ε=x )x中的一条,记其端点为2Q 、2R ,使之满足22(||2)(||2)0OQ OR --<;依次下去,得到点12,,,,n P P P ,则0lim ||n n Q P →∞= 。
上海交通大学国际本科生招生考试数学科考试试卷(样卷)SJTU International Undergraduate Entrance Examination(Mathematics sample exam papers)第一部分: 下列问题有且仅有一个正确答案(每题3分, 共42分)Section 1: The following problems have one and only one correct answer.(3 points for each, 42 points total)1.设集合A={1,2,4},B={2,4,5}, 则A∩B=().If set A={1,2,4},B={2,4,5}, then A∩B=().(A){2,4}(B){1,2,4,5}(C){1}(D){1,5}2.函数y=(x−1)12+(4−x)−32的定义域为().The domain of the function y=(x−1)12+(4−x)−32is().(A)[1,4)(B)(−∞,1)(C)[4,+∞)(D)(1,4]3.下列公式中,正确的是().In the following formulae, t he one that must be correct is().(A)cos2x=2cos2x−1(B)cos2x=2sin2x−1(C)sin2x=2cos2x−1(D)sin2x=2sin2x−14.设m是实常数. 若直线l1:2x+my+1=0与直线l2:y=3x−1平行,则m=().Let m be a real number. If line l1:2x+my+1=0is parallel to line l2:y=3x−1, then m=().(A)−23(B)23(C)6(D)−65.设平面上的动点P 到定点F(2,0)的距离等于P到直线x+2=0的距离,则点P的轨迹方程为().If the distance from moving point P to point F(2,0)equals to the distance from P to the straight line x+2=0, then the trajectory equation of P is().(A)y2=8x(B)y2=−8x(C)x2=8y(D)x2=−8y6.下列函数中,在其定义域上是单调递减的函数是().In the following functions, the one that is decreasing in its domain is().(A )y =2−x (B )y =cot x (C )y =1x 2+1(D )y =x7. 下列选项中,正确的是( ).Among the following options, t he correct one is ( ). (A )y =x 3+1x 和 y =log 2(x +√x 2+1) 均是奇函数y =x 3+1xand y =log 2(x +√x 2+1) are both odd functions(B )y =x 3+1x是奇函数,但 y =log 2(x +√x 2+1) 不是奇函数y =x 3+1xis an odd function but y =log 2(x +√x 2+1) is not an odd function(C )y =log 2(x +√x 2+1)是奇函数,但 y =x 3+1x不是奇函数y =log 2(x +√x 2+1) is an odd function but y =x 3+1x is not an odd function (D )y =x 3+1x 和 y =log 2(x +√x 2+1) 均不是奇函数neither y =x 3+1x nor y =log 2(x +√x 2+1) is an odd function8. 已知 {a n } 是等差数列, 且 a 2=12,a 8=18, 则 a 5=( ).Given that {a n } is an arithmetic sequence, and a 2=12,a 8=18, then a 5=( ). (A )15 (B )6√6 (C )30 (D )2169. 若函数 f (x ) 的反函数 f −1(x )=x 2 (x >0), 则 f (4)=( ).If the inverse function of f (x ) is f −1(x )=x 2 (x >0), then f (4)=( ). (A )2 (B )−2 (C )16 (D )−16 10. arctan (tan5π6)=( ).(A )−π6(B )π6(C )−5π6(D )5π611. 