同济大学数值分析课后习题解答
- 格式:pdf
- 大小:3.01 MB
- 文档页数:113
第一章 绪论(12) 第二章 插值法(40-42)2、当2,1,1-=x 时,4,3,0)(-=x f ,求)(x f 的二次插值多项式。
[解]372365)1(34)23(21)12)(12()1)(1(4)21)(11()2)(1()3()21)(11()2)(1(0))(())(())(())(())(())(()(2221202102210120120102102-+=-++--=+-+-⨯+------⨯-+-+-+⨯=----+----+----=x x x x x x x x x x x x x x x x x x x y x x x x x x x x y x x x x x x x x y x L 。
3、给出x x f ln )(=的数值表用线性插值及二次插值计算54.0ln 的近似值。
X 0.4 0.5 0.6 0.7 0.8 x ln -0.916291 -0.693147 -0.510826 -0.357765 -0.223144[解]若取5.00=x ,6.01=x ,则693147.0)5.0()(00-===f x f y ,510826.0)6.0()(11-===f x f y ,则604752.182321.1)5.0(10826.5)6.0(93147.65.06.05.0510826.06.05.06.0693147.0)(010110101-=---=--⨯---⨯-=--+--=x x x x x x x x x y x x x x y x L ,从而6202186.0604752.19845334.0604752.154.082321.1)54.0(1-=-=-⨯=L 。
若取4.00=x ,5.01=x ,6.02=x ,则916291.0)4.0()(00-===f x f y ,693147.0)5.0()(11-===f x f y ,510826.0)6.0()(22-===f x f y ,则 217097.2068475.404115.2)2.09.0(5413.25)24.0(3147.69)3.01.1(81455.45)5.06.0)(4.06.0()5.0)(4.0()510826.0()6.05.0)(4.05.0()6.0)(4.0()693147.0()6.04.0)(5.04.0()6.0)(5.0(916291.0))(())(())(())(())(())(()(22221202102210120120102102-+-=+--+-⨯++-⨯-=----⨯-+----⨯-+----⨯-=----+----+----=x x x x x x x x x x x x x x x x x x x x x x y x x x x x x x x y x x x x x x x x y x L ,从而61531984.0217097.21969765.259519934.0217097.254.0068475.454.004115.2)54.0(22-=-+-=-⨯+⨯-=L补充题:1、令00=x ,11=x ,写出x e x y -=)(的一次插值多项式)(1x L ,并估计插值余项。
习 题 一 解 答1.取3.14,3.15,227,355113作为π的近似值,求各自的绝对误差,相对误差和有效数字的位数。
分析:求绝对误差的方法是按定义直接计算。
求相对误差的一般方法是先求出绝对误差再按定义式计算。
注意,不应先求相对误差再求绝对误差。
有效数字位数可以根据定义来求,即先由绝对误差确定近似数的绝对误差不超过那一位的半个单位,再确定有效数的末位是哪一位,进一步确定有效数字和有效数位。
有了定理2后,可以根据定理2更规范地解答。
根据定理2,首先要将数值转化为科学记数形式,然后解答。
解:(1)绝对误差:e(x)=π-3.14=3.14159265…-3.14=0.00159…≈0.0016。
相对误差:3()0.0016()0.51103.14r e x e x x -==≈⨯有效数字:因为π=3.14159265…=0.314159265…×10,3.14=0.314×10,m=1。
而π-3.14=3.14159265…-3.14=0.00159…所以│π-3.14│=0.00159…≤0.005=0.5×10-2=21311101022--⨯=⨯所以,3.14作为π的近似值有3个有效数字。
