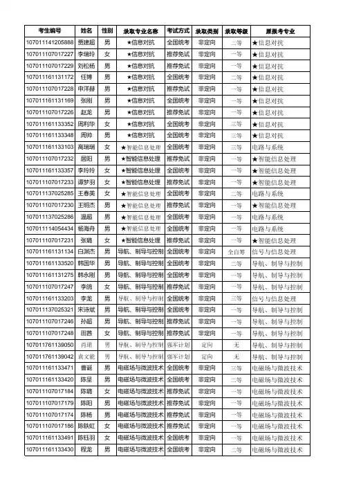
2016年西安电子科技大学电子工程学院硕士研究生拟录取名单
- 格式:pdf
- 大小:737.58 KB
- 文档页数:31
考生编号考生编号后四位姓名性别考试方式录取类别1070141611319891989田玉坤男全国统考非定向1070141321142554255孙志敏男全国统考非定向1070141370248054805杨越男全国统考非定向1070141370850335033孔祥源男全国统考非定向1070141321342824282姚洪涛男全国统考非定向1070141130634423442王亚彬男全国统考非定向1070141422259205920陈欢女全国统考非定向1070141370649824982姜福义男全国统考非定向1070141131034823482王娇女全国统考非定向1070141611316101610毛金华男全国统考非定向1070141370248134813胡华清男全国统考非定向1070141611317981798胡秀杰男全国统考非定向1070141131535343534白钰杰女全国统考非定向1070141370248124812赵志宽男全国统考非定向1070141411955725572康磊男全国统考非定向1070141450660926092罗厚兴男全国统考非定向1070141360245984598陈锡明男全国统考非定向1070141370248114811赵永刚男全国统考非定向1070141611324062406潘鹏飞男全国统考非定向1070141611316051605惠惠女全国统考非定向1070141611316991699陈海龙男全国统考非定向1070141131034803480董祖奇男全国统考非定向1070141611316921692王德益女全国统考非定向1070141611324092409季禹坤男全国统考非定向1070141611316831683武洋男全国统考非定向1070141611316951695王卓超女全国统考非定向1070141345945084508赵伟男全国统考非定向1070141611317351735杜言武男全国统考非定向1070141511362486248马国荣男全国统考非定向1070141611318771877刘思遥男全国统考非定向1070141611320312031张记函男全国统考非定向1070141611324452445胡本川男全国统考非定向1070141130333503350张晓刚男全国统考非定向1070141611323152315喻宏伟男全国统考非定向1070141611322252225刘尔雅女全国统考非定向1070141611323162316吴洋男全国统考非定向1070141120432733273李焕肖女全国统考非定向1070141611324252425杨飞男全国统考非定向1070141412957415741栾文华女全国统考非定向1070141115332243224朱瑛女全国统考非定向1070141611322022202刘佳琳女全国统考非定向1070141611322932293陈浩男全国统考非定向1070141611323092309廖敦微男全国统考非定向1070141611323102310陈宁伟男全国统考非定向1070141131535333533赵伟男全国统考非定向1070141431960286028刘向军男全国统考非定向1070141410151425142雷亚杰女全国统考非定向1070141611320522052唐磊男全国统考非定向1070141321142594259张高领男全国统考非定向1070141321743054305杜文豪男全国统考非定向1070141611322012201孙娅云女全国统考非定向1070141611318681868李琛男全国统考非定向1070141611316161616冯瑾女全国统考非定向1070141611318191819孙小霞女全国统考非定向1070141450961276127董鹏琳男全国统考非定向1070141611323122312康宏毅男全国统考非定向1070141611322352235张澳芳男全国统考非定向1070141611322542254屈亚蓉女全国统考非定向1070141611322622262杨佩女全国统考非定向1070141611322572257师阿元女全国统考非定向1070141611322532253赖贤军男全国统考非定向1070141614163186318杨珂女全国统考非定向1070141611316141614刘超男全国统考非定向1070141611322982298姜雪松男全国统考非定向1070141611324182418李楠男全国统考非定向1070141614163176317代超超男全国统考非定向1070141140136163616张琳女全国统考非定向1070141321442884288夏磊男全国统考非定向1070141611322702270房超男全国统考非定向1070141611322692269张慧莹女全国统考非定向1070141611323042304郑庚琪男全国统考非定向1070141370147204720顾宗静男全国统考非定向1070141611323012301张彪男全国统考非定向1070141611322642264韩旭男全国统考非定向1070141611323082308习磊男全国统考非定向1070141411655055505付苍雨男全国统考非定向1070141370146994699吕志勇男全国统考非定向1070141410553075307韩家奇男全国统考非定向1070141611322732273栗源常男全国统考非定向1070141614163066306杨蒙女全国统考非定向1070141611315981598张齐男全国统考非定向1070141611316811681贾健伟男全国统考非定向1070141611318461846王永乐男全国统考非定向1070141611322722272康楷男全国统考非定向1070141611319551955薄晓东男全国统考非定向