已知椭圆 Γ:x 2a 2+y 2b 2=1 的一个焦点是(−2√3,0). 若a =2b , 则b =( ).Let (−2√3,0) be one focus of the ellipse Γ:x 2a 2+y 2b 2=1. If a =2b , then b =( ). (A )2 (B )√605 (C )4 (D )12512.设a,b均为正实数, 则“a+b≤2” 是“a2+b2≤2” 的().Let a,b be positive real numbers, then statement “a+b≤2” is a()for statement “a2+ b2≤2”.(A)必要但非充分条件necessary but not sufficient condition(B)充分但非必要条件sufficient but not necessary condition(C)既非充分又非必要条件neither sufficient nor necessary condition(D)充分且必要条件sufficient and necessary condition13.函数sin(2x+3)的导数是().The derivative of function sin(2x+3)is().(A)2cos(2x+3)(B)cos(2x+3)(C)-2cos(2x+3)(D)−cos(2x+3) 14.曲线y=x3+3x+1在点P(0,1)处的切线方程是().The tangential equation of curve y=x3+3x+1at point P(0,1)is ().(A)3x−y+1=0(B)x−3y+3=0(C)3x+y−1=0(D)x+3y−3=0第二部分: 下列问题有且仅有一个正确答案(每题4分, 共48分)Section 2: The following problems have one and only one correct answer.(4 points for each, 48 points total)15.不等式1x−2<1x的解集为().The solution set of the inequality1x−2<1xis().(A)(0,2)(B)(1,3)(C)(−∞,−1)(D)(2,+∞)(E)(−1,0)16.已知等比数列{a n}的首项a1=1, 公比q=2, 则{a n}的前8项的和S8=().If the first term a1of the geometric sequence {a n}is 1, and the common quotient q=2, then the sum S8of the first 8terms of {a n}is().(A)255(B)127(C)63(D)511(E)51217.已知实数a,b满足22a−b=4a+b=3, 则a=().If real numbers a,b satisfy 22a−b =4a+b =3, then a =( ). (A )log 43 (B )log 23 (C )log 32 (D )log 34 (E )log 42 18. 已知 a,b,1,2 的中位数是 3,平均数是 4,则 ab =( ).Let the median of a,b,1,2 be 3,the average of a,b,1,2 be 4,then ab =( ). (A )36 (B )22 (C )30 (D )40 (E )4219. 已知点 P 在曲线 C:2x 2−4x +2y 2−12y =5 上,点 Q 在直线 x +y +3=0上,则点P 和 Q 之间点距离 |PQ | 的最小值为( ).If point P is on the curve C:2x 2−4x +2y 2−12y =5, and point Q is on the line x +y +3=0, then the minimum distance |PQ | between points P and Q is ( ). (A )√2 (B )√22(C )1 (D )0 (E )2 20. 设复数 z =√3+i , 其中 i 是虚数单位, 则 z 5=( ).Let complex number z be defined as z =√3+i , where i is the unit of imaginary numbers, then z 5=( ).(A )−16√3+16i (B )16√3+16i (C )−16√3−16i (D )16√3−16i (E )16√3+16√3i21. 在所有两位数中,个位数和十位数之和事偶数的数有( ).In all two-digit numbers, the number of those which the sum of its ones digit and its tens digit is an even number is ( ).