(2)绝对误差:e(x)=π-3.15=3.14159265…-3.14=-0.008407…≈-0.0085。
相对误差:2()0.0085()0.27103.15r e x e x x --==≈-⨯有效数字:因为π=3.14159265…=0.314159265…×10,3.15=0.315×10,m=1。
而π-3.15=3.14159265…-3.15=-0.008407…所以│π-3.15│=0.008407……≤0.05=0.5×10-1=11211101022--⨯=⨯所以,3.15作为π的近似值有2个有效数字。
(3)绝对误差:22() 3.141592653.1428571430.0012644930.00137e x π=-=-=-≈-相对误差:3()0.0013()0.4110227r e x e x x--==≈-⨯有效数字: 因为π=3.14159265…=0.314159265…×10, 223.1428571430.3142857143107==⨯,m=1。
课后习题解答第一章绪论习题一1.设x>0,x*的相对误差为δ,求f(x)=ln x的误差限。
解:求lnx的误差极限就是求f(x)=lnx的误差限,由公式(已知x*的相对误差满足,而,故即2.下列各数都是经过四舍五入得到的近似值,试指出它们有几位有效数字,并给出其误差限与相对误差限。
解:直接根据定义和式(有5位有效数字,其误差限,相对误差限有2位有效数字,有5位有效数字,3.下列公式如何才比较准确?(1)(2)解:要使计算较准确,主要是避免两相近数相减,故应变换所给公式。
(1)(2)4.近似数x*=0.0310,是 3 位有数数字。
5.计算取,利用:式计算误差最小。
四个选项:第二、三章插值与函数逼近习题二、三1. 给定的数值表用线性插值与二次插值计算ln0.54的近似值并估计误差限. 解:仍可使用n=1及n=2的Lagrange插值或Newton插值,并应用误差估计(5.8)。
线性插值时,用0.5及0.6两点,用Newton插值误差限,因,故二次插值时,用0.5,0.6,0.7三点,作二次Newton插值误差限,故2. 在-4≤x≤4上给出的等距节点函数表,若用二次插值法求的近似值,要使误差不超过,函数表的步长h 应取多少?解:用误差估计式(5.8),令因得3. 若,求和.解:由均差与导数关系于是4. 若互异,求的值,这里p≤n+1.解:,由均差对称性可知当有而当P=n+1时于是得5. 求证.解:解:只要按差分定义直接展开得6. 已知的函数表求出三次Newton均差插值多项式,计算f(0.23)的近似值并用均差的余项表达式估计误差.解:根据给定函数表构造均差表由式(5.14)当n=3时得Newton均差插值多项式N3(x)=1.0067x+0.08367x(x-0.2)+0.17400x(x-0.2)(x-0.3) 由此可得f(0.23) N3(0.23)=0.23203由余项表达式(5.15)可得由于7. 给定f(x)=cosx的函数表用Newton等距插值公式计算cos 0.048及cos 0.566的近似值并估计误差解:先构造差分表计算,用n=4得Newton前插公式误差估计由公式(5.17)得其中计算时用Newton后插公式(5.18)误差估计由公式(5.19)得这里仍为0.5658.求一个次数不高于四次的多项式p(x),使它满足解:这种题目可以有很多方法去做,但应以简单为宜。
1、解:将)(x V n 按最后一行展开,即知)(x V n 是n 次多项式。
由于ni i inn n n n i n x x x x x x x x x x V ...1...1 (1))(21110200---=,.1,...,1,0-=n i故知0)(=i n x V ,即110,...,,-n x x x 是)(x V n 的根。
又)(x V n 的最高次幂nx 的系数为)(...1...1..................1),...,,(101121112222102001101j n i j i n n n n n n n n n n n x x x x x x x x x x x x x x V -==∏-≤<≤-----------。
