华中师范大学2015录取名单(1)
- 格式:xls
- 大小:35.00 KB
- 文档页数:6
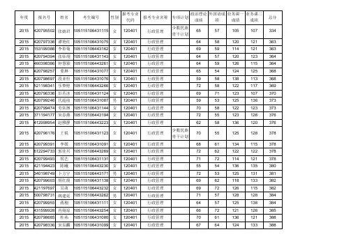
年度报名号姓名考生编号性别报考专业代码报考专业名称专项计划政治理论成绩外国语成绩业务课一成绩业务课二成绩总分2015 420795502 张婧君105115106431115 女120401 行政管理少数民族骨干计划65 57 105 107 3342015 420797336 谭艳红105115106431075 女120401 行政管理64 58 120 121 363 2015 153199386 李彩菊105115106443162 女120401 行政管理69 59 114 121 363 2015 420794394 张钰翊105115106431143 女120401 行政管理64 57 120 123 364 2015 460398386 钟慧颖105115106443261 女120401 行政管理64 59 126 115 364 2015 420798257 姜琳105115106431077 女120401 行政管理65 54 124 125 368 2015 420798697 段亚恒105115106431076 女120401 行政管理59 58 138 113 368 2015 521198341 乐梦婷105115106443266 女120401 行政管理72 58 122 117 369 2015 420796336 彭若冰105115106431124 女120401 行政管理69 71 123 107 370 2015 420799246 代超前105115106431087 男120401 行政管理59 53 125 136 373 2015 420799474 劳钰琳105115106431144 女120401 行政管理70 58 122 123 373 2015 371194177 宋春燕105115106443194 女120401 行政管理72 55 123 126 376 2015 412998954 赵雅静105115106443223 女120401 行政管理62 58 136 120 3762015 420796176 王锐105115106431123 女120401 行政管理少数民族骨干计划70 55 125 128 3782015 420799391 李媛105115106431091 女120401 行政管理68 61 134 115 378 2015 612294733 郭佳兴105115106443269 女120401 行政管理72 62 122 122 378 2015 420799493 胡艺105115106431131 女120401 行政管理71 72 114 121 378 2015 421194423 陈曦105115106443230 女120401 行政管理55 54 136 135 380 2015 340198749 卜方宇105115106443171 男120401 行政管理72 53 125 131 381 2015 420799603 胡红霞105115106431138 女120401 行政管理69 62 118 133 382 2015 421197697 吴萌105115106443232 女120401 行政管理69 72 126 115 382 2015 500798731 姚建廷105115106443262 男120401 行政管理71 57 128 128 384 2015 420799955 蒋栩105115106431111 女120401 行政管理64 57 125 138 384 2015 431599928 肖娅琼105115106443254 女120401 行政管理66 72 121 126 385 2015 420798685 杜祎105115106431080 女120401 行政管理70 61 136 121 388 2015 420798336 宋辰麟105115106431099 女120401 行政管理67 64 124 133 3882015 420795946 杨娥105115106431116 女120401 行政管理64 60 128 137 389 2015 420799768 万专105115106431139 男120401 行政管理69 65 130 125 389 2015 420796805 张涵105115106431096 男120401 行政管理62 56 138 135 391 2015 420799422 胡丹105115106431097 女120401 行政管理70 67 123 131 391 2015 420799693 汪榆淇105115106431132 男120401 行政管理70 54 135 133 392 2015 330187365 俞航105115106443169 男120401 行政管理68 55 131 138 392 2015 420797851 王竹君105115106431065 女120401 行政管理70 69 122 131 392 2015 420798346 余成龙105115106431095 男120401 行政管理69 63 131 133 396 2015 350399752 徐云105115106443181 