(A )45 (B )25 (C )40 (D )20 (E )5022. 若实数 x,y 满足 sinx cosy =45, siny cosx =15, 则 cos2x =( ).If real numbers x,y satisfy sinx cosy =45, siny cosx =15, then cos2x =( ). (A )−35(B )35(C )45(D )−45(E )2523. 三位同学参加跳过、跳远和铅球项目的比赛. 若每人都选择两个项目, 则有且仅有两人选择的项目相同的概率是( ).Three students participated in high jump, long jump and shot put competitions. If everyone chooses two of these three items, then the probability that there are exactly two people choosing same items is ( ).(A )23(B )13(C )29(D )19(E )1624. 设双曲线 C :x 2−y 23=1 的左右焦点分别为 F 1 和 F 2 . 若点 P 在 C 上,且sin ∠PF 2F 1sin ∠PF 1F 2=2, 则 cos ∠F 1PF 2=( ).Let the foci of the hyperbola C :x 2−y 23=1 be F 1 and F 2, respectively. If point P is onC , such thatsin ∠PF 2F 1sin ∠PF 1F 2=2, then cos ∠F 1PF 2=( ).(A )14(B )−12(C )16(D )−15(E )1325. 设 P −ABC 是棱长为 6 的正四面体,点 D,E,F 分别是三角形 ∆PAB ∆PBC ∆PAC的重心, 则三棱锥 P −DEF 的体积为( ).Let P −ABC be a tetrahedron whose edges have a length of 6 . If points D,E,F are the barycenter of triangles ∆PAB ∆PBC ∆PAC respectively, then the volume of the trigonal pyramid P −DEF is ( ).(A )4√23 (B )√23 (C )3√22(D )2√2 (E )4√226. 设数列{a n },{b n } , 和 {c n } 满足: 对任意正整数n , a n+1=(−1)n (a n 2+1) , b n =a n a n+1, c n =cos a n . 下列论断中正确的的是( ).Let sequences {a n },{b n }, and {c n } satisfy: for an arbitrary integer n , a n+1=(−1)n (a n 2+1) , b n =a n a n+1, c n =cos a n , then the one that must be correct in the following statements is ( ).(A ){b n } 是单调递减数列 {b n } is a decreasing sequence (B ){b n } 是单调递增数列 {b n } is an increasing sequence (C ){c n } 是单调递增数列 {c n } is an increasing sequence (D ){a n } 是单调递增数列 {a n } is an increasing sequence (E ){c n } 是单调递减数列 {c n } is a decreasing sequence第三部分: 下列问题有且仅有一个正确答案 (每题5分, 共10分) Section 3: The following problems have one and only one correct answer.(5 points for each, 10 points total)27. 设 A,B,C 是三角形 ∆ABC 的三个顶点,且对任意的实数 λ 恒有 |BA⃗⃗⃗⃗⃗ −λBC ⃗⃗⃗⃗⃗ |≥2|BC ⃗⃗⃗⃗⃗ |. 若 |BC⃗⃗⃗⃗⃗ |=1, 则三角形 ∆ABC 周长的最小值为( ). Let points A,B,C be the three vertices of triangle ∆ABC , such that for an arbitrary realnumber λ , the following always holds true: |BA⃗⃗⃗⃗⃗ −λBC ⃗⃗⃗⃗⃗ |≥2|BC ⃗⃗⃗⃗⃗ | . If |BC ⃗⃗⃗⃗⃗ |=1 , then the minimum value of the perimeter of the triangle ∆ABC is ( ).