故知).)...()()(,...,,()(1101101------=n n n n x x x x x x x x x V x V6、解:(1)设.)(k x x f =当n k ,...,1,0=时,有.0)()1(=+x f n对)(x f 构造Lagrange 插值多项式,),()(0x l x x L j nj k j n ∑==其0)()!1()()()()(1)1(=+=-=++x w n f x L x F x R n n n n ξ,ξ介于j x 之间,.,...,1,0n j =故),()(x L x f n =即.,...,1,0,)(0n k xx l x kjnj k j ==∑=特别地,当0=k 时,10)(=∑=nj x j l。
(2)0)()1(1)()1()()(0000=-=⎪⎪⎭⎫ ⎝⎛-⎪⎪⎭⎫ ⎝⎛-=--=-===∑∑∑∑k j j i j i k j ki i j ii k j nj ki i j knj j x x x x i k x l x x i k x l x x )利用(。
7、证明:以b a ,为节点进行线性插值,得)()()(1b f ab ax a f b a b x x P --+--=因0)()(==b f a f ,故0)(1=x P 。
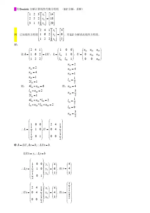
2.用Doolittle 分解计算线性代数方程组 (LU 分解,求解)⎥⎥⎥⎦⎤⎢⎢⎢⎣⎡=⎥⎥⎥⎦⎤⎢⎢⎢⎣⎡⎥⎥⎥⎦⎤⎢⎢⎢⎣⎡201814513252321321x x x 例 已知线性方程组⎥⎥⎥⎦⎤⎢⎢⎢⎣⎡=⎥⎥⎥⎦⎤⎢⎢⎢⎣⎡⎥⎥⎥⎦⎤⎢⎢⎢⎣⎡564221261142321x x x ,用LU 分解求此线性方程组。
解:设LU A =⎪⎪⎪⎭⎫ ⎝⎛=221261142,⎪⎪⎪⎭⎫⎝⎛=101001323121l l l L ,⎪⎪⎪⎭⎫⎝⎛=332322131211000u u u u u u U 则:2*2*4122641214233322331322231312321222121131211=++=+==+=+====u l u l l u l l u l u l l u u u 得:2302123421142333231232221131211=========u l l u u l u u u⎪⎪⎪⎪⎪⎪⎭⎫ ⎝⎛=⎪⎪⎪⎪⎪⎪⎭⎫ ⎝⎛=∴23002340142,10210121001U L .,,b LUx b Ax LU A =∴==设b Ly y Ux =∴=,⎪⎪⎪⎭⎫ ⎝⎛=⎪⎪⎪⎭⎫ ⎝⎛⎪⎪⎪⎪⎪⎪⎭⎫⎝⎛=∴56410210121001321y y y Ly . 得⎪⎪⎪⎭⎫ ⎝⎛=344y ⎪⎪⎪⎭⎫ ⎝⎛=⎪⎪⎪⎭⎫ ⎝⎛⎪⎪⎪⎪⎪⎪⎭⎫⎝⎛=∴34423002340142321x x x Ux . 得⎪⎪⎪⎪⎪⎪⎭⎫ ⎝⎛=24121x8. 用追赶法求解三对角线代数方程组 (:单位上三角矩阵:下三角矩阵分解U L U L )⎥⎥⎥⎦⎤⎢⎢⎢⎣⎡=⎥⎥⎥⎦⎤⎢⎢⎢⎣⎡⎥⎥⎥⎦⎤⎢⎢⎢⎣⎡201814513252321321x x x 解:设⎥⎥⎥⎦⎤⎢⎢⎢⎣⎡=⎥⎥⎥⎦⎤⎢⎢⎢⎣⎡==100101,000,231312333331222111u u u U l l l l l l L U L A9. 用迭代法求解线代数方程组⎥⎥⎥⎦⎤⎢⎢⎢⎣⎡=⎥⎥⎥⎦⎤⎢⎢⎢⎣⎡⎥⎥⎥⎦⎤⎢⎢⎢⎣⎡251113108481044410321x x x (1)分别写出Jacobi 迭代、Gauss-Seidel 迭代的计算式;(2)对任意初值,迭代式是否收敛?为什么?例 已知方程⎪⎪⎪⎭⎫ ⎝⎛=⎪⎪⎪⎭⎫ ⎝⎛⎪⎪⎪⎭⎫ ⎝⎛-111122*********x x x 。
数值分析第三版课本习题及答案第⼀章绪论1.设x>0,x得相对误差为δ,求得误差、2.设x得相对误差为2%,求得相对误差、3.下列各数都就是经过四舍五⼊得到得近似数,即误差限不超过最后⼀位得半个单位,试指出它们就是⼏位有效数字:4.利⽤公式(3、3)求下列各近似值得误差限:其中均为第3题所给得数、5.计算球体积要使相对误差限为1%,问度量半径R时允许得相对误差限就是多少?6.设按递推公式( n=1,2,…)计算到、若取≈27、982(五位有效数字),试问计算将有多⼤误差?7.求⽅程得两个根,使它⾄少具有四位有效数字(≈27、982)、8.当N充分⼤时,怎样求?9.正⽅形得边长⼤约为100㎝,应怎样测量才能使其⾯积误差不超过1㎝?10.