1070141611317591759翟畅男全国统考非定向1070141611317421742叱骏宁男全国统考非定向1070141611319441944蔡晓磊男全国统考非定向1070141611319471947杨琨男全国统考非定向1070141340544424442侯云飞男全国统考非定向1070141611320602060苗露男全国统考非定向1070141611319911991崔梦强男全国统考非定向1070141411955845584黄响男全国统考非定向1070141611319341934王丹女全国统考非定向1070141370248284828闫永征男全国统考非定向1070141500761756175陈世超女全国统考非定向1070141611319941994张建强男全国统考非定向1070141611324132413代颖超女全国统考非定向1070141611319491949吴云朋男全国统考非定向1070141611319981998薄涛男全国统考非定向1070141611324312431董明阳男全国统考非定向1070141370248274827王强男全国统考非定向1070141450660976097杨芝女全国统考非定向1070141611319461946张双图男全国统考非定向1070147611390319031林龙男强军计划定向1070141611319951995祝存海男全国统考非定向1070141611319851985李娜女全国统考非定向1070141611319481948张茂男全国统考非定向1070141370147134713王延亮男全国统考非定向1070141370248264826梁雪妮女全国统考非定向1070141611319451945王志涛女全国统考非定向1070141370147164716范斐女全国统考非定向1070147611390329032唐琪男强军计划定向1070141611320792079张哲远男全国统考非定向1070141450661006100丁艳华女全国统考非定向1070141370248314831李姗姗女全国统考非定向1070141611320062006夏月明男全国统考非定向1070141351245414541杨志富男全国统考非定向1070141611320552055田甜女全国统考非定向1070141140537103710晋良银男全国统考非定向1070141611320222022肖定坤男全国统考非定向1070147611390409040高海龙男强军计划定向1070141412056255625王建声男全国统考非定向1070141140537093709郭丹丹女全国统考非定向1070141413158095809张晓凤女全国统考非定向1070141611319011901龙忠实男全国统考非定向1070141450661016101祁亚楠女全国统考非定向1070141611320182018申一伟男全国统考非定向1070141360145664566田敏女全国统考非定向1070141611319001900王委男全国统考非定向1070141431860116011肖浩男全国统考非定向1070141611319041904张俊男全国统考非定向1070141220741314131朱文强男全国统考非定向1070147611390309030袁赛女强军计划定向1070141611320872087严晓鹏男全国统考非定向1070141611320432043胡昆智男全国统考非定向1070141371150935093郭玉梅女全国统考非定向1070141611320742074张波男全国统考非定向1070141611320882088冯国栋男全国统考非定向1070141611320942094张俊力男全国统考非定向1070141370248384838李永国男全国统考非定向1070141611319761976赵衍一男全国统考非定向1070141611319751975王振东男全国统考非定向1070141611320862086许燕明男全国统考非定向1070141370248374837孙超男全国统考非定向1070141611320752075党彦锋男全国统考非定向1070141611320692069邹建华男全国统考非定向1070141611320932093刘子斌男全国统考非定向1070147611390509050张银良男强军计划定向1070141611319721972童旭曜男全国统考非定向1070141370248254825徐保庆男全国统考非定向1070141611324302430杨英女全国统考非定向1070141120432653265任珅昊男全国统考非定向1070141141038293829罗晔男全国统考非定向1070141611319171917吴翔男全国统考非定向1070141611320132013郭帅男全国统考非定向1070141611320112011王宁女全国统考非定向1070141611319521952任亮男全国统考非定向1070141611319191919马蕊女全国统考非定向1070141340143894389贺芃女全国统考非定向1070141611320472047吴文华男全国统考非定向1070141430459775977赖株锋男全国统考非定向1070141410653665366车景平女全国统考非定向1070141611319801980张盼盼男全国统考非定向1070141141038283828闫浩男全国统考非定向1070141370248214821刘伟男全国统考非定向1070141611319781978马超伟男全国统考非定向1070141370248244824王海同女全国统考非定向1070141611319201920昝航男全国统考非定向1070141611320122012常玉女全国统考非定向1070141611319671967张可男全国统考非定向1070141370248224822王盈方女全国统考非定向1070141611320412041王茂森男全国统考非定向1070141611320372037刘彬男全国统考非定向1070141345945124512费