(A )1+√17 (B )1+√12 (C )1+√7 (D )1+√22 (E )1+√27 28. 已知实数 x,y,z 满足 x 2+y 2+z 2=1, 则 xy +2yz 的最大值为( ).If x,y,z are all real numbers, and x 2+y 2+z 2=1, then the maximum value of xy +2yz is ( ). (A )√52 (B )√22 (C )√32 (D )2 (E )12参考答案:1~28:A。
上海高考数学试卷与答案(理科)(word版可编辑修改)编辑整理:尊敬的读者朋友们:这里是精品文档编辑中心,本文档内容是由我和我的同事精心编辑整理后发布的,发布之前我们对文中内容进行仔细校对,但是难免会有疏漏的地方,但是任然希望(上海高考数学试卷与答案(理科)(word版可编辑修改))的内容能够给您的工作和学习带来便利。
同时也真诚的希望收到您的建议和反馈,这将是我们进步的源泉,前进的动力。
本文可编辑可修改,如果觉得对您有帮助请收藏以便随时查阅,最后祝您生活愉快业绩进步,以下为上海高考数学试卷与答案(理科)(word版可编辑修改)的全部内容。
2007年全国普通高等学校招生统一考试(上海卷)一.填空题(本大题满分44分)1.函数3)4lg(--=x x y 的定义域是.2.若直线1210l x my ++=: 与直线231l y x =-:平行,则=m . 3.函数1)(-=x xx f 的反函数=-)(1x f .4.方程 96370x x -•-=的解是.5.若x y ∈+R ,,且14=+y x ,则x y •的最大值是.6.函数⎪⎭⎫ ⎝⎛+⎪⎭⎫ ⎝⎛+=2πsin 3πsin x x y 的最小正周期=T .7.在五个数字12345,,,,中,若随机取出三个数字,则剩下两个数字都是奇数的概率是 (结果用数值表示).8.以双曲线15422=-y x 的中心为焦点,且以该双曲线的左焦点为顶点的抛物线方程是 .9.对于非零实数a b ,,以下四个命题都成立: ①01≠+aa ;②2222)(b ab a b a ++=+; ③ 若||||b a =,则b a ±=; ④ 若ab a =2,则b a =.那么,对于非零复数a b ,,仍然成立的命题的所有序号是.10.在平面上,两条直线的位置关系有相交、平行、重合三种. 已知αβ,是两个 相交平面,空间两条直线12l l ,在α上的射影是直线12s s ,,12l l ,在β上的射影是直线12t t ,.用1s 与2s ,1t 与2t 的位置关系,写出一个总能确定1l 与2l 是异面直线的充分条件:.(原点O 除11.已知P 为圆1)1(22=-+y x 上任意一点1C 1B1A外),直线OP 的倾斜角为θ弧度,记||OP d =.在右侧的坐标系中,画出以()d θ,为坐标的点的轨迹的大致图形为 二.选择题(本大题满分16分)12.已知a b ∈R ,,且i ,i 2++b a (i 是虚数单位)是实系数一元二次方程02=++q px x 的两个根,那么p q ,的值分别是( )A.45p q =-=, B.43p q =-=, C.45p q ==,D.43p q ==,13.设a b ,是非零实数,若b a <,则下列不等式成立的是( ) A.22b a <B.b a ab 22<C.ba ab 2211<D.b aa b < 14.直角坐标系xOy 中,i j ,分别是与x y ,轴正方向同向的单位向量.在直角三角形 ABC 中,若j k i j i+=+=3,2,则k 的可能值个数是( )A.1 B.2 C.3 D.415.设)(x f 是定义在正整数集上的函数,且)(x f 满足:“当2()f k k ≥成立时,总可推 出(1)f k +≥2)1(+k 成立”.那么,下列命题总成立的是( ) A.若(3)9f ≥成立,则当1k ≥时,均有2()f k k ≥成立 B.若(5)25f ≥成立,则当5k ≤时,均有2()f k k ≥成立 C.若49)7(<f 成立,则当8k ≥时,均有2)(k k f <成立 D.若25)4(=f 成立,则当4k ≥时,均有2()f k k ≥成立三.解答题(本大题满分90分) 16.(本题满分12分)如图,在体积为1的直三棱柱111C B A ABC -成角的大小(结果中,1,90===∠BC AC ACB.求直线B A 1与平面C C BB 11所用反三角函数值表示).17.(本题满分14分)在ABC △中,a b c ,,分别是三个内角A B C ,,的对边.若4π,2==C a ,5522cos =B ,求ABC △的面积S .18.(本题满分14分)本题共有2个小题,第1小题满分6分,第2小题满分8分.