设假定g就是准确得,⽽对t得测量有±0、1秒得误差,证明当t增加时S得绝对误差增加,⽽相对误差却减⼩、11.序列满⾜递推关系(n=1,2,…),若(三位有效数字),计算到时误差有多⼤?这个计算过程稳定吗?12.计算,取,利⽤下列等式计算,哪⼀个得到得结果最好?13.,求f(30)得值、若开平⽅⽤六位函数表,问求对数时误差有多⼤?若改⽤另⼀等价公式计算,求对数时误差有多⼤?14.试⽤消元法解⽅程组假定只⽤三位数计算,问结果就是否可靠?15.已知三⾓形⾯积其中c为弧度,,且测量a ,b ,c得误差分别为证明⾯积得误差满⾜第⼆章插值法1.根据(2、2)定义得范德蒙⾏列式,令证明就是n次多项式,它得根就是,且、2.当x= 1 , 1 , 2 时, f(x)= 0 , 3 , 4 ,求f(x)得⼆次插值多项式、3.给出f(x)=ln x得数值表⽤线性插值及⼆次插值计算ln 0、54 得近似值、4.,研究⽤线性插值求cos x 近似值时得总误差界、5.设,k=0,1,2,3,求、6.设为互异节点(j=0,1,…,n),求证:i)ii)7.设且,求证8.在上给出得等距节点函数表,若⽤⼆次插值求得近似值,要使截断误差不超过,问使⽤函数表得步长应取多少?9.若,求及、10.如果就是次多项式,记,证明得阶差分就是次多项式,并且为正整数)、11.证明、12.证明13.证明14.若有个不同实根,证明15.证明阶均差有下列性质:i)若,则;ii)若,则、16.,求及、17.证明两点三次埃尔⽶特插值余项就是并由此求出分段三次埃尔⽶特插值得误差限、18.求⼀个次数不⾼于4次得多项式,使它满⾜并由此求出分段三次埃尔⽶特插值得误差限、19.试求出⼀个最⾼次数不⾼于4次得函数多项式,以便使它能够满⾜以下边界条件,,、20.设,把分为等分,试构造⼀个台阶形得零次分段插值函数并证明当时,在上⼀致收敛到、21.设,在上取,按等距节点求分段线性插值函数,计算各节点间中点处得与得值,并估计误差、22.求在上得分段线性插值函数,并估计误差、23.求在上得分段埃尔⽶特插值,并估计误差、24.给定数据表如下:i)ii)25.若,就是三次样条函数,证明i)[][][][] 222()()()()2()()()b b b ba a a af x dx S x dx f x S x dx S x f x S x dx"-"="-"+""-";ii) 若,式中为插值节点,且,则[][][]()()()()()()()()()baS x f x S x dx S b f b S b S a f a S a ""-"="'-'-"'-'?、26. 编出计算三次样条函数系数及其在插值节点中点得值得程序框图(可⽤(8、7)式得表达式)、第三章函数逼近与计算1. (a)利⽤区间变换推出区间为得伯恩斯坦多项式、(b)对在上求1次与三次伯恩斯坦多项式并画出图形,并与相应得马克劳林级数部分与误差做⽐较、 2. 求证:(a)当时,、 (b)当时,、3. 在次数不超过6得多项式中,求在得最佳⼀致逼近多项式、4. 假设在上连续,求得零次最佳⼀致逼近多项式、5. 选取常数,使达到极⼩,⼜问这个解就是否唯⼀?6. 求在上得最佳⼀次逼近多项式,并估计误差、7. 求在上得最佳⼀次逼近多项式、8. 如何选取,使在上与零偏差最⼩?就是否唯⼀? 9. 设,在上求三次最佳逼近多项式、 10. 令,求、11. 试证就是在上带权得正交多项式、12. 在上利⽤插值极⼩化求1得三次近似最佳逼近多项式、13. 设在上得插值极⼩化近似最佳逼近多项式为,若有界,证明对任何,存在常数、,使14. 设在上,试将降低到3次多项式并估计误差、15. 在上利⽤幂级数项数求得3次逼近多项式,使误差不超过0、005、16. 就是上得连续奇(偶)函数,证明不管就是奇数或偶数,得最佳逼近多项式也就是奇(偶)函数、 17. 求、使为最⼩、并与1题及6题得⼀次逼近多项式误差作⽐较、 18. 、,定义()(,)()();()(,)()()()();b baaa f g f x g x dxb f g f x g x dx f a g a =''=''+??问它们就是否构成内积?19. ⽤许⽡兹不等式(4、5)估计得上界,并⽤积分中值定理估计同⼀积分得上下界,并⽐较其结果、 20. 选择,使下列积分取得最⼩值:、21. 设空间,分别在、上求出⼀个元素,使得其为得最佳平⽅逼近,并⽐较其结果、 22. 在上,求在上得最佳平⽅逼近、23. 