大勇男全国统考非定向1070141611320322032王家东男全国统考非定向1070141611319681968孙成璐女全国统考非定向1070141370248324832陈健男全国统考非定向1070141611320292029朱新奎男全国统考非定向1070141611319691969冯嘉贲男全国统考非定向1070141611320392039鲍松男全国统考非定向1070141611324332433郝津钏男全国统考非定向1070141611319621962张坤男全国统考非定向1070141131635713571王丽业男全国统考非定向1070141611319631963李谦男全国统考非定向1070141421158515851姬媛女全国统考非定向1070141611319661966张志斌男全国统考非定向1070141141038323832霍帅男全国统考非定向1070141611319141914张博男全国统考非定向1070141611320362036宁奖男全国统考非定向1070141611320302030王凤莲女全国统考非定向1070141210139983998曹奕男全国统考非定向1070141611321292129薛飞男全国统考非定向1070141611320642064高舵男全国统考非定向1070141611320492049宋志龙男全国统考非定向1070141611319221922孙玖玲女全国统考非定向1070141611319231923袁勇男全国统考非定向1070147611390429042栗晓春男强军计划定向1070141131034843484武艳凤女全国统考非定向1070141611320072007阿鹏仁男全国统考非定向1070141611319271927孙乐男全国统考非定向1070141370248364836朱志刚男全国统考非定向1070141611315941594程慧女全国统考非定向1070141611319811981刘宇航男全国统考非定向1070141611320812081牛婷钰女全国统考非定向1070141611320402040王幸女全国统考非定向1070141611317221722董含男全国统考非定向1070141611319241924赵航男全国统考非定向1070141611320512051桂阳女全国统考非定向1070141611315781578惠春博男全国统考非定向1070141611320172017卢义峰男全国统考非定向1070141611320672067魏鸣宇男全国统考非定向1000642105038143814闫桂勋男全国统考非定向1070141321142544254黄叶超男全国统考非定向1070141450661086108黄欢男全国统考非定向1070141501161866186郝赞男全国统考非定向1070141611316891689秦英瑜女全国统考非定向1070141431960296029杨峰男全国统考非定向1070141611320612061仲颜男全国统考非定向1070141421158555855张泽辉男全国统考非定向1070147611390379037窦新安男强军计划定向1070141330143514351柴俊男全国统考非定向1070141321142534253王维潼男全国统考非定向1070141611321302130吴江平男全国统考非定向1070141611320272027汪厚峄男全国统考非定向1070141210740424042宋晨飞男全国统考非定向1070141370147154715李海龙男全国统考非定向1070141131435083508张子源男全国统考非定向1070141611316961696张洋女全国统考非定向1070141611324352435田伟娟女全国统考非定向1070141411955755575谢创男全国统考非定向1070141370147014701杨晓玲女全国统考非定向1070141220741244124张鑫男全国统考非定向1070141611319061906李婕女全国统考非定向1070141611316251625薛鹏男全国统考非定向1070147611390279027郭佳音男强军计划定向1070141611316001600王晔然女全国统考非定向1070141220741284128席圣男男全国统考非定向1070141340143884388宋晓青男全国统考非定向1070141422559365936李立庆男全国统考非定向1070141231741824182张晓语女全国统考非定向1070141611316391639林森男全国统考非定向1070141370850345034李帅男全国统考非定向1070141410251725172齐晶晶女全国统考非定向1070141141038313831李海洋男全国统考非定向1070141611319301930张宇航男全国统考非定向1070141150239673967李超男全国统考非定向1070141611321042104郭兆骐男全国统考非定向1070141611319291929杨东晓女全国统考非定向1070141370950545054张林女全国统考非定向1070147611390439043孟庆吉男强军计划定向1070141611319411941王罕有男全国统考非定向1070141611317021702胡阳女全国统考非定向1070141412256915691崔照斌男全国统考非定向1070141370950555055张婕妤女全国统考非定向1070141220741324132张丽霞女全国统考非定向1070141410553065306王蒙蒙女全国统考非定向1070141611320152015刘诣涵男全国统考非定向1070141611320542054贾长城男全国统考非定向1070141345945104510夏勇男全国统考非定向1070141611316411641吴锐女全国统考非定向1070141611319161916李泽宇男全国统考非定向1070141611319281928贾中华女全国统考非定向1070141140537023702魏国威男全国统考非定向1070141345