近年来,太阳能技术运用的步伐日益加快.2002年全球太阳电池的年生产量达到670兆瓦,年生产量的增长率为34%.以后四年中,年生产量的增长率逐年递增2%(如,2003年的年生产量的增长率为36%).(1)求2006年全球太阳电池的年生产量(结果精确到0.1兆瓦);(2)目前太阳电池产业存在的主要问题是市场安装量远小于生产量,2006年的实际安装量为1420兆瓦.假设以后若干年内太阳电池的年生产量的增长率保持在42%,到2010年,要使年安装量与年生产量基本持平(即年安装量不少于年生产量的95%),这四年中太阳电池的年安装量的平均增长率至少应达到多少(结果精确到0.1%)?19.(本题满分14分)本题共有2个小题,第1小题满分7分,第2小题满分7分. 已知函数0()(2≠+=x xax x f ,常数)a ∈R .(1)讨论函数)(x f 的奇偶性,并说明理由;(2)若函数)(x f 在[2)x ∈+∞,上为增函数,求a 的取值范围.20.(本题满分18分)本题共有3个小题,第1小题满分3分,第2小题满分6分,第3小题满分9分.如果有穷数列123n a a a a ,,,,(n 为正整数)满足条件n a a =1,12-=n a a ,…,1a a n =,即1+-=i n i a a (12i n =,,,),我们称其为“对称数列”.例如,由组合数组成的数列01mm m m C C C ,,,就是“对称数列”.(1)设{}n b 是项数为7的“对称数列",其中1234b b b b ,,,是等差数列,且21=b ,114=b .依次写出{}n b 的每一项;(2)设{}n c 是项数为12-k (正整数1>k )的“对称数列”,其中121k k k c c c +-,,,是首项为50,公差为4-的等差数列.记{}n c 各项的和为12-k S .当k 为何值时,12-k S 取得最大值?并求出12-k S 的最大值;(3)对于确定的正整数1>m ,写出所有项数不超过m 2的“对称数列",使得211222m -,,,,依次是该数列中连续的项;当m 1500>时,求其中一个“对称数列”前2008项的和2008S .21.(本题满分18分)本题共有3个小题,第1小题满分4分,第2小题满分6分,第3小题满分8分.我们把由半椭圆12222=+b y a x (0)x ≥与半椭圆12222=+cx b y (0)x ≤合成的曲线称作“果圆”,其中222c b a +=,0>a ,0>>c b .如图,点0F ,1F ,2F 是相应椭圆的焦点,1A ,2A 和1B ,2B 分别是“果圆"与x ,y 轴的交点.(1)若012F F F △是边长为1的等边三角形,“果圆”的方程;(2)当21A A >21B B 时,求ab的取值范围;(3的弦.试研究:是否存在实数k ,使斜率为k 的“果圆"平行弦的中点轨迹总是落在某个椭圆上?若存在,求出所有可能的k 值;若不存在,说明理由.答案要点一、填空题(第1题至第11题)1. {}34≠<x x x 且2. 32-3. )(11≠-x x x 4.7log 3 5.1616. π7. 3.08.)3(122+=x y 9.②④ 10. 21//s s ,并且1t 与2t 相交(//1t 2t ,并且1s 与2s 相交)11.二、选择题(第12题至第15题)题 号12131415答 案ACBD三、解答题(第16题至第21题)16.解法一: 由题意,可得体积1B1C上海高考数学试卷与答案(理科)(word 版可编辑修改)11111122ABCV CC S CC AC BC CC ====△,∴211==CC AA .连接1BC . 1111111AC B C AC CC ⊥⊥,,⊥∴11C A 平面C C BB 11,11BC A ∠∴是直线B A 1与平面C C BB 11所成的角.52211=+=BC CC BC ,51tan 11111==∠∴BC C A BC A ,则 11BC A ∠=55arctan . 即直线B A 1与平面C C BB 11所成角的大小为55arctan. 解法二: 由题意,可得 体积11111122ABCV CC S CC AC BC CC ∆====,21=∴CC ,如图,建立空间直角坐标系. 得点(010)B ,,,1(002)C ,,,1(102)A ,,. 则1(112)A B =--,,, 平面C C BB 11的法向量为(100)n =,,. 设直线B A 1与平面C C BB 11所成的角为θ,A 1与的夹角为ϕ, 则116cos 6A B n A Bn ϕ==-,66arcsin ,66|cos |sin ===∴θϕθ,即直线B A 1与平面C C BB 11所成角的大小为66arcsin . 17.解: 由题意,得3cos 5B B =,为锐角,54sin =B , 10274π3sin )πsin(sin =⎪⎭⎫ ⎝⎛-=--=B C B A , 由正弦定理得710=c , ∴111048sin 222757S ac B ==⨯⨯⨯=.