就是第⼆类切⽐雪夫多项式,证明它有递推关系、24. 将在上按勒让德多项式及切⽐雪夫多项式展开,求三次最佳平⽅逼近多项式并画出误差图形,再计算均⽅误差、25.把在上展成切⽐雪夫级数、26.⽤最⼩⼆乘法求⼀个形如得经验公式,使它与下列数据拟合,并求均⽅误差、27.28.在某化学反应⾥,根据实验所得分解物得浓度与时间关系如下:29.编出⽤正交多项式做最⼩⼆乘拟合得程序框图、30.编出改进FFT算法得程序框图、31.现给出⼀张记录,试⽤改进FFT算法求出序列得离散频谱第四章数值积分与数值微分1.确定下列求积公式中得待定参数,使其代数精度尽量⾼,并指明所构造出得求积公式所具有得代数精度:(1);(2);(3);(4)、2.分别⽤梯形公式与⾟普森公式计算下列积分:(1); (2);(3); (4)、3.直接验证柯特斯公式(2、4)具有5次代数精度、4.⽤⾟普森公式求积分并计算误差、5.推导下列三种矩形求积公式:(1);(2);(3)、6.证明梯形公式(2、9)与⾟普森公式(2、11)当时收敛到积分、7.⽤复化梯形公式求积分,问要将积分区间分成多少等分,才能保证误差不超过(设不计舍⼊误差)?8.⽤龙贝格⽅法计算积分,要求误差不超过、9.卫星轨道就是⼀个椭圆,椭圆周长得计算公式就是,这⾥就是椭圆得半长轴,就是地球中⼼与轨道中⼼(椭圆中⼼)得距离,记为近地点距离,为远地点距离,公⾥为地球半径,则、我国第⼀颗⼈造卫星近地点距离公⾥,远地点距离公⾥,试求卫星轨道得周长、10.证明等式试依据得值,⽤外推算法求得近似值、11.⽤下列⽅法计算积分并⽐较结果、(1)龙贝格⽅法;(2)三点及五点⾼斯公式;(3)将积分区间分为四等分,⽤复化两点⾼斯公式、12.⽤三点公式与五点公式分别求在1、0,1、1与1、2处得导数值,并估计误差、得值由下表给出:第五章常微分⽅程数值解法1、就初值问题分别导出尤拉⽅法与改进得尤拉⽅法得近似解得表达式,并与准确解相⽐较。
书后部分习题解答P21页3.(3)nnn b b b a a a ++++++++∞→ΛΛ2211lim (1,1<<b a )知识点:1)等比级数求和)1(1)1(12≠--=++++-q qq a aqaq aq a n n Λ(共n 项)2)用P14例4的结论:当1<q 时,0lim =∞→nn q解:n n n b b b a a a ++++++++∞→ΛΛ2211lim ab bb a a n n n --=----=++∞→111111lim 115.(1)判断下列数列是否收敛,若收敛,则求出极限:设a 为正常数,00>x ,)(211nn n x a x x +=+ 证:由题意,0>n x ,a x a x x a x x nn n n n =⋅⋅≥+=+221)(211(数列有下界) 又02)(2121≤-=-+=-+nn n n n n n x x a x x ax x x (因a x n ≥+1)(数列单调减少) 由单调有界定理,此数列收敛;记b x n n =∞→lim ,对)(211n n n x a x x +=+两边取极限,得)(21bab b +=,解得a b =(负的舍去),故此数列的极限为a .P35页4.(8)极限=-++-+→211)1()1(lim x n x n x n x 211)1()1()]1(1[lim -++--++→x nx n x n x 21221111)1()1()1()1()1(1lim -++--+-+-+=+++→x n x n x x C x C n n n x 2)1(21+==+n n C n (若以后学了洛必达法则(00型未定型),则211)1()1(lim -++-+→x nx n x n x 2)1(2)1(lim )1(2)1())1(lim 111+=+=-+-+=-→→n n nx n x n x n n x n x ) 书后部分习题解答2 P36页8.已知当0→x 时,1cos ~1)1(312--+x ax,求常数a .知识点:1)等价无穷小的概念;2)熟记常用的等价无穷小,求极限时可用等价无穷小的替换定理。