945114511陈蕙心女全国统考非定向1070141370147104710庞楠楠男全国统考非定向1070141611318361836张涛男全国统考非定向1070141231841904190郭琦男全国统考非定向1070141611316441644李上峰男全国统考非定向1070141611319571957周玉山男全国统考非定向1070141210540344034吴静飞女全国统考非定向1070141611320332033周伟女全国统考非定向1070141412156675667汤瑞业男全国统考非定向1070141131535413541王振华男全国统考非定向1070141614163086308荣云鹏男全国统考非定向1070141611318731873苏瑶女全国统考非定向1070141370750155015袁术龙男全国统考非定向1070141611318971897孙军锋男全国统考非定向1070141321542914291侯正平男全国统考非定向1070141611319561956井博军男全国统考非定向1070141611319601960赵晗希女全国统考非定向1070141611316551655宋思达男全国统考非定向1070141370248064806王琦琦女全国统考非定向1070141611318941894李海涛男全国统考非定向1070141611315931593晁娇女全国统考非定向1070141611315961596王雅婧女全国统考非定向1070141501161876187陈一飞男全国统考非定向1070141611318661866沈凤臣男全国统考非定向1070141450660946094李鹏男全国统考非定向1070141611315911591王春华男全国统考非定向1070141611320212021王壮男全国统考非定向1070141611317041704朱兵男全国统考非定向1070141611317791779葛声男全国统考非定向1070141611316911691王宇乔男全国统考非定向1070141422659485948张勇强男全国统考非定向1070141130434023402畅鑫男全国统考非定向1070141611319771977方子圆男全国统考非定向1070141611317371737李翔男全国统考非定向1070141611318961896王轲男全国统考非定向1070141322143314331孟微女全国统考非定向1070141611315951595徐晓煜女全国统考非定向1070141321142524252王一舒女全国统考非定向1070141611317831783张龙辉男全国统考非定向1070141611315921592郝蓓女全国统考非定向1070141141138613861贾丽云女全国统考非定向1070147611390359035吴宁辛男强军计划定向1070147611390349034张洋男强军计划定向1070147611390369036杜富强男强军计划定向1070147611390299029高鹏超男强军计划定向1070141611316521652辛昭女全国统考非定向1070141450761256125苏俊维男全国统考非定向1070141421958865886彭晓女全国统考非定向1070141611316671667周亚刚男全国统考非定向1070141413158075807姜辣男全国统考非定向1070141611316531653万乐男全国统考非定向1070141131835963596韩唐女全国统考非定向1070141140937793779郑毓男全国统考非定向1070141370147034703邢朋朋男全国统考非定向1070141611324392439游文江男全国统考非定向1070141611321212121高李娜女全国统考非定向1070141611324422442戴江崚男全国统考非定向1070141611324442444何举文男全国统考非定向1070141360145774577刘巍男全国统考非定向1070141611320532053程丹女全国统考非定向1070141130333553355张华男全国统考非定向1070141611318121812祁艺女全国统考非定向1070141611321682168段培聪男全国统考非定向1070141611320422042徐璞女全国统考非定向1070141140436613661李玉娟女全国统考非定向1070141611317511751秦平男全国统考非定向1070141370147114711汤康男全国统考非定向1070141351245394539孙志锁男全国统考非定向1070141370349234923公海城男全国统考非定向1070141370147174717路洪震男全国统考非定向1070141371351055105赵义爱女全国统考非定向1070141410352015201王震宇男全国统考非定向1070141611324002400罗磊男全国统考非定向1070141421158495849安柏慧女全国统考非定向1070141510862226222杨济韩男全国统考非定向1070141611321572157蔡榕竹女全国统考非定向1070141611318671867苏晓萌女全国统考非定向1070141370248714871刘宾男全国统考非定向1070141460561416141李培乐女全国统考非定向1070141611320242024雷亮男全国统考非定向1070141370248184818陈兵男全国统考非定向1070141450661106110史科杏男全国统考非定向1070141410352035203李飞男全国统考非定向1070141611316291629樊峻畅男全国统考非定向1070141130333493349赵敏女全国统考非定向1070141611317841784曹亚伦男全国统考非定向1070141611318881888李瑜男全国统考非定向1070141410352155215李明男全国统考非定向1070141611324072407李代娣女全国统考非定向1070141411755265526张文培女全国统考非定向