上海高考数学试卷与答案(理科)(word 版可编辑修改)18.解:(1)由已知得2003,2004,2005,2006年太阳电池的年生产量的增长率依次为%36,%38,%40,%42.则2006年全球太阳电池的年生产量为8.249942.140.138.136.1670≈⨯⨯⨯⨯(兆瓦).(2)设太阳电池的年安装量的平均增长率为x ,则441420(1)95%2499.8(142%)x ++≥.解得0.615x ≥.因此,这四年中太阳电池的年安装量的平均增长率至少应达到%5.61. 19.解:(1)当0=a 时,2)(x x f =,对任意(0)(0)x ∈-∞+∞,,,)()()(22x f x x x f ==-=-, )(x f ∴为偶函数.当0≠a 时,2()(00)af x x a x x=+≠≠,,取1±=x ,得 (1)(1)20(1)(1)20f f f f a -+=≠--=-≠,,(1)(1)(1)(1)f f f f ∴-≠--≠,,∴函数)(x f 既不是奇函数,也不是偶函数.(2)解法一:设122x x <≤,22212121)()(x a x x a x x f x f --+=-[]a x x x x x x x x -+-=)()(21212121, 要使函数)(x f 在[2)x ∈+∞,上为增函数,必须0)()(21<-x f x f 恒成立.121204x x x x -<>,,即)(2121x x x x a +<恒成立.又421>+x x ,16)(2121>+∴x x x x .a ∴的取值范围是(16]-∞,. 解法二:当0=a 时,2)(x x f =,显然在[2)+∞,为增函数.当0<a 时,反比例函数xa在[2)+∞,为增函数,xax x f +=∴2)(在[2)+∞,为增函数.当0>a 时,同解法一.20.解:(1)设{}n b 的公差为d ,则1132314=+=+=d d b b ,解得 3=d ,∴数列{}n b 为25811852,,,,,,. (2)12112112-+--+++++++=k k k k k c c c c c c S k k k k c c c c -+++=-+)(2121 ,50134)13(42212-⨯+--=-k S k ,∴当13=k 时,12-k S 取得最大值. 12-k S 的最大值为626.(3)所有可能的“对称数列”是:①22122122222221m m m ---,,,,,,,,,,; ②2211221222222221m m m m ----,,,,,,,,,,,; ③122221222212222m m m m ----,,,,,,,,,,; ④1222212222112222m m m m ----,,,,,,,,,,,. 对于①,当2008m ≥时,1222212008200722008-=++++= S . 当15002007m <≤时,200922122008222221----+++++++=m m m m S 2009212212---+-=m m m 1222200921--+=--m m m . 对于②,当2008m ≥时,1220082008-=S . 当15002007m <≤时,2008S 122200821--=-+m m . 对于③,当2008m ≥时,2008200822--=m m S . 当15002007m <≤时,2008S 3222009-+=-m m . 对于④,当2008m ≥时,2008200822--=m m S . 当15002007m <≤时,2008S 2222008-+=-m m .21. 解:(1) ()()012(0)00F c F F ,,,,,021211F F b F F ∴==,, 于是22223744c a b c ==+=,,所求“果圆”方程为2241(0)7x y x +=≥,2241(0)3y x x +=≤. (2)由题意,得 b c a 2>+,即a b b a ->-222. 2222)2(a c b b =+> ,222)2(a b b a ->-∴,得54<a b . 又21,222222>∴-=>a b b a c b .45b a ⎫∴∈⎪⎪⎝⎭,. (3)设“果圆"C 的方程为22221(0)x y x a b +=≥,22221(0)y x x b c+=≤. 记平行弦的斜率为k .当0=k 时,直线()y t b t b =-≤≤与半椭圆22221(0)x y x a b+=≥的交点是P t ⎛⎫ ⎪ ⎪⎝⎭,与半椭圆22221(0)y x x b c +=≤的交点是Q t ⎛⎫- ⎪ ⎪⎝⎭. ∴P Q ,的中点M ()x y ,满足 221,2a c t x b y t ⎧-⎪=-⎨⎪=⎩, 得122222=+⎪⎭⎫ ⎝⎛-b y c a x . b a 2<,∴22220222a c a c b a c b b ----+⎛⎫-=≠ ⎪⎝⎭. 综上所述,当0=k 时,“果圆”平行弦的中点轨迹总是落在某个椭圆上.当0>k 时,以k 为斜率过1B 的直线l 与半椭圆22221(0)x y x a b+=≥的交点是22232222222ka b k a b b k a b k a b ⎛⎫- ⎪++⎝⎭,. 由此,在直线l 右侧,以k 为斜率的平行弦的中点轨迹在直线x ka b y 22-=上,即不在某一椭圆上.当0k时,可类似讨论得到平行弦中点轨迹不都在某一椭圆上.。