同济第六版高等数学课后答案全集第一章习题1-11. 设A =(-∞, -5)⋃(5, +∞), B =[-10, 3), 写出A ⋃B , A ⋂B , A \B 及A \(A \B )的表达式.解 A ⋃B =(-∞, 3)⋃(5, +∞),A ⋂B =[-10, -5),A \B =(-∞, -10)⋃(5, +∞),A \(A \B )=[-10, -5).2. 设A 、B 是任意两个集合, 证明对偶律: (A ⋂B )C =A C ⋃B C .证明 因为x ∈(A ⋂B )C ⇔x ∉A ⋂B ⇔ x ∉A 或x ∉B ⇔ x ∈A C 或x ∈B C ⇔ x ∈A C ⋃B C , 所以 (A ⋂B )C =A C ⋃B C .3. 设映射f : X →Y , A ⊂X , B ⊂X . 证明(1)f (A ⋃B )=f (A )⋃f (B );(2)f (A ⋂B )⊂f (A )⋂f (B ).证明 因为y ∈f (A ⋃B )⇔∃x ∈A ⋃B , 使f (x )=y⇔(因为x ∈A 或x ∈B ) y ∈f (A )或y ∈f (B )⇔ y ∈f (A )⋃f (B ),所以 f (A ⋃B )=f (A )⋃f (B ).(2)因为y ∈f (A ⋂B )⇒∃x ∈A ⋂B , 使f (x )=y ⇔(因为x ∈A 且x ∈B ) y ∈f (A )且y ∈f (B )⇒ y ∈ f (A )⋂f (B ),所以 f (A ⋂B )⊂f (A )⋂f (B ).4. 设映射f : X →Y , 若存在一个映射g : Y →X , 使X I f g = , Y I g f = , 其中I X 、I Y 分别是X 、Y 上的恒等映射, 即对于每一个x ∈X , 有I X x =x ; 对于每一个y ∈Y , 有I Y y =y . 证明: f 是双射, 且g 是f 的逆映射: g =f -1.证明 因为对于任意的y ∈Y , 有x =g (y )∈X , 且f (x )=f [g (y )]=I y y =y , 即Y 中任意元素都是X 中某元素的像, 所以f 为X 到Y 的满射.又因为对于任意的x 1≠x 2, 必有f (x 1)≠f (x 2), 否则若f (x 1)=f (x 2)⇒g [ f (x 1)]=g [f (x 2)] ⇒ x 1=x 2.因此f 既是单射, 又是满射, 即f 是双射.对于映射g : Y →X , 因为对每个y ∈Y , 有g (y )=x ∈X , 且满足f (x )=f [g (y )]=I y y =y , 按逆映射的定义, g 是f 的逆映射.5. 设映射f : X →Y , A ⊂X . 证明:(1)f -1(f (A ))⊃A ;(2)当f 是单射时, 有f -1(f (A ))=A .证明 (1)因为x ∈A ⇒ f (x )=y ∈f (A ) ⇒ f -1(y )=x ∈f -1(f (A )),所以 f -1(f (A ))⊃A .(2)由(1)知f -1(f (A ))⊃A .另一方面, 对于任意的x ∈f -1(f (A ))⇒存在y ∈f (A ), 使f -1(y )=x ⇒f (x )=y . 因为y ∈f (A )且f 是单射, 所以x ∈A . 这就证明了f -1(f (A ))⊂A . 因此f -1(f (A ))=A . 6. 求下列函数的自然定义域:(1)23+=x y ;解 由3x +2≥0得32->x . 函数的定义域为) ,32[∞+-. (2)211xy -=; 解 由1-x 2≠0得x ≠±1. 函数的定义域为(-∞, -1)⋃(-1, 1)⋃(1, +∞).(3)211x xy --=; 解 由x ≠0且1-x 2≥0得函数的定义域D =[-1, 0)⋃(0, 1].(4)241x y -=; 解 由4-x 2>0得 |x |<2. 函数的定义域为(-2, 2).(5)x y sin =;解 由x ≥0得函数的定义D =[0, +∞).(6) y =tan(x +1);解 由21π≠+x (k =0, ±1, ±2, ⋅ ⋅ ⋅)得函数的定义域为 12-+≠ππk x (k =0, ±1, ±2, ⋅ ⋅ ⋅).(7) y =arcsin(x -3);解 由|x -3|≤1得函数的定义域D =[2, 4].(8)xx y 1arctan 3+-=; 解 由3-x ≥0且x ≠0得函数的定义域D =(-∞, 0)⋃(0, 3).(9) y =ln(x +1);解 由x +1>0得函数的定义域D =(-1, +∞).(10)x e y 1=.解 由x ≠0得函数的定义域D =(-∞, 0)⋃(0, +∞).7. 下列各题中, 函数f (x )和g (x )是否相同?为什么?