女120401 行政管理70 67 121 139 397 2015 420796408 李颖105115106431118 女120401 行政管理69 67 133 129 398 2015 420799071 戴琰黎105115106431084 女120401 行政管理74 62 135 135 406 2015 420798277 胡冰105115106431073 女120401 行政管理71 71 136 128 4062015 410497464 周玉琰105115106443273 女120402 社会医学与卫生事业管理52 63 114 126 3552015 420796931 何丹105115106431150 女120403 教育经济与管理63 58 109 121 351 2015 421698141 卢娜105115106443280 女120403 教育经济与管理65 47 110 130 352 2015 420796675 王晓丹105115106431158 女120403 教育经济与管理62 49 118 129 358 2015 420799092 魏妮105115106431151 女120403 教育经济与管理58 62 121 125 366 2015 420797223 龚琪105115106431153 女120403 教育经济与管理67 48 130 124 369 2015 411599696 王新娇105115106443278 女120403 教育经济与管理64 52 119 135 370 2015 420797384 姜婵105115106431147 女120403 教育经济与管理63 55 124 133 375 2015 420797556 蒋程婧105115106431148 女120403 教育经济与管理56 58 132 138 384 2015 420797852 徐坦105115106431146 女120403 教育经济与管理76 59 131 139 405 2015 420799062 周源105115106431152 女120403 教育经济与管理65 66 135 139 4052015 620798541 杨先辉105115106443300 男120404 社会保障少数民族骨干计划58 40 97 102 2972015 411998260 周月105115106443297 女120404 社会保障62 55 112 113 342 2015 360195371 何文婧105115106443289 女120404 社会保障69 54 120 109 352 2015 341299958 李慧慧105115106443287 女120404 社会保障68 52 124 111 355 2015 341399988 刘秀秀105115106443288 女120404 社会保障67 50 112 127 3562015 340599919 李洁105115106443285 女120404 社会保障68 57 109 135 369 2015 420796270 陈鹏欢105115106431167 男120404 社会保障74 63 115 123 375 2015 340599930 王菊105115106443286 女120404 社会保障71 59 121 128 379 2015 420797407 邓张恩105115106431163 男120404 社会保障75 57 121 132 385 2015 140199103 徐倩文105115106443282 女120404 社会保障70 71 121 131 393 2015 411797401 陈兰105115106443304 女120405 土地资源管理67 54 108 121 350 2015 412396618 詹翅105115106443306 男120405 土地资源管理63 48 112 128 351 2015 420796889 陈铭105115106431172 女120405 土地资源管理59 50 117 125 351 2015 120698032 孙士伟105115106443302 男120405 土地资源管理70 46 120 130 366 2015 420797323 赵云飞105115106431169 男120405 土地资源管理73 56 114 130 373 2015 421194921 姜雨105115106443307 女120405 土地资源管理66 59 122 128 375 2015 370394271 魏然105115106443303 男120405 土地资源管理67 46 130 139 382 2015 420799400 简芳园105115106431173 女120405 土地资源管理76 67 133 126 402。