1070141611318591859李攀男全国统考非定向1070141370147094709刘源男全国统考非定向1070141220741384138李娜女全国统考非定向1070141370147364736田象明男全国统考非定向1070141141038213821郎晋伟男全国统考非定向1070141330243704370樊宇男全国统考非定向1070141120432633263李根男全国统考非定向1070141413057965796王利苹女全国统考非定向1070141411655025502刘薇女全国统考非定向1070141611317541754付诗俊女全国统考非定向1070141330243694369姚振双女全国统考非定向1070141611320732073曹雪舟男全国统考非定向1070141611319741974王悦男全国统考非定向1070141611319991999于博洋艺女全国统考非定向1070141130734673467索浩女全国统考非定向1070141422559395939徐乐凡男全国统考非定向1070141611321252125袁鹏男全国统考非定向1070141421158525852蒋梦琴女全国统考非定向1070141321642954295邹佩女全国统考非定向1070141611321242124景鑫男全国统考非定向1070141611321282128胡俊丽女全国统考非定向1070141340143904390施瑞男全国统考非定向1070141411154475447万文菲男全国统考非定向1070141412957365736任琼巍男全国统考非定向1070141371050835083耿学文男全国统考非定向1070141371150925092徐文娟女全国统考非定向1070141611318231823徐欣冉男全国统考非定向1070141421158545854沈山山女全国统考非定向1070141611320002000翁昕女全国统考非定向1070141340143854385刘永飞男全国统考非定向1070141611315871587巨丹女全国统考非定向1070141421158535853丁雯庆女全国统考非定向1070141611319791979傅发佐男全国统考非定向1070141611315881588流水女全国统考非定向1070141611321192119贾拯男全国统考非定向1070141411955705570韩笑女全国统考非定向1070141410653605360户保坤男全国统考非定向1070141411955695569赵至夫男全国统考非定向1070141141038253825陈超男全国统考非定向1070141411655065506李文灿男全国统考非定向1070141611315841584王凯男全国统考非定向1070141611319101910刘薇女全国统考非定向1070147611390399039柳海生男强军计划定向1070141450661096109王强男全国统考非定向1070141611322442244刘科煜男全国统考非定向1070141611324242424丁华华男全国统考非定向1070141611322192219张强男全国统考非定向1070141611320192019花鹏成男全国统考非定向1070141115332233223吕爱波男全国统考非定向1070141611316841684郭丽女全国统考非定向1070141611322842284岳震震男全国统考非定向1070141411655015501左炎春男全国统考非定向1070141340844624462潘炜男全国统考非定向1070141611322762276王丹阳男全国统考非定向1070141611322382238周琪男全国统考非定向1070141611319651965张滈铧男全国统考非定向1070141611320682068刘豪男全国统考非定向1070141611318301830王灿男全国统考非定向1070141611319021902王彬彬男全国统考非定向1070141611317951795刘辉男全国统考非定向1070141130634413441李晓彤男全国统考非定向1070141370349254925杨磊男全国统考非定向1070141611322452245王博男全国统考非定向1070141611318141814闫晨男全国统考非定向1070141500261526152王会霞女全国统考非定向1070141371150915091张君望男全国统考非定向1070141611319711971徐菲菲女全国统考非定向1070141614163076307周才男全国统考非定向1070141410352045204徐敏喆女全国统考非定向1070141411955835583郝欣女全国统考非定向1070141611316851685王应辉男全国统考非定向1070141611319031903陈鼎合男全国统考非定向1070141351245404540章玉涛男全国统考非定向1070141360145764576陈西洋男全国统考非定向1070141340644504450曹文峰男全国统考非定向1070141611322402240刘文博男全国统考非定向1070141411955795579胡永浩男全国统考非定向1070141370248744874管玉斌男全国统考非定向1070141611317711771付蓉女全国统考非定向1070141611318311831周津涛男全国统考非定向1070141611322202220吴丹男全国统考非定向1070141611322092209邓智超男全国统考非定向1070141611322892289张文博男全国统考非定向1070141611322172217汪北辰男全国统考非定向1070141611322852285杨旭男全国统考非定向1070141611322432243杨赵男全国统考非定向1070141370248414841李强男全国统考非定向1070141370248434843伊向杰男全国统考非定向1070141611322412241徐媛女全国统考非定向1070141611322872287