上海交通大学外国留学生本科入学考试(样题)科目:化学(理科)建议用时:45 分钟可能用到的相对原子质量:H—1,O—16,N—14,C—12,Na—23, S—32,Cu—64,Ar—40,Al—27, Fe —56,Mg—24一.选择题1.美国科学家将两种元素铅和氪的原子核对撞,获得了一种质子数为118、中子数为175的超重元素,该元素原子核内的中子数与核外电子数之差为()A.57 B.47 C.61 D.2932.已知自然界中铱有两种质量数分别为191和193的同位素,而铱的平均相对原子质量为192.22,这两种同位素的原子个数比应为()A.39∶61B.61∶39C.1∶1D.39∶113.下列说法正确的是()A.标准状况下,体积都是22.4L的CO和N2,他们的物质的量和质量都相等B.同温同压下,22.4L的H2和N2都含有6.02*1023个分子C.标准状况下,等质量的O2和H2都含有相同的体积D.含6.02*1023个CO2分子的体积是22.4L4.在氢硫酸(主要成分是H2S)中加入少量下列物质:①O2;②Cl2;③SO2;④CuSO4。
能使溶液pH值减少的是()A.①③ B. ②④ C.②③④ D.①5.把石蕊试纸分别浸入氨水、新制氯水、浓H2SO4中,石蕊试纸分别出现的颜色是()A.红、红、红 B、蓝、红、红 C、蓝、白、红 D、蓝、白、黑6.氯化氢气体极易溶于水形成倒吸,下列装置中不能防倒吸的是()A. B. C. D. 7.下列各组物质,化学键类型完全相同的是()A.NaCl和NaOH B、Cl2和O2C.Na2S和(NH4)2S D、Na2O2和CO28.下列各组离子因氧化还原反应不能大量共存的是()A.Fe3+、K+、SCN--、SO42- B.Cu2+、OH--、NH4+、Cl-C.Mg2+、H+、HCO3-- 、NO3- D.Na+、Fe2+、H+、NO3-9.下列离子反应方程式书写正确的是( )A、铁粉与稀硫酸反应 2Fe+6H+→2Fe3++3H2↑B、碳酸钙与稀硝酸反应 CO32--+2H+→CO2↑+H2OC、稀硫酸与氢氧化钡的反应 Ba2++OH--+SO42--+H+→BaSO4↓+H2OD、向NaHCO3溶液中滴加NaOH溶液 HCO3--+OH---→CO32--+H2O10.下列物质含极性共价键的是()A.N2 B.Cl2C.O2D.CH411.在恒温恒容的密闭容器中进行反应:X2(g) Y2(g)+Z(g),若反应物的浓度从2mol/L降到0.8mol/L需20s,那么,反应物浓度由0.8mol/L降到0.2mol/L 所需的反应时间为()A.10s B.>10s C.<10s D.无法判断12.下列事实中,不能用勒夏特列原理解释的是()A.开启啤酒后,瓶中马上泛起大量泡沫B.钢铁在潮湿的空气中容易生锈C.实验室中常用排饱和食盐水的方法收集氯气D.工业上生产硫酸的过程中,使用过量的空气以提高SO2的利用率13.下列物质属于纯净物的是()A.漂粉精B.纯净的盐酸C.液氯D.碘酒14.把过量的CO2通入下列饱和溶液中,最终会有沉淀的是()A.CaCl2 B.Na2AlO2C.Ca(OH)2D.NaHCO315.在Al(NO3)3和Mg(NO3)2的混合溶液中,逐滴加入稀NaOH溶液,直至过量。
普通高校招生数学(理)统一考试(上海卷)(理工农医类)本试卷共22道题,满分150分。
考试时间1。
第Ⅰ卷 (共110分)一、填空题(本大题满分48分)本大题共有12题,只要求直接填写结果,每个空格填对得4分,否则一律得零分。
1.函数)4sin(cos )4cos(sin ππ+++=x x x x y 的最小正周期T= . 2.若=∈=+=απααπ则其中的解是方程),2,0(,1)cos(23x x .3.在等差数列}{n a 中,a 5=3, a 6=-2,则a 4+a 5+…+a 10= .4.在极坐标系中,定点A ),2,1(π点B 在直线0sin cos =+θρθρ上运动,当线段AB 最短时,点B 的极坐标是 .5.在正四棱锥P —ABCD 中,若侧面与底面所成二面角的大小为60°,则异面直线PA 与BC 所成角的大小等于 .(结果用反三角函数值表示)6.设集合A={x ||x |<4},B={x |x 2-4x +3>0}, 则集合{x |x ∈A 且}B A x ∉= .7.