招收2015年推荐免试硕士生及直博生拟录取名单序号考生姓名性别考生所在学校拟录取类别拟录取专业1 南昌大学硕士信息安全2 武汉大学硕士信息安全3 青岛大学硕士信息安全4 北京交通大学硕士计算机技术5 四川大学硕士信息安全6 华中科技大学硕士计算机技术7 山东大学硕士软件工程8 北京交通大学硕士计算机技术9 华北电力大学(保定)硕士计算机技术10 四川大学硕士信息安全11 太原理工大学硕士计算机技术12 湖南大学硕士信息安全13 山东大学硕士信息安全14 中国地质大学(武汉) 硕士信息安全15 西安电子科技大学硕士通信与信息系统16 武汉理工大学硕士计算机技术17 哈尔滨工业大学硕士计算机技术18 北京大学硕士信息安全19 四川大学硕士计算机技术20 电子科技大学硕士信息安全21 四川大学硕士信息安全22 山东大学硕士信息安全23 北京化工大学硕士计算机技术24 北京林业大学硕士信息安全25 重庆大学硕士信息安全26 北京交通大学硕士计算机技术27 吉林大学硕士信息安全28 电子科技大学直博生通信与信息系统29 厦门大学直博生通信与信息系统30 中国科学技术大学直博生信息安全31 湖南大学直博生信息安全32 四川大学直博生信息安全33 大连理工大学直博生信息安全34 中国科学技术大学直博生信号与信息处理35 北京邮电大学直博生信息安全36 北京邮电大学直博生信息安全37 中国科学技术大学直博生通信与信息系统38 电子科技大学直博生信息安全39 电子科技大学直博生信号与信息处理40 山东大学直博生信息安全41 南京航空航天大学直博生信息安全42 西北工业大学直博生信息安全43 中国矿业大学技硕士计算机技术44 北京航空航天大学硕士计算机软件与理论45 吉林大学硕士软件工程46 中央民族大学硕士计算机软件与理论47 中央民族大学硕士计算机系统结构48 电子科技大学硕士信息安全49 哈尔滨工业大学(威海)硕士计算机技术50 兰州大学硕士计算机技术51 四川大学硕士计算机技术52 华中科技大学硕士计算机软件与理论53 北京交通大学硕士软件工程54 北京邮电大学硕士计算机系统结构55 中国科学技术大学硕士计算机软件与理论56 河南大学硕士计算机软件与理论57 山东大学硕士计算机技术58 吉林大学硕士信息安全59 广东工业大学硕士计算机软件与理论60 四川大学硕士计算机技术61 华南师范大学硕士信息安全62 东北大学硕士计算机技术63 四川大学硕士计算机技术64 北京林业大学硕士计算机技术65 湘潭大学硕士计算机软件与理论66 中国矿业大学硕士计算机系统结构67 河南大学硕士计算机系统结构68 西安交通大学硕士计算机技术69 长沙理工大学直博生计算机软件与理论70 中国矿业大学(北京) 直博生计算机系统结构71 吉林大学直博生计算机系统结构72 华中师范大学直博生计算机软件与理论73 中南大学直博生计算机软件与理论74 河北大学直博生信息安全75 哈尔滨工程大学直博生信息安全76 中国科学技术大学直博生计算机系统结构77 哈尔滨工业大学(威海)直博生信息安全78 北京科技大学直博生计算机软件与理论79 北京科技大学直博生信息安全80 江西师范大学直博生计算机软件与理论81 西南大学直博生计算机软件与理论82 南开大学硕士计算机技术83 南开大学硕士信息安全84 北京科技大学硕士信息安全85 西安电子科技大学硕士信息安全86 河北大学硕士计算机技术87 湖南大学硕士信息安全88 中央民族大学硕士信息安全89 大连海事大学硕士通信与信息系统90 东南大学硕士计算机技术91 厦门大学硕士信息安全92 北京交通大学硕士软件工程93 河北大学硕士计算机技术94 哈尔滨工程大学硕士计算机技术95 吉林大学硕士信息安全96 西南交通大学硕士通信与信息系统97 中南大学硕士计算机技术98 中国石油大学(华东) 硕士信息安全99 中国科学技术大学直博生信息安全100 中国科学技术大学直博生信息安全101 中国科学技术大学直博生信息安全102 山东大学(威海)硕士计算机技术103 湖南大学硕士计算机系统结构104 中国地质大学(北京) 硕士计算机技术105 电子科技大学硕士软件工程106 中国海洋大学硕士信息安全107 南京理工大学硕士信息安全108 中国传媒大学硕士计算机技术109 郑州大学硕士信息安全110 武汉大学硕士软件工程111 兰州大学硕士信息安全112 云南大学硕士信息安全113 南开大学硕士信息安全114 河北大学直博生信息安全115 天津大学直博生通信与信息系统116 哈尔滨工程大学直博生信息安全117 河南大学直博生信息安全118 北京林业大学硕士计算机软件与理论119 南昌大学硕士计算机系统结构120 中国科学技术大学硕士计算机系统结构121 东北师范大学硕士计算机系统结构122 哈尔滨工业大学(威海)硕士计算机系统结构123 中国科学技术大学直博生计算机系统结构124 东南大学硕士计算机技术125 河北工业大学硕士计算机软件与理论126 西南民族大学硕士信息安全127 北京信息科技大学硕士计算机软件与理论128 北京科技大学硕士信息安全129 中国人民大学硕士计算机技术130 中山大学直博生信息安全131 中国人民大学直博生信息安全132 西安电子科技大学直博生信息安全133 中国科学技术大学直博生信息安全以上推免硕士生不再进行现场确认,以“推免服务系统”最终报考、录取信息为准。
2015年推荐免试攻读硕士研究生(含师范生攻读教育硕士)
拟录取名单公示
根据《华中师范大学2015年接收优秀本科应届毕业生推荐免试攻读硕士研究生招生办法》、《华中师范大学2015年免费师范生攻读教育硕士招生简章》的相关要求,经过考生本人报名、培养单位复试考核、考生确认待录取信息等流程,现将2015年接收推荐免试攻读硕士生拟录取名单、2015年免费师范生攻读教育硕士拟录取名单进行公示(具体名单见附件),公示时间为2014年10月29日-11月3日。
对公示拟录取名单如有疑问,请直接向招生学院咨询反映。
各学院研究生秘书老师联系方式如下:
/showNews-449.aspx
附件:1、2015年推免生拟录取名单
2、2015年免费师范生攻读教育硕士拟录取名单