刘兆松男全国统考非定向1070141611322812281邵浩宇男全国统考非定向1070141611322422242蒋宜超男全国统考非定向1070141611322082208杨牡丹女全国统考非定向1070141370248424842赵国庆男全国统考非定向1070141611322142214郭庆庆男全国统考非定向1070141611322292229马伏宝男全国统考非定向1070141412156665666杨闯男全国统考非定向1070141611322792279刘明吉男全国统考非定向1070141611322472247魏庚明男全国统考非定向1070141370349264926谢国君男全国统考非定向1070141370248354835赵忠超男全国统考非定向1070141370248304830张恒男全国统考非定向1070141611322122212王磊男全国统考非定向1070141611322322232倪佳嘉女全国统考非定向1070141141038273827陶芙宇男全国统考非定向1070141611322862286刘爽女全国统考非定向1070141611322522252闫旭辉男全国统考非定向1070141611320982098孙福坤男全国统考非定向1070141611317901790康伟男全国统考非定向1070141614163166316王勇男全国统考非定向1070141611322372237郭志宏男全国统考非定向1070141432460356035詹海兵男全国统考非定向1070141371150905090张林光男全国统考非定向1070141370248394839孟祥帅男全国统考非定向1070141422059125912张小乐男全国统考非定向1070141611320762076谭蕾女全国统考非定向1070141412256895689胡青林男全国统考非定向1070141214240914091许光男全国统考非定向1070141310642174217邱苗苗女全国统考非定向1070141410653655365周鹏男全国统考非定向1070141342244774477王博文男全国统考非定向1070141611317431743尚婧女全国统考非定向1070141413057935793周府男全国统考非定向1070141421958845884罗威男全国统考非定向1070141321442864286郑宁男全国统考非定向1070141611318811881董业稳男全国统考非定向1070141611317451745吴治斌男全国统考非定向1070141321142564256曹冬建男全国统考非定向1070141611317471747文严男全国统考非定向1070141611318851885周永杰男全国统考非定向1070147611390099009房金鹏男强军计划定向1070141421158445844董彬彬男全国统考非定向1070141611317441744杨杰男全国统考非定向1070141422659475947马辉辉男全国统考非定向1070141130333573357胡建强男全国统考非定向1070141421158425842雷稳男全国统考非定向1070147611390489048任星男强军计划定向1070141411955825582余立付男全国统考非定向1070141210240054005陈楠男全国统考非定向1070141130333613361曹斌男全国统考非定向1070141421158485848邓龙男全国统考非定向1070141611318471847梁甜女全国统考非定向1070141412156685668王喜智男全国统考非定向1070141130333543354卢玉静女全国统考非定向1070141611318601860郑伟伟男全国统考非定向1070141412056275627陈希闯男全国统考非定向1070141611318291829高泽宇男全国统考非定向1070141131535353535吴策男全国统考非定向1070141412156705670闫光耀男全国统考非定向1070141611316691669张广男全国统考非定向1070141611317741774侯小菊女全国统考非定向1070141611318481848李泽瀚男全国统考非定向1070141611318691869柴文壹男全国统考非定向1070141611318171817赵小文男全国统考非定向1070141321142444244程素华女全国统考非定向1070141611318331833惠通男全国统考非定向1070141611318341834张腾腾男全国统考非定向1070141611318131813杨鹤笛女全国统考非定向1070141611317761776陈正寒女全国统考非定向1070141611318611861冯雯女全国统考非定向1070141611318571857任琛男全国统考非定向1070141370248144814都炳琪男全国统考非定向1070141611316711671于竞竞女全国统考非定向1070141410352115211文爱玲女全国统考非定向1070141410452645264安莉佳女全国统考非定向1070141140537063706张鑫女全国统考非定向1070141611318241824樊聿聪男全国统考非定向1070141421158505850邢兴男全国统考非定向1070141611321362136周自立男全国统考非定向1070141611318101810刘驰旸男全国统考非定向1070141611318281828徐皓男全国统考非定向1070141611318041804赵晓松男全国统考非定向1070141611318641864陈科雯男全国统考非定向1070141611318201820赵峰男全国统考非定向1070141611318061806孙梁男全国统考非定向1070141611318321832姜凯男全国统考非定向1070141140537133713王晔琳女全国统考非定向1070141611321392139衣亚男男全国统考非定向1070141611321462146胡文洁女全国统考非定向1070