在△ABC 中,sinA;sinB:sinC=2:3:4,则∠ABC= .(结果用反三角函数值表示)8.若首项为a 1,公比为q 的等比数列}{n a 的前n 项和总小于这个数列的各项和,则首项a 1,公比q 的一组取值可以是(a 1,q )= .9.某国际科研合作项目成员由11个美国人、4个法国人和5个中国人组成.现从中随机选出两位作为成果发布人,则此两人不属于同一个国家的概率为 .(结果用分数表示)10.方程x 3+lg x =18的根x ≈ .(结果精确到0.1)11.已知点),0,24(),2,0(),2,0(nC n B n A +-其中n 的为正整数.设S n 表示△ABC 外接圆的面积,则n n S ∞→lim = .12.给出问题:F 1、F 2是双曲线22y x -=1的焦点,点P 在双曲线上.若点P 到焦点F 1的距离等于9,求点P 到焦点F 2的距离.某学生的解答如下:双曲线的实轴长为8,由||PF 1|-|PF 2||=8,即|9-|PF 2||=8,得|PF 2|=1或17.该学生的解答是否正确?若正确,请将他的解题依据填在下面空格内,若不正确,将正确的结果填在下面空格内.二、选择题(本大题满分16分)本大题共4题,每题都给出代号为A 、B 、C 、D 的四个结论,其中有且只有一个结论是正确的,必须把正确结论的代号写在题后的圆括号内,选对得4分,不选、选错或者选出的代号超过一个(不论是否都写在圆括号内),一律得零分.13.下列函数中,既为偶函数又在(0,π)上单调递增的是 ( )A .y=tg|x |.B .y=cos(-x ).C .).2sin(π-=x y D .|2|x ctg y =. 14.在下列条件中,可判断平面α与β平行的是( ) A .α、β都垂直于平面r .B .α内存在不共线的三点到β的距离相等.C .l ,m 是α内两条直线,且l ∥β,m ∥β.D .l ,m 是两条异面直线,且l ∥α,m ∥α, l ∥β,m ∥β.15.a 1、b 1、c 1、a 2、b 2、c 2均为非零实数,不等式a 1x 2+b 1x +c 1>0和a 2x 2+b 2x +c 2>0的解集分别为集合M 和N ,那么“212121c c b b a a ==”是“M=N ”的 ( )A .充分非必要条件.B .必要非充分条件.C .充要条件D .既非充分又非必要条件.16.f (x )是定义在区间[-c,c]上的奇函数,其图象如图所示:令g (x )=af (x )+b ,则下 列关于函数g (x )的叙述正确的是( )A .若a <0,则函数g (x )的图象关于原点对称.B .若a =-1,-2<b<0,则方程g (x )=0有大于2的实根.C .若a ≠0,b=2,则方程g (x )=0有两个实根.D .若a ≥1,b<2,则方程g (x )=0有三个实根.三、解答题(本大题满分86分)本大题共有6题,解答下列各题必须写出必要的步骤.17.(本题满分12分)已知平行六面体ABCD—A1B1C1D1中,A1A⊥平面ABCD,AB=4,AD=2.若B1D⊥BC,直线B1D与平面ABCD所成的角等于30°,求平行六面体ABCD—A1B1C1D1的体积.19.(本题满分14分)本题共有2个小题,第1小题满分5分,第2小题满分9分. 已知数列}{n a (n 为正整数)是首项是a 1,公比为q 的等比数列.(1)求和:;,334233132031223122021C a C a C a C a C a C a C a -+-+-(2)由(1)的结果归纳概括出关于正整数n 的一个结论,并加以证明.本题满分14分)本题共有2个小题,第1小题满分6分,第2小题满分8分.如图,某隧道设计为双向四车道,车道总宽22米,要求通行车辆限高4.5米,隧道全长2.5千米,隧道的拱线近似地看成半个椭圆形状.(1)若最大拱高h 为6米,则隧道设计的拱宽l 是多少?(2)若最大拱高h 不小于6米,则应如何设计拱高h 和拱宽l ,才能使半个椭圆形隧道的土方工程量最最小?(半个椭圆的面积公式为lh S 4π=,柱体体积为:底面积乘以高.本题结果精确到0.1米)题满分7分.在以O 为原点的直角坐标系中,点A (4,-3)为△OAB 的直角顶点.已知|AB|=2|OA|,且点B 的纵坐标大于零.(1)求向量的坐标;(2)求圆02622=++-y y x x 关于直线OB 对称的圆的方程;(3)是否存在实数a ,使抛物线12-=ax y 上总有关于直线OB 对称的两个点?若不存在,说明理由:若存在,求a 的取值范围.题满分7分.已知集合M是满足下列性质的函数f(x)的全体:存在非零常数T,对任意x∈R,有f(x+T)=T f(x)成立.(1)函数f(x)= x是否属于集合M?说明理由;(2)设函数f(x)=a x(a>0,且a≠1)的图象与y=x的图象有公共点,证明:f(x)=a x∈M;(3)若函数f(x)=sin kx∈M ,求实数k的取值范围.。