(1)f (x )=lg x 2, g (x )=2lg x ;(2) f (x )=x , g (x )=2x ;(3)334)(x x x f -=,31)(-=x x x g .(4)f (x )=1, g (x )=sec 2x -tan 2x .解 (1)不同. 因为定义域不同.(2)不同. 因为对应法则不同, x <0时, g (x )=-x .(3)相同. 因为定义域、对应法则均相相同.(4)不同. 因为定义域不同.8. 设⎪⎩⎪⎨⎧≥<=3|| 03|| |sin |)(ππϕx x x x , 求)6(πϕ, )4(πϕ, )4(πϕ-, ϕ(-2), 并作出函数y =ϕ(x )的图形.解 21|6sin |)6(==ππϕ, 22|4sin |)4(==ππϕ, 22|)4sin(|)4(=-=-ππϕ, 0)2(=-ϕ. 9. 试证下列函数在指定区间内的单调性:(1)xx y -=1, (-∞, 1); (2)y =x +ln x , (0, +∞).证明 (1)对于任意的x 1, x 2∈(-∞, 1), 有1-x 1>0, 1-x 2>0. 因为当x 1<x 2时, 所以函数xx y -=1在区间(-∞, 1)内是单调增加的. (2)对于任意的x 1, x 2∈(0, +∞), 当x 1<x 2时, 有所以函数y =x +ln x 在区间(0, +∞)内是单调增加的.10. 设 f (x )为定义在(-l , l )内的奇函数, 若f (x )在(0, l )内单调增加, 证明f (x )在(-l , 0)内也单调增加.证明 对于∀x 1, x 2∈(-l , 0)且x 1<x 2, 有-x 1, -x 2∈(0, l )且-x 1>-x 2.因为f (x )在(0, l )内单调增加且为奇函数, 所以f (-x 2)<f (-x 1), -f (x 2)<-f (x 1), f (x 2)>f (x 1),这就证明了对于∀x 1, x 2∈(-l , 0), 有f (x 1)< f (x 2), 所以f (x )在(-l , 0)内也单调增加. 11. 设下面所考虑的函数都是定义在对称区间(-l , l )上的, 证明:(1)两个偶函数的和是偶函数, 两个奇函数的和是奇函数;(2)两个偶函数的乘积是偶函数, 两个奇函数的乘积是偶函数, 偶函数与奇函数的乘积是奇函数.证明 (1)设F (x )=f (x )+g (x ). 如果f (x )和g (x )都是偶函数, 则F (-x )=f (-x )+g (-x )=f (x )+g (x )=F (x ),所以F (x )为偶函数, 即两个偶函数的和是偶函数.如果f (x )和g (x )都是奇函数, 则F (-x )=f (-x )+g (-x )=-f (x )-g (x )=-F (x ),所以F (x )为奇函数, 即两个奇函数的和是奇函数.(2)设F (x )=f (x )⋅g (x ). 如果f (x )和g (x )都是偶函数, 则F (-x )=f (-x )⋅g (-x )=f (x )⋅g (x )=F (x ),所以F (x )为偶函数, 即两个偶函数的积是偶函数.如果f (x )和g (x )都是奇函数, 则F (-x )=f (-x )⋅g (-x )=[-f (x )][-g (x )]=f (x )⋅g (x )=F (x ),所以F (x )为偶函数, 即两个奇函数的积是偶函数.如果f (x )是偶函数, 而g (x )是奇函数, 则F (-x )=f (-x )⋅g (-x )=f (x )[-g (x )]=-f (x )⋅g (x )=-F (x ),所以F (x )为奇函数, 即偶函数与奇函数的积是奇函数.12. 下列函数中哪些是偶函数, 哪些是奇函数, 哪些既非奇函数又非偶函数?(1)y =x 2(1-x 2);(2)y =3x 2-x 3;(3)2211xxy +-=; (4)y =x (x -1)(x +1);(5)y =sin x -cos x +1;(6)2x x a a y -+=.解 (1)因为f (-x )=(-x )2[1-(-x )2]=x 2(1-x 2)=f (x ), 所以f (x )是偶函数.(2)由f (-x )=3(-x )2-(-x )3=3x 2+x 3可见f (x )既非奇函数又非偶函数.