141611317751775冉坤男全国统考非定向1070141611323942394张文龙男全国统考非定向1070141131034873487李星华女全国统考非定向1070141360145744574徐敏男全国统考非定向1070141611323982398魏幸幸男全国统考非定向1070141611316701670刘靓女全国统考非定向1070141130333673367赵秋楠男全国统考非定向1070147611390339033吴生财男强军计划定向1070141360145734573李志舟男全国统考非定向1070141611320352035王梦娜女全国统考非定向1070141421158465846闵强男全国统考非定向1070147611390389038党宾男强军计划定向1070141611315731573焦翔男全国统考非定向1070141220741294129张玮桐女全国统考非定向1070147611390499049吴燕飞男强军计划定向1070141140537193719郑亚飞女全国统考非定向1070141611318111811王文兵男全国统考非定向1070141650665276527边家家女全国统考非定向1070141611317251725李剑男全国统考非定向1070147611390289028薛鹏龙男强军计划定向1070141611315791579王雅依女全国统考非定向1070141611318031803党明霞女全国统考非定向1070141611321602160贺章平男全国统考非定向1070141611318441844徐腾男全国统考非定向1070141421958855885胡葵女全国统考非定向1070141410352055205王朋男全国统考非定向1070141410352105210闻泽联男全国统考非定向1070141611315761576马进男全国统考非定向1070141131535363536王朋女全国统考非定向1070141412256905690詹涛男全国统考非定向1070141370248104810杨海伦男全国统考非定向1070141140236453645裴盼盼女全国统考非定向1070141611317111711张宇瞳男全国统考非定向1070141611321062106杨琦女全国统考非定向1070141130333623362刘剑英女全国统考非定向1070141370248044804杨群女全国统考非定向1070141611321502150李思湉女全国统考非定向1070141371351035103陈兰强男全国统考非定向1070141421158475847胡天妤女全国统考非定向1070141611321642164徐欣怡女全国统考非定向1070141330143484348陈彦桥男全国统考非定向1070141321943174317黄俊俊男全国统考非定向1070141130634433443任婕女全国统考非定向1070141611316601660王佳东男全国统考非定向1070141611321512151李桃桃男全国统考非定向1070141141038343834胡晓强男全国统考非定向1070141131735853585刘林瓒男全国统考非定向1070141412056285628常钊男全国统考非定向1070141442060686068马丽媛女全国统考非定向1070141141038233823徐娜娜女全国统考非定向1070141611316621662张舒女全国统考非定向1070141321142454245孟贺男全国统考非定向1070141214140874087张振东男全国统考非定向1070141611321492149尉桦女全国统考非定向1070141611317581758赵菲妮女全国统考非定向1070141410351985198牛明伟男全国统考非定向1070141131535373537孟龙祥男全国统考非定向1070141611315751575吴妍女全国统考非定向1070141611315711571高鹏男全国统考非定向1070141611321112111杨歌女全国统考非定向1070141611318411841张放男全国统考非定向1070141141038263826蔡朝东男全国统考非定向1070141611315771577郭煜祺男全国统考非定向1070141611321082108王新然男全国统考非定向1070141412156655665卢成林男全国统考非定向1070141611317121712吴浩龙男全国统考非定向1070141611321102110徐凯强男全国统考非定向1070141611321702170徐才进男全国统考非定向1070141412957395739刘一舟男全国统考非定向1070141611317621762鹿乐男全国统考非定向1070141450660936093赵素杰男全国统考非定向1070141412256925692樊伟明男全国统考非定向1070141033878387838姚金慧女推荐免试非定向1070141007577987798王婷婷女推荐免试非定向1070141007577967796侯伟丹女推荐免试非定向1070141007577977797张欣女推荐免试非定向1070141037078397839刘辰男推荐免试非定向1070141053078627862黄孟缘男推荐免试非定向1070141015178237823张杏女推荐免试非定向1070141070172507250张玉祺女推荐免试非定向1070141070172697269李静女推荐免试非定向1070141070173027302牛帅男推荐免试非定向1070141070172017201汤志强男推荐免试非定向1070141070172847284任逸晖男推荐免试非定向1070141070173227322王经纬男推荐免试定向1070141070173137313刘智龙男推荐免试非定向1070141070173037303姬莉女推荐免试非定向1070141070173497349刘华男男推荐免试非定向1070141070173197319孙爽爽女推荐免试非定向1070141070173567356孙