华中师范大学研究生招生办公室
2014年10月29日
文章来源:华中师大考研网(),更多华中师大考研相关信息和资料请关注文彦考研论坛。
华中师范大学2008年硕士研究生拟录取情况表院系名称:心理学院
华中师范大学2008年硕士研究生拟录取情况表院系名称:心理学院
华中师范大学2008年硕士研究生拟录取情况表院系名称:心理学院
华中师范大学2008年硕士研究生拟录取情况表院系名称:心理学院
华中师范大学2008年硕士研究生拟录取情况表院系名称:心理学院
华中师范大学2008年硕士研究生拟录取情况表院系名称:心理学院
华中师范大学2008年硕士研究生拟录取情况表院系名称:心理学院。
2015年普通高校招生录取名单公示(十九)2015年普通高校招生录取名单公示(十九)说明:文科类考生成绩部分小数点后1-3位为语文成绩,4-6位为数学成绩,7-9位为综合成绩;小数点后1-3位为000者为上年录取后未报到考生,4-6位为语文成绩,7-9位为数学成绩。
理科类考生成绩部分小数点后1-3位为数学成绩,4-6位为语文成绩,7-9位为综合成绩。
小数点后1-3位为000者为上年录取后未报到考生,4-6位为数学成绩,7-9位为语文成绩。
考生号姓名院校排序成绩15140107111477 薛淇北京大学(自主招生) 603 15140505111437 常琛北京大学(自主招生) 601 15140521110166 李芬北京大学(高校专项计划) 59915140106110409 王牧遥北京大学(自主招生) 59515140107152383 刘辉北京大学(自主招生) 661 15140105150795 张琨北京大学(自主招生) 66015140105150816 焦中罡北京大学(自主招生) 65715140805150023 李京寰北京大学(自主招生) 65415140805150107 尹泽藩北京大学(自主招生) 65315140107152414 宋凯宏北京大学(自主招生) 65215140107152419 张泽宇北京大学(自主招生) 64915140105150780 康瀚文北京大学(自主招生) 64815140105151034 秦光辉北京大学(自主招生) 64815140107152153 赵楠北京大学(自主招生) 648 15141001154307 王宁北京大学(自主招生) 643 15140105151049 王子轩北京大学(自主招生) 63915140105150927 闫琦琛北京大学(自主招生) 63815140107152122 宋锴北京大学(自主招生) 63515140105150813 杨靖锋北京大学(自主招生)15140901151251 庞骁北京大学(自主招生) 62915140106110384 梁志鹏清华大学(自主招生) 60115140106150946 韩一蕾清华大学(自主招生) 66115140105150758 任昊清华大学(自主招生) 661 15140106150912 卢子鲲清华大学(自主招生) 66015140402152576 曹晨阳清华大学(自主招生) 65915140106150948 张浩栋清华大学(自主招生) 65815140402152584 张丹震清华大学(自主招生) 65815140505150872 刘王恢清华大学(自主招生) 65515140105151037 覃泽恩清华大学(自主招生) 65415140801150602 张普竣清华大学(自主招生)15140105150871 党旭芝清华大学(自主招生) 65115141001153431 刁锐清华大学(自主招生) 650 15140729150385 暴志鹏清华大学(自主招生) 65015140202150711 岳瑞龙清华大学(自主招生) 64815140402152586 马恺清华大学(自主招生) 645 15140105150913 寇植清华大学(自主招生) 644 15140581151109 李晋清华大学(自主招生) 643 15140105151010 乔一凡清华大学(自主招生) 63915140107152221 丁雨晖清华大学(自主招生) 63615140402152589 陈超清华大学(自主招生) 622 15140105150775 刘熙航清华大学(自主招生) 61615140224150116 张芙作清华大学(高校专项计划) 61415140727150060 崔韡喆北京交通大学(自主招生) 59215140106150892 赵雅贤北京交通大学(自主招生) 58315140202150426 张阳北京交通大学(自主招生) 57915140430150017 王圣锋北京交通大学(高校专项计划)57915140724150400 宫淑鑫北京交通大学(高校专项计划)57515140901150480 王力北京交通大学(自主招生) 575 15140724150455 赵紫珍北京交通大学(高校专项计划)572 15140724150209 李凯鑫北京交通大学(高校专项计划)561 15140105152092 吴昊衍北京交通大学(自主招生) 554 15140105150700 王海涛北京交通大学(高水平艺术团)523 15140829150024 史薪琪北京工业大学(高校专项计划) 569 15140926150007 李斌北京工业大学(高校专项计划) 549 15140402152677 郭佳钰北京航空航天大学(自主招生) 623 15140402154154 