(3)因为())(111)(1)(2222x f xx x x x f =+-=-+--=-, 所以f (x )是偶函数. (4)因为f (-x )=(-x )(-x -1)(-x +1)=-x (x +1)(x -1)=-f (x ), 所以f (x )是奇函数.(5)由f (-x )=sin(-x )-cos(-x )+1=-sin x -cos x +1可见f (x )既非奇函数又非偶函数.(6)因为)(22)()()(x f a a a a x f x x x x =+=+=-----, 所以f (x )是偶函数. 13. 下列各函数中哪些是周期函数?对于周期函数, 指出其周期:(1)y =cos(x -2);解 是周期函数, 周期为l =2π.(2)y =cos 4x ;解 是周期函数, 周期为2π=l . (3)y =1+sin πx ;解 是周期函数, 周期为l =2.(4)y =x cos x ;解 不是周期函数.(5)y =sin 2x .解 是周期函数, 周期为l =π.14. 求下列函数的反函数:(1)31+=x y 错误!未指定书签。
数值分析参考答案1.4 习题解答或提示1、解:(1)>> a=[1 2 3 ;4 5 6 ]'a =1 42 53 6(2)>> b=[9;7;5;3;1]b =97531(3)>> c=b(2:4)c =753(4)>> d=b(4:-1:1)d =3579(5)>> e=sort(b)e =13579(6)>> f=[3:b']f =3 4 5 6 7 8 92、解:>> x=[7 4 3 ];y=[-1 -2 -3];(1)>> u=[y,x]u =-1 -2 -3 7 4 3 (2)>> u=[x,y]u =7 4 3 -1 -2 -33、解:sum=0;a=[4 -1 2 -8 4 5 -3 -1 6 -7]; for i=1 : length(a)if a(i)>0, sum=sum+a(i); endendsumsum =214、解:m=input('input an array:')input an array:[1 2 5;3 1 2;4 1 3]m =1 2 53 1 24 1 35、解:sum(m)ans =8 4 10>> max(m)ans =4 2 5>> min(m)ans =1 1 26、解:function y=fun_es(x)y=0.5.*exp(x./3)-x.^2.*sin(x);>> fun_es(3)ans =0.0891>> fun_es([1 2 3])ans =-0.1437 -2.6633 0.08917、提示:本题主要考查的是随机数生成函数rand的使用方法,以及选取种子数的方法之一:使用clock命令。
可以参照课本的例1.5来编写函数。
8、解:function y=fun_xa()x=input('input the value of x:');n=input('input the value of n:');y=1;for i=1:1:ny=y+x^i/factorial(i); end>> fun_xa()input the value of x :1 input the value of n :4ans =2.70832.4 习题解答1 解:E(lnx)=(ln ’E(x)=)(1x E x =xδ=Er(x) 2. 解 Er(x 2)=)(22x Er x xx ⨯=4% 3. 解:123451.1021,0.031,385.6,56.430,7 1.0x x x x x *****=====⨯分别有5 位,2位,4位,5位,2位有效数字4 解 4*1105.0)(-⨯=x E3*2105.0)(-⨯=x E1*3105.0)(-⨯=x E3*4105.0)(-⨯=x E=++)(*4*2*1x x x E +)(*1x E +)(*2x E )(*4x E =0.00105))()((*4*2x E x E E =)()()(*42*4*2*4*2x E x x x x E -5. 解 V=334r π Er(v)=)(//x Er V x dx dV ⨯⨯=3Er(x)%1)(3≤x Er%33.0)(≤x Er6. 解 7830100-=Y Y)783()(100E Y E ==0.00057.解 x 1,2=24561122-±=56783±21,2105.0)x (-⨯=E 2105.0)783(-⨯=E98.27783≈x 1,2=83.98 或 28.02 8.略。