可分离变量方程例题1
- 格式:doc
- 大小:31.00 KB
- 文档页数:1
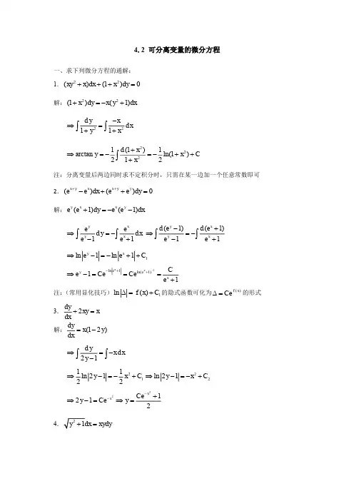
4.2 可分离变量的微分方程一、求下列微分方程的通解:1.22()d (1)d 0xy x x x y +++=解:22(1)(1)x dy x y dx +=-+ ⇒22d d 11y x x y x-=++⎰⎰ 2221(1)1arctan ln(1)C 212d x y x x +⇒=-=-+++⎰ 注:分离变量后两边同时求不定积分时,只需在某一边加一个任意常数即可2.()d ()d 0x y x x y y e e x e e y ++-++=解:(1)(1)yx x y e e dy e e dx +=-- ⇒e e d d e 1e 1y xy x y x =--+⎰⎰(1)(1)11y x y x d e d e e e -+⇒=--+⎰⎰ 1ln 1ln 1y x e e C ⇒-=-++1ln 1ln(1)11x x e y e x Ce Ce Ce e --++⇒-===+注:(常用显化技巧)1ln ()f x C ∆=+的隐式函数可化为()f x Ce ∆=的形式3.2dy xy x dx+= 解:(12)dy x y dx =- ⇒d d 21y x x y =--⎰⎰ ⇒221211ln 21ln 2122y x C y x C -=-+⇒-=-+22e 121e 2x xC y C y --+⇒-=⇒=4xydy =解:212dx dx x x =⇒=⎰⎰ln x C ⇒=+二、求下列微分方程满足初始条件的特解:1.52,(0)0x y y ey -'== 解:52x y dy e e dx -=⇒25e d e d y x y x =⎰⎰⇒2511e e 25y x C =+ 又(0)0y =,代入可得310C = 故微分方程的特解为25113e e 2510y x =+ 2.2d (1)tan ,(0)1d y y x y x=+= 解:2tan 1dy xdx y =+⎰⎰arctan ln cos y x C ⇒=-+又(0)1y =,代入有arctan1ln cos0C =-+⇒4C π=故微分方程的特解为arctan ln cos 4y x π=-+三、镭的衰变有如下规律:镭的衰变速度与它的现存量R 成正比.由经验材料得知,经过1600年后,只剩原始量0R 的一半.试求镭的现存量R 与时间t 的关系.分析:衰变速度,即其含量关于时间的变化率大小,故为含量R 对时间t 导数的绝对值,由于随时间衰减,导数为负,故衰变速度应为R 对时间t 导数的相反数 解:由题意,得一阶微分方程dR kR dt -=,且需满足条件00t R R ==,0160012t R R == dR dR dR kR kdt kdt dt R R -=⇒=-⇒=-⎰⎰ 1ln kt R kt C R Ce -⇒=-+⇒= 又00t R R ==,0160012t R R ==,带入条件可求得0ln 2,1600C R k == 故ln 216000e t R R -=四、已知曲线()y y x =经过点1(1,)e -,且在任意点(,)x y 处的切线在y 轴上的截距为xy ,求该曲线方程的表达式.解:设曲线()y y x =在任意点(,)x y 处的切线方程:()Y y y X x '-=-令0X =⇒得y 轴上的截距为y xy '-从而得微分方程y xy xy '-=,分离变量d 1d y x x y x-= d 1d y x x y x-⇒=⎰⎰1ln ln y x x C ⇒=-+⇒ln 22x x x x y C e C x e Cxe ---=== 又11e x y -==,解出1C =故所求曲线方程为e xy x -=.注:由于讨论任意点(,)x y 处的切线方程,此处(,)x y 表示切点坐标,故为加以区别,用,X Y 分别表示切线方程的自变量和因变量考研真题:设函数()y y x =由参数方程20()ln(1)t x x t y u du =⎧⎪⎨=+⎪⎩⎰确定,其中()x t 是初值问题20x dx te dt--=,00t x ==的解,求22d y dx . 解:2d 20d 2d d x x x x te e x t t e t C t--=⇒=⇒=+ 又00t x ==,得1C =,从而21x e t =+,即2ln(1)x t =+2222d ln(1)2(1)ln(1)2d 1dyy t t dt t t dxt x dt t +⋅===+++ ()2222222222222ln(1)(1)(1)ln(1)d 1(1)[ln(1)1](1)2d ln(1)1x t t t t t t y t t t x e t x t t '++++++===+++=+'⎡⎤+⎣⎦+。
分离变量练习题分离变量是微积分中一种常用的技巧,用于解决某些复杂函数的微分方程。
通过分离变量,我们可以将一个关于多个变量的微分方程转化为一系列关于单个变量的方程,从而更容易求解。
以下是几道分离变量的练习题,帮助你熟悉和掌握这个技巧。
练习题一:解方程:dy/dx = xy解法:首先将方程中的变量分离,得到 dy/y = x dx。
对上述等式两边进行积分,得到 ln|y| = (x^2)/2 + C,其中C为常数。
再通过指数函数的性质,得到y = Ce^(x^2/2),其中C为任意常数。
练习题二:解方程:dy/dx = 3x^2 y^2解法:将方程中的变量分离,得到 y^(-2) dy = 3x^2 dx。
对上述等式两边同时积分,可以得到 -y^(-1) = x^3 + C,其中C为常数。
移项并对等式两边取倒数,得到 y = -1/(x^3 + C),其中C为任意常数。
练习题三:解方程:dy/dx = 2xy/(1+x^2)解法:将方程中的变量分离,得到 (1+y^2) dy = 2x dx。
对上述等式两边同时积分,可以得到 y + (1/3)y^3 = x^2 + C,其中C为常数。
练习题四:解方程:dy/dx = x/y解法:将方程中的变量分离,得到 y dy = x dx。
对上述等式两边同时积分,可以得到 (1/2)y^2 = (1/2)x^2 + C,其中C为常数。
通过以上四道练习题,你有机会更好地理解和掌握分离变量的技巧。
不同的题目可能会有不同的方程形式,但核心思想始终是将方程中的变量分离并进行积分,最终得到解析解。
在实际应用中,分离变量常被用于求解物理、生物和经济等领域中的微分方程问题。
需要注意的是,对于某些方程,可能不存在解析解,或者解析解过于复杂难以计算。
在这种情况下,我们可以考虑使用数值方法进行求解,例如欧拉法或龙格-库塔法等。
希望以上练习题对你加深对分离变量的理解有所帮助。
继续练习和应用这个技巧,你会在微积分的学习中取得更多的进展。