魏子铎北京航空航天大学(自主招生) 620 15140107152229 梁晨迪北京航空航天大学(自主招生) 611 15140729150051 郝国宇北京航空航天大学(自主招生) 610 15140901151055 陈霖北京航空航天大学(自主招生) 606 15140110150424 刘国强北京航空航天大学(自主招生) 604 15140581151066 秦浩北京航空航天大学(自主招生) 603 15140402152710 段易通北京航空航天大学(自主招生) 596 15140805150392 谭子萌北京理工大学(自主招生) 611 15140805150503 刘泽寅北京理工大学(自主招生) 608 15140105150938 张新远北京理工大学(自主招生) 603 15140901151077 陈冠宇北京理工大学(自主招生) 587 15140107152471 成儒婷北京科技大学(自主招生) 583 15140505150861 李智北京科技大学(自主招生) 577 15140203152170 赵逸超北京科技大学(自主招生) 570 15140303150233 光浩然北京科技大学(自主招生) 564 15140805150052 张倩北京科技大学(自主招生) 561 15141021150374 马崇天北京科技大学(自主招生) 559 15140224150928 郭志涛北京科技大学(高校专项计划)551 15140932150343 刘晓宏北京科技大学(高校专项计划)55015140222150439 赵晓红北京科技大学(高校专项计划)548 15140623150001 赵佳乐北京科技大学(高校专项计划)54515141102152546 吕奇晟北京科技大学(自主招生) 532 15140602151709 祁明群北京科技大学(自主招生) 522 15140106134120 王喆宁北京化工大学(高水平艺术团)514 15140402151308 李扬北京化工大学(自主招生) 571 15140402151859 苏垠北京化工大学(自主招生) 566 15141103150096 王倞宇北京化工大学(自主招生) 563 15140402151310 牛英杰北京化工大学(自主招生) 563 15140901152409 郭林鑫北京化工大学(自主招生) 55715140106151183 范文锋北京化工大学(自主招生) 550 15140105151355 武泽宇北京化工大学(自主招生) 546 15141001154303 冯维新北京邮电大学(自主招生) 621 15140105151002 赵达非北京邮电大学(自主招生) 613 15140402152592 王速北京邮电大学(自主招生) 605 15140106150853 闫昊宇北京邮电大学(自主招生) 598 15140106150865 张帅北京邮电大学(自主招生) 585 15140901152608 徐斌浩北京邮电大学(自主招生) 583 15140223150498 田家强北京邮电大学(高校专项计划)566 15140105132241 王璐纯北京林业大学(高水平艺术团)53015140505151735 赵冠婕北京林业大学(自主招生) 587 15140105152549 岳星丞北京林业大学(自主招生) 575 15140602150967 王欢欢北京林业大学(自主招生) 561 15140106151410 郭宇翔北京林业大学(自主招生) 559 15140402151307 赵立博北京林业大学(自主招生) 555 15140202150435 张宏锦北京林业大学(自主招生) 543 15140602150739 李郁欣北京林业大学(自主招生) 539 15140602150746 荣琳娜北京林业大学(自主招生) 535 15140602150774 王超琼北京林业大学(自主招生) 535 15140106151560 高宇阳北京林业大学(自主招生) 52515140402151569 张佳瑜北京林业大学(自主招生) 520 15140106150972 张莉唯北京中医药大学(自主招生) 638 15140106150164 赵子苇北京中医药大学(自主招生) 569 15140106151008 张翼飞北京中医药大学(自主招生) 550 15140107152455 杨玉涵北京中医药大学(自主招生) 549 15140106151355 黄家伟北京中医药大学(自主招生) 527 15140109110262 李新瑞北京语言大学(自主招生) 540 15141001112848 刘思辰中国传媒大学(自主招生) 555 15140581151436 杨璐榕中国传媒大学(自主招生) 580 15141001151267 张国江中央财经大学(自主招生) 631 15140402151383 刘锦潞中央财经大学(自主招生) 630 15140106110422 段汯妮对外经济贸易大学(自主招生) 567 15141103150161 李欣荣对外经济贸易大学(自主招生) 612 15140402153339 柴媛媛对外经济贸易大学(自主招生) 610 15140505111648 王子潇中国政法大学(自主招生) 572 15140833110002 郭荣中国政法大学(高校专项计划)549 15140602110517 符翔宇中国政法大学(自主招生) 538 15140106110517 穆轩雨中国政法大学(自主招生) 523 15140106150952 