永光男推荐免试非定向1070141070172897289张妍妍女推荐免试非定向1070141070172727272孙睿女推荐免试非定向1070141070173727372乔兴文男推荐免试定向1070141070173437343刘晓东男推荐免试非定向1070141070173267326李姣女推荐免试非定向1070141070172527252张俊飞男推荐免试非定向1070141070173077307刘锦涛男推荐免试定向1070141070173117311王辛男推荐免试定向1070141070173367336李娜女推荐免试非定向1070141070172937293李亚茹女推荐免试非定向1070141070173517351高军超男推荐免试非定向1070141070173177317田明明男推荐免试非定向1070141070172057205李张涛男推荐免试非定向1070141070173317331王伟男推荐免试定向1070141070173257325张大建男推荐免试定向1070141070173297329刘念女推荐免试非定向1070141070172927292杨骏伟男推荐免试非定向1070141070172747274王明洁女推荐免试非定向1070141070173587358陈翔男推荐免试非定向1070141070173157315沈冲男推荐免试非定向1070141070173667366吴鹏男推荐免试非定向1070141070172187218李慧捷女推荐免试非定向1070141070173627362崔思玉女推荐免试非定向1070141070172077207刘志男推荐免试非定向1070141070173057305种毫男推荐免试定向1070141070172497249王韩浩男推荐免试非定向1070141070173147314高哲峰男推荐免试非定向1070141070173557355韦涛男推荐免试非定向1070141070172427242陈小波男推荐免试非定向1070141070172097209杜悦帆女推荐免试非定向1070141070173357335李可女推荐免试非定向1070141070173407340代慧女推荐免试非定向1070141070173287328何攀男推荐免试非定向1070141070172557255郭媛女推荐免试非定向1070141070172257225于旭男推荐免试非定向1070141070172037203迟欣茹女推荐免试非定向1070141070172977297李浩亮男推荐免试非定向1070141070172947294杨国顺男推荐免试非定向1070141070172397239莫鸿华男推荐免试非定向。
电子科技大学2016年硕士入学考试复试成绩
(更新时间:2016年4月12日10:30)
说明:
1、学校将根据学院上报陆续公布学院复试成绩及意见,部分研究方向、导师等信息在4月底前确定。
2、未录取考生可参加院内调剂、校内调剂或校外调剂,详见《电子科技大学2016年硕士入学考试复试工作办法》。
3、考生对复试成绩、学院意见如有异议请向学院研究生科提出,如仍有异议再向研招办提出。
4、拟上报考生经公示、教育部录检合格后才确定为正式录取,正式录取以录取通知书为准。
5、考生信息核对网址:/ssfs,4月30日核对截止。
6、调档:录取类别为非定向或自筹的新生必须在9月1日前将个人档案调入学院,5月发放调档函,邮寄地址为学校硕士复试系统登记的考生通信地址。
委培协议:除强军计划、国防生外,其他录取类别为定向或委培的新生必须在新生报到入学时将委培协议书一式三份交“研究生院报到验证处”盖章(电子科技大学研招网“资料下载”,除研招办签字盖章留空外,其他内容均需如实填写完整并签字盖章)。
录取通知书:5月发放录取通知书,邮寄地址为学校硕士复试系统登记的考生通信地址。
面试时间:2016年3月25日下午14时开始信号一组:(地点:1706室)(19人)组长:陶海红成员:李军、杨志伟、朱圣棋、曾操(秘书)学生:薛玉喜、杜佩鞠、罗丹、陈颖、韦红宇、马晓、孙超军、刘清燕、茆健、张攀、田明明、陈忠勇、张艳艳(准考证号107016151155535)、尉泽华、周季峰、王博阳、李浩冬、邬志勇、孙春阳信号二组:(地点:1511室)(12人)组长:张林让成员:张娟、刘楠、周宇(秘书)学生:雷变、郝晨阳、寻少伟、石小芳、张晓东、王晨红、乔清照、林思宇、张政和、梁兴茹、滕琨、郭邦信号三组:(地点:1803室)(10人)组长:李真芳成员:索志勇、周峰、白雪茹、梁毅(秘书)学生:毛琴、陈博、景乐乐、鲁兵兵、刘天豪、薛超、李昕卓、程光耀、彭鑫、王恩练信号四组:(地点:1719室)(15人)组长:纠博组员:刘宏伟、陈渤、戴奉周、杜兰、周生华、王英华、王鹏辉(秘书)学生:任振权、梁思远、万妍昕、杨东方、邓衍顺、刘美琪、梁晓宇、邵志强、王飞、秦庆喜、张晓光、王德健、王京京、李青伟、张欣欣信号五组:(地点:1811室)(8人)组长:刘峥成员:曹运合、刘军、谢荣(秘书)学生:陈卓群、张艳艳(准考证号107016122073837)、李春阳、刘晓冉、韩金旺、孙昭乾、焦丹丹、张方方信号六组:(地点:1611室)(10人)组长:水鹏朗成员:冯大政、赵永波、许述文(秘书)学生:梁步伟、李梦蝶、孟根强、梁寒、陶雨停、聂源盈、吕腾蛟、黄盛杰、王乐、石星宇信号七组:(地点:1807室)(11人)组长:陈伯孝成员:王俊、罗丰、宋万杰、杨明磊、董玫(秘书)学生:张毛、杨来富、王纪鹏、姜甜、路维娜、张聪、刘思良、付康、李威、项厚宏、崔凯信号八组:(地点:1715室)(3人)组长:李明成员:张鹏、左磊(秘书)学生:朱呈良、程瑾、康长世信号九组:(主楼6楼)(3人)组长:苏涛成员:王虹现、何学辉、卢勇(秘书)学生:李雪峰、吴建华、郜松松信号十组:(地点:1617室)(10人)组长:邢孟道成员:丁金闪、李亚超、全英汇(秘书)学生:赵浩浩、杨利超、余涛、隋尚兼、马宝洋、姚洪彬、陈广雷、李滕、李晴晴、刘欢信号十一组:(地点:1802室)(15人)组长:王彤成员:吴建新、王敏、唐禹、张磊(秘书)学生:任兵、张曙光、刘映影、郑文文、李栋、卢景月、曹晓敏、孙希平、吴奇轩、陈星、王臣、谢朋飞、李常先、王萌、霍陆陆。