高若云中国政法大学(自主招生) 615 15140505151540 张泽群华北电力大学(北京)(自主招生) 611 15140106151011 王笑语华北电力大学(北京)(自主招生) 598 15140106151301 刘家豪华北电力大学(北京)(自主招生) 596 15140901150446 赵植华北电力大学(北京)(自主招生) 575 15140223150480 张琦华北电力大学(北京)(高校专项计划)572 15141127150696 刘阳华北电力大学(北京)(高校专项计划)528 15140724150334 宋贤武中国矿业大学(北京)(高校专项计划)533 15140721150006 冯俊达中国矿业大学(北京)(高校专项计划)528 15140521150272 樊宁中国矿业大学(北京)(高校专项计划)52615140805110656 杜琛仪中国石油大学(北京)(自主招生) 53615140105151322 宋彦辰中国石油大学(北京)(自主招生) 56215140701151409 苏宁馨北京邮电大学(宏福校区)(自主招生)536 15140402112476 刘曦泽南开大学(自主招生) 56515140105134309 茹怡多南开大学(自主招生) 55915140107132340 靳蕾南开大学(高水平艺术团) 52015140107152371 陈相雨南开大学(自主招生) 59615140107152147 杨博帆天津大学(自主招生)60115140105151293 连源天津大学(自主招生) 592 15140221150006 贾殿魁天津大学(高校专项计划) 59215140105150952 杜霖天津大学(自主招生) 581 15140106151190 田梓青天津大学(自主招生) 57315140901150270 张玥天津大学(自主招生) 54915141102152856 冯舒婷华北电力大学(保定)(自主招生) 58315141102152705 孟浩荣华北电力大学(保定)(自主招生) 56715140505150882 司冰茹华北电力大学(保定)(自主招生) 54715140107152102 郭育豪大连理工大学(自主招生) 58715140105151224 张博凯大连理工大学(自主招生) 57915140105151109 张涵聪大连理工大学(自主招生) 57415140805150011 房国庆大连理工大学(自主招生) 57315140106110624 张泽远东北大学(自主招生) 52315140225151067 王阳东北大学(高校专项计划) 56715141102152885 刘宏伟东北大学(高校专项计划) 55915140302150344 籍佗吉林大学(自主招生) 581 15141102152698 康吕军吉林大学(自主招生) 57015140221150028 孙志强吉林大学(高校专项计划) 52715141133150036 李明亮吉林大学(高校专项计划) 52015140107150664 张子薇东北师范大学(自主招生) 53915140427150081 栗希雅东北师范大学(高校专项计划)52815141102110555 袁亚丽哈尔滨工业大学(自主招生) 52615140105152792 李明月哈尔滨工业大学(自主招生) 60815140106150874 石丁哈尔滨工业大学(自主招生) 59615140202150734 李哲哈尔滨工业大学(自主招生) 59515141102152749 张震哈尔滨工业大学(自主招生) 59215140221150027 李蕾哈尔滨工业大学(高校专项计划) 57915140107151145 李睿哈尔滨工业大学(自主招生) 57315140425150011 侯晨睿哈尔滨工业大学(高校专项计划) 55615140106110395 任师颖复旦大学(自主招生) 58915140105150889 李佳昊复旦大学(自主招生) 63215140106150915 刘耕复旦大学(自主招生) 626 15140105151048 马杰复旦大学(自主招生) 62215140105111015 赵奕林同济大学(自主招生) 58015140701150004 刘舒璇同济大学(自主招生) 62015140724150239 韩磊同济大学(高校专项计划) 61815140724150392 赵宇通同济大学(高校专项计划) 61615140724150389 王志凯同济大学(高校专项计划) 61115140805150063 郄加天同济大学(自主招生) 61115140729151957 郝晓斌同济大学(自主招生) 61015140107152451 张琳悦同济大学(自主招生)60815141127151611 柳杰同济大学(高校专项计划) 60615140106150909 李夏梦同济大学(自主招生) 60215141001154274 卫珺堃同济大学(自主招生) 59715140105151205 曹健上海交通大学(自主招生) 65515140105151052 张哲恺上海交通大学(自主招生) 65415140105150964 王靖康上海交通大学(自主招生) 65315140402152585 鲍子威上海交通大学(自主招生) 64915140105150926 罗宇韬上海交通大学(自主招生) 64815140106150947 安相炎上海交通大学(自主招生) 64715140107152